合并会计报表编制流程图
- 格式:xls
- 大小:78.00 KB
- 文档页数:9
财务报表编制工作流程YL-CWL-13 2003年2月20日 A 1/2 1. 流程图:财务报表编制工作流程图各分公司财务中心公司领导报表使用单位帐务处理财务报告报送存档打印、复印、装订使用财务报告形成财务报告编写财务情况说明书编制子公司会计报表编制合并会计报表及附注编制会计报表及附注总帐与明细帐核对审批财务报表编制工作流程YL-CWL-13 2003年2月20日 A 2/22.流程说明2.1.帐务处理:财务中心根据《股份有限公司会计制度》、《会计基础工作规范》对公司的经济业务进行帐务处理,包括审核原始凭证、成本费用分配、编制记帐凭证、审核记帐凭证、记帐、结帐、对帐、编制有关报表等的总帐与明细帐处理。
2.2.总帐与明细帐核对:财务中心根据《会计基础工作规范》对总帐与明细帐的科目余额进行核对,做到帐帐相符。
2.3.编制会计报表及附注:财务中心根据总帐、明细帐、会计科目余额、业务收支计算表等资料,按《企业财务会计报告条例》、《股份有限公司会计制度》规定编制本公司的会计报表及附注。
2.4.编制子公司会计报表:各分公司,其应按《企业财务会计报告条例}编制会计报表、报表附注及财务情况说明书,并及时报送股份公司财务中心。
2.5.编制合并会计报表及附注,财务中心根据股份公司、各分公司的会计报表,按《合并会计报表暂行规定》、《企业财务会计报告条例》编制以本公司为母公司的企业集团合并会计报表及附注。
2.6.编写财务情况说明书:财务中心按《企业财务会计报告条例》、《股份有限公司会计制度》编写财务情况说明书。
2.7.形成财务报告:财务中心综合本公司的会计报表及附注、以本公司为母公司的企业集团合并会计报表及附注、财务情况说明书,即形成本公司的财务报告。
2.8.审批:公司领导对形成的财务报告进行审批。
2.9.打印、复印、装订,财务中心打印、复印财务报告,按规定装订好、盖好相关印章。
2.10.财务报告报送,财务中心按规定(年报经审计后)将财务报告报送有关领导及相关单位(如财政、税务、银行等单位)。
企业合并报表的具体步骤如下:
1. 确定合并范围:确定参与合并的企业范围,包括母公司和子公司。
2. 统一会计政策:确保参与合并的企业在会计政策上保持一致,包括会计准则、会计估计和会计处理方法等。
3. 调整子公司财务报表:对子公司的财务报表进行调整,以反映其与母公司的关联交易和其他相关事项。
4. 编制合并工作底稿:根据调整后的子公司财务报表,编制合并工作底稿,包括合并资产负债表、合并利润表和合并现金流量表等。
5. 进行内部交易抵消:对于母子公司之间的内部交易,需要进行抵消处理,以确保合并报表的准确性。
6. 进行权益法调整:对于采用权益法核算的子公司,需要根据母公司对子公司的投资比例,对子公司的股东权益进行调整。
7. 编制合并报表:根据合并工作底稿,编制最终的合并报表,包括合并资产负债表、合并利润表和合并现金流量表等。
8. 审核和披露:对合并报表进行审核,确保其准确性和合规性,并进行适当的披露,以满足相关法规和准则的要求。
单位合并财务流程
1、签订合并协议。
这是合并的基础,需要明确合并各方的权利和义务。
2、编制资产负债表和财产清单。
这是为了真实、全面地反映公司的资产、负债和股东权益情况。
3、通过合并决议。
这通常需要公司股东会或股东大会作出特别决议,并且必须经过一定比例的表决权通过。
4、通知债权人。
公司需要自作出合并决议之日起10日内通知债权人,并在30日内至少在报纸上公告3次。
债权人有权要求公司清偿债务或提供相应的担保。
5、政府监管部门的审批。
合并协议需报请政府监管部门进行审查核准。
6、实施合并。
在完成上述程序后,合并各方可以按照合并协议实施公司合并,进行资本和财产的转移。
7、办理公司合并登记。
包括变更或设立登记。
此外,合并方还需根据政府会计准则制度规定,将需要调整的个别财务报表调整为统一会计政策的财务报表,并编制合并财务报表。
在合并工作底稿上编制抵销分录,将合并主体和被合并主体之间、被合并主体相互之间发生的内部业务或事项对财务报表的影响进行抵销处理。
财务工作流程图大致框架从日常账务处理到财务报告与分析的主要环节。
请注意,具体细节可能根据企业的规模、行业特性及内部管理制度有所差异。
1.原始凭证收集与审核●步骤:各部门提交费用报销单据、收入证明等原始凭证。
●责任部门/人员:各部门员工、财务部初审人员。
●输出:审核通过的原始凭证。
2.会计凭证录入●步骤:将审核无误的原始凭证信息录入财务系统,生成会计凭证。
●责任部门/人员:财务会计。
●输出:会计凭证记录。
3.账务处理●步骤:根据会计准则,进行总账、明细账的登记与核对,包括但不限于应收账款、应付账款、存货、固定资产等账户的管理。
●责任部门/人员:财务会计。
●输出:更新的财务账簿。
4.成本核算●步骤:计算产品或服务的成本,包括直接成本和间接成本的分摊。
●责任部门/人员:成本会计。
●输出:成本报表。
5.财务报表编制●步骤:基于账务处理结果,编制资产负债表、利润表、现金流量表等法定财务报表。
●责任部门/人员:财务经理/会计师。
●输出:月度/季度/年度财务报表。
6.税务申报与筹划●步骤:根据税法规定,完成各项税费的计算、申报及缴纳,同时进行税务筹划以合法降低税负。
●责任部门/人员:税务会计/财务经理。
●输出:税务申报表、缴税凭证。
7.财务分析与报告●步骤:对财务数据进行深入分析,包括比率分析、趋势分析、预算对比分析等,撰写财务分析报告。
●责任部门/人员:财务分析师/财务经理。
●输出:财务分析报告、管理建议书。
8.预算管理与控制●步骤:制定年度预算,监控实际支出与预算的差异,进行预算调整与控制。
●责任部门/人员:财务部、各部门负责人。
●输出:预算计划、预算执行情况报告。
9.审计与内控●步骤:定期进行内部审计,确保财务活动合规,发现并改进内部控制缺陷。
●责任部门/人员:内部审计部门/外部审计师。
●输出:审计报告、内控改进建议。
10.资金管理●步骤:包括日常资金调度、银行对账、短期投资、融资管理等。
●责任部门/人员:出纳、财务经理。
会计师事务所合并底稿模板
会计师事务所合并底稿模板通常包括以下内容:
- 合并财务报表底稿(资产负债表一、二、三等);
- 抵消模板(合并报表抵消分录总结-抵消模板);
- 合并报表工作底稿(集团本部);
- 合并会计报表编制流程图;
- 合并报表工作底稿(母公司、子公司分录记录);
- 间接持股合并报表底稿(投资三家公司单独报表、第一级合并底稿、第二级合并底稿、成本法合并);
- 母子交叉持股合并报表(交叉持股权益法合并、交叉持股成本法合并);
- 子公司交叉持股合并;
- 合并抵销分录汇总表。
合并底稿模板的具体内容可能因会计师事务所的要求和项目的具体情况而有所不同。
如果你需要更详细的信息,建议咨询专业的会计师或查阅相关的专业书籍。
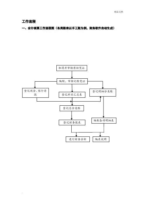
工作流程一、会计核算工作流程图(各类账表以手工账为例,财务软件自动生成)进行财务分析 编表说明编制各项明细表 登记财务报表 取得并审核原始凭证 编制、审核记账凭证 登记科目汇总表 登记明细分类账 登记现金、银行存款 登记总分类账1.取得并审核原始凭证在日常费用管理中,对报销人员或报销部门所提交上来的费用报销进行审核。
审核期间态度需客观、严谨、仔细、公正、公开。
审核内容:A. 报销凭证必须用蓝、黑墨水书写,不得用圆珠笔和铅笔书写。
填写内容须规范、摘要明了、字迹清晰,大小写金额、报销部门、日期、经手人填写无误且已经部门负责人审批,补充说明的费用事项需在备注栏注明。
报销凭证需先整理分类后填写。
B.原始凭证审核贴序需按报销凭证填写的顺序,一般按小上大下,零散票据、面积过大票据需按公司财务部规定方式粘贴。
发票类原始凭证超过规定额度时需与收据原始凭证分开填写。
原始凭证不得有涂划、修改痕迹,开具日期不得超过报销的合理周期,一般为一个月内,超过合理周期一概不给予办理报销。
特殊业务的需问明原由并有相关人员证明或提前告之财务部。
原始凭证的合法性和真实性。
审核所发生的经济业务是否符合国家、酒店有关规定的要求,有否违反财经制度的现象;原始凭证中所列的经济业务事项是否真实,有无弄虚作假情况。
如在审核原始凭证中发现有多计或少计收入、费用,擅自扩大开支范围、提高开支标准,巧立名目、虚报冒领、滥发奖金、津贴等违反财经制度和财经纪律的情况,不仅不能作为合法真实的原始凭证,而且要按规定进行处理。
关于采购报销的,还需将采购申请单作为附件附在相关原始凭证后面。
原始凭证的合理性。
审核所发生的经济业务是否符合厉行节约、反对浪费、有利于提高经济效益的原则,有否违反该原则的现象。
如经审核原始凭证后确实有使用预算结余购买不需要的物品,不能作为合理的原始凭证。
原始凭证的完整性。
审核原始凭证是否具备基本内容,有否应填未填或填写不清楚的现象。
如经审核原始凭证后确定有未填写接受凭证单位名称,无填证单位或制证人员签章,业务内容与附件不符等情况,不能作为内容完整的原始凭证。
合并会计报表教材1. 概述合并会计报表是指将一个公司的多个子公司或附属公司的财务信息合并起来,形成一个整体的财务报表。
合并会计报表的编制过程涉及到多个会计准则和原则,需要统一和调整不同公司的财务信息。
本教材将介绍合并会计报表的基本概念、编制过程和相关会计准则。
2. 合并会计报表的基本原则合并会计报表的编制遵循一系列基本原则,包括以下几点:•公允性原则:合并会计报表的编制应基于公允价值原则,即合并后的财务信息应真实、公正地反映企业的财务状况。
•一体性原则:合并会计报表应当将各个子公司的财务信息视为一个整体进行编制,而不是分开进行处理。
•一致性原则:合并会计报表的编制应保持一致性,即在不同会计期间和不同合并方案下,编制方法应保持相同。
3. 合并会计报表的编制过程3.1 确定合并范围在编制合并会计报表之前,首先需要确定合并的范围。
合并范围通常由企业控制关系和实际控制关系来决定。
本节将介绍合并范围的判断标准和方法。
3.2 处理投资关系合并会计报表编制过程中的一个重要步骤是处理投资关系。
合并会计报表中的投资关系通常包括子公司、联营企业和合营企业。
本节将介绍如何处理不同类型的投资关系,包括投资分类、投资计量和投资摊余成本法等。
3.3 调整合并财务信息合并会计报表的编制需要统一和调整多个公司的财务信息。
本节将介绍合并调整的基本原理和方法,包括合并初次确认和合并期间调整等。
3.4 编制合并会计报表在完成合并范围的确定、投资关系的处理和财务信息的调整之后,就可以开始编制合并会计报表了。
本节将介绍合并会计报表的格式和内容,包括资产负债表、利润表和现金流量表等。
4. 相关会计准则和法规合并会计报表的编制需要遵守一系列会计准则和法规。
本节将介绍国际会计准则体系中与合并会计报表相关的准则,包括国际财务报告准则(IFRS)和中国会计准则等。
5. 合并会计报表的分析方法合并会计报表不仅是企业财务状况的记录和统计工具,也是管理层和投资者进行财务分析和决策的重要依据。
会计账务处理流程图一、什么是会计账务处理程序?是指会计凭证,会计账簿,会计报表之间相互结合的核算形式的方式。
种类有3种:①记账凭证账务处理程序,②汇总记账凭证账务处理③科目汇总表账务处理程序。
他们的区别是:登记的分类的依据和方法不同。
二、会计账务处理程序的应用1 记账凭证账务处理程序,(最基本的账务处理程序)一般有7步:①根据原始凭证填制汇总原始凭证②根据原始凭证或汇总原始的填制收款凭证、付款凭证和转账凭证,或者也可以填制通用记账凭证。
③根据收款凭证和付款凭证逐笔登记库存现金日记账和银行存款日记账。
④根据原始凭证、汇总原始凭证和记账凭证,登记各种明细分类账,⑤根据记账凭证逐笔登记总分类账。
⑥期末,将库存现金日记账、银行存款日记账和明细分类账的余额核对相符。
⑦期末,根据总分类账和明细账明细分类账的记录编制财务报表。
步骤6要核对。
记账凭证账务处理登记总账依据是:记账凭证。
优点:是简单明了,易于理解,可以较详细反映经济业务。
缺点:是登记总账的工作量大适用范围:规模小,经济业务量较少的单位。
二、汇总记账凭证账务处理有8步:①根据原始凭证填制汇总原始凭证②根据原始凭证或汇总原始的填制收款凭证、付款凭证和转账凭证,或者也可以填制通用记账凭证。
③根据收款凭证和付款凭证逐笔登记库存现金日记账和银行存款日记账。
④根据原始凭证、汇总原始凭证和记账凭证,登记各种明细分类账。
⑤根据各种记账凭证,编制有关汇总记账凭证。
⑥有关汇总记账凭证,登记总分类账。
⑦期末,将库存现金日记账、银行存款日记账和明细分类账的余额核对相符。
⑧期末,根据总分类账和明细账明细分类账的记录编制财务报表。
汇总记账凭证登记总账的依据:是汇总记账凭证.优点:减轻了登记总账的工作量。
缺点:转账凭证较多时,制汇总转账凭证的工作量较大,按每一贷方账户编制汇总转账凭证,不利于会计核算的日常分工。
适用范围:规模较大,经济业务较多的单位。
(三)科目汇总表账务处理程序科目汇总表,账务处理程序的一般步骤有8步:①根据原始凭证填制汇总原始凭证。
下发年度预算通知各分支机构、项目部上报预算数经营部核定预算数各分支机构、项目部编制预算报表公司财务汇总预算报表公司领导审批上报集团公司预算报表及预算分析集团公司下达年度预算指标返回修改重新上报审核不通过审核通过各分支机构、项目部上报预算报表各分支机构、项目部编制决算报表各分支机构、项目部准备决算纸质资料决算纸质资料报送会计师事务所各分支机构、项目部上报决算报表返回修改重新上报汇总合并决算报表补充完善决算纸质资料会计师事务所交换审计意见取得审计报告转换为国资委报表编制公司财务分析报告各分支机构、项目部编制财务分析报告消除分歧意见下发决算通知通过审核未通过审完备不完备意见不一致意见一致备用金借款流程借款人提出申请,填写《借(请)款审批单》部门领导签字审批分管领导签字审批总会计师签字审批总经理签字审批财务部长签字并根据资金状况安排付款财务部办理借支手续五千元以上五千元以下职工薪酬工作流程资产运营部报送房租、公积金代扣代缴明细表(部门公章)各部门报送考勤表(部门负责人签字)人力资源部根据人事命令报送职工薪酬审批表(部门负责人、总会计师、总经理签字)财务部根据人事命令发调转人员通知书(项目部盖章、部门负责人签字)人力资源部报送人事命令财务部根据各部门报的当月数据编制工资表打印工资明细表、汇总表并存档财务部报送工资明细表至人力资源部核对财务部办理支付手续(银行代发)返回修改审核通过审核不通过人力资源部报送效益工资发放通知及支付单办理外出经营许可证业务流程项目部财务准备办理外出经营证所需资料填写公司印章审批表总会计师签字行政办公室盖公章填写公司及集团公司印章审批表向税务局上报资料集团办公室盖集团公章集团公司税务专职会计、财务部长、总会计师一公司合同集团公司合同财务报税业务流程各分支机构、项目部申请开具发票财务部税务专职人员开具发票填报营业税金及附加纳税申请表年度企业所得税汇算清缴报告及季度财务决算报表应交企业所得税填报企业所得税纳税申请表根据工资明细表,资产运营事业部、安质部提供资料等填报个人所得税、房产税、土地使用税、车船税等纳税申报表填写付款审批表办理报税手续费用报销流程部门领导签字审批分管领导签字审批总经理签字审批(飞机、高铁费用需总经理审批)财务部长签字并根据资金状况安排付款报销人员整理票据并在票据背后签字,填写《费用报销审批单》财务部办理费用报销手续预算外费用预算内费用对外付款支付流程申请人按经济业务填写《付款审批单》提出付款申请会计签字并核对债权债务信息分管领导签字审核总会计师签字审批总经理签字审批财务部长签字并根据资金状况安排付款财务部办理支付手续一万元以上一万元以内存货盘点工作流程保管人员核对账目、整理材料,准备盘点工作分配人员进行实物盘点根据盘点结果填写盘点表根据盘点结果将盘盈、盘亏、毁损的存货先做待处理财产损益处理盘点结果上报分管领导领导批示后,财务部门进行帐务处理废旧物资处理流程所属部门对无利用价值废旧物资提出处理申请所属部门领导签字审批分管领导签字审批总经理签字审批财务部门监督处理并收款列账会计档案管理流程会计凭证会计账簿财务报告其它会计资料整理、归档、装订成册、编号编制会计档案目录清单形成会计档案编制移交清单需移交会计档案存档到规定年限需销毁档案室、财务部办理销毁手续财务部长审批需要查询、复印、借阅总会计师审批档案室、财务部办理查询、复印、借阅登记手续需借阅仅需查询、复印资金计划管理业务流程物资部门报送固定资产支付计划法律合规部报送法律诉讼事项支付计划财务部汇总机关资金使用计划各项目部上报资金使用计划财务部编制公司资金使用计划财务部长审批总会计师审批人力资源部报送月度工资、奖金及社保支付计价财务部根据年度预算作各部门管理费用资金使用计划应收账款管理及催收流程工程项目部根据验工计价表确认应收账款项目负责人、项目财务负责催收账款项目财务每季度向对方单位发询证函确认应收账款办理末次验工计价收回全部应收帐款项法律合规部对欠款出具处理意见报公司领导审批采取法律行动责任人继续跟踪债务单位情况并继续催收收回工程款。