函数定义域试题与答案
- 格式:doc
- 大小:453.00 KB
- 文档页数:7
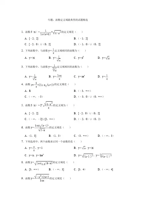
专题:函数定义域最典型的试题精选1.函数f(x)=+的定义域是()A.[﹣2,2]B.(﹣1,2]C.[﹣2,0)∪(0,2]D.(﹣1,0)∪(0,2]2.下列函数中,与函数y=定义域相同的函数为()A.y=|x|B.y=C.y=x0D.y=3.下列函数中,与函数y=定义域相同的函数为()A.y=B.y=C.y=xe x D.y=4.函数的定义域是()A.R B.(﹣3,+∞)C.(﹣∞,﹣3)D.(﹣3,0)∪(0,+∞)5.函数f(x)=2x的定义域为()A.[﹣2,2]B.[﹣2,0)∪(0,2]C.(﹣∞,﹣2]∪[2,+∞)D.(﹣2,0)∪(0,2)6.函数y=的定义域是()A.(1,3]B.(1,3)C.(3,+∞)D.(﹣∞,3)7.下列选项中,两个函数表示同一个函数的是()A.y=,y=1B.y=,y=|x|C.y=x,y=lne x D.y=,y=8.函数y=的定义域是()A.[3,+∞)B.(﹣∞,3]C.[3,4)D.(﹣∞,4] 9.函数y=的定义域是()A.(0,1)∪(1,3]B.(0,3]C.(0,1)D.[3,+∞)10.的定义域是()A.(0,+∞)B.[0,+∞)C.(﹣∞,0)D.(﹣∞,0] 11.已知函数f(2x+1)的定义域为(﹣2,0),则f(x)的定义域为()A.(﹣2,0)B.(﹣4,0)C.(﹣3,1)D.(﹣,1)12.(理)函数f(x)=+(3﹣2x)0的定义域是.13.函数y=的定义域为.解析答案1.函数f(x)=+的定义域是()A.[﹣2,2]B.(﹣1,2]C.[﹣2,0)∪(0,2]D.(﹣1,0)∪(0,2]【解答】解:f(x)=+有意义,可得,即为,解得﹣1<x<0或0<x≤2,则定义域为(﹣1,0)∪(0,2].故选:D.2.下列函数中,与函数y=定义域相同的函数为()A.y=|x|B.y=C.y=x0D.y=【解答】解:函数y=的定义域为{x|x≠0}.A.函数的定义域范围R.B.函数y=的定义域为{x|x>0}.C.函数y=x0的定义域为{x|x≠0}.D.函数y=的定义域为{x|x≥0}.故选:C.3.下列函数中,与函数y=定义域相同的函数为()A.y=B.y=C.y=xe x D.y=【解答】解:函数y=的定义域是:{x|x≠0},对于A:函数y=的定义域是{x|x>0},对于B:函数的定义域是:{x|x>0},对于C:函数的定义域是R,对于D:函数的定义域是{x|x≠0},故选:D.4.函数的定义域是()A.R B.(﹣3,+∞)C.(﹣∞,﹣3)D.(﹣3,0)∪(0,+∞)【解答】解:要使原函数有意义,则:;∴x>﹣3且x≠0;∴原函数的定义域为(﹣3,0)∪(0,+∞).故选:D.5.函数f(x)=2x的定义域为()A.[﹣2,2]B.[﹣2,0)∪(0,2]C.(﹣∞,﹣2]∪[2,+∞)D.(﹣2,0)∪(0,2)【解答】解:要使f(x)有意义,则:;解得﹣2≤x≤2,且x≠0;∴f(x)的定义域为:[﹣2,0)∪(0,2].故选:B.6.函数y=的定义域是()A.(1,3]B.(1,3)C.(3,+∞)D.(﹣∞,3)【解答】解:要使函数有意义,则,得,即1<x<3,即函数的定义域为(1,3),故选:B.7.下列选项中,两个函数表示同一个函数的是()A.y=,y=1B.y=,y=|x|C.y=x,y=lne x D.y=,y=【解答】解:A.的定义域为{x|x≠0},y=1的定义域为R,定义域不同,不是同一个函数;B.和y=|x|的解析式不同,不是同一函数;C.y=x的定义域为R,y=lne x=x的定义域为R,定义域和解析式都相同,是同一个函数;D.,,解析式不同,不是同一个函数.故选:C.8.函数y=的定义域是()A.[3,+∞)B.(﹣∞,3]C.[3,4)D.(﹣∞,4]【解答】解:函数y=,∴log0.5(4﹣x)≥0,∴0<4﹣x≤1,解得3≤x<4,∴函数y的定义域是[3,4).故选:C.9.函数y=的定义域是()A.(0,1)∪(1,3]B.(0,3]C.(0,1)D.[3,+∞)【解答】解:要使函数有意义,则,即,即,即0<x<1或0<x≤3,即函数的定义域为(0,1)∪(1,3],故选:A.10.的定义域是()A.(0,+∞)B.[0,+∞)C.(﹣∞,0)D.(﹣∞,0]【解答】解:由,得,∴x≥0.∴的定义域是[0,+∞).故选:B.11.已知函数f(2x+1)的定义域为(﹣2,0),则f(x)的定义域为()A.(﹣2,0)B.(﹣4,0)C.(﹣3,1)D.(﹣,1)【解答】解:∵f(2x+1)的定义域为(﹣2,0),即﹣2<x<0,∴﹣3<2x+1<1.即f(x)的定义域为(﹣3,1).故选:C.12.(理)函数f(x)=+(3﹣2x)0的定义域是(,1)∪(1,)∪(,2].【解答】解:∵函数f(x)=+(3﹣2x)0,∴,解得;∴f(x)的定义域是(,1)∪(1,)∪(,2].故答案为:(,1)∪(1,)∪(,2].13.函数y=的定义域为[﹣3,2).【解答】解:∵函数y=,∴,解得,即﹣3≤x<2,∴y的定义域为[﹣3,2).故答案为:[﹣3,2).。
函数的定义域1、已知函数式求定义域:例1、求下列函数的定义域:1;2;3;4;5.解:1,即;2,即;3且,即.4要使函数有意义,应满足,即.∴函数的定义域为.5要使函数有意义,应满足,即.∴函数的定义域为.点拨:要求使函数表达式有意义的自变量的取值范围,可考虑用到不等式或不等式组,然后借助于数轴进行求解.2、求抽象函数的定义域讲解:求解抽象函数的定义域时一定要严格遵循原始函数的定义域,不管“”中的“x”被什么代换,它们都得首先遵循这一“规则”,在这一“规则”之下再去求解具体的x的范围.例2、已知的定义域为,求,的定义域.解:∵的定义域为,∴, ∴ , 即的定义域为, 由, ∴,即的定义域为.点拨:若的定义域为,则的定义域是的解集.例3、已知的定义域为,求,的定义域.解:∵的定义域为, ∴即的定义域为.又∵的定义域为, ∴,∴即的定义域为.点拨:已知的定义域,则当时,y=kx+b的函数值的取值集合就是的定义域.例4、已知函数的定义域是a,b,其中a<0<b,且|a|>b,求函数的定义域.解答:∵函数的定义域为a,b,∴a≤x≤b,若使有意义,必须有a≤-x≤b即有-b≤x≤-a.∵a<0<b,且|a|>b,∴a<-b且b<-a.∴的定义域为.点拨:若的定义域为及的定义域分别为A、B,则有借助于数轴分析可求得.3、函数定义域的逆用讲解:已知函数的定义域求解其中参数的取值范围时,若定义域为R时,可采用判别式法,若定义域为R的一个真子集时,可采用分离变量法.例5、已知函数的定义域是R,求实数k的取值范围.解答:①当k=0时,函数,显然它的定义域是R;②当k≠0时,由函数y的定义域为R可知,不等式对一切实数x均成立,因此一定有.解得0<k≤1,∴0≤k≤1.点拨:此题是已知函数y的定义域,据此逆向求解函数中参数k的取值,需要将问题准确转化成不等式问题.例6、半径为R的圆内接等腰梯形ABCD,它的下底AB是⊙O的直径,上底CD的端点在圆周上,写出这个梯形周长y和腰长x的函数关系式,并写出它的定义域.解:如图所示,AB=2R,CD在⊙O在半圆周上.设腰AD=BC=x,作DE⊥AB.垂足为E,连BD.由Rt△ADE∽Rt△ABD,练习:一、选择题1、函数的定义域是A.-2,2 B.{-2,2} C.-∞,-2∪2,+∞ D.-2,22、若函数的定义域为-1,2,则函数的定义域是A. B.-1,2 C.-1,5 D.3、已知函数的定义域为A,的定义域为B,若=.则实数m的取值范围是A.-3,-1 B.-2,4 C.-2,4 D.-1,3二、填空题4、已知函数的定义域为-1,2,那么函数的定义域是__________.5、若函数的定义域为R,则实数m的取值范围是__________.三、解答题6、求下列函数的定义域:①②③y=lga x-2·3x a>0且a≠17、解答下列各题:1已知的定义域为0,1,求及的定义域.2设的定义域是-2,3,求的定义域.8、已知函数的定义域为-1,1,求a>0的定义域.9、设fx=lg,如果当x∈-∞,1时fx有意义,求实数a的取值范围.答案:一.提示:1、得x2=4,x=±2.3、由x2-2x-8≥0得A={x|x≥4或x≤-2}.由1-|x-m|>0得,B={x|m-1<x<1+m},∵.二.4.解析:由得≤x≤1.5.解析:当m=0,,定义域为R,当m≠0,由的定义域为R知抛物线y=mx2+4mx +3与x轴无交点,即Δ=16m2-12m<0,解得.综上可知m∈.6.解:①.②.③∵a x-2·3x>0,∴x>2.当a>3时,此函数的定义域为log2,+∞;当0<a<3且a≠1时,函数定义域为-∞,log 2.当a=3时,函数无意义.7.解:1设的定义域为0,1,∴0≤t≤1.当t=x2,可得0≤x2≤1,∴-1≤x≤1,∴的定义域为-1,1.同理,由得, ∴的定义域是.2∵的定义域是-2,3,∴-2≤x<3-3≤x-1<2,即的定义域是-3,2.由,∴函数的定义域为.8.解:须使和都有意义.使有意义则;使有意义则.当时,,的定义域为;当时,,的定义域为.9.解:由题设可知,不等式1+2x+4x·a>0在x∈-∞,1上恒成立,即2x+x+a>0在x∈-∞,1上恒成立.设t=x,则t≥,又设gt=t2+t+a,其对称轴为t=-.只需g=2++a>0,得a>-,所以a的取值范围是a>-.。
函数定义域的求法练习题含答案学校:__________ 班级:__________ 姓名:__________ 考号:__________1. 函数f(x)=√1−2x+√x+2的定义域为( )A.(−2,0]B.(−2,1]C.(−∞,−2)∪(−2,0]D.(−∞,−2)∪(−2,1]2. 函数f(x)=lg(x−3)+√4−x的定义域为()A.[3,4];B.(3,4];C.(3,4);D.[3,4)3. 函数f(x)=√2−2x+1log3x的定义域为()A.{x|0<x<1}B.{x|x<1}C.{x|0<x≤1}D.{x|x>1}4. 函数f(x)=ln(x−x2)的定义域为()A.(0, 1)B.[0, 1]C.(0, 1]D.[0, 1)5. 已知f(x)的定义域为[−2, 1],函数f(3x−1)的定义域为( )A.(−7, 2)B.(−13,23) C.[−7, 2] D.[−13,23]6. 函数y=√1−3x的定义域为( )A.(0, 1]B.[0, +∞)C.(−1, 0]D.(−∞, 0]7. 已知函数f(x)=ln(x+3)√x−3,则函数f(x)的定义域为()A.(3,+∞)B.(−3,3)C.(−∞,−3)D.(−∞,3)8. 函数f(x)=√x+1的定义域为()A.[−1,5)B.[−1,5]C.(−1,5]D.(−1,5)9. 函数f(x)=1ax2+4ax+3的定义域为(−∞, +∞),则实数a的取值范围是( )A.(−∞, +∞)B.[0,34)C.(34,+∞)D.[0,34]10. 已知函数f(x)的定义域为[−2, 3],则函数g(x)=2√x 2−x−2的定义域为( )A.(−∞, −1)∪(2, +∞)B.[−6, −1)∪(2, 3]C.[−2, −1)∪(2, 3]D.[−√5,−1)∪(2,√5]11. 函数f (x +1)的定义域为[0,1],则f (x 2)的定义域为________.12. 已知函数 f [(12)x]的定义域为[1,2],则函数f (2x )的定义域为________.13. 函数f (x )=ln (x−1)x−2的定义域为________.14. 函数f (x )=√6+x−x 2ln x 的定义域为________.15. 函数f (x )=√x −3的定义域为________.16. 函数y =√4−x 2的定义域是________.17. 若函数f(x −1)的定义域为[−3, 3],则f(x)的定义域为________.18. 函数f(x)=√x −1+lg (3−x)的定义域为________.19. 已知函数f(x)=log 2(2−x)−log 2(2+x). (1)求函数f(x)的定义域;(2)试判断函数f(x)的奇偶性;(3)求不等式f(x)>1的解集.20. 求下列函数的定义域.(1)f(x)=√√3−2cos x;(2)f(x)=1.1−tan x21. 求下列函数的定义域.(1)f(x)=√3x+6;x−1(2)f(x)=√|x|−2+(x−3)0.22. 求下列函数的定义域:(1)f(x)=6;x2−3x+2(2)f(x)=√4−x.x−123. 设函数f(x)=√3−x+√x的定义域为集合M,函数g(x)=x2−2x+2.(1)求函数g(x)在x∈M时的值域;(2)若对于任意x∈R都有g(x)≥mx−2成立,求实数m的取值范围.24. 已知函数f(x)=√(x+1)(x−2)的定义域为集合A,B={x|x<a或x>a+1}.(1)求集合A;(2)若A⊆B,求实数a的取值范围.25. 设全集为R,函数f(x)=√−2x2+5x+3的定义域为A,集合B={x|x2+a<0}.(1)当a=−4时,求A∪B;(2)若A∩B=B,求实数a的取值范围.参考答案与试题解析 函数定义域的求法练习题含答案一、 选择题 (本题共计 10 小题 ,每题 3 分 ,共计30分 ) 1.【答案】 A【考点】函数的定义域及其求法 【解析】本题主要考查函数定义域问题,根据定义域的要求进行求解即可 【解答】解:由{1−2x ≥0,x +2>0,解得−2<x ≤0, 所以函数f (x )=√1−2x √x+2的定义域为(−2,0].故选A . 2.【答案】 C【考点】函数的定义域及其求法 【解析】 此题暂无解析 【解答】 略 3.【答案】 A【考点】函数的定义域及其求法 【解析】根据函数成立的条件即可求函数的定义域. 【解答】解:要使函数有意义,则{2−2x ≥0,log 3x ≠0,x >0,即{x ≤1,x ≠1,x >0,得0<x <1,即函数的定义域为{x|0<x <1},故选A . 4. 【答案】 A【考点】函数的定义域及其求法【解析】根据对数函数的性质,求出函数的定义域即可.【解答】解:由题意得x−x2>0,即x(x−1)<0,解得0<x<1,故函数的定义域是(0, 1).故选A.5.【答案】D【考点】函数的定义域及其求法【解析】根据函数定义域的求法,直接解不等式−2≤3x−1≤1,即可求函数y=f(3x−1)的定义域.【解答】解:∵函数y=f(x)的定义域为[−2, 1],∴−2≤3x−1≤1,解得:−13≤x≤23,即x∈[−13, 23],故函数y=f(3x−1)的定义域为[−13, 2 3 ].故选D.6.【答案】D【考点】函数的定义域及其求法【解析】利用函数定义域的求法求函数的定义域.【解答】解:要使函数有意义,则有1−3x≥0,即3x≤1,所以x≤0,故函数的定义域为(−∞, 0].故选D.7.【答案】A【考点】函数的定义域及其求法【解析】无【解答】解:要使函数f(x)=ln(x+3)√x−3有意义,则有{x +3>0,x −3>0,解得x >3,所以函数f (x )的定义域为(3,+∞). 故选A . 8. 【答案】 D【考点】函数的定义域及其求法 【解析】 此题暂无解析 【解答】解:由题可知,{−3x +15>0,x +1>0,解得−1<x <5. 故选D . 9.【答案】 B【考点】与二次函数相关的复合函数问题 函数的定义域及其求法【解析】根据函数的定义域的定义,即ax 2+4ax +3≠0的解集为R ,即方程ax 2+4ax +3=0无解,根据二次函数的性质,即可得到 答案. 【解答】解:由题意,函数的定义域为(−∞,+∞), 即ax 2+4ax +3≠0的解集为R , 即方程ax 2+4ax +3=0无解.当a =0时,3=0,此时无解,符合题意; 当a ≠0时,Δ=(4a )2−4a ×3<0, 即16a 2−12a <0,所以0<a <34. 综上可得,实数a 的取值范围是[0,34). 故选B . 10. 【答案】 D【考点】函数的定义域及其求法 【解析】根据f(x)的定义域即可得出,要使得函数g(x)有意义,则需满足{−2≤3−x 2≤3x 2−x −2>0,解出x 的范围即可. 【解答】解:∵ f(x)的定义域为[−2, 3],∴ 要使g(x)有意义,则{−2≤3−x 2≤3,x 2−x −2>0,解得−√5≤x <−1或2<x ≤√5,∴ g(x)的定义域为[−√5,−1)∪(2,√5]. 故选D .二、 填空题 (本题共计 8 小题 ,每题 3 分 ,共计24分 ) 11.【答案】[−√2,−1]∪[1,√2] 【考点】函数的定义域及其求法 【解析】 此题暂无解析 【解答】解:∵ f (x +1)的定义域为[0,1], 即0≤x ≤1, ∴ 1≤x +1≤2.∵ f (x +1)与f (x 2)是同一个对应关系f , ∴ x 2与x +1的取值范围相同, 即1≤x 2≤2,整理,得x 2−2≤0,x 2−1≥0, 解得−√2≤x ≤√2,x ≥1或x ≤−1, ∴ −√2≤x ≤−1,1≤x ≤√2,∴ f (x 2)的定义域为[−√2,−1]∪[1,√2]. 故答案为:[−√2,−1]∪[1,√2]. 12.【答案】 [−2,−1] 【考点】抽象函数及其应用 函数的定义域及其求法 【解析】由题意可知x ∈[1,2],(12)x∈[12,14],故有2x ∈[12,14],解得x 的范围,可得函数f (2x )的定义域. 【解答】解:∵ 函数f [(12)x]的定义域为[1,2], 即x ∈[1,2], ∴ (12)x∈[14,12], ∴ 2x ∈[14,12], 解得x ∈[−2,−1],∴ 函数f (2x )的定义域为[−2,−1]. 故答案为:[−2,−1]. 13.【答案】(1,2)∪(2,+∞) 【考点】函数的定义域及其求法 【解析】由条件可得{x −2≠0x −1>0,求解即可.【解答】解:要使函数有意义, 则{x −2≠0,x −1>0,解得1<x <2或x >2,即函数的定义域为(1,2)∪(2,+∞). 故答案为:(1,2)∪(2,+∞). 14.【答案】 (0,1)∪(1,3] 【考点】函数的定义域及其求法 【解析】根据二次根式的被开方数为非负数,分母不为零,对数的真数大于零,列不等式组求解即可. 【解答】解:要使函数有意义,则6+x −x 2≥0且ln x ≠0且x >0, 解得x ∈(0,1)∪(1,3]. 故答案为:(0,1)∪(1,3]. 15.【答案】 {x|x ≥3} 【考点】函数的定义域及其求法 【解析】 此题暂无解析 【解答】解:由题意得x −3≥0,解得x ≥3.故函数f (x )=√x −3的定义域为{x|x ≥3}. 故答案为:{x|x ≥3}. 16. 【答案】 (−1,2) 【考点】函数的定义域及其求法 对数函数的定义域 【解析】 此题暂无解析 【解答】解:由题意得{4−x 2>0,x +1>0,解得−1<x <2,∴ 函数y =√4−x 2的定义域是(−1,2).故答案为:(−1,2). 17.【答案】 [−4, 2] 【考点】函数的定义域及其求法 【解析】f(x −1)的定义域为[−3, 3],是指的x 的范围是[−3, 3],由此求出x −1的范围得到f(x)的定义域. 【解答】解:∵ f(x −1)的定义域为[−3, 3],即−3≤x ≤3. ∴ −4≤x −1≤2,即函数f(x)定义域为[−4, 2]. 故答案为:[−4, 2]. 18.【答案】 [1,3) 【考点】函数的定义域及其求法 【解析】由根式内部的代数式大于等于0,对数式的真数大于0联立不等式组得答案. 【解答】解:∵ f(x)=√x −1+lg (3−x), ∴ {x −1≥0,3−x >0,解得1≤x <3,∴ 函数f(x)=√x −1+lg (3−x)的定义域为[1, 3). 故答案为:[1,3).三、 解答题 (本题共计 7 小题 ,每题 10 分 ,共计70分 ) 19.【答案】解:(1)∵ f(x)=log 2(2−x)−log 2(2+x), ∴ {2−x >0,2+x >0,解得−2<x <2,∴ f(x)的定义域是(−2, 2);(2)∵ 函数f (x )的定义域为(−2,2).且f(−x)=log 2(2+x)−log 2(2−x) =−[log 2(2−x)−log 2(2+x)] =−f(x),∴ f(x)是定义域(−2, 2)上的奇函数; (3)∵ f(x)=log 2(2−x)−log 2(2+x)=log 22−x 2+x>1,∴ {−2<x <2,2−x 2+x>2,解得−2<x <−23∴ 不等式f(x)>1的解集是(−2, −23). 【考点】函数的定义域及其求法 函数单调性的判断与证明 指、对数不等式的解法【解析】(1)根据对数函数的定义,列出关于自变量x 的不等式组,求出f(x)的定义域; (2)由函数奇偶性的定义,判定f(x)在定义域上的奇偶性;(3)化简f(x),根据对数函数的单调性以及定义域,求出不等式f(x)>1的解集. 【解答】解:(1)∵ f(x)=log 2(2−x)−log 2(2+x), ∴ {2−x >0,2+x >0,解得−2<x <2,∴ f(x)的定义域是(−2, 2);(2)∵ 函数f (x )的定义域为(−2,2). 且f(−x)=log 2(2+x)−log 2(2−x) =−[log 2(2−x)−log 2(2+x)] =−f(x),∴ f(x)是定义域(−2, 2)上的奇函数; (3)∵ f(x)=log 2(2−x)−log 2(2+x)=log 22−x 2+x>1,∴ {−2<x <2,2−x 2+x >2,解得−2<x <−23∴ 不等式f(x)>1的解集是(−2, −23).20. 【答案】解:(1)由被开方数为非负数可得√3−2cos x ≥0, 解得cos x ≤√32,所以π6+2kπ≤x ≤11π6+2kπ,k ∈Z , 所以f (x )的定义域为[π6+2kπ,11π6+2kπ] k ∈Z .(2)由分式的分母不为零且正切函数中x ≠π2+kπ,k ∈Z ,可得1−tan x ≠0且x ≠π2+kπ,解得x ≠π4+kπ且x ≠π2+kπ,k ∈Z . 所以f (x )的定义域为{x|x ≠π2+kπ且x ≠π4+kπ,k ∈Z}.【考点】函数的定义域及其求法【解析】此题暂无解析【解答】解:(1)由被开方数为非负数可得√3−2cos x ≥0,解得cos x ≤√32, 所以π6+2kπ≤x ≤11π6+2kπ,k ∈Z , 所以f (x )的定义域为[π6+2kπ,11π6+2kπ] k ∈Z .(2)由分式的分母不为零且正切函数中x ≠π2+kπ,k ∈Z ,可得1−tan x ≠0且x ≠π2+kπ, 解得x ≠π4+kπ且x ≠π2+kπ,k ∈Z .所以f (x )的定义域为{x|x ≠π2+kπ且x ≠π4+kπ,k ∈Z}.21.【答案】解:(1)由题意得:{3x +6≥0,x −1≠0,解得x ≥−2且x ≠−1,所以函数f (x )的定义域为{x ∣x ≥−2且x ≠1}.(2)由题意得:{|x |−2≥0,x −3≠0,解得x <−2或x >2且x ≠3,故f (x )的定义域为{x ∣x <−2或x >2且x ≠3}.【考点】函数的定义域及其求法【解析】(1)由分母不为零,偶次根式底数为非负数,构造不等式组即可解出.(2)由偶次根式底数为非负数,零指数幂底数不为零,构造不等式组即可解出.【解答】解:(1)由题意得:{3x +6≥0,x −1≠0,解得x ≥−2且x ≠−1,所以函数f (x )的定义域为{x ∣x ≥−2且x ≠1}.(2)由题意得:{|x |−2≥0,x −3≠0,解得x <−2或x >2且x ≠3,故f (x )的定义域为{x ∣x <−2或x >2且x ≠3}.22.【答案】(1)∵ f(x)=6x 2−3x+2,∴ x 2−3x +2≠0,解得x ≠1且x ≠2,∴ f(x)的定义域为(−∞,1)∪(1,2)∪(2,+∞).(2)∵ f(x)=√4−x x−1, ∴ {4−x ≥0,x −1≠0,解得x ≤4且x ≠1,∴ f(x)的定义域为(−∞,1)∪(1,4].【考点】函数的定义域及其求法【解析】;.【解答】(1)∵ f(x)=6x 2−3x+2,∴ x 2−3x +2≠0,解得x ≠1且x ≠2,∴ f(x)的定义域为(−∞,1)∪(1,2)∪(2,+∞).(2)∵ f(x)=√4−x x−1, ∴ {4−x ≥0,x −1≠0,解得x ≤4且x ≠1,∴ f(x)的定义域为(−∞,1)∪(1,4].23.【答案】解:(1)由{3−x ≥0,x ≥0得{x ≤3,x ≥0, 所以M ={x|0≤x ≤3}.因为g (x )=x 2−2x +2=(x −1)2+1,x ∈[0,3],所以g (x )max =g (3)=5,g (x )min =g (1)=1,所以函数g (x )在x ∈M 时的值域为[1,5].(2)由任意x ∈R 都有g (x )≥mx −2成立得,x 2−(m +2)x +4≥0对x ∈R 恒成立,所以Δ=(m +2)2−16≤0,解得−6≤m ≤2,所以实数m 的取值范围为[−6,2].【考点】函数的值域及其求法函数的定义域及其求法一元二次不等式的解法【解析】(1)答案未提供解析.(2)答案未提供解析.【解答】解:(1)由{3−x ≥0,x ≥0得{x ≤3,x ≥0, 所以M ={x|0≤x ≤3}.因为g (x )=x 2−2x +2=(x −1)2+1,x ∈[0,3],所以g (x )max =g (3)=5,g (x )min =g (1)=1,所以函数g (x )在x ∈M 时的值域为[1,5].(2)由任意x ∈R 都有g (x )≥mx −2成立得,x 2−(m +2)x +4≥0对x ∈R 恒成立,所以Δ=(m +2)2−16≤0,解得−6≤m ≤2,所以实数m 的取值范围为[−6,2].24.【答案】解:(1)由(x +1)(x −2)≥0得:x ≤−1或x ≥2,所以A =(−∞, −1]∪[2, +∞).(2)A =(−∞, −1]∪[2, +∞),B ={x|x <a 或x >a +1},因为A ⊆B ,所以{a >−1,a +1<2,解得:−1<a <1,所以实数a 的取值范围是(−1, 1).【考点】集合关系中的参数取值问题一元二次不等式的解法函数的定义域及其求法【解析】(1)根据题目中使函数有意义的x的值解分式不等式求得函数的定义域A;(2)由若A⊆B,根据两个集合端点值之间的关系列不等式组求解a的取值范围.【解答】解:(1)由(x+1)(x−2)≥0得:x≤−1或x≥2,所以A=(−∞, −1]∪[2, +∞).(2)A=(−∞, −1]∪[2, +∞),B={x|x<a或x>a+1},因为A⊆B,所以{a>−1,a+1<2,解得:−1<a<1,所以实数a的取值范围是(−1, 1).25.【答案】解:(1)由−2x2+5x+3≥0,解得:−12≤x≤3,故A=[−12, 3],当a=−4时,x2−4<0,解得:−2<x<2,故B=(−2, 2),故A∪B=(−2, 3];(2)若A∩B=B,则B⊆A,①当a<0时,(−√−a, √−a)⊆[−12, 3],即−14≤a<0;②当a≥0时,B为⌀,符合题意.∴a∈[−14, +∞).【考点】函数的定义域及其求法并集及其运算集合的包含关系判断及应用【解析】(1)解不等式分别求出集合A、B,求出A、B的交集即可;(2)根据A、B的包含关系,得到关于a的不等式,解出即可.【解答】解:(1)由−2x2+5x+3≥0,解得:−12≤x≤3,故A=[−12, 3],当a=−4时,x2−4<0,解得:−2<x<2,故B=(−2, 2),故A∪B=(−2, 3];(2)若A∩B=B,则B⊆A,, 3],①当a<0时,(−√−a, √−a)⊆[−12≤a<0;即−14②当a≥0时,B为⌀,符合题意.∴a∈[−1, +∞).4。
定义域试题及答案1. 已知函数 \( f(x) = \frac{1}{x^2 - 4} \),请找出该函数的定义域。
答案:函数 \( f(x) \) 的定义域是除了 \( x = \pm 2 \) 以外的所有实数。
因为当 \( x = \pm 2 \) 时,分母为零,函数无定义。
2. 函数 \( g(x) = \sqrt{2x - 3} \) 的定义域是什么?答案:函数 \( g(x) \) 的定义域是 \( x \geq \frac{3}{2} \)。
因为根号下的表达式必须非负,所以 \( 2x - 3 \geq 0 \)。
3. 确定函数 \( h(x) = \log_2(x - 1) \) 的定义域。
答案:函数 \( h(x) \) 的定义域是 \( x > 1 \)。
因为对数函数的自变量必须大于零,所以 \( x - 1 > 0 \)。
4. 函数 \( p(x) = \frac{x^2 - 9}{x^2 - 6x + 9} \) 的定义域是什么?答案:函数 \( p(x) \) 的定义域是所有实数,除了 \( x = 3 \)。
因为分母 \( x^2 - 6x + 9 \) 可以分解为 \( (x - 3)^2 \),当 \( x = 3 \) 时分母为零。
5. 求函数 \( q(x) = \frac{\sin(x)}{x} \) 在 \( x = 0 \) 处的定义域。
答案:函数 \( q(x) \) 在 \( x = 0 \) 处的定义域是 \( x \neq 0 \)。
因为 \( x = 0 \) 时分母为零,所以 \( x = 0 \) 不在定义域内。
6. 函数 \( r(x) = \sqrt[3]{x^3 - 8} \) 的定义域是什么?答案:函数 \( r(x) \) 的定义域是所有实数。
因为立方根函数对所有实数都有定义。
7. 确定函数 \( s(x) = \frac{1}{x - 1} + 2 \) 的定义域。
函数的定义域、值域1.函数y=xx x +-)1(的定义域为 (A.{x|x ≥0}B.{x|x ≥1}C.{x|x ≥1}∪{0}D.{x|0≤x ≤1}答案C2.函数f(x)=3x (0<x ≤2) )A.(0,+∞)B.(1,9C.(0,1)D.[9,+∞)答案B14.设f(x)=lg xx -+22,则f )2()2(xf x +的定义域为 (A.(-4,0)∪(0,4)B.(-4,-1)∪(1,4)C.(-2,-1)∪(1,2)D.(-4,-2)∪(2,4)答案B11.若函数f(x)的定义域是[0,1],则f(x+a)·f(x-a)(0<a <21)的定义域是 (A.∅B.[a ,1-aC.[-a ,1+aD.[0,1答案B17.函数f(x)=)1(log 1|2|2---x x 的定义域为答案 [3,+18.若函数y=lg(4-a ·2x )的定义域为R ,则实数a 的取值范围为答案 a ≤7.设函数y=f(x)的定义域为[0,1],求下列函数的定义域.(1)y=f(3x); (2)y=f(x1);(3)y=f()31()31-++x f x ;(4)y=f(x+a)+f(x-a).解 (1)0≤3x ≤1,故0≤x ≤31, y=f(3x)的定义域为[0, 31].(2)仿(1)解得定义域为[1,+∞).(3)由条件,y 的定义域是f )31(+x 与)31(-x 定义域的交集.列出不等式组,32313431323113101310≤≤⇒⎪⎪⎩⎪⎪⎨⎧≤≤≤≤-⇒⎪⎪⎩⎪⎪⎨⎧≤-≤≤+≤x x x x x故y=f )31()31(-++x f x 的定义域为⎥⎦⎤⎢⎣⎡32,31.(4)由条件得,111010⎩⎨⎧+≤≤-≤≤-⇒⎩⎨⎧≤-≤≤+≤ax a ax a a x ax①当⎩⎨⎧+≤--≤,11,1a a a a 即0≤a ≤21时,定义域为[a,1-a ]; ②当⎩⎨⎧+≤--≤,1,a a a a 即-21≤a ≤0时,定义域为[-a,1+a ].综上所述:当0≤a ≤21时,定义域为[a ,1-a当-21≤a ≤0时,定义域为[-a ,1+a ].10.(1)y=212)2lg(x x x -+-+(x-1)0; (2)y=)34lg(2+x x +(5x-4)0;(3)y=225x -+lgcosx; (4)y=lg(a x -k ·2x ) (a >0).解 (1)由⎪⎩⎪⎨⎧≠->-+>-01,012022x x x x 得⎪⎩⎪⎨⎧≠<<-<1,432x xx所以-3<x <2且x ≠ 1.故所求函数的定义域为(-3,1)∪(1,2).(2)由⎪⎩⎪⎨⎧≠-≠+>+045,134034x x x 得⎪⎪⎪⎩⎪⎪⎪⎨⎧≠-≠->54,2143x xx∴函数的定义域为).,54()54,21(21,43+∞-⎪⎭⎫ ⎝⎛--(3)由⎩⎨⎧>≥-0cos 0252x x ,得,)(222255⎪⎩⎪⎨⎧∈+<<-≤≤-Z k k x k x ππππ.5,23)2,2(23,5⎥⎦⎤ ⎝⎛-⎪⎭⎫⎢⎣⎡--ππππ (4)由a x -k ·2x >0)2(a ⇔x >k (a >0).若k ≤0,∵(2a )x >0,∴x ∈R .若k >0,则当2a >1,即a >2函数的定义域为{x|x >log 2ak};当0<2a <1,即0<a <2函数的定义域为{x|x <log 2a k};当2a =1,即a=2则有1x >k ,若0<k <1,则函数的定义域为R若k ≥1,则x ∈∅,即原式无意义. 19.(1)求函数f(x)=229)2(1x x xg --(2)已知函数f(2x )的定义域是[-1,1],求f(log 2x)的定义域.解 (1,3302,090222⎩⎨⎧<<-<>⎩⎨⎧>->-x x x x x x 或即解得-3<x <0或2<x <3.故函数的定义域是(-3,0)∪(2,3).(2)∵y=f(2x )的定义域是[-1,1],即-1≤x ≤1,∴21≤2x ≤2.∴函数y=f(log 2x)中21≤log 2x ≤2.即log 22≤log 2x ≤log 24,∴2≤x ≤4.故函数f(log 2x)的定义域为[2,4]2.若函数f(x)=loga (x+1)(a >0且a ≠1)的定义域和值域都是[0,1],则a 等于 (A.31 B.2 C.22 D.2答案D4.函数y=xx 1-的值域是 (A.⎥⎦⎤⎢⎣⎡-21,21 B.⎥⎦⎤⎢⎣⎡21,0 C.[0,1D.[0,+答案B5.若函数y=x 2-3x-4的定义域为[0,m ],值域为⎥⎦⎤⎢⎣⎡--4,425,则m 的取值范围是 (A.⎪⎭⎫⎝⎛3,23 B.⎥⎦⎤⎢⎣⎡3,23 C.(0,3D.⎪⎭⎫⎢⎣⎡3,23答案B15.设f(x)=⎩⎨⎧<≥,1||,,1||,2x x x x g(x)是二次函数,若f(g(x))的值域是[0,+∞),则g(x )的值域是 ( )A.(-∞,-1]∪[1,+B.(-∞,-1]∪[0,+C.[0,+D.[1,+答案C16.定义域为R 的函数y=f(x)的值域为[a ,b ],则函数y=f(x+a)的值域为 ( )A.[2a ,a+b ]B.[a ,b ]C.[0,b-aD.[-a ,a+b答案B8.(1)y=;122+--x x xx (2)y=x-x21-; (3)y=1e 1e +-x x .解 (1)方法一∵y=1-,112+-x x 而,4343)21(122≥+-=+-x x x∴0<,34112≤+-x x ∴.131<≤-y ∴值域为⎪⎭⎫⎢⎣⎡-1,31. 方法二 (判别式法) 由y=,122+--x x xx 得(y-1).0)1(2=+-+y x y x∵y=1时,≠∴∅∈y x , 1.又∵∈x R ,∴必须∆=(1-y)2-4y(y-1)≥0.∴.131≤≤-y ∵,1≠y ∴函数的值域为⎪⎭⎫⎢⎣⎡-1,31.22222222 (2)方法一定义域⎭⎬⎫⎩⎨⎧≤21|x x ,函数y=x,y=-x21-均在⎥⎦⎤ ⎝⎛∞-21,上递增,故y ≤.21212121=⨯--∴函数的值域为⎥⎦⎤⎝⎛∞-21,.方法二令x21-=t,则t ≥0,且x=.212t - ∴y=-21(t+1)2+1≤21(t ≥0),∴y ∈(-∞,21].(3)由y=1e 1e+-xx 得,e x =.11yy -+∵e x >0,即yy -+11>0,解得-1<y <1.∴函数的值域为{y|-1<y <1}.12.(1)y=521+-x x; (2)y=|x|21x -.解(1)(分离常数法)y=-)52(2721++x ,∵)52(27+x ≠0, ∴y ≠-21.故函数的值域是{y|y ∈R ,且y ≠-21}.(2)方法一 (换元法)∵1-x 2≥0,令x=sin α,则有y=|sin αcos α|=21|sin2α|,故函数值域为[0,21].方法二 y=|x|·,41)21(122242+--=+-=-x x x x∴0≤y ≤,21即函数的值域为⎥⎦⎤⎢⎣⎡21,0.9.若函数f (x )=21x 2-x+a 的定义域和值域均为[1,b ](b >1),求a 、b 的值.解 ∵f (x )=21(x-1)2+a-21 2∴其对称轴为x=1,即[1,b ]为f (x )的单调递增区间 4∴f (x )min =f (1)=a-21=1 ① 6f (x )max =f (b )=21b 2-b+a=b ② 8分由①②解得⎪⎩⎪⎨⎧==.3,23b a 12分13.已知函数f(x)=x 2-4ax+2a+6 (x ∈R ). (1)求函数的值域为[0,+∞)时的a(2)若函数的值均为非负值,求函数f(a)=2-a|a+3|的值域.解 (1)∵函数的值域为[0,+∞),∴Δ=16a 2-4(2a+6)=0⇒2a 2-a-3=0∴a=-1或a=23.(2)对一切x ∈R ,函数值均非负,∴Δ=8(2a 2-a-3)≤0⇒-1≤a ≤23,∴a+3>0,∴f(a)=2-a(a+3)=-a 2-3a+2=-(a+23)2+417(a ⎥⎦⎤⎢⎣⎡-∈23,1).∵二次函数f(a)在⎥⎦⎤⎢⎣⎡-23,1上单调递减,∴f (a )min =f )23(=-419,f (a )max =f (-1)=4,∴f(a)的值域为⎥⎦⎤⎢⎣⎡-4,419.20.已知二次函数f(x )的二次项系数为a,且不等式f(x)>-2x 的解集为(1,3).(1)若方程f(x)+6a=0有两个相等的根,求f(x)(2)若f(x)的最大值为正数,求a 的取值范围.解 (1)∵f (x )+2x >0的解集为(1,3 则可令f(x)+2x=a(x-1)(x-3),且a <0,f(x)=a(x-1)(x-3)-2x=ax 2-(2+4a)x+3①由方程 f(x)+6a=0得 ax 2-(2+4a)x+9a=0,②∴Δ=[-(2+4a )]2-4a ·9a=0,即5a 2-4a-1=0,解得a=1或a=-51.由于a <0,舍去a=1.将a=-51代入①式,得f(x)f(x)=- 51x 2-56x-53.(2)由f(x)=ax 2-2(1+2a)x+3a=a aa a aa x 14)21(22++-+-,及a <0,可得f(x)的最大值为-,142a a a ++由⎪⎩⎪⎨⎧<>++-,0,0142a a a a解得a <-2-3或-2+3<a <0.故当f(x)的最大值为正数时,实数a 的取值范围是(-∞,-2-3)∪(-2+3,0).函数的单调性与最大(小)值1.已知函数y=f(x)是定义在R 上的增函数,则下列对f(x)=0的根说法不正确的是 (填序号) ①有且只有一个 ②有2答案 ①②2.已知函数f (x )在区间[a ,b ]上单调,且f (a )·f (b )<0,则下列对方程f (x )=0在区间[a ,b ]上根的分布情况的判断有误的是 (填序号). ①至少有一实根 ②至多有一实根 ③没有实根 ④必有惟一的实根 答案 ①③2. 已知f(x)是R 上的增函数,若令F (x )=f (1-x )-f (1+x ),则F (x )是R 上的 函数(用“增”、“减”填空). 答案 减3.若函数f(x)=x 2+(a 2-4a+1)x+2在区间(-∞,1]上是减函数,则a 的取值范围是 . 答案 [1,3]4.若函数f(x)是定义在(0,+∞)上的增函数,且对一切x >0,y >0满足f(xy)=f(x)+f(y),则不等式f(x+6)+f(x)<2f(4)的解集为 . 答案 (0,2)5.已知函数f(x)=x 2-2x+3在闭区间[0,m ]上最大值为3,最小值为2,则m 的取值范围为 . 答案 [1,2]1.函数f(x)=ln(4+3x-x 2)的单调递减区间是 . 答案 [23,43.函数y=lg(x 2+2x+m)的值域是R ,则m 的取值范围是 . 答案 m ≤14.函数f(x)(x ∈R )的图象如下图所示,则函数g(x)=f(log a x) (0<a <1)的单调减区间是 . 答案 [a,1]5.已知f(x)=⎩⎨⎧≥<+-)1(log )1(4)13(x x x a x a a 是(-∞,+∞)上的减函数,那么a 的取值范围是 .答案 [71,31)6.若函数f(x)=(m-1)x 2+mx+3 (x ∈R )是偶函数,则f(x)的单调减区间是 .答案 [0,+∞)7.已知y=f(x)是定义在(-2,2)上的增函数,若f(m-1)<f(1-2m),则m 的取值范围是 答案 (-)32,21例1已知函数f(x)=a x +12+-x x (a >1).证明:函数f(x)在(-1,+∞)上为增函数. 证明 方法一 任取x 1,x 2∈(-1,+∞),不妨设x 1<x 2,则x 2-x 1>0,12x x a ->1且a 1x >0, ∴a ,0)1(12112>-=--x x x x x a a a 又∵x 1+1>0,x 2+1>0, ∴)1)(1()(3)1)(1()1)(2()1)(2(121221122*********++-=+++--+-=+--+-x x x x x x x x x x x x x x >0,于是f(x 2)-f(x 1)=a 12x x a -+12121122+--+-x x x x >0,故函数f(x)在(-1,+∞)上为增函数.方法二 f(x)=a x +1-13+x (a >1),求导数得f ′(x)=a x lna+2)1(3+x ,∵a >1,∴当x >-1时,a x lna >0,2)1(3+x >0,f ′(x)>0在(-1,+∞)上恒成立,则f(x)在(-1,+∞)上为增函数.方法三 ∵a >1,∴y=ax又y=13112+-+=+-x x x ,在(-1,+∞)上也是增函数.∴y=a x +12+-x x 在(-1,+∞)上为增函数.例2判断函数f(x)=12-x 在定义域上的单调性.解 函数的定义域为{x|x ≤-1或x ≥1},则f(x)=12-x ,可分解成两个简单函数.f(x)=)(,)(x u x u =x2-1的形式.当x ≥1时,u(x)为增函数,)(x u 为增函数.∴f (x )=12-x 在[1,+∞)上为增函数.当x ≤-1时,u (x)为减函数,)(xu∴f(x)=12-x 在(-∞,-1]上为减函数.9.已知f(x)在定义域(0,+∞)上为增函数,且满足f(xy)=f(x)+f(y),f(3)=1,试解不等式f(x)+f(x-8)≤2.解 根据题意,由f(3)=1,得f(9)=f(3)+f(3)=2.又f(x)+f(x-8)=f [x(x-8)],故f [x(x-8)]≤f(9).∵f (x )在定义域(0,+∞)上为增函数,∴⎪⎩⎪⎨⎧≤->->,9)8(080x x x x ,,解得8<x ≤9.10.函数f(x)对任意的实数m 、n 有f(m+n)=f(m)+f(n),且当x >0时有f(x)>0.(1)求证:f(x)在(-∞,+∞)(2)若f(1)=1,解不等式f [log 2(x 2-x-2)]<2.(1)证明 设x 2>x 1,则x 2-x 1>0.∵f(x 2)-f(x 1)=f(x 2-x 1+x 1)-f(x 1)=f(x 2-x 1)+f(x 1)-f(x 1)=f(x 2-x 1)>0, ∴f(x 2)>f(x 1),f(x)在(-∞,+∞)上为增函数. (2)解 ∵f(1)=1,∴2=1+1=f(1)+f(1)=f(2).又f [log 2(x 2-x-2)]<2,∴f [log 2(x 2-x-2)]<f(2).∴log 2(x2-x-2)<2,于是⎪⎩⎪⎨⎧<-->--.060222x x x x ,∴⎩⎨⎧<<->-<,32,21x x x 或即-2<x <-1或2<x <3.∴原不等式的解集为{x|-2<x <-1或2<x <3}.例4函数f(x)对任意的a 、b ∈R ,都有f(a+b)=f(a)+f(b)-1,并且当x >0时,f(x)> 1. (1)求证:f(x)是R(2)若f(4)=5,解不等式f(3m 2-m-2)<3.解 (1)设x 1,x 2∈R ,且x 1<x 2,则x 2-x 1>0,∴f(x 2-x 1)>1. 2f(x 2)-f(x 1)=f((x 2-x 1)+x 1)-f(x 1)=f(x 2-x 1)+f(x 1)-1-f(x 1)=f(x 2-x 1)-1>0. 5分 ∴f (x 2)>f(x 1).即f(x)是R 上的增函数. 7分(2)∵f (4)=f (2+2)=f (2)+f (2)-1=5∴f (2)=3, 10分∴原不等式可化为f(3m 2-m-2)<f(2),∵f(x)是R 上的增函数,∴3m 2-m-2<2, 12分解得-1<m <34,故解集为(-1, 34).2.求函数y=21log (4x-x 2)的单调区间.解 由4x-x 2>0,得函数的定义域是(0,4).令t=4x-x 2,则y= 21log t.∵t=4x-x 2=-(x-2)2+4,∴t=4x-x 2的单调减区间是[2,4),增区间是(0,2]. 又y=21log t 在(0,+∞)上是减函数,∴函数y=21log (4x-x 2)的单调减区间是(0,2],单调增区间是[2,4).4.已知定义在区间(0,+∞)上的函数f(x)满足f()21x x =f(x 1)-f(x 2),且当x >1时,f(x)<0. (1)求f(1)(2)判断f(x(3)若f(3)=-1,解不等式f(|x|)<-2.解 (1)令x 1=x 2>0,代入得f(1)=f(x 1)-f(x 1)=0,故f(1)=0.(2)任取x 1,x 2∈(0,+∞),且x 1>x 2,则21x x >1,由于当x >1时,f(x)<0,所以f )(21x x <0,即f(x 1)-f(x 2)<0,因此f(x 1)<f(x 2),所以函数f(x)在区间(0,+∞)上是单调递减函数.(3)由f(21x x )=f(x 1)-f(x 2)f()39=f(9)-f(3),而f(3)=-1,所以f(9)=-2.由于函数f(x)在区间(0,+由f(|x|)<f(9),得|x|>9,∴x >9或x <-9.因此不等式的解集为{x|x >9或x <-9}. 12.已知函数y=f(x)对任意x,y ∈R 均有f(x)+f(y)=f(x+y),且当x >0时,f(x)<0,f(1)=- 32.(1)判断并证明f(x)在R(2)求f(x)在[-3,3]上的最值. 解 (1)f(x)在R令x=y=0,f(0)=0,令x=-y 可得:f(-x)=-f(x),在R 上任取x 1<x 2,则x 2-x 1>0,∴f(x 2)-f(x 1)=f(x 2)+f(-x 1)=f(x 2-x 1).又∵x >0时,f(x)<0,∴f(x 2-x 1)<0,即f(x 2)<f(x 1).由定义可知f(x)在R 上为单调递减函数.(2)∵f(x)在R∴f (x )在[-3,3]上也是减函数.∴f (-3)最大,f(3)最小.f(3)=f(2)+f(1)=f(1)+f(1)+f(1)=3×(-)32=-2.∴f(-3)=-f(3)=2.即f(x)在[-3,3]上最大值为2,最小值为-2. 例3(1)y=4-223x x -+;(2)y=2x-x21-;(3)y=x+x4;(4)y=4)2(122+-++x x .解 (1)由3+2x-x 2≥0得函数定义域为[-1,3],又t=3+2x-x 2=4-(x-1)2.∴t ∈[0,4],t∈[0,2],从而,当x=1时,y min =2,当x=-1或x=3时,y max =4.故值域为[2,4].(2) 方法一 令x21-=t(t ≥0),则x=212t -.∴y=1-t 2-t=-(t+)212+45.∵二次函数对称轴为t=-21,∴在[0,+∞)上y=-(t+)212+45故y max =-(0+)212+45=1.故函数有最大值1,无最小值,其值域为(-∞,1].方法二 ∵y=2x 与y=-x21-均为定义域上的增函数,∴y=2x-x21-是定义域为{x|x ≤21}上的增函数,故y max =2×212121⨯--=1,无最小值.故函数的值域为(-∞,1].(3)方法一 函数y=x+x4是定义域为{x|x ≠0}上的奇函数,故其图象关于原点对称,故只讨论x >0时,即可知x <0时的最值.∴当x >0时,y=x+x4≥2xx 4⋅=4,等号当且仅当x=2时取得.当x <0时,y ≤-4,等号当且仅当x=-2时取得. 综上函数的值域为(-∞,-4]∪[4,+∞),无最值.方法二 任取x 1,x 2,且x 1<x 2,因为f(x 1)-f(x 2)=x 1+14x -(x 2+24x )=,)4)((212121x x x x x x --所以当x ≤-2或x ≥2时,f(x)递增,当-2<x <0或0<x <2时,f(x)递减.故x=-2时,f(x)最大值=f(-2)=-4,x=2时,f(x)最小值=f(2)=4,所以所求函数的值域为(-∞,-4]∪[4,+∞),无最大(小)值.(4y=2222)20()2()10()0(++-+-+-x x ,可视为动点M (x,0)与定点A (0,1)、B (2,-2)距离之和,连结AB ,则直线AB 与x 轴的交点(横坐标)即为所求的最小值点.y min =|AB|=13)21()20(22=++-,可求得x=32时,y min =13.显然无最大值.故值域为[13,+∞). 1.讨论函数f (x )=x+xa (a >0)的单调性.解 方法一 显然f (x )为奇函数,所以先讨论函数f (x )在(0,+∞)上的单调性,设x 1>x 2>0,f(x 1)-f(x 2) =(x 1+1x a)-(x 2+2x a )=(x 1-x 2)·(1-21x x a).∴当0<x 2<x 1≤a时,21x x a >1,则f (x 1)-f (x 2)<0,即f(x 1)<f(x 2),故f (x )在(0,a]上是减函数.当x 1>x 2≥a时,0<21x x a <1,则f (x 1)-f (x 2)>0,即f(x 1)>f(x 2),故f (x )在[a,+∞)上是增函数.∵f (x∴f(x)分别在(-∞,-a]、[a,+∞)上f(x)分别在[-a,0)、(0,a]上为减函数.a=0可得x=±a方法二由f ′(x)=1-2x当x>a时或x<-a时,f ′(x)>0,∴f(x)分别在(a,+∞)、(-∞,-a]上是增函数.同理0<x<a或-a<x<0时,f′(x)<0即f(x)分别在(0,a]、[-a,0)上是减函数.。
函数定义域练习题1.函数)13lg(13)(2++-=x xx x f 的定义域是 ( ) A .(∞-,31-) B .(31-,31) C .(31-,1) D .(31-,∞+) 2. 函数)1lg(11)(++-=x xx f 的定义域是 ( ) A .(-∞,-1) B .(1,+∞) C .(-1,1)∪(1,+∞) D .R3. 若函数)12(log 1)(2+=x x f ,则)(x f 的定义域为 ( ) A.)0,21(- B.),21(+∞- C.),0()0,21(+∞⋃- D.)2,21(- 4函数y =的定义域为 ( ) A.( 3,1) B(3,∞) C (1,+∞) ( )1k ≤-3,0] D .(0,3)()()()g x f x f x =--的定义 A .[,]a b B .[,]b a -- C .[,]b b - D .[,]a a - 9.设I =R ,已知2()lg(32)f x x x =-+的定义域为F ,函数()lg(1)lg(2)g x x x =-+-的定义域为G ,那么GU I C F 等于 ( )A .(2,+∞)B .(-∞,2)C .(1,+ ∞)D .(1,2)U(2,+∞)10.已知函数)(x f 的定义域为[0,4],求函数)()3(2x f x f y ++=的定义域为( )A .[2,1]--B .[1,2]C .[2,1]-D .[1,2]-11.若函数()f x 的定义域为[-2,2],则函数f 的定义域是 ( )A .[-4,4]B .[-2,2]C . [0,2]D . [0,4]12.已知函数1()lg 1x f x x +=-的定义域为A ,函数()lg(1)lg(1)g x x x =+--的定义域为B ,则下述关于A 、B 的关系中,不正确的为 ( )A .A ⊇B B .A ∪B=BC .A∩B=BD .B ⊂≠A13. 函数y =-x 2-3x +4x的定义域为 ( ) A .[-4,1] B .[-4,0) C .(0,1] D .[-4,0)∪(0,1]14. 若函数f (x )=(a 2-2a -3)x 2+(a -3)x +1的定义域和值域都为R ,则a 的取值范围是 ( ) <12)______.20.求函数的定义域:(1)x x x x x x f +-++-=02)1(65)(; (2)y =(3)y . ((1,2)) (4)lgsin y x =- ([5,)(0,)ππ--)21. 设2()lg 2x f x x +=-,求2()(2x f f x+的定义域.(13)f x -的定义域;2(6)x -的定义域.。
高三数学函数的定义域与值域试题答案及解析1.函数的定义域是(用区间表示);【答案】【解析】由得,所以定义域为.【考点】函数的定义域.2.函数的图像为【答案】D【解析】因为=,其图像为D.【考点】对数恒等式,分类整合思想,常见函数图像,分段函数3.设函数f(x)= (x+|x|),则函数f[f(x)]的值域为________.【答案】[0,+∞)【解析】先去绝对值,当x≥0时,f(x)=x,故f[f(x)]=f(x)=x,当x<0时,f(x)=0,故f[f(x)]=f(0)=0,即f[f(x)]=易知其值域为[0,+∞).4. [2013·山东青岛调研]已知函数y=f(x2-1)的定义域为[-,],则函数y=f(x)的定义域是________.【答案】[-1,2]【解析】∵y=f(x2-1)的定义域为[-,],∴x∈[-,],x2-1∈[-1,2],∴y=f(x)的定义域为[-1,2].5.设a,b为实数,关于x的方程的4个实数根构成以d为公差的等差数列,若,则的取值范围是 .【答案】【解析】设4个实数根依次为,由等差数列性质,不妨设为的两个实数根,则为方程的两个根,由韦达定理,即,又,,故,∴,即的取值范围是.【考点】等差数列的性质、函数值域.6.江西高考函数y=ln(1-x)的定义域为()A.(0,1)B.[0,1)C.(0,1]D.[0,1]【答案】B【解析】由得,函数定义域为[0,1).7.设函数g(x)=x2-2(x∈R),f(x)=则f(x)的值域是()A.∪(1,+∞)B.[0,+∞)C.D.∪(2,+∞)【答案】D【解析】令x<g(x),即x2-x-2>0,解得x<-1或x>2.令x≥g(x),即x2-x-2≤0,解得-1≤x≤2.故函数f(x)=当x<-1或x>2时,函数f(x)>f(-1)=2;当-1≤x≤2时,函数≤f(x)≤f(-1),即≤f(x)≤0.故函数f(x)的值域是∪(2,+∞).选D.8.函数的定义域为( )A.B.C.D.【答案】C【解析】要使函数有意义,则有,即,所以,即函数定义域为,选C.9.已知,对,使成立,则a的取值范围是( )A.[-1,+)B.[-1,1]C.(0,1]D.(-,l]【答案】B【解析】解:由题意知函数的值域是函数的值域的子集;因为当时,当时,所以函数的值域是所以,解得:故选B.【考点】1、分段函数;2、函数的值域;3、等价转化的思想.10.函数的定义域为()A.B.C.D.【答案】A【解析】由二次根式的定义可得,所以函数的定义域为,故选A.【考点】定义域一次不等式11.函数()的最大值等于 .【答案】4【解析】因为对称轴为,所以函数在[-1,1]上单调递增,因此当时,函数取最大值4.【考点】二次函数最值12.函数的定义域为________.【答案】【解析】依题意可得.即.【考点】1.函数的定义.2.对数函数的知识.13.已知函数f(x)=lg(k∈R,且k>0).(1)求函数f(x)的定义域;(2)若函数f(x)在[10,+∞)上单调递增,求k的取值范围.【答案】(1)当0<k<1时,函数定义域为;当k≥1时,函数定义域为.(2)【解析】(1)由>0,k>0,得>0,当0<k<1时,得x<1或x>;当k=1时,得x∈R且x≠1;当k>1时,得x<或x>1.综上,当0<k<1时,函数定义域为;当k≥1时,函数定义域为.(2)由函数f(x)在[10,+∞)上单调递增,知>0,∴k>.又f(x)=lg=lg,由题意,对任意的x1、x2,当10≤x1<x2,有f(x1)<f(x2),即lg<lg,得<(k-1)(-)<0.∵x1<x2,∴>,∴k-1<0,即k<1.综上可知,k的取值范围是.14.若函数y=f(x)的定义域是[0,2],求函数g(x)=的定义域.【答案】[0,1)【解析】由得0≤x<1,即定义域是[0,1).15.函数f(x)=的定义域为()A.(0,+∞)B.(1,+∞) C.(0,1)D.(0,1)∪(1,+∞)【答案】D【解析】由得∴0<x<1或x>1,故选D.16.已知函数y=f(x+1)的定义域是[-2,3],则y=f(2x-1)的定义域是() A.[0,]B.[-1,4]C.[-5,5]D.[-3,7]【答案】A【解析】【思路点拨】先求y=f(x)的定义域,再求y=f(2x-1)的定义域. 解:由-2≤x≤3,得-1≤x+1≤4,由-1≤2x-1≤4,得0≤x≤,故函数y=f(2x-1)的定义域为[0,].17.已知函数f(x)=.(1)求函数f(x)的定义域;(2)设α是第四象限的角,且tan α=-,求f(α)的值.【答案】(1)(2)【解析】(1)函数f(x)要有意义需满足cos x≠0,解得x≠+kπ(k∈Z),即f(x)的定义域为(2)f(x)====2(cos x-sin x),由tan α=-,得sin α=-cos α,又∵sin2α+cos2α=1,∴cos2α=.∵α是第四象限的角,∴cos α=,sin α=-,∴f(α)=2(cos α-sin α)=18.函数f(x)=的定义域是()A.[-3,3]B.[-,]C.(1,]D.[-,1)∪(1,]【答案】D【解析】由题意知所以-≤x≤且x≠119.函数的定义域是_____________.【答案】【解析】函数的定义域是使函数式有意义的自变量的集合,求定义域时要注意基本初等函数的定义域.【考点】函数的定义域.20.已知是定义在上的奇函数,则的值域为 .【答案】【解析】由奇函数性质知其定义域关于原点对称,值域也关于原点对称.首先求出参数,可利用特殊值法,奇函数,得.时,,,则,因此值域为.【考点】奇函数的性质与函数的值域.21.设函数,且,表示不超过实数的最大整数,则函数的值域是__________.【答案】.【解析】由题意,,,当时,;当时,;当时,.【考点】函数解析式.22.已知函数的定义域为,值域为.下列关于函数的说法:①当时,;②将的图像补上点,得到的图像必定是一条连续的曲线;③是上的单调函数;④的图象与坐标轴只有一个交点.其中正确命题的个数为()A.1B.2C.3D.4【答案】B【解析】设函数的图象如图根据图形知,①②③错误,④正确. 选B【考点】函数的定义域、值域,函数的图象性质.23.已知方程在上有解,则实数的取值范围为.【答案】【解析】由,参变分离得,记,且,所以,即,故实数的取值范围为.【考点】二次函数的值域.24.函数的值域为 .【答案】【解析】当时,,当且仅当时,等号成立;当时,,当且仅当时等号成立,综上知,函数的值域为.【考点】基本不等式,函数的值域.25.设函数,则下列结论错误的是()A.D(x)的值域为{0,1}B.D(x)是偶函数C.D(x)不是周期函数D.D(x)不是单调函数【答案】C【解析】因为,,所以,函数的值域为{0,1};因为,是有理数或无理数时,依然为有理数或无理数,所以,函数值不变,即D(x)是偶函数;因为,==,所以,为其一个周期,故C错,选C.【考点】函数的性质26.下列函数中,值域为的函数是( )A.B.C.D.【答案】C【解析】确定函数的值域,应首先关注函数的定义域.根据指数函数的性质可知的值域为,故选C.【考点】函数的定义域、值域,常见函数的性质.27.函数的定义域是()A.B.C.D.【答案】C【解析】自变量满足,解得且,故函数的定义域是,故选C.【考点】函数的定义域28.函数f(x)=-x4+2x2+3的最大值为.【答案】4【解析】令,则,则当时,取最大值4.【考点】换元法求值域.29.设,函数有意义, 实数取值范围 .【答案】【解析】由题意得,对都成立,当时,显然成立,或当即时不等式也成立,所以实数取值范围.【考点】对数函数的定义域、一元二次不等式.30.函数的定义域为 .【答案】【解析】由,得且.所以定义域为.【考点】定义域的求法、解不等式31.函数的定义域为( )A.(0,+∞)B.(1,+∞)C.(0,1)D.(0,1)(1,+)【答案】B【解析】根据题意,由于对数真数大于零,偶次根号下为非负数,则可知,故可知答案为(1,+∞),选B.【考点】函数定义域点评:主要是考查了函数定义域的求解,属于基础题。
函数定义域1.函数y=+的定义域为()A.{x|x≤1}B.{x|x≥0}C.{x|x≥1或x≤0}D.{x|0≤x≤1}2.函数f(x)=+lg(1+x)的定义域是()A.(﹣∞,﹣1)B.(1,+∞)C.(﹣1,1)∪(1,+∞)D.(﹣∞,+∞)3.函数y=的定义域为()A.(﹣∞,2)B.(2,+∞)C.(2,3)∪(3,+∞)D.(2,4)∪(4,+∞)4.若f(x)=,则f(x)的定义域为()A.(,0)B.(,0]C.(,+∞)D.(0,+∞)5.函数f(x)=﹣的定义域是()A.B.C.D.6.已知函数y=f(x+1)定义域是[﹣2,3],则y=f(2x﹣1)的定义域()A.B.[﹣1,4]C.[﹣5,5]D.[﹣3,7]7.若函数y=f(x)的定义域是[0,2],则函数g(x)=的定义域是()A.[0,1]B.[0,1)C.[0,1)∪(1,4]D.(0,1)8.已知函数f(x)=的定义域是R,则m的取值范围是()A.0<m<4B.0≤m≤1C.m≥4D.0≤m≤49.已知函数f(x)=的定义域是R,则实数a的取值范围是()A.a>B.﹣12<a≤0C.﹣12<a<0D.a≤10.函数f(x)=的定义域是.函数定义域答案1.函数y=+的定义域为()A.{x|x≤1}B.{x|x≥0}C.{x|x≥1或x≤0}D.{x|0≤x≤1}【解答】解:要使原函数有意义,则需,解得0≤x≤1,所以,原函数定义域为[0,1].故选:D.2.函数f(x)=+lg(1+x)的定义域是()A.(﹣∞,﹣1)B.(1,+∞)C.(﹣1,1)∪(1,+∞)D.(﹣∞,+∞)【解答】解:根据题意,使f(x)=+lg(1+x)有意义,应满足,解可得(﹣1,1)∪(1,+∞);故选:C.3.函数y=的定义域为()A.(﹣∞,2)B.(2,+∞)C.(2,3)∪(3,+∞)D.(2,4)∪(4,+∞)【解答】解:要使原函数有意义,则,解得:2<x<3,或x>3所以原函数的定义域为(2,3)∪(3,+∞).故选C.4.若f(x)=,则f(x)的定义域为()A.(,0)B.(,0]C.(,+∞)D.(0,+∞)【解答】解:要使函数的解析式有意义自变量x须满足:即0<2x+1<1解得故选A5.函数f(x)=﹣的定义域是()A.B.C.D.【解答】解:要使原函数有意义,需解得,所以函数的定义域为.故选C.6.已知函数y=f(x+1)定义域是[﹣2,3],则y=f(2x﹣1)的定义域()A.B.[﹣1,4]C.[﹣5,5]D.[﹣3,7]【解答】解:解:∵函数y=f(x+1)定义域为[﹣2,3],∴x∈[﹣2,3],则x+1∈[﹣1,4],即函数f(x)的定义域为[﹣1,4],再由﹣1≤2x﹣1≤4,得:0≤x≤,∴函数y=f(2x﹣1)的定义域为[0,].故选A.7.若函数y=f(x)的定义域是[0,2],则函数g(x)=的定义域是()A.[0,1]B.[0,1)C.[0,1)∪(1,4]D.(0,1)【解答】解:因为f(x)的定义域为[0,2],所以对g(x),0≤2x≤2且x≠1,故x∈[0,1),故选B.8.已知函数f(x)=的定义域是R,则m的取值范围是()A.0<m<4B.0≤m≤1C.m≥4D.0≤m≤4【解答】解:要使f(x)有意义需使mx2+mx+1≥0∵的定义域是R故mx2+mx+1≥0恒成立①m=0时,不等式为1≥0恒成立,②m≠0时,需解得0<m≤4故0≤m≤4故选D.9.已知函数f(x)=的定义域是R,则实数a的取值范围是()A.a>B.﹣12<a≤0C.﹣12<a<0D.a≤【解答】解:由a=0或可得﹣12<a≤0,故选B.10.函数f(x)=的定义域是.【解答】解:由,解得:﹣1<x≤2,且x≠0.∴函数f(x)=的定义域是{x|﹣1<x≤2,且x≠0}.故答案为:{x|﹣1<x≤2,且x≠0}.。
函数的定义域和法则例1、求下列函数的定义域:(1).21)(-=x x f (2)。
23)(+=x x f (3)。
xx x f -++=211)( 解:(1) 解:要使函数有意义,必须: (2) 解:要使函数有意义,必须: 02≠-x , 即 x ≠ 2 3x +2≥0 ,即 x ≥32-∴函数21)(-=x x f 的定义域是:{}2|≠x x ∴函数23)(+=x x f 的定义域是:⎭⎬⎫⎩⎨⎧-≥32|x x (3):要使函数有意义,必须:⎩⎨⎧≠-≥+0201x x ⇒ ⎩⎨⎧≠-≥21x x ∴函数23)(+=x x f 的定义域是:{}21|≠-≥x x x 且例2、求下列函数的定义域: (1).14)(2--=x x f (2).2143)(2-+--=x x x x f (3).xx x x f -+=0)1()( 解:(1)要使函数有意义,必须: 142≥-x 即: 33≤≤-x ∴函数14)(2--=x x f 的定义域为: {x |33≤≤-x }(2)要使函数有意义,必须:23404112031x x x x x x x ⎧--≥≥-≤-⎧⎪⇒⎨⎨+-≠≠-≠⎪⎩⎩或且 3314x x x ⇒>--<≤-≥或或 ∴函数2143)(2-+--=x x x x f 的定义域为:{ x |3314x x x >--<≤-≥或或} (3):要使函数有意义,必须:⎩⎨⎧≠-≠+001x x x ⎩⎨⎧<-≠⇒01x x ∴函数x x x x f -+=0)1()(的定义域为:{}|110x x x <--<<或例3、若函数aax ax y 12+-=的定义域是一切实数,求实数a 的取值范围。
解:2201002140a ax ax a a a a a >⎧⎪-+≥⇒<≤⎨∆=-⋅≤⎪⎩恒成立,等价于 1.函数f (x )=的定义域为( )A .[1,2)∪(2,+∞)B .(1,+∞)C .[1,2)D .[1,+∞) 2.函数f (x )=lg (x ﹣1)+的定义域是( ) A .(1,[1,3] C .(1,3] D .[1,3)3.函数y=13x x-的定义域为 4.函数的定义域为5.函数)13lg(13)(++-=x x x x f 的定义域是例5、若函数)(x f y =的定义域为[-1,1],求函数)41(+=x f y )41(-⋅x f 的定义域。
高三数学函数的定义域与值域试题答案及解析1.函数的定义域为___________.【答案】.【解析】由已知有,故答案为:(0,1)(1,+).【考点】函数的定义域.2.函数的定义域是(用区间表示);【答案】【解析】由得,所以定义域为.【考点】函数的定义域.3.函数的定义域为()A.B.C.D.【答案】D【解析】由1-x≥0且x>0可得0<x≤1,选D【考点】函数的定义域4.某同学为研究函数f(x)=+(0≤x≤1)的性质,构造了如图所示的两个边长为1的正方形ABCD和BEFC,点P是边BC上的一个动点,设CP=x,则AP+PF=f(x).请你参考这些信息,推知函数f(x)的极值点是________;函数f(x)的值域是________.【答案】x= [,+1]【解析】显然当点P为线段BC的中点时,A,P,F三点共线,此时AP=PF,且函数f(x)取得最小值,函数f(x)的图像的对称轴为x=;当x∈[0,]时,函数f(x)单调递减,且值域为[,+1];当x∈[,1]时,函数f(x)单调递增,且值域为[,+1],∴函数f(x)的值域为[,+1].5.已知函数f(x)对任意实数x,y恒有f(x+y)=f(x)+f(y),且当x>0时,f(x)<0,又f(1)=-2.(1)判断f(x)的奇偶性;(2)求证:f(x)是R上的减函数;(3)求f(x)在区间[-3,3]上的值域;(4)若∀x∈R,不等式f(ax2)-2f(x)<f(x)+4恒成立,求a的取值范围.【答案】(1)奇函数(2)见解析(3)[-6,6](4)(,+∞)【解析】解:(1)取x=y=0,则f(0+0)=2f(0),∴f(0)=0.取y=-x,则f(x-x)=f(x)+f(-x),∴f(-x)=-f(x)对任意x∈R恒成立,∴f(x)为奇函数.(2)证明:任取x1,x2∈(-∞,+∞),且x1<x2,则x2-x1>0,f(x2)+f(-x1)=f(x2-x1)<0,∴f(x2)<-f(-x1),又f(x)为奇函数,∴f(x1)>f(x2).∴f(x)是R上的减函数.(3)由(2)知f(x)在R上为减函数,∴对任意x∈[-3,3],恒有f(3)≤f(x)≤f(-3),∵f(3)=f(2)+f(1)=f(1)+f(1)+f(1)=-2×3=-6,∴f(-3)=-f(3)=6,f(x)在[-3,3]上的值域为[-6,6].(4)f(x)为奇函数,整理原式得f(ax2)+f(-2x)<f(x)+f(-2),则f(ax2-2x)<f(x-2),∵f(x)在(-∞,+∞)上是减函数,∴ax2-2x>x-2,当a=0时,-2x>x-2在R上不是恒成立,与题意矛盾;当a>0时,ax2-2x-x+2>0,要使不等式恒成立,则Δ=9-8a<0,即a>;当a<0时,ax2-3x+2>0在R上不是恒成立,不合题意.综上所述,a的取值范围为(,+∞).6.已知函数的值域为[0,+∞),若关于x的不等式f(x)<c的解集为(m,m+6),则实数c的值为()A.7B.8C.9D.10【答案】C【解析】由题意知f(x)=x2+ax+b=∵f(x)的值域为[0,+∞),∴,即,∴f(x)=又∵f(x)<c. ∴,即∴解得,∴c=9,选C.7.函数的定义域是.【答案】【解析】由题意,.【考点】函数的定义域.8.已知的定义域为,则函数的定义域为 ( )A.B.C.D.【答案】B【解析】因为,的定义域为,所以,由,得,,所以,函数的定义域为,选B.【考点】函数的定义域9.函数f(x)=x2+2x-3,x∈[0,2]的值域为________.【答案】[-3,5]【解析】由f(x)=(x+1)2-4,知f(x)在[0,2]上单调递增,所以f(x)的值域是[-3,5].10.函数的定义域为.【答案】【解析】要使函数有意义,则,解得.【考点】函数的定义域.11.函数f(x)=的定义域为______.【答案】(0,]【解析】由题意所以x∈(0,]12.若函数的定义域为,则实数的取值范围为 .【答案】【解析】据题意,不等式恒成立,所以.又,所以.【考点】不等式选讲.13.下列函数在定义域内为奇函数,且有最小值的是A.B.C.D.【答案】D【解析】,且【考点】函数的奇偶性和值域.14.函数的定义域是.【答案】【解析】函数的定义域就是使函数式有意义的自变量的取值集合,如分母,偶次根式的被开方数,零次幂的底数等等,此外还有基本初等函数本身定义域的要求,如本题中有,解得.【考点】函数的定义域.15.函数的定义域是_________________________【答案】(-1,1)【解析】由题意可得,,解得,故函数的定义域是.【考点】函数的定义域.16.设函数(1)当时,求函数的定义域;(2)若函数的定义域为R,试求的取值范围.【解析】(1)不等式的解集就是函数的定义域,在同一直角坐标系中,分别作出①和②的图像,①的图象落在②的图象上方的部分所对应的的范围就是不等式的解集;(2)等价于在实数范围内恒成立,只需函数的最小值大于等于.试题解析:(1)由题设知:,在同一坐标系中作出函数和的图象,知定义域为.(2)由题设知,当时,恒有,即,又由(1),∴【考点】1、绝对值不等式的解法;2、函数的定义域.17.函数的定义域是,则其值域为()A.B.C.D.【答案】A.【解析】由于函数在和上都是减函数,当时,;当时,,所以函数的值域为,故选A.【考点】1.函数的值域求法;2.还是的单调性.18.已知函数是奇函数,并且函数的图像经过点(1,3),(1)求实数的值;(2)求函数的值域.【答案】(1);(2)函数的值域为【解析】(1)由奇函数的定义可知,结合解析式可求,又由函数的图像经过点(1,3),代入解析式可求得得;(2)由(1)知,从而可由分类讨论的思想,分和两种情况对函数的值域进行讨论,利用基本不等式可得函数的值域为.本题注意分类讨论的思想方法的应用,易错点是基本不等式运用时的条件容易忽略.试题解析:(1)函数是奇函数,则(3分)又函数的图像经过点(1,3),∴a=2 (6分)(2)由(1)知(7分)当时,当且仅当即时取等号(10分)当时,当且仅当即时取等号(11分)综上可知函数的值域为(12分)【考点】1.函数解析式的求法;2.函数的值域的求法;3.基本不等式的应用19.函数的值域是______________.【答案】【解析】当时,,所以;当时,.所以函数的值域是.【考点】1.函数的值域及其求法;2.对数函数的值域;3.分段函数的图像与性质20.函数的定义域是,值域是,则符合条件的数组的组数为()A.B.C.D.【答案】B【解析】,故函数在上单调递减,在上单调递增,故函数在处取得最小值,即,若,则,矛盾!故,当时,则函数在上单调递减,于是有,事实上,,而,矛盾!当时,由于函数在上单调递增,故有,即方程在至少有两个解,解方程,即,解得,故,,故选B.【考点】1.分段函数;2.函数的值域21.函数的定义域为()A.B.C.D.【答案】 B【解析】由,得,所以选B.【考点】函数的定义域.22.函数的定义域为()A.B.C.D.【答案】 B【解析】由,得,所以选B.【考点】函数的定义域.23.下列函数中,值域是的函数是( )A.B.C.D.【答案】C【解析】 A项,因为,所以函数值域为;B,D项值域为,C项,因为,根据指数函数性质可知其值域为,选C.【考点】函数的值域.24.函数的定义域是 ___________.【答案】【解析】依题意得解得函数的定义域为.【考点】函数的定义域.25.函数的定义域为 .【答案】【解析】由,得且.所以定义域为.【考点】定义域的求法、解不等式26.函数的定义域为_______________.【答案】【解析】由题意得,解得,所以所求函数的定义域为.【考点】1.函数的定义域;2.一元二次不等式的解法.27.函数的定义域为( )A.(0,+∞)B.(1,+∞)C.(0,1)D.(0,1)(1,+)【答案】B【解析】根据题意,由于对数真数大于零,偶次根号下为非负数,则可知,故可知答案为(1,+∞),选B.【考点】函数定义域点评:主要是考查了函数定义域的求解,属于基础题。
高中定义域试题及解析及答案1. 函数 \(f(x) = \sqrt{x - 3}\) 的定义域是什么?2. 若 \(g(x) = \frac{1}{x - 2}\),求 \(g(x)\) 的定义域。
3. 函数 \(h(x) = \frac{3x - 5}{x^2 - 4}\) 在哪些 \(x\) 值下是有定义的?4. 已知 \(k(x) = \log_{2}(x + 4)\),求 \(k(x)\) 的定义域。
5. 函数 \(m(x) = \frac{\sqrt{x + 2}}{x - 1}\) 在哪些 \(x\) 值下是有定义的?解析与答案1. 对于函数 \(f(x) = \sqrt{x - 3}\),我们需要保证根号内的表达式非负,即 \(x - 3 \geq 0\)。
解得 \(x \geq 3\)。
因此,\(f(x)\) 的定义域是 \([3, +\infty)\)。
2. 对于函数 \(g(x) = \frac{1}{x - 2}\),分母不能为零,所以\(x \neq 2\)。
因此,\(g(x)\) 的定义域是 \((-\infty, 2) \cup (2, +\infty)\)。
3. 对于函数 \(h(x) = \frac{3x - 5}{x^2 - 4}\),分母 \(x^2 -4\) 不能为零,即 \(x \neq \pm 2\)。
因此,\(h(x)\) 的定义域是\((-\infty, -2) \cup (-2, 2) \cup (2, +\infty)\)。
4. 对于函数 \(k(x) = \log_{2}(x + 4)\),对数函数的自变量必须大于零,即 \(x + 4 > 0\)。
解得 \(x > -4\)。
因此,\(k(x)\) 的定义域是 \((-4, +\infty)\)。
5. 对于函数 \(m(x) = \frac{\sqrt{x + 2}}{x - 1}\),根号内的表达式必须非负,即 \(x + 2 \geq 0\),同时分母不能为零,即 \(x \neq 1\)。
一、选择题(共6小题)1、在函数中,自变量x的取值范围是()A、x≠0B、x≤﹣2C、x≥﹣3且x≠0D、x≤2且x≠02、函数的定义域是()A、x≠2B、x≥﹣2C、x≠﹣2D、x≠03、(2006•黄石)函数y=的自变量x的取值范围是()A、x≥﹣2B、x≥﹣2且x≠﹣1C、x≠﹣1D、x>﹣14、(2010•苏州)在函数y=中,自变量x取值范围是()A、x>1B、x<﹣1C、x≠﹣1D、x≠15、(2008•乐山)函数的自变量x的取值范围为()A、x≥﹣2B、x>﹣2且x≠2C、x≥0且≠2D、x≥﹣2且x≠26、能使有意义的x的取值范围是()A、x>﹣2B、x≥﹣2C、x>0D、x≥﹣2且x≠0二、填空题(共6小题)7、(2011•黑龙江)函数y=中,自变量x的取值范围是_________.8、(2007•黄石)函数的自变量取值范围是_________.9、求使代数式有意义的x的整数值_________.10、函数y=+(x﹣1)0自变量的取值范围是_________.11、函数y=中,自变量x的取值范围是_________.12、写出一个y关于x的函数关系式,使自变量x的取值范围是x≥2且x≠3,则这个函数关系式可以是_________.答案与评分标准一、选择题(共6小题)1、在函数中,自变量x的取值范围是()A、x≠0B、x≤﹣2C、x≥﹣3且x≠0D、x≤2且x≠0考点:函数自变量的取值范围。
专题:常规题型。
分析:根据被开方数x+3大于等于0,分母x不等于0,列式求解即可.解答:解:根据题意得,,解得x≥﹣3,且x≠0.故选C.点评:本题主要考查了函数自变量的取值范围,被开方数大于等于0,分母不等于0列式求解即可,是基础题,比较简单.2、函数的定义域是()A、x≠2B、x≥﹣2C、x≠﹣2D、x≠0考点:函数自变量的取值范围;二次根式有意义的条件。
专题:计算题。
分析:本题主要考查自变量的取值范围,函数关系中主要有二次根式.根据二次根式的意义,被开方数是非负数.解答:解:根据题意得:x+2≥0,解得x≥﹣2.故选B.点评:函数自变量的范围一般从三个方面考虑:(1)当函数表达式是整式时,自变量可取全体实数;(2)当函数表达式是分式时,考虑分式的分母不能为0;(3)当函数表达式是二次根式时,被开方数为非负数.3、(2006•黄石)函数y=的自变量x的取值范围是()A、x≥﹣2B、x≥﹣2且x≠﹣1C、x≠﹣1D、x>﹣1考点:函数自变量的取值范围;分式有意义的条件;二次根式有意义的条件。
函数的定义域1、已知函数式求定义域:例1、求下列函数的定义域:(1);(2);(3);(4);(5).解:(1),即;(2),即;(3)且,即.(4)要使函数有意义,应满足,即.∴函数的定义域为.(5)要使函数有意义,应满足,即.∴函数的定义域为.点拨:要求使函数表达式有意义的自变量的取值范围,可考虑用到不等式或不等式组,然后借助于数轴进行求解.2、求抽象函数的定义域讲解:求解抽象函数的定义域时一定要严格遵循原始函数的定义域,不管“”中的“x”被什么代换,它们都得首先遵循这一“规则”,在这一“规则”之下再去求解具体的x的范围.例2、已知的定义域为,求,的定义域.解:∵的定义域为,∴,∴,即的定义域为,由,∴,即的定义域为.点拨:若的定义域为,则的定义域是的解集.例3、已知的定义域为,求,的定义域.解:∵的定义域为,∴即的定义域为.又∵的定义域为,∴,∴即的定义域为.点拨:已知的定义域,则当时,y=kx+b的函数值的取值集合就是的定义域.例4、已知函数的定义域是[a,b],其中a<0<b,且|a|>b,求函数的定义域.解答:∵函数的定义域为[a,b],∴a≤x≤b,若使有意义,必须有a≤-x≤b即有-b≤x≤-a.∵a<0<b,且|a|>b,∴a<-b且b<-a.∴的定义域为.点拨:若的定义域为及的定义域分别为A、B,则有借助于数轴分析可求得.3、函数定义域的逆用讲解:已知函数的定义域求解其中参数的取值范围时,若定义域为R时,可采用判别式法,若定义域为R的一个真子集时,可采用分离变量法.例5、已知函数的定义域是R,求实数k的取值范围.解答:①当k=0时,函数,显然它的定义域是R;②当k≠0时,由函数y的定义域为R可知,不等式对一切实数x均成立,因此一定有.解得0<k≤1,∴0≤k≤1.点拨:此题是已知函数y的定义域,据此逆向求解函数中参数k的取值,需要将问题准确转化成不等式问题.例6、半径为R的圆内接等腰梯形ABCD,它的下底AB是⊙O的直径,上底CD的端点在圆周上,写出这个梯形周长y和腰长x的函数关系式,并写出它的定义域.解:如图所示,AB=2R,CD在⊙O在半圆周上.设腰AD=BC=x,作DE⊥AB.垂足为E,连BD.由Rt△ADE∽Rt△ABD,练习:一、选择题1、函数的定义域是A.[-2,2] B.{-2,2} C.(-∞,-2)∪(2,+∞) D.(-2,2)2、若函数的定义域为[-1,2],则函数的定义域是A. B.[-1,2] C.[-1,5] D.3、已知函数的定义域为A,的定义域为B,若=.则实数m的取值范围是A.(-3,-1) B.(-2,4) C.[-2,4] D.[-1,3]二、填空题4、已知函数的定义域为[-1,2],那么函数的定义域是__________.5、若函数的定义域为R,则实数m的取值范围是__________.三、解答题6、求下列函数的定义域:①②③y=lg(a x-2·3x)(a>0且a≠1)7、解答下列各题:(1)已知的定义域为[0,1],求及的定义域.(2)设的定义域是[-2,3),求的定义域.8、已知函数的定义域为[-1,1],求(a>0)的定义域.9、设f(x)=lg,如果当x∈(-∞,1]时f(x)有意义,求实数a的取值范围.答案:一.1.B 2.C 3.D提示:1、得x2=4,x=±2.3、由x2-2x-8≥0得A={x|x≥4或x≤-2}.由1-|x-m|>0得,B={x|m-1<x<1+m},∵.二.4.解析:由得≤x≤1.5.解析:当m=0,,定义域为R,当m≠0,由的定义域为R知抛物线y=mx2+4mx+3与x轴无交点,即Δ=16m2-12m<0,解得.综上可知m∈.6.解:①.②.③∵a x-2·3x>0,∴()x>2.当a>3时,此函数的定义域为(log2,+∞);当0<a<3且a≠1时,函数定义域为(-∞,log2).当a=3时,函数无意义.7.解:(1)设的定义域为[0,1],∴0≤t≤1.当t=x2,可得0≤x2≤1,∴-1≤x≤1,∴的定义域为[-1,1].同理,由得,∴的定义域是.(2)∵的定义域是[-2,3),∴-2≤x<3-3≤x-1<2,即的定义域是[-3,2).由,∴函数的定义域为.8.解:须使和都有意义.使有意义则;使有意义则.当时,,的定义域为;当时,,的定义域为.9.解:由题设可知,不等式1+2x+4x·a>0在x∈(-∞,1]上恒成立,即()2x+()x+a>0在x∈(-∞,1]上恒成立.设t=()x,则t≥,又设g(t)=t2+t+a,其对称轴为t=-.只需g()=()2++a>0,得a>-,所以a的取值范围是a>-.。
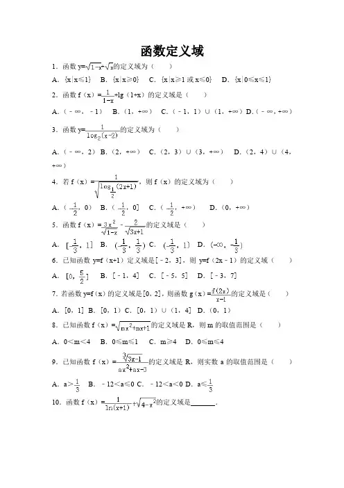
高中数学函数的定义域测试题(含答案)高二数学函数的定义域与值域、单调性与奇偶性苏教版【本讲教育信息】一. 教学内容:函数的定义域与值域、单调性与奇偶性二. 教学目标:理解函数的性质,能够运用函数的性质解决问题。
三. 教学重点:函数性质的运用.四. 教学难点:函数性质的理解。
[学习过程]一、知识归纳:1. 求函数的解析式(1)求函数解析式的常用方法:①换元法(注意新元的取值范围)②待定系数法(已知函数类型如:一次、二次函数、反比例函数等)③整体代换(配凑法)④构造方程组(如自变量互为倒数、已知f(x)为奇函数且g(x)为偶函数等)(2)求函数的解析式应指明函数的定义域,函数的定义域是使式子有意义的自变量的取值范围,同时也要注意变量的实际意义。
(3)理解轨迹思想在求对称曲线中的应用。
2. 求函数的定义域求用解析式y=f(x)表示的函数的定义域时,常有以下几种情况:①若f(x)是整式,则函数的定义域是实数集R;②若f(x)是分式,则函数的定义域是使分母不等于0的实数集;③若f(x)是二次根式,则函数的定义域是使根号内的式子大于或等于0的实数集合;④若f(x)是由几个部分的数学式子构成的,则函数的定义域是使各部分式子都有意义的实数集合;⑤若f(x)是由实际问题抽象出来的函数,则函数的定义域应符合实际问题.3. 求函数值域(最值)的一般方法:(1)利用基本初等函数的值域;(2)配方法(二次函数或可转化为二次函数的函数);(3)不等式法(利用基本不等式,尤其注意形如型的函数)(4)函数的单调性:特别关注的图象及性质(5)部分分式法、判别式法(分式函数)(6)换元法(无理函数)(7)导数法(高次函数)(8)反函数法(9)数形结合法4. 求函数的单调性(1)定义法:(2)导数法:(3)利用复合函数的单调性:(4)关于函数单调性还有以下一些常见结论:①两个增(减)函数的和为_____;一个增(减)函数与一个减(增)函数的差是______;②奇函数在对称的两个区间上有_____的单调性;偶函数在对称的两个区间上有_____的单调性;③互为反函数的两个函数在各自定义域上有______的单调性;(5)求函数单调区间的常用方法:定义法、图象法、复合函数法、导数法等(6)应用:比较大小,证明不等式,解不等式。
高三数学函数的定义域与值域试题答案及解析1.函数的定义域是()A.B.C.D.【答案】D【解析】由得且,选.【考点】函数的定义域.2.函数的图像为【答案】D【解析】因为=,其图像为D.【考点】对数恒等式,分类整合思想,常见函数图像,分段函数3. f(x)=,f(x)的定义域是________.【答案】[,+∞)【解析】由已知得,∴∴x≥,∴f(x)的定义域为[,+∞).4. [2013·山东青岛调研]已知函数y=f(x2-1)的定义域为[-,],则函数y=f(x)的定义域是________.【答案】[-1,2]【解析】∵y=f(x2-1)的定义域为[-,],∴x∈[-,],x2-1∈[-1,2],∴y=f(x)的定义域为[-1,2].5.函数的定义域是.【答案】【解析】根据偶次根式下被开方数非负得:,因此函数的定义域是.【考点】函数定义域6.(2011•山东)某企业拟建造如图所示的容器(不计厚度,长度单位:米),其中容器的中间为圆柱形,左右两端均为半球形,按照设计要求容器的体积为立方米,且l≥2r.假设该容器的建造费用仅与其表面积有关.已知圆柱形部分每平方米建造费用为3千元,半球形部分每平方米建造费用为c(c>3)千元.设该容器的建造费用为y千元.(1)写出y关于r的函数表达式,并求该函数的定义域;(2)求该容器的建造费用最小时的r.【答案】(1)y=2π•,(0,2](2)【解析】(1)由体积V=,解得l=,∴y=2πrl×3+4πr2×c=6πr×+4cπr2=2π•,又l≥2r,即≥2r,解得0<r≤2∴其定义域为(0,2].(2)由(1)得,y′=8π(c﹣2)r﹣,=,0<r≤2由于c>3,所以c﹣2>0当r3﹣=0时,则r=令=m,(m>0)所以y′=①当0<m<2即c>时,当r=m时,y′=0当r∈(0,m)时,y′<0当r∈(m,2)时,y′>0所以r=m是函数y的极小值点,也是最小值点.②当m≥2即3<c≤时,当r∈(0,2)时,y′<0,函数单调递减.所以r=2是函数y的最小值点.综上所述,当3<c≤时,建造费用最小时r=2;当c>时,建造费用最小时r=7. (2014·荆州模拟)函数y=ln(2-x-x2)+的定义域是()A.(-1,2)B.(-∞,-2)∪(1,+∞)C.(-2,1)D.[-2,1)【答案】C【解析】使函数有意义,则有解得-2<x<1,即定义域为(-2,1).8.函数的定义域为__________。
高三数学函数的定义域与值域试题答案及解析1.函数的定义域为()A.B.C.D.【答案】D【解析】由1-x≥0且x>0可得0<x≤1,选D【考点】函数的定义域2.函数f(x)=e x(sinx+cosx)在区间[0,]上的值域为()【答案】A【解析】f′(x)=e x(sinx+cosx)+e x·(cosx-sinx)=e x cosx,当0≤x≤时,f′(x)≥0,且只有在x=时,f′(x)=0,∴f(x)是[0,]上的增函数,3.已知函数g(x)=+1,h(x)=,x∈(-3,a],其中a为常数且a>0,令函数f(x)=g(x)·h(x).(1)求函数f(x)的表达式,并求其定义域;(2)当a=时,求函数f(x)的值域.【答案】(1)x∈[0,a],(a>0)(2)[,]【解析】解:(1)f(x)=,x∈[0,a],(a>0).(2)函数f(x)的定义域为[0,],令+1=t,则x=(t-1)2,t∈[1,],f(x)=F(t)==,∵t=时,t=±2∉[1,],又t∈[1,]时,t+单调递减,F(t)单调递增,F(t)∈[,].即函数f(x)的值域为[,].4. f(x)=,f(x)的定义域是________.【答案】[,+∞)【解析】由已知得,∴∴x≥,∴f(x)的定义域为[,+∞).5.已知函数f(x)= (a是常数且a>0).对于下列命题:①函数f(x)的最小值是-1;②函数f(x)在R上是单调函数;③若f(x)>0在[,+∞)上恒成立,则a的取值范围是a>1;④对任意x1<0,x2<0且x1≠x2,恒有f()<.其中正确命题的所有序号是________.【答案】①③④【解析】作出函数f(x)的图象如图所示,显然f(x)在(-∞,0)上单调递减,在(0,+∞)上单调递增,所以函数f(x)的最小值为f(0)=-1,故命题①正确;显然,函数f(x)在R上不是单调函数,②错误;因为f(x)在(0,+∞)上单调递增,故函数f(x)在[,+∞)上的最小值为f()=2a×-1=a-1,所以若f(x)>0在[,+∞)上恒成立,则a-1>0,即a>1,故③正确;由图象可知,在(-∞,0)上,对任意x1<0,x2<0且x1≠x2,恒有f()<成立,故④正确.6.若函数f(x)=x2-2x,g(x)=ax+2(a>0),∀x1∈[-1,2],∃x∈[-1,2],使g(x1)=f(x),则a的取值范围是()A.(0,]B.[,3]C.[3,+∞)D.(0,3]【答案】A【解析】由于函数g(x)在定义域[-1,2]内是任意取值的,且必存在x0∈[-1,2]使得g(x1)=f(x),因此问题等价于函数g(x)的值域是函数f(x)值域的子集.函数f(x)的值域是[-1,3],函数g(x)的值域是[2-a,2+2a],则有2-a≥-1且2+2a≤3,即a≤,又a>0,故a的取值范围是(0,].7.已知函数f(x)=- (a>0,x>0),若f(x)在上的值域为,则a=__________.【答案】【解析】由反比例函数的性质知函数f(x)=- (a>0,x>0)在上单调递增,所以,即解得a=.8. [2013·湖北荆门期末]函数f(x)=ln(+)的定义域为()A.(-∞,-4]∪(2,+∞)B.(-4,0)∪(0,1)C.[-4,0)∪(0,1]D.[-4,0)∪(0,1)【答案】D【解析】要使函数f(x)有意义,必须且只需解得-4≤x<0或0<x<1.故选D.9. [2013·山东青岛调研]已知函数y=f(x2-1)的定义域为[-,],则函数y=f(x)的定义域是________.【答案】[-1,2]【解析】∵y=f(x2-1)的定义域为[-,],∴x∈[-,],x2-1∈[-1,2],∴y=f(x)的定义域为[-1,2].10.函数的定义域是________.【答案】【解析】得.【考点】函数的定义域.11.函数的定义域为,其图像上任一点都位于椭圆:上,下列判断①函数一定是偶函数;②函数可能既不是偶函数,也不是奇函数;③函数可能是奇函数;④函数如果是偶函数,则值域是;⑤函数值域是,则一定是奇函数.其中正确的命题个数有()个A.1B.2C.3D.4【答案】C【解析】如图是椭圆的图象,去掉点后,椭圆上每一点都有可能是函数的图象上点,如图象是弧和弧,则不是偶函数;的图象可能取弧,另外在弧上取一段,在弧上取一段,这样既不是奇函数,也不是偶函数;当然也可能是奇函数,也有可能是偶函数;当为偶函数时,值域不一定是,也不一定是;由图象的对称性,及当值域是时,函数一定是奇函数,因此②③⑤正确,选C.【考点】函数的奇偶性的定义.12.函数的定义域为__________。
高一数学函数的定义域与值域试题答案及解析1.已知函数的定义域为,的定义域为,则A.B.C.D.【答案】D【解析】函数的定义域M=,的定义域为N=;则【考点】函数的定义域2.函数的定义域为()A.B.C.D.【答案】D.【解析】由函数的解析式可得,Lgx-1≠0, x>0,即 0<x<10或10<x,故函数定义域为 ,故选D.【考点】函数定义域.3.已知,函数.(1)当时,画出函数的大致图像;(2)当时,根据图像写出函数的单调减区间,并用定义证明你的结论;(3)试讨论关于x的方程解的个数.【答案】(1)详见解析;(2)详见解析;(3)详见解析.【解析】(1)当a=2时,,作出图象;(2)由(1)写出函数y=f(x)的单调递增区间,再根据单调性定义证明即可;(3)由题意知方程的解得个数等价于函数的图像与直线的交点个数.即函数的图象与直线的交点个数.试题解析:(1)如图所示3分(2)单调递减区间: 4分证明:设任意的5分因为,所以于是,即6分所以函数在上是单调递减函数 7分(3) 由题意知方程的解得个数等价于函数的图像与直线的交点个数.即函数的图象与直线的交点个数又,注意到,当且仅当时,上式等号成立,借助图像知 8分所以,当时,函数的图像与直线有1个交点; 9分当,时,函数的图像与直线有2个交点; 10分当,时,函数的图像与直线有3个交点;12分.【考点】1.绝对值的函数;2.函数的值域;3.函数的零点.4.已知定义在上的函数为单调函数,且,则 .【答案】【解析】设,令,则由题意得:,即;再令,则由题意得:,即,,∵函数为上的单调函数,解得:,即.【考点】函数值域,不等式恒成立,等比数列前n项和.5.已知函数且的图象经过点.(1)求函数的解析式;(2)设,用函数单调性的定义证明:函数在区间上单调递减;(3)解不等式:.【答案】(1),(2)详见解析,(3)或.【解析】(1)求函数的解析式,只需确定的值即可,由函数且的图象经过点,得,再由得,(2)用函数单调性的定义证明单调性,一设上的任意两个值,二作差,三因式分解确定符号,(3)解不等式,一可代入解析式,转化为解对数不等式,需注意不等号方向及真数大于零隐含条件,二利用函数单调性,去“”,注意定义域.试题解析:(1),解得:∵且∴; 3分(2)设、为上的任意两个值,且,则6分,在区间上单调递减. 8分(3)方法(一):由,解得:,即函数的定义域为; 10分先研究函数在上的单调性.可运用函数单调性的定义证明函数在区间上单调递减,证明过程略.或设、为上的任意两个值,且,由(2)得:,即在区间上单调递减. 12分再利用函数的单调性解不等式:且在上为单调减函数., 13分即,解得:. 15分方法(二): 10分由得:或;由得:,13分. 15分【考点】函数解析式,函数单调性定义,解不等式.6.函数的定义域为___ _____.【答案】【解析】开偶次方根即,所以.【考点】函数定义域及指数函数.7.函数的定义域为____________;【答案】.【解析】定义域是使函数式有意义的自变量的取值集合..【考点】函数的定义域.8.函数的定义域是______________.【答案】【解析】求定义域就是使式子各部分都有意义;注意定义域写成区间形式.要使有意义则解得且所以定义域为【考点】函数自变量的取值范围.9.已知函数(1)用定义证明在上单调递增;(2)若是上的奇函数,求的值;(3)若的值域为D,且,求的取值范围.【答案】(1)设且则即在上单调递增;(2);(3).【解析】(1)在定义域内任取,证明,即,所以在上单调递增;(2)因为,是上的奇函数,所以,即,代入表达式即可得;(3)可求得的值域,由可得不等式,所以.试题解析:(1)设且 1分则 3分即 5分在上单调递增 6分(2)是上的奇函数8分即11分(用得必须检验,不检验扣2分)(3)由14分的取值范围是 16分【考点】1、函数单调性的证明;2、奇函数的定义;(3)函数的值域.10.规定,则函数的值域为A.B.C.D.【答案】A【解析】根据题意,,函数在是增函数,,即函数的值域为,故选:A.【考点】二次函数的值域11.规定,则函数的值域为A.B.C.D.【答案】A【解析】根据题意,,函数在是增函数,,即函数的值域为,故选:A.【考点】二次函数的值域12.已知函数是偶函数,那么函数的定义域为()A.B.C.D.【答案】B【解析】由函数是偶函数,可得对称轴,得a= ;即解不等式,解得,故选B.【考点】1、偶函数的性质;2、定义域的求法;3、对数不等式的解法.13.实数是图象连续不断的函数定义域中的三个数,且满足,则在区间的零点个数为()A.2B.奇数C.偶数D.至少是2【答案】D【解析】此题主要考查学生对函数零点存在性定理掌握情况,因为,所以在区间上至少存在一个零点,同理在区间上也至少存在一个零点,又因为、,故正确答案是D.【考点】1.函数定义域;2.函数零点存在性定理.14.函数的值域是__________.【答案】【解析】利用函数单调性求值域设则由在上是增函数,所以值域为【考点】复合函数的值域.15.函数的定义域为()A.(0,2]B.(0,2)C.D.【答案】C【解析】由题意知所以,故的定义域为,故选C.【考点】函数的定义域16.函数的定义域是 ( ).A.[-1,+∞)B.(-∞,0)∪(0,+∞)C.[-1,0)∪(0,+∞)D.R【答案】C【解析】函数的定义域就是使函数式有意义的自变量x的取值范围,本题中要求所以正确答案为C.【考点】函数的定义域.17.函数的定义域为【答案】【解析】要使函数有意义需满足【考点】函数定义域点评:函数定义域是使函数有意义的自变量的取值范围或题目中给定的自变量的范围18.已知函数.(1)求它的定义域,值域;(2)判定它的奇偶性和周期性;(3)判定它的单调区间及每一区间上的单调性.【答案】(1)的定义域为,值域为(2)既不是奇函数也不是偶函数(3)单调增区间为[();单调减区间为(().【解析】解:(1)由得又因为0<,所以的定义域为,值域为定义域关于原点不对称,故既不是奇函数也不是偶函数;,其中是周期函数,且最小正周期是.,,,即,,即,,即单调增区间为[();单调减区间为(().【考点】三角函数的性质点评:解决的关键是熟练的运用正弦函数的性质来得到其周期和单调性,属于基础题。
一、选择题(共6小题)
1、在函数中,自变量x的取值范围是()
A、x≠0
B、x≤﹣2
C、x≥﹣3且x≠0
D、x≤2且x≠0
2、函数的定义域是()
A、x≠2
B、x≥﹣2
C、x≠﹣2
D、x≠0
3、(2006•黄石)函数y=的自变量x的取值范围是()
A、x≥﹣2
B、x≥﹣2且x≠﹣1
C、x≠﹣1
D、x>﹣1
4、(2010•苏州)在函数y=中,自变量x取值范围是()
A、x>1
B、x<﹣1
C、x≠﹣1
D、x≠1
5、(2008•乐山)函数的自变量x的取值范围为()
A、x≥﹣2
B、x>﹣2且x≠2
C、x≥0且≠2
D、x≥﹣2且x≠2
6、能使有意义的x的取值范围是()
A、x>﹣2
B、x≥﹣2
C、x>0
D、x≥﹣2且x≠0
二、填空题(共6小题)
7、(2011•黑龙江)函数y=中,自变量x的取值范围是_________.
8、(2007•黄石)函数的自变量取值范围是_________.
9、求使代数式有意义的x的整数值_________.
10、函数y=+(x﹣1)0自变量的取值范围是_________.
11、函数y=中,自变量x的取值范围是_________.
12、写出一个y关于x的函数关系式,使自变量x的取值范围是x≥2且x≠3,则这个函数关系式可以是_________.
答案与评分标准
一、选择题(共6小题)
1、在函数中,自变量x的取值范围是()
A、x≠0
B、x≤﹣2
C、x≥﹣3且x≠0
D、x≤2且x≠0
考点:函数自变量的取值范围。
专题:常规题型。
分析:根据被开方数x+3大于等于0,分母x不等于0,列式求解即可.
解答:解:根据题意得,,
解得x≥﹣3,且x≠0.
故选C.
点评:本题主要考查了函数自变量的取值范围,被开方数大于等于0,分母不等于0列式求解即可,是基础题,比较简单.
2、函数的定义域是()
A、x≠2
B、x≥﹣2
C、x≠﹣2
D、x≠0
考点:函数自变量的取值范围;二次根式有意义的条件。
专题:计算题。
分析:本题主要考查自变量的取值范围,函数关系中主要有二次根式.根据二次根式的意义,被开方数是非负数.解答:解:根据题意得:x+2≥0,
解得x≥﹣2.
故选B.
点评:函数自变量的范围一般从三个方面考虑:
(1)当函数表达式是整式时,自变量可取全体实数;
(2)当函数表达式是分式时,考虑分式的分母不能为0;
(3)当函数表达式是二次根式时,被开方数为非负数.
3、(2006•黄石)函数y=的自变量x的取值范围是()
A、x≥﹣2
B、x≥﹣2且x≠﹣1
C、x≠﹣1
D、x>﹣1
考点:函数自变量的取值范围;分式有意义的条件;二次根式有意义的条件。
专题:计算题。
分析:立方根的被开方数可以是任意数,不用考虑取值范围,只让分式的分母不为0列式求值即可.
解答:解:由题意得:x+1≠0,
解得x≠﹣1,
故选C.
点评:用到的知识点为:立方根的被开方数可以是任意数;分式有意义,分母不为0.
4、(2010•苏州)在函数y=中,自变量x取值范围是()
A、x>1
B、x<﹣1
C、x≠﹣1
D、x≠1
考点:函数自变量的取值范围;分式有意义的条件。
专题:计算题。
分析:根据分式有意义的条件是分母不为0;可知x﹣1≠0,解可得答案.
解答:解:根据题意可得x﹣1≠0;
解得x≠1;
故选D.
点评:本题主要考查函数自变量的取值范围和分式有意义的条件,分式有意义,则分母不能为0.
5、(2008•乐山)函数的自变量x的取值范围为()
A、x≥﹣2
B、x>﹣2且x≠2
C、x≥0且≠2
D、x≥﹣2且x≠2
考点:函数自变量的取值范围;分式有意义的条件;二次根式有意义的条件。
分析:根据二次根式的性质和分式的意义,被开方数大于或等于0,分母不等于0,可以求出x的范围.
解答:解:根据题意得:x+2≥0,解得,x≥﹣2;
且x﹣2≠0,即x≠2,
所以自变量x的取值范围是x≥﹣2且x≠2.
故选D.
点评:函数自变量的范围一般从三个方面考虑:
(1)当函数表达式是整式时,自变量可取全体实数;
(2)当函数表达式是分式时,考虑分式的分母不能为0;
(3)当函数表达式是二次根式时,被开方数非负.
6、能使有意义的x的取值范围是()
A、x>﹣2
B、x≥﹣2
C、x>0
D、x≥﹣2且x≠0
考点:函数自变量的取值范围;分式有意义的条件;二次根式有意义的条件。
专题:计算题。
分析:让二次根式的被开方数大于或等于0,分母不为0,列不等式求解即可.
解答:解:由题意得:x+2≥0,且x≠0;
解得:x≥﹣2且x≠0,
故选D.
点评:本题考查的知识点为:分式有意义,分母不为0;二次根式的被开方数是非负数.
二、填空题(共6小题)
7、(2011•黑龙江)函数y=中,自变量x的取值范围是x>0.
考点:函数自变量的取值范围。
专题:计算题。
分析:让分子中的被开方数为非负数,分母不为0列式求值即可.
解答:解:由题意得:,
解得x>0.
故答案为x>0.
点评:考查函数自变量的取值问题;用到的知识点为:二次根式在分子中,被开方数为非负数;分式的分母不为0.
8、(2007•黄石)函数的自变量取值范围是x>﹣1.
考点:函数自变量的取值范围。
专题:计算题。
分析:根据二次根式的性质和分式的意义,被开方数大于或等于0,分母不等于0,可以求出x的范围.
解答:解:根据题意得:x+1>0,
解得:x>﹣1.
故答案为:x>﹣1.
点评:本题考查了函数自变量的取值范围.函数自变量的范围一般从三个方面考虑:(1)当函数表达式是整式时,自变量可取全体实数;(2)当函数表达式是分式时,考虑分式的分母不能为0;(3)当函数表达式是二次根式时,被开方数非负.
9、求使代数式有意义的x的整数值0、1、2、3.
考点:函数自变量的取值范围;二次根式有意义的条件。
专题:计算题。
分析:本题主要考查自变量的取值范围,函数关系中主要有二次根式.根据二次根式的意义,被开方数是非负数.注意本题x值的取整性.
解答:解:根据题意得:,
解得﹣≤x≤3.
∴使代数式有意义的x的整数值为0、1、2、3.
点评:函数自变量的范围一般从三个方面考虑:
(1)当函数表达式是整式时,自变量可取全体实数;
(2)当函数表达式是分式时,考虑分式的分母不能为0;
(3)当函数表达式是二次根式时,被开方数为非负数.
10、函数y=+(x﹣1)0自变量的取值范围是x≥﹣2且x≠3和1.
考点:函数自变量的取值范围;分式有意义的条件;零指数幂;二次根式有意义的条件。
分析:本题主要考查自变量的取值范围,函数关系中主要有二次根式、0指数次幂和分式三部分.根据二次根式的意义,被开方数x+2≥0;根据分式有意义的条件,x﹣3≠0;根据0指数次幂的底数不为0,x﹣1≠0.解得x的范围.解答:解:根据题意得:x+2≥0且x﹣3≠0且x﹣1≠0
解得:x≥﹣2且x≠3和1
点评:函数自变量的范围一般从三个方面考虑:
(1)当函数表达式是整式时,自变量可取全体实数;
(2)当函数表达式是分式时,考虑分式的分母不能为0;
(3)当函数表达式是二次根式时,被开方数为非负数.
11、函数y=中,自变量x的取值范围是x≤4且x≠0.
考点:函数自变量的取值范围。
分析:根据二次根式和分式有意义的条件即可得到答案.
解答:解:要使得函数y=有意义,则需4﹣x≥0,且x≠0,
即:x≤4且x≠0.
故答案为x≤4且x≠0.
点评:本题考查了自变量的取值范围,自变量的取值范围要使得函数有意义,本题属于基础题,比较简单.
12、写出一个y关于x的函数关系式,使自变量x的取值范围是x≥2且x≠3,则这个函数关系式可以是
(答案不唯一).
考点:函数自变量的取值范围。
专题:开放型。
分析:根据自变量x的取值范围是x≥2且x≠3可得x﹣2≥0、x﹣3≠0,据此可以得到答案.
解答:解:∵自变量x的取值范围是x≥2且x≠3,
∴x﹣2≥0、x﹣3≠0,
∴这个函数关系式可以是(答案不唯一)等,
故答案为(答案不唯一).
点评:本题考查了函数自变量的取值范围的知识,是一道开放题,答案不唯一.
菁优网版权所有
仅限于学习使用,不得用于任何商业用途。