(完整版)排列组合二项式定理知识总结,推荐文档
- 格式:docx
- 大小:117.85 KB
- 文档页数:6
排列、组合与二项式定理1.两个计数原理(1)分类计数定理(加法原理):如果完成一件事,有n 类方式,在第1类方式中有1m 种不同的方法,在第2类方式中有2m 种不同的方法,......,在第n 类方式中有n m 种不同的方法,那么完成这件事共有n m m m N +++=...21种不同的方法.(2)分步计数定理(乘法原理):如果完成一件事,需要完成n 个步骤,做第1步有1m 种不同的方法,做第2步有2m 种不同的方法,......,做第n 步有n m 种不同的方法,那么完成这件事共有n m m m N ⨯⨯⨯= 21种不同的方法.(3)两个计数原理的区别分类计数原理与分步计数原理的区别关键在于看事件能否完成,事件完成了就是分类,分类后要将种数相加;事件必须要连续若干步才能完成的则是分步,分步后要将种数相乘.2.排列(1)排列的定义:一般地,从n 个不同元素中取出)(n m m ≤个元素,按照一定的顺序排成一列,叫做从n 个不同元素中取出m 个元素的一个排列.(2)排列数的定义:一般地,从n 个不同元素中取出)(n m m ≤个元素的所有排列的个数,叫做从n 个不同元素中取出m 个元素的排列数,用符号m n A 表示.(3)排列数公式:)1()2)(1()!(!+---=-=m n n n n m n n A m n .特别地:①(全排列).123)2)(1(!⋅⋅--== n n n n A n n ②.1!0=3.组合(1)组合的定义:一般地,从n 个不同元素中取出)(n m m ≤个元素并成一组,叫做从n 个不同元素中取出m 个元素的一个组合.(2)组合数的定义:一般地,从n 个不同元素中取出)(n m m ≤个元素的所有组合的个数,叫做从n 个不同元素中取出m 个元素的组合数,用符号m n C 表示.(3)组合数公式:()()()()121!!!!m m n n m m n n n n m A n C A m m n m ---+===- .特别地:01n C =.(4)组合数的性质:①m n n m n C C -=;②11-++=m n m n m n C C C ;③11--=kn k n nC kC .4.解决排列与组合问题的常用方法通法:先特殊后一般(有限制条件问题),先组合后排列(分组问题),先分类后分步(综合问题).例:某校开设9门课程供学生选修,其中A 、B 、C 三门由于上课时问相同,至多选一门,学校规定,每位同学选修4门,共有多少种不同的选修方案?答:.75461336=+C C C (1)特殊元素、位置优先安排法:对问题中的特殊元素或位置优先考虑排列,然后排列其他一般元素或位置.例4-1:0、2、3、4、5这五个数字,组成没有重复数字的三位数,其中偶数共有几个?答:.3013131224=+C C C A (2)限制条件排除法:先求出不考虑限制条件的个数,然后减去不符合条件的个数.也适用于解决“至多”“至少”的排列组合问题.例4-2:从7名男同学和5名女同学中选出5人,若至少有2名女同学当选,问有多少种情况?答:.596)(471557512=+-C C C C(3)相邻问题“捆绑法”:将必须相邻的元素“捆绑”在一起,当作一个元素进行排列,待整个问题排好之后再考虑它们内部的排列数,它主要用于解决相邻问题.例4-3:5个男生3个女生排成一列,要求女生排一起,共有几种排法?答:6363A A =4320(4)不相邻问题“插空法”:先把无位置要求的元素进行排列,再把规定不相邻的元素插入已排列好的元素形成的“空档”中(注意两端).例4-4:5个男生3个女生排成一列,要求女生不相邻且不可排两头,共有几种排法?答:5354A A (5)元素相同“隔板法”:若把n 个不加区分的相同元素分成m 组,可通过n 个相同元素排成一排,在元素之间插入1-m 块隔板来完成分组,共11--+m m n C 种方法.例4-5:10张参观公园的门票分给5个班,每班至少1张,有几种选法?答:.49C (6)元素不多“列举法”:即把符合条件的一一列举出来.例4-6:将数字1、2、3、4填入标号为1、2、3、4的四个方格内,每个方格填一个,则每个方格的标号与所填的数字均不相同的填法种数有种。
排列组合与二项式定理知识点第一、第二……第n 位上选取元素的方法都是m 个,所以从m 个不同元素中,每次取出n 个元素可重复排列数m·m·… m = m n .. 例如:n 件物品放入m 个抽屉中,不限放法,共有多少种不同放法? (解:nm 种)二、排列.1. ⑴对排列定义的理解.定义:从n 个不同的元素中任取m(m ≤n )个元素,按照一定顺序......排成一列,叫做从n 个不同元素中取出m 个元素的一个排列. ⑵相同排列.如果;两个排列相同,不仅这两个排列的元素必须完全相同,而且排列的顺序也必须完全相同. ⑶排列数.从n 个不同元素中取出m (m≤n )个元素排成一列,称为从n 个不同元素中取出m 个元素的一个排列. 从n 个不同元素中取出m 个元素的一个排列数,用符号m nA 表示.⑷排列数公式:),,()!(!)1()1(N m n n m m n n m n n n A m ∈≤-=+--=Λ注意:!)!1(!n n n n -+=⋅ 规定0! = 1111--++=⋅+=m nm n m n m m m n m n mA A C A A A11--=m n m n nA A 规定10==n nnC C2. 含有可重元素......的排列问题. 对含有相同元素求排列个数的方法是:设重集S 有k 个不同元素a 1,a 2,…...a n 其中限重复数为n 1、n 2……n k ,且n = n 1+n 2+……n k , 则S 的排列个数等于!!...!!21kn n n n n =. 例如:已知数字3、2、2,求其排列个数3!2!1)!21(=+=n 又例如:数字5、5、5、求其排列个数?其排列个数1!3!3==n . 三、组合.1. ⑴组合:从n 个不同的元素中任取m (m≤n )个元素并成一组,叫做从n 个不同元素中取出m 个元素的一个组合. ⑵组合数公式:)!(!!!)1()1(m n m n C m m n n n A A C m n m mm nmn-=+--==Λ⑶两个公式:①;mn n m n C C -= ②m n m n m n C C C 11+-=+①从n 个不同元素中取出m 个元素后就剩下n-m 个元素,因此从n 个不同元素中取出 n-m 个元素的方法是一一对应的,因此是一样多的就是说从n 个不同元素中取出n-m 个元素的唯一的一个组合.(或者从n+1个编号不同的小球中,n 个白球一个红球,任取m 个不同小球其不同选法,分二类,一类是含红球选法有1m n111m n C C C --=⋅一类是不含红球的选法有mnC )②根据组合定义与加法原理得;在确定n+1个不同元素中取m 个元素方法时,对于某一元素,只存在取与不取两种可能,如果取这一元素,则需从剩下的n 个元素中再取m-1个元素,所以有C 1-m n,如果不取这一元素,则需从剩余n 个元素中取出m 个元素,所以共有C mn种,依分类原理有m n m n m n C C C 11+-=+.⑷排列与组合的联系与区别.联系:都是从n 个不同元素中取出m 个元素. 区别:前者是“排成一排”,后者是“并成一组”,前者有顺序关系,后者无顺序关系. ⑸①几个常用组合数公式n n nn n n C C C 2210=+++Λλ 11111121153142011112++--++++++-+=+==++=+++=+++k n k n k n k n m n m m n m m m m m m n n n n n n n n C n C k nC kC C C C C C C C C C C C ΛΛΛ②常用的证明组合等式方法例.i. 裂项求和法. 如:)!1(11)!1(!43!32!21+-=++++n n n Λ(利用!1)!1(1!1n n n n --=-)ii. 导数法. iii. 数学归纳法. iv. 倒序求和法. v. 递推法(即用mn m n m n C C C 11+-=+递推)如:413353433+=+++n n C C C C C Λ.vi. 构造二项式. 如:nnn n n n C C C C 222120)()()(=+++Λ证明:这里构造二项式nnnx x x 2)1()1()1(+=++其中nx 的系数,左边为22120022110)()()(n n n n n n n n n n n n n n n n C C C C C C C C C C C +++=⋅++⋅+⋅+⋅--ΛΛ,而右边n n C 2=四、排列、组合综合.1. I. 排列、组合问题几大解题方法及题型: ①直接法. ②排除法.③捆绑法:在特定要求的条件下,将几个相关元素当作一个元素来考虑,待整体排好之后再考虑它们“局部”的排列.它主要用于解决“元素相邻问题”,例如,一般地,n 个不同元素排成一列,要求其中某)(n m m ≤个元素必相邻的排列有m mm n m n A A ⋅+-+-11个.其中11+-+-m n m n A 是一个“整体排列”,而m mA 则是“局部排列”.又例如①有n 个不同座位,A 、B 两个不能相邻,则有排列法种数为-2nA 2211A An ⋅-.②有n 件不同商品,若其中A 、B 排在一起有2211A An n ⋅--.③有n 件不同商品,若其中有二件要排在一起有112--⋅n n n A A .注:①③区别在于①是确定的座位,有22A 种;而③的商品地位相同,是从n 件不同商品任取的2个,有不确定性.④插空法:先把一般元素排列好,然后把待定元素插排在它们之间或两端的空档中,此法主要解决“元素不相邻问题”.例如:n 个元素全排列,其中m 个元素互不相邻,不同的排法种数为多少?mm n mn mn A A1+---⋅(插空法),当n– m+1≥m, 即m≤21+n 时有意义. ⑤占位法:从元素的特殊性上讲,对问题中的特殊元素应优先排列,然后再排其他一般元素;从位置的特殊性上讲,对问题中的特殊位置应优先考虑,然后再排其他剩余位置.即采用“先特殊后一般”的解题原则.⑥调序法:当某些元素次序一定时,可用此法.解题方法是:先将n 个元素进行全排列有nnA 种,)(n m m π个元素的全排列有m mA 种,由于要求m 个元素次序一定,因此只能取其中的某一种排法,可以利用除法起到去调序的作用,即若n 个元素排成一列,其中m 个元素次序一定,共有m mn nA A 种排列方法.例如:n 个元素全排列,其中m 个元素顺序不变,共有多少种不同的排法?解法一:(逐步插空法)(m+1)(m+2)…n = n !/ m !;解法二:(比例分配法)m mnn A A /.⑦平均法:若把kn 个不同元素平均分成k 组,每组n 个,共有k knnn n k n kn A C C C Λ)1(-⋅.例如:从1,2,3,4中任取2个元素将其平均分成2组有几种分法?有3!224=C (平均分组就用不着管组与组之间的顺序问题了)又例如将200名运动员平均分成两组,其中两名种子选手必在一组的概率是多少?(!2/102022818CC C P =) 注意:分组与插空综合. 例如:n 个元素全排列,其中某m 个元素互不相邻且顺序不变,共有多少种排法?有mmm m n mn mn A A A/1+---⋅,当n – m+1 ≥m, 即m≤21+n 时有意义. ⑧隔板法:常用于解正整数解组数的问题. 例如:124321=+++x x x x的正整数解的组数就可建立组合模型将12个完全相同的球排成一列,在它们之间形成11个空隙中任选三个插入3块摸板,把球分成4个组.每一种方法所得球的数目依次为4321,,,x x x x 显然124321=+++x x x x ,故(4321,,,x x x x )是方程的一组解.反之,方程的任何一组解),,,(4321y y y y ,对应着惟一的一种在12个球之间插入隔板的方式(如图 所示)故方程的解和插板的方法一一对应. 即方程的解的组数等于插隔板的方法数311C .注意:若为非负数解的x 个数,即用na a a ,...,21中ia 等于1+ix ,有Aaa a A x x x x nn =-+-+-⇒=+++1...11...21321,进而转化为求a 的正整数解的个数为1-+n nA C .⑨定位问题:从n 个不同元素中每次取出k 个不同元素作排列规定某r 个元素都包含在内,并且都排在某r 个指定位置则有r k r n r r A A --.例如:从n 个不同元素中,每次取出m 个元素的排列,其中某个元素必须固定在(或不固定在)某一位置上,共有多少种排法?固定在某一位置上:11--m n A ;不在某一位置上:11---m n m n A A或11111----⋅+m n m mn A A A(一类是不取出特殊元素a ,有mn A 1-,一类是取特殊元素a ,有从m-1个位置取一个位置,然后再从n-1个元素中取m-1,这与用插空法解决是一样的) ⑩指定元素排列组合问题.i. 从n 个不同元素中每次取出k 个不同的元素作排列(或组合),规定某r 个元素都包含在内 。
排列组合与二项式定理一、排列与组合简介在概率论和组合数学中,排列和组合是两个重要的概念。
排列和组合通常被用来描述从给定的有限集合中选择若干元素的方式。
排列指的是从一组元素中选择若干不同的元素并按照一定的顺序排列的方式。
对于一个有n个元素的集合,从中选择r个元素进行排列的方式数目记作P(n, r)。
排列主要有两种情况:1.重复元素情况下的排列,即元素可重复使用。
此时,P(n, r) = n^r.2.不重复元素情况下的排列,即元素不可重复使用。
此时,P(n, r) = n(n-1)(n-2)…(n-r+1) = n!/(n-r)!.组合指的是从一组元素中选择若干不同的元素,而不考虑元素的顺序的方式。
对于一个有n个元素的集合,从中选择r个元素进行组合的方式数目记作C(n, r)。
组合的计算公式为:C(n, r) = n!/[(n-r)!*r!].二、二项式定理的概念与展开二项式定理是高中数学中非常重要的一个定理,也是排列组合理论的重要应用。
它用于展开一个二项式的幂。
二项式定理的公式为:(x+y)^n = C(n,0)x ny^0 + C(n,1)x(n-1)y^1 + C(n,2)x(n-2)y^2 + … + C(n,n-1)x1y^(n-1) +C(n,n)x^0y^n.其中,C(n,r)表示从n个元素中选择r个元素进行组合的方式数目。
三、二项式定理的解读与应用二项式定理可以用来求解(x+y)^n的展开式中的各项系数。
在展开式中,每一项的系数就是对应的组合数。
举例说明,当n=3时,展开式为:(x+y)^3 = C(3,0)x3y^0 + C(3,1)x2y^1 + C(3,2)x1y^2 + C(3,3)x0y^3.展开后,得到:(x+y)^3 = x^3 + 3x^2y + 3x y^2 + y^3.可以看出,展开式中的每一项系数正好是对应的组合数。
二项式定理在概率论、组合数学、代数等领域具有广泛的应用。
可编辑修改精选全文完整版排列与组合一、两个根本计数原理:〔排列与组合的根底〕1、分类加法计数原理:做一件事,完成它可以有类方法,在第一类方法中有种不同的方法,在第二类方法中有种不同的方法,……,在第类方法中有种不同的方法,那么完成这件事共有种不同方法.2、分步乘法计数原理:做一件事,完成它需要分成个步骤,做第一步有种不同的方法,做第二步有种不同的方法,……,做第步有种不同的方法,那么完成这件事共有种不同的方法.二、排列与组合〔1〕排列定义:一般地,从个不同元素中取出个元素,按照一定顺序排成一列。
排列数公式:我们把正整数由1到的连乘积,叫做的阶乘,用表示,即,并规定。
全排列数公式可写成.〔主要用于化简、证明等〕(二)组合定义:一般地,从个不同元素中取出个元素合成一组,叫做从个不同元素中取出个元素的一个组合;组合数用符号表示组合数公式:变式:组合数的两个性质:1、三、二项式定理1、二项式定理:n n n r r n r n n n n n n b a C b a C b a C b a C b a 01100)(+++++=+-- .展开式具有以下特点:① 项数:共有1+n 项;② 系数:依次为组合数;,,,,,,210n n r n n n n C C C C C③ 每一项的次数是一样的,即为n 次,展开式依a 的降幕排列,b 的升幕排列展开.2、二项展开式的通项.n b a )+(展开式中的第1+r 项为:),0(1Z r n r b a C T r r n r n r ∈≤≤=-+.3、二项式系数的性质.①在二项展开式中与首未两项“等距离”的两项的二项式系数相等;②二项展开式的中间项二项式系数最大.I. 当n 是偶数时,中间项是第12+n 项,它的二项式系数2n n C 最大; II. 当n是奇数时,中间项为两项,即第21+n 项和第121++n 项,它们的二项式系数2121+-=n nn n C C 最大.③系数和: 1314201022-=++=+++=+++n n n n n n n n nn n C C C C C C C C。
排列组合二项式定理知识点2、排列、组合3、二项式定理内容典型题定义①二项式定理:(a+b)n=C 0n a n+C 1n a n-1b1+…+C r n a n-r b r+…+C n n b n=∑=nrrnCa n-rb r(n∈N+)②二项式展开式第r+1项通项公式:Tr-1=C r n a n-r b r其中C r n(r=0,1,2,…,n)叫做二项式系数.8.二项式8)1(-x的展开式中的第5项是( )A. 70x4B. 70x2C. 56x3D. -5623x9.二项式(x-2)12展开式中第3项的系数是( )A.264B.-264C.66D.-176010.(x-2)8 的展开式中, x6的系数是( )A. 56B. -56C. 28D. 22411.(x2+)5展开式中的10x是( )A.第2项B.第3项C.第4项D.第5项12.二项式x-1x6的展开式中常数项是( )A. 1B. 6C. 15D. 2013.设(3-x)n=nnxaxaxaa+⋅⋅⋅+++221,已知naaaa+⋅⋅⋅+++21=64,则n=.14.设二项式(3x+5)10=188991010axaxaxaxa++⋅⋅⋅+++,则18910aaaaa+-⋅⋅⋅-+-=.15.二项式2x-1x6的展开式中二项式系数最大的项是.性质①在二项展开式中,与首末两端“等距离”的两项的二项式系数相等.②如果二项式的幂指数是偶数,则中间一项的二项系数最大;如果二项式的幂指数是奇数,则中间两项的二项式系数相等并且最大.③二项式系数的和为n2,即nC+1nC+…+rnC+…+nnC=n2④奇数项的二项式系数的和等于偶数项的二项式系数的和,即nC+2nC+…=1nC+3nC+…=12-n。
排列组合二项定理考试内容:分类计数原理与分步计数原理.排列.排列数公式.组合.组合数公式.组合数的两个性质.二项式定理.二项展开式的性质.考试要求:(1)掌握分类计数原理与分步计数原理,并能用它们分析和解决一些简单的应用问题.(2)理解排列的意义,掌握排列数计算公式,并能用它解决一些简单的应用问题.(3)理解组合的意义,掌握组合数计算公式和组合数的性质,并能用它们解决一些简单的应用问题.(4)掌握二项式定理和二项展开式的性质,并能用它们计算和证明一些简单的问题.排列组合二项定理知识要点一、两个原理.1. 乘法原理、加法原理.2. 可.以有..重复..的排列...元素从m个不同元素中,每次取出n个元素,元素可以重复出现,按照一定的顺序排成一排,那么第一、第二……第n位上选取元素的方法都是m个,所以从m个不同元素中,每次取出n个元素可重复排列数m·m·… m = m n.. 例如:n 件物品放入m 个抽屉中,不限放法,共有多少种不同放法? (解:n m 种)二、排列.1. ⑴对排列定义的理解.定义:从n 个不同的元素中任取m(m ≤n )个元素,按照一定顺序......排成一列,叫做从n 个不同元素中取出m 个元素的一个排列. ⑵相同排列.如果;两个排列相同,不仅这两个排列的元素必须完全相同,而且排列的顺序也必须完全相同. ⑶排列数.从n 个不同元素中取出m (m≤n )个元素排成一列,称为从n 个不同元素中取出m 个元素的一个排列. 从n 个不同元素中取出m 个元素的一个排列数,用符号m n A 表示. ⑷排列数公式:注意:!)!1(!n n n n -+=⋅ 规定0! = 1111--++=⋅+=m nm n m n m m m n m n mA A C A A A 11--=m n m n nA A 规定10==n n n C C 2. 含有可重元素......的排列问题. 对含有相同元素求排列个数的方法是:设重集S 有k 个不同元素a 1,a 2,…...a n 其中限重复数为n 1、n 2……n k ,且n = n 1+n 2+……n k , 则S 的排列个数等于!!...!!21k n n n n n =.例如:已知数字3、2、2,求其排列个数3!2!1)!21(=+=n 又例如:数字5、5、5、求其排列个数?其排列个数1!3!3==n .三、组合.1. ⑴组合:从n 个不同的元素中任取m (m≤n )个元素并成一组,叫做从n 个不同元素中取出m 个元素的一个组合.⑵组合数公式:)!(!!!)1()1(m n m n C m m n n n A A C m nm mm nmn-=+--==Λ ⑶两个公式:①;mn n m n C C -= ②m n m n m n C C C 11+-=+①从n 个不同元素中取出m 个元素后就剩下n-m 个元素,因此从n 个不同元素中取出 n-m 个元素的方法是一一对应的,因此是一样多的就是说从n 个不同元素中取出n-m 个元素的唯一的一个组合.(或者从n+1个编号不同的小球中,n 个白球一个红球,任取m 个不同小球其不同选法,分二类,一类是含红球选法有1m n 111m n C C C --=⋅一类是不含红球的选法有m n C )②根据组合定义与加法原理得;在确定n+1个不同元素中取m 个元素方法时,对于某一元素,只存在取与不取两种可能,如果取这一元素,则需从剩下的n 个元素中再取m-1个元素,所以有C 1-m n ,如果不取这一元素,则需从剩余n 个元素中取出m 个元素,所以共有C mn 种,依分类原理有mn m n m n C C C 11+-=+.⑷排列与组合的联系与区别.联系:都是从n 个不同元素中取出m 个元素.区别:前者是“排成一排”,后者是“并成一组”,前者有顺序关系,后者无顺序关系.⑸①几个常用组合数公式 ②常用的证明组合等式方法例. i. 裂项求和法. 如:)!1(11)!1(!43!32!21+-=++++n n n Λ(利用!1)!1(1!1n n n n --=-)ii. 导数法. iii. 数学归纳法. iv. 倒序求和法.v. 递推法(即用m n m n m n C C C 11+-=+递推)如:413353433+=+++n n C C C C C Λ. vi. 构造二项式. 如:nn n n n n C C C C 222120)()()(=+++Λ证明:这里构造二项式n n n x x x 2)1()1()1(+=++其中n x 的系数,左边为22120022110)()()(n n n n n n n n n n n n n n n n C C C C C C C C C C C +++=⋅++⋅+⋅+⋅--ΛΛ,而右边nn C 2= 四、排列、组合综合.1. I. 排列、组合问题几大解题方法及题型: ①直接法. ②排除法.③捆绑法:在特定要求的条件下,将几个相关元素当作一个元素来考虑,待整体排好之后再考虑它们“局部”的排列.它主要用于解决“元素相邻问题”,例如,一般地,n 个不同元素排成一列,要求其中某)(n m m ≤个元素必相邻的排列有m m m n m n A A ⋅+-+-11个.其中11+-+-m n m n A 是一个“整体排列”,而m m A 则是“局部排列”.又例如①有n 个不同座位,A 、B 两个不能相邻,则有排列法种数为-2n A 2211A An ⋅-. ②有n 件不同商品,若其中A 、B 排在一起有2211A An n ⋅--.③有n 件不同商品,若其中有二件要排在一起有112--⋅n n nA A. 注:①③区别在于①是确定的座位,有22A 种;而③的商品地位相同,是从n 件不同商品任取的2个,有不确定性.④插空法:先把一般元素排列好,然后把待定元素插排在它们之间或两端的空档中,此法主要解决“元素不相邻问题”.例如:n 个元素全排列,其中m 个元素互不相邻,不同的排法种数为多少?mm n m n m n A A 1+---⋅(插空法),当n – m+1≥m, 即m≤21+n 时有意义.⑤占位法:从元素的特殊性上讲,对问题中的特殊元素应优先排列,然后再排其他一般元素;从位置的特殊性上讲,对问题中的特殊位置应优先考虑,然后再排其他剩余位置.即采用“先特殊后一般”的解题原则.⑥调序法:当某些元素次序一定时,可用此法.解题方法是:先将n 个元素进行全排列有n n A 种,)(n m m π个元素的全排列有m m A 种,由于要求m 个元素次序一定,因此只能取其中的某一种排法,可以利用除法起到去调序的作用,即若n 个元素排成一列,其中m 个元素次序一定,共有m mn n A A 种排列方法.例如:n 个元素全排列,其中m 个元素顺序不变,共有多少种不同的排法? 解法一:(逐步插空法)(m+1)(m+2)…n = n!/ m !;解法二:(比例分配法)m m n n A A /.⑦平均法:若把kn 个不同元素平均分成k 组,每组n 个,共有k knnn n k n kn A C C C Λ)1(-⋅.例如:从1,2,3,4中任取2个元素将其平均分成2组有几种分法?有3!224=C (平均分组就用不着管组与组之间的顺序问题了)又例如将200名运动员平均分成两组,其中两名种子选手必在一组的概率是多少? (!2/102022818C C C P =)注意:分组与插空综合. 例如:n 个元素全排列,其中某m 个元素互不相邻且顺序不变,共有多少种排法?有mm m m n m n m n A A A /1+---⋅,当n – m+1 ≥m, 即m≤21+n 时有意义.⑧隔板法:常用于解正整数解组数的问题.例如:124321=+++x x x x 的正整数解的组数就可建立组合模型将12个完全相同的球排成一列,在它们之间形成11个空隙中任选三个插入3块摸板,把球分2x 4成4个组.每一种方法所得球的数目依次为4321,,,x x x x 显然124321=+++x x x x ,故(4321,,,x x x x )是方程的一组解.反之,方程的任何一组解),,,(4321y y y y ,对应着惟一的一种在12个球之间插入隔板的方式(如图所示)故方程的解和插板的方法一一对应. 即方程的解的组数等于插隔板的方法数311C .注意:若为非负数解的x 个数,即用na a a , (21)ia 等于1+i x ,有A a a a A x x x x n n =-+-+-⇒=+++1...11...21321,进而转化为求a 的正整数解的个数为1-+n n A C .⑨定位问题:从n 个不同元素中每次取出k 个不同元素作排列规定某r 个元素都包含在内,并且都排在某r 个指定位置则有rk r n r r A A --.例如:从n 个不同元素中,每次取出m 个元素的排列,其中某个元素必须固定在(或不固定在)某一位置上,共有多少种排法?固定在某一位置上:11--m n A ;不在某一位置上:11---m n m n A A 或11111----⋅+m n m m n A A A (一类是不取出特殊元素a ,有mn A 1-,一类是取特殊元素a ,有从m-1个位置取一个位置,然后再从n-1个元素中取m-1,这与用插空法解决是一样的) ⑩指定元素排列组合问题.i. 从n 个不同元素中每次取出k 个不同的元素作排列(或组合),规定某r个元素都包含在内 。
高中数学第十章-排列组合二项定理考试内容:分类计数原理与分步计数原理. 排列.排列数公式.组合.组合数公式.组合数的两个性质. 二项式定理.二项展开式的性质. 考试要求:(1)掌握分类计数原理与分步计数原理,并能用它们分析和解决一些简单的应用问题. (2)理解排列的意义,掌握排列数计算公式,并能用它解决一些简单的应用问题.(3)理解组合的意义,掌握组合数计算公式和组合数的性质,并能用它们解决一些简单的应用问题. (4)掌握二项式定理和二项展开式的性质,并能用它们计算和证明一些简单的问题.§10. 排列组合二项定理 知识要点一、两个原理.1. 乘法原理、加法原理.2. 可.以有..重复..元素..的排列. 从m 个不同元素中,每次取出n 个元素,元素可以重复出现,按照一定的顺序排成一排,那么第一、第二……第n 位上选取元素的方法都是m 个,所以从m 个不同元素中,每次取出n 个元素可重复排列数m·m·… m = m n .. 例如:n 件物品放入m 个抽屉中,不限放法,共有多少种不同放法? (解:nm种)二、排列.1. ⑴对排列定义的理解.定义:从n 个不同的元素中任取m(m ≤n )个元素,按照一定顺序......排成一列,叫做从n 个不同元素中取出m 个元素的一个排列. ⑵相同排列.如果;两个排列相同,不仅这两个排列的元素必须完全相同,而且排列的顺序也必须完全相同. ⑶排列数.从n 个不同元素中取出m (m≤n )个元素排成一列,称为从n 个不同元素中取出m 个元素的一个排列. 从n 个不同元素中取出m 个元素的一个排列数,用符号m n A 表示.⑷排列数公式: ),,()!(!)1()1(N m n n m m n n m n n n A m ∈≤-=+--=注意:!)!1(!n n n n -+=⋅ 规定0! = 1111--++=⋅+=m n m n m n m m m n m n mA A C A A A 11--=m n m n nA A 规定10==n n n C C 2. 含有可重元素......的排列问题. 对含有相同元素求排列个数的方法是:设重集S 有k 个不同元素a 1,a 2,…...a n 其中限重复数为n 1、n 2……n k ,且n = n 1+n 2+……n k , 则S 的排列个数等于!!...!!21k n n n n n =.例如:已知数字3、2、2,求其排列个数3!2!1)!21(=+=n 又例如:数字5、5、5、求其排列个数?其排列个数1!3!3==n .三、组合.1. ⑴组合:从n 个不同的元素中任取m (m≤n )个元素并成一组,叫做从n 个不同元素中取出m 个元素的一个组合.⑵组合数公式:)!(!!!)1()1(m n m n C m m n n n A A C mn mmm n mn-=+--== ⑶两个公式:①;m n n mn CC -= ②mn m n m n C C C11+-=+①从n 个不同元素中取出m 个元素后就剩下n-m 个元素,因此从n 个不同元素中取出 n-m 个元素的方法是一一对应的,因此是一样多的就是说从n 个不同元素中取出n-m 个元素的唯一的一个组合.(或者从n+1个编号不同的小球中,n 个白球一个红球,任取m 个不同小球其不同选法,分二类,一类是含红球选法有1m n 111m n C C C --=⋅一类是不含红球的选法有m n C )②根据组合定义与加法原理得;在确定n+1个不同元素中取m 个元素方法时,对于某一元素,只存在取与不取两种可能,如果取这一元素,则需从剩下的n 个元素中再取m-1个元素,所以有C 1-m n ,如果不取这一元素,则需从剩余n 个元素中取出m 个元素,所以共有C mn 种,依分类原理有m n m n m n C C C 11+-=+.⑷排列与组合的联系与区别.联系:都是从n 个不同元素中取出m 个元素.区别:前者是“排成一排”,后者是“并成一组”,前者有顺序关系,后者无顺序关系. ⑸①几个常用组合数公式n n nn n n C C C 2210=+++ 11111121153142011112++--++++++-+=+==++=+++=+++k n k n k n k n m n m m n m m m m m m n n n n n n n n C n C k nC kC C C C C C C C C C C C②常用的证明组合等式方法例.i. 裂项求和法. 如:)!1(11)!1(!43!32!21+-=++++n n n (利用!1)!1(1!1n n n n --=-) ii. 导数法. iii. 数学归纳法. iv. 倒序求和法.v. 递推法(即用m n m n m n C C C 11+-=+递推)如:413353433+=+++n n C C C C C . vi. 构造二项式. 如:nn n n n n C C C C 222120)()()(=+++证明:这里构造二项式n n n x x x 2)1()1()1(+=++其中n x 的系数,左边为22120022110)()()(n n n n n n n n n n n n n n n n C C C C C C C C C C C +++=⋅++⋅+⋅+⋅-- ,而右边nn C 2= 四、排列、组合综合.1. I. 排列、组合问题几大解题方法及题型: ①直接法. ②排除法. ③捆绑法:在特定要求的条件下,将几个相关元素当作一个元素来考虑,待整体排好之后再考虑它们“局部”的排列.它主要用于解决“元素相邻问题”,例如,一般地,n 个不同元素排成一列,要求其中某)(n m m ≤个元素必相邻的排列有m m m n m n A A ⋅+-+-1111+-+-m n m n A 是一个“整体排列”,而m m A 则是“局部排列”.又例如①有n 个不同座位,A 、B 两个不能相邻,则有排列法种数为-2n A 2211A A n ⋅-. ②有n 件不同商品,若其中A 、B 排在一起有2211A A n n ⋅--. ③有n 件不同商品,若其中有二件要排在一起有112--⋅n n n A A . 注:①③区别在于①是确定的座位,有22A 种;而③的商品地位相同,是从n 件不同商品任取的2个,有不确定性.④插空法:先把一般元素排列好,然后把待定元素插排在它们之间或两端的空档中,此法主要解决“元素不相邻问题”.例如:n 个元素全排列,其中m 个元素互不相邻,不同的排法种数为多少?mm n m n m n A A 1+---⋅(插空法),当n – m+1≥m, 即m≤21+n 时有意义.⑤占位法:从元素的特殊性上讲,对问题中的特殊元素应优先排列,然后再排其他一般元素;从位置的特殊性上讲,对问题中的特殊位置应优先考虑,然后再排其他剩余位置.即采用“先特殊后一般”的解题原则.⑥调序法:当某些元素次序一定时,可用此法.解题方法是:先将n 个元素进行全排列有n n A 种,)(n m m 个元素的全排列有m m A 种,由于要求m 个元素次序一定,因此只能取其中的某一种排法,可以利用除法起到去调序的作用,即若n 个元素排成一列,其中m 个元素次序一定,共有m mn n A A 种排列方法.例如:n 个元素全排列,其中m 个元素顺序不变,共有多少种不同的排法?解法一:(逐步插空法)(m+1)(m+2)…n = n !/ m !;解法二:(比例分配法)mm n n A A /. ⑦平均法:若把kn 个不同元素平均分成k 组,每组n 个,共有k knnn n k n kn A C C C )1(-⋅.例如:从1,2,3,4中任取2个元素将其平均分成2组有几种分法?有3!224=C (平均分组就用不着管组与组之间的顺序问题了)又例如将200名运动员平均分成两组,其中两名种子选手必在一组的概率是多少?(!2/102022818C C C P =)注意:分组与插空综合. 例如:n 个元素全排列,其中某m 个元素互不相邻且顺序不变,共有多少种排法?有mm mm n mn m n A A A /1+---⋅,当n – m+1 ≥m, 即m≤21+n 时有意义.⑧隔板法:常用于解正整数解组数的问题.例如:124321=+++x x x x 4321,,,x x x x 显然124321=+++x x x x ,故(4321,,,x x x x )是方程的一组解.反之,方程的任何一组解),,,(4321y y y y ,对应着惟一的一种在12个球之间插入隔板的方式(如图所示)故方程的解和插板的方法一一对应. 即方程的解的组数等于插隔板的方法数311C . 注意:若为非负数解的x 个数,即用n a a a ,...,21中i a 等于1+i x ,有A a a a Ax x x n n =-+-+-⇒=1...11...213,进而转化为求a 的正整数解的个数为1-+n n A C . ⑨定位问题:从n 个不同元素中每次取出k 个不同元素作排列规定某r 个元素都包含在内,并且都排在某r 个指定位置则有rk r n r r A A --.例如:从n 个不同元素中,每次取出m 个元素的排列,其中某个元素必须固定在(或不固定在)某一位置上,共有多少种排法?固定在某一位置上:11--m n A ;不在某一位置上:11---m n m n A A 或11111----⋅+m n m m n A A A (一类是不取出特殊元素a ,有mn A 1-,一类是取特殊元素a ,有从m-1个位置取一个位置,然后再从n-1个元素中取m-1,这与用插空法解决是一样的) ⑩指定元素排列组合问题.i. 从n 个不同元素中每次取出k 个不同的元素作排列(或组合),规定某r 个元素都包含在内 。
二项式定理与排列组合的应用知识点总结在数学中,二项式定理与排列组合是两个重要的概念。
二项式定理是代数中的一项基本定理,而排列组合是组合数学中的重要概念。
本文将对二项式定理和排列组合的应用进行知识点总结。
一、二项式定理二项式定理是数学中的一个重要定理,它是关于二项式与幂的展开公式。
二项式定理的公式表达如下:(a + b)^n = C(n, 0) * a^n * b^0 + C(n, 1) * a^(n-1) * b^1 + ... + C(n, n) * a^0 * b^n其中,C(n, k)表示组合数,即从n个元素中选择k个元素的组合数。
组合数的计算公式为:C(n, k) = n! / (k! * (n-k)!)二项式定理给出了二项式的展开公式,使我们可以快速求解幂指数较大的二项式。
其应用广泛,包括代数、概率统计等领域。
二、排列组合排列组合是组合数学中的一个分支,研究的是从给定的元素集合中选取出若干元素,按照一定规则进行排列或组合的方法。
排列和组合的计算公式如下:排列:P(n, k) = n! / (n-k)!组合:C(n, k) = n! / (k! * (n-k)!)其中,n表示元素的总个数,k表示选取的元素个数。
排列组合在实际问题中有着广泛的应用。
例如,在概率统计中,排列组合可用于计算事件发生的可能数;在密码学中,排列组合可用于计算密码的破解难度;在传统的魔方游戏中,排列组合可用于计算还原魔方的步骤等。
三、应用举例1. 掷硬币问题:将一枚硬币连续投掷3次,求出正反面出现的不同可能性。
解:根据排列组合的知识,将硬币的正反面看作两个元素,共有2个元素,从中选择3个元素排列,即为排列问题。
根据排列问题的计算公式,可得 P(2, 3) = 2! / (2-3)! = 2。
故,正反面出现的不同可能性为2种。
2. 发牌问题:从一副扑克牌中,随机抽出5张牌,在这5张牌中有几种同花色的可能性?解:根据排列组合的知识,将扑克牌的花色看作4个元素,从4个元素中选取1个元素,即为组合问题。
二项式定理与排列组合的知识点总结二项式定理是高中数学中的一个重要定理,它与排列组合有着密切的联系。
本文将对二项式定理和排列组合的知识点进行总结,希望能够为读者提供清晰明了的概念和理解。
一、排列组合的基本概念排列组合是数学中研究对象的一种组织方式。
排列是指将一组元素按照一定顺序进行布置,而组合是指从一组元素中取出若干元素组成一个集合。
1. 排列排列是指从一组元素中有序地选取若干个元素进行布置。
主要分为两种类型:有放回排列和无放回排列。
有放回排列是指在选择完元素后将其放回原处,元素可以被多次选取。
而无放回排列是指在选择完元素后不放回,下次选择时不能再选取。
2. 组合组合是指从一组元素中无序地选择若干个元素进行组合。
同样地,组合也可以分为有放回组合和无放回组合两种类型。
二、二项式定理的概念和公式二项式定理是代数学中的一个重要定理,用于展开二项式的幂。
它表述了如下公式:(a + b)^n = C(n,0)a^n + C(n,1)a^(n-1)b + C(n,2)a^(n-2)b^2 + ... + C(n,n-1)ab^(n-1) + C(n,n)b^n其中,a,b是实数或者变量,n为非负整数。
C(n, k)表示从n个元素中取出k个元素的组合数,也称为二项系数。
具体计算公式如下:C(n, k) = n! / (k!(n-k)!)三、二项式定理与排列组合的关系二项式定理中的二项系数C(n, k)正是组合数的计算公式,说明了二项式展开式中各项系数的求解方法。
1. 二项式系数的性质二项系数具有一些重要的性质,包括对称性、加法原理和乘法原理等。
这些性质在解决排列组合问题时具有重要的指导作用。
2. 应用举例利用二项式定理和排列组合的知识,可以解决一些实际问题。
比如,求解一组数的幂展开式中某一项的系数、计算某些特殊排列组合的总数等等。
四、应用示例在实际应用中,二项式定理与排列组合经常被用于解决一些概率、统计和计算问题。
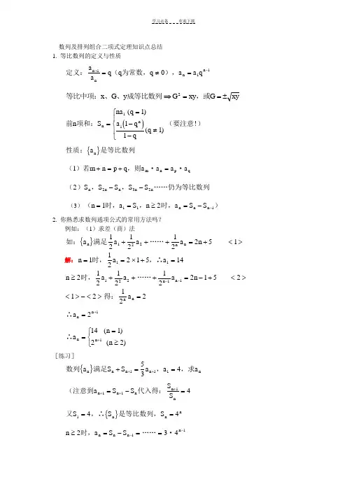
数列及排列组合二项式定理知识点总结 1. 等比数列的定义与性质 定义:(为常数,),a a q q q a a q n nn n +-=≠=1110 等比中项:、、成等比数列,或x G y G xy G xy ⇒==±2()前项和:(要注意)n S na q a q q q n n ==--≠⎧⎨⎪⎩⎪111111()()!{}性质:是等比数列a n ()若,则··1m n p q a a a a m n p q +=+=(),,……仍为等比数列2232S S S S S n n n n n --(3)(时,,时,)n a S n a S S n n n ==≥=--12111 2. 你熟悉求数列通项公式的常用方法吗?例如:(1)求差(商)法{}如:满足……a a a a n n n n 121212251122+++=+<>解:n a a ==⨯+=1122151411时,,∴n a a a n n n ≥+++=-+<>--2121212215212211时,……<>-<>=12122得:n n a∴a n n =+21∴a n n n n ==≥⎧⎨⎩+141221()()[练习]{}数列满足,,求a S S a a a n n n n n +==++111534 (注意到代入得:a S S S S n n n n n+++=-=1114 {}又,∴是等比数列,S S S n n n144==n a S S n n n n ≥=-==--23411时,……·(2)叠乘法{}例如:数列中,,,求a a a a nn a n n n n 1131==++ 解:a a a a a a n n a a nn n n 213211122311·……·……,∴-=-= 又,∴a a nn 133==(3)等差型递推公式由,,求,用迭加法a a f n a a a n n n -==-110()n a a f a a f a a f n n n ≥-=-=-=⎫⎬⎪⎪⎭⎪⎪-22321321时,…………两边相加,得:()()()a a f f f n n -=+++123()()()…… ∴……a a f f f n n =++++023()()() [练习]{}()数列,,,求a a a a n a n n n n n 111132==+≥--()()a n n=-1231 (4)等比型递推公式()a ca d c d c c d n n =+≠≠≠-1010、为常数,,, ()可转化为等比数列,设a x c a x n n +=+-1 ()⇒=+--a ca c x n n 11 令,∴()c x d x d c -==-11∴是首项为,为公比的等比数列a d c a dc c n +-⎧⎨⎩⎫⎬⎭+-111∴·a d c a d c c n n +-=+-⎛⎝ ⎫⎭⎪-1111∴a a d c c dc n n =+-⎛⎝⎫⎭⎪---1111[练习]{}数列满足,,求a a a a a n n n n 11934=+=+()a n n =-⎛⎝ ⎫⎭⎪+-84311(5)倒数法例如:,,求a a a a a n nn n 11122==++由已知得:1221211a a a a n n n n+=+=+ ∴11121a a n n +-= ∴⎧⎨⎩⎫⎬⎭=111121a a n 为等差数列,,公差为 ()()∴=+-=+11112121a n n n · ∴a n n =+213. 你熟悉求数列前n 项和的常用方法吗?例如:(1)裂项法:把数列各项拆成两项或多项之和,使之出现成对互为相反数的项。
高中数学知识点总结及公式大全排列组合与二项式定理高中数学知识点总结及公式大全:排列组合与二项式定理一. 排列组合排列组合是高中数学中重要的知识点之一,用于解决计数问题。
排列组合分为排列和组合两种情况。
1. 排列排列是指从一组对象中按照一定的顺序选择若干个对象进行排列。
高中数学中常用的排列公式为:An= n!/(n-r)!,其中n表示总数,r表示选取的个数。
排列的特点是考虑顺序,即不同的顺序被视为不同的排列。
2. 组合组合是指从一组对象中选择若干个对象进行组合,不考虑顺序。
高中数学中常用的组合公式为:Cn= n!/[(n-r)!*r!],其中n表示总数,r表示选取的个数。
组合的特点是不考虑顺序,即不同的顺序被视为相同的组合。
二. 二项式定理二项式定理是高中数学中的重要定理之一,用于展开一个任意次数的二项式表达式。
二项式定理的公式为:(a+b)^n = Cn0 * a^n * b^0 + Cn1 * a^(n-1) * b^1 + Cn2 * a^(n-2) * b^2 + ... + Cnr * a^(n-r) * b^r + ... + Cnn * a^0 * b^n 其中Cnr代表组合数,表示从n中选取r个的组合数。
三. 相关数学公式除了排列组合和二项式定理,高中数学还有许多重要的公式需要掌握。
1. 三角函数相关公式:- 三角恒等式:sin^2x + cos^2x = 1;tanx = sinx/cosx- 三角和差公式:sin(x ± y) = sinx*cosy ± cosx*siny;cos(x ± y) = cosx*cosy - sinx*siny- 三角倍角公式:sin2x = 2sinxcosx;cos2x=cos^2x-sin^2x=2cos^2x-1=1-2sin^2x2. 数列与数列求和公式:- 等差数列通项公式:an = a1 + (n-1)d;等差数列前n项和公式:Sn = n/2(a1 + an) = n/2(2a1 + (n-1)d)- 等比数列通项公式:an = a1 * r^(n-1);等比数列前n项和公式:Sn = (a1(1-r^n))/(1-r)3. 平面几何相关公式:- 点到直线的距离公式:d = | Ax0 + By0 + C | / √(A^2 + B^2)- 两点间距离公式:d = √[(x2 - x1)^2 + (y2 - y1)^2]- 矩形面积公式:S = a * b- 三角形面积公式:S = 1/2 * a * b * sinγ以上只是数学知识点的一部分,针对不同的题目和问题,可能还需要运用其他公式和方法进行解题。
排列组合二项式定理知识点以及典型例题总结考纲要求:1.知道分类计数原理与分步计数原理的区别,会用两个原理分析和解决一些简单的问题2.知道排列和组合的区别和联系,记住排列数和组合数公式,能用它们解决一些简单的应3.知道一些组合数性质的应用.4.了解二项式定理及其展开式5.记住二项式展开式的通项公式,并能够运用它求展开式中指定的项6.了解二项式系数的性质,能够利用二项式展开式的通项公式求出展开式中二项式系数最大的项.7.了解二项式的展开式中二项式系数与项的系数的区别知识点一:计数原理1.分类加法计数原理如果完成一件事,有n类办法,在第1类办法中有m1种不同的方法,在第2类办法中有m2种不同的方法,…,在第n类办法中有m n种不同的方法,那么完成这件事共有N=m1+m2+…+m n种不同的方法.两个基本计数原理的区别:分类计数原理——每一类办法都能把事单独完成;分步计数原理——缺少任何一个步骤都无法把事完成.2.分步乘法计数原理如果完成一件事,需分成n个步骤,做第1步有m1种不同的方法,做第2步有m2种不同的方法,…,做第n步有m n种不同的方法,那么完成这件事共有N=m1·m2·…·m n种不同的方法.知识点二:排列1.排列的定义:一般地,从n个不同的元素中,任取m(m≤n)个元素,按照一定顺序排成一列,叫作从n个不同元素中取出m 个元素的一个排列.如果m <n ,这样的排列叫作选排列.如果m =n ,这样的排列叫作全排列.2. 排列数的定义:从n 个不同元素中取出m (m ≤n )个元素的所有排列的个数,叫作从n 个不同元素中取出m 个元素的排列数,用符号P mn 表示.3. 排列数的公式: (1) P m n =n ·(n -1)·(n -2)·…·(n -m +1);(2) P m n =()!!n n m -; 规定:0!=1.知识点三:组合1.组合的定义:一般地,从n 个不同元素中,任取m (m ≤n )个元素并成一组,叫做从n 个不同元素中取出m 个元素的一个组合.2.组合数的定义:从n 个不同元素中取出m (m ≤n )个元素的所有组合的个数,叫做从n 个不同元素中取出m 个元素的组合数,用符号C mn 表示.3. 组合数公式: (1)()()()121P C P !m mn n m n n n n n m m ---+==(2)()!C !!m n n m n m =-(n ,m ∈N +,且m ≤n ) 4. 组合数性质:(1) C =C m n m n n -;(2) 111C +C C mm m n n n +++=知识点四:二项式定理1. 二项式定理(a +b )n =011222C C C C C n n n m n m nn n n n n n a a b a b a b b ---++++++, n ∈N +其中C m n (m =0,1,2,…,n )叫做二项式系数;T m +1=C m n m m n a b -叫做二项式展开式的通项公式.2. 二项式系数的性质:(1)每一行的两端都是1,其余每一个数都是它“肩上”两个数的和;(2)在二项展开式中,与首末两端“等距离”的两项的二项式系数相等,即C C r n r n n -=(3)如果二项式的幂指数n 是偶数,那么中间一项即第12n +项的系数最大;如果二项式的幂指数n 是奇数,那么中间两项即第12n +项和第32n +项的二项式系数相等且最大; (4)(a +b )n 的二项式系数之和为2n ,即012C C C ++C ++C m n n n n n n ++=2n ; (5)(a +b )n 的二项展开式中,奇数项的二项式系数之和等于偶数项的二项式系数之和,都等12n -,024C C C +n n n ++135C +C C n n n =++12n -=.题型一 分类加法计数原理例1 一个盒子里有4个不同的红球,3个不同的黄球和5个不同的蓝球.从盒子中任取一个球,有多少种不同的取法?分析:盒子中取出一个球就可以完成任务,所以考察分类加法计数原理.解答:从盒子中任取一个球,共有三类方案:第一类方案,从4个不同的红球中任取一球,有4种方法;第二类方案,从3个不同的黄球中任取一球,有3种方法;第三类方案,从5个不同的蓝球中任取一球,有5种方法.所以,选一个班担任升旗任务的方法共有:12+10+10=32(种)题型二分步乘法计数原理例2 一个盒子里有4个不同的红球,7个不同的黄球和5个不同的蓝球.从盒子中取红球、黄球和蓝球各一个,有多少种不同的取法?分析:盒子中各取出一个球需要分三步,所以考察分步乘法计数原理.解答:完成这件事需要分三步.第一步,从4个不同的红球中任取一球,有4种方法;第二步,从3个不同的黄球中任取一球,有3种方法;第三步,从5个不同的蓝球中任取一球,有5种方法.由分步乘法计数原理,从盒子中取红球、黄球和蓝球各一个共有⨯⨯435=60种不同的取法.例3 邮政大厅有4个邮筒,现将三封信逐一投入邮筒,共有多少种投法?分析:三封信逐一投入邮筒分成三个步骤,每个步骤投一封信,分别均有4种方法.解答:应用分步计数原理,投法共有44464⨯⨯=种.题型三分类分步混合运算例4 一个盒子里有4个不同的红球,7个不同的黄球和5个不同的蓝球.从盒子中任取2个颜色不同的球,有多少种不同的取法?分析分类计数原理与分步计数原理混合使用的问题,一般要“先分类,后分步”.解答:可按所选两球的颜色分为如下3类.第1类:红球、黄球各一个,有4×7=28种选法;第2类:红球、蓝球各一个,有4×5=20种选法;第3类:黄球、蓝球各一个,有7×5=35种选法.根据分类计数原理,不同的选法种数为N =28+20+35=83(种).知识点二 排列题型一 排列数公式的运用例5 已知221P P n n +-=10,则n 的值为( ). A .4 B .5 C .6 D .7解答:由221P P n n +-=10,得(n +1)n -n (n -1)=10,解得n =5.故选B .题型二 排列的运用例6 小华准备从7本世界名著中任选3本,分别送给甲、乙、丙3位同学,每人1本,共有多少种选法?分析 选出3本不同的书,分别送给甲乙丙3位同学,书的不同排序,结果是不同的.因此选法的种数是从7个不同元素中取出3个元素的排列数.解答:不同的送法的种数是 37P 765210=⨯⨯=.即共有210种不同送法.题型三 某元素一定在某位置例7 4名男生和3名女生排成一排照相,分别按下列要求,求各有多少种不同的排法.(1)男生甲一定在中间位置;(2)男生甲不在中间位置.分析 本题是有限制条件的排列问题,若有特殊元素优先考虑特殊元素,若有特殊位置,优先考虑特殊位置.(1)分两步完成:第一步,男生站在中间位置,有一种排法;第二步,排其他的元素,共有66P 种排法.所以,男生甲一定在中间位置共有661P 720⨯=种排法.(2)分两步完成:第一步,男生不在中间位置,有5种排法;第二步,排其他的元素,共有66P 种排法.所以,男生甲一定在中间位置共有665P 3600⨯=种排法. 题型四 某几个元素相邻例8 4名男生和3名女生排成一排照相,同学甲、乙相邻有多少种排法?分析:解决“相邻”问题采用的是“捆绑法”解答:第一步,把甲、乙看成一个元素,与其他5人共6个元素进行全排列;第二步,甲、乙二人进行全排列.即6262P P =720×2=1440(种).题型五 某几个元素不相邻例9 4名男生和3名女生排成一排照相,同学甲、乙不相邻有多少种排法?分析:解决“不相邻”问题采用的是“插空法”.解答:第一步,把甲、乙之外的5名同学进行全排列;第二步,在5名同学之间或两端共6个空中插入甲、乙两名同学.即5256P P =120×30=3600(种). 例10 4名男生和3名女生排成一排照相,男女同学相间排列,有多少种排法? 分析:“相间”是特殊的“不相邻”问题解答:第一步,男生全排列,有44P 种排法;第二步,女生全排列,有33P 种排法;第三步,相间插入有2中插入方法.即男女同学相间排列,有4343P P 2576⨯=种种排法.题型六 数字的排列问题例11 用数字0,1,2,3,4组成没有重复数字的三位数,求:(1)组成的三位数的个数;(2)组成的三位数中偶数的个数;分析:对数字进行排列时,如果数字中含有0,应区别对待.因为0作为特殊元素,不能在首位出现.解答:(1)应采用特殊位置优先法.因为0不能为首位(百位),所以首位的排法有14P 种,其他两位是从剩余的4个数字中选2个的一个排列,有24P 种,所以共有1244P P =48(种).(2)由于0的存在,应分两类:第一类个位是0,有24P 个;第二类,个位不是0,先确定个位,从2,4中选一个,有12P 种,再确定首位,有13P 种,剩余的一位是从3个数中选1个,有13P 种.所以共有21114233P P P P +=30(种). 知识点三 组合题型一 组合的应用例12 学校组织一项活动,要从5名男同学,3名女同学中选4名.共有多少种选法? 分析: 从5名男同学,3名女同学中选4名, 选出的4名同学任务是一样的,因此选法的种数是从8个不同元素中取出4个元素的组合数. 解答:不同的选法种数是488765C 704321⨯⨯⨯==⨯⨯⨯种. 题型二 一定包含或一定不包含某元素例13 学校组织一项活动,要从5名男同学,3名女同学中选4名.(1)若甲同学必须去,有多少种选法?(2)若甲同学一定不去,有多少种选法?分析:若甲同学必须去,再从其他7人中选3人即可.解答:(1)共有37765C 321⨯⨯=⨯⨯=35种选法. 分析:若甲同学一定不去,从其他7人中选4人即可.解答:(2)共有47C 35=种选法.题型三 至多、至少问题例14 学校组织一项活动,要从5名男同学,3名女同学中选4名.若男生甲、女生乙至少有一个被选中,有多少种选法?分析:至多、至少问题从正面解,一般情况先分类,再求解.当从正面求解困难时,可从对立面求解.解答:方法一 男生甲、女生乙至少有一个被选中,分成两类:第一类 男生甲、女生乙只有一个人被选中,有1326C C 260120=⨯=种选法; 第二类 男生甲、女生乙都被选中,有2226C C 21530=⨯=种选法.所以,男生甲、女生乙至少有一个被选中,共有120+30=150种不同的选法.题型四 组合数性质的的相关计算例15 若44511C C C n n n --=+,求n .分析:考察组合数的性质111C +C C m m m n nn +++=;C =C m n m n n-. 解答:45511C +C =C ,n n n --∴45C =C ,n n∴n =4+5=9.题型四 排列、组合混合应用例16 从6名男生和5名女生中选出3名男生和2名女生排成一行,有多少种不同排法? 分析:可以首先将男生选出,再将女生选出,然后对选出的5名学生排序.解 不同排法的总数为32565565454C C P 543212400032121⨯⨯⨯⋅⋅=⨯⨯⨯⨯⨯⨯=⨯⨯⨯(种). 知识点四 二项式定理题型一 求二项式展开式的指定项例17 求二项式103x x ⎛⎫- ⎪⎝⎭的展开式中第4项. 分析:.二项式103x x ⎛⎫- ⎪⎝⎭的展开式第4项,则n 的值为10,m 的值为3,可直接用二项式的通项T m +1=C m n m m n a b -求解.解答:T 4=T 3+1=337103C x x ⎛⎫- ⎪⎝⎭=-3240x 4, ∴第4项是-3240x 4.. 例18 求二项式103x x ⎛⎫- ⎪⎝⎭的展开式中含x 6的项. 分析:二项式103x x ⎛⎫- ⎪⎝⎭的展开式中含x 6的项,则n 的值为10,m 的值未知.此类问题应先写出二项式的通项,结合条件“含x 6的项”确定出m 的值.从而求出含x 6的项.解答: ∵T m +1=()1010210103C 3C m m m mm m x x x --⎛⎫-=- ⎪⎝⎭, 令10-2m =6,得m =2.∴含x 6的项为T 3=T 2+1=(-3)2210C x 6=405x 6. 例19 在二项式103x x ⎛⎫- ⎪⎝⎭的展开式,求: (1)常数项;(2)二项式系数最大的项.分析:(1)求常数项,因为不知道m 的值,要根据“常数项”之一条件确定m 的值.所以,与例18过程相似;(2)可计算出第10162+=项为二项式系数最大的项,其实就是求第6项,所以与例17过程相似.解答:(1)∵T m +1=()1010210103C 3C m m m mm m x x x --⎛⎫-=- ⎪⎝⎭, 10-2m =0,即m =5.∴展开式的第6项是常数项,即T 6=T 5+1=5555510103C =(3)C x x ⎛⎫-- ⎪⎝⎭=-61236. (2)∵n =10,∴展开式有11项,中间一项的二项式系数最大,中间一项为第6项. ∴T 6=T 5+1=5555510103C =(3)C x x ⎛⎫-- ⎪⎝⎭=-61236. 题型二 求二项式展开式的某一项系数与某一项的二项式系数.例20 求92)x -(的二项展开式中6x 的系数和该项的二项式系数. 分析:二项展开式中某项的的系数与这一项二项式系数是两个不同的概念. 某项的系数是除字母外的所有数乘积的结果,某项的二项式系数是该项的组合数,和其他无关. 解答: 92)x -(的展开式的通项公式为99199C (2)C (1)2m m m m m m m m T x x --+=-=-⋅⋅ 由9-m =6,得m =3.即二项展开式中含6x 的项为第4项.故这一项的系数是3339987C (1)2(8)672321⨯⨯⨯-⨯=⨯-=-⨯⨯.该项的二项式系数为39987C 84321⨯⨯==⨯⨯. 题型三 二项式各项系数和与二项式系数和例21 在(1-x )5的二项展开式中,各项系数和为____________;所有项的二项式系数之和为____________.分析:在二项式中令式子中的字母为1,可得各项系数和;所有项的二项式系数之和为2n ,即012C C C ++C ++C m n n n n n n ++=2n ,故所有项的二项式系数之和只和n 有关.解答:在(1-x )5中,令x =1,可得各项系数和为0.(1-x )5的二项式系数之和为25=32.。
8、九张卡片分别写着数字0,1,2,…,8,从中取出三张排成一排组成一个三位数,如果6可以当作9使用,问可以组成多少个三位数? 【参考答案】可以分为两类情况:① 若取出6,则有()211182772P C C C +种方法; ②若不取6,则有1277C P 种方法.根据分类计数原理,一共有()211182772P C C C ++1277C P =602种方法. 9、从6台原装计算机和5台组装计算机中任意选取5台,其中至少有原装与组装计算机各两台,则不同的取法有 种.【参考答案】由分析,完成第一类办法还可以分成两步:第一步在原装计算机中任意选取2台,有26C 种方法;第二步是在组装计算机任意选取3台,有35C 种方法,据乘法原理共有3526C C ⋅种方法.同理,完成第二类办法中有2536C C ⋅种方法.据加法原理完成全部的选取过程共有+⋅3526C C 3502536=⋅C C 种方法. 经典例题:例1.四面体的顶点和各棱中点共10个点,在其中取4个不共面的点,不同取法共有( )A .150种B. 147种C. 144种D. 141种【答案】取出的四个点不共面的情况要比取出的四个点共面的情况复杂,可采用间接法,先不加限制任取四点,再减去四面共点的取法.在10个点中任取4点,有410C 种取法,取出的4点共面有三类 第一类:共四面体的某一个面,有446C 种取法;第二类:过四面体的一条棱上的三点及对棱的中点,如图中的平面ABE ,有6种取法; 第三类:过四面体的四条棱的中点,面与另外两条棱平行,如图中的平面EFGM ,共有3个. 故取4个不共面的点的不同取法共有410C -(446C +6+3)=141,因此选D例2. 一天要排语文、数学、英语、生物、体育、班会六节课(上午四节,下午二节),要求上午第一节不排体育,。
n n +1n n
n
排列组合、二项式定理总结复习
1,分类计数原理 完成一件事有几类方法,各类办法相互独立每类办法又有多种不同的办法(每一种都可以独立的完成这个事情)
分步计数原理 完成一件事,需要分几个步骤,每一步的完成有多种不同的 方法
n 个不同元素中取出 m 个元素的一个组合 组合数 从 n 个不同元素中,任取 m (m ≤n )个元素的所有组合个数 m n
m
=
n ! n
m !(n - m )!
性质 C m = C
n -m
C
m = C m + C m -1
排列组合题型总结 一. 直接法
1 .特殊元素法
例 1 用 1,2,3,4,5,6 这 6 个数字组成无重复的四位数,试求满足下列条件的四位数各有多少个
C
C
(1)数字 1 不排在个位和千位
(2)数字 1 不在个位,数字 6 不在千位。
分析:(1)个位和千位有 5 个数字可供选择A2 ,其余 2 位有四个可供选择A2 ,由乘法原理:
5 4
A2 A2 =240
5 4
2.特殊位置法
(2)当 1 在千位时余下三位有A3 =60,1 不在千位时,千位有A1 种选法,个位有A1 种,余下
5 4 4
的有A2 ,共有A1 A1 A2 =192 所以总共有 192+60=252
4 4 4 4
二间接法当直接法求解类别比较大时,应采用间接法。
如上例中(2)可用间接法A4 - 2 A3 +A2 =252
6 5 4
Eg 有五张卡片,它的正反面分别写 0 与 1,2 与 3,4 与 5,6 与 7,8 与9,将它们任意三张并排放在一起组成三位数,共可组成多少个不同的三位数?
分析::任取三张卡片可以组成不同的三位数C 3 ⨯ 23 ⨯A3 个,其中 0 在
5 3
百位的有C 2 ⨯ 22 ⨯A2 个,这是不合题意的。
故共可组成不同的三位数
4 2
C 3 ⨯ 23 ⨯A3 - C 2 ⨯ 22 ⨯A2 =432
5 3 4 2
Eg 三个女生和五个男生排成一排
(1)女生必须全排在一起有多少种排法(捆绑法)
(2)女生必须全分开(插空法须排的元素必须相邻)
(3)两端不能排女生
(4)两端不能全排女生
(5)如果三个女生占前排,五个男生站后排,有多少种不同的排法
29
29
28 11
3 二. 插空法 当需排元素中有不能相邻的元素时,宜用插空法。
例 3 在一个含有 8 个节目的节目单中,临时插入两个歌唱节目,且保持原节目顺序,有多少中插入方法?
分析:原有的 8 个节目中含有 9 个空档,插入一个节目后,空档变为 10 个,故有 A 1 ⨯ A 1 =100
9
10
中插入方法。
三. 捆绑法
当需排元素中有必须相邻的元素时,宜用捆绑法。
1. 四个不同的小球全部放入三个不同的盒子中,若使每个盒子不空,则不同的放法有
种( C 2 A 3 )
4 3
,2,某市植物园要在 30 天内接待 20 所学校的学生参观,但每天只能安排一所学校,其中有一所学校人
数较多,要安排连续参观 2 天,其余只参观一天,则植物园 30 天内不同的安排方法有( C 1 ⋅ A 19 )(注
意连续参观 2 天,即需把 30 天种的连续两天捆绑看成一天作为一个整体来选有C 1 其余的就是 19 所学
校选 28 天进行排列) 四. 阁板法
名额分配或相同物品的分配问题,适宜采阁板用法
例 5 某校准备组建一个由12 人组成篮球队,这12 个人由8 个班的学生组成,每班至少一人,名额
分配方案共 种 。
分析:此例的实质是 12 个名额分配给 8 个班,每班至少一个名额,可在 12 个名额种的 11 个空当中 插入 7 块闸板,一种插法对应一种名额的分配方式,故有C 7 种
五 平均分推问题
eg 6 本不同的书按一下方式处理,各有几种分发?
(1) 平均分成三堆, (2) 平均分给甲乙丙三人
(3) 一堆一本,一堆两本,一对三本
(4) 甲得一本,乙得两本,丙得三本(一种分组对应一种方案) (5) 一人的一本,一人的两本,一人的三本
分析:1,分出三堆书(a 1,a 2),(a 3,a 4),(a 5,a 6)由顺序不同可以有 A 3 =6 种,而这 6 种分法只算一种分堆方式,故 6 本不同的书平均分成三堆方式有
3 3
种
C C C
4
4 3
A C A A
A
B C
D E
6
5
1 4
2
3
C 2C 2C 2 6 4 2
=15 种 3
2,六本不同的书,平均分成三堆有 x 种,平均分给甲乙丙三人
就有 x A 3 2 2 2 6
4
2
3,
1
2
3 5,
3
1 2
3 C 6
C 5
C
3
A 3
C 6
C 5
C
3
五. 合并单元格解决染色问题
Eg 如图 1,一个地区分为 5 个行政区域,现给地图着色,要求相邻区域不 得使用同一颜色,现有四种颜色可供选择,则不同的着色方法共有 种(以数字作答)。
分析:颜色相同的区域可能是 2、3、4、5. 下面分情况讨论:
(ⅰ)当 2、4 颜色相同且 3、5 颜色不同时,将 2、4 合并成一个单元格,此时不同的着色方法相当于 4 个元素
①③⑤的全排列数
A
4
(ⅱ)当 2、4 颜色不同且 3、5 颜色相同时,与情形(ⅰ)类似同理可得
A
4
种着色法.
三个单元格
①
(ⅲ)当 2、4 与 3、5 分别同色时,将 2、4;3、5 分别合并,这样仅有
从 4 种颜色中选 3 种来着色这三个单元格,计有
C 3
⋅ A 3
种方法. 由加法原理知:不同着色方法共有 2 4
+ 3 3
=48+24=72(种)
4
4
3
练习 1(天津卷(文) 将 3 种作物种植
1 2 3 4 5
在如图的 5 块试验田里,每快种植一种作物且相邻的试验田不能种植同一作物 ,
不同的种植方法共 种(以数字作答) (72)
2. 某城市中心广场建造一个花圃,花圃 6 分为个部分(如图 3),现要栽种 4 种颜色的花,每部分栽种
一种且相邻部分不能栽种 同一样颜色的话,不同的栽种方法有
种(以数字作答).(120)
图 3
图 4
3.
如图 4,用不同的 5 种颜色分别为 ABCDE 五部分着色,相邻部分不能用同一颜色,但同一种颜色
3,5 2,4
2,4
4
4 1
3
2
可以反复使用也可以不用,则符合这种要求的不同着色种数.(540)
4. 如图 5:四个区域坐定 4 个单位的人,有四种不同颜色的服装,每个单位的观众必须穿同种颜色的服装,且相邻两区域的颜色不同,不相邻区域颜色相同,不相邻区域颜色相同与否不受限制,那么不同的 着色方法是
种(84)
图 5 图 6
5. 将一四棱锥(图 6)的每个顶点染一种颜色,并使同一条棱的两端点异色,若只有五种颜色可供使用, 则不同的染色方法共 种(420)
“”
“”
At the end, Xiao Bian gives you a passage. Minand once said, "people who learn to learn are very happy people.". In every wonderful life, learning is an eternal theme. As a professional clerical and teaching position, I understand the importance of continuous learning, "life is diligent, nothing can be gained", only continuous learning can achieve better self. Only by constantly learning and mastering the latest relevant knowledge, can employees from all walks of life keep up with the pace of enterprise development and innovate to meet the needs of the market. This document is also edited by my studio professionals, there may be errors in the document, if there are errors, please correct, thank you!。