江苏省历年高等数学竞赛试题(打印版)
- 格式:doc
- 大小:849.08 KB
- 文档页数:26
2010年江苏省《高等数学》竞赛试题(本科二级)一 填空题(每题4分,共32分) 1.0sin sin(sin )limsin x x x x→-=2.1y x =+,/y = 3.2cos y x =,()()n y x = 4.21xx e dx x-=⎰ 5.4211dx x+∞=-⎰6.圆222222042219x y z x y z x y z +-+=⎧⎪⎨++--+≤⎪⎩的面积为 7.(2,)xz f x y y=-,f 可微,//12(3,2)2,(3,2)3f f ==,则(,)(2,1)x y dz==8.级数11(1)!2!n nn n n ∞=+-∑的和为 . 二.(10分)设()f x 在[],a b 上连续,且()()bbaab f x dx xf x dx =⎰⎰,求证:存在点(),a b ξ∈,使得()0af x dx ξ=⎰.三.(10分)已知正方体1111ABCD A B C D -的边长为2,E 为11D C 的中点,F 为侧面正方形11BCC B 的中点,(1)试求过点1,,A E F 的平面与底面ABCD 所成二面角的值。
(2)试求过点1,,A E F 的平面截正方体所得到的截面的面积.四(12分)已知ABCD 是等腰梯形,//,8BC AD AB BC CD ++=,求,,AB BC AD 的长,使得梯形绕AD 旋转一周所得旋转体的体积最大。
五(12分)求二重积分()22cos sin Dx y dxdy +⎰⎰,其中22:1,0,0D x y x y +≤≥≥六、(12分)求()()21xx y e dx x y dy Γ++++⎰,其中Γ为曲线22201212x x x y x x ⎧≤≤⎨+=≤≤⎩从()0,0O 到()1,1A -.七.(12分)已知数列{}n a 单调增加,123111,2,5,,3n n n a a a a a a +-====-()2,3,,n =记1n n x a =,判别级数1n n x ∞=∑的敛散性.2010年江苏省《高等数学》竞赛试题(本科三级)一 填空题(每题4分,共32分) 1.0sin sin(sin )limsin x x x x→-=2.2arctan tan x y x e x =+,/y =3.设由y x x y =确定()y y x =,则dydx= 4.2cos y x =,()()n y x = 5.21xx e dx x-=⎰6.(2,)xz f x y y=-,f 可微,//12(3,2)2,(3,2)3f f ==,则(,)(2,1)x y dz==7设(),f u v 可微,由()22,0F x z y z ++=确定(),z z x y =,则z z x y∂∂+=∂∂8.设22:2,0D x y x y +≤≥,则D=二.(10分)设a 为正常数,使得2ax x e ≤对一切正数x 成立,求常数a 的最小值三.(10分)设()f x 在[]0,1上连续,且11()()f x dx xf x dx =⎰⎰,求证:存在点()0,1ξ∈,使得0()0f x dx ξ=⎰.四.(12分)求广义积分4211dx x +∞-⎰五.(12分)过原点()0,0作曲线ln y x =-的切线,求该切线、曲线ln y x =-与x轴所围成的图形绕x 轴旋转一周所得的旋转体的体积.六、(12分)已知ABCD 是等腰梯形,//,8BC AD AB BC CD ++=,求,,AB BC AD 的长,使得梯形绕AD 旋转一周所得旋转体的体积最大。
江苏省历届高等数学竞赛试卷(1991-2010)江苏省第一届(1991年)高等数学竞赛本科竞赛试题(有改动)一、填空题(每小题5分,共50分)1.函数sin sin y x x=(其中2x π≤)的反函数为________________________。
2.当0→x 时,34sin sin cos x x x x -+x 与nx 为同阶无穷小,则n =____________。
3.在1x =时有极大值6,在3x =时有极小值2的最低幂次多项式的表达式是_____________________________________。
4.设(1)()n m nn d x p x dx -=,n m ,是正整数,则(1)p =________________。
5.222[cos()]sin x x xdx ππ-+=?_______________________________。
6. 若函数)(t x x =由=--xt dt e t 12所确定的隐函数,则==022t dt xd 。
7.已知微分方程()y y y x x ?'=+有特解ln x y x =,则()x ?=________________________。
8.直线21x zy =??=?绕z 轴旋转,得到的旋转面的方程为_______________________________。
9.已知a 为单位向量,b a 3+垂直于b a 57-,b a 4-垂直于b a 27-,则向量b a、的夹角为____________。
10.=?????????? ??+???? ?+???? ??+∞→nn n n n n 122222212111lim 。
二、(7分)设数列{}n a 满足1,2,21≥+=->+n a a a n n n ,求nn a ∞→lim 。
三、(7分)求c 的值,使?=++bac x c x 0)cos()(,其中a b >。
江苏省第六届(2002年)高等数学竞赛本科三级,民办本科竞赛试题一、填空题(每小题5分,共40分)0e 1.lim(0k _____,____.x kx c c c x →-=≠==设),则+++2.f(x)lim f ()0,f(x)B. lim f ()0,f(x)C. lim f ()=1,f(x)x x x x x x '→∞'→∞'→∞∞=∞≠∞∞设在[1,+)上可导,下列结论中成立的是______.A. 若则在[1,+)上有界若则在[1,+)上无界若则在[1,+)上无界3.e ()1y=y(x),y (0)_______.y x y x x -"+-=+=设由确定则4.(arcsin arccos )____________.x x dx -=⎰45.________________.+∞=⎰2z 6.()(,sin ),g ______________.xy z f g e y f x x y∂=+=∂∂的二阶导数连续,的二阶偏导数连续,则21307.dx (,)____________.xxf x y dy -=⎰⎰交换积分次序28.x 5y +=2函数f(x,y)=2x-y+1满足方程的条件极大值为____,条件极小值为____.二、(8分)设()f x +∞在[0,)上连续且单调减少,0a b <<,证明:0()().aa f x dxb f x dx ≤⎰⎰bak f -+-+k ≥∞∞∞∞设f(x)=kx+sinx.(1)若1,求证:(x)在(,)上恰有一个零点;(2)若0<k<1,且f(x)在(,)上恰有一个零点,求常数的取值范围.四、(8分)201sin e .1cos xxdx xπ++⎰求设,)(0,0)(,)0,(,)(0,0)y x y f x y x y ⎧≠⎪=⎨⎪=⎩,试讨论(,)f x y 在点(0,0)处的连续性、可偏导性与可微性。
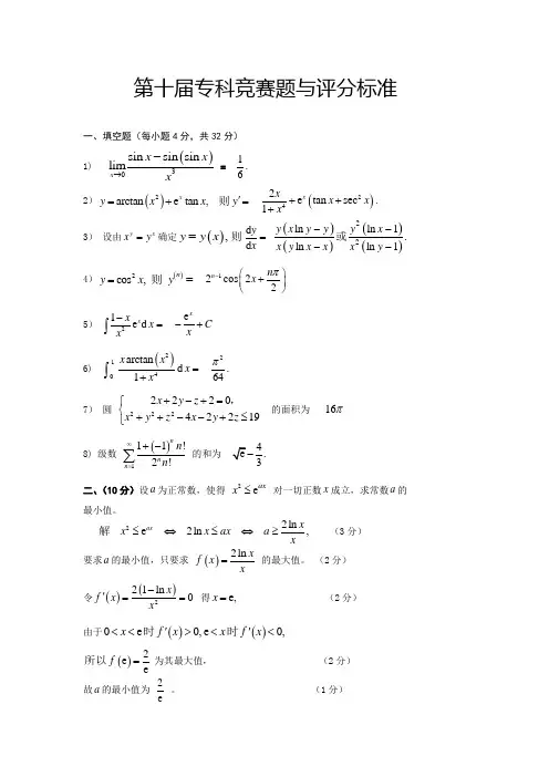
第十届专科竞赛题与评分标准一、填空题(每小题4分,共32分) 1) ()3sin sin sin limx x x x→- =16.2)()2arctan e tan ,x y x x y '=+=则()242etan sec 1xx x x x +++.3) 设由yxx y =确定(),y y x =d d y x=则()()()()22ln ln 1ln ln 1.y x y y yx x y x x x y ----或4)()2cos ,n y x y==则 12cos 22n n x π-⎛⎫+⎪⎝⎭5) 21e d xx x x-=⎰exC x-+6) ()214arctan d 1x xx x =+⎰264π.7) 圆 222222042219x y z x y z x y z +-+=⎧⎨++--+≤⎩,的面积为 16π8) 级数 ()111!2!nnn n n ∞=+-∑的和为 4e .3-二、(10分)设a 为正常数,使得 2e axx ≤ 对一切正数x 成立,求常数a 的最小值。
22ln e2ln ,axx x x ax a x≤⇔≤⇔≥解(3分)要求a 的最小值,只要求 ()2ln x f x x=的最大值。
(2分)令()()221ln 0x f x x-'== 得e,x = (2分)由于()()0e 0,e 0,x f x x f x ''<<><<时时()2e ef =所以为其最大值, (2分)故a 的最小值为 2e。
(1分)三、(10分)设()f x 在[]01, 上连续,且()()110d d f x x x f x x =⎰⎰,求证:存在 ()01,ξ∈,使得 ()0d 0.f x x ξ=⎰证法1:令()()()0d ,xF x x t f t t =-⎰ (3分) 则()()()()()()1110=0,11d d d 0,F F t f t t f t t t f t t =-=-=⎰⎰⎰应用罗尔定理,()01,ξ∃∈,使得()0,F ξ'= (4分) ()()()()()0d d ,xxF x f t t x f x x f x f t t '=+-=⎰⎰而于是 ()()()0d d 0.F f t t f x x ξξξ'===⎰⎰(3分)证法2 ()()()()()0d ,00,,xF x fx x F F x fx '===⎰令则 (3分)()()()()()1110011d d d 0F fx x x F x x x F x F x x'∴===-⎰⎰⎰()()()1101d ,d 0,F F x x F x x =-⇒=⎰⎰(3分)应用积分中值定理,存在 ()0,1,ξ∈ 使得()()()()1d 10,F x x F F ξξ=-=⎰于是 ()()0d 0.F f x x ξξ==⎰(4分)四、(12分)求广义积分 421d .1x x+∞-⎰22221111d d 2121x x xx+∞+∞=++-⎰⎰解原式 (4分)111arctan ln22241x x x+∞+∞+=+- (4分)11arctan 2ln 3.424π=-- (4分)五、(12分)过原点()0,0作曲线ln y x =-的切线。
江苏省第十届高等数学竞赛试题(本科二级)考试时间:2010年6月5日 上午 8:30—11:30一、 填空题(每小题4分,共8小题)1、 =-→30)(sin )sin(sin sin limx x x x 求 2、 ='+++=y 求, 1)1x ln(x 已知y 22x3、 =-⎰dx e x x x 214、 ,x cos y 2==(n)y 求5、 =-⎰+∞2411dx x 求6、022*********{=+-+≤+--++z y x z y x z y x ,求该区域面积S=7、 =='='-=)1,2(21|,3)2,3(,2)2,3(),,2(z dz y x y x f f f 求且已知8、 =-+∑∞=1!2!)1(1n n n n n二、;)()(],[)(dx x xf dx x f b b a x f ba ba ⎰⎰=上连续,满足在求证:存在),,(b a ∈ξ使得 ⎰=ξa x f 。
0)((10分)三、为侧面的中点,为,边长为正方体F D C E D C B A ABCD 1111112-的中心,11BCC B 求(1)形成的二面角;与底面平面ABCD EF A 1(2)积。
截正方体得到的截面面EF A 1 (10分)四、等腰梯形ABCD ,其中AB+BC+CD=8,梯形绕AD 边旋转,得到的旋转体体积最大,求AD ,BC ,AB 的长。
(12分)五、满足:已知区域求D dxdy y x D ,)sin (cos 22⎰⎰+。
0,0,122≥≥≤+y x y x (12分)六、)的积分。
,)到(,沿曲线从()(求1100)1(2-++++⎰dy y x dx e y x Lx 曲线L 的方程 。
:)10(2)21(222{≤≤=≤≤=+x x y x x y x L (12分)七、已知}{n a 单调增加,113213;5,2,1-+-====n n n a a a a a a 满足且 ),2(*N n n ∈≥n n a x 1=设, 的敛散性。
江苏省第一届(1991年)高等数学竞赛本科竞赛试题(有改动)一、填空题(每小题5分,共50分) 1.函数sin sin y x x =(其中2x π≤)的反函数为________________________。
2.当0→x 时,34sin sin cos x x x x -+x 与nx 为同阶无穷小,则n =____________。
3.在1x =时有极大值6,在3x =时有极小值2的最低幂次多项式的表达式是 _____________________________________。
4.设(1)()n m nnd x p x dx-=,n m ,是正整数,则(1)p =________________。
5.222[cos()]sin x x xdx ππ-+=⎰_______________________________。
6. 若函数)(t x x =由⎰=--xt dt e t 102所确定的隐函数,则==022t dt xd 。
7.已知微分方程()y yy x xϕ'=+有特解ln x y x =,则()x ϕ=________________________。
8.直线21x zy =⎧⎨=⎩绕z 轴旋转,得到的旋转面的方程为_______________________________。
9.已知a v为单位向量,b a ϖϖ3+垂直于b a ϖϖ57-,b a ϖϖ4-垂直于b a ϖϖ27-,则向量b a ϖϖ、的夹角为____________。
10. =⎭⎬⎫⎩⎨⎧⎪⎪⎭⎫ ⎝⎛+⎪⎪⎭⎫ ⎝⎛+⎪⎪⎭⎫⎝⎛+∞→nn n n n n 122222212111lim Λ 。
二、(7分)设数列{}n a 满足1,2,21≥+=->+n a a a n n n ,求n n a ∞→lim 。
三、(7分)求c 的值,使⎰=++b ac x c x 0)cos()(,其中a b >。
江苏数学竞赛试题及答案【试题一】题目:求证:对于任意正整数\( n \),\( 1^2 + 2^2 + 3^2 +\ldots + n^2 = \frac{n(n + 1)(2n + 1)}{6} \)。
【答案】证明:我们使用数学归纳法来证明这个等式。
1. 当\( n = 1 \)时,左边为\( 1^2 = 1 \),右边为\( \frac{1\cdot 2 \cdot 3}{6} = 1 \),等式成立。
2. 假设当\( n = k \)时等式成立,即\( 1^2 + 2^2 + 3^2 + \ldots + k^2 = \frac{k(k + 1)(2k + 1)}{6} \)。
3. 当\( n = k + 1 \)时,我们需要证明\( 1^2 + 2^2 + 3^2 +\ldots + k^2 + (k + 1)^2 = \frac{(k + 1)(k + 2)(2k + 3)}{6} \)。
4. 根据假设,将\( k \)的和代入,得到\( \frac{k(k + 1)(2k + 1)}{6} + (k + 1)^2 \)。
5. 简化上述表达式,我们得到\( \frac{(k + 1)(k + 2)(2k + 3)}{6} \),这正是我们需要证明的等式。
6. 因此,根据数学归纳法,对于任意正整数\( n \),等式成立。
【试题二】题目:已知函数\( f(x) = x^3 - 3x^2 + 2 \),求\( f(x) \)的极值。
【答案】解:首先求导得到\( f'(x) = 3x^2 - 6x \)。
令\( f'(x) = 0 \),解得\( x = 0 \)或\( x = 2 \)。
1. 当\( x < 0 \)或\( x > 2 \)时,\( f'(x) > 0 \),函数\( f(x) \)在此区间单调递增。
2. 当\( 0 < x < 2 \)时,\( f'(x) < 0 \),函数\( f(x) \)在此区间单调递减。
2010年江苏省《高等数学》竞赛试题(本科二级) 一 填空题(每题4分,共32分) 1.0s in s in (s in )lims in x x x x→-=2.21y x=+/y=3.2c o s y x=,()()n yx =4.21xx ed x x-=⎰ 5.4211d x x+∞=-⎰6.圆222222042219x y z x y z x y z +-+=⎧⎪⎨++--+≤⎪⎩的面积为7.(2,)x z f x y y=-,f 可微,//12(3,2)2,(3,2)3f f ==,则(,)(2,1)x y d z==8.级数11(1)!2!nnn n n ∞=+-∑的和为 .二.(10分)设()f x 在[],a b 上连续,且()()b baab f x d x xf x d x=⎰⎰,求证:存在点(),a b ξ∈,使得()0af x d x ξ=⎰.三.(10分)已知正方体1111A B C D A B C D -的边长为2,E 为11D C 的中点,F 为侧面正方形11B C CB 的中点,(1)试求过点1,,A E F 的平面与底面A B C D 所成二面角的值。
(2)试求过点1,,A E F 的平面截正方体所得到的截面的面积.四(12分)已知A B C D 是等腰梯形,//,8B C A D A B B C C D++=,求,,A B B C A D的长,使得梯形绕A D 旋转一周所得旋转体的体积最大。
五(12分)求二重积分()22co ssinDx y d xd y+⎰⎰,其中22:1,0,0D x yx y +≤≥≥六、(12分)求()()21xx y e d x x y d y Γ++++⎰,其中Γ为曲线22201212x x x y xx ⎧≤≤⎨+=≤≤⎩从()0,0O 到()1,1A -.七.(12分)已知数列{}na 单调增加,123111,2,5,,3n n n a a a a a a +-====-()2,3,,n=记1nnx a =,判别级数1nn x ∞=∑的敛散性.2010年江苏省《高等数学》竞赛试题(本科三级) 一 填空题(每题4分,共32分) 1.0s in s in (s in )lims in x x x x→-=2.2a rc ta n ta n xy xe x=+,/y=3.设由yxx y=确定()y y x =,则d y d x=4.2c o s y x=,()()n yx =5.21xx ed x x-=⎰6.(2,)x z f x y y =-,f 可微,//12(3,2)2,(3,2)3f f ==,则(,)(2,1)x y d z==7设(),f u v 可微,由()22,0F x z y z++=确定(),z z x y =,则z z xy∂∂+=∂∂8.设22:2,0D xyx y +≤≥,则Dx d y =⎰⎰二.(10分)设a 为正常数,使得2a xxe≤对一切正数x 成立,求常数a 的最小值三.(10分)设()f x 在[]0,1上连续,且11()()f x d x xf x d x=⎰⎰,求证:存在点()0,1ξ∈,使得0()0f x d x ξ=⎰.四.(12分)求广义积分4211d xx+∞-⎰五.(12分)过原点()0,0作曲线ln y x =-的切线,求该切线、曲线ln y x =-与x 轴所围成的图形绕x 轴旋转一周所得的旋转体的体积.六、(12分)已知A B C D 是等腰梯形,//,8B C A D A B B C C D++=,求,,A B B C A D 的长,使得梯形绕A D 旋转一周所得旋转体的体积最大。
江苏省高等数学竞赛历年真题(专科)2012年江苏省第十一届高等数学竞赛试题(专科)一.填空(4分*8=32分) 1.=-+-+→561434lim4x x x2. =+++∞→433321limn n n 3. =?→xx tdtt x x 3230sin sin lim4.)1ln(x y -=,则=)(n y5.=?xdx x arctan 26.=211arccosdx xx 7.点)3,1,2(-到直线22311zy x =-+=-的距离为 8.级数∑∞=--21)1(n knn n 为条件收敛,则常数k 的取值范围是二.(6分*2=12分)(1)求))(13(lim 31223∑=∞→+-i n i n n n(2)设)(x f 在0=x 处可导,且,2)0(,1)0(='=f f 求21)1(cos limxx f x --→三.在下面两题中,分别指出满足条件的函数是否存在?若存在,举一例,若不存在,请给出证明。
(4分+6分=10分)(1)函数)(x f 在),(δδ-上有定义(0>δ),当0<<-x δ时,)(x f 严格增加,当δ<<="" 0时,)(x="" f="" p="" 严格减少,)(lim="">x f x →存在,且)0(f 是)(x f 的极小值。
(2)函数)(x f 在),(δδ-上一阶可导(0>δ),)0(f 为极值,且))0(,0(f 为曲线)(x f y =的拐点。
四.(10分)求一个次数最低的多项式)(x p ,使得它在1=x 时取得极大值13,在4=x 时取得极小值-14。
五.(12分)过点)0,0(作曲线x e y -=Γ:的切线L ,设D 是以曲线Γ、切线L 及x 轴为边界的无界区域。
(1)求切线L 的方程。
江苏省第七届(2004年)高等数学竞赛本科三级、民办本科竞赛试题一、 填空题(每小题5分,共40分)4.=⎪⎪⎭⎫ ⎝⎛++++++∞→22224116141lim n n n n n ________________. 2. 21arctan lim x x x x ⎪⎭⎫ ⎝⎛∞→________________. 3. 若0→x 时,x x x x 2cos cos sin -与k cx 为等价无穷小,则=c ________________.4. ()()x x x f -=1ln 4,则4>n 时,()()=0n f ________________.5. 设函数yxz arctan =,则()=-1,1dz ________________. 6. ()=-+⎰dx x x x x x x 2sin cos cos sin ________________ . 7. ()()[]=+-⎰-aa xdx x f x f sin ________________.8. 设D :+∞<<∞-x ,+∞<<∞-y ,()⎩⎨⎧≤≤=其他010x x x f 则()()⎰⎰=+Ddxdy y x f y f ________________.二、(10分)设()x f 在[]b a ,连续,在()b a ,可导;()()()2221,a b dx x f a a f b a -==⎰,求证:在()b a ,内至少存在一点u ,使得()()1'+-=u u f u f 。
三、(10分)设.4,2,,4:22≤+≥+≥≤-y x y x x y x y D 在D 的边界x y =上任意取点P ,设P 到原点的距离为t ,作PQ 垂直于x y =交D 的边界422=-x y 于Q 。
求:1)将Q P ,的距离PQ 用t 表示;2)将D 绕x y =旋转一周所得立体的体积。
江苏省高校历届专科类高等数学竞赛试题第五届(2000年)专科类高等数学竞赛试题一、填空题(每小题3分,共15分)1.已知,则 .21()d f x dx x ⎡⎤=⎣⎦()f x '=2. .1ln 0lim (tan )xx x +→=3. .=⎰4.若级数收敛,则的取值为 .11(2)66n n nn n a n -∞=-+∑a 5..[()()]sin aaf x f x xdx -+-=⎰二、选择题(每小题3分,共15分)1.函数的可去间断点为().21()(1)x e f x x x -=-A . B .C .D . 无可去间断点0,1x =1x =0x =2.设,则当时,是的( ).21()sin,()sin f x x g x x x==0x →()f x ()g x A .同阶无穷小但不等价 B .低阶无穷小C .高阶无穷小D .等价无穷小3.设常数,函数在内零点个数为( ).0k >()ln xf x x k e=-+(0,)+∞A .B .C .D . 32104.设对一切满足,若且,则函数()y f x =x 240y y y '''--=0()0f x >0()0f x '=在点().()f x 0x A .取得极大值B .取得极大值C .某个邻域内单调增加D .某个邻域内单调减少5.过点且与直线 垂直的平面方程是().(2,0,3)-2470,35210x y z x y z -+-=⎧⎨+-+=⎩A . B .16(2)1411(3)0x y z --+++=(2)24(3)0x y z --++=C .D .3(2)52(3)0x y z -+-+=16(2)1411(3)0x y z -+++-=三、(8分)设,求常数.2220ln(1)()lim (ln )e x x ax bx dxx x x +∞→+-+=⎰,a b 四、(6分)已知函数由方程组 确定,求.()y y x =(1)0,10y x t t te y +-=⎧⎨++=⎩220t d y dx =五、(6分)设在上连续,在内可导,且对于内的一切均有(),()f x g x [,]a b (,)a b (,)a b x ,证明:若在内有两个零点,则介于这两个零点之()()()()0f x g x f x g x ''-≠()f x (,)a b 间,至少有一个零点.()g x 六、(6分)设,其中是实数,且12()sin sin 2sin n f x a x a x a nx =+++ 12,,,n a a a ,试证:|()||sin |f x x ≤12|2|1n a a na +++≤ 七、(6分)过抛物线上一点作切线,问为何值时所作切线与抛物线2y x =2(,)a a a 所围成的图形面积最小?241y x x =-+-八、(6分)当时,的导数与为等价无穷小,0x →220()()()xF x x t f t dt '=-⎰2x 求.(0)f '九、(8分)求级数的收敛域及和函数.21(21)n n n x∞+=+∑十、(8分)将展为的幂级数,并指明收敛域.1()arctan1xf x x+=-x 十一、(6分)求.581x xdx x -+⎰十二、(8分)设可微函数在上有定义,其反函数为,且满足()f x 0x >()g x,试求.3()211()(8)3f xg x dxx x =-⎰()f x 第六届(2002年)专科类高等数学竞赛试题一、填空题(每小题5分,共40分)1. .40ln(1)lim 1cos(1cos )x x x →-=--2.设,则 , .0lim(0)x c c +→=≠k =c =3.设在上可导,下列结论中成立的是 .()f x [1,)+∞A .若,则在上有界lim ()0x f x →+∞'=()f x [1,)+∞B .若,则在上无界lim ()0x f x →+∞'≠()f x [1,)+∞C .若,则在上无界lim ()1x f x →+∞'=()f x [1,)+∞4.设,则 .2ln(1),arctan x t y t t =+=+22d ydx=5.设由确定,则 .()1yex y x x -+-=+()y y x =(0)y ''=6. .(arcsin arccos )x x dx -=⎰7..4+∞=⎰8. 幂级数的收敛域为 .11112n n x n ∞=⎛⎫+++ ⎪⎝⎭∑ 二、(8分)设在上连续且单调减少,,求证:()f x [0,)+∞0a b <<.()()b aa f x dxb f x dx ≤⎰⎰三、(9分)设.()sin f x kx x =+(1)若,求证:在上恰有一个零点;1k ≥()f x (,)-∞+∞(2)若,且在上恰有一个零点,求常数的取值范围.01k <<()f x (,)-∞+∞k 四、(8分)求.2201tan 2x x e dx π⎛⎫+ ⎪⎝⎭⎰五、(9分)设2224420,:22.x y z x y z x y z k ⎧+++-+=Γ⎨+-=⎩(1)当为何值时为一圆?(2)当时,求的圆心和半径.k Γ6k =Γ六、(8分)求直线绕轴旋转一周的旋转曲面的方程,并求该曲面与1211x y z-==-y 所包围的立体的体积.0,2y y ==七、(9分)求.2222123123lim 2222n n n →∞⎛⎫++++ ⎪⎝⎭ 八、(9分)设为常数,试判别级数的敛散性,何时绝对收敛?何时k 221(1)(ln )nk n n x ∞=-∑条件收敛?何时发散?第七届(2004年)专科类高等数学竞赛试题一、填空题(每小题5分,共40分)1.是周期为的奇函数,当时,,则当()f x π0,2x π⎛⎫∈ ⎪⎝⎭()sin cos 2f x x x =-+时, .,2x ππ⎛⎫∈ ⎪⎝⎭()f x =2.当时,与为等价无穷小,则 , 0x →sin cos x x x -kcx k =c =.3. .2tan2lim(sin )xx x π→=4. .2222lim 14n n n n n n n n →∞⎛⎫+++=⎪+++⎝⎭ 5.已知,则当时, .2()ln(1)f x x x =-2n >()(0)n f=6. .2(1)(1)x x e x dx xe +=-⎰7.以直线为对称轴,且半径的圆柱面方程为 .x y z ==1R =8. .1(1)2nn nn ∞==+∑二、(10分)设在上连续,在内可导,,()f x [,]a b (,)a b ()f a a =,求证:在内至少有一点,使得.221()()2baf x dx b a =-⎰(,)a b ξ()()1f f ξξξ'=-+三、(10分)设.在的边界上22{(,)|4,,2,4}D x y y x y x x y x y =-≤≥+≥+≤D y x =任取一点,设到原点的距离为,作垂直于,交的边界P P t PQ y x =D 于.224y x -=Q (1)试将的距离表示为的函数;(2)求绕旋转一周的旋转体体,P Q ||PQ t D y x =积.四、(10分)设在上有定义,在处连续,且对一切实数()f x (,)-∞+∞()f x 0x =有,求证:在上处处连续.12,x x 1212()()()f x x f x f x +=+()f x (,)-∞+∞五、(10分)设为常数,方程在上恰有一根,求的取值范围.k 110kx x-+=(0,)+∞k 六、(10分)已知点与,在平面上求一点,使得(1,0,1)P -(3,1,2)Q 212x y z -+=M 最小.||||PM MQ +七、(10分)求幂级数收敛域11(32)n n nn x n ∞=+∑ 第八届(2006年)专科类高等数学竞赛试题一、填空题(每小题5分,共40分)1. .22232323212lim 12n n n n n n →∞⎛⎫+++= ⎪+++⎝⎭2. .23001lim(1)xt x e dt x-→-=⎰3.若,则 , .lim )0x ax b →+∞++=a =b =4.设,则 .2sin ()(1)xf x x x e=++(0)f ''=5.设,则 .2ln(1),arctan x t y t =+=221t d ydx =-=6. .1ln[()()]()()x bx a x a x b dx x a x b +++⋅+=++⎰7.为空间的4个定点,与的中点分别为,(为常,,,A B C D AB CD ,E F ||EF a =0a >数),为空间的任一点,则的最小值为 .P ()()PA PB PC PD ++A 8. 已知点为原点,则四面体的外接球面的方(4,0,0),(0,2,0),(0,0,2),ABC O --OABC 程为.二、(8分)设,试问:为何值时,在2sin ,0()ln(1),0ax b x c x f x x x ⎧++≤=⎨+>⎩,,a b c ()f x处一阶导数连续,但二阶导数不存在.0x =三、(9分)过点作曲线的切线.(1,5)3:y x Γ=L (1)求的方程;(2)求与所围平面图形的面积;L ΓL D (3)求图形的的部分绕轴旋转一周所得立体的体积.D 0x ≥x 四、(8分)设在区间上是导数连续的函数,,()f x [0,)+∞(0)0,|()()|1f f x f x '=-≤求证:.|()|1,[0,)xf x e x ≤-∈+∞五、(8分)求.120arctan (1)xdx x +⎰六、(9分)设圆柱面被柱面截下的(有限)部分221(0)x y z +=≥222z x z =++为.为计算曲面的面积,我们用薄铁片制作的模型,其中∑∑∑为上三点,将沿线段剪开并展成平面图形.建(1,0,5),(1,0,1),(1,0,0)A B C --∑∑BC D 立平面直角坐标系,使位于轴正上方,点的坐标为.试写出的边界的方程,D x A (0,5)D 并求的面积.D 七、(9分)对常数,讨论级数何时绝对收敛?何时条件收敛?p 11(1)n n ∞+=-∑何时发散?八、(9分)求幂级数的收敛域与和函数.212nnn n ∞=∑第九届(2008年)专科类高等数学竞赛试题一、填空题(每小题5分,共40分)1. , 时,.a =b =2||limarctan ||2x ax x x bx x π→∞+=--2. .11lim(2)nn k k k →∞==+∑3.设,则 .()(1)(2)(100)f x x x x x =--- (100)f '=4.当 , 时,在时关于的无a =b =2()1xf x ax x bx=+++0x →x 穷小的阶数最高.5. .2221(1)x dx x +∞=+⎰6.点关于平面的对称点的坐标为 .(2,1,1)-25x y z -+=7.通过点与直线:的平面方程为 .(1,1,1)-,2,2x t y z t ===+8. 幂级数的和函数为 ,收敛域为 .1nn nx∞=∑二、(8分)设数列为,求证数列收敛,并求其{}nx 111,(1,2,)n x x n +=== {}n x 极限.三、(8分)设函数在上连续,求证:存在,()f x [,]a b (0),()0baa f x dx >=⎰(,)a b ξ∈使得.()()af x dx f ξξξ=⎰四、(8分)将平面上的曲线绕直线旋转一周得xOy 222()(0)x b y a a b -+=<<3x b =到旋转曲面,求此旋转曲面所围立体的体积.五、(8分)求.200lim sin()tt tx dx +→⎰六、(10分)在平面内作一条直线,使该直线经过另一直线:220x y z ∏+-=Γ与平面的交点,且与垂直,求直线的参数方程.221,:343x y z L x y z -+=⎧⎨+-=⎩∏ΓL Γ七、(8分)判别级数的收敛性(包括绝对收敛、条件收敛、发散).)11(1)1n n ∞+=--∑八、(10分)求函数的幂级数展开式,并指出其收敛域.222()(1)(12)x f x x x +=-+第十届(2010年)专科类高等数学竞赛试题一、填空题(每小题4分,共32分)1. .30sin sin(sin )lim x x x x →-=2.,则 .2arctan()tan x y x e x =+y '=3.设由确定,则 .y x x y =()y y x =dy dx=4.,则 .2cos y x =()n y =5. .21x x e dx x -=⎰6. .2140arctan()1x x dx x =+⎰7.圆的面积为 .2222220,42219x y z x y z x y z +-+=⎧⎨++--+≤⎩8. 级数的和为 .11(1)!2!n n n n n ∞=+-∑二、(10分)设为正常数,使得对一切正数成立,求常数的最小值.a 2axx e ≤x a三、(10分)设函数在上连续,且,求证:存在()f x [0,1]1100()()f x dx xf x dx =⎰⎰,使得.(0,1)ξ∈()0a f x dx ξ=⎰四、(12分)求反常积分.4211dx x +∞-⎰五、(12分)过原点作曲线的切线,求该切线、曲线与轴所围(0,0)ln y x =-ln y x =-x 的图形绕轴旋转一周所得的旋转体的体积.x 六、(12分)已知正方体的边长为2,为的中点,为侧面正1111ABCD A B C D -E 11D C F 方形的中心.(1)试求过点的平面与底面所成的二面角的值;11BCC B 1,,A E F ABCD (2)试求点到过点的平面的距离.D 1,,AEF 七、(12分)已知数列单调增加,满足{}n a 123111,2,5,,3n n n a a a a a a +-====- ,记,判别级数的敛散性.(2,3,)n = 1n n x a =1n n x ∞=∑第十一届(2012年)专科类高等数学竞赛试题一、填空题(每小题4分,共32分)1. .0x →=2. .333412lim x n n →∞+++= 3. .30230sin lim sin x x t tdt x x →=⎰4.,则 .ln(1)y x =-()n y =5. .2arctan x xdx =⎰6. .11arccos x dx x=7.点到直线的距离为 .(2,1,3)-13122x y z -+==-8. 级数为条件收敛,则常数的取值范围是 .2(1)1kn n n n ∞=--∑k 二、(每小题6分,共12分)(1)求.3322131lim ()n i n n n i →∞=⎛⎫- ⎪+⎝⎭∑(2)设在处可导,且,求.()f x 0x =(0)1,(0)2f f '==20(cos 1)1lim x f x x →--三、(第(1)小题4分,第(2)小题6分,共10分)在下列两题中,分别指出满足条件的函数是否存在?若存在,举一例;若不存在,请给出证明.(1)函数在上有定义(),当时,严格增加,当()f x (,)δδ-0δ>0x δ-<<()f x 时,严格减少,存在,且是的极小值.0x δ<<()f x 0lim ()x f x →(0)f ()f x (2)函数在上一阶可导(),为极值,且为曲线()f x (,)δδ-0δ>(0)f (0,(0))f 的拐点.()y f x =四、(10分)求一个次数最低的多项式,使得它在时取极大值,在时()P x 1x =134x =取极小值.14-五、(12分)过原点作曲线的切线,设是以曲线、切线及轴为(0,0):x y e -Γ=L D Γx 边界的无界区域.(1)求切线的方程;(2)求区域的面积;(3)求区域绕轴旋L D D x 转一周所得旋转体的体积.六、(12分)点在平面的两侧,过点作球面(1,2,1),(5,2,3)A B --:223x y z ∏--=,A B 使其在平面上截得的圆最小.∑∏Γ(1)求直线与平面的交点的坐标;AB ∏M (2)若点是圆的圆心,求球面的球心坐标与该球面方程;M Γ∑(3)证明:点确是圆的圆心.M Γ七、(12分)求级数的和.1(1)(1)2nn n n n n ∞=++-∑。
2010年江苏省《高等数学》竞赛试题(本科二级)一 填空题(每题4分,共32分)1.0sin sin(sin )limsin x x x x→-=2.2ln(1x y x =+,/y = 3.2cos y x =,()()n y x =4.21xx e dx x-=⎰5.4211dx x+∞=-⎰6.圆222222042219x y z x y z x y z +-+=⎧⎪⎨++--+≤⎪⎩的面积为 7.(2,)xz f x y y=-,f 可微,//12(3,2)2,(3,2)3f f ==,则(,)(2,1)x y dz==8.级数11(1)!2!n nn n n ∞=+-∑的和为 . 二.(10分)设()f x 在[],a b 上连续,且()()bbaab f x dx xf x dx =⎰⎰,求证:存在点(),a b ξ∈,使得()0af x dx ξ=⎰.三.(10分)已知正方体1111ABCD A B C D -的边长为2,E 为11D C 的中点,F 为侧面正方形11BCC B 的中点,(1)试求过点1,,A E F 的平面与底面ABCD 所成二面角的值。
(2)试求过点1,,A E F 的平面截正方体所得到的截面的面积.四(12分)已知ABCD 是等腰梯形,//,8BC AD AB BC CD ++=,求,,AB BC AD 的长,使得梯形绕AD 旋转一周所得旋转体的体积最大。
五(12分)求二重积分()22cos sin Dx y dxdy +⎰⎰,其中22:1,0,0D x y x y +≤≥≥六、(12分)求()()21xx y e dx x y dy Γ++++⎰,其中Γ为曲线22201212x x x y x x ⎧≤≤⎨+=≤≤⎩从()0,0O 到()1,1A -.七.(12分)已知数列{}n a 单调增加,123111,2,5,,3n n n a a a a a a +-====-L()2,3,,n =L 记1n n x a =,判别级数1n n x ∞=∑的敛散性.2010年江苏省《高等数学》竞赛试题(本科三级)一 填空题(每题4分,共32分)1.0sin sin(sin )limsin x x x x→-=2.2arctan tan x y x e x =+,/y =3.设由y x x y =确定()y y x =,则dydx= 4.2cos y x =,()()n y x =5.21xx e dx x-=⎰6.(2,)xz f x y y=-,f 可微,//12(3,2)2,(3,2)3f f ==,则(,)(2,1)x y dz==7设(),f u v 可微,由()22,0F x z y z ++=确定(),z z x y =,则z z x y∂∂+=∂∂ 8.设22:2,0D x y x y +≤≥,则D=二.(10分)设a 为正常数,使得2ax x e ≤对一切正数x 成立,求常数a 的最小值三.(10分)设()f x 在[]0,1上连续,且110()()f x dx xf x dx =⎰⎰,求证:存在点()0,1ξ∈,使得0()0f x dx ξ=⎰.四.(12分)求广义积分4211dx x+∞-⎰五.(12分)过原点()0,0作曲线ln y x =-的切线,求该切线、曲线ln y x =-与x 轴所围成的图形绕x 轴旋转一周所得的旋转体的体积.六、(12分)已知ABCD 是等腰梯形,//,8BC AD AB BC CD ++=,求,,AB BC AD 的长,使得梯形绕AD 旋转一周所得旋转体的体积最大。
2010年江苏省《高等数学》竞赛试题(本科二级)一 填空题(每题4分,共32分)1.0sin sin(sin )limsin x x x x→-=2.y =/y =3., 2cos y x =()()n y x =4. 21xx e dx x-=⎰5. 4211dx x+∞=-⎰6.圆的面积为 222222042219x y z x y z x y z +-+=⎧⎪⎨++--+≤⎪⎩7.,可微,,则(2,xz f x y y=-f //12(3,2)2,(3,2)3f f ==(,)(2,1)x y dz==8.级数的和为 .11(1)!2!n nn n n ∞=+-∑二.(10分)设在上连续,且,求证:存在点,使()f x [],a b ()()bbaab f x dx xf x dx =⎰⎰(),a b ξ∈得.()0af x dx ξ=⎰三.(10分)已知正方体的边长为2,为的中点,为1111ABCD A B C D -E 11D C F 侧面正方形的中点,(1)试求过点的平面与底面所成二11BCC B 1,,A E F ABCD 面角的值。
(2)试求过点的平面截正方体所得到的截面的面积.1,,A E F 四(12分)已知是等腰梯形,,求ABCD //,8BC AD AB BC CD ++=的长,使得梯形绕旋转一周所得旋转体的体积最大。
,,AB BC AD AD 五(12分)求二重积分,其中()22cos sin Dx y dxdy +⎰⎰22:1,0,0D x y x y +≤≥≥六、(12分)求,其中为曲线()()21xx y e dx x y dy Γ++++⎰Γ从到.22201212x x x y x x ⎧≤≤⎨+=≤≤⎩()0,0O ()1,1A -七.(12分)已知数列单调增加,{}n a 123111,2,5,,3n n n a a a a a a +-====- 记,判别级数的敛散性.()2,3,,n = 1n n x a =1n n x ∞=∑2010年江苏省《高等数学》竞赛试题(本科三级)一 填空题(每题4分,共32分)1.0sin sin(sin )limsin x x x x→-=2., 2arctan tan x y x e x =+/y =3.设由确定,则y x x y =()y y x =dydx=4., 2cos y x =()()n y x =5. 21xx e dx x-=⎰6.,可微,,则(2,xz f x y y=-f //12(3,2)2,(3,2)3f f ==(,)(2,1)x y dz==7设可微,由确定,则 (),f u v ()22,0F x z y z ++=(),z z x y =z z x y∂∂+=∂∂8.设,则22:2,0D x y x y +≤≥D=二.(10分)设为正常数,使得对一切正数成立,求常数的最小值a 2ax x e ≤x a 三.(10分)设在上连续,且,求证:存在点()f x []0,111()()f x dx xf x dx =⎰⎰,使得.()0,1ξ∈0()0f x dx ξ=⎰四.(12分)求广义积分4211dx x+∞-⎰五.(12分)过原点作曲线的切线,求该切线、曲线与()0,0ln y x =-ln y x =-轴所围成的图形绕轴旋转一周所得的旋转体的体积.x x 六、(12分)已知是等腰梯形,,求ABCD //,8BC AD AB BC CD ++=的长,使得梯形绕旋转一周所得旋转体的体积最大。
2010年江苏省《高等数学》竞赛试题(本科二级)一 填空题(每题4分,共32分) 1.0sin sin(sin )limsin x x x x→-=2.2ln(1x y x +=+,/y = 3.2cos y x =,()()n y x = 4.21xx e dx x-=⎰ 5.4211dx x+∞=-⎰6.圆222222042219x y z x y z x y z +-+=⎧⎪⎨++--+≤⎪⎩的面积为 7.(2,)xz f x y y=-,f 可微,//12(3,2)2,(3,2)3f f ==,则(,)(2,1)x y dz==8.级数11(1)!2!n nn n n ∞=+-∑的和为 . 二.(10分)设()f x 在[],a b 上连续,且()()bbaab f x dx xf x dx =⎰⎰,求证:存在点(),a b ξ∈,使得()0af x dx ξ=⎰.三.(10分)已知正方体1111ABCD A BC D -的边长为2,E 为11D C 的中点,F 为侧面正方形11BCC B 的中点,(1)试求过点1,,A E F 的平面与底面ABCD 所成二面角的值。
(2)试求过点1,,A E F 的平面截正方体所得到的截面的面积.四(12分)已知ABCD 是等腰梯形,//,8BC AD AB BC CD ++=,求,,AB BC AD 的长,使得梯形绕AD 旋转一周所得旋转体的体积最大。
五(12分)求二重积分()22cos sin Dx y dxdy +⎰⎰,其中22:1,0,0D x y x y +≤≥≥六、(12分)求()()21xx y e dx x y dy Γ++++⎰,其中Γ为曲线22201212x x x y x x ⎧≤≤⎨+=≤≤⎩从()0,0O 到()1,1A -.七.(12分)已知数列{}n a 单调增加,123111,2,5,,3n n n a a a a a a +-====-()2,3,,n = 记1n n x a =,判别级数1n n x ∞=∑的敛散性.2010年江苏省《高等数学》竞赛试题(本科三级)一 填空题(每题4分,共32分) 1.0sin sin(sin )limsin x x x x→-=2.2arctan tan x y x e x =+,/y =3.设由y x x y =确定()y y x =,则dydx= 4.2cos y x =,()()n y x = 5.21xx e dx x-=⎰6.(2,)xz f x y y=-,f 可微,//12(3,2)2,(3,2)3f f ==,则(,)(2,1)x y dz==7设(),f u v 可微,由()22,0F x z y z ++=确定(),z z x y =,则z z x y∂∂+=∂∂8.设22:2,0D x y x y +≤≥,则D=二.(10分)设a 为正常数,使得2ax x e ≤对一切正数x 成立,求常数a 的最小值三.(10分)设()f x 在[]0,1上连续,且11()()f x dx xf x dx =⎰⎰,求证:存在点()0,1ξ∈,使得0()0f x dx ξ=⎰.四.(12分)求广义积分4211dx x +∞-⎰五.(12分)过原点()0,0作曲线ln y x =-的切线,求该切线、曲线ln y x =-与x轴所围成的图形绕x 轴旋转一周所得的旋转体的体积.六、(12分)已知ABCD 是等腰梯形,//,8BC AD AB BC CD ++=,求,,AB BC AD 的长,使得梯形绕AD 旋转一周所得旋转体的体积最大。
江苏省第二届(1994年)高等数学竞赛本科一级竞赛试题(有改动)一、填空题(每小题5分,共50分)1. 111414242lim n n n n n →∞⎛⎫+++= ⎪+++⎝⎭________________. 2.设z 是由方程组(1)cos sin x t z y t z=+⎧⎨=⎩确定的隐函数,则z x ∂=∂____________________。
3.设22()(32)cos 16n x f x x x π=-+,则()(2)n f =________________。
4.设四阶常系数线性齐次微分方程有一个解为1cos2x y xe x =,则通解为_______________。
5. 平面0(0)Ax By Cz C ++=≠与柱面22221x y a b+=)0,(>B A 相交成的椭圆面积为____。
6.已知,a b 是非零常向量2b =,(,)3a b π∧=,则0l i m x a x b a x →+-=___________________。
7. 23011(cot )dxx π=+⎰_______________________。
8.椭球面222241x y z ++=与平面0x y z ++=之间的最短距离为______________。
二、(8分)试比较e π与e π的大小。
三、(10分)已知,a b 满足12ba x dx =⎰,(0ab ≤≤),求曲线2y x ax =+与直线y bx =所围区域的面积的最大值与最小值。
四、(10分)设区域D :)0(,222>≤+t t y x ,),(y x f 在D 上连续。
求证:)0,0(),(1lim20f dxdy y x f t Dt =⎰⎰→。
五、(10分)求不定积分dx xe x x x x ⎰++)1(cos 1sin 。
六、(10分)通过线性变换by x ay x +=+=ηξ,将方程04622222=∂∂+∂∂∂+∂∂yu y x u x u 化简成02=∂∂∂ηξu ,求b a ,的值。
2010年江苏省《高等数学》竞赛试题(本科二级)一 填空题(每题4分,共32分) 1.0sin sin(sin )limsin x x x x→-=2.22ln(1)1x x y x++=+,/y =3.2cos y x =,()()n y x =4.21xx e dx x-=⎰ 5.4211dx x+∞=-⎰6.圆222222042219x y z x y z x y z +-+=⎧⎪⎨++--+≤⎪⎩的面积为7.(2,)xz f x y y=-,f 可微,//12(3,2)2,(3,2)3f f ==,则(,)(2,1)x y dz==8.级数11(1)!2!nnn n n ∞=+-∑的和为 .二.(10分)设()f x 在[],a b 上连续,且()()bba ab f x dx xf x dx =⎰⎰,求证:存在点(),a b ξ∈,使得()0af x dx ξ=⎰.三.(10分)已知正方体1111ABC D A B C D -的边长为2,E 为11D C 的中点,F 为侧面正方形11BCC B 的中点,(1)试求过点1,,A E F 的平面与底面A B C D 所成二面角的值。
(2)试求过点1,,A E F 的平面截正方体所得到的截面的面积.四(12分)已知A B C D 是等腰梯形,//,8BC AD AB BC CD ++=,求,,AB BC AD 的长,使得梯形绕A D 旋转一周所得旋转体的体积最大。
五(12分)求二重积分()22cos sin Dx y dxdy +⎰⎰,其中22:1,0,0D x y x y +≤≥≥六、(12分)求()()21xx y e dx x y dy Γ++++⎰,其中Γ为曲线22201212xx x y xx ⎧≤≤⎨+=≤≤⎩从()0,0O 到()1,1A -.七.(12分)已知数列{}n a 单调增加,123111,2,5,,3n n n a a a a a a +-====-()2,3,,n = 记1nnx a =,判别级数1n n x ∞=∑的敛散性.2008年江苏省普通高等学校非理科专业一、填空题(每小题5分,共40分)1)___,____a b ==时,2limarctan .2x ax x x bx xπ→∞+=--2)11lim__________.(3)nn k k k →∞==+∑3)设()(1)(2)(100),f x x x x x =--- 则(100)_______.f '= 4)___,____a b ==时,2()1x f x ax x bx=+++在0x →时关于x 的无穷小的阶数最高.5)2320sin cos _______.x xdx π⋅=⎰6)2221_______.(1)xdx x +∞=+⎰7)设,xz x y =-则(2,1)_________.nnzy∂=∂8)设D 为,0,1y x x y ===所围区域,则arctan _________.Dydxdy =⎰⎰二、(8分) 设数列{}n x 为:111,6(1,2)n n x x x n +==+= ,求证:数列{}n x 收敛,并求其极限三、(8分) 设函数()f x 在[,]a b 上连续(0),()0,b aa f x dx >=⎰求证:存在(,),a b ξ∈使得()().af x dx f ξξξ=⎰四、(8分) 将xy平面上的曲线222()(0)x b y a a b -+=<<绕直线3x b =旋转一周得到旋转曲面,求此旋转曲面所围立体的体积.五、(8分) 设22242,(,)(0,0);(,)0,(,)(0,0).x y x y x y f x y x yx y ⎧++≠⎪=+⎨⎪=⎩ 讨论(,)f x y 在(0,0)处的连续性、可偏导性、可微性.六、(10分) 已知曲面 222441x y z +-= 与平面 0x y z +-=的交线在xy 平面上的投影为一椭圆,求此椭圆面积.七、(8分) 求2401lim sin().t txt dx y dy t +→⎰⎰ 八、(10分) 求221,Dx y dxdy +-⎰⎰这里22:2,0.D x y x y x +≤≤≤2006年江苏省高等数学竞赛试题(本科一、二级)一.填空(每题5分,共40分) 1.()3x f x a =,()()()41limln 12n f f f n n→∞=⎡⎤⎣⎦2. ()()251lim 1x tx x edt x-→-=⎰3.()122arctan 1xdx x =+⎰4.已知点()4,0,0,(0,2,0),(0,0,2)A B C --,O 为坐标原点,则四面体O A B C 的内接球面方程为5. 设由y z x ze +=确定(,)z z x y =,则(),0e dz=6.函数()()2,x f x y e ax b y -=+-中常数,a b 满足条件 时,()1,0f -为其极大值.7.设Γ是sin (0)y a x a =>上从点()0,0到(),0π的一段曲线,a = 时,曲线积分()()222y x y dx xy e dy Γ+++⎰取最大值.8.级数()1111n pn n nn∞+=+--∑条件收敛时,常数p 的取值范围是二.(10分)某人由甲地开汽车出发,沿直线行驶,经2小时到达乙地停止,一路畅通,若开车的最大速度为100公里/小时,求证:该汽车在行驶途中加速度的变化率的最小值不大于200-公里/小时3三.(10分)曲线Γ的极坐标方程为1cos 02πρθθ⎛⎫=+≤≤ ⎪⎝⎭,求该曲线在4πθ=所对应的点的切线L 的直角坐标方程,并求切线L 与x 轴围成图形的面积. 四(8分)设()f x 在(),-∞+∞上是导数连续的有界函数,()()1f x f x '-≤, 求证:()()1.,f x x ≤∈-∞+∞五(12分)本科一级考生做:设锥面22233(0)z x y z =+≥被平面340x z -+=截下的有限部分为∑.(1)求曲面∑的面积;(2)用薄铁片制作∑的模型,(2,0,23),(1,0,3)A B -为∑上的两点,O 为原点,将∑沿线段O B 剪开并展成平面图形D ,以O A 方向为极坐标轴建立平面极坐标系,写出D 的边界的极坐标方程. 本科二级考生做:设圆柱面221(0)x y z +=≥被柱面222z x x =++截下的有限部分为∑.为计算曲面∑的面积,用薄铁片制作∑的模型,()(1,0,5),(1,0,1),1,0,0A B C --为∑上的三点,将∑沿线段B C 剪开并展成平面图形D ,建立平面在极坐标系,使D 位于x 轴正上方,点A 坐标为()0,5,写出D 的边界的方程,并求D 的面积.六(10分)曲线220x z y ⎧=⎨=⎩绕z 轴旋转一周生成的曲面与1,2z z ==所围成的立体区域记为Ω, 本科一级考生做2221dxdydz x y zΩ++⎰⎰⎰本科二级考生做()222x y z dxdydz Ω++⎰⎰⎰七(10分)本科一级考生做1)设幂级数21n n n a x ∞=∑的收敛域为[]1,1-,求证幂级数1nn n a xn∞=∑的收敛域也为[]1,1-;2)试问命题1)的逆命题是否正确,若正确给出证明;若不正确举一反例说明.本科二级考生做:求幂级数()2112nnn n x ∞=+∑的收敛域与和函数2004年江苏省高等数学竞赛试题(本科二级)一.填空(每题5分,共40分)1. ()f x 是周期为π的奇函数,且在0x =处有定义,当0,2x π⎛⎫∈ ⎪⎝⎭时,()sin cos 2f x x x =-+,求当,2x ππ⎛⎤∈ ⎥⎝⎦时,()f x 的表达式 . 2. ()2tan 2lim sin xx x π→=3. 2222lim 14n nn nn n n n →∞⎛⎫+++=⎪+++⎝⎭4. ()()2ln 1,2f x x x n =->时()()0nf = 5.()()21xxex dx x e -=-⎰6.()112nn nn ∞==+∑.7.设(),f x y 可微,()()()1,22,1,23,1,24x y f f f ''===,()()(),,2x f x f x x ϕ=, 则()1ϕ'= . 8. 设()()010xx f x g x ≤≤⎧==⎨⎩其他,D 为,x y -∞<<+∞-∞<<+∞,则()()Df y f x y dxdy +=⎰⎰ .二.(10分)设()f x 在[],a b 上连续,()f x 在(),a b 内可导,(),f a a =,()()2212b afx dx b a=-⎰,求证: (),a b 内至少存在一点ξ使得()()1f f ξξξ'=-+三.(10分)设22:4,,24D y x y x x y -≤≥≤+≤,在D 的边界y x =上任取点P ,设P 到原点距离为t ,作PQ 垂直于y x =,交D 的边界224y x -=于Q 1)试将,P Q 的距离PQ 表示为t 的函数; 2)求D 饶y x =旋转一周的旋转体的体积四(10分)已知点(1,0,1),(3,1,2)P Q -,在平面212x y z -+=上求一点M ,使PM M Q +最小五(10分)求幂级数()()1132nnnn xn ∞=+-∑的收敛域。
2010年江苏省《高等数学》竞赛试题(本科二级)一 填空题(每题4分,共32分) 1.0sin sin(sin )lim sin x x x x→-=2.2ln(1x y x=+,/y = 3.2cos y x =,()()n y x = 4.21x x e dx x -=⎰ 5.4211dx x+∞=-⎰ 6.圆222222042219x y z x y z x y z +-+=⎧⎪⎨++--+≤⎪⎩的面积为 7.(2,)x z f x y y =-,f 可微,//12(3,2)2,(3,2)3f f ==,则(,)(2,1)x y dz == 8.级数11(1)!2!n n n n n ∞=+-∑的和为 . 二.(10分)设()f x 在[],a b 上连续,且()()b ba ab f x dx xf x dx =⎰⎰,求证:存在点(),a b ξ∈,使得()0af x dx ξ=⎰.三.(10分)已知正方体1111ABCD A B C D -的边长为2,E 为11D C 的中点,F 为侧面正方形11BCC B 的中点,(1)试求过点1,,A E F 的平面与底面ABCD 所成二面角的值。
(2)试求过点1,,A E F 的平面截正方体所得到的截面的面积.四(12分)已知ABCD 是等腰梯形,//,8BC AD AB BC CD ++=,求,,AB BC AD 的长,使得梯形绕AD 旋转一周所得旋转体的体积最大。
五(12分)求二重积分()22cos sin Dx y dxdy +⎰⎰,其中22:1,0,0D x y x y +≤≥≥六、(12分)求()()21xx y e dx x y dy Γ++++⎰,其中Γ为曲线22201212x x x y xx ⎧≤≤⎨+=≤≤⎩从()0,0O 到()1,1A -.七.(12分)已知数列{}n a 单调增加,123111,2,5,,3n n n a a a a a a +-====- ()2,3,,n =记1n n x a =,判别级数1n n x ∞=∑的敛散性.2008年江苏省普通高等学校非理科专业一、填空题(每小题5分,共40分)1)___,____a b ==时,2lim arctan .2x ax x x bx x π→∞+=--2)11lim __________.(3)n n k k k →∞==+∑3)设()(1)(2)(100),f x x x x x =---则(100)_______.f '= 4)___,____a b ==时,2()1x f x ax x bx =+++在0x →时关于x 的无穷小的阶数最高.5)2320sin cos _______.x xdx π⋅=⎰6)2221_______.(1)x dx x +∞=+⎰7)设,x z x y =-则(2,1)_________.n n z y ∂=∂8)设D 为,0,1y x x y ===所围区域,则arctan _________.Dydxdy =⎰⎰ 二、(8分) 设数列{}n x为:111,(1,2)n x x n +===,求证:数列{}n x 收敛,并求其极限三、(8分) 设函数()f x 在[,]a b 上连续(0),()0,ba a f x dx >=⎰求证:存在(,),ab ξ∈使得()().af x dx f ξξξ=⎰四、(8分) 将xy 平面上的曲线222()(0)x b y a a b -+=<<绕直线3x b =旋转一周得到旋转曲面,求此旋转曲面所围立体的体积.五、(8分)设242,(,)(0,0);(,)0,(,)(0,0).x yx yf x y x yx y≠=+⎪=⎩讨论(,)f x y在(0,0)处的连续性、可偏导性、可微性.六、(10分)已知曲面222441x y z+-=与平面0x y z+-=的交线在xy平面上的投影为一椭圆,求此椭圆面积.七、(8分)求2401lim sin().t txtdx y dy t+→⎰⎰八、(10分)求1,Ddxdy这里22:,0.D x y y x+≤≤≤2006年江苏省高等数学竞赛试题(本科一、二级)一.填空(每题5分,共40分)1.()3x f x a =,()()()41limln 12n f f f n n →∞=⎡⎤⎣⎦ 2. ()()25001lim 1x tx x e dt x-→-=⎰3. ()1202arctan 1x dx x =+⎰4.已知点()4,0,0,(0,2,0),(0,0,2)A B C --,O 为坐标原点,则四面体OABC 的内接球面方程为5. 设由y z x ze +=确定(,)z z x y =,则(),0e dz =6.函数()()2,x f x y e ax b y -=+-中常数,a b 满足条件 时,()1,0f -为其极大值.7.设Γ是sin (0)y a x a =>上从点()0,0到(),0π的一段曲线,a = 时,曲线积分()()222y x y dx xy e dy Γ+++⎰取最大值. 8.级数()111n n ∞+=-∑条件收敛时,常数p 的取值范围是 二.(10分)某人由甲地开汽车出发,沿直线行驶,经2小时到达乙地停止,一路畅通,若开车的最大速度为100公里/小时,求证:该汽车在行驶途中加速度的变化率的最小值不大于200-公里/小时3三.(10分)曲线Γ的极坐标方程为1cos 02πρθθ⎛⎫=+≤≤ ⎪⎝⎭,求该曲线在4πθ=所对应的点的切线L 的直角坐标方程,并求切线L 与x 轴围成图形的面积.四(8分)设()f x 在(),-∞+∞上是导数连续的有界函数,()()1f x f x '-≤, 求证:()()1.,f x x ≤∈-∞+∞五(12分)本科一级考生做:设锥面22233(0)z x y z =+≥被平面40x -+=截下的有限部分为∑.(1)求曲面∑的面积;(2)用薄铁片制作∑的模型,(2,0,(A B -为∑上的两点,O 为原点,将∑沿线段OB 剪开并展成平面图形D ,以OA 方向为极坐标轴建立平面极坐标系,写出D 的边界的极坐标方程. 本科二级考生做:设圆柱面221(0)x y z +=≥被柱面222z x x =++截下的有限部分为∑.为计算曲面∑的面积,用薄铁片制作∑的模型,()(1,0,5),(1,0,1),1,0,0A B C --为∑上的三点,将∑沿线段BC 剪开并展成平面图形D ,建立平面在极坐标系,使D 位于x 轴正上方,点A 坐标为()0,5,写出D 的边界的方程,并求D 的面积.六(10分)曲线220x z y ⎧=⎨=⎩绕z 轴旋转一周生成的曲面与1,2z z ==所围成的立体区域记为Ω, 本科一级考生做2221dxdydz x y zΩ++⎰⎰⎰ 本科二级考生做()222x y z dxdydz Ω++⎰⎰⎰七(10分)本科一级考生做1)设幂级数21n n n a x ∞=∑的收敛域为[]1,1-,求证幂级数1n n n a x n ∞=∑的收敛域也为[]1,1-;2)试问命题1)的逆命题是否正确,若正确给出证明;若不正确举一反例说明. 本科二级考生做:求幂级数()2112n n n n x ∞=+∑的收敛域与和函数2004年江苏省高等数学竞赛试题(本科二级)一.填空(每题5分,共40分)1. ()f x 是周期为π的奇函数,且在0x =处有定义,当0,2x π⎛⎫∈ ⎪⎝⎭时,()sin cos 2f x x x =-+,求当,2x ππ⎛⎤∈ ⎥⎝⎦时,()f x 的表达式 . 2. ()2tan 2lim sin x x x π→= 3. 2222lim 14n n n n n n n n →∞⎛⎫+++= ⎪+++⎝⎭ 4. ()()2ln 1,2f x x x n =->时()()0n f = 5. ()()21x x e x dx x e -=-⎰6.()112n n n n ∞==+∑ . 7.设(),f x y 可微,()()()1,22,1,23,1,24x y f f f ''===,()()(),,2x f x f x x ϕ=, 则()1ϕ'= .8. 设()()010x x f x g x ≤≤⎧==⎨⎩其他,D 为,x y -∞<<+∞-∞<<+∞,则 ()()Df y f x y dxdy +=⎰⎰ .二.(10分)设()f x 在[],a b 上连续,()f x 在(),a b 内可导,(),f a a =,()()2212b a f x dx b a =-⎰,求证: (),a b 内至少存在一点ξ使得()()1f f ξξξ'=-+三.(10分)设22:4,,24D y x y x x y -≤≥≤+≤,在D 的边界y x =上任取点P ,设P 到原点距离为t ,作PQ 垂直于y x =,交D 的边界224y x -=于Q1)试将,P Q 的距离PQ 表示为t 的函数;2)求D 饶y x =旋转一周的旋转体的体积四(10分)已知点(1,0,1),(3,1,2)P Q ,在平面212x y z 上求一点M ,使PM MQ 最小五(10分)求幂级数()()1132n n n n x n ∞=+-∑的收敛域。
六(10分)设(),f x y 可微,()()()1,22,1,22,1,23x y f f f ''===, ()()()(),2,2,2x f f x x f x x ϕ=,求()1ϕ'.七(10分)求二次积分()222021d e d ππρθθθρ-⎰⎰2002年江苏省高等数学竞赛试题(本科二级)一.填空(每题5分,共40分)1.()0lim 0x k x e c c x →-=≠,则k = ,c =2. 设()f x 在[)1,+∞上可导,下列结论成立的是A. 若()lim 0x f x →+∞'=,则()f x 在[)1,+∞上有界 B. 若()lim 0x f x →+∞'≠,则()f x 在[)1,+∞上无界 C. 若()lim 1x f x →+∞'=,则()f x 在[)1,+∞上无界 3. 设由()1y e x y x x -+-=+确定()y y x =,则()0y ''= 4.()arcsin arccos x x dx -=⎰5. 曲线22222z x y x y y ⎧=+⎨+=⎩,在点()1,1,2的切线的参数方程为 6.设(),sin x y z f g e y x ⎛⎫=+ ⎪⎝⎭,f 有二阶连续导数,g 有二阶连续偏导数, 则2z x y∂=∂∂ 7. 交换二次积分的次序()2130,xx dx f x y dy -=⎰⎰ . 8.幂级数11112n n x n ∞=⎛⎫+++ ⎪⎝⎭∑的收敛域 二.(8分)设()f x 在[)0,+∞上连续,单调减少,0a b <<, 求证00()()b aa f x dxb f x dx ≤⎰⎰三.(8分)设()f x 在[],a b 上连续,()()0b bx a a f x dx f x e dx ==⎰⎰,求证: ()f x 在(),a b 内至少存在两个零点.四.(8分)求直线1211x y z -==-绕y 轴旋转一周的旋转曲面方程,求求该曲面与0,2y y ==所包围的立体的体积.五.(9分)设k 为常数,试判断级数()()221ln nk n n n ∞=-∑的敛散性,何时绝对收敛?何时条件收敛?何时发散?六.(9分)设()()()()()arctan ,0,0,0,0,0y x y f x y x y ⎧≠⎪=⎨⎪=⎩讨论(),f x y 在点()0,0处连续性,可偏导性?可微性.七.(9分)设()f u 在0u =可导,()22200,:2f x y z tz =Ω++≤, 求()222501lim t f x y z dxdydz t +→Ω++⎰⎰⎰八.(9分)设曲线AB 的极坐标方程为1cos 22ππρθθ⎛⎫=--≤≤ ⎪⎝⎭,一质点P 在力F 作用下沿曲线AB 从()0,1A -运动到()0,1B ,力F 的大小等于P 到定点()3,4M 的距离,其方向垂直于线段MP ,且与y 轴正向的夹角为锐角,求力F 对质点P 做得功.2000年江苏省高等数学竞赛试题(本科二级)一.填空(每题3分,共15分). 1.设()f x =()f f x =⎡⎤⎣⎦2. 1lim ln 1x x x x x x →-=-+ 3. 已知()21d f x dx x ⎡⎤=⎣⎦,则()f x '=4.()14451x dx x =+⎰5..设(),z z x y =由方程,0y z F x x ⎛⎫= ⎪⎝⎭确定(F 为任意可微函数), 则z z x y x y∂∂+=∂∂ 二选择题(每题3分,共15分)1.对于函数112121x x y -=+,点0x =是( )A. 连续点;B. 第一类间断点;C. 第二类间断点;D 可去间断点2.已知函数()y f x =对一切x 满足()()231x xf x x f x e -''+=-⎡⎤⎣⎦,若()000(0)f x x '=≠,则( )A. ()0f x 是()f x 的极大值;B. ()()00,x f x 是曲线()y f x =的拐点;C. ()0f x 是()f x 的极小值;D ()0f x 不是()f x 的极值,()()00,x f x 也不是曲线()y f x =的拐点3. lim x )A. 等于1;B. 等于0;C. 等于1-;D 不存在,但也不是+∞4.若()()0000,,,x y x y ffx y ∂∂∂∂都存在,则(),f x y 在()00,x yA. 极限存在,但不一定连续;B. 极限存在且连续;C. 沿任意方向的方向导数存在; D 极限不一定存在,也不一定连续5.设α为常数,则级数21sin n n n α∞=⎛ ⎝∑ A. 绝对收敛 B. 条件收敛;C. 发散; D 收敛性与α取值有关 三(6分)求111lim 12n n n n n →∞⎛⎫+++ ⎪+++⎝⎭四(6分)已知函数()y y x =由参数方程(1)010y x t t te y +-=⎧⎨++=⎩确定,求202t d y dx =五(6分)设()(),f x g x 在[],a b 上连续,在(),a b 内可导且对于(),a b 一切x 均有()()()()0f x g x f x g x ''-≠,证明若()f x 在(),a b 内有两个零点,则()g x 至少存在一个介于这两个零点之间的零点。