初中物理常用公式
- 格式:doc
- 大小:70.50 KB
- 文档页数:2
初中物理公式大全一、速度公式:S的国际主单位是m2 (1m2=102dm2=104cm2)八、液体压强公式:P=ρgh液体压力公式:F=PS=ρghS九、浮力公式: (1)、F浮=F’-F (压力差法) (2)、F浮=G-F (视重法)(3)、F浮=G (漂浮、悬浮法)(4)、阿基米德原理:F浮=G排=ρ液V排g(排水法)十、功的公式:W=FS 把物体举高时W=Gh W=Pt十一、功率公式:P=W/t P=W/t= Fs/t=Fv (v=P/F)十二、有用功公式举高:W有=Gh 水平:W有=Fs W有=W总-W额十三、总功公式:W总=FS (S=nh) W总=W有/ η W总=W有+W额 W总=P总t十四、机械效率公式:η=W有/W总η=P有/ P总(1)、η=G/ nF(竖直方向)(2)、η=G/(G+G动) (竖直方向不计摩擦)(3)、η=f / nF (水平方向)十五、热学公式: C水=4.2×103J/(Kg·℃) C=比热容1、吸热:Q吸=Cm(t-t0)=CmΔt2、放热:Q放=Cm(t0-t)=CmΔt3、热值:q=Q/m4、炉子和热机的效率:η=Q有效利用/Q燃料5、热平衡方程:Q放=Q吸6、热力学温度:T=t+273K7、燃料燃烧放热公式Q吸=mq 或Q吸=Vq(适用于天然气等)十六、电学:欧姆定律:I=U/R焦耳定律:(1)、Q=I2Rt (2)、Q=UIt=Pt=UQ电功:(1)、W=UIt=Pt=UQ (2)、W=I2Rt=U2t/R电功率:(1)、P=W/t=UI (普适公式)(2)、P=I2R=U2/R (纯电阻公式)常用物理量:1、人耳区分回声:≥0.1s2、重力加速度:g=9.8N/kg≈10N/kg3、标准大气压值:760毫米水银柱高=1.01×105Pa4、水的密度:ρ=1.0×103kg/m5、水的沸点:100℃6、水的比热容:C=4.2×103J/(kg?℃)7、元电荷:e=1.6×10-19C8、一节干电池电压:1.5V9、一节铅蓄电池电压:2V10、对于人体的安全电压:≤36V(不高于36V)11、动力电路的电压:380V12、家庭电路电压:220V13、单位换算:(1)、1m/s=3.6km/h(2)、1g/cm3 =103kg/m3(3)、1kw?h=3.6×106J。
初中物理全部公式有多少初中物理公式1.动力学公式:F=m*a动力学公式是描述物体运动状态的公式,其中F代表物体所受的合力,m代表物体的质量,a代表物体的加速度。
根据这个公式,我们可以计算物体受到的力和其加速度之间的关系。
例如,如果我们已知物体的质量和加速度,就可以通过这个公式计算出作用在物体上的合力。
2.路程公式:s=v*t路程公式用于计算物体的行进距离,其中s代表物体的路程,v代表物体的速度,t代表物体行进的时间。
这个公式表达了物体的速度和行进时间对行进距离的影响关系。
例如,如果我们知道物体的速度和行进时间,就可以通过这个公式计算出物体的行进距离。
3.位移公式:S=(v+u)*t/2位移公式用于计算物体的位移,其中S代表物体的位移,v代表物体的末速度,u代表物体的初速度,t代表物体运动的时间。
位移是一个矢量量,表示物体从起点到终点的位置变化。
这个公式可以帮助我们计算物体在任意速度下的位移。
4. 功公式:W = F * s * cosθ功公式用于计算力对物体的做功,其中W代表物体所受的功,F代表物体所受的力,s代表物体受力方向上的位移,θ代表力的方向与位移方向之间的夹角。
这个公式可以帮助我们计算物体所受到的力对其做功的大小。
如果力的方向与位移方向相同,夹角为0,那么做功就等于力乘以位移;如果力的方向与位移方向垂直,夹角为90°,那么做功为0。
5.能量守恒定律:E1+W=E2能量守恒定律表明,在一个封闭的系统中,能量的总量保持不变。
其中,E1代表系统的初始能量,E2代表系统的最终能量,W代表系统所受外力的做功。
根据能量守恒定律,我们可以推导出很多有关能量转化和能量守恒的公式。
这个定律对解决许多与能量有关的问题非常有用。
这是五个初中物理中比较重要的公式,但实际上,初中物理中涵盖的公式还有很多,并且这些公式与不同物理现象和概念有关。
希望这些公式和介绍对你学习初中物理有所帮助。
初中常用物理公式1、速度公式:ts v= 可求时间:vst=求路程:s=v t 2、重力公式:G=mg 可求质量m :gG m= 3、合力与分力:1同方向F=F 1+F 2 2反方向F= F 1-F 2F 1>F 2 4、密度公式:Vm=ρ可求质量m :V m ρ= 体积:ρmV =5、浮力公式:1 称重法 F 浮=G -F 示 2 阿基米德原理法F 浮=ρ液gV 排3 漂浮或悬浮法F 浮=G 6、压强公式:SF p =适用于一切固体和液体、气体7、液体压强公式:gh p ρ=适用于一切液体也可用于长方体、正方体、圆柱体8、动力和阻力公式:2211l F l F =9、功的公式:定义式W=Fs 重力做功W=Gh=mgh ; 摩擦力做功W=f s ;机械做功 W=P t 10、功率公式:tW P=Fv tFs t W P ===11、滑轮组提升重物时的机械效率公式:1有用功W 有用=Gh 或W 有=W 总-W 额 2总功W 总=F s 其中 nh s=或 W总=W 有+W 额3η=总有W W ×100%12、使用滑轮组时的拉力公式:1不计动滑轮和绳重及摩擦时:F =G n1物 2不计绳重及摩擦时:)(1动物G G nF +=3一般用nGF η=n 为在动滑轮上的绳子股数4距离公式:s=nh h 为物体升高的高度13、水平面上的牵引力或拉力根据二力平衡条件计算:物体匀速运动时,一般F =f f 一般为摩擦力 f 一般是物重的几倍;14、热量公式:Q 吸=cm △t =cmt 2-t 1 ; Q 放=cm △t =cmt 1-t 2 15、热值公式 :Q =qmq 为J/kg m 用kg Q =qV q 为J/ m 3V 用m 3不计热量的损失时: Q 吸=Q16、电流公式:串联:I =I 1=I 2 并联:I =I 1+I 2 17、欧姆定律:RU I=; 可以求电压U :U=IR ; 求电阻R :IU R =伏安法测电阻的原理18、电功公式:1W=UIt ; 可以求电压U :ItW U =; 可以求电流:UtW I =2W =Pt 如果w 以kw ·h 为单位,用它最简单19、电功率公式:1 RU R I UI P 22===既可用于求额定功率,也可用于求实际功率,还可用于求总功率,换成相应的下标即可; 变形后可以求电压:I P U =; 求电流:UP I = 2 P =tW定义式 20、求电阻的公式 :1 I UR =伏安法测电阻的原理 2实实额额P U P U R 22== 3串联:R =R 1+R 2 则R 1=R -R 2 ; R 2=R -R 1 4并联:21111R R R +=21、电磁波公式:λν=c22、串联电路的三个关系: I =I 1=I 2 U =U 1+U 2 R =R 1+R 2 23、并联电路的三个关系: I =I 1+I 2 U 1=U 221111R R R +=。
初中物理常用必备公式1.运动速度公式:速度=位移/时间2.平均速度公式:平均速度=总位移/总时间3.速度变化率公式:速度变化率=(末速度-初始速度)/时间4.加速度公式:加速度=(末速度-初始速度)/时间5.加速度与时间的关系:速度=初始速度+加速度×时间6.重力加速度公式:重力加速度=9.8m/s²7.合力公式:合力=质量×加速度8.牛顿第二定律公式:力=质量×加速度9.动量公式:动量=质量×速度10.动量变化率公式:动量变化率=(末动量-初始动量)/时间11.动量守恒公式:总动量=总质量×总速度12.弹力公式:弹力=弹性系数×形变长度13.弹性势能公式:弹性势能=1/2×弹性系数×形变长度²14.功公式:功 = 力× 位移× cosθ15.功率公式:功率=功/时间16.动能公式:动能=1/2×质量×速度²17.动能与功的关系:功=动能的增量18.压强公式:压强=力/面积19.容积公式:容积=长×宽×高20.密度公式:密度=质量/体积21.浮力公式:浮力=液体密度×重力加速度×浸没体积22.阻力公式:阻力=阻尼系数×速度23.机械效率公式:机械效率=输出功/输入功24.像的放大倍率公式:像的放大倍率=视距/物距25.光的传播速度公式:光的传播速度=光在真空中的传播速度26.真实物像距离关系公式:1/物距+1/像距=1/焦距27.能量转化效率公式:能量转化效率=输出能量/输入能量28.焦距公式:1/焦距=(折射率-1)/曲率半径29.空气折射率公式:空气折射率=真实物像距离关系公式的焦距/真实物像距离关系公式的物距这些是初中物理中最常用的公式,掌握这些公式可以帮助学生更好地理解和应用物理知识。
但是,除了公式外,还要理解公式的基本概念和物理原理,这样才能更好地解决物理问题。
初中物理必背公式汇总想要学好初中物理,熟记物理公式是前提!力学部分:一、速度公式物理量 计算式 国际主单位 常用单位 换算关系速度v V=stm/s Km/h 1m/s=3.6km/h路程s S=vt m Km 1km=1000m 时间t t=s/v s h 1h=60min=3600s 1、火车过桥(洞)时通过的路程s=L 桥+L 车 2、声音在空气中的传播速度为340m/s3、光在空气中的传播速度为3×108m/s二、重力公式G=mg 单位:N (通常g 取10N/kg ,题目未交待时g 取9.8N/kg)M= Gg同一物体G 月=1/6G 地 m 月=m 地三、密度公式物理量 计算式 国际主单位 常用单位 换算关系密度ρ ρ=mvKg/m 3g/cm 31g/cm 3=1000Kg/m 3质量m M=ρ×v Kg g 1kg=1000g体积v V=m/ρ m 3 cm 3 1m 3=1000dm 3=1×106cm 31L=1000ml(cm 3)1、冰与水之间状态发生变化时m 水=m 冰 ρ水>ρ冰 v 水<v 冰2、同一个容器装满不同的液体时,不同液体的体积相等,密度大的质量大3、空心球空心部分体积: V 空=V 总-V 实4、水的密度 =1.0×103 kg/m 3、 =1g/cm 3、 =1g/ml 、 =1000g/L四、压强公式(普适)P= F S单位:Pa 固体平放时 F=G=mgS 的国际主单位是m 2 1m 2=100dm 2=104cm 2=106mm 2五、液体压强公式P =FS= mg S = ρ×v∙gS =ρg h ( vS = h 、F=mg )液体压力公式F= P ×S =ρghS 规则物体(正方体、长方体、圆柱体)公式通用六、浮力公式(1)、F 浮=F-F (压力差法) (2)、F 浮=G-F (视重法) (3)、F 浮=G (漂浮、悬浮法)(4)、阿基米德原理:F 浮=G 排= m 排g=ρ液gV 排 (排水法) (M=ρ×v )七、杠杆平衡条件公式F 1×L 1=F 2×L 2 F 1/F 2=L 2/L 1八、动滑轮公式(竖放)不计绳重和摩擦时F 动= 12(G 动+G 物) s 绳 = 2h 物九、滑轮组公式(竖放)不计绳重和摩擦时F 动= 1n(G 动+G 物) s 绳 = nh 物十、功的公式W= FS 单位:J (焦耳)W= Pt W=Gh --------把物体举高时十一、功率公式P= Wt单位:W(瓦特)P=FSt= Fv (v=S/t)v=P/F F=P/V十二、有用功公式W有=Gh (举高) W有=Fs (水平) W有=W总-W额十三、总功公式W总=FS (S=nh) W总=W有/η W总= W有+W额 W总=P总×t 十四、机械效率公式η=W有/W总×100%η =P有/ P总×100%(1)、η=G/ nF (竖直方向)(2)、η=G/(G+G动) (竖直方向不计摩擦)(3)、η=f / nF (水平方向)(4)、η=G/Fn (在滑轮组中)十五、热学公式1、吸热:Q吸=Cm(t-t)=CmΔt2、放热:Q 放=Cm(t 0-t)=CmΔt3、热值:q=Q/m4、炉子和热机的效率:η =Q 有效利用/Q 燃料5、热平衡方程:Q 放=Q 吸6、热力学温度:T=t+273K7.燃料燃烧放热公式:Q 吸=mq 或Q 吸=Vq(适用于天然气等) 8、C 水=4.2103J/(Kg℃)电学部分:1、电流强度:I=Q 电量/t2、电阻:R=ρL/S3、欧姆定律:I = U R、R = UI 、U=I ×R4、串联电路: (1)、I 总=I 1=I 2 (2)、U 总=U 1+U 2(3)、R 总=R 1+R 2(4)、U 1U 2 = R 1R 2(分压公式) (U 1U 2= I 1∙R 1I 2∙R 2 =R 1R 2)(5)、P 1P 2=R 1R 2(P 1/P 2 = I 1U 1/I 2U 2 = U 1/U 2 =R 1R 2)5、并联电路: (1)、I 总= I 1+I 2 (2)、U 总= U 1= U 2(3)、R 总=R 1∙ R 2R 1+R 2(1/R=1/R 1+1/R 2 )(R 总= U 总I 总= U总I1+I 2=U总/(U1R1+U2R2)=U 总∙ R 1∙ R 2U 2R 1+U 1R2)(4)、I 1I 2=R 2R 1(分流公式) (I 1I 2= U 1/R 1U 2/R 2 =R 2R 1)(5)、P 1P 2=R 2R 1(P 1/P 2 = I 1U 1/I 2U 2 = I 1/I 2 =R 2R 1)6、定值电阻:? (1)、I 1/I 2=U 1/U 2 (2)、P 1/P 2=I 12/I 22(3)、P 1/P 2=U 12/U 227、电功:(1)、W= UIt = Pt = UQ (普适公式)(2)、W= I 2Rt = U 2R×t (纯电阻公式)8、电功率:(1)、P= W/t = UI (普适公式)(2)、P= I 2R = U 2R(纯电阻公式)9、焦耳定律:(1)、Q=I 2Rt ----- 焦耳定律 (普适公式)(2)、Q= UIt = Pt = UQ 电量 =U 2R×t (纯电阻公式)常用物理量1、光速:C=3×108 m/s (真空中)2、声速:V=340 m/s (15℃)3、人耳区分回声:≥0.1s4、重力加速度:g=9.8N/kg ≈10N/kg5、标准大气压值:760毫米水银柱高=1.01×105Pa6、水的密度:=1.0×103 kg/m 37、水的凝固点:0℃8、水的沸点:100℃9、水的比热容:C=4.2×103 J/(kg℃) 10、元电荷:e=1.6×10-19C 11、一节干电池电压:1.5V 12、一节铅蓄电池电压:2V13、对于人体的安全电压:36V(不高于36V) 14、动力电路的电压:380V 15、家庭电路电压:220V 16、单位换算: (1)、1m/s= 3.6 km/h (2)、1g/cm 3 =1000 kg/m 3 (3)、1kw ·h= 3.6×106 J。
考前公式必备力学部分1.速度;定义公式:t sv =vts vst ==;变形公式:物理量及单位:速度(m/s 、km/h );路程(m 、km );时间(s 、h )。
单位换算:1m/s=3.6km/h;应用:求物体的速度,路程和时间。
2.密度;定义公式:V m=ρVm mV ρρ==变形公式:物理量及单位:密度(kg/m 3、g/cm 3);质量(kg 、g );体积(m 3、cm 3)单位换算:⎪⎪⎩⎪⎪⎨⎧====.m 101dm L 1m 10cm 1ml 1kg/m 10×1.0=1g/cm 1g/cm =kg/m 10×1.033-336-3333333;;;应用:求物体的密度、质量和体积。
3.重力;定义公式:mg G =mGg g G m ==变形公式:物理量及单位:重力(N );质量(kg 、g );重力加速度(N/kg )应用:求物体的重力和质量4.压强S Fp =定义公式:pSF pFS ==;变形公式:物理量及单位:压强(P );受力面积(m 2、cm 2);压力(N )应用:求物体的压强、压力和受力面积。
5.液体压强;定义公式:gh p ρ=变形公式:gh p =ρgph ρ=物理量及单位:压强(p );密度(kg/m 3、g/cm 3);深度(m 、cm )注意事项:外部压力:物体对水平地面(或水平桌面)的压力:F=G 总=G 容器+G 液+G 物;压强:地面(或水平桌面)的外部压强:物体对水平SS G S F p 物液容器总G +G +G ===底的压强:内部压强:液体对容器;gh ρ=p Sp 排液G +G 体:正方体、长方体、圆柱=内部压力:液体对容器底的压力:F=pS=ρghS (或ρgV );规则容器:F=G 液应用:求液体的压强、液体密度和液体深度。
6.浮力(1)压力差法:向下向上浮F -F F =(2)称重法::弹簧测力计的示数):物体的重力;(弹弹浮F G F -G F =特点:有弹簧测力计示数,或有拉力大小时。
物理公式大全一、密度(ρ):1、定义:单位体积的某种物质的质量叫做这种物质的密度。
2、公式: 单位:国际单位制单位: kg/m 3 单位换算关系:1g/cm 3=103kg/m 3二、速度(v ):1、定义:在匀速直线运动中,速度等于运动物体在单位时间内通过的路程。
2、计算公式: 单位:国际单位制: m/s 换算:1m/s=3.6km/h 。
三、重力(G ):1、定义:地面附近的物体,由于地球的吸引而受的力叫重力2、计算公式: G=mg m 为物理的质量;g 为重力系数, g=9.8N/kg ,粗略计算的时候g=10N/kg3、单位:牛顿简称牛,用N 表示四、杠杆原理1、定义:杠杆的平衡条件为动力×动力臂=阻力×阻力臂2、公式:F 1l 1=F 2l 2 也可写成:F 1 / F 2=l 2 / l 1五、压强(P ):1、定义:物体单位面积上受到的压力叫压强。
2、计算公式: P=F/S 单位是:帕斯卡(Pa )六、液体压强(P ):1、计算公式:p =ρgh其中ρ为液体密度,常用单位kg/m 3 ;g 为重力系数,g=9.8N/kg ;h 为深度,常用单位m2、单位是:帕斯卡(Pa )七、阿基米德原理求浮力1、内容:浸入液体里的物体受到向上的浮力,浮力的大小等于它排开的液体受到的重力2、公式计算: F 浮 = G 排 =ρ液V 排g 单位:牛(N )G 排 为排开液体受到的重力,常用单位为牛(N );ρ液为物体浸润的液体密度,常用单位kg/m 3 g/cm 3 ;V 排为排开液体的体积,常用单位cm 3 m 3 ;g 为重力系数,g=9.8N/kg八、功(W ):1、定义:功等于力跟物体在力的方向上通过的距离的乘积2、计算公式: W=FS 单位:焦耳,1J=1N·m其中F 为物体受到的力,常用单位为为牛(N );S 为在力的方向上通过的距离,常用单位为mρ m V = v t s = V s t=九、机械效率(η):1、定义:有用功跟总功的比值2、计算公式:η= W有用/ W总单位:通常用百分数表示(%)十、功率(P):1、定义:单位时间里完成的功。
初中物理所有公式总结初中物理是物理学的入门阶段,包括了力学、能量、电磁学等基础内容。
在学习初中物理过程中,掌握和理解各种公式是非常重要的。
下面将对初中物理所涉及的公式进行详细介绍。
1. 力学力学是物理学的基础,主要涉及到运动、力、功、能等方面的内容。
1.1 运动相关公式1.1.1 速度公式:平均速度v = Δs / Δt,其中Δs表示位移,Δt表示时间。
速度v = ds / dt,其中ds表示微小位移,dt表示微小时间。
1.1.2 加速度公式:加速度a = Δv / Δt,其中Δv表示速度变化量,Δt表示时间。
1.1.3 路程-时间公式:路程s = vt,其中s表示路程,v表示速度,t表示时间。
1.1.4 位移-时间公式:位移s = v0t + (1/2)at²,其中s表示位移,v0表示初速度,t表示时间,a表示加速度。
1.1.5 速度-时间公式:v = v0 + at,其中v表示速度,v0表示初速度,t表示时间,a表示加速度。
1.1.6 速度-位移公式:v² = v0² + 2as,其中v表示速度,v0表示初速度,s表示位移,a表示加速度。
1.2 力相关公式1.2.1 牛顿第一定律公式(惯性定律):物体在外力作用下保持匀速直线运动或静止状态。
1.2.2 牛顿第二定律公式:F = m * a,其中F表示物体所受的合力,m表示物体的质量,a表示物体的加速度。
1.2.3 牛顿第三定律公式:任何两个物体之间的作用力大小相等、方向相反,且作用在同一条直线上。
1.3 功与能相关公式1.3.1 功公式:功W = F * s * cosθ,其中F表示力的大小,s表示位移的大小,θ表示力与位移之间的夹角。
1.3.2 功率公式:功率P = W / t,其中P表示功率,W表示功,t表示时间。
1.3.3 势能公式:重力势能Ep = m * g * h,其中m表示物体的质量,g表示重力加速度,h表示高度。
初中物理所有公式(全)1.速度公式:V=S/t2.重力公式:G=mg3.密度公式:ρ=m/V4.压强公式:p=F/S5.液体压强公式:p=ρgh6.浮力公式:1) F浮=F'-F(压力差)2) F浮=G-F(视重力)3) F浮=G(漂浮、悬浮)4) 阿基米德原理:F浮=G排=ρ液gV排7.杠杆平衡条件:F1 L1=F2 L28.理想斜面公式:F/G=h/L9.理想滑轮公式:F=G/n10.实际滑轮公式:F=(G+G动)/n(竖直方向)11.功公式:W=FS=Gh(把物体举高)12.功率公式:P=W/t=FV13.功的原理:W手=W机14.实际机械公式:W总=W有+W额外15.机械效率公式:η=W有/W总16.滑轮组效率公式:1) η=G/nF(竖直方向)2) η=G/(G+G动)(竖直方向不计摩擦)3) η=f/nF(水平方向)热学部分】1.吸热公式:Q吸=Cm(t-t0)=CmΔt2.放热公式:Q放=Cm(t0-t)=CmΔt3.热值公式:q=Q/m4.炉子和热机的效率公式:η=Q有效利用/Q燃料5.热平衡方程:Q放=Q吸6.热力学温度公式:T=t+273K电学部分】1.电流强度公式:I=Q电量/t2.电阻公式:R=ρL/S3.欧姆定律公式:I=U/R4.焦耳定律公式:1) Q=I2Rt(普适公式)2) Q=UIt=Pt=UQ电量=U2t/R(纯电阻公式)5.串联电路公式:1) I=I1=I22) U=U1+U23) R=R1+R24) U1/U2=R1/R2(分压公式)5) P1/P2=R1/R26.并联电路公式:1) I=I1+I22) U=U1=U23) 1/R=1/R1+1/R2(R=R1R2/(R1+R2))4) I1/I2=R2/R1(分流公式)5) P1/P2=R2/R17.定值电阻:删除8.电功公式:1) W=UIt=Pt=UQ(普适公式)2) W=I2Rt=U2t/R(纯电阻公式)9.电功率公式:1) P=W/t=UI(普适公式)2) P=I2R=U2/R(纯电阻公式)常用物理量】1.光速:C=3×108m/s(真空中)2.声速:V=340m/s(15℃)3.人耳区分回声:≥0.1s4.重力加速度:g=9.8N/kg≈10N/kg5.标准大气压值:删除760毫米水银柱高相当于大气压力为1.01×105帕斯卡。
想要学好初中物理,熟记物理公式是前提,下面为大家整理的初中物理公式大全,包括初中物理力学部分公式、初中物理电学部分公式以及一些常用的物理量:初中物理力学部分一、速度公式火车过桥(洞)时通过的路程s =L 桥+L 车声音在空气中的传播速度为340m/s光在空气中的传播速度为3×108m/s二、密度公式水33冰与水之间状态发生变化时m 水=m 冰 ρ水>ρ冰 v 水<v 冰同一个容器装满不同的液体时,不同液体的体积相等,密度大的质量大空心球空心部分体积V 空=V 总-V 实三、重力公式G =mg (通常g 取10N/kg ,题目未交待时g 取9.8N/kg) 同一物体G 月=1/6G 地 m 月=m 地四、杠杆平衡条件公式F 1l 1=F 2l 2 F 1 /F 2=l 2/l 1五、动滑轮公式不计绳重和摩擦时F =1/2(G 动+G 物) s =2h六、滑轮组公式不计绳重和摩擦时F =1/n(G 动+G 物) s =nh七、压强公式(普适)P =F/S 固体平放时F =G =mgS 的国际主单位是m 2 1m 2=102dm 2=104cm 2=106mm 2八、液体压强公式P=ρgh液体压力公式F=PS=ρghS规则物体(正方体、长方体、圆柱体)公式通用九、浮力公式(1)、F浮=F’-F (压力差法)(2)、F浮=G-F (视重法)(3)、F浮=G (漂浮、悬浮法)(4)、阿基米德原理:F浮=G排=ρ液gV排(排水法)十、功的公式W=FS 把物体举高时W=Gh W=Pt十一、功率公式P=W/t P=W/t= Fs/t=Fv (v=P/F)十二、有用功公式举高W有=Gh 水平W有=Fs W有=W总-W额十三、总功公式W总=FS (S=nh) W总=W有/η W总=W有+W额 W总=P总t 十四、机械效率公式η=W有/W总η=P有/ P总(在滑轮组中η=G/Fn)(1)、η=G/ nF(竖直方向)(2)、η=G/(G+G动) (竖直方向不计摩擦)(3)、η=f / nF (水平方向)十五、热学公式 C水=4.2×103J/(Kg·℃)1、吸热:Q吸=Cm(t-t0)=CmΔt2、放热:Q放=Cm(t0-t)=CmΔt3、热值:q=Q/m4、炉子和热机的效率:η=Q有效利用/Q燃料5、热平衡方程:Q放=Q吸6、热力学温度:T=t+273K7.燃料燃烧放热公式Q吸=mq 或Q吸=Vq(适用于天然气等)电学部分1、电流强度:I=Q电量/t2、电阻:R=ρL/S3、欧姆定律:I=U/R4、焦耳定律:(1)、Q=I2Rt普适公式)(2)、Q=UIt=Pt=UQ电量=U2t/R (纯电阻公式)5、串联电路:(1)、I=I1=I2(2)、U=U1+U2(3)、R=R1+R2 (1)、W=UIt=Pt=UQ (普适公式) (2)、W=I2Rt=U2t/R (纯电阻公式)(4)、U1/U2=R1/R2 (分压公式)(5)、P1/P2=R1/R26、并联电路:(1)、I=I1+I2(2)、U=U1=U2(3)、1/R=1/R1+1/R2 [ R=R1R2/(R1+R2)] (4)、I1/I2=R2/R1(分流公式)(5)、P1/P2=R2/R17、定值电阻:(1)、I1/I2=U1/U2(2)、P1/P2=I12/I22(3)、P1/P2=U12/U228、电功:(1)、W=UIt=Pt=UQ (普适公式)(2)、W=I2Rt=U2t/R (纯电阻公式)9、电功率:(1)、P=W/t=UI (普适公式)(2)、P=I2R=U2/R (纯电阻公式)常用物理量1、光速:C=3×108m/s (真空中)2、声速:V=340m/s (15℃)3、人耳区分回声:≥0.1s4、重力加速度:g=9.8N/kg≈10N/kg5、标准大气压值:760毫米水银柱高=1.01×105Pa6、水的密度:ρ=1.0×103kg/m37、水的凝固点:0℃8、水的沸点:100℃9、水的比热容:C=4.2×103J/(kg•℃)10、元电荷:e=1.6×10-19C11、一节干电池电压:1.5V12、一节铅蓄电池电压:2V13、对于人体的安全电压:≤36V(不高于36V)14、动力电路的电压:380V15、家庭电路电压:220V16、单位换算:(1)、1m/s=3.6km/h (2)、1g/cm3 =103kg/m3 (3)、1kw•h=3.6×106J。
长度的基本单位是米,用符号:m表示, 长度的单位还有千米km、分米dm、厘米cm、毫米mm、微米μm,纳米nm,它们与米之间的换算关系是:1km=1000m=103m;1dm==10-1m1cm==10-2m;1mm==10-3m1m=106μm;1μm=10-6m;1m=109nm;1nm=10-9m;速度指在单位时间内通过的路程;公式:v=s/t速度的单位是:m/s;km/h;1m/s=h声速:在空气中传播速度是:340m/s;利用回声可测距离:S=1/2vt质量国际单位是:千克kg;其他单位有:吨t,克g,毫克mg,1t=103kg=106g=109mg密度:某种物质单位体积的质量叫做这种物质的密度;用ρ表示密度,m表示质量,V表示体积,质量m的单位是:kg;体积V的单位是m3,密度单位是kg/m3,还有:g/cm3,1g/cm3=1000kg/m3;水的密度ρ=×103kg/m3用天平测出质量m和用量筒测出体积V就可根据公式:ρ=m/v求出物质密度;求质量:m=ρV; 求体积: v=m/ρ力的单位是:牛顿简称:牛,符合是N; 重力的计算公式:G=mg,公式中g是重力与质量的比值:g= N/kg,在粗略计算时也可取g=10 N/kg压强:物体单位面积上受到的压力叫压强;压强公式:P=F/S ,式中压力F单位是:N;受力面积S单位是:m2压强的单位是:帕斯卡,简称:帕,1帕=1N/m2液体压强计算公式:p=ρgh,ρ是液体密度,单位是kg/m3;g=kg;h是深度,指液体自由液面到液体内部某点的竖直距离,单位是m;阿基米德原理:浸入液体里的物体受到向上的浮力,浮力大小等于它排开的液体受到的重力;浸没在气体里的物体受到的浮力大小等于它排开气体受到的重力阿基米德原理公式:F浮=G排浮力的计算公式F浮=ρ液gv排, 其中ρ液的单位是kg/m3,g=kg,v排的单位是m3计算浮力方法有1称量法:F浮= G — F ,G是物体受到重力,F 是物体浸入液体中弹簧秤的读数2压力差法:F浮=F向上—F向下3阿基米德原理:F浮=G排=ρ液gv排4平衡法:F浮=G物适合漂浮、悬浮功的计算:功W等于力F跟物体在力的方向上移动的距离s的乘积;功=力×距离功的公式:W=Fs;单位:W→焦;F→牛顿;s→米;1焦=1牛米.功的原理:使用机械时,人们所做的功,都等于不用机械而直接用手所做的功,也就是说使用任何机械都不省功;斜面:FL=Gh 斜面长是斜面高的几倍,推力就是物重的几分之一;螺丝、盘山公路也是斜面机械效率:有用功跟总功的比值叫机械效率;计算公式:η=W有/W总功率P:单位时间t里完成的功W,叫功率;计算公式:P=W/t;单位:P→瓦特;W→焦;t→秒;1瓦=1焦/秒;1千瓦=1000瓦杠杆平衡的条件:动力×动力臂=阻力×阻力臂.或写作:F1L1=F2L2动滑轮特点:省一半力,但不能改变动力方向,要费距离.在不考虑动滑轮重和摩擦的情况下F=G/2实质是动力臂为阻力臂二倍的杠杆滑轮组:使用滑轮组时,滑轮组用几段绳子吊着物体,提起物体所用的力就是物重的几分之一;在不考虑动滑轮重和摩擦的情况下F=G/n;特点是省力,但费距离;如剪铁剪刀,铡刀,起子比热c :单位质量的某种物质温度升高或降低1℃,吸收或放出的热量叫做这种物质的比热;公式:c=Q/m △t 比热的单位是:J/kg℃,读作:焦耳每千克摄氏度;水的比热是:C=×103J/kg℃,它表示的物理意义是:每千克的水当温度升高或降低1℃时,吸收或放出的热量是×103J;热量的计算:①Q吸=cmt-t0=cm△t升Q吸是吸收热量,单位是焦耳;c 是物体比热,单位是:J/kg℃;m 是质量;t0是初始温度;t 是后来的温度②Q放=cmt0-t=cm△t降可以概括为:Q=cm△t热值q :1千克某种燃料完全燃烧放出的热量,叫热值;单位是:J/kg;固体或者液体燃料燃烧放出热量计算:Q放=qm;Q放是热量,单位是:J;q是热值,单位是:J/kg;m 是质量,单位是:kg;气体燃料燃烧放出热量计算:Q放=qv;Q放是热量,单位是:J;q是热值,单位是:J/m3;v是体积,单位是:m3电流I的单位是:国际单位是:安培A;常用单位是:毫安mA、微安μA;1A=103mA=106μA;串联电路电流特点:串联电路电流处处相等I=I1=I2=I3=……I n并联电路电流特点:并联电路干路电流等于各支路电流之和I=I1+I2+I3……I n电压U的单位是:国际单位是:伏特V;常用单位是:千伏KV、毫伏mV、微伏µV;1KV=103V=106mV=109μV;要熟记的电压值:①1节干电池的电压;②1节铅蓄电池电压是2V;③家庭照明电压为220V;④对人体安全的电压是:不高于36V;⑤工业电压380V;串联电路电压规律:串联电路总电压等于各个用电器电压之和U=U1+U2+U3+……U n并联电路电压规律:并联电路总电压等于各支路电压U=U1=U2=U3=……U n电阻R的单位:国际单位:欧姆Ω;常用的单位有:兆欧MΩ、千欧KΩ;1MΩ=103KΩ;1KΩ=103Ω;欧姆定律:导体中的电流,与导体两端的电压成正比,与导体的电阻成反比; 公式:I=U/R式中单位:I→安A;U→伏V;R→欧Ω;1A=1V/1Ω;欧姆定律的应用:①同一个电阻,阻值不变,与电流和电压无关, 但加在这个电阻两端的电压增大时,通过的电流也增大;R=U/I②当电压不变时,电阻越大,则通过的电流就越小;I=U/R③当电流一定时,电阻越大,则电阻两端的电压就越大;U=IR电阻的串联有以下几个特点:指R1,R2串联①电流:I=I1=I2串联电路中各处的电流相等②电压:U=U1+U2总电压等于各处电压之和③电阻:R=R1+R2总电阻等于各电阻之和如果n个阻值相同的电阻串联,则有R总=nR④分压作用U1:U2=R1:R2⑤比例关系:电流:I1∶I2=1∶16.电阻的并联有以下几个特点:指R1,R2并联①电流:I=I1+I2干路电流等于各支路电流之和②电压:U=U1=U2干路电压等于各支路电压③电阻:总电阻的倒数等于各并联电阻的倒数和如果n个阻值相同的电阻并联,则有1/R总=1/R1+1/R2④分流作用:I1:I2=1/R1:1/R2⑤比例关系:电压:U1∶U2=1∶1电功的单位:国际单位:焦耳;常用单位有:度千瓦时,1度=1千瓦时=×106焦耳;电功计算公式:W=UIt式中单位W→焦J;U→伏V;I→安A;t→秒计算电功还可用以下公式:W=I2Rt ;W=Pt;W=U是电量电功率P:电流在单位时间内做的功;单位有:瓦特国际;常用单位有:千瓦kW,毫瓦mW计算电功率公式:P=W/t=UI式中单位P→瓦w;W→焦;t→秒;U→伏V;I→安A利用P=W/t计算时单位要统一,①如果W用焦、t用秒,则P的单位是瓦;②如果W用千瓦时、t用小时,则P的单位是千瓦;计算电功率还可用右公式:P=I2R和P=U2/R焦耳定律:电流通过导体产生的热量,与电流的平方成正比,与导体的电阻成正比,与通电时间成正比;焦耳定律公式:Q=I2Rt ,式中单位Q→焦;I→安A;R→欧Ω;t→秒;当电流通过导体做的功电功全部用来产生热量电热,则有W=Q,可用电功公式来计算Q转换的能量能量转换装置的效率= ——————————×100%输入的总能量.。
初中物理公式主要集中在“力学”、“热学”、“电学”这三部分内容中,相关的计算也属于比较简单的数学运算,特别需要注意的是在运算过程中一定要注意单位。
今天为大家准备了初中常考的基础物理公式,希望对大家有所帮助。
一、力学部分1、速度公式速度:V=s/t路程:S=vt时间:t=s/v火车过桥(洞)时通过的路程s=L桥+L车声音在空气中的传播速度为340m/s光在空气中的传播速度为3×108m/s2、密度公式(ρ水=1.0×103 kg/m3)密度:ρ=m/v质量:M=ρv体积:V=m/ρ冰与水之间状态发生变化时m水=m冰ρ水>ρ冰 v水<v冰同一个容器装满不同的液体时,不同液体的体积相等,密度大的质量大空心球空心部分体积V空=V总-V实3、重力公式G=mg (通常g取10N/kg,题目未交待时g取9.8N/kg)同一物体 G月=1/6G地m月=m地4、杠杆平衡条件公式F1l1=F2l2F1 /F2=l2/l15、动滑轮公式不计绳重和摩擦时F=1/2(G动+G物)s=2h6、滑轮组公式不计绳重和摩擦时F=1/n(G动+G物)s=nh7、压强公式(普适)P=F/S固体平放时F=G=mgS的国际主单位是m2 1m2=102dm2=104cm2=106mm28、液体压强公式P=ρgh液体压力公式F=PS=ρghS规则物体(正方体、长方体、圆柱体)公式通用9、浮力公式(1)F浮=F’-F (压力差法)(2)F浮=G-F (视重法)(3)F浮=G (漂浮、悬浮法)(4)阿基米德原理:F浮=G排=ρ液gV排(排水法)10、功的公式W=FS把物体举高时W=GhW=Pt11、功率公式P=W/tP=W/t=Fs/t=Fv(v=P/F)12、有用功公式举高W有=Gh水平W有=FsW有=W总-W额13、总功公式W总=FS (S=nh)W总=W有/ηW总= W有+W额W总=P总t14、机械效率公式η=W有/W总η=P有/ P总(在滑轮组中η=G/Fn)(1)η=G/ nF(竖直方向)(2)η=G/(G+G动) (竖直方向不计摩擦)(3)η=f / nF (水平方向)15、热学公式C水=4.2×103J/(Kg·℃)(1)吸热:Q吸=Cm(t-t0)=CmΔt(2)放热:Q放=Cm(t0-t)=CmΔt(3)热值:q=Q/m(4)炉子和热机的效率:η=Q有效利用/Q燃料(5)热平衡方程:Q放=Q吸(6)热力学温度:T=t+273K(7)燃料燃烧放热公式Q吸=mq或Q吸=Vq(适用于天然气等)二、电学部分1、电流强度:I=Q电量/t2、电阻:R=ρL/S3、欧姆定律:I=U/R4、焦耳定律:(1)Q=I2Rt普适公式)(2)Q=UIt=Pt=UQ电量=U2t/R (纯电阻公式) 5、串联电路:(1)I=I1=I2(2)U=U1+U2(3)R=R1+R2(4)W=UIt=Pt=UQ (普适公式)(5)W=I2Rt=U2t/R (纯电阻公式)(6)U1/U2=R1/R2 (分压公式)(7)P1/P2=R1/R26.并联电路:(1)I=I1+I2(2)U=U1=U2(3)1/R=1/R1+1/R2 [ R=R1R2/(R1+R2)](4)I1/I2=R2/R1(分流公式)(5)P1/P2=R2/R17.定值电阻:(1)I1/I2=U1/U2(2)P1/P2=I12/I22(3)P1/P2=U12/U228.电功:(1)W=UIt=Pt=UQ (普适公式)(2)W=I2Rt=U2t/R (纯电阻公式)9.电功率:(1)P=W/t=UI (普适公式)(2)P=I2R=U2/R (纯电阻公式)三、常用物理量1光速:C=3×108m/s (真空中)2.声速:V=340m/s (15℃)3.人耳区分回声:≥0.1s4.重力加速度:g=9.8N/kg≈10N/kg5.标准大气压值:760毫米水银柱高=1.01×105Pa6.水的密度:ρ=1.0×103kg/m37.水的凝固点:0℃8.水的沸点:100℃9.水的比热容:C=4.2×103J/(kg•℃)10.元电荷:e=1.6×10-19C11.一节干电池电压:1.5V12.一节铅蓄电池电压:2V13.对于人体的安全电压:≤36V(不高于36V)14.动力电路的电压:380V15.家庭电路电压:220V16.单位换算:(1)1m/s=3.6km/h(2)1g/cm3 =103kg/m3(3)1kw•h=3.6×106J河南天星教育是一家致力于教育图书出版及提供教育信息服务的文化教育机构,1998年成立至今始终在“为优质教育资源的普及不懈努力”。
初中物理所有公式初中物理是物理学教育的初始阶段,是学生掌握物理基础知识的关键时期。
在这一阶段,学生需要掌握大量的物理公式及其应用。
以下是根据初中物理教材整理的所有公式,供大家参考。
一、速度与加速度1、速度公式:v = s / t (其中v表示速度,s表示距离,t表示时间)这个公式用于计算物体在一定时间内运动的距离。
2、加速度公式:a = (v - v0) / t (其中a表示加速度,v表示最终速度,v0表示初始速度,t表示时间)这个公式用于计算物体在相等时间内速度的变化量。
二、力与质量1、牛顿第一定律:一个物体在没有外力作用的情况下,将保持静止或匀速直线运动。
2、牛顿第二定律:f = ma (其中f表示力,m表示质量,a表示加速度)这个公式用于计算物体在受到一定力作用时产生的加速度。
3、重力公式:f = mg (其中f表示重力,m表示质量,g表示重力加速度)这个公式用于计算物体重力的大小。
三、能量与功率1、动能公式:e = 1/2mv^2 (其中e表示动能,m表示质量,v表示速度)这个公式用于计算物体由于运动而具有的能量。
2、势能公式:e = mgh (其中e表示势能,m表示质量,g表示重力加速度,h表示高度)这个公式用于计算物体由于位置而具有的能量。
3、功率公式:p = fv (其中p表示功率,f表示力,v表示速度)这个公式用于计算物体在受力作用下以一定速度运动时所需的功率。
四、电学1、欧姆定律:i = u / r (其中i表示电流,u表示电压,r表示电阻)这个公式用于计算电路中的电流或电压与电阻之间的关系。
2、功率公式:p = i^2 * r (其中p表示功率,i表示电流,r表示电阻)这个公式用于计算电路中的功率损耗。
以上是初中物理中涉及到的所有公式。
这些公式不仅是物理学的基础知识,也是解决实际问题的重要工具。
通过掌握这些公式,我们可以更好地理解自然现象,为将来的物理学习打下坚实的基础。
大学物理所有公式大学物理是一门涉及物理学各个领域的综合性学科,包括力学、热学、电学、光学、原子物理等多个领域。
这是整理出来的初中物理公式大全,包括初中物理力学公式、热学公式、电学公式以及一些常用的物理量:一、速度公式L桥+L车火车过桥(洞)时通过的路程s=声音在空气中的传播速度为340m/s,×108m/s 。
光在空气中的传播速度为3二、密度公式1.0×103 kg/ m3)(ρ水=m冰,ρ水>ρ冰,V水<V冰冰与水之间状态发生变化时m水=同一个容器装满不同的液体时,不同液体的体积相等,密度大的质量大V总-V实空心球空心部分体积V空=三、重力公式G=mg (通常g取10N/kg,题目未交待时g取9.8N/kg)同一物体G月=1/6G地,m月=m地四、杠杆平衡条件公式F1l1=F2l2F1 /F2=l2/l1五、动滑轮公式不计绳重和摩擦时F=1/2(G动+G物)s =2h六、滑轮组公式不计绳重和摩擦时F=1/n(G动+G物)s =nh七、压强公式(普适)P=F/S固体平放时F=G=mgS的国际主单位是m21m2=102dm2=106mm2八、液体压强公式P=ρgh=PS=ρghS液体压力公式F规则物体(正方体、长方体、圆柱体)公式通用九、浮力公式F’-F (压力差法)(1)F浮=G-F (视重法)(2)F浮=G (漂浮、悬浮法)(3)F浮=G排=ρ液gV排(排水法)(4)阿基米德原理:F浮=十、功的公式W=FS=GhW=Pt把物体举高时W十一、功率公式P=W/tP=W/t=Fs/t=Fv(v=P/F)十二、有用功公式=Gh水平,W有=Fs举高W有W有=W总-W额十三、总功公式W总=FS(S=nh),W总=W有/ηW总=W有+W额,W总=P总t十四、机械效率公式η=W有/W总η=P有/ P总G/Fn)(在滑轮组中η=G/ nF(竖直方向)(1)η=G/(G+G动) (竖直方向不计摩擦)(2)η=f / nF (水平方向)(3)η=热学部分十五、热学公式C水=4.2×103J/(Kg·℃)=Cm(t-t0)=CmΔt1.吸热:Q吸=Cm(t0-t)=CmΔt2.放热:Q放=Q/m3.热值:qQ有效利用/Q燃料4.炉子和热机的效率:η==Q吸5.热平衡方程:Q放=t+273K6.热力学温度:T=mq或Q吸=Vq(适用于天然气等) 7.燃料燃烧放热公式Q吸电学部分=Q电量/t1.电流强度:IρL/S2.电阻:R==U/R3.欧姆定律:I4.焦耳定律:=I2Rt普适公式)(1)Q=UIt=Pt=UQ电量=U2t/R (纯电(2)Q阻公式)5.串联电路:=I1=I2(1)I=U1+U2(2)U=R1+R2(3)R=UIt=Pt=UQ (普适公式)(4)W=I2Rt=U2t/R (纯电阻公式)(5)W/U2=R1/R2 (分压公式)(6)U1/P2=R1/R2(7)P16.并联电路:=I1+I2(1)I=U1=U2(2)U=1/R1+1/R2[ R=R1R2/(R1+(3)1/RR2)]/I2=R2/R1(分流公式)(4)I1/P2=R2/R1(5)P17.定值电阻:/I2=U1/U2(1)I1/P2=I12/I22(2)P1/P2=U12/U22(3)P18.电功:=UIt=Pt=UQ (普适公式)(1)W=I2Rt=U2t/R (纯电阻公式)(2)W9.电功率:=W/t=UI (普适公式)(1)P=I 2R=U2/R (纯电阻公式)(2)P常用物理量C=3×108m/s (真空中) 1.光速:=340m/s (15℃)2.声速:V0.1s3.人耳区分回声:≥=9.8N/kg≈10N/kg4.重力加速度:g毫米水银柱高=1.01×5.标准大气压值:760105Pa1.0×103kg/m36.水的密度:ρ=℃7.水的凝固点:0℃8.水的沸点:100=4.2×103J/(kg·℃)9.水的比热容:C=1.6×10-19C10.元电荷:e11.一节干电池电压:1.5V12.一节铅蓄电池电压:2V36V(不高于36V)13.对于人体的安全电压:≤14.动力电路的电压:380V15.家庭电路电压:220V16.单位换算:=3.6km/h (1)1m/s3=103kg/m3(2)1g/cm·h=3.6×106J (3)1kw。
初中物理所有公式物理学是一门描述物质运动和相互作用的学科,涉及多个领域,如力学、光学、电磁学、热学等。
以下是初中物理常见的公式:1.力学- 动能公式:E = 0.5mv²- 动量公式:p = mv-动量定理:FΔt=Δp- 牛顿第一定律:F = ma- 牛顿第二定律:F = ma-牛顿第三定律:F₁₂=-F₂₁2.热学- 热量公式:Q = mcΔT-热传导公式:P=kAΔT/Δx3.光学-光速公式:v=fλ-光程差公式:ΔL=nλ/2-焦距公式:1/f=1/d₁+1/d₂4.霍姆定律-电流公式:I=Q/t-电阻公式:R=V/I-电阻定律:V=IR5.频率-频率公式:f=1/T-圆周频率公式:ω=2πf6.波速-波速公式:v=λf7.光的折射- 斯涅尔定律:n₁sinθ₁ = n₂sinθ₂- 折射角公式:n₁sinθ₁ = n₂sinθ₂8.加速度-加速度公式:a=(v-u)/t9.电势差- 电势能公式:Ep = mgh-电势差公式:V=W/q10.牛顿万有引力定律-引力公式:F=G*m₁m₂/r²11.速度-速度公式:v=(s-u)/t12.高度- 高度公式:h = vt - 0.5gt²13.电功率-电功率公式:P=IV14.电能-电能公式:E=Pt15.机械功- 机械功公式:W = Fs*cosθ16.密度-密度公式:ρ=m/V17.声速-声速公式:v=fλ18.电容-电容公式:C=Q/V。
初中物理所有公式全集团企业公司编码:(LL3698-KKI1269-TM2483-LUI12689-ITT289-物理公式1、速度:V=S/t2、重力:G=mg3、密度:ρ=m/V4、压强:p=F/S5、液体压强:p=ρgh6、浮力:(1)、F浮=F’-F(压力差)(2)、F浮=G-F(视重力)(3)、F浮=G(漂浮、悬浮)(4)、阿基米德原理:F浮=G排=ρ液gV排7、杠杆平衡条件:F1L1=F2L28、理想斜面:F/G=h/L9、理想滑轮:F=G/n10、实际滑轮:F=(G+G动)/n(竖直方向)11、功:W=FS=Gh(把物体举高)12、功率:P=W/t=FV13、功的原理:W手=W机14、实际机械:W总=W有+W额外15、机械效率:η=W有/W总16、滑轮组效率:(1)、η=G/nF(竖直方向)(2)、η=G/(G+G动)(竖直方向不计摩擦) (3)、η=f/nF(水平方向)【热学部分】1、吸热:Q吸=Cm(t-t0)=CmΔt2、放热:Q放=Cm(t0-t)=CmΔt3、热值:q=Q/m4、炉子和热机的效率:η=Q有效利用/Q燃料5、热平衡方程:Q放=Q吸6、热力学温度:T=t+273K【电学部分】1、电流强度:I=Q电量/t2、电阻:R=ρL/S3、欧姆定律:I=U/R4、焦耳定律:(1)、Q=I2Rt普适公式)(2)、Q=UIt=Pt=UQ电量=U2t/R(纯电阻公式) 5、串联电路:(1)、I=I1=I2(2)、U=U1+U2(3)、R=R1+R2(4)、U1/U2=R1/R2(分压公式)(5)、P1/P2=R1/R26、并联电路:(1)、I=I1+I2(2)、U=U1=U2(3)、1/R=1/R1+1/R2[R=R1R2/(R1+R2)] (4)、I1/I2=R2/R1(分流公式)(5)、P1/P2=R2/R17定值电阻:这个不好?误人子弟?果断删了8电功:(1)、W=UIt=Pt=UQ(普适公式)(2)、W=I2Rt=U2t/R(纯电阻公式)9电功率:(1)、P=W/t=UI(普适公式)(2)、P=I2R=U2/R(纯电阻公式)【常用物理量】1、光速:C=3×108m/s(真空中)2、声速:V=340m/s(15℃)3、人耳区分回声:≥0.1s4、重力加速度:g=9.8N/kg≈10N/kg5、标准大气压值:760毫米水银柱高=1.01×105Pa6、水的密度:ρ=1.0×103kg/m37、水的凝固点:0℃8、水的沸点:100℃9、水的比热容:C=4.2×103J/(kg?℃)10、元电荷:这个没学过?果断删了11、一节干电池电压:1.5V12、一节铅蓄电池电压:2V13、对于人体的安全电压:≤36V(不高于36V)14、动力电路的电压:380V15、家庭电路电压:220V16、单位换算:(1)、1m/s=3.6km/h。
初中物理公式大全【力学部分】1、速度:V=S/t ;2、重力:G=mg ;3、密度:ρ=m/V4、压强:p=F/S F=G(物体对水平面对压力) F=PS适用于固、液、气p = F / S=G/S=mg/S P=F/S适用于固、液、气p =ρg h适用于柱状体(圆柱体、正方体、长方体)对水平面的压强先比较压力,后比较压强。
5、液体压强:F=PS 通常求法F=G 求液体对柱状容器底的压力p =ρg h可直接计算液体压强P=F/S 求液体对柱状容器底的压强液体一般先比较压强,后比较压力柱状体、大口容器、小口容器内液体对底部的压力(图)大气压力F=PS1标准大气压= 76 cmHg柱= 1.01×105 Pa = 10.3 m水柱6、浮力:(1)、F浮=G-F (称重法)(2)、阿基米德原理:F浮=G排=ρ液gV排(3)、F浮=G (漂浮、悬浮)(4)、受力分析法物体浮沉条件(前提:物体浸没在液体中且只受浮力和重力):①F浮>G(ρ液>ρ物)上浮至漂浮②F浮=G(ρ液=ρ物)悬浮③F浮<G(ρ液<ρ物)下沉7、1、杠杆平衡条件:F1 L1=F2 L22、定滑轮的公式F=G(不计绳和轮间摩擦)F >G(计绳和轮间摩擦)S=h(S表示绳自由端移动距离,h表示物体上升高度。
)动滑轮公式F=G物/2(不计动滑轮的重和摩擦)F=(G物+G动)/2(不计摩擦和绳重)S=2h VF=2v物G物:物体的重力G动:动滑轮的重力滑轮组的公式(竖直放置)F=G/n( 不计动滑轮的重和摩擦)F=(G物+G轮)/ n (不计摩擦)S=nh. 水平放置的滑轮组F= f/ n (不计摩擦)s= n s’(s’表示物体水平方向上移动的距离)VF=nv物(VF表示拉力F的速度,V物表示重物的速度)(此公式对于动滑轮,竖直,水平滑轮组都适用。
)3、功W = F S = P t = Gh (把物体举高)1J = 1N•m = 1W•s4、功率P = W / t = Fv F1KW = 103 W,1MW = 103KW5、有用功W有用= G h(竖直提升)= F S(水平移动)= W总– W额=ηW总额外功W额= W总– W有= G动h(忽略轮轴间摩擦)= f L(斜面)总功W总= W有用+ W额= F S = W有用/ η6、机械效率:η=W有/W总×100%滑轮组效率:(1)、η=G/ nF×100% (竖直方向)(2)、η=G/(G+G动)×100% (竖直方向不计摩擦) (3)、η=f / nF ×100% (水平方向)滑轮组 F = G / n(不计摩擦,动滑轮的重)F =(G动+ G物)/ n(不计摩擦)S F = n S物理想滑轮组忽略轮轴间的摩擦7、机械效率的五种类型的计算1、杠杆W有用= GhW总=FSη= Gh/FS ×100%2、定滑轮竖直的W有用= GhW总=FSη=Gh/FS ×100%水平的W有用= fs’W总=FSη=f/F×100%3、动滑轮竖直的W有用= GhW额外= G动h(不计摩擦)W总= FSη=G/2F×100%水平的W有用= fs’W总= FSη=f/2F×100%4、滑轮组水平的W有用=fs物W总=Fs绳η=f/nF×100%5、斜面W有用= GhW额外=fsW总=FSη= Gh/FS ×100%8、两种计算题型:物重增加了【热学部分】1、热传递过程中吸收或放出的热量计算公式Q吸=cm(t-t0)Q放=cm(t0-t)2、燃料燃烧放热计算公式Q=qm Q=qV3、炉子和热机的效率:有效利用的热量与完全燃烧时放出的热量的比值.η=Q有效利用/Q燃料η=Q水吸/mq×100%= Q水吸/vq×100%【电学部分】1、欧姆定律I=U/RU=IRR=U/I2、特点或原理串联电路并联电路电流:I I = I 1= I 2I = I 1+ I 2电压:U U = U 1+ U 2 U = U 1= U 2电阻:R R = R 1+ R 2电压、电流U1/U2=R1/R2I1/I2=R2/R1分配规律电功:W W = W 1+ W 2 W = W 1+ W 2电功率:P P = P 1+ P 2P = P 1+ P 2电热:Q热Q热= Q热1+ Q热2 Q热= Q热1+ Q热23、1kwh=3.6×106J4、电功的计算公式①由电能表求消耗的电能n/N×1kwh或n/N×3.6×106J②w=pt(适用于任何电路)③W=UIt(适用任何用电器或电路)④W=U2/Rt (适用纯电阻用电器或电路,在并联电路中常用)⑤w=I2Rt (适用纯电阻用电器或电路,在串联电路中常用)⑥W总=W1+W2+W3+。
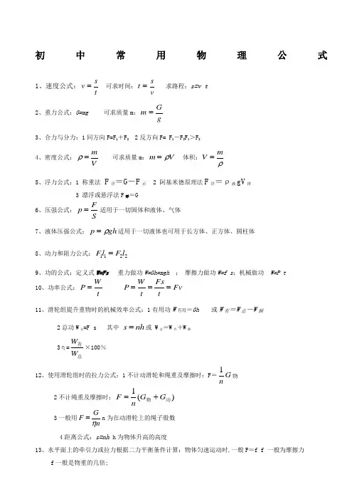
初中常用物理公式
1、速度公式:t s v = 可求时间:v
s t = 求路程:s=v t 2、重力公式:G=mg 可求质量m :g G m =
3、合力与分力:(1)同方向F=F1+F2 (2)反方向F= F1-F2(F1>F2)
4、密度公式:V m =ρ 可求质量m :V m ρ= 体积:ρm V =
5、浮力公式:(1) 称重法 F 浮=G -F 示 (2) 阿基米德原理法F 浮=ρ液gV 排
(3) 漂浮或悬浮法F 浮=G
6、压强公式:S
F p =(适用于一切固体和液体、气体) 7、液体压强公式:gh p ρ=适用于一切液体(也可用于长方体、正方体、圆柱体)
8、动力和阻力公式:2211l F l F =
9、功的公式:定义式W=Fs 重力做功W=Gh=mgh ; 摩擦力做功W=f s ;机械做功 W=P t
10、功率公式:t W P = Fv t Fs t W P ===
11、滑轮组提升重物时的机械效率公式:(1)有用功W 有用=Gh 或W 有=W 总-W 额
(2)总功W 总=F s ( 其中 nh s =)或 W 总=W 有+W 额
(3)η=总有
W W ×100%
12、使用滑轮组时的拉力公式:(1)不计动滑轮和绳重及摩擦时:F =
G n 1物 (2)不计绳重及摩擦时:)(1动物G G n F +=
(3)一般用n
G F η=(n 为在动滑轮上的绳子股数) (4)距离公式:s=nh (h 为物体升高的高度)
13、水平面上的牵引力或拉力(根据二力平衡条件计算):物体匀速运动时,一般F =f (f 一般为摩擦力)
f 一般是物重的几倍。
14、热量公式:Q 吸=cm △t =cm(t2-t1) ; Q 放=cm △t =cm(t1-t2)
15、热值公式 :Q =qm (q 为J/kg m 用kg )
Q =qV (q 为J/ m3 V 用m3)
不计热量的损失时: Q 吸=Q
16、电流公式:串联:I =I1=I2 并联:I =I1+I2
17、欧姆定律:R U I =
; 可以求电压U :U=IR ; 求电阻R :I U R =(伏安法测电阻的原理)
18、电功公式:(1)W=UIt ; 可以求电压U :It W U = ; 可以求电流:Ut
W I = (2)W =Pt (如果w 以kw·h 为单位,用它最简单)
19、电功率公式:(1) R U R I UI P 2
2
===(既可用于求额定功率,也可用于求实际功率,还可用于求总功率,换成相应的下标即可); 变形后可以求电压:I
P U = ; 求电流:U
P I = (2) P =t
W (定义式) 20、求电阻的公式 :(1) I U R =(伏安法测电阻的原理) (2)实
实额额P U P U R 22== (3)串联:R =R1+R2 则R1=R -R2 ; R2=R -R1
(4)并联:21111R R R +=
21、电磁波公式:λν=c
22、串联电路的三个关系: I=I1=I2 U =U1+U2 R =R1+R2
23、并联电路的三个关系: I=I1+I2 U1=U2
2
1111R R R +=。