研究生应用数理统计基础庄楚强,何春雄编制 课后答案
- 格式:doc
- 大小:881.50 KB
- 文档页数:16
应用数理统计基础(庄楚强)考试共8道题1、样本的数据期望与方差2、2χ分布的概念与性质3、一连续型函数(只有一个未知参数)的无偏估计4、一正态分布的置性区间5、两个未知参数函数的矩估计6、①求一离散型的总体似然估计②求未知参数的信息量③求得的似然估计是否是最小方差估计7、正态分布的假设检验8、一离散型总体的假设检验第二章、数理统计的基本概念与抽样分布第一节、数理统计的几个基本概念重点:统计量,书中例题2、习题第四题第三节、常用统计分布重点:常用统计分布(2χ、t、F)的定义及性质第四节、抽样分布重点:定理1及推论、定理4及推论本章习题4、5、7、9、13、19、20第三章、参数估计掌握:矩估计、极大似然估计、区间估计本章习题1、2、3、4、10、11、15、16、18、27、29第四、章假设检验重点:第二节、一个正态总体均值与方差的检验第三节、两个正态总体均值与方差的检验第四节、非正态总体均值的假设检验书上的例题、习题37、38、39、40第一章概率论复习与补充1、概率2、期望数据期望的性质性质1:常量的期望就是这个常量本身, 即E(c)=c.推论:E(Eξ)= Eξ性质2:随机变量ξ与常量 c 之和的数学期望等于ξ的期望与这个常量 c 的和E(ξ+c)=Eξ+c性质3:E(cξ) = cE ξ性质4:随机变量的线性函数的数学期望等于这个随机变量期望的同一线性函数E(k ξ+c)=k E ξ+c3、方差方差的性质性质1:常量的方差等于零.即:设c为常数,则Dc = 0性质2:随机变量与常量之和的方差就等于随机变量的方差本身即:D(X+c)=DX性质3:常量与随机变量乘积的方差,等于常量的平方与随机变量方差的乘积。
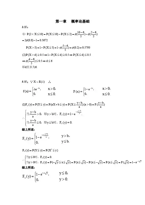
即:D(cX )=c2DX性质4:设k ,b为常数,则:D(kX +b)=k2DX性质5:两个独立随机变量和(差)的方差,等于这两个随机变量方差的和。
即:D(X Y ) = DX +DY第二章数理统计的基本概念与抽样分布1、统计量(第一题样本数据期望与方差)预测类似题目可能会有二项分布B(n,p)、0—1分布B(1,p)、均匀分布R[a,b]、指数分布E(λ)、正态分布N(μ,σ2)。
研究生 习题2:2-7. 设 )1,0(~N ξ,),,,,,(654321ξξξξξξ为其一样本,而26542321)()(ξξξξξξη+++++=, 试求常数c ,使得随机变量ηc 服从2χ分布。
2-7解:设3211ξξξη++=,所以 )3,0(~1N η 6542ξξξη++=,所以 )3,0(~2N η所以)1,0(~31N η ,)1,0(~32N η)2(~)(3133222212221χηηηη+=⎪⎭⎫ ⎝⎛+⎪⎭⎫ ⎝⎛ 由于 2221ηηη+= 因此 当 31=c 时,)2(~2χηc 。
2-8. 设 ),,,(1021ξξξΛ为)3.0,0(2N 的一个样本,求 ⎭⎬⎫⎩⎨⎧>∑=101244.1i i P ξ 。
(参考数据:)2-8解:因为 )3.0,0(~),,,(21021N ξξξξΛ=, 所以)1,0(~3.0N ξ,即有)10(~3.021012χξ∑=⎪⎭⎫⎝⎛i i所以 ⎭⎬⎫⎩⎨⎧>∑=101244.1i i P ξ⎭⎬⎫⎩⎨⎧>=∑=1012223.044.13.0i i P ξ⎭⎬⎫⎩⎨⎧>=∑=10122163.0i i P ξ ⎭⎬⎫⎩⎨⎧≤-=∑=10122163.01i i P ξ1.09.01=-=2-14. 设总体)4,1(~N ξ,求{}20≤≤ξP 与{}20≤≤ξP ,其中ξ是样本容量为16的样本均值。
(参考数据:)2-14解: {}20≤≤ξP )0()2(F F -=)210()212(-Φ--Φ=)21()21(-Φ-Φ= 1)21(2-Φ=3830.016915.02=-⋅=由于 )4,1(~N ξ , 所以 )1,0(~2111621N -=-ξξ{}20≤≤ξP ⎭⎬⎫⎩⎨⎧-≤-≤-=21122112110ξP ⎭⎬⎫⎩⎨⎧≤-≤-=22112ξP )2()2(-Φ-Φ=9545.019725.021)2(2=-⋅=-Φ= 2-17. 在总体)20,80(2N 中随机抽取一容量为100的样本,问样本平均值与总体均值的差的绝对值大于3的概率是多少?(参考数据:) 2-17解:因为 )20,80(~2N ξ, 所以)1,0(~2801002080N -=-ξξ所以 {}380>-ξP {}3801≤--=ξP ⎪⎭⎪⎬⎫⎪⎩⎪⎨⎧≤--=232801ξP ⎭⎬⎫⎩⎨⎧≤-≤--=23280231ξP )]5.1()5.1([1-Φ-Φ-= ]1)5.1(2[1-Φ-=1336.0)93319.01(2)5.1(22=-=Φ-=2-25. 设总体ξ的密度函数为⎩⎨⎧<<=其它102)(x x x p取出容量为4的样本),,,(4321ξξξξ,求:(1) 顺序统计量)3(ξ的密度函数)(3x p ;(2))3(ξ的分布函数)(3x F ;(3)⎭⎬⎫⎩⎨⎧>21)3(ξP 。
2214243.(1)[||]0.140(2)[||]0.144(,4),(,),(0,)[||]20.1800255(3){||0.1}2(10.9521.9615372tnE a D nnE aN a N a t a NnnE t t dtnP t Pnξξξξξξπ-+∞-==≤⇒=-≤=-==≤==≤=≤=Φ-≥=⇒≥⎰《应用数理统计》参考答案习题一0.51.(,0.5)(,){||0.1}0.9972.97442N a N anP a Pnξξξξ⇒-<=<==⇒=2242.(,4)(,)100||(1)(||)()0.90,0.330.20.2(2):P(||)N a N aa UP a U P Uaξξξξσξεε⇒--<=<==-≥≤挈比学夫不等式(5)(5)125515(3){15}1{15}1{15,15,,15}1215121[{}]221[1(1.5)]0.292P P P P ξξξξξξ>=-≤=-≤≤≤--=->=--Φ=1121212111()(1){}{,,,}{1,1,,1}()()(1)(1)k n n nn m nm n m n m ni i P k pq P M m P m m m P m m m pqpq q q ξξξξξξξ----======≤≤≤-≤-≤-≤-=-=---∑∑4.5. 6. 13.0)25(1}8.012138.012{}13{)54,12(~)1()4,12(~=Φ-=->-=>ξξξξP P N N (1)(1)1255511515(2){10}1{10}1{10,10,,10}1[{10}]1[1{10}]1210121[1{}]221[11(1)]0.579P P P P P P ξξξξξξξξ<=-≥=->>>=->=--≤--=--≤=--+Φ=6(1)0.001567.2800~(0.0015)(1){800}[{800}][0.0015]x E P P e dx e ξξξ∞-->=>==⎰6(6)30000.00156 4.56(2){3000}[{3000}][0.0015](1)x P P e dx e ξξ--<=<==-⎰1212(2){}{,,,}{1,1,,1}n n nn P K k P k k k P k k k ξξξξξξ==≥≥≥-≥+≥+≥+7.8.均值的和(差)等于和的均值,方差的和差都等于方差的和9.由中心极限定理:10.11.22222(1)(1)(1)()222~()()()[()](,)it itit n e n n e n e it i t t tn it it n n nn p t e t t ee n e e e N n λξλλξξλλλλλξλϕϕϕλξλ---+--∴=∴======∴12121233~(20,3),~(20,),~(20,)10151~(0,)2{||0.3}1220.67N N N N P P ξξξξξξξξξ-∴->=->=-Φ=2(),(),E a D ξξσ==121(0,1)(0,1)~(,)n n i i i ni i na a n N N N a n nξξσξσξ==--∴∴=∑∑∑22222222,(),()()(),(),(),(,)k k k k k k k k k k k k k kk k E a E a D E E a a a a E A a D A n a a A N a nξξξξξ===-=--∴==-∴22121212222(),()(),()0,()()()2,()()()2,i i E E a D D E D D D E E D ξξξξσξξξξξξσξξξξξξσ====∴-=-=+=∴-=-+-=13.14.15.16.2212221221,(),(),()()0,()()()(1),11[()](1)1niii ii i iniiniiE a E a D DnE D D DnDn D nDES n Dn nE ES Dn n nσξξξσξξξξξξξσξξξξξξξ=======∴-=-=+--===--==--∑∑∑222222222424222(1),11()(1)()2(1)21 ()2(1)() nsnns nE n Es On nns nD n Ds On n n χσσσσσσσ--=-⇒==+-=-⇒==+112323''' '2(121)(1)()()()()5231()(121)23023021AD E E E EA E E A AVar Aξξξξξξηξηηηηηξξξξξ⎛⎫⎪-+=-==⎪⎪⎝⎭=--=--⎛⎫⎛⎫⎪⎪==--=⎪⎪⎪⎪⎝⎭⎝⎭11223''''110(2)(,)111()()()()5231()(121)23023021BE E E EB E E B BVar Bξηηηξξξηηηηξξξξξ⎛⎫⎛⎫ ⎪===⎪ ⎪⎝⎭ ⎪⎝⎭∑=--=--⎛⎫⎛⎫⎪⎪==--=⎪⎪⎪⎪⎝⎭⎝⎭11222211()2822121(2)||2241128116xx xxe dx dxπ⎛⎫⎛⎫- ⎪⎪∞∞⎝⎭⎝⎭-∞-∞-=∑-⎛⎫⎛⎫∑==⎪ ⎪-⎝⎭⎝⎭⎰⎰17.18.21.22.()11223'122'111110(,),211151,1101221111111100130111100310110N A A AAA Aξηξηξηηθθ⎛⎫⎛⎫⎛⎫ ⎪⎪ ⎪ ⎪⎝⎭⎝⎭ ⎪⎝⎭∑⎛⎫⎛⎫⎛⎫⎪==⎪ ⎪⎪⎝⎭⎝⎭⎪⎝⎭⎛⎫⎛⎫⎛⎫⎛⎫⎪⎪∑=-=⎪ ⎪⎪⎪⎝⎭⎝⎭⎪⎪⎝⎭⎝⎭‘=,由引理1.2.3,则-的联合分布为--11223''12111111~(,),1011111432111111121301111210.2N A A AA Aξηξξηξηθρρρρρρρρρηη⎛⎫⎛⎫⎛⎫ ⎪⎪ ⎪ ⎪-⎝⎭⎝⎭ ⎪⎝⎭∴∑⎛⎫⎛⎫+--⎛⎫⎛⎫⎪⎪∑=-=⎪ ⎪⎪⎪---⎝⎭⎝⎭⎪⎪-⎝⎭⎝⎭∴--=⇒=-==A,--时与独立2''44''22'''''' 44224(0,)(,)()()2()()()()()cov(,)(,)()() ()()2()()()2()nN IE A B tr A tr B tr ABE A E B tr A tr BA B E A B E A E Btr A tr B tr AB tr A tr B tr AB ζσζζζζσσζζζζσσζζζζζζζζζζζζσσσσσ=+=∴=-=+-=()11112222121122,1,1,0822177,122477yay y Qyba babθθθθθθθ--⎛⎫⎛⎫--=⎪⎪-⎝⎭⎝⎭⇒===-=⎛⎫⎪⎛⎫⎛⎫∴=∑== ⎪⎪ ⎪⎪⎝⎭⎝⎭⎪⎝⎭23.24.又 则令 则与 独立,则 与独立,且26.则2212221~(,),~(0,),~(1),(0,1)/(1)n n N a N n n ns n N T t n σξξξσξξχσξξ++----=-'11111(,,),(,,)111(,,),()11n n n ij n n n n i i i ia a B D nn n ξξθξσσσσδσσ⨯======-∑∑'2,0,D D D BD ===221(,)(,)1()n ni i nnB N a N I ηξθσσ===∑,i i i aξγσ-=2'11,()()()ni i i a D n ηγζγγξθξθσ=-==-=--∑∑B nηξ=ξηζ)1(~2-n χζ11(,)22U ξθθ-+(1)()121111221111()2201()121()()[1()]1[]21()()[()][]2(,)(1)()()[()()](1)[]n x n n n n n n n x f x other F x dx x f x nf x F x n x f x nf x F x n x f x y n n f x f y F y F x n n y x ξξθξξθθθθθ-------⎧-<<+⎪=⎨⎪⎩==-+∴=-=⋅⋅-+==⋅+-=--=⋅-⋅-⎰27.33.2222122222212222(0,),1()||2 ()()()()22(1)iyniniiY a NE d Y dynaD dE d E d Ennn nσξσσξσσσπσσσππ-∞-∞===-==-=-=-=⋅-=-∑⎰∑2222122122210.3(0,0.3),(0,)1010()(9)0.310()100.18{}0.30.3{(2}0.01iniiniiniN NPPξξξξχξξξ===--⨯<=<=∑∑∑222(2)(0,1),(1)0.3(9){0.9}0.9932nsN ntP Psnξχσξξξ--<=<=12121222221221212(3)(0,0.18),(0,0.18)(0,1),(0,1)0.18(1),()(1)0.18{()40}0.9N NN NPξξξξχχξξξξ+-+-+<=-224132244(4)~(1),~(0,0.12),10.73 {10.73}{}0.95NP Pξχξξξξ-<=<=34.《应用数理统计》参考答案2211222212222211(1)(0,),(0,)(1),()(1)11,()()(2)nn miii i n nniii nn mi i i i n N n N m n m m a b n m a b n m ξσξσξξχχσσσξξχ+==+=+==+--==++-∑∑∑∑∑∑222211112(2)(),(0,)(0,1),/(),n mni ii n i nniii i i m N n N t m c m n ξχξσσξξσσ+=+===∴=∑∑∑∑∑2222221121221(3)(),()()/(1,1),/nn mi i i i n ni i n mi i n n m n mF n m d nm ξξχχσσξσξσ+==+=+=+--∴=∑∑∑∑1. 由矩估计法2. (1) 由矩估计法(2)(3)(4)(5)818226212266174.00281610(74.002)88610 6.85710181ii i i a X x S x n S S n σ=-=--⎧===⎪⎪⎨⎪==⨯=-⎪⎩∴==⨯⨯=⨯--∑∑11'1202()33A x EX x dx θαξθθαξθθξ==-====∴=⎰111'101(1)2211A EX x x dx θαξθαθξθξθξ==+==+==+-∴=-⎰1211211122222221212222222121112()2x x n i i e xdx e x dx A X n A S S S θθθθθθαθθξθαθθξθξθξθθξθξθ--+∞--+∞==⋅=+==⋅===+∴=+==-+⎧=-⎪∴⎨=⎪⎩⎰∑⎰111(1)122Ni N NA x N NN ξξ=+===⋅⇒=∑11102()1A dx ξξθξ===⇒=-⎰2∞3.4.2()2{0},(){0}{}()0.7,110.7,0.525x aA X AP A P dxa aP a pp aξξξ--=<=<=--=<=Φ-=≈∴≈=-⎰设表示出现的次数,(1)11111(1)()ln()[ln ln(1)ln]ln()1[ln ln]ln ln0 ln lnniiniin ni ii iniiL c xL c xLc x n c xnnx n cθθθθθθθθθθθθθ-+=======+-+∂=+-=+-=∂=-∏∑∑∑∑1111221(2)()ln()[ln1)ln]ln()]0(ln)niniiniiniiLL xLxnxθθθθθ======+∂=+=∂=∑∑∑11()()()()11(3)()ln()lnln()11,,,,()0,0,11,()()nnin nn nnn nnnLL nL nLother otherL Lθθθθθθθθξξθξθθθθθξθξθξ====-∂=-=∂⎧⎧≤≤⎪⎪==⎨⎨⎪⎪⎩⎩≤≤=∏11()()()()11(3)()ln()lnln()11,,,,()0,0,11,()()nnin nn nnn nnnLL nL nLother otherL Lθθθθθθθθξξθξθθθθθξθξθξ====-∂=-=∂⎧⎧≤≤⎪⎪==⎨⎨⎪⎪⎩⎩≤≤=∏5.221()212212241(5)()()ln()[ln]22()2()ln()[022in xiniini iiLxLx xLθθθθθθθθθθθθθξθ--====-=-----∂==∂=∑∑(1)11(1)11(1)(1)(6)()ln()[ln ln(1)ln]ln()(),,,()()nc ciiniinc ci niL c xL c c c xL ncL c xL Lθθθθθθθθθθθξξθξθξ-+==-+===--+∂=-=∂=≤≤⇒=∏∑∏不能解出,所以由22111(7)()1)(1)ln()[2ln(2)ln(1)ln(1)]2ln()22]01inxiini iiniiL xL x xx nL nθθθθθθθθθθθξ-====--=+--+--∂=-=⇒=∂-∏∑∑(~(,0)11nUξθ∏6.7.所以不唯一。
应用数理统计第二章 数理统计基本概念1、设()12,,,n ξξξ为0—1分布的一个样本,问:(1)求样本均值ξ的期望与方差;(2)求修正样本方差2*S 的期望;(3)试证()21S ξξ=-。
解:由于()0,1ξ,所以E p ξ=,()1D p p ξ=-(1)()111111n nn i i i i i E E E E p n n n ξξξξ===⎛⎫==== ⎪⎝⎭∑∑∑()()()2221111111111n nn i i i i i D D D D np p p p n n n n n ξξξξ===⎛⎫====-=- ⎪⎝⎭∑∑∑(2)()()222112*1111n n i i i i E SE E n n n ξξξξ==⎡⎤⎡⎤⎛⎫=-=-⎢⎥ ⎪⎢⎥--⎣⎦⎝⎭⎣⎦∑∑()()()()()()2222111111n n i i i i i E nE D E n D E n n ξξξξξξ==⎡⎤⎧⎫⎡⎤⎡⎤=-=+-+⎨⎬⎢⎥⎢⎥⎢⎥⎣⎦⎣⎦--⎣⎦⎩⎭∑∑ ()()()22111111n p p p n p p p p p n n ⎧⎫⎡⎤⎡⎤=-+--+=-⎨⎬⎣⎦⎢⎥-⎣⎦⎩⎭(3)由于()0,1ξ,所以211nnii i i ξξ===∑∑,故()()22222222111111111n n n n i i i i i i i i S n n n n n ξξξξξξξξξξξξ====⎛⎫=-=-=-=-=-=- ⎪⎝⎭∑∑∑∑,得证。
2、设总体()0,1N ξ,()12,,,n ξξξ为其样本,问:(1)求样本方差2S 的分布密度;(2)求样本标准差S 的分布密度。
解:(1)由于()0,1N ξ,所以根据定理,()()()()22212212*11ni ni i i n Sn ξξξξχσσ==--==--∑∑,而()21n χ-的分布密度为:()1122121,01;1220,0n xn x e x n f x n x ----⎧>⎪-⎪⎛⎫-=Γ⎨ ⎪⎝⎭⎪⎪≤⎩ ()2211ni i S n ξξ==-∑,所以样本方差2S 的分布密度为:()()()2131122222112211,01;122220,0nx n n nx n n n S nx e nx n x e x n n f x n x --------⎧'⋅=>⎪-⎪⎛⎫⎛⎫-=ΓΓ⎨ ⎪ ⎪⎝⎭⎝⎭⎪⎪≤⎩ 同理,样本标准差S 的分布密度为:()()()221112222222132211,01;122220,0nx n n n x n n n S nx e nx n x e x n n f x n x --------⎧'⋅=>⎪⎪-⎛⎫⎛⎫-=ΓΓ⎨ ⎪ ⎪⎝⎭⎝⎭⎪⎪≤⎩ 3、设(),F F m n ,而1ln 2Z F =,求Z 的分布密度。
庄楚强应用数理统计答案含第一章23 P3 二)巧=j\xijoU| 二2X 弓绑壮4" H"WPY®=[:P(X'0” = J〉xjdx V 枝Pwj)彳?囂1'「Pa•呵)彳?:‘沪二PS)杞」祇猫交. X :家I(冲og咛P”〉二丄;p*j)勺二丿〉爭j二伪当押如护心X卜X吋P Y(JF J:妙炉佩二『列改二勺当J威讨放Pm)汀勺g'X 側巧T,呼X r的仁H.臥川①二仁允丰饷)汝乡J不務卫.4.令J =0 判知埠齐”二歼对7/(。
小攻总小二新•{ 曲冈川旳"仟「切彳°K町审心辔“右I 0 ..仁毗彳.如)二二玄牡二M(t)二(卜彳0 尸_______ S(o)二一JJL 符1(H尸'P号=-沖(。
)二-]•* r 卡b(t)二空应叽2Cqf("怦)(S怦)D沪呵-◎八坤1-弃卡+ *So)二c r L w w == (o o w + •: +co 寸 w + O E W )W 闪七 H w * 阳Q G 闪 c 《w)・8g *丰无R 魁加岭生 -o o w «®^-o 寸OJ H 卜5 •96 L H g MJ co W N N S W O t z N N P J g co L N tt J r)寸 W N W MJ OWWNR54i-二5*47初•&匕±妬$艮號Q$a 4w W 5hs.IW Xov(Mvq煤删部厶二昭恋城•船7生qw ***M 々4生就如4*r v >*址・4 ¥*戲弓奸(5e o o w ・9 寸 w ・96 L ・8W E ・ O 寸w g oo l ・e 寸w ・o e w *《6乂一 地 那》划洲抹更甬 丄T 9百也了廉总气T 国胡士幽號J ^Q 4I W L *H WI I (Q IL )Q r-l H (Q I L )Q U ^1 h (g 〔〈r-l )Q r r C T a H S E rlc H (寓凡)w rlc H 金凡rlc )山 H (阳)山 r c < c < (L):崔 一现汞贴沖*Tso 綽(w ) W 腳耳M2单测岭址綽(C 4 — gilt* :0*(辽・・:・鬧・心)叹3寸Q O O W +: + % 寸w + w o e w )-lco 闪-ICO N I^* ■ o < L 此ygzrlc :wd邨板实£24辛(2)f丘(严)(E疔尸]H(?2) =C^+ (E召尸=学+(乓尸由上丸寸彳寻:E(乎)一E(貸)=時1 Q故:H(S-2)=E(T^T7土(自一石尸)=岛三(士畀〜士自严+ 士胃);=1 /=1 /=*!原术=门1〔 E(丈b 一2门疗2十n^2y F=1=万9丘(丈笄一育+门广〉=门[[门;」Q(G .................... 〔由上而推孚可得)=Q痔=p(i —P)(3),=士丈(自一訂f= 1=+(丈斎「门扌)…・・・・(曲(2)可捋)=看—壬....... (()・1介布・4f =自)=?(1 -?)冇•某半导体厂生产的茱种零件厚度g〜N(“,尸),为保证质量,规定当b W0.60irim 时,认为生产过程处扌良好控制狀态•为此,每隔一定得忖间抽取20个零件作为一个样本,并计算样本方差Si若异> c\兰0.01(此时用b = 0.60)则认为生产过程失去控制,必须停产检查•问;(1 )c为何值时,S* 3C的概率才小于或等于0.01 ?(2)若取得的一个祥本的标准差SJ0.84生产过程是否处于良好的屍制状态?解:⑴^.2 (n - 1 )S*?c(n - 1)PIS' > c} = p{- -------------- 5------- > ---------5― }=PU2(19) > 罟}=1—Q Ct6 :s >艮卩:"1 q厂1 —= 《o.oi三}玄 6曰9虹養性= 36.1911 9cg 36191U N 6686<2>・「S’ —0.64 u QO.&&&・十2)・•・生产応样九月空—n即希极大似然估计值为:"络》第三章白寸分冲空r 刀L .刃(心>-i}Q (X G=JS+°"p( )_ ( 0其它(G ,氐,•…,品)为其样抉,求参魏0•的夫巨估计弦心n -与极俎似■然估计 蚤瓠•现得创样本值为0.1,0.2?0.9.0.8,0.7,0.7,求参魏Q 的估计值. 解:⑴ E> = P + 1 )x a cfx Jo=J (a- -r 1 dx ="+ [屮+叩=c + 1耳=忑=鉀+ \ 整理得&协=(2)a 的极大似然函数为(Ov x v1)n nL(Q ) = |-[=(Q +1尸口羚门In L(e) = n lr )(a + 1) + a 工 In x.学=士十工I"n令 ----- + V In Xj = 0 解得:a = 门[ ------------------------- 1 a + 1 台In x,-n2J4L总体日艮从区间[0心]上白勺均匀分布"P令布密度为(1 )(G辰•…掐』为其样轧求参数加勺矩估计董鬲r与MLE臥;(2)现得到样本值为13061 7NZ0311 试分别用矩法与机大似然法求总体均值、怎体方差白勺估计值.解:⑴上产=?2^'°— 2处勺初u大彳以扶函敕为§0 < x <很显然L (0)在不为0处不存在驻点.为此直接前定函数的栽大值点,由似然函救LG)的表达式可知「妥便L(Q) = I(0< X <硯取得股大彳埜&应尽量*小一而幻< X2n“C因此,生& = Xc时.L(^)取得最大/(丄即:=0.486•已知某种灯泡寿命服从正态分布,在某星期所生产白勺该科灯泡中 随机抽取10只,测得其寿命(单位:小时)为1067,919畀196.785 J 1 26.936.918 J 1 56.920£4&设总体参数都为未 知,试用极大彳以然估计法估计这星期中生产的灯,包能>便用1300小 时以上的相t 率・ 解:=1 一 o>( 13Q Q ~22L ) = 1 一 0(2.43) = 0.00822随机地从一批钉子中抽取16枚?测得其长度(以厘米计)为2.14 2.10 2.13 2.15 2.13 2.12 2.13 2.10 2.152.122.142.102.132.11 2.14 2.11设纣长分布为正态的,试求总体均值“的90% X 信区间;(1)若已知(r=0.Q1cm : (2)若<r 为未知一解:(2)er 未知 -島)(2.126 - 1.645竺卩・ 2.126 亠 1.645巴耳=(2.119? 2.133)1 nc V _1_ Q 1 Q _!_ _____________ _1_ Q/d Q(f L = S2 cr L = S 2 = -易计算出g = 214—二一 2门=2让6 '/ 1 —(T = 0.9 故(T = 0.1 查表得:t/o.95 — 1 -645二(£±叫・ =(2.119,2.133)第四章1.已知菽炼铁厂的铁水含碳童$在正常情况下服从N(4,55 Q1080现在测了5炉铁水,其含碳量分别为42& 4.46 4.4Z 4.35. 4.37•如果方差没有改变,问总体均值有无变化?(显著性水平<1=0.05)解;可把问题化为e- N(p.cr2).(r = 0.108根据所给样本值.恵显著性水平a = 0.05的情况下.检验假设Ho ; 口= gHi ;“ 去“o这是一个双例榜脸问題,因此用检脸法则:若:* IT""' n P1-O-/2*则扌目绝饨(相反则接支Ho)计算得E = 4.364, n = 5,CT = 0.108,查表:“―堆=“065=26因为:区;口。
研究生 习题2:2-7. 设 )1,0(~N ξ,),,,,,(654321ξξξξξξ为其一样本,而26542321)()(ξξξξξξη+++++=, 试求常数c ,使得随机变量ηc 服从2χ分布。
2-7解:设3211ξξξη++=,所以 )3,0(~1N η 6542ξξξη++=,所以 )3,0(~2N η所以)1,0(~31N η ,)1,0(~32N η)2(~)(3133222212221χηηηη+=⎪⎭⎫ ⎝⎛+⎪⎭⎫ ⎝⎛ 由于 2221ηηη+= 因此 当 31=c 时,)2(~2χηc 。
2-8. 设 ),,,(1021ξξξ 为)3.0,0(2N 的一个样本,求 ⎭⎬⎫⎩⎨⎧>∑=101244.1i i P ξ 。
(参考数据:)2-8解:因为 )3.0,0(~),,,(21021N ξξξξ =, 所以)1,0(~3.0N ξ,即有)10(~3.021012χξ∑=⎪⎭⎫⎝⎛i i所以 ⎭⎬⎫⎩⎨⎧>∑=101244.1i i P ξ⎭⎬⎫⎩⎨⎧>=∑=1012223.044.13.0i i P ξ⎭⎬⎫⎩⎨⎧>=∑=10122163.0i i P ξ ⎭⎬⎫⎩⎨⎧≤-=∑=10122163.01i i P ξ1.09.01=-=2-14. 设总体)4,1(~N ξ,求{}20≤≤ξP 与{}20≤≤ξP ,其中ξ是样本容量为16的样本均值。
(参考数据:)2-14解: {}20≤≤ξP )0()2(F F -=)210()212(-Φ--Φ=)21()21(-Φ-Φ= 1)21(2-Φ=3830.016915.02=-⋅=由于 )4,1(~N ξ , 所以 )1,0(~2111621N -=-ξξ{}20≤≤ξP ⎭⎬⎫⎩⎨⎧-≤-≤-=21122112110ξP ⎭⎬⎫⎩⎨⎧≤-≤-=22112ξP )2()2(-Φ-Φ=9545.019725.021)2(2=-⋅=-Φ= 2-17. 在总体)20,80(2N 中随机抽取一容量为100的样本,问样本平均值与总体均值的差的绝对值大于3的概率是多少?(参考数据:) 2-17解:因为 )20,80(~2N ξ, 所以)1,0(~2801002080N -=-ξξ所以 {}380>-ξP {}3801≤--=ξP ⎪⎭⎪⎬⎫⎪⎩⎪⎨⎧≤--=232801ξP ⎭⎬⎫⎩⎨⎧≤-≤--=23280231ξP )]5.1()5.1([1-Φ-Φ-= ]1)5.1(2[1-Φ-=1336.0)93319.01(2)5.1(22=-=Φ-=2-25. 设总体ξ的密度函数为⎩⎨⎧<<=其它102)(x x x p取出容量为4的样本),,,(4321ξξξξ,求:(1) 顺序统计量)3(ξ的密度函数)(3x p ;(2))3(ξ的分布函数)(3x F ;(3)⎭⎬⎫⎩⎨⎧>21)3(ξP 。
应用数理统计课后习题参考答案1. 描述性统计问题1描述性统计是一种对数据进行整理、呈现和分析的方法。
它可以提供数据的基本特征,包括数据的中心趋势、离散程度和分布形状。
常见的描述性统计方法有:•平均数:用于衡量数据的中心趋势,是所有数据值的总和除以数据的个数。
•中位数:将数据按大小顺序排列,中间位置的数值即为中位数。
•众数:数据中出现次数最多的数值。
•范围:数据的最大值减去最小值。
•方差:用于衡量数据的离散程度,是每个数据与平均数之差的平方的平均值。
•标准差:方差的正平方根。
问题2对于给定数据集,以下是计算描述性统计的步骤:1.求出数据的个数。
2.计算数据的总和。
3.求出数据的平均数。
4.将数据按大小顺序排列。
5.求出数据的中位数。
6.找出数据中出现次数最多的数值,即众数。
7.计算数据的范围。
8.计算数据的方差。
9.计算数据的标准差。
2. 概率分布问题1概率分布是用来描述随机变量的分布规律的函数。
常见的概率分布包括:•二项分布:适用于具有两个可能结果的离散型随机变量,如投硬币的结果。
•泊松分布:适用于描述单位时间或单位空间内随机事件发生次数的离散型随机变量。
•正态分布:也称为高斯分布,是一种连续型概率分布,常用于描述自然界中许多现象的分布情况,如身高、体重等。
问题2对于给定的概率分布,以下是计算概率的步骤:1.对于离散型概率分布,计算每个可能结果的概率,并将其加总为1。
2.对于连续型概率分布,计算指定区间内的概率,可以使用积分来进行计算。
3.根据需要计算特定事件的概率,可以使用概率密度函数(PDF)或累积分布函数(CDF)来计算。
3. 统计推断问题1统计推断是一种利用样本数据对总体特征进行估计和推断的方法。
常见的统计推断方法有:•置信区间估计:对总体参数进行估计时,构造一个区间,使得真实值以一定概率包含在该区间内。
•假设检验:用于判断一个总体参数是否等于某个特定值。
•方差分析:用于比较两个或多个总体的均值是否有显著差异。
2214243.(1)[||]0.140(2)[||]0.144(,4),(,),(0,)[||]20.1800255(3){||0.1}2(10.9521.9615372tnE a D nnE aN a N a t a NnnE t t dtnP t Pnξξξξξξπ-+∞-==≤⇒=-≤=-==≤==≤=≤=Φ-≥=⇒≥⎰《应用数理统计》参考答案习题一0.51.(,0.5)(,){||0.1}0.9972.97442N a N anP a Pnξξξξ⇒-<=<==⇒=2242.(,4)(,)100||(1)(||)()0.90,0.330.20.2(2):P(||)N a N aa UP a U P Uaξξξξσξεε⇒--<=<==-≥≤挈比学夫不等式(5)(5)125515(3){15}1{15}1{15,15,,15}1215121[{}]221[1(1.5)]0.292P P P P ξξξξξξ>=-≤=-≤≤≤--=->=--Φ=1121212111()(1){}{,,,}{1,1,,1}()()(1)(1)k n n nn m nm n m n m ni i P k pq P M m P m m m P m m m pqpq q q ξξξξξξξ----======≤≤≤-≤-≤-≤-=-=---∑∑4.5. 6. 13.0)25(1}8.012138.012{}13{)54,12(~)1()4,12(~=Φ-=->-=>ξξξξP P N N (1)(1)1255511515(2){10}1{10}1{10,10,,10}1[{10}]1[1{10}]1210121[1{}]221[11(1)]0.579P P P P P P ξξξξξξξξ<=-≥=->>>=->=--≤--=--≤=--+Φ=6(1)0.001567.2800~(0.0015)(1){800}[{800}][0.0015]x E P P e dx e ξξξ∞-->=>==⎰6(6)30000.00156 4.56(2){3000}[{3000}][0.0015](1)x P P e dx e ξξ--<=<==-⎰1212(2){}{,,,}{1,1,,1}n n nn P K k P k k k P k k k ξξξξξξ==≥≥≥-≥+≥+≥+7.8.均值的和(差)等于和的均值,方差的和差都等于方差的和9.由中心极限定理:10.11.22222(1)(1)(1)()222~()()()[()](,)it itit n e n n e n e it i t t tn it it n n nn p t e t t ee n e e e N n λξλλξξλλλλλξλϕϕϕλξλ---+--∴=∴======∴12121233~(20,3),~(20,),~(20,)10151~(0,)2{||0.3}1220.67N N N N P P ξξξξξξξξξ-∴->=->=-Φ=2(),(),E a D ξξσ==121(0,1)(0,1)~(,)n n i i i ni i na a n N N N a n nξξσξσξ==--∴∴=∑∑∑22222222,(),()()(),(),(),(,)k k k k k k k k k k k k k kk k E a E a D E E a a a a E A a D A n a a A N a nξξξξξ===-=--∴==-∴22121212222(),()(),()0,()()()2,()()()2,i i E E a D D E D D D E E D ξξξξσξξξξξξσξξξξξξσ====∴-=-=+=∴-=-+-=13.14.15.16.2212221221,(),(),()()0,()()()(1),11[()](1)1niii ii i iniiniiE a E a D DnE D D DnDn D nDES n Dn nE ES Dn n nσξξξσξξξξξξξσξξξξξξξ=======∴-=-=+--===--==--∑∑∑222222222424222(1),11()(1)()2(1)21 ()2(1)() nsnns nE n Es On nns nD n Ds On n n χσσσσσσσ--=-⇒==+-=-⇒==+112323''' '2(121)(1)()()()()5231()(121)23023021AD E E E EA E E A AVar Aξξξξξξηξηηηηηξξξξξ⎛⎫⎪-+=-==⎪⎪⎝⎭=--=--⎛⎫⎛⎫⎪⎪==--=⎪⎪⎪⎪⎝⎭⎝⎭11223''''110(2)(,)111()()()()5231()(121)23023021BE E E EB E E B BVar Bξηηηξξξηηηηξξξξξ⎛⎫⎛⎫ ⎪===⎪ ⎪⎝⎭ ⎪⎝⎭∑=--=--⎛⎫⎛⎫⎪⎪==--=⎪⎪⎪⎪⎝⎭⎝⎭11222211()2822121(2)||2241128116xx xxe dx dxπ⎛⎫⎛⎫- ⎪⎪∞∞⎝⎭⎝⎭-∞-∞-=∑-⎛⎫⎛⎫∑==⎪ ⎪-⎝⎭⎝⎭⎰⎰17.18.21.22.()11223'122'111110(,),211151,1101221111111100130111100310110N A A AAA Aξηξηξηηθθ⎛⎫⎛⎫⎛⎫ ⎪⎪ ⎪ ⎪⎝⎭⎝⎭ ⎪⎝⎭∑⎛⎫⎛⎫⎛⎫⎪==⎪ ⎪⎪⎝⎭⎝⎭⎪⎝⎭⎛⎫⎛⎫⎛⎫⎛⎫⎪⎪∑=-=⎪ ⎪⎪⎪⎝⎭⎝⎭⎪⎪⎝⎭⎝⎭‘=,由引理1.2.3,则-的联合分布为--11223''12111111~(,),1011111432111111121301111210.2N A A AA Aξηξξηξηθρρρρρρρρρηη⎛⎫⎛⎫⎛⎫ ⎪⎪ ⎪ ⎪-⎝⎭⎝⎭ ⎪⎝⎭∴∑⎛⎫⎛⎫+--⎛⎫⎛⎫⎪⎪∑=-=⎪ ⎪⎪⎪---⎝⎭⎝⎭⎪⎪-⎝⎭⎝⎭∴--=⇒=-==A,--时与独立2''44''22'''''' 44224(0,)(,)()()2()()()()()cov(,)(,)()() ()()2()()()2()nN IE A B tr A tr B tr ABE A E B tr A tr BA B E A B E A E Btr A tr B tr AB tr A tr B tr AB ζσζζζζσσζζζζσσζζζζζζζζζζζζσσσσσ=+=∴=-=+-=()11112222121122,1,1,0822177,122477yay y Qyba babθθθθθθθ--⎛⎫⎛⎫--=⎪⎪-⎝⎭⎝⎭⇒===-=⎛⎫⎪⎛⎫⎛⎫∴=∑== ⎪⎪ ⎪⎪⎝⎭⎝⎭⎪⎝⎭23.24.又 则令 则与 独立,则 与独立,且26.则2212221~(,),~(0,),~(1),(0,1)/(1)n n N a N n n ns n N T t n σξξξσξξχσξξ++----=-'11111(,,),(,,)111(,,),()11n n n ij n n n n i i i ia a B D nn n ξξθξσσσσδσσ⨯======-∑∑'2,0,D D D BD ===221(,)(,)1()n ni i nnB N a N I ηξθσσ===∑,i i i aξγσ-=2'11,()()()ni i i a D n ηγζγγξθξθσ=-==-=--∑∑B nηξ=ξηζ)1(~2-n χζ11(,)22U ξθθ-+(1)()121111221111()2201()121()()[1()]1[]21()()[()][]2(,)(1)()()[()()](1)[]n x n n n n n n n x f x other F x dx x f x nf x F x n x f x nf x F x n x f x y n n f x f y F y F x n n y x ξξθξξθθθθθ-------⎧-<<+⎪=⎨⎪⎩==-+∴=-=⋅⋅-+==⋅+-=--=⋅-⋅-⎰27.33.2222122222212222(0,),1()||2 ()()()()22(1)iyniniiY a NE d Y dynaD dE d E d Ennn nσξσσξσσσπσσσππ-∞-∞===-==-=-=-=⋅-=-∑⎰∑2222122122210.3(0,0.3),(0,)1010()(9)0.310()100.18{}0.30.3{(2}0.01iniiniiniN NPPξξξξχξξξ===--⨯<=<=∑∑∑222(2)(0,1),(1)0.3(9){0.9}0.9932nsN ntP Psnξχσξξξ--<=<=12121222221221212(3)(0,0.18),(0,0.18)(0,1),(0,1)0.18(1),()(1)0.18{()40}0.9N NN NPξξξξχχξξξξ+-+-+<=-224132244(4)~(1),~(0,0.12),10.73 {10.73}{}0.95NP Pξχξξξξ-<=<=34.《应用数理统计》参考答案2211222212222211(1)(0,),(0,)(1),()(1)11,()()(2)nn miii i n nniii nn mi i i i n N n N m n m m a b n m a b n m ξσξσξξχχσσσξξχ+==+=+==+--==++-∑∑∑∑∑∑222211112(2)(),(0,)(0,1),/(),n mni ii n i nniii i i m N n N t m c m n ξχξσσξξσσ+=+===∴=∑∑∑∑∑2222221121221(3)(),()()/(1,1),/nn mi i i i n ni i n mi i n n m n mF n m d nm ξξχχσσξσξσ+==+=+=+--∴=∑∑∑∑1. 由矩估计法2. (1) 由矩估计法(2)(3)(4)(5)818226212266174.00281610(74.002)88610 6.85710181ii i i a X x S x n S S n σ=-=--⎧===⎪⎪⎨⎪==⨯=-⎪⎩∴==⨯⨯=⨯--∑∑11'1202()33A x EX x dx θαξθθαξθθξ==-====∴=⎰111'101(1)2211A EX x x dx θαξθαθξθξθξ==+==+==+-∴=-⎰1211211122222221212222222121112()2x x n i i e xdx e x dx A X n A S S S θθθθθθαθθξθαθθξθξθξθθξθξθ--+∞--+∞==⋅=+==⋅===+∴=+==-+⎧=-⎪∴⎨=⎪⎩⎰∑⎰111(1)122Ni N NA x N NN ξξ=+===⋅⇒=∑11102()1A dx ξξθξ===⇒=-⎰2∞3.4.2()2{0},(){0}{}()0.7,110.7,0.525x aA X AP A P dxa aP a pp aξξξ--=<=<=--=<=Φ-=≈∴≈=-⎰设表示出现的次数,(1)11111(1)()ln()[ln ln(1)ln]ln()1[ln ln]ln ln0 ln lnniiniin ni ii iniiL c xL c xLc x n c xnnx n cθθθθθθθθθθθθθ-+=======+-+∂=+-=+-=∂=-∏∑∑∑∑1111221(2)()ln()[ln1)ln]ln()]0(ln)niniiniiniiLL xLxnxθθθθθ======+∂=+=∂=∑∑∑11()()()()11(3)()ln()lnln()11,,,,()0,0,11,()()nnin nn nnn nnnLL nL nLother otherL Lθθθθθθθθξξθξθθθθθξθξθξ====-∂=-=∂⎧⎧≤≤⎪⎪==⎨⎨⎪⎪⎩⎩≤≤=∏11()()()()11(3)()ln()lnln()11,,,,()0,0,11,()()nnin nn nnn nnnLL nL nLother otherL Lθθθθθθθθξξθξθθθθθξθξθξ====-∂=-=∂⎧⎧≤≤⎪⎪==⎨⎨⎪⎪⎩⎩≤≤=∏5.221()212212241(5)()()ln()[ln]22()2()ln()[022in xiniini iiLxLx xLθθθθθθθθθθθθθξθ--====-=-----∂==∂=∑∑(1)11(1)11(1)(1)(6)()ln()[ln ln(1)ln]ln()(),,,()()nc ciiniinc ci niL c xL c c c xL ncL c xL Lθθθθθθθθθθθξξθξθξ-+==-+===--+∂=-=∂=≤≤⇒=∏∑∏不能解出,所以由22111(7)()1)(1)ln()[2ln(2)ln(1)ln(1)]2ln()22]01inxiini iiniiL xL x xx nL nθθθθθθθθθθθξ-====--=+--+--∂=-=⇒=∂-∏∑∑(11max(1)~(,0)11(1)(),,,0(),()()nnniULL Lξθθθξξθθθξθθ==-=<<-=≤∏6.7.所以不唯一。
研究生 习题2:2-7. 设 )1,0(~N ξ,),,,,,(654321ξξξξξξ为其一样本,而26542321)()(ξξξξξξη+++++=, 试求常数c ,使得随机变量ηc 服从2χ分布。
2-7解:设3211ξξξη++=,所以 )3,0(~1N η 6542ξξξη++=,所以 )3,0(~2N η所以)1,0(~31N η ,)1,0(~32N η)2(~)(3133222212221χηηηη+=⎪⎭⎫ ⎝⎛+⎪⎭⎫ ⎝⎛ 由于 2221ηηη+= 因此 当 31=c 时,)2(~2χηc 。
2-8. 设 ),,,(1021ξξξ 为)3.0,0(2N 的一个样本,求 ⎭⎬⎫⎩⎨⎧>∑=101244.1i i P ξ 。
(参考数据:)2-8解:因为 )3.0,0(~),,,(21021N ξξξξ =, 所以)1,0(~3.0N ξ,即有)10(~3.021012χξ∑=⎪⎭⎫⎝⎛i i所以 ⎭⎬⎫⎩⎨⎧>∑=101244.1i i P ξ⎭⎬⎫⎩⎨⎧>=∑=1012223.044.13.0i i P ξ⎭⎬⎫⎩⎨⎧>=∑=10122163.0i i P ξ ⎭⎬⎫⎩⎨⎧≤-=∑=10122163.01i i P ξ1.09.01=-=2-14. 设总体)4,1(~N ξ,求{}20≤≤ξP 与{}20≤≤ξP ,其中ξ是样本容量为16的样本均值。
(参考数据:)2-14解: {}20≤≤ξP )0()2(F F -=)210()212(-Φ--Φ=)21()21(-Φ-Φ= 1)21(2-Φ=3830.016915.02=-⋅=由于 )4,1(~N ξ , 所以 )1,0(~2111621N -=-ξξ{}20≤≤ξP ⎭⎬⎫⎩⎨⎧-≤-≤-=21122112110ξP ⎭⎬⎫⎩⎨⎧≤-≤-=22112ξP )2()2(-Φ-Φ=9545.019725.021)2(2=-⋅=-Φ= 2-17. 在总体)20,80(2N 中随机抽取一容量为100的样本,问样本平均值与总体均值的差的绝对值大于3的概率是多少?(参考数据:) 2-17解:因为 )20,80(~2N ξ, 所以)1,0(~2801002080N -=-ξξ所以 {}380>-ξP {}3801≤--=ξP ⎪⎭⎪⎬⎫⎪⎩⎪⎨⎧≤--=232801ξP ⎭⎬⎫⎩⎨⎧≤-≤--=23280231ξP )]5.1()5.1([1-Φ-Φ-= ]1)5.1(2[1-Φ-=1336.0)93319.01(2)5.1(22=-=Φ-=2-25. 设总体ξ的密度函数为⎩⎨⎧<<=其它102)(x x x p取出容量为4的样本),,,(4321ξξξξ,求:(1) 顺序统计量)3(ξ的密度函数)(3x p ;(2))3(ξ的分布函数)(3x F ;(3)⎭⎬⎫⎩⎨⎧>21)3(ξP 。
2-25解:(1)由 ()()[][])()(1)(!!1!)(1)(x p x F x F k n k n x p k n k k -----=ξ所以 当 10<<x 时,x tdt tdtx p x x 2212!1!2!4)(020)3(⎥⎦⎤⎢⎣⎡-⎥⎦⎤⎢⎣⎡=⎰⎰ξ()()()25222124124x x x x x -=-= 即 统计量)3(ξ的密度函数)()3(x p ξ为:⎩⎨⎧<<-=其它10)1(24)(253x x x x p(2) 由于 当10<<x 时,86025334)]1(24[)(x x dt t t x F x -=-=⎰所以 )3(ξ的分布函数 ⎪⎩⎪⎨⎧>≤<-≤=11103400)(863x x xx x x F (3))21(121121)3()3(F P P -=⎭⎬⎫⎩⎨⎧≤-=⎭⎬⎫⎩⎨⎧>ξξ256243213214186=⎥⎥⎦⎤⎢⎢⎣⎡⎪⎭⎫ ⎝⎛-⎪⎭⎫ ⎝⎛-=习题3:3-3. 已知总体ξ的分布密度为:)0(00);(>⎩⎨⎧≤>=-λλλλx x e x p x设),,,(21n ξξξ 是容量为n 的样本,试分别求总体未知参数的矩估计量与MIE . 3-3解:矩法 由于 x xde x dx ex dx x xp E λλλλξ-+∞+∞-+∞∞-⎰⎰⎰-===);([]λλλλλ110=⎥⎦⎤⎢⎣⎡-=+-=+∞-∞+-∞+-⎰x xx e dx exe令 ξξ=E 所以 ξλ1ˆ=MIE 当0>x 时,构造似然函数∑===-=-∏ni iix n ni x ee L 11)(λλλλλ所以 ∑=-=ni i x n L 1ln )(ln λλλ 令0)(ln 1=-=∑=ni i x n d L d λλλ 得 ∑∑====ni i ni ix n xn1111ˆλ即 λ的极大似然估计量为ξλ1ˆ=3-5. 为检验某种自来水消毒设备的效果,现从消毒后的水中随机抽取50L 化验,每升水肠杆菌的个数( 1L 水肠杆菌个数服从Poisson 分布),化验结果如下:试问平均每升水肠杆菌个数为多少时才能使上述情况的概率为最大?3-5解:由于 1L 水肠杆菌个数服从Poisson 分布所以 )0(!)(>=-λλλe x x p x所以 λ的估计量为 ξλ=ˆ 即有 1)0014231022010(501ˆ=++⋅+⋅+⋅+⋅+=λ所以 平均每升水肠杆菌个数为1的概率为最大。
3-26. 随机地取某种炮弹9发做试验,得炮口速度的样本标准差s m S 11*=。
设炮口速度是正态分布的,求这种炮弹的炮口速度的标准差σ的95%置信区间。
(参考数据:) 3-26解:设 ),,(~2σμξN 则 )1(~)1(222*--n S n χσ由 αχσχαα-=-<-<--1)}1()1()1({22122*22n S n n P得 2σ的α-1的置信区间为:⎪⎪⎪⎭⎫⎝⎛-----)1()1(,)1()1(222*2212*n S n n Sn ααχχ将数据 81=-n ,535.17)8()1(2975.0221==--χχαn ,180.2)8()1(2025.022==-χχαn , 11*=S 代入,得 2σ的95%置信区间为(55.2,444.0), 即 σ的95%置信区间为(7.4,21.1).习题4:4-1. 已知某炼铁厂的铁水含碳量ξ在正常下服从)108.0,55.4(2N ,现在测了5炉铁水,其含碳量分别为: 4.28,4.40,4.42,4.35,4.37如果方差没有改变,问总体均值有无变化?(显著性水平05.0=α)(参考数据:) 4-1. 解:检验问题 010055.4μμμμ≠==:;:H H由 ),(~2σμξN 且2σ为已知,所以 ασμαμ=⎪⎭⎪⎬⎫⎪⎩⎪⎨⎧≥--2100u nx P 即 检验问题的拒绝域为210ασμ-≥-u n x 计算得:364.45151==∑=i i x x 有85.35108.055.4364.40=-=-n x σμ 而 96.1975.0205.0121===--u u u α,即有210ασμ->-u n x 成立, 故 拒绝0H ,即 认为总体均值有变化。
4-2. 设某厂一台机器生产的纽扣,据经验其直径服从),(2σμN ,2.5=σ。
为检验这台机器生产是否正常,抽取容量n =100的样本,并由此算得样本均值56.26=x ,问该机器生产的纽扣的平均直径为26=μ,这个结论是否成立?(显著性水平1.0=α) (参考数据:)4-2. 解:检验问题 010026μμμμ≠==:;:H H由 ),(~2σμξN 且2σ为已知,所以 ασμαμ=⎪⎭⎪⎬⎫⎪⎩⎪⎨⎧≥--2100u nx P即 检验问题的拒绝域为210ασμ-≥-u n x 由 56.26=x , 2.5=σ, n=100 得08.11002.52656.260=-=-n x σμ 而 645.195.021.0121===--u u u α,即有n x σμ0-≯21α-u , 故 接受0H ,即 认为这个结论是成立的。
4-11. 已知用某种钢生产的钢筋强度服从正态分布,长期以来,其抗拉强度平均为52.002mm kg 。
现改变炼钢的配方,利用新法炼了7炉钢,从这7炉钢生产的钢筋中每炉抽一根,测得其强度分别为: 52.45,48.51,56.02,51.53,49.02,53.38,54.04问用新法炼钢生产的钢筋,其强度的均值是否有明显提高?(显著性水平05.0=α)(参考数据:)4-11. 解:检验问题 010052μμμμ>==:;:H H由 ),(~2σμξN 且2σ为未知,所以 αμαμ=⎭⎬⎫⎩⎨⎧-≥--)17(1*00t n S x P 即 检验问题的拒绝域为 )6(1*0αμ-≥-t nS x 计算得 136.527171∑===i i x x , 71.2)(171712*∑==--=i i x x S , n =7得133.0771.252136.52*0=-=-n S x μ 而 9432.1)6()6()6(95.005.011===--t t t α,即有 nS x *μ-≯)6(1α-t , 故 接受0H ,即 认为强度均值无明显偏高。
4-37. 在一实验中,每隔一定时间观察一次由某种铀所放射到达计数器上的α粒子数ξ,其中i ν是观察到有i 个α粒子的次数。
从理论上来考虑知ξ服从Possion 分布 {}),2,1,0(!===-i e i i P iλλξ问:这理论考虑是否符合实际?(显著性水平05.0=α) (参考数据:)4-37. 解:检验问题 ξ:0H 服从Possion 分布 (在显著性水平05.0=α下) 100=n 2.41001ˆ=⋅==∑i i x νλ由公式,得 {}7,,2,1,0!2.4ˆ2.4 ====-i e i i P pi i ξ{}∑===711,10,9,8ˆi i P pξ 并计算2χ的观测值,见下表:即 检验统计量2χ的观测值为:2994.6ˆ)ˆ(22=-=∑i i i pn p n νχ 而 067.14)7()119()1(295.0205.0121==--=----χχχαr k 亦即 )7(205.012-<χχ 故 接受0H ,即 认为理论考虑符合实际。
4-45. 自动车床加工中轴,从成品中抽取11根,并测得它们的直径(mm )如下:10.52,10.41,10.32,10.18,10.64,10.77,10.82,10.67,10.59,10.38,10.49试用W 检验法检验这批零件的直径是否服从正态分布?(显著性水平05.0=α)(参考数据:)4-45. 解:数据的顺序统计量为:10.18,10.32,10.38,10.41,10.49,10.52,10.59,10.64,10.67,10.77,10.82所以 6131.0][)()1(51)(=-=-+=∑k k n k k x x aL ,又 5264.10=x , 得38197.0)(1112=-∑=i ix x故 984.0)(11122=-=∑=i ix x L W , 又 当n = 11 时,85.005.0=W即有 105.0<<W W , 从而 接受正态假设,亦即 零件直径服从正态分布。