素数连乘积分布
- 格式:pdf
- 大小:295.60 KB
- 文档页数:10
素数研究报告
素数是指只能被1和它自身整除的正整数,除了1以外没有其他因数。
素数研究是数论中的一个重要研究领域,素数的研究对于解决数论中的一些经典问题和加密算法等具有重要意义。
以下是素数研究的一些主要内容和结论:
1. 素数的分布:素数的分布一直是数论中的重要研究内容,早在公元前300多年,欧几里得就已经猜测素数是无穷多个的。
后来,欧拉证明了欧几里得的猜想,并给出了一种证明方法。
目前尚未找到一个具体的表达式来描述素数的分布规律,但研究者发现,素数的分布遵循“素数定理”,即在一个区间[1, x]内,素数的个数约为x/ln(x),其中ln(x)表示自然对数。
此外,素数的分布也与“孪生素数猜想”相关,即存在无穷多个相差2
的素数对。
2. 素数的性质:素数具有许多特殊性质,研究者经过大量的研究发现了一些重要的结论。
例如,素数的个位数字只能是1、3、7或9;素数的和、差、积都不一定是素数,但两个素数的和一定不是素数;素数的除法关系也具有一些特殊性质,如如果p是素数,a与p互质,那么必定存在一个整数x,使得
ax≡1(mod p)。
3. 素数的应用:素数在密码学中有重要的应用,其中最著名的就是RSA公钥加密算法。
RSA算法是基于两个大素数乘法的
难解性原理,即给定一个大的合数,将其分解为两个素数的乘积是困难的,这个难题被广泛应用于加密和数字签名中。
除此之外,素数还在一些其他领域有应用,如随机数生成、质因数
分解等。
综上所述,素数的研究包括素数的分布、性质和应用等方面。
素数在数论和密码学等领域具有重要意义,对于解决一些经典问题和保护信息安全起到至关重要的作用。
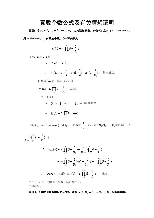
素数个数公式及有关猜想证明引理:若21=p ,32=p ,…j p …,i p ,为连续素数,1≤j ≤i,且j p | n ,1≤m ≤n ,则 m ≠0(mod j p ) 的数的个数)(n y i 可表示为∏=-⋅=ij ji p n n y 1)11()(. 证明:I.当i=1时,∵ 1p =2 , 1p |n ∴ )11()211(2)(11p n n n n n y -⋅=-⋅=-= 结论成立。
Ⅱ.假设i=k 时,结论成立,即:∏=-⋅=kj jk p n n y 1)11()( 成立。
当i=k+1时,∵ 1p |n ,2p |n ,…, k p |n ,据归纳假设 ∴ ∏=-⋅=kj jk p n n y 1)11()( 因为1+k p |n ,所以 m=o (mod 1+k p ) 的数有1+k p n个, 去了k p p p ,,,21 的倍数后,余 ∏=+-⋅kj jk p p n 11)11( 个 ∴ ∏∏=+=+-⋅--⋅=kj j k kj j k p p n p n n y 1111)11()11()()11()11(11+=-⋅-⋅=∏k kj j p p n ∏+=-⋅=11)11(k j j p n∴ i=k+1时,结论 ∏+=+-⋅=111)11()(k j jk p n n y 成立。
由I 、Ⅱ,当i 为任何正整数,结论都成立。
引理证毕。
定理1:(素数个数连乘积式公式):若21=p ,32=p ,…k p …,i p为连续素数,0≤k ≤i 且k pn 的素数个数记为π(n),则有公式π(n )=2+ 221111()(1)k ik k k j j p p p λ+==⎡⎤--⎢⎥⎢⎥⎣⎦∑∏+g(n)其中g(n)满足:-)(1+i p π<g(n)< )(1+i p π,λ微单减。
证明: ∵ n =1+(4-1)+(9-4)+(25-9)+…+)(221k k p p -++…+)(2i p n - 区间 (212,+k k p p )的整数去掉21=p ,32=p ,…k p 的倍数后,余下全为素数。
数论中的素数研究在数学领域中,数论是研究整数性质的一门学科。
而素数则是数论中的一个重要概念。
素数是指只能被1和自身整除的正整数,例如2、3、5、7等。
本文将从素数的定义、性质以及应用等方面进行讨论。
一、素数的定义及性质1.1 素数的定义素数,又称质数,是指大于1且只能被1和自身整除的正整数。
换言之,若一个数可以被其他比1和自身小的正整数整除,则该数不是素数。
1.2 素数的性质(1)素数无穷性素数是无穷多的,这一结论由古希腊数学家欧几里得在公元前300年左右提出,并被称为欧几里得定理。
欧几里得定理的证明思路是采用了反证法,假设素数只有有限个,然后导出矛盾,进而推导出素数是无穷多的。
(2)素数分布的规律素数不是随机出现的,它们的分布具有一定的规律。
例如,根据素数定理,对于一个给定的自然数n,小于等于n的素数的个数约为n/ln(n),其中ln(n)表示自然对数。
这一定理揭示了素数的分布规律。
(3)素数的乘积任何一个大于1的自然数都可以唯一地表示为若干素数的乘积,这一结论由数论中的基本定理(唯一分解定理)给出。
二、素数的应用素数作为数论的重要分支,在密码学、计算机科学和数学证明中都有着广泛的应用。
2.1 素数在密码学中的应用素数被广泛地应用于密码学领域中的公钥密码系统,如RSA加密算法。
RSA算法的安全性依赖于两个大素数的乘积难以分解,因此选择足够大的素数对加密过程起到关键作用。
2.2 素数在计算机科学中的应用在计算机科学中,素数的应用十分广泛。
例如,哈希函数中的除数通常选择为素数,这是因为素数具有较好的分布性和随机性,能够减少哈希冲突的概率。
此外,素数还可以用于数据结构中的散列算法、随机数生成等方面。
2.3 素数在数学证明中的应用素数在数学证明中有着独特的地位。
例如,在费马大定理的证明过程中,欧拉使用了素数的性质来构造了一种证明思路,进而证明了费马大定理。
同样,在高斯证明二次互反律和黎曼猜想的实现中,欧拉的方法又被广泛应用。
素数的规律
素数是只能被1和自身整除的正整数。
它们在数学中具有特殊的地位,因为它们无法通过其他数字的乘积来表示。
素数的分布并没有明确的规律。
素数的出现方式在整数序列中是随机的,没有明显的可预测性。
这被称为素数分布的统计性质。
然而,数学家们对素数的性质进行了深入的研究,并发现了一些有趣的规律和特征:
1.素数无穷性:欧几里得在公元前300年左右证明了素数的无穷性,也就是说,素数是无限多的。
2.质数定理:由数论学家欧拉在18世纪提出,质数定理描述了素数的分布情况。
它表明,在某个范围内的整数中,素数的数量大致与这个范围的长度成正比。
3.素数间隔:素数之间的间隔可以是任意大的。
尽管素数之间的间隔一般越来越大,但并没有明确的间隔规律。
这是一个尚未解决的问题,称为素数间隔问题。
4.质数的分布:素数在整数序列中的分布并不均匀。
在某些数位上,素数的出现更频繁,例如个位上的素数主要是2、3、5、7,而个位上的素数则相对较少。
5.素数的数学结构:素数之间的乘积可以产生其他数,如合数。
这使得素数成为数论中重要的研究对象,例如在密码学领域的应用。
虽然素数的规律性和分布特征仍然是数学中的重要研究领域,但目前仍存在很多未解决的问题。
素数的性质和规律性仍然是数学界的研究课题之一。
1/ 1。
数论中的素数分布问题数论是数学的一个分支,研究整数的性质和结构。
在数论中,素数分布问题是一个经典而又复杂的课题。
素数是指只能被1和自身整除的正整数,如2、3、5、7等。
素数分布问题探讨的是素数在整数序列中的分布规律。
在数论的早期发展阶段,人们对素数的分布并没有深入的认识。
然而,随着数论的发展和数学工具的不断完善,人们逐渐发现了一些关于素数分布的重要规律。
首先,素数是无穷多的。
这是古希腊数学家欧几里得在约公元前300年提出的一个经典定理。
他使用了反证法,假设素数只有有限个,然后构造了一个新的素数,与已知的素数不同,从而推翻了假设。
然而,虽然素数是无穷多的,但它们的分布却并不均匀。
这是数论中的一个重要问题,即素数定理。
素数定理是19世纪初由高斯、勒让德和黎曼等数学家提出的。
它表明,当自变量趋于无穷大时,素数的分布密度趋于1/ln(n),其中ln(n)表示自然对数。
素数定理的证明非常复杂,需要运用复分析和解析数论等高级数学工具。
然而,虽然素数定理给出了素数分布的大致规律,但它并不能完全揭示素数的分布特点。
为了更好地研究素数分布问题,数学家们提出了一系列的猜想和假设。
其中最著名的是黎曼猜想。
黎曼猜想是19世纪中叶由德国数学家黎曼提出的,它与素数的零点有关。
黎曼猜想表明,素数的分布与复数平面上的黎曼函数的零点有密切关系。
黎曼猜想至今尚未被证明或推翻,它仍然是数论中的一个重要问题。
许多数学家为了解决黎曼猜想,付出了巨大的努力。
他们使用了各种数学方法和工具,如复分析、模形式、代数几何等,但迄今为止,黎曼猜想仍然是未解决的难题。
除了黎曼猜想,数学家们还提出了其他一些关于素数分布的猜想和假设。
例如,孪生素数猜想认为,存在无穷多对相邻的素数,它们之间的差值为2。
目前,孪生素数猜想已被证明对于无穷多对相邻的素数的存在是成立的,但对于差值为2的素数对的存在仍然未知。
素数分布问题的复杂性使得它成为数论中的一个重要课题。
虽然我们已经取得了一些重要的进展,但仍然有许多未解决的问题等待我们去探索。
素数作为数论中的重要概念,一直以来都受到数学家们的广泛关注。
素数的分布规律一直是数论研究的重点之一。
素数定理是数论中一个非常重要的数学定理,它揭示了素数分布的概率性规律。
本文将介绍素数的定义以及素数分布与素数定理的内涵。
首先,我们来了解什么是素数。
素数指的是只有1和自身两个因数的自然数。
例如,2、3、5、7、11、13等都是素数,而合数则是除了1和自身之外还有其他因数的自然数。
素数是数论研究中的基本单位,对于数论的研究来说具有重要的意义。
素数的分布一直是数学家们关注的重点之一。
早在欧几里得时代,就有人开始研究象素数这样分布不规律的数。
素数的分布在自然数范围内没有明显的规律,而是呈现出随机性的分布。
这也给素数的研究带来了困扰,数学家们长期以来都在寻求找到一种公式或规律来描述素数的分布。
在19世纪末,法国数学家Jacques Hadamard和瑞典数学家Charles de laVallée Poussin独立地给出了素数定理的证明。
素数定理是描述素数分布的一个重要定理,由数论中的大数定律推导而来。
素数定理的表述如下:在不超过自然数x的范围内,素数的数量近似等于x/ln(x)。
这个表达式中的ln(x)是以e为底的对数函数,e是自然对数的底。
素数定理揭示了素数的分布规律,即素数在自然数中的密度逐渐减小,但它们之间的间隔也随之增加。
素数定理的证明过程非常复杂,依赖于高深的数学知识和技巧。
其基本思想是为了证明素数的分布,可以利用素数互异性的性质,即任意两个素数之间的间隔趋近于无穷大,从而推导出素数的分布公式。
素数定理的发展为数论的研究提供了重要的思路和方法。
在素数定理的基础上,数学家们开始研究更深入的关于素数的分布规律,例如孪生素数、素数序列等。
他们不断提出新的猜想和推广,希望能够揭示素数分布的更多内涵。
总的来说,素数分布与素数定理是数论研究中的重要课题。
素数作为数论中的基本单位,其分布规律一直以来都是数学家们关注的焦点。
素数,是指大于1且只能被1和自身整除的自然数。
素数分布规律是数论中的一个重要问题,也是人们长期以来一直在研究的一个领域。
尽管直到现在,并没有找到素数的确定分布规律,但是数学家们已经发现了一些有趣的现象和规律。
首先,我们来看一下素数的分布情况。
众所周知,素数是无限的,但它们并不是均匀分布在自然数中的。
根据素数定理,对于任意的正整数n,小于n的素数的个数大约是n/ln(n),其中ln(n)表示自然对数。
这个定理强调了素数在自然数中的稀疏性,即素数随着n的增大而逐渐稀疏。
然而,素数的分布规律并不总是均匀的稀疏。
在数论中,存在着许多与素数相关的奇妙规律。
首先是素数之间的间隔问题。
人们很容易发现,在自然数中,某些连续的正整数之间不存在素数。
比如,3和5之间没有素数,5和7之间也没有素数。
这样的连续正整数区间被称为“素数间隙”。
数学家克勒勒曼发现,对于任意的正整数k,存在着足够大的n,使得n和n+k之间一定有素数。
这个结果被称为“素数的克勒勒勒曼假设”,虽然至今没有被证明,但已经被大量的实证研究所支持。
另一个与素数分布相关的奇妙规律是素数的孪生素数对。
素数对指的是相差为2的两个素数,比如(3,5)、(11,13)等。
尽管关于素数对的规律还没有被完全理解,但是人们已经发现了无数个素数对。
这个发现被称为“孪生素数猜想”,它认为素数对会无限存在于自然数中。
尽管这个猜想也没有被证明,但大量的数值计算和统计结果表明孪生素数对非常丰富。
除了孪生素数对之外,还有其他类型的素数对。
比如,相差为4的素数对(5,7)、(11,13)等,这被称为“兄弟素数对”;相差为6的素数对(5,11)、(7,13)等,被称为“表弟素数对”。
这些素数对的存在性及分布规律仍然是数论中的一个悬而未决的问题。
总结起来,素数分布规律是数论中一个充满挑战且引人入胜的课题。
尽管目前仍然无法找到确定的分布规律,但数学家们在探索中不断发现新的规律和现象,这不仅提供了新的研究思路,同时也为我们认识数学的奥妙和美丽提供了深刻的启示。
素数分布规律黎曼猜想
素数分布规律黎曼猜想
素数(prime number)是大家在数学课上所学习的非常重要的数学概念,它是一种特殊的自然数,只能被1和它本身整除,而不能被其他任何数整除,比如2,3,5,7,11,13,17,19等。
在很多数学家和科学家研究过素数的分布规律时,这一领域屡屡出现新发现,其中一个最著名的研究成果就是由美国数论学家安娜·黎曼提出的黎曼猜想。
黎曼猜想指出,自然数中只有2和1不是素数,而所有其他的自然数都可以表述为两个(或多个)素数的乘积,也就是说,任何一个大于2的自然数都可以由两个素数相乘而得到。
虽然黎曼猜想被认为是极不可能成立的数学猜想,但是由于这一猜想的重要性,它仍然是许多研究人员持续研究的课题,许多数学家们都曾尝试着对其进行证明或反证,但都未能成功。
因此,黎曼猜想依然是一个未被解决的数学课题,目前还未有足够的证据证明其假设的正确性,也未有足够的反证材料证明其错误性。
- 1 -。
数论中的素数分布定理证明素数是数论中非常重要的概念,它们在数学和密码学等领域有着广泛应用。
素数分布定理是数论中一个重要的结论,它描述了素数在自然数中的分布规律。
本文将通过数学推导,对素数分布定理进行证明。
I. 引言素数是只能被1和自身整除的自然数。
它们是数论中的基本要素,对于整数的因子分解、素因子分解以及算术运算等方面有着重要作用。
素数的分布规律一直是数学家们感兴趣的问题,而素数分布定理则给出了一个近似的描述。
II. 素数分布定理素数分布定理描述了对于给定的自然数n,小于等于n的素数个数π(n)与n的比值的极限为1,即:lim (π(n) / (n / ln(n))) = 1n→∞其中ln(n)是自然对数函数。
这个定理意味着随着自然数n的增加,小于等于n的素数的个数与n的比值逐渐趋近于1。
III. 素数分布定理证明要证明素数分布定理,我们需要引入数论中的一些重要引理和定理。
1. 罗素函数引理罗素函数R(n)定义为小于等于n且与n互质的正整数的个数,即R(n) = π(n)。
根据罗素函数引理,我们有:R(n) = n * Π (1 - 1/p)p | n其中p为n的素因子。
由此,我们可以得到:π(n) = n / Π (1 - 1/p)p | n2. 欧拉定理欧拉定理是数论中一个重要的定理,它描述了对于互质的正整数a 和n,a的欧拉函数值与n满足以下关系:a^φ(n) ≡ 1 (mod n)其中φ(n)表示小于n且与n互质的正整数个数,也称为欧拉函数。
3. 对数积分数学中存在自然对数函数ln(x)的积分形式表示,称为对数积分。
对数积分定义为:Li(x) = ∫ (1 / ln(t)) dtt = 2 to x根据以上引理和定理,我们可以进行素数分布定理的证明。
IV. 素数分布定理证明步骤1. 首先,我们定义一个新的函数J(x) = ∫ (π(t) / t) dt,其中t从2到x。
这个函数的作用是表示小于等于x的正整数中素数的个数。
Primes with product distributionLianzhongLi(Camp Hill Middle School in Sichuan Camp Hill 637 700)Abstract: The positive integer n between two adjacent prime numberssquare, number-ssquare, the well-established number of even product distribution formula (S) and formula (L)(S) π(n)=)()11()(11221n O p p p ik s j j k k kπ+⎥⎥⎦⎤⎢⎢⎣⎡--∑∏==+ (k ks p p log=λ)(L ) π(n)=))(()11(1n O p n lj jπ+-⋅∏= (l p p ilog=ε)Keywords: number theory; prime number; formula CLC number: 015 Document code: Article ID:Primes with product distribution theorem: If 21=p ,32=p ,…k p …,i p ,1+i p forthe second consecutive primes , 212+≤i i p n p <, is not greater than n number ofprime numbersformula for(S ) π(n)=))(()11()(11221n O p p p ik s j j k k kπ+⎥⎥⎦⎤⎢⎢⎣⎡--∑∏==+ (k ks p p log=λ)or(L ) π(n)=))(()11(1n O p n lj jπ+-⋅∏= (l p p i l o g =ε)Proband lemma.Lemma 1: If 21=p ,32=p ,…j p …,i p , consecutive primes, and j p | n, thenthe n-≠ o (mod)The number of values ∏=-⋅=ij ji p n n y 1)11()(。
数论中的素数分布规律数论是数学的一个重要分支,研究的是整数的性质和规律。
而素数则是数论中的一个重要概念,它是指除了1和自身外没有其他因数的自然数。
素数的分布规律一直以来都是数学家们关注的焦点之一,本文将探讨数论中的素数分布规律。
在数论中,有一个著名的定理叫做素数定理。
素数定理是由数学家高斯在1792年提出的,它揭示了素数的分布规律。
素数定理的内容可以简单概括为:在不超过x的自然数中,素数的个数约为x/ln(x)。
也就是说,随着x的增大,素数的个数也会增加,但增长的速度会逐渐减缓。
素数的分布规律不仅仅体现在个数上,还体现在它们之间的间隔上。
素数间的间隔是一个非常有趣的问题,也是数学家们长期以来的研究课题。
素数间的间隔并不是完全随机的,存在着一定的规律。
例如,相邻的素数之间的间隔通常较小,但随着数值的增大,素数之间的间隔会逐渐增大。
这种现象被称为素数间隔的“稀疏性”。
素数分布规律的研究不仅仅局限于一维的数轴上,还可以拓展到更高维度的情况。
例如,数学家黎曼提出了著名的黎曼猜想,它涉及到素数在复数平面上的分布情况。
黎曼猜想认为,素数的分布与复数平面上的解析函数的零点有关。
虽然黎曼猜想至今尚未被证明,但它引发了数学界对素数分布规律的深入研究。
除了素数的分布规律,数论中还有一些其他有趣的问题。
例如,素数的分布是否存在某种规律模式?是否存在一种方法可以预测下一个素数的出现位置?这些问题都是数学家们一直在努力解答的难题。
为了更好地研究素数的分布规律,数学家们提出了一些数论中的重要猜想。
例如,孪生素数猜想认为,存在无穷个相邻的素数对,它们之间的间隔恰好为2。
虽然目前尚未找到无穷多个证明孪生素数猜想的素数对,但已经找到了很多相邻素数间隔为2的例子,这表明孪生素数猜想可能是成立的。
除了孪生素数猜想,还有很多其他的素数猜想,如哥德巴赫猜想、素数元组猜想等。
这些猜想的提出和证明,对于揭示素数分布规律具有重要的意义。
总的来说,素数的分布规律是数论中一个非常有意义的问题。
数论中的素数分布与数学规律解读在数学领域中,素数一直是一个引人入胜的研究课题。
素数是指只能被1和自身整除的正整数,例如2、3、5、7等。
素数的分布规律一直是数论中的一个重要问题,数学家们通过研究素数的分布规律,揭示了许多深刻的数学规律。
本文将通过解读素数分布与数学规律,带您进入数论的奇妙世界。
1. 素数的无穷性素数的无穷性是数论中最为基础的定理之一。
这个定理最早由古希腊数学家欧几里得证明。
他采用了反证法,假设素数只有有限个,然后构造出了一个新的素数,与之前的素数集合不重合,从而证明了素数的无穷性。
这个证明方法至今仍然被广泛应用。
2. 素数的分布素数的分布一直是数论中的一个重要问题。
素数并不是均匀地分布在自然数中,而是呈现出一定的规律性。
例如,素数定理指出,当自然数n趋向无穷大时,小于等于n的素数的个数约为n/ln(n),其中ln(n)表示自然对数。
这个定理是由数学家高斯和黎曼等人相继提出的,是数论中的一个里程碑。
3. 素数的孪生素数孪生素数指的是相差2的两个素数,例如(3, 5)、(11, 13)等。
孪生素数的分布一直是数论中的一个热门问题。
到目前为止,人们还无法证明存在无穷多对孪生素数,但已经找到了许多孪生素数对。
例如,最小的孪生素数对是(3, 5),而最大的已知孪生素数对是(2996863034895*2^1290000±1)。
4. 素数的素数定理素数定理是数论中的一个重要定理,它描述了素数的分布规律。
素数定理指出,当自然数n趋向无穷大时,小于等于n的素数的个数约为n/ln(n)。
素数定理的证明过程非常复杂,需要运用到复分析和解析数论等高级数学工具。
这个定理的发现对于数论的发展具有重要意义。
5. 素数的素数分布假设素数分布假设是数论中的一个猜想,它描述了素数的分布规律。
素数分布假设指出,当自然数n趋向无穷大时,小于等于n的素数的个数约为n/ln(n)。
虽然这个猜想在计算上与素数定理相吻合,但至今仍然没有得到严格的证明。
素数的序乘以及与序乘相关的素数的生成公式1陈惟昌1,陈志义2,陈志华1,王自强11卫生部中日友好临床医学研究所,北京 (100029)2中国科学院自动化研究所国家模式识别实验室,北京 (100080)E-mail: chenweic@摘要:素数的序乘是指素数按大小顺序的连乘积。
第n个素数的序乘称为第n个欧几里德合数。
根据欧几里德合数可将自然数列依次划分为欧几里德区间。
欧几里德合数及其后续的各素数之和组成的素数系列称为超序素数系列。
应用超序素数的生成公式可以产生一系列的大型素数。
这在RSA密钥的编码中有一定实用价值。
本文对与序乘相关素数的性质进行了讨论,并提出与序乘有关素数的综合猜想。
关键词:素数序乘;欧几里德区间;超序素数;素数生成公式;RSA密钥系统中图分类号:0156.11. 引言多年来数学家一直致力于寻找产生素数的普适公式。
最著名的如麦森数M p = 2p −1,费马数F m = 22^m+1以及欧拉公式f(n)= n2 + n + 41,欧拉公式可产生41个素数(当n = 0,1,… 40时)。
但f (41)却为合数[1]。
麦森数的发现与测试,十分复杂,而费马数F m当m>4时是否仍为素数尚不明确。
本文提出应用素数序乘公式Pω(n, d)=P n(!)+P n+d以产生任意大的素数的方法。
式中P n(!)为素数P n的序乘。
100位以上的大型素数在RSA密钥的编码中有一定实用价值。
2. 素数的序乘2.1 序乘的概念参考数字阶乘的定义:n! = 1• 2 • … • (n −1) • n ……………………………………………(2.1) 以及0! = 1 …………………………………………………………………(2.2)可以对有序函数或数列的序乘(sequential factorial,或简称sequorial)进行定义:X n(!) = X1 • X2 • … • X n-1 • X n ………………………………………(2.3) 以及X0(!) = 1 ………………………………………………………………(2.4)n称为序乘的阶数(rank)。
梅森素数分布规律精确公式及其证明方法梅森素数是指形如2^p-1的素数,其中p也是素数。
这种特殊的素数具有很多重要的应用,因此研究梅森素数的分布规律及其精确公式一直是数学家们关注的焦点。
最近,一组数学家研究出了梅森素数的分布规律精确公式及其证明方法。
该公式表明:在自然数范围内,梅森素数的数量与p的值之间存在一定关系,即:
M(p) = (2^p-1)/(p*ln2)
其中,M(p)表示范围在2^p-1以内的梅森素数的数量。
这一公式可以非常准确地计算梅森素数的数量,并且经过了严密的证明。
该证明方法采用了数学中的一些高级技术,如解微分方程、利用级数展开、利用调和级数等,充分利用了数学学科的交叉性。
通过对这些技术的灵活运用,数学家们成功地证明了该公式的正确性,为相关领域的研究提供了极大的帮助。
总的来说,这一公式的发现为梅森素数的研究提供了更深入和准确的分析工具,对于相关领域的应用和发展具有重要的意义。
素数分布定律:素数分布定律是指素数的分布在自然数中的特性,又称为高斯定理。
这个定理的结论是:在自然数序列中,素数的密度大约是1/ln(x),其中x是正整数,ln(x)表示自然对数,并且随着x的增大而接近1/x。
也就是说,当x越大时,素数的出现次数越多。
素数分布定律有助于研究素数的性质,也是许多高等数学研究中的重要依据。
素数分布定律是1792年由德国数学家卡尔·德尔弗曼所提出的,他使用“奇偶定理”来论证素数分布定律。
他提出的定理是:在区间[N,2N]内的素数的数目将会接近N/ln(N),其中N是正整数,ln(N)表示自然对数。
卡尔·德尔弗曼用这个定理证明了素数分布定律。
1830年,德国数学家卡尔·贝尔曼提出了一个更强的定理,即素数的分布几乎符合1/ln(x)的规律,其中x是正整数,ln(x)表示自然对数,并且随着x的增大而接近1/x。
卡尔·贝尔曼证明了素数分布定律,他的定理比卡尔·德尔弗曼的定理更强大。
1949年,美国数学家阿里·费希尔提出了一个关于素数分布定律的更强大的定理,该定理称为“费希尔定理”,该定理宣称,如果在范围[1,n]内有p个素数,那么在范围[n+1,2n]内素数的数目将接近p*ln(2),其中ln(2)表示自然对数,并且随着n的增大而接近2/2。
素数分布定律不仅有助于研究素数的性质,也是许多高等数学研究中的重要依据。
它提供了一种重要工具,可以用来检测质数,以及研究质数的分布特性,并且可以用来解决一些复杂的数学问题,例如素数的累加函数,质数的累乘函数等。
素数分布定律的研究也可以让我们深入了解素数的性质,从而更好地利用它们。
例如,素数的分布定律可以用来估算质数的个数,以及实际上一定范围内的质数之间的关系。
此外,它还可以用来构建和解决数论方面的问题,以及解决一些复杂的数学问题,例如素数的累加函数,质数的累乘函数等。
总之,素数分布定律是一种重要的数学定律,它提供了一种有用的方法,可以用来检测质数、研究质数的性质,也可以用来解决一些复杂的数学问题,如素数的累加函数,素数的累乘函数等。
数论中的素数分布定理证明数论是研究整数性质的数学分支,其中素数(只能被1和自身整除的正整数)一直是研究的重点之一。
素数分布定理是关于素数分布规律的数论定理,它描述了素数在自然数中的分布情况。
本文将探讨素数分布定理的证明过程。
1. 质数的定义和性质首先,我们需要回顾质数的定义和性质。
质数是指除了1和本身外,不能被其他整数整除的整数。
例如,2,3,5,7等都是质数。
对于任意一个整数n,我们可以将其因式分解为质数的乘积。
例如,12可以分解为2×2×3,而30可以分解为2×3×5。
这里的2,3和5都是质数。
2. 素数定理素数定理是素数分布定理的基础。
它由欧拉在18世纪提出,通过将自然对数函数与质数进行关联来描述素数的分布情况。
具体来说,素数定理表明,当n趋向于无穷大时,小于等于n的素数的个数π(n)近似等于n/ln(n),其中ln(n)表示以e(自然对数的底)为底的对数。
3. 素数分布定理证明的思路素数定理虽然提供了一个近似公式,但并没有给出确切的公式来描述素数的分布规律。
素数分布定理的证明过程则需要通过一系列数学方法和推理来得出结论。
证明素数分布定理的思路可以概括为以下几个步骤:步骤1:首先,我们通过数学推理证明素数有无穷多个。
这一步骤的证明可以使用反证法,假设素数的个数有限,并通过构造出一个比已知素数更大的素数来推翻这一假设。
步骤2:然后,我们需要定义一个关于素数分布的函数。
这个函数可以用于描述素数在自然数中的分布情况,即表示小于等于n的素数的个数。
步骤3:接下来,我们将利用数学分析的方法来研究这个函数。
通过分析函数的性质和变化规律,我们可以得出关于素数分布的一些结论。
步骤4:最后,基于步骤3中得出的结论,我们可以利用数学的严密推理和证明方法,得出素数分布定理的证明。
4. 素数分布定理的证明过程素数分布定理的证明过程非常复杂,需要运用大量的数学理论和工具。
在这里,我们无法详述每一个细节,但可以简单概述一下证明的思路。