艾宾浩斯背单词计划表+原理+使用方法
- 格式:docx
- 大小:18.65 KB
- 文档页数:3
艾宾浩斯记忆法10天背单词计划表摘要:1.艾宾浩斯记忆法简介2.艾宾浩斯记忆法背单词计划表3.10 天背单词计划的实施步骤4.10 天背单词计划的效果与建议正文:艾宾浩斯记忆法是由德国心理学家艾宾浩斯提出的一种记忆方法,该方法依据人体遗忘曲线,通过科学、有规律的重复记忆,达到稳固记忆的效果。
艾宾浩斯记忆法背单词计划表是将艾宾浩斯记忆法应用到英语单词记忆中的一种方法,其核心理念是利用遗忘曲线,通过不断复习,提高单词的记忆效果。
艾宾浩斯记忆法10 天背单词计划表的具体实施步骤如下:1.准备阶段:首先,需要准备一本英语单词书,并将自己已经掌握的单词划掉,将剩余的单词分为若干个部分。
同时,需要准备一块手表或手机,用于计时。
2.快速背诵阶段:在第一天,将第一部分单词进行连续、科学、有规律的背诵7 遍,以达到瞬时记忆的效果。
接下来的九天,每天将前一天背诵的单词重复记忆7 遍,并在每个记忆周期结束后进行复习。
3.复习阶段:在第十天,将前九天背诵的所有单词进行复习。
之后,每隔1 天、2 天、4 天、7 天进行复习,以达到稳固记忆的效果。
艾宾浩斯记忆法10 天背单词计划表的效果主要体现在以下几个方面:1.提高记忆效果:通过科学、有规律的重复记忆,降低了单词的遗忘率,提高了记忆效果。
2.提高学习效率:该方法通过合理安排学习时间和复习时间,使得学习者在有限的时间内,达到最佳的学习效果。
3.培养良好的学习习惯:该方法要求学习者在10 天内连续、不间断地学习,有助于培养学习者的毅力和良好的学习习惯。
对于艾宾浩斯记忆法10 天背单词计划表的建议如下:1.根据个人情况,合理安排学习时间和复习时间。
2.在背诵过程中,要保持注意力集中,以提高记忆效果。
3.在复习过程中,可以尝试多种复习方式,如朗读、默写等,以提高复习效果。
4.对于长期记忆,可以尝试使用其他记忆方法,如关联记忆法、分类记忆法等,以巩固记忆效果。
总之,艾宾浩斯记忆法10 天背单词计划表是一种科学、有效的记忆方法,适用于所有需要背诵单词的英语学习者。
艾宾浩斯循环记忆法怎样运用具体的应用方法1、先记第一组单词,每个记2遍,尽力记,不要停留,要控制住时间。
5个单词全记完后,再重复1遍,先不要管能否记住。
这样每个单词记忆3次.2、记忆第二组单词,方法同上,也是每个记3遍。
3、然后把第一、第二组的10个单词复习1遍,以避免遗忘曲线下滑,及时复习非常重要。
这是第4次记忆。
4、记忆第三组单词,每个2遍,再重复1遍.5、记忆第四组单词,每个记2遍,再复习1遍。
6、然后把第三、第四组单词复习1遍。
7、再从第一—第四组全部复习1遍,这样前4组单词每个记忆了5次接下来的第五—第八组单词的记法同前四组。
记完后从第一—第八组再复习1遍。
这样每个单词记忆了6次.第九至第十组记完后,再从头到尾进行一次总复习,至此,前8组单词每个共记忆了7次,后两组记忆了5次。
在循环记忆中,容易记的单词,记一两遍就能记住了,再重复就是浪费时间了。
而对于难记的,记多次也记不住。
所以,对容易记的单词,挑选出来,做个记号,就不再参加循环记忆了;难记的要重点突破,多安排记忆。
对于循环记忆法,还可以采取每记完一组就把前面记过的单词再重复记忆一次的方法。
同样的记在过程中,把容易记的剔除,重点记忆不好记的.虽然循环记忆法能在短时间内记住大量外语单词,但它仍属于死记硬背的机械记忆方法,要靠不断的重复刺激,才能奏效.记忆强度大,要花费好多精力。
这种方法,充分利用了艾宾浩斯的遗忘规律,在我们快要遗忘之时,又经予了必要的重复刺激,从而加深了印象。
如果我们充分利用这一形式,但在记的过程中却采用超级记忆方法来联想记忆,也就是说“旧瓶装新酒”—把超级记忆法与循环记忆法揉合在一起来记忆,那么,双管齐下,就可保持长时间的记忆。
用循环记忆法背英语单词的具体方法1) 将你的桌面收拾干净,将80或160个单词卡片每5个一组,整齐排放在桌子上。
开始时可以只记忆80个单词,以后觉得有能力时,再增加到100个、120个、140个、160个.一般人用循环记忆法,80个英语单词用不到一小时便可记完,160个英语单词则要一个多小时。
艾宾浩斯记忆曲线背单词法在背单词的时候,大家会普遍面临一个问题,就是遗忘。
战胜遗忘的关键在于单词的重现,那方法有很多,你可以从交流、电影、课本各个途径获得与某个已经记忆过的单词再次碰面的机会。
但是,如果你面临中考、高考、雅思等考试的压力,那不妨用以下这个最为有效的方法防止遗忘——艾宾浩斯记忆曲线背单词法。
我将详细说明其运作原理以及操作方法,简单易上手!一、艾宾浩斯遗忘规律德国心理学家赫尔曼·艾宾浩斯研究发现,遗忘在学习之后立即开始,而且遗忘的进程并不是均匀的。
最初遗忘速度很快,以后逐渐缓慢。
具体来说,艾宾浩斯通过选用一些没有意义的音节和毫无规律的字母组合,即由若干音节字母组成、能够读出、但无内容意义,如asww、cfhhj、ijikmb、rfyjbc等作为记忆材料进行实验,并通过死记硬背的学习方法机械复述识记,随后进行记忆力测试,计算保持和遗忘的情况,并最终得到了一些实验数据。
结果发现,在记忆完毕后20分钟,遗忘率高达41.8%,在一小时过后,人们只记得44.2%,一天过后记忆里还剩下33.7%,一周后仅剩下25%左右,而一个月后记忆量低至21%。
总的来说,遗忘在学习之后立即开始,而且遗忘的进程并不是均匀的。
最初遗忘速度很快,以后逐渐缓慢。
举个例子讲,假设今天背了100个单词,如果记忆效果不错,那刚背完的时候可以记得全部单词;20分钟后,我们大概只记得58个;一小时后,剩下44;一天之后,大概记得34个;一周后25个;一个月后21个。
因此,要在某些重要的最佳时间节点不断复习,达到事半功倍的效果!二、制作单词背诵计划表的原理如果我们遵循这种遗忘规律,进行及时且有规律的复习,那我们的词汇量就会稳步上升。
那么遵循艾宾浩斯提出相关规律,我们开始制作单词背诵计划表。
首先,我们在背诵了一定的量的单词后,尽量做到在5分钟、30分钟、12小时、1天、2天、4天、7天和15天进行分散复习,这样的记忆效果最佳。
新东方的艾宾浩斯记忆法背单词的表格及说明一览循环单词记忆法——新东方老师推荐1 2 3 4 5 67 8 9 10上午 A B C D EF G H I J晚上 A AB BC ACD BDE CEF DFG AEGH BFHI CGIJ11 12 13 14 1 5 16 17 18 19 20上午 D E F G AB C D E F晚上HJ I JH I J21 22 23 24 2 5 26 27 28 29 30上午G H I JA B晚上31 32 33 34 3536 37 38 39 40上午 C D E F GH I J晚上循环单词记忆法:此表是将所有单词分为10部分,每个字母代表一部分;数字代表天数。
循环的周期为:5分钟;30分钟;12小时;1天;2天;4天;7天;14天。
1-10天的上午的那一遍实际为三遍(每5分钟回顾一下前面背的单词,每半小时再回顾前面背的单词,时间不必过于精确,自己估计就行)。
空格的那些天按说是可以不背的,但就个人经验而言,单词不可一日不背,我建议每天都要背单词,直到考试。
背单词时不要一边背一边写,对我们来讲基本没有什么作用,just看就可以了,也可以拿支笔做些标记。
你可能觉得一天背那么多单词不可能,我开始也是这么认为的,那是因为我们在背每一个单词时花费了太多的时间。
原则上背每个单词的时间不应该超过15秒,再多了其实也是无用功。
背单词时不要去记它的拼写,目前最重要的是明白它们的意思;也不要指望一遍就能把他们背住和由于遗忘而烦躁,因为这些都是正常现象,单词是在一遍一遍的循环过程中记住的。
背单词的过程是一个非常痛苦的过程,特别是第4天到第10天(尤其是8、9、10三天),中间会让人有生不如死的感觉,但是贵在坚持,只要坚持到底你会发现自己的单词量在不知不觉中突飞猛进。
以上是新东方老师传授的方法和我自己的一些经验,如果你在背单词中总结出了更为适合你的方法那就按自己的,适合自己的才是最好的,我说的这些仅供参考。
艾宾浩斯记忆曲线背单词(转)一、复习点的确定(根据艾宾浩斯记忆曲线制定):1.第一个记忆周期:5分钟2.第二个记忆周期:30分钟3.第三个记忆周期:12小时4.第四个记忆周期:1天5.第五个记忆周期:2天6.第六个记忆周期:4天7.第七个记忆周期:7天8.第八个记忆周期:15天二、背诵方法:1.初记单词时需要记忆的内容:a)单词外观,b)单词的中文释义,c)单词的记忆法2.每个list的具体背诵过程(每个list按12页,每页10个单词计):a)背完一页(大约5分钟),立即返回该页第一个单词开始复习(大约几十秒)b) 按上面方法背完1~6页(大约在30分钟),回到第1页开始复习(两三分钟)c) 按上面同样方法背完7~12页,一个list结束d) 相当于每个list被分为12个小的单元,每个小的单元自成一个复习系统;每6个小单元组成一个大单元,2个大单元各自成为一个复习系统。
背一个list总共需要一小时左右的时间。
3.复习过程:a)复习方法:遮住中文释义,尽力回忆该单词的意思,几遍下来都记不住的单词可以做记号重点记忆。
b)复习一个list所需的时间为20分钟以内c) 当天的list最好在中午之前背完,大约12小时之后(最好睡觉前)复习当天所背的listd) 在其后的1,2,4,7,15天后分别复习当日所背的list4.注意事项:a) 每天连续背诵2个list,并完成复习任务;b) 复习永远比记新词重要,要反复高频率的复习,复习,再复习;c)一天都不能间断,坚持挺过这15天,之后每天都要花大约1小时复习;5.时间表(左边序号表示第几天,*号之后表示复习内容)1. list1—2 *list1-22. list3-4 *list1-2 list3-43。
list5—6 *list3—4 list5—64. list7—8 *list1-2 list5-6 list7-85. list9-10 *list3-4 list7—8 list9-106。
艾宾浩斯背诵计划表摘要:一、艾宾浩斯背诵计划表的概述二、艾宾浩斯背诵计划表的原理与应用三、如何制定艾宾浩斯背诵计划表四、艾宾浩斯背诵计划表的实用案例分享五、总结与建议正文:一、艾宾浩斯背诵计划表的概述艾宾浩斯背诵计划表是一种根据遗忘曲线理论设计的记忆方法。
德国心理学家艾宾浩斯通过实验发现,人们在记忆过程中,遗忘的速度先快后慢。
因此,他提出了艾宾浩斯遗忘曲线。
艾宾浩斯背诵计划表就是根据这一曲线,合理安排复习时间,从而提高记忆效果。
二、艾宾浩斯背诵计划表的原理与应用艾宾浩斯背诵计划表的核心理念是合理安排复习时间,以防止遗忘。
根据艾宾浩斯遗忘曲线,人们在刚刚学习完一个新知识后,遗忘速度较快。
随着时间的推移,遗忘速度逐渐减慢。
因此,在学习过程中,我们需要在遗忘速度较快的时候进行复习,以巩固记忆。
具体应用时,可以将需要背诵的内容分成若干个小部分,每个小部分学习完毕后,分别在不同时间进行复习。
这样,既可以确保在遗忘速度较快的时候进行复习,又可以避免过度重复,提高记忆效果。
三、如何制定艾宾浩斯背诵计划表制定艾宾浩斯背诵计划表需要注意以下几点:1.合理划分背诵内容:将需要背诵的内容分成若干个小部分,每个小部分尽量保持相似难度,以便安排复习。
2.设定复习时间:根据艾宾浩斯遗忘曲线,设定合适的复习时间。
一般来说,初次复习间隔时间为5分钟,后续复习间隔时间为逐渐增加,例如:15分钟、30分钟、1小时、2小时等。
3.调整复习策略:在实际背诵过程中,根据个人记忆情况和复习效果,适时调整复习策略和时间。
四、艾宾浩斯背诵计划表的实用案例分享例如,你需要背诵一首诗,可以将诗分成若干行,每行作为一个小部分。
在学习完第一行后,等待5分钟进行初次复习;学习完第二行后,等待15分钟进行复习;学习完第三行后,等待30分钟进行复习,以此类推。
在复习过程中,要注意全面覆盖每一行,避免遗漏。
五、总结与建议艾宾浩斯背诵计划表是一种有效的记忆方法,可以帮助我们提高背诵效果。
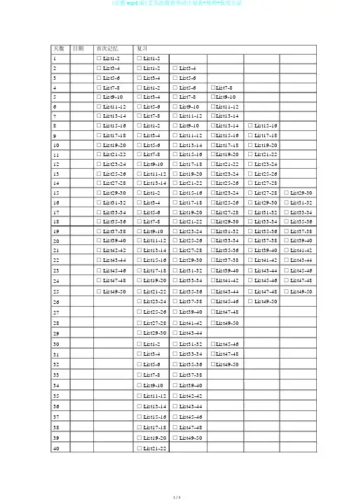
天数日期首次记忆复习1 □ List1-2 □ List1-22 □ List3-4 □ List1-2 □ List3-43 □ List5-6 □ List3-4 □ List5-64 □ List7-8 □ List1-2 □ List5-6 □List7-85 □ List9-10 □ List3-4 □ List7-8 □List9-106 □ List11-12 □ List5-6 □ List9-10 □List11-127 □ List13-14 □ List7-8 □ List11-12 □List13-148 □ List15-16 □ List1-2 □ List9-10 □List13-14 □ List15-169 □ List17-18 □ List3-4 □ List11-12 □List15-16 □ List17-1810 □ List19-20 □ List5-6 □ List13-14 □List17-18 □ List19-2011 □ List21-22 □ List7-8 □ List15-16 □List19-20 □ List21-2212 □ List23-24 □ List9-10 □ List17-18 □List21-22 □ List23-2413 □ List25-26 □ List11-12 □ List19-20 □List23-24 □ List25-2614 □ List27-28 □ List13-14 □ List21-22 □List25-26 □ List27-2815 □ List29-30 □ List1-2 □ List15-16 □List23-24 □ List27-28 □ List29-3016 □ List31-32 □ List3-4 □ List17-18 □List25-26 □ List29-30 □ List31-3217 □ List33-34 □ List5-6 □ List19-20 □List27-28 □ List31-32 □ List33-3418 □ List35-36 □ List7-8 □ List21-22 □List29-30 □ List33-34 □ List35-3619 □ List37-38 □ List9-10 □ List23-24 □List31-32 □ List35-36 □ List37-3820 □ List39-40 □ List11-12 □ List25-26 □List33-34 □ List37-38 □ List39-4021 □ List42-42 □ List13-14 □ List27-28 □List35-36 □ List39-40 □ List41-4222 □ List43-44 □ List15-16 □ List29-30 □List37-38 □ List41-42 □ List43-4423 □ List45-46 □ List17-18 □ List31-32 □List39-40 □ List43-44 □ List45-4624 □ List47-48 □ List19-20 □ List33-34 □List41-42 □ List45-46 □ List47-4825 □ List49-50 □ List21-22 □ List35-36 □List43-44 □ List47-48 □ List49-5026 □ List23-24 □ List37-38 □List45-46 □ List49-5027 □ List25-26 □ List39-40 □List47-4828 □ List27-28 □ List41-42 □List49-5029 □ List29-30 □ List43-4430 □ List1-2 □ List31-32 □List45-4631 □ List3-4 □ List33-34 □List47-4832 □ List5-6 □ List35-36 □List49-5033 □ List7-8 □ List37-3834 □ List9-10 □ List39-4035 □ List11-12 □ List42-4236 □ List13-14 □ List43-4437 □ List15-16 □ List45-4638 □ List17-18 □ List47-4839 □ List19-20 □ List49-5040 □ List21-2241 □ List23-2442 □ List25-2643 □ List27-2844 □ List29-3045 □ List31-3246 □ List33-3447 □ List35-3648 □ List37-3849 □ List39-4050 □ List41-4251 □ List43-4452 □ List45-4653 □ List47-4854 □ List49-501. 艾宾浩斯的忘记曲线的原理是说:人的忘记速度在最先是相当快的,而后减慢,然后再趋缓,渐渐靠近水平。
艾宾浩斯记忆法10天背单词计划表艾宾浩斯记忆法10天背单词计划表在我们的日常生活中,学习新的知识和记住重要的信息是一项关键任务。
在当今信息爆炸的时代,掌握有效的记忆技巧变得尤为重要。
而艾宾浩斯记忆法,作为一种经过验证并广泛应用的记忆技巧,为我们提供了一种高效的方法来背诵单词、记忆数字、学习史实等。
本文将介绍一种基于艾宾浩斯记忆法的10天背单词计划表,帮助你有效提升单词记忆能力。
第一天:背诵20个单词为了确保在这个计划表中每天都有适当的挑战,并且没有过度压力,第一天我们将从简单而常见的20个单词开始。
这些单词可以是你身边的物品名称、日常生活中经常使用的动词或形容词等。
请确保你真正了解这些单词的意思和用法。
第二天:复习第一天的20个单词,并添加20个新单词在第二天,我们会回顾第一天所学的20个单词,确保你可以顺利记住它们。
我们还会添加其他20个新的单词,这些单词应该与前一天的单词相关,以帮助你建立联系和记忆。
这种渐进的学习方式可以帮助你巩固前一天所学的内容,并逐步扩展你的词汇量。
第三天:复习前两天的40个单词,并添加20个新单词第三天的重点是回顾第一和第二天所学的单词,确保你可以准确地回忆出它们的意思和用法。
我们还会再次添加20个新的单词,并确保这些单词与前两天的单词有关联。
这种渐进学习的方法可以帮助你巩固已学的单词,并以更加有趣和有意义的方式扩展你的词汇量。
第四天:复习前三天的60个单词,并添加20个新单词第四天,你需要再次回顾前三天所学的60个单词,并确保你可以准确地记住它们。
我们会添加20个与前三天单词相关的新单词。
这个阶段是整个计划表的关键,因为你需要再次回顾已学的内容,并扩展你的词汇量,以便在以后的学习中更好地理解和运用新单词。
第五天:复习前四天的80个单词,并添加20个新单词第五天的任务是回顾前四天所学的80个单词,并确保你可以准确地回忆出它们的意思和用法。
我们还会添加20个与前四天单词相关的新单词。
第一天:认识艾宾浩斯记忆法今天我要和大家共享的是关于艾宾浩斯记忆法的一些内容,这是一种非常有效的记忆方法,尤其适用于背单词。
艾宾浩斯记忆法最初是由德国心理学家赫尔曼·艾宾浩斯在19世纪提出的,它是一种通过反复复习来巩固记忆的方法,可以帮助我们更好地记忆和掌握知识。
第二天:了解记忆曲线艾宾浩斯记忆法的核心就是依据记忆曲线的原理,这条曲线描述了我们对新知识的遗忘进程。
在学习新知识的过程中,我们往往会在学习后的一段时间内迅速遗忘,然后随着不断的复习,我们的遗忘速度会逐渐减慢。
而艾宾浩斯记忆法正是利用了这一点,通过不断的复习来延长我们对知识的记忆。
第三天:利用时间分配来安排记忆在艾宾浩斯记忆法中,时间的安排非常重要。
通过详细的计划和安排,我们可以合理地利用时间,达到事半功倍的效果。
尤其对于背单词来说,通过合理地安排每天的时间来复习单词,可以更有效地巩固记忆,避免遗忘。
第四天:规划10天背单词计划表根据艾宾浩斯记忆法,制定一个10天的背单词计划表非常重要。
在这个计划表中,我们可以根据单词的难易程度和自己的学习时间来合理地安排每天需要复习的单词量,以达到最好的效果。
这样的规划不仅可以帮助我们更好地记忆单词,还可以提高学习效率。
第五天:记忆单词的技巧在执行艾宾浩斯记忆法的过程中,掌握一些记忆单词的技巧也非常重要。
可以尝试使用联想、图像化、拓展词汇、进行语境学习等方法来帮助记忆。
这些技巧可以让记忆更加深刻而有趣,提高记忆效果。
第六天:进行不同层次的复习在艾宾浩斯记忆法中,不同层次的复习也是非常重要的。
通过及时复习、定期复习和针对性复习,我们可以更好地巩固记忆,提高记忆效果。
尤其对于背单词来说,通过不同层次的复习,我们可以更好地掌握单词,避免遗忘。
第七天:总结和回顾10天的学习在完成了10天的背单词计划表之后,进行总结和回顾非常重要。
通过总结和回顾,我们可以深刻地理解和掌握新学到的知识,加深记忆。
对于背单词来说,总结和回顾也可以帮助我们发现自己的学习方法和技巧,提高学习效率。
艾宾浩斯遗忘曲线记忆法背单词在我们学习的过程中,遗忘是一个无法避免的现象。
为了更好地记住所学内容,艾宾浩斯遗忘曲线记忆法应运而生。
本文将介绍艾宾浩斯遗忘曲线记忆法背单词的原理和具体操作步骤,帮助大家更高效地学习单词。
一、艾宾浩斯遗忘曲线简介艾宾浩斯遗忘曲线是德国心理学家艾宾浩斯通过实验研究发现的。
曲线表明,在学习后的短时间内,遗忘速度较快,随着时间的推移,遗忘速度逐渐减慢。
这为我们提供了一个重要的启示:及时复习是防止遗忘的关键。
二、艾宾浩斯遗忘曲线记忆法原理艾宾浩斯遗忘曲线记忆法的核心思想是根据遗忘规律安排复习时间,从而提高记忆效果。
该方法认为,人的记忆周期分为短期记忆和长期记忆。
通过在遗忘临界点进行复习,可以将短期记忆转化为长期记忆。
三、应用艾宾浩斯遗忘曲线记忆法背单词的具体步骤1.准备单词列表:将需要学习的单词整理成列表,以便于跟踪复习进度。
2.制定复习计划:根据艾宾浩斯遗忘曲线,设定单词的学习和复习时间。
通常,首次复习时间为学习后的5分钟、30分钟、1小时、2小时、4小时、8小时、1天、2天、4天、7天、15天。
后续复习时间可以根据个人记忆情况和经验进行调整。
3.坚持复习:按照复习计划,按时进行单词复习。
在复习过程中,注意采用多种方法,如默写、组词、例句等,以提高记忆效果。
4.调整计划:随着学习的深入,可以根据自己的记忆效果调整复习计划,使之更加合理高效。
四、注意事项及建议1.适量学习:不要一次性学习过多的单词,以免记忆负担过重。
一般建议每天学习20-30个新单词。
2.保持耐心:学习过程中,遗忘是正常的。
遇到遗忘现象不要气馁,坚持复习即可。
3.创造语境:在学习过程中,尽量将单词融入到实际语境中,如例句、短文等,有助于加深记忆。
4.定期总结:定期对所学内容进行总结,可以帮助巩固记忆,提高学习效果。
通过以上介绍,相信大家对艾宾浩斯遗忘曲线记忆法背单词已经有了更深入的了解。
艾宾浩斯遗忘曲线背单词计划表
艾宾浩斯遗忘曲线是一个用来解释人们遗忘速度的模型。
这个模型依据记忆的属性来预测过去学习的内容何时会被忘记。
在背单词的过程中,遵照艾宾浩斯遗忘曲线制定的计划表可以更加有效地提高学习效率。
以下是一个例子:
1.学习时期(Day 1-3)
在这个时期,你需要看完单词卡片,学习如何正确发音并且记住单词的意思。
重复朗读每个单词,并且尝试关联每个单词的意思和画面,以此来帮助记忆。
2.回顾时期(Day 4)
在第四天,进行回顾。
重复朗读和复习全部的单词。
这将帮助你记住所有的单词,并且巩固你的记忆。
3.第一个复习周期(Day 7)
在第7天,回到你学过的单词中,找到一个需要巩固的单词,重复朗读并且回忆它的意思。
如果你能正确地回忆它的内容,那么就继续向下一个单词过渡。
如果不能,就在卡片上标记出来并在第8天再试一次。
4.第二个复习周期(Day 15)
在第15天,你会回到之前出现问题的单词上进行复习。
重复朗读并回忆它的意思。
如果你能正确回忆,就继续向下一个单词过渡。
如果不能,就在卡片上标记出来并在第16天再试一次。
5.第三个复习周期(Day 30)
在第30天,回到标记出来的单词上进行复习。
重复朗读并回
忆它的意思。
如果你能正确回忆,就将标记移除并继续向下一个单词过渡。
如果不能,将标记保留并在下一个周期再试一次。
以上的计划表是一个简单的例子,可以根据个人需要进行调整。
重要的是要保证复习周期固定而且有规律,这样能够确保你能够在遗忘曲线上保持稳定。
艾宾浩斯遗忘曲线背单词计划表
艾宾浩斯遗忘曲线背单词计划表是一种有效的背诵单词的方法,
它又称为艾宾浩斯记忆曲线。
这是源于20世纪20年代德国心理学家
艾宾浩斯所发现的记忆力衰减规律,他发现人们在学习某一段时间后,经过一段时间就会有大量信息遗忘。
艾宾浩斯遗忘曲线背单词计划表
按照艾宾浩斯的认知力衰减原则,将单词背诵的频率划分为五个时期,在不同的时期进行词汇的复习,促使人们的记忆更加持久稳固。
(1)第一次复习:最初学习某一单词的当天,首先要复习一遍。
如果单词量太大,可以分段复习,不超过1小时。
(2)第二次复习:一天后,复习第一次学习的内容,要求速度更快,
判断词汇的掌握程度。
(3)第三次复习:3天后,再次复习第一次复习的内容,加深对
单词的记忆,可以将考查内容扩大至更多相关的表达形式,如例句,
另外可以把第一次学习的单词与第三次复习的单词进行比较,观察记
忆的差异。
(4)第四次复习:7天后,进行第二次、第三次复习的内容,主
要是熟悉单词的意思、拼写、用法等,进行针对性的复习。
(5)第五次复习:30天后,再次复习上面的内容,此时,大部分
的单词都应该被掌握,这个时候可以借助于实际场景,让单词深入人心。
艾宾浩斯遗忘曲线背单词计划表不仅能够辅助学习者记忆单词,
还可以帮助他们有效率地掌握语言技能。
根据研究表明,这种方法在
学习单词效率方面很有帮助,能够帮助学习者节约大量的时间,而且
在记忆方面的效果也比较稳定,可以省去记忆技巧的学习时间。
艾宾浩斯记忆曲线背单词(附完整计划表)背单词的过程中,人们常常会遇到遗忘的问题。
为了克服这个问题,可以通过多种方式来让单词重现,例如通过交流、电影、课本等途径。
但是,如果你需要应对中考、高考、雅思等考试的压力,那么最有效的方法就是使用艾宾浩斯记忆曲线背单词法。
下面我将详细介绍这种方法的运作原理和操作方法,帮助你轻松掌握。
一、XXX遗忘规律德国心理学家XXX的研究发现,遗忘会在研究之后立即开始,并且遗忘的进程并不是均匀的。
最初的遗忘速度非常快,之后逐渐缓慢。
XXX通过选用一些没有意义的音节和毫无规律的字母组合作为记忆材料进行实验,通过死记硬背的研究方法机械复述识记,并进行记忆力测试,最终得出了一些实验数据。
实验结果表明,在记忆完毕后的20分钟内,遗忘率高达41.8%。
一小时后,人们只记得44.2%。
一天后,记忆里还剩下33.7%。
一周后,只剩下25%左右。
一个月后,记忆量低至21%。
总的来说,遗忘在研究之后立即开始,并且遗忘的进程并不是均匀的。
最初的遗忘速度非常快,之后逐渐缓慢。
举个例子,假设今天背了100个单词,如果记忆效果不错,那么刚背完的时候可以记得全部单词。
20分钟后,我们大概只记得58个。
一小时后,剩下44个。
一天之后,大概只记得34个。
一周后,只记得25个。
一个月后,只剩下21个。
因此,在某些重要的时间节点不断复,可以达到事半功倍的效果。
二、制作单词背诵计划表的原理要制作一个有效的单词背诵计划表,需要根据XXX遗忘规律来安排复时间。
在刚开始研究单词的时候,需要经常复,以便能够在短时间内记住单词。
之后,复的时间可以逐渐延长,以便更好地巩固记忆。
在制作计划表时,需要根据自己的研究进度和时间安排来确定每个单词的复时间。
可以使用各种工具来制作计划表,例如笔记本、手机应用程序等。
总之,XXX记忆曲线背单词法是一种非常有效的方法,可以帮助人们克服遗忘问题,更好地记忆单词。
制作一个恰当的单词背诵计划表可以帮助你更好地掌握这种方法。
如何运用艾宾浩斯的遗忘曲线记忆单词〔英语单词〕,就好比建筑的一砖一瓦,砖瓦好而足,我们才能建出高大宏伟的建筑。
下面就是我给大家带来的如何运用艾宾浩斯的遗忘曲线记忆单词,希望大家宠爱!如何运用艾宾浩斯的遗忘曲线记忆单词:时间间隔20分钟1小时8小时1天2天6天31天重学节省诵读时间百分数58.2 44.2 35.8 33.7 27.8 25.4 21.1艾宾浩斯的遗忘曲线背单词之复习点的确定人的记忆周期分为短期记忆和长期记忆两种。
第一个记忆周期是5分钟。
第二个记忆周期是30分钟第三个记忆周期是12个小时这三个记忆周期属于短期记忆的范畴。
艾宾浩斯的遗忘曲线背单词周期第四个记忆周期是1 天第五个记忆周期是2 天第六个记忆周期是4 天第七个记忆周期是7 天第八个记忆周期是15天以上的周期作为一个大的背词循环的8个复习点,可以最大程度的高背单词的效率。
艾宾浩斯的遗忘曲线背单词〔方法〕步骤一、LIST的第一页,共有9个单词,用不到5分钟的时间背一遍。
步骤二、此五分钟的记忆周期已到,请不要看第二页,马上快速的复习一遍第一页的单词。
复习的标准是“试图回忆该单词的意思”步骤三、2、3页和4、5页的内容每一页都要重复刚刚的步骤二。
即每背完一页的单词,都要再复习一遍。
步骤四、等背到7、8页时照旧重复步骤二的方法,所不同的是在背完该页的单词之后,请不要背9页的单词,而是重复步骤五的内容。
步骤五、由于距离背第一个单词的时间已经有了30分钟,所以马上回到第一页,迅速的把1-8的内容复习一遍。
步骤六、对于剩下的半个LIST,照旧在半个小时的时间内,重复步骤五,整个LIST 共用一个小时的时间。
在背过单词的12个小时以后,到了记忆的第三个记忆周期确定要复习今日新背过的单词。
1 2 5 15 30 60当天的单词在上述的天重复一遍!英语单词科学记忆法:1、词根词缀法词根词缀法是记忆单词最科学,最快速的方法。
它的特点是充分利用单词的构词规律,通过把握一组单词的共同词根或词缀,到达成串记忆单词的目的。
艾宾浩斯记忆法24天背单词艾宾浩斯记忆法是一种帮助人们有效背诵和记忆信息的方法。
通过按照一定的顺序和时间间隔重复学习,可以帮助人们更好地记住所学内容,并延长记忆的持久性。
在使用艾宾浩斯记忆法来背单词时,可以将背诵的单词分为不同的级别,每个级别对应不同的记忆间隔。
以下是一个使用艾宾浩斯记忆法背单词的24天计划:第一天: 学习并复习20个单词第二天: 复习第一天学习的20个单词,并学习20个新单词第四天: 复习第一天学习的20个单词,并复习第二天学习的20个单词,并学习20个新单词第七天: 复习第一天学习的20个单词,并复习第二天学习的20个单词,并复习第四天学习的20个单词,并学习20个新单词第十五天: 复习第一天学习的20个单词,并复习第二天学习的20个单词,并复习第四天学习的20个单词,并复习第七天学习的20个单词,并学习20个新单词第二十四天: 复习第一天学习的20个单词,并复习第二天学习的20个单词,并复习第四天学习的20个单词,并复习第七天学习的20个单词,并复习第十五天学习的20个单词,并学习20个新单词通过以上的学习计划,每个单词会根据不同的级别进行多次复习,以帮助巩固记忆。
同时,每个学习阶段都会有新单词的引入,以扩充词汇量。
艾宾浩斯记忆法的关键是不断地重复学习,并根据记忆效果来调整复习的时间间隔。
除了以上的24天计划,艾宾浩斯记忆法还可以根据个人情况进行调整。
有些人可能需要更短的时间间隔进行复习,而有些人可能需要更长的时间间隔。
重要的是找到适合自己的记忆间隔,以提高记忆效果。
总之,艾宾浩斯记忆法是一种有效的记忆方法,特别适用于背诵和记忆单词。
通过有序的重复学习和合理的记忆间隔,可以帮助人们更好地记住所学内容,并提高记忆的持久性。
1.艾宾浩斯的遗忘曲线的原理是说:人的遗忘速度在最初是相当快的,然后减慢,然
后再趋缓,逐渐接近水平。
也就是说——他的遗忘曲线具有先快后慢的规律。
根据遗忘曲线先快后慢的规律,我们知道了复习必须及时的重要性。
在这里我先讲讲集中学习和分散学习:比如说背一篇文章,从头读到尾,连读十遍(就是集中学习),大致可记下16%左右的内容;如果把文章分成几个段落,一个一个地背(就是分散学习),同样的时间分散学习至少比集中学习多记住10%以上的内容。
也就是说分散学习时间越长,效果就越显著。
从某一种程度上来说,分散学习就是遵循着艾宾浩斯的记忆规律。
艾宾浩斯的记忆规律具体的方法就是:在学习某项知识的过程中,采用学习——复习——再学习——再复习的方法。
背单词也同样。
先看我背GRE单词的方法:
一、复习点的确定(根据艾宾浩斯记忆曲线制定):
1.第一个记忆周期:5分钟
2.第二个记忆周期:30分钟
3.第三个记忆周期:12小时
4.第四个记忆周期:1天
5.第五个记忆周期:2天
6.第六个记忆周期:4天
7.第七个记忆周期:7天
8.第八个记忆周期:15天
二、背诵方法:
1.初记单词时需要记忆的内容:
a) 单词外观、b)单词的中文释义、c)单词的记忆法
2.每个list的具体背诵过程(每个list按12页,每页10个单词计):
a) 背完一页(大约5分钟),立即返回该页第一个单词开始复习(大约几十秒)
b) 按上面方法背完1~6页(大约在30分钟),回到第1页开始复习(两三分钟)
c) 按上面同样方法背完7~12页,一个list结束
d) 相当于每个list被分为12个小的单元,每个小的单元自成一个复习系统;每6个小单元组成一个大单元,2个大单元各自成为一个复习系统。
背一个list总共需要一小时左右的时间。
3.复习过程:
a) 复习方法:遮住中文释义,尽力回忆该单词的意思,几遍下来都记不住的单词可以做记号重点记忆。
b) 复习一个list所需的时间为20分钟以内
c) 当天的list最好在中午之前背完,大约12小时之后(最好睡觉前)复习当天所背的list
d) 在其后的1,2,4,7,15天后分别复习当日所背的list
4.注意事项:
a) 每天连续背诵2个list,并完成复习任务;
b) 复习永远比记新词重要,要反复高频率的复习,复习,再复习;
c) 一天都不能间断,坚持挺过这15天,之后每天都要花大约1小时复习;。