概率论与数理统计统计课后习题答案-总主编-邹庭荣-主编-程述汉-舒兴明-第一章
- 格式:doc
- 大小:274.00 KB
- 文档页数:5
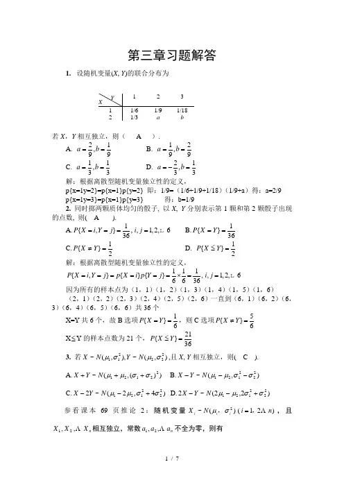
1 / 7第三章习题解答1. 设随机变量(X , Y )的联合分布为若X ,Y 相互独立,则( A ).A. 91,92==b aB. 92,91==b aC. 31,31==b a D. 31,32=-=b a解:根据离散型随机变量独立性的定义,p{x=1y=2}=p{x=1}p{y=2} 即:1/9=(1/6+1/9+1/18)(1/9+a )得:a=2/9 p{x=1y=3}=p{x=1}p{y=3} 得:b=1/92. 同时掷两颗质体均匀的骰子, 以X , Y 分别表示第1颗和第2颗骰子出现的点数, 则( A ).A.1{,},,1,2,636P X i Y j i j ====B.361}{==Y X PC.21}{=≠Y X PD. 21}{=≤Y X P解:根据离散型随机变量独立性的定义,111{,}{}{},,1,2,66636P X i Y j p X i p Y j i j ======⨯==因为所有的样本点为(1,1)(1,2)(1,3)(1,4)(1,5)(1,6) (2,1)(2,2)(2,3)(2,4)(2,5)(2,6)一直到(6,1)(6,2)(6,3)(6,4)(6,5)(6,6)共36个X=Y 共6个,故B 选项1{}6P X Y ==,则C 选项5{}6P X Y ≠=X ≤Y 的样本点数为21个,21{}36P X Y ≤=3. 若),(~),,(~222211σμσμN Y N X ,且X , Y 相互独立,则( C ). A.))(,(~22121σσμμ+++N Y X B.),(~222121σσμμ---N Y XC.)4,2(~2222121σσμμ+--N Y XD.)2,2(~2222121σσμμ+--N Y X参看课本69页推论2:随机变量)21()(~2n i N X i i i ,,=σμ,且n X X X ,,21相互独立,常数n a a a ,,21不全为零,则有22111~nn ni i i i i i i i i a X N a a μσ===⎛⎫ ⎪⎝⎭∑∑∑,4. 已知~(3,1),~(2,1),,X N Y N X Y -且相互独立,记,72+-=Y X Z 则Z ~( A ).A. )5,0(NB. )12,0(NC. )54,0(ND. )2,1(-N5. 已知(X , Y )的密度函数为sin(),0,(,)40,C x y x y f x y π⎧+≤≤⎪=⎨⎪⎩其它则C 的值为( D ). A.21 B. 22C. 12-D.12+解:根据二维随机变量密度函数的性质:()d d 1f x y x y +∞+∞-∞-∞=⎰⎰,即:440sin()d d 1c x y x y ππ+=⎰⎰ 解得:c=12+6.为使(23)e ,,0(,)0,x y A x y f x y -+⎧≥=⎨⎩其他 为二维随机向量(X , Y )的联合密度,则A 必为( B ).A. 0B. 6C. 10D. 16 解:同上题类似7. 设(,)X Y 的密度函数为23,02,01(,)20,xy x y f x y ⎧≤≤≤≤⎪=⎨⎪⎩其他, 则(X , Y )在以(0,0), (0,2), (2,1)为顶点的三角形内取值的概率为( C ).A. 0.4B. 0.5C. 0.6D. 0.8解:以(0,0), (0,2), (2,1)为顶点的三角形内,密度函数解析式不唯一。
概率论与数理统计第三版课后习题答案概率论与数理统计是一门应用广泛的数学学科,它研究了随机事件的发生规律和数据的统计分析方法。
而《概率论与数理统计》第三版是一本经典的教材,它系统地介绍了概率论和数理统计的基本理论和方法。
在学习过程中,课后习题是巩固知识、提高能力的重要途径。
下面将为大家提供一些《概率论与数理统计》第三版课后习题的答案,希望能对大家的学习有所帮助。
第一章概率论的基本概念1. 掷一颗骰子,问出现奇数的概率是多少?答:骰子一共有6个面,其中3个面是奇数(1、3、5),所以出现奇数的概率是3/6=1/2。
2. 从一副扑克牌中随机抽取一张牌,问抽到红心的概率是多少?答:一副扑克牌有52张牌,其中有13张红心牌,所以抽到红心的概率是13/52=1/4。
第二章随机变量及其分布1. 设随机变量X的概率密度函数为f(x)=kx,其中0<x<1,求k的值。
答:由概率密度函数的性质可知,对于0<x<1,有∫f(x)dx=∫kxdx=1,解得k=2。
2. 设随机变量X的概率密度函数为f(x)=ce^(-x),其中x>0,求c的值。
答:由概率密度函数的性质可知,对于x>0,有∫f(x)dx=∫ce^(-x)dx=1,解得c=1。
第三章多维随机变量及其分布1. 设随机变量(X,Y)服从二维正态分布,其概率密度函数为f(x,y)=1/(2πσ1σ2√(1-ρ^2))e^(-(1/(2(1-ρ^2)))(x^2/σ1^2-2ρxy/(σ1σ2)+y^2/σ2^2)),其中-∞<x,y<∞,求常数σ1、σ2和相关系数ρ之间的关系。
答:由二维正态分布的性质可知,对于-∞<x,y<∞,有∫∫f(x,y)dxdy=1,解得σ1σ2√(1-ρ^2)=1。
2. 设随机变量(X,Y)服从二维均匀分布,其概率密度函数为f(x,y)=1/(b-a)(d-c),其中a<x<b,c<y<d,求常数a、b、c、d之间的关系。
第四章习题解答1.设随机变量X ~B (30,61),则E (X )=( D ). A.61;B.65; C.625;D.5.1()3056E X np ==⨯= 2.已知随机变量X 和Y 相互独立,且它们分别在区间[-1,3]和[2,4]上服从均匀分布,则E (XY )=( A ).A. 3;B. 6;C. 10;D. 12.()1()3E X E Y ==因为随机变量X 和Y 相互独立所以()()()3E XY E X E Y ==3.设X 表示10次独立重复射击命中目标的次数,每次射中目标的概率为0.4,则X 2的数学期望E (X 2)=____18.4______.(10,0.4)()4() 2.4X B E X D X ==22()(())()18.4E X E X D X =+=4.某射手有3发子弹,射一次命中的概率为32,如果命中了就停止射击,否则一直射到子弹用尽.设表示X 耗用的子弹数.求E (X ).解:22113()233999E X =+⨯+⨯= 5.设X 的概率密度函数为,01()2,120,x x f x x x ≤≤⎧⎪=-<≤⎨⎪⎩其它求2() ,().E X E X 解:1221()()(2)1E X xf x dx x dx x x dx +∞-∞==+-=⎰⎰⎰,122232017()()(2)6E X x f x dx x dx x x dx +∞-∞==+-=⎰⎰⎰.6求 () ,(),().E X E Y E XY()E X =()E Y =()(1)(1)0.25(1)10.1(1)20.32(1)0.15210.15220.050.25E XY =-⨯-⨯+-⨯⨯+-⨯⨯+⨯-⨯+⨯⨯+⨯⨯=-7.设二维随机向量(X ,Y )的联合概率密度为e 0(,)0y x yf x y -⎧<<=⎨⎩,,其它求(1)()E X Y +; (2) ()E XY . 解:()()(,)E X Y x y f x y dxdy +∞+∞-∞-∞+=+⎰⎰(())3y xx y e dy dx +∞+∞-=+=⎰⎰()()(,)(())3yxE XY xy f x y dxdy xy e dy dx +∞+∞-∞-∞+∞+∞-===⎰⎰⎰⎰8.设随机变量X 与Y 相互独立,且D (X )=1,D (Y )=2,则D (X -Y )= 3 . ()()()3D X Y D X D Y -=+=9.设正方形的边长在区间[0,2]服从均匀分布,则正方形面积A =X 2的方差为__64/45_______.41()1,(),123E X D X === X 的密度函数1/2,02()0x f x ≤≤⎧=⎨⎩,其他 2214()[()]()1.33E X E X D X =+=+= 24440116()()d d 25E X x f x x x x +∞-∞===⎰⎰2422216464()()[()]()5345D XE X E X =-=-=10.设随机变量X 的分布律为求 D (X ).解:22()()(())D X E X E X =-,1111()101255105E X =-⨯++⨯+⨯=,22221114()(1)01255105E X =-⨯++⨯+⨯=,224119()()(())52525D XE X E X =-=-=. 11.设随机变量X 的概率密度函数为||1()e 2x f x -=,求D (X ).解:1()()02xE X xf x dx xe dx +∞+∞--∞-∞===⎰⎰, 22201()()222xE X x f x dx x e dx +∞+∞--∞===⎰⎰, 22()()(())2D X E X E X =-=.12.设随机变量X ,Y 相互独立,其概率密度函数分别为,01()2,120,X x x f x x x ≤≤⎧⎪=-<≤⎨⎪⎩其它 e ,0()0,y Y y f y -⎧≥=⎨⎩其它求D (X ),D (Y ),D (X -Y ).解:由本章习题5知()1E X =,27()6E X =,于是有 221()()(())6D XE X E X =-=. 由(1)Y E 知()()1E X D X ==. 由于随机变量X ,Y 相互独立,所以7()()()6D X Y D X D Y -=+=. 13.设D (X )=1,D (Y)=4,相关系数0.5XY ρ=,则cov(X ,Y )=___1____. cov(X ,Y )=1ρ=14.设二维随机变量(X , Y )的联合密度函数为1sin()0,0(,)2220x y x y f x y ππ⎧+≤≤≤≤⎪=⎨⎪⎩,,其它求cov(X ,Y ),XY ρ. 解:()(,)E X x f x y dxdy +∞+∞-∞-∞=⎰⎰22001sin()24x x y dxdy πππ=+=⎰⎰,22()(,)E X x f x y dxdy +∞+∞-∞-∞=⎰⎰222001sin()2x x y dxdy ππ=+⎰⎰22011(cos +sin )2282x x dx πππ==+-⎰, 2221()()[()]2162D XE X E X ππ=-=+-. 由对称性 ()()4E Y E X π==, 21()()2162D Y D X ππ==+-. 2200()()(,)12()sin()22E XY xy f x y dxdyxy x y dxdy πππ+∞+∞-∞-∞=-=+=⎰⎰⎰⎰,cov(X ,Y )=22()()()().24E XY E X E Y ππ--=-=-00461,2221[()](2)=-0.2454.24162XY πππρπ-==-+-15.设二维随机变量(X , Y )有联合概率密度函数1(),02, 02(,)80,x y x y f x y ⎧+≤≤≤≤⎪=⎨⎪⎩其它 试求E (X ),E (Y ),cov(X , Y ),XY ρ. 解:()(,)E X x f x y dxdy +∞+∞-∞-∞=⎰⎰220017()86x x y dxdy =+=⎰⎰, 由对称性7()6E Y =. 220014()()(,)()()83E XY xy f x y dxdy xy x y dxdy +∞+∞-∞-∞==+=⎰⎰⎰⎰, cov(X ,Y )= 1()()()36E XY E X E Y -=-.222220015()()(,)()()83E X x f x y dxdy x x y dxdy +∞+∞-∞-∞==+=⎰⎰⎰⎰, 2211()()(())36D XE X E X =-=. 由对称性11()36D Y =. 111XY ρ==-16.设X , Y 相互独立,X ~N (0,1),Y ~N (1,2),Z = X +2Y ,试求X 与Z 的相关系数.解:cov(,)cov(,2)()2cov(,)101X Z X X Y D X X Y =+=+=+=,()(2)()4()9D Z D X Y D X D Y =+=+=,13xz ρ==.17.设随机变量~X N (5,3),Y 在[0,6]上服从均匀分布,相关系数12XY ρ=,求(1)(2)E X Y -;(2)(2)D X Y -.解:(2)()2()5231E X Y E X E Y -=-=-⨯=-,2(2)()4()4cov(,)()4()4613449.122XY D X Y D X D Y X Y D X D Y ρ-=+-=+-=+⨯-⨯=18.设二维随机向量(X ,Y )的概率密度为2,01,0(,)0,x y xf x y <<<<⎧=⎨⎩其它 求(1)E (X +Y );(2)E (XY );(3)XY ρ.解:10()()(,)2(())1xE X Y x y f x y dxdy x y dy dx +∞+∞-∞-∞+=+=+=⎰⎰⎰⎰;1001()()(,)2()4xE XY xy f x y dxdy xy dxdy +∞+∞-∞-∞===⎰⎰⎰⎰; 102()(,)2()3xE X x f x y dxdy xdy dx +∞+∞-∞-∞===⎰⎰⎰⎰ 1()()()3E Y E X Y E X =+-=cov(X ,Y )= 1()()()36E XY E X E Y -=122201()(,)2()2x E X x f x y dxdy x dy dx +∞+∞-∞-∞===⎰⎰⎰⎰ 122201()(,)2()6xE Y y f x y dxdy y dy dx +∞+∞-∞-∞===⎰⎰⎰⎰ 221()()(())18D X E X E X =-=,221()()(())18D YE Y E Y =-= 12xz ρ==。
第一章习 题1.写出下列试验下的样本空间:(1)将一枚硬币抛掷两次答:样本空间由如下4个样本点组成{(,)(,)(,)(,)Ω=正正,正反,反正,反反 (2)将两枚骰子抛掷一次答:样本空间由如下36个样本点组成{(,),1,2,3,4,5,6}i j i j Ω==(3)调查城市居民(以户为单位)烟、酒的年支出答:结果可以用(x ,y )表示,x ,y 分别是烟、酒年支出的元数.这时,样本空间由坐标平面第一象限内一切点构成 .{(,)0,0}x y x y Ω=≥≥2.甲,乙,丙三人各射一次靶,记-A “甲中靶” -B “乙中靶” -C “丙中靶” 则可用上述三个事件的运算来分别表示下列各事件:(1) “甲未中靶”: ;A(2) “甲中靶而乙未中靶”: ;B A(3) “三人中只有丙未中靶”: ;C AB(4) “三人中恰好有一人中靶”: ;C B A C B A C B A(5)“ 三人中至少有一人中靶”: ;C B A(6)“三人中至少有一人未中靶”: ;C B A 或;ABC(7)“三人中恰有两人中靶”: ;BC A C B A C AB(8)“三人中至少两人中靶”: ;BC AC AB(9)“三人均未中靶”: ;C B A(10)“三人中至多一人中靶”: ;C B A C B A C B A C B A(11)“三人中至多两人中靶”: ;ABC 或;C B A3 .设,A B 是两随机事件,化简事件 (1)()()A B A B (2) ()()A B A B解:(1)()()A B A B AB AB B B == , (2) ()()A B A B ()AB AB B A A B B ==Ω= .4.某城市的电话号码由5个数字组成,每个数字可能是从0-9这十个数字中的任一个,求电话号码由五个不同数字组成的概率. 解:51050.302410P P ==. 5.n 张奖券中含有m 张有奖的,k 个人购买,每人一张,求其中至少有一人中奖的概率。
《概率论与数理统计》作业集及答案第1章概率论的基本概念§ 1 .1随机试验及随机事件1.(1) 一枚硬币连丢3次,观察正面H、反面T出现的情形.样本空间是:S= __________________________(2)—枚硬币连丢3次,观察出现正面的次数.样本空间是:S= _____________________________________ ;2.(1)丢一颗骰子.A :出现奇数点,贝U A= _________________ ; B:数点大于2,则B=(2)一枚硬币连丢2次, A :第一次出现正面,则A= _________________ ;B:两次出现同一面,则 = ________________ ; C :至少有一次出现正面,则C= § 1 .2随机事件的运算1•设A、B C为三事件,用A B C的运算关系表示下列各事件:(1)A、B、C都不发生表示为: __________ .(2)A 与B都发生,而C不发生表示为:(3)A与B都不发生,而C发生表示为:.(4)A 、B C中最多二个发生表示为:(5)A、B、C中至少二个发生表示为:.(6)A 、B C中不多于一个发生表示为:2.设S = {x : 0 _ x _ 5}, A = {x :1 :: x _ 3}, B = {x : 2 _ :: 4}:贝y(1) A 一 B = , (2) AB = , (3) AB = _______________ ,(4) A B = __________________ , (5) AB = ________________________ 。
§ 1 .3概率的定义和性质1.已知P(A B)二0.8, P( A)二0.5, P(B)二0.6,贝U(1) P(AB) = , (2)( P( A B) )= , (3) P(A B)= .2.已知P(A) =0.7, P(AB) =0.3,则P(AB)= .§ 1 .4古典概型1.某班有30个同学,其中8个女同学,随机地选10个,求:(1)正好有2个女同学的概率,(2)最多有2个女同学的概率,(3)至少有2个女同学的概率.2.将3个不同的球随机地投入到 4个盒子中,求有三个盒子各一球的概率.§ 1 .5条件概率与乘法公式1 •丢甲、乙两颗均匀的骰子,已知点数之和为7,则其中一颗为1的概率是 ____________________ 。
《概率论与数理统计》课后习题与答案概率论与数理统计习题及答案习题一1.略.见教材习题参考答案.2.设A,B,C为三个事件,试用A,B,C的运算关系式表示下列事件:(1)A发生,B,C都不发生;(2)A与B发生,C不发生;(3)A,B,C都发生;(4)A,B,C至少有一个发生;(5)A,B,C都不发生;(6)A,B,C不都发生;(7)A,B,C至多有2个发生;精品好资料-如有侵权请联系网站删除(8)A,B,C至少有2个发生.【解】(1)A BC(2)AB C(3)ABC(4)A∪B∪C=AB C∪A B C∪A BC∪A BC∪A B C∪AB C∪ABC=ABC(5) ABC=A B C (6) ABC(7) A BC∪A B C∪AB C∪AB C∪A BC∪A B C∪ABC=ABC=A∪B∪C(8) AB∪BC∪CA=AB C∪A B C∪A BC∪ABC3.略.见教材习题参考答案4.设A,B为随机事件,且P(A)=0.7,P(A-B)=0.3,求P(AB).【解】P(AB)=1-P(AB)=1-[P(A)-P(A-B)]=1-[0.7-0.3]=0.65.设A,B是两事件,且P(A)=0.6,P(B)=0.7,求:(1)在什么条件下P(AB)取到最大值?(2)在什么条件下P(AB)取到最小值?【解】(1)当AB=A时,P(AB)取到最大值为0.6.(2)当A∪B=Ω时,P(AB)取到最小值为0.3.精品好资料-如有侵权请联系网站删除精品好资料-如有侵权请联系网站删除6.设A ,B ,C 为三事件,且P (A )=P (B )=1/4,P (C )=1/3且P (AB )=P (BC )=0,P (AC )=1/12,求A ,B ,C 至少有一事件发生的概率.【解】 P (A ∪B ∪C )=P (A )+P (B )+P (C )-P (AB )-P (BC )-P (AC )+P (ABC )=14+14+13-112=347.从52张扑克牌中任意取出13张,问有5张黑桃,3张红心,3张方块,2张梅花的概率是多少?【解】 p =5332131313131352C C C C /C 8.对一个五人学习小组考虑生日问题:(1) 求五个人的生日都在星期日的概率; (2) 求五个人的生日都不在星期日的概率; (3) 求五个人的生日不都在星期日的概率.【解】(1) 设A 1={五个人的生日都在星期日},基本事件总数为75,有利事件仅1个,故 P (A 1)=517=(17)5(亦可用独立性求解,下同) (2) 设A 2={五个人生日都不在星期日},有利事件数为65,故P (A 2)=5567=(67)5(3) 设A 3={五个人的生日不都在星期日}P (A 3)=1-P (A 1)=1-(17)59.略.见教材习题参考答案.10.一批产品共N 件,其中M 件正品.从中随机地取出n 件(n <N ).试求其中恰有m 件(m ≤M )正品(记为A )的概率.如果:(1) n 件是同时取出的; (2) n 件是无放回逐件取出的;精品好资料-如有侵权请联系网站删除(3) n 件是有放回逐件取出的.【解】(1) P (A )=C C /C m n m nM N M N --(2) 由于是无放回逐件取出,可用排列法计算.样本点总数有P n N 种,n 次抽取中有m 次为正品的组合数为C mn 种.对于固定的一种正品与次品的抽取次序,从M 件正品中取m 件的排列数有P mM 种,从N -M 件次品中取n -m 件的排列数为P n mN M --种,故P (A )=C P P P m m n mn M N MnN-- 由于无放回逐渐抽取也可以看成一次取出,故上述概率也可写成P (A )=C C C m n mM N MnN-- 可以看出,用第二种方法简便得多.(3) 由于是有放回的抽取,每次都有N 种取法,故所有可能的取法总数为N n 种,n 次抽取中有m 次为正品的组合数为C mn 种,对于固定的一种正、次品的抽取次序,m 次取得正品,都有M 种取法,共有M m 种取法,n -m 次取得次品,每次都有N -M 种取法,共有(N -M )n -m 种取法,故()C ()/m m n m nnP A M N M N -=- 此题也可用贝努里概型,共做了n 重贝努里试验,每次取得正品的概率为MN,则取得m 件正品的概率为 ()C 1mn mmnM M P A N N -⎛⎫⎛⎫=- ⎪ ⎪⎝⎭⎝⎭精品好资料-如有侵权请联系网站删除11.略.见教材习题参考答案.12. 50只铆钉随机地取来用在10个部件上,其中有3个铆钉强度太弱.每个部件用3只铆钉.若将3只强度太弱的铆钉都装在一个部件上,则这个部件强度就太弱.求发生一个部件强度太弱的概率是多少? 【解】设A ={发生一个部件强度太弱}133103501()C C /C 1960P A ==13.一个袋内装有大小相同的7个球,其中4个是白球,3个是黑球,从中一次抽取3个,计算至少有两个是白球的概率. 【解】 设A i ={恰有i 个白球}(i =2,3),显然A 2与A 3互斥.213434233377C C C 184(),()C 35C 35P A P A ====故 232322()()()35P A A P A P A =+=14.有甲、乙两批种子,发芽率分别为0.8和0.7,在两批种子中各随机取一粒,求:(1) 两粒都发芽的概率; (2) 至少有一粒发芽的概率; (3) 恰有一粒发芽的概率.【解】设A i ={第i 批种子中的一粒发芽},(i =1,2)(1) 1212()()()0.70.80.56P A A P A P A ==⨯= (2) 12()0.70.80.70.80.94P A A =+-⨯=(3) 2112()0.80.30.20.70.38P A A A A =⨯+⨯=15.掷一枚均匀硬币直到出现3次正面才停止. (1) 问正好在第6次停止的概率;精品好资料-如有侵权请联系网站删除(2) 问正好在第6次停止的情况下,第5次也是出现正面的概率.【解】(1) 223151115()()22232p C ==(2) 1342111C ()()22245/325p == 16.甲、乙两个篮球运动员,投篮命中率分别为0.7及0.6,每人各投了3次,求二人进球数相等的概率.【解】 设A i ={甲进i 球},i =0,1,2,3,B i ={乙进i 球},i =0,1,2,3,则33312123330()(0.3)(0.4)C 0.7(0.3)C 0.6(0.4)i i i P A B ==+⨯⨯+22223333C (0.7)0.3C (0.6)0.4+(0.7)(0.6)⨯=0.3207617.从5双不同的鞋子中任取4只,求这4只鞋子中至少有两只鞋子配成一双的概率.【解】 4111152222410C C C C C 131C 21p =-= 18.某地某天下雪的概率为0.3,下雨的概率为0.5,既下雪又下雨的概率为0.1,求:(1) 在下雨条件下下雪的概率;(2) 这天下雨或下雪的概率. 【解】 设A ={下雨},B ={下雪}.(1) ()0.1()0.2()0.5P AB p B A P A === (2) ()()()()0.30.50.10.7p A B P A P B P AB =+-=+-=19.已知一个家庭有3个小孩,且其中一个为女孩,求至少有一个男孩的概率(小孩为男为女是等可能的). 【解】 设A ={其中一个为女孩},B ={至少有一个男孩},样本点总数为23=8,故精品好资料-如有侵权请联系网站删除()6/86()()7/87P AB P B A P A ===或在缩减样本空间中求,此时样本点总数为7.6()7P B A =20.已知5%的男人和0.25%的女人是色盲,现随机地挑选一人,此人恰为色盲,问此人是男人的概率(假设男人和女人各占人数的一半). 【解】 设A ={此人是男人},B ={此人是色盲},则由贝叶斯公式()()()()()()()()()P A P B A P AB P A B P B P A P B A P A P B A ==+ 0.50.05200.50.050.50.002521⨯==⨯+⨯ 21.两人约定上午9∶00~10∶00在公园会面,求一人要等另一人半小时以上的概率.精品好资料-如有侵权请联系网站删除题21图 题22图【解】设两人到达时刻为x,y ,则0≤x ,y ≤60.事件“一人要等另一人半小时以上”等价于|x -y |>30.如图阴影部分所示.22301604P ==22.从(0,1)中随机地取两个数,求:(1) 两个数之和小于65的概率; (2) 两个数之积小于14的概率.精品好资料-如有侵权请联系网站删除【解】 设两数为x ,y ,则0<x ,y <1.(1) x +y <65. 11441725510.68125p =-==(2) xy =<14.1111244111d d ln 242x p x y ⎛⎫=-=+⎪⎝⎭⎰⎰ 23.设P (A )=0.3,P (B )=0.4,P (A B )=0.5,求P (B |A ∪B ) 【解】 ()()()()()()()()P AB P A P AB P B A B P A B P A P B P AB -==+- 0.70.510.70.60.54-==+-24.在一个盒中装有15个乒乓球,其中有9个新球,在第一次比赛中任意取出3个球,比赛后放回原盒中;第二次比赛同样任意取出3个球,求第二次取出的3个球均为新球的概率.【解】 设A i ={第一次取出的3个球中有i 个新球},i =0,1,2,3.B ={第二次取出的3球均为新球}由全概率公式,有3()()()i i i P B P B A P A ==∑精品好资料-如有侵权请联系网站删除33123213336996896796333333331515151515151515C C C C C C C C C C C C C C C C C C =•+•+•+•0.089=25. 按以往概率论考试结果分析,努力学习的学生有90%的可能考试及格,不努力学习的学生有90%的可能考试不及格.据调查,学生中有80%的人是努力学习的,试问:(1)考试及格的学生有多大可能是不努力学习的人? (2)考试不及格的学生有多大可能是努力学习的人? 【解】设A ={被调查学生是努力学习的},则A ={被调查学生是不努力学习的}.由题意知P (A )=0.8,P (A )=0.2,又设B ={被调查学生考试及格}.由题意知P (B |A )=0.9,P (B |A )=0.9,故由贝叶斯公式知(1)()()()()()()()()()P A P B A P AB P A B P B P A P B A P A P B A ==+ 0.20.110.027020.80.90.20.137⨯===⨯+⨯即考试及格的学生中不努力学习的学生仅占2.702% (2) ()()()()()()()()()P A P B A P AB P A B P B P A P B A P A P B A ==+ 0.80.140.30770.80.10.20.913⨯===⨯+⨯即考试不及格的学生中努力学习的学生占30.77%.26. 将两信息分别编码为A 和B 传递出来,接收站收到时,A 被误收作B 的概率为0.02,而B 被误收作A 的概率为0.01.信息A 与B 传递的频繁程度为2∶1.若接收站收到的信息是A ,试问原发信息是A 的概率是多少? 【解】 设A ={原发信息是A },则={原发信息是B }精品好资料-如有侵权请联系网站删除C ={收到信息是A },则={收到信息是B } 由贝叶斯公式,得()()()()()()()P A P C A P A C P A P C A P A P C A =+2/30.980.994922/30.981/30.01⨯==⨯+⨯27.在已有两个球的箱子中再放一白球,然后任意取出一球,若发现这球为白球,试求箱子中原有一白球的概率(箱中原有什么球是等可能的颜色只有黑、白两种)【解】设A i ={箱中原有i 个白球}(i =0,1,2),由题设条件知P (A i )=13,i =0,1,2.又设B ={抽出一球为白球}.由贝叶斯公式知 11112()()()()()()()i i i P B A P A P A B P A B P B P B A P A ===∑ 2/31/311/31/32/31/311/33⨯==⨯+⨯+⨯28.某工厂生产的产品中96%是合格品,检查产品时,一个合格品被误认为是次品的概率为0.02,一个次品被误认为是合格品的概率为0.05,求在被检查后认为是合格品产品确是合格品的概率.【解】 设A ={产品确为合格品},B ={产品被认为是合格品}由贝叶斯公式得()()()()()()()()()P A P B A P AB P A B P B P A P B A P A P B A ==+ 0.960.980.9980.960.980.040.05⨯==⨯+⨯精品好资料-如有侵权请联系网站删除29.某保险公司把被保险人分为三类:“谨慎的”,“一般的”,“冒失的”.统计资料表明,上述三种人在一年内发生事故的概率依次为0.05,0.15和0.30;如果“谨慎的”被保险人占20%,“一般的”占50%,“冒失的”占30%,现知某被保险人在一年内出了事故,则他是“谨慎的”的概率是多少?【解】 设A ={该客户是“谨慎的”},B ={该客户是“一般的”},C ={该客户是“冒失的”},D ={该客户在一年内出了事故} 则由贝叶斯公式得()()(|)(|)()()(|)()(|)()(|)P AD P A P D A P A D P D P A P D A P B P D B P C P D C ==++0.20.050.0570.20.050.50.150.30.3⨯==⨯+⨯+⨯30.加工某一零件需要经过四道工序,设第一、二、三、四道工序的次品率分别为0.02,0.03,0.05,0.03,假定各道工序是相互独立的,求加工出来的零件的次品率.【解】设A i ={第i 道工序出次品}(i =1,2,3,4).412341()1()i i P A P A A A A ==-12341()()()()P A P A P A P A =-10.980.970.950.970.124=-⨯⨯⨯=31.设每次射击的命中率为0.2,问至少必须进行多少次独立射击才能使至少击中一次的概率不小于0.9? 【解】设必须进行n 次独立射击.1(0.8)0.9n -≥即为 (0.8)0.1n≤ 故 n ≥11精品好资料-如有侵权请联系网站删除至少必须进行11次独立射击.32.证明:若P (A |B )=P (A |B ),则A ,B 相互独立.【证】 (|)(|)P A B P A B =即()()()()P AB P AB P B P B =亦即 ()()()()P AB P B P AB P B =()[1()][()()]()P AB P B P A P AB P B -=-因此 ()()()P AB P A P B = 故A 与B 相互独立.33.三人独立地破译一个密码,他们能破译的概率分别为15,13,14,求将此密码破译出的概率. 【解】 设A i ={第i 人能破译}(i =1,2,3),则31231231()1()1()()()i i P A P A A A P A P A P A ==-=-42310.6534=-⨯⨯= 34.甲、乙、丙三人独立地向同一飞机射击,设击中的概率分别是0.4,0.5,0.7,若只有一人击中,则飞机被击落的概率为0.2;若有两人击中,则飞机被击落的概率为0.6;若三人都击中,则飞机一定被击落,求:飞机被击落的概率. 【解】设A ={飞机被击落},B i ={恰有i 人击中飞机},i =0,1,2,3由全概率公式,得3()(|)()i i i P A P A B P B ==∑=(0.4×0.5×0.3+0.6×0.5×0.3+0.6×0.5×0.7)0.2+(0.4×0.5×0.3+0.4×0.5×0.7+0.6×0.5×0.7)0.6+0.4×0.5×0.7=0.45835.已知某种疾病患者的痊愈率为25%,为试验一种新药是否有效,把它给10个病人服用,且规定若10个病人中至少有四人治好则认为这种药有效,反之则认为无效,求:(1)虽然新药有效,且把治愈率提高到35%,但通过试验被否定的概率.(2)新药完全无效,但通过试验被认为有效的概率.【解】(1)310110C(0.35)(0.65)0.5138k k kkp-===∑(2)10102104C(0.25)(0.75)0.2241k k kkp-===∑36.一架升降机开始时有6位乘客,并等可能地停于十层楼的每一层.试求下列事件的概率:(1)A=“某指定的一层有两位乘客离开”;(2)B=“没有两位及两位以上的乘客在同一层离开”;(3)C=“恰有两位乘客在同一层离开”;(4)D=“至少有两位乘客在同一层离开”.【解】由于每位乘客均可在10层楼中的任一层离开,故所有可能结果为106种.(1)2466C9()10P A=,也可由6重贝努里模型:224619()C()()1010P A=(2) 6个人在十层中任意六层离开,故精品好资料-如有侵权请联系网站删除精品好资料-如有侵权请联系网站删除6106P ()10P B =(3) 由于没有规定在哪一层离开,故可在十层中的任一层离开,有110C 种可能结果,再从六人中选二人在该层离开,有26C 种离开方式.其余4人中不能再有两人同时离开的情况,因此可包含以下三种离开方式:①4人中有3个人在同一层离开,另一人在其余8层中任一层离开,共有131948C C C 种可能结果;②4人同时离开,有19C 种可能结果;③4个人都不在同一层离开,有49P 种可能结果,故1213114610694899()C C (C C C C P )/10P C =++(4) D=B .故6106P ()1()110P D P B =-=-37. n 个朋友随机地围绕圆桌而坐,求下列事件的概率: (1) 甲、乙两人坐在一起,且乙坐在甲的左边的概率; (2) 甲、乙、丙三人坐在一起的概率;(3) 如果n 个人并排坐在长桌的一边,求上述事件的概率. 【解】 (1) 111p n =- (2) 23!(3)!,3(1)!n p n n -=>-精品好资料-如有侵权请联系网站删除(3) 12(1)!13!(2)!;,3!!n n p p n n n n --''===≥ 38.将线段[0,a ]任意折成三折,试求这三折线段能构成三角形的概率【解】 设这三段长分别为x ,y ,a -x -y .则基本事件集为由0<x <a ,0<y <a ,0<a -x -y <a 所构成的图形,有利事件集为由()()x y a x y x a x y y y a x y x+>--⎡⎢+-->⎢⎢+-->⎣ 构成的图形,即02022a x a y ax y a ⎡<<⎢⎢⎢<<⎢⎢⎢<+<⎢⎣ 如图阴影部分所示,故所求概率为14p =. 39. 某人有n 把钥匙,其中只有一把能开他的门.他逐个将它们去试开(抽样是无放回的).证明试开k 次(k =1,2,…,n )才能把门打开的概率与k 无关.【证】 11P 1,1,2,,P k n k n p k n n--===40.把一个表面涂有颜色的立方体等分为一千个小立方体,在这些小立方体中,随机地取出一个,试求它有i 面涂有颜色的概率P (A i )(i =0,1,2,3).【解】 设A i ={小立方体有i 面涂有颜色},i =0,1,2,3.在1千个小立方体中,只有位于原立方体的角上的小立方体是三面有色的,这样的小立方体共有8个.只有位于原立方体的棱上(除去八个角外)的精品好资料-如有侵权请联系网站删除小立方体是两面涂色的,这样的小立方体共有12×8=96个.同理,原立方体的六个面上(除去棱)的小立方体是一面涂色的,共有8×8×6=384个.其余1000-(8+96+384)=512个内部的小立方体是无色的,故所求概率为01512384()0.512,()0.38410001000P A P A ====, 24968()0.096,()0.00810001000P A P A ====.41.对任意的随机事件A ,B ,C ,试证P (AB )+P (AC )-P (BC )≤P (A ).【证】 ()[()]()P A P A B C P AB AC ≥=()()()P AB P AC P ABC =+- ()()()P AB P AC P BC ≥+-42.将3个球随机地放入4个杯子中去,求杯中球的最大个数分别为1,2,3的概率. 【解】 设i A ={杯中球的最大个数为i },i =1,2,3.将3个球随机放入4个杯子中,全部可能放法有43种,杯中球的最大个数为1时,每个杯中最多放一球,故3413C 3!3()48P A ==而杯中球的最大个数为3,即三个球全放入一个杯中,故1433C 1()416P A ==精品好资料-如有侵权请联系网站删除因此 213319()1()()181616P A P A P A =--=--= 或 12143323C C C 9()416P A == 43.将一枚均匀硬币掷2n 次,求出现正面次数多于反面次数的概率.【解】掷2n 次硬币,可能出现:A ={正面次数多于反面次数},B ={正面次数少于反面次数},C ={正面次数等于反面次数},A ,B ,C 两两互斥.可用对称性来解决.由于硬币是均匀的,故P (A )=P (B ).所以1()()2P C P A -=由2n 重贝努里试验中正面出现n 次的概率为211()()()22n n nn P C C =故 2211()[1C ]22n n n P A =- 44.掷n 次均匀硬币,求出现正面次数多于反面次数的概率.【解】设A ={出现正面次数多于反面次数},B ={出现反面次数多于正面次数},由对称性知P (A )=P (B )(1) 当n 为奇数时,正、反面次数不会相等.由P (A )+P (B )=1得P (A )=P (B )=0.5 (2) 当n 为偶数时,由上题知211()[1C ()]22nn n P A =-45.设甲掷均匀硬币n +1次,乙掷n 次,求甲掷出正面次数多于乙掷出正面次数的概率.【解】 令甲正=甲掷出的正面次数,甲反=甲掷出的反面次数.乙正=乙掷出的正面次数,乙反=乙掷出的反面次数. 显然有精品好资料-如有侵权请联系网站删除>正正(甲乙)=(甲正≤乙正)=(n +1-甲反≤n -乙反) =(甲反≥1+乙反)=(甲反>乙反)由对称性知P (甲正>乙正)=P (甲反>乙反) 因此P (甲正>乙正)=1246.证明“确定的原则”(Sure -thing ):若P (A |C )≥P (B |C ),P (A |C )≥P (B |C ),则P (A )≥P (B ). 【证】由P (A |C )≥P (B |C ),得()(),()()P AC P BC P C P C ≥即有 ()()P AC P BC ≥ 同理由 (|)(|),P A C P B C ≥ 得 ()(),P AC P BC ≥故 ()()()()()()P A P AC P AC P BC P BC P B =+≥+=47.一列火车共有n 节车厢,有k (k ≥n )个旅客上火车并随意地选择车厢.求每一节车厢内至少有一个旅客的概率.【解】 设A i ={第i 节车厢是空的},(i =1,…,n ),则精品好资料-如有侵权请联系网站删除121(1)1()(1)2()(1)1()(1)n k ki k ki j ki i i n P A n nP A A n n P A A A n--==-=--=-其中i 1,i 2,…,i n -1是1,2,…,n 中的任n -1个. 显然n 节车厢全空的概率是零,于是2112111122111111123111()(1)C (1)2()C (1)1()C (1)0()(1)n n nk ki ni ki j n i j nn kn i i i n i i i nn nn i ni S P A n n n S P A A n n S P A A A nS P A S S S S --=≤<≤--≤<<≤+===-=-==--==-==-+-+-∑∑∑121121C (1)C (1)(1)C (1)k kn n kn n n n nnn--=---++--故所求概率为精品好资料-如有侵权请联系网站删除121121()1C (1)C (1)nk i i n ni P A n n=-=--+--+111(1)C (1)n n kn n n+----48.设随机试验中,某一事件A 出现的概率为ε>0.试证明:不论ε>0如何小,只要不断地独立地重复做此试验,则A 迟早会出现的概率为1. 【证】在前n 次试验中,A 至少出现一次的概率为1(1)1()n n ε--→→∞49.袋中装有m 只正品硬币,n 只次品硬币(次品硬币的两面均印有国徽).在袋中任取一只,将它投掷r 次,已知每次都得到国徽.试问这只硬币是正品的概率是多少?【解】设A ={投掷硬币r 次都得到国徽}B ={这只硬币为正品} 由题知 (),()m nP B P B m n m n==++ 1(|),(|)12r P A B P A B == 则由贝叶斯公式知()()(|)(|)()()(|)()(|)P AB P B P A B P B A P A P B P A B P B P A B ==+ 121212r rrm m m n m nm n m n m n+==++++ 50.巴拿赫(Banach )火柴盒问题:某数学家有甲、乙两盒火柴,每盒有N 根火柴,每次用火柴时他在两盒中任取一盒并从中任取一根.试求他首次发现一盒空时另一盒恰有r 根的概率是多少?第一次用完一盒火柴时(不是发现空)而另一盒恰有r 根的概率又有多少?精品好资料-如有侵权请联系网站删除【解】以B 1、B 2记火柴取自不同两盒的事件,则有121()()2P B P B ==.(1)发现一盒已空,另一盒恰剩r 根,说明已取了2n -r 次,设n 次取自B 1盒(已空),n -r 次取自B 2盒,第2n -r +1次拿起B 1,发现已空。
概率论与数理统计统计课后习题答案-总主编-邹庭荣-主编- 程述汉-舒兴明-第四章第四章习题解答11 •设随机变量X〜B (30,-),则E (X)=( D ).6A.-;D.5.1E (X) = np = 30 562 •已知随机变量X和Y相互独立,且它们分别在区间[-1 , 3]和[2, 4]上服从均匀分布,则E(XY)=( A ).A. 3;B. 6;C. 10;D. 12.E(X) =1 E(Y) =3因为随机变量X和Y相互独立所以E(XY) = E(X)E(Y) = 33.设X表示10次独立重复射击命中目标的次数,每次射中目标的概率为0.4,贝U X2的数学期望E(X 2) = 1&4 .X LI B(10,0.4) E(X) =4 D(X) =2.42 2E(X ) =(E(X)) D(X) =18.44.某射手有3发子弹,射一次命中的概率为-,如果命中了就停止射击,3否则一直射到子弹用尽.设表示X耗用的子弹数.求E (X).解:X123P2/32/91/92 2 1 13E(X)=—十—:2 +3 9 9 95 .设X的概率密度函数为x, 0ExE1f (x) - x, 1 :: x 乞2[0, 其它求 E(X) , E(X2).解: E(X) = J xf(x)dx = J x2dx + J x(2-x)dx =1,0 ' 11 32 27f (x)dx x dx 亠 i x (2「x)dx .- -bo -E(X 2)「;x 2求 E(X) , E(Y),E(XY).解:X-12P 0.650.35E(X)二「0.65 0.35 2 =0.05 .Y-112P0.40.250.35E(Y) = -0.4 0.25 1 0.35 2 =0.55E(XY)=(-1) (-1) 0.25 (-1) 1 0.1 (-1) 2 0.32 (-1) 0.15 2 1 0.15 2 2 0.05 =-0.257 •设二维随机向量(X, Y)的联合概率密度为求(1)E(X Y); (2) E(XY).E(XY) = _;.;(xy)f(x,y)dxdy=讥(广(xy)「dy)dx = 38.设随机变量X与Y相互独立,且D(X)=1, D(Y)=2 , J则D(X-Y)= 3 .D(X _Y) = D(X) D(Y) =39.设正方形的边长在区间]0, 2]服从均匀分布,则正方形面积A=X2的f(x,y)二e0,1°,0 :x y其它解: y) dxdy( x x y )e y d y dx 3方差为64/45 _________ .4 1E(X)=1, D(X) ,12 3X的密度函数f(x)= 102,0乞x乞26 •设随机向量(X, Y)的联合分布律为:E(X Y)=二y)求 D(X ),D(Y ),D(X-Y ).解:由本章习题5知E(X)=1 , E(X 2)=7,于是有62 21D(X)二 E(X )-(E(X)).6221 4E (XTE (X)「D (X)n 〒.4"be 42E(X )= x f(x)dx = 01 4 16x dx =2 5D(X 2) =E(X 4)—[E(X 2)]210•设随机变量X 的分布律为X -1 0 1 2P1/5 1/2 1/5 1/10求 D(X).解:D(X) = E(X 2) -(E(X))2, E(X2 21 2 1 2E(X ) =(-1) -01- 2 551 19 224D(X)=E (X 2)-(E(X))2=5 25 2511•设随机变量X 的概率密度函数为f(x)亠1,求 D(X ).::1I解:E(X) xf (x) dxxe*dx=0, 2E(X 2)x 2f(x)dx=2 x 2e^dx = 2 ,0 212•设随机变量X , Y 相互独立,其概率密度函数分别为x,f x (x)二 2 -x,0 _x _1 1 :: x _ 2y_ 0其它16 564 45由Y LI E(1)知 E(X) =D(X) =1.由于随机变量X , Y 相互独立,所以D(X -Y)二 D(X) D(Y) =7.613•设 D(X)=1,D(Y)=4,相关系数 P XY =0.5,则 cov(X,Y)=_1 __________ covX,Y)= » D(X)D(Y) =114•设二维随机变量(X, Y )的联合密度函数为求 cov(X,Y ), ?XY •DJI nI 22。
吴赣昌编 《概率论与数理统计》(理工类)三版课后习题解答习题1-31、袋中5个白球,3个黑球,一次任取两个。
(1)求取到的两个求颜色不同的概率;(2)求取到的两个求中有黑球的概率。
解:略2、10把钥匙有3把能打开门,今取两把,求能打开门的概率。
解:设A=“能打开”,则210S n C =法一,取出的两把钥匙,可能只有一把能打开,可能两把都能打开,则112373A n C C C =+ 所以()A Sn P A n = 法二,A ={都打不开},即取得两把钥匙是从另7把中取得的,则27A n C =,所以27210()1()1C P A P A C =-=- 3、两封信投入四个信筒,求(1)前两个信筒没有信的概率,(2)第一个信筒内只有一封信的概率。
解:24S n =(两封信投入四个信筒的总的方法,重复排列)(1)设A=“前两个信筒没有信”,即两封信在余下的两个信筒中重复排列,22A n =;(2)设B=“第一个信筒内只有一封信”,则应从两封信中选一封放在第一个信筒中,再把余下的一封信放入余下的三个信筒中的任一个,1123B n C =带入公式既得两个概率。
4、一副扑克牌52张,不放回抽样,每次取一张,连续抽4张,求花色各异的概率.解:略5、袋中有红、黄、黑色求各一个,有放回取3次,求下列事件的概率。
A=“三次都是红球”;B=“三次未抽到黑球”,C=“颜色全不相同”,D=“颜色不全相同” 解:略6、从0,1,2,,9L 等10个数字中,任意选出不同的三个数字,试求下列事件的概率:1A =‘三个数字中不含0和5’,2A =‘三个数字中不含0或5’,3A =‘三个数字中含0但不含5’.解 3813107()15C P A C ==. 333998233310101014()15C C C P A C C C =+-=, 或 182231014()1()115C P A P A C =-=-=, 2833107()30C P A C ==. 7、从一副52张的扑克牌中任取3张,不重复,计算取出的3张牌中至少有2张花色相同的概率。
第一章思 考 题1.事件的和或者差的运算的等式两端能“移项”吗?为什么?2.医生在检查完病人的时候摇摇头“你的病很重,在十个得这种病的人中只有一个能救活. ”当病人被这个消息吓得够呛时,医生继续说“但你是幸运的.因为你找到了我,我已经看过九个病人了,他们都死于此病,所以你不会死” ,医生的说法对吗?为什么?3.圆周率 1415926.3=π是一个无限不循环小数, 我国数学家祖冲之第一次把它计算到小数点后七位, 这个记录保持了1000多年! 以后有人不断把它算得更精确. 1873年, 英国学者沈克士公布了一个π的数值, 它的数目在小数点后一共有707位之多! 但几十年后, 曼彻斯特的费林生对它产生了怀疑. 他统计了π的608位小数, 得到了下表:675844625664686762609876543210出现次数数字 你能说出他产生怀疑的理由吗?答:因为π是一个无限不循环小数,所以,理论上每个数字出现的次数应近似相等,或它们出现的频率应都接近于0.1,但7出现的频率过小.这就是费林产生怀疑的理由.4.你能用概率证明“三个臭皮匠胜过一个诸葛亮”吗?5.两事件A 、B 相互独立与A 、B 互不相容这两个概念有何关系?对立事件与互不相容事件又有何区别和联系?6.条件概率是否是概率?为什么?习 题1.写出下列试验下的样本空间:(1)将一枚硬币抛掷两次答:样本空间由如下4个样本点组成{(,)(,)(,)(,)Ω=正正,正反,反正,反反 (2)将两枚骰子抛掷一次答:样本空间由如下36个样本点组成{(,),1,2,3,4,5,6}i j i j Ω==(3)调查城市居民(以户为单位)烟、酒的年支出答:结果可以用(x ,y )表示,x ,y 分别是烟、酒年支出的元数.这时,样本空间由坐标平面第一象限内一切点构成 .{(,)0,0}x y x y Ω=≥≥2.甲,乙,丙三人各射一次靶,记-A “甲中靶” -B “乙中靶” -C “丙中靶” 则可用上述三个事件的运算来分别表示下列各事件:(1) “甲未中靶”: ;A(2) “甲中靶而乙未中靶”: ;B A(3) “三人中只有丙未中靶”: ;C AB(4) “三人中恰好有一人中靶”: ;C B A C B A C B A(5)“ 三人中至少有一人中靶”: ;C B A(6)“三人中至少有一人未中靶”: ;C B A 或;ABC(7)“三人中恰有两人中靶”: ;BC A C B A C AB(8)“三人中至少两人中靶”: ;BC AC AB(9)“三人均未中靶”: ;C B A(10)“三人中至多一人中靶”: ;C B A C B A C B A C B A(11)“三人中至多两人中靶”: ;ABC 或;C B A3 .设,A B 是两随机事件,化简事件 (1)()()A B A B (2) ()()A B A B 解:(1)()()A B AB AB AB B B ==, (2) ()()A B A B ()A B A B B A A B B ==Ω=.4.某城市的电话号码由5个数字组成,每个数字可能是从0-9这十个数字中的任一个,求电话号码由五个不同数字组成的概率. 解:51050.302410P P ==. 5.n 张奖券中含有m 张有奖的,k 个人购买,每人一张,求其中至少有一人中奖的概率。
第一章习题解答1.解:(1) Ω={0,1,…,10}; (2) Ω={=i ni|0,1,…,100n },其中n 为小班人数; (3) Ω={√,×√, ××√, ×××√,…},其中√表示击中,×表示未击中; (4) Ω={(y x ,)|22y x +<1}。
2.解:(1)事件C AB 表示该生是三年级男生,但不是运动员; (2)当全学院运动员都是三年级学生时,关系式C ⊂B 是正确的; (3)全学院运动员都是三年级的男生,ABC=C 成立;(4)当全学院女生都在三年级并且三年级学生都是女生时,A =B 成立。
3.解:(1)ABC ;(2)AB C ;(3)C B A ;(4)C B A )(⋃;(5)C B A ⋃⋃; (6)C B C A B A ⋃⋃;(7)C B A ⋃⋃;(8)BC A C B A C AB ⋃⋃ 4.解:因ABC ⊂AB ,则P (ABC )≤P (AB )可知P (ABC )=0 所以A 、B 、C 至少有一个发生的概率为P (A ∪B ∪C )=P (A )+P (B )+P (C )-P (AB )-P (AC )-P (BC )+P (ABC ) =3×1/4-1/8+0 =5/85.解:(1)P (A ∪B )= P (A )+P (B )-P (AB )=0.3+0.8-0.2=0.9)(B A P =P (A )-P (AB )=0.3-0.2=0.1(2)因为P (A ∪B )= P (A )+P (B )-P (AB )≤P (A )+P (B )=α+β, 所以最大值maxP (A ∪B )=min(α+β,1);又P (A )≤P (A ∪B ),P (B )≤P (A ∪B ),故最小值min P (A ∪B )=max(α,β) 6.解:设A 表示事件“最小号码为5”,B 表示事件“最大号码为5”。
概率论与数理统计学1至7章课后答案(总14页)--本页仅作为文档封面,使用时请直接删除即可----内页可以根据需求调整合适字体及大小--第二章作业题解:掷一颗匀称的骰子两次, 以X 表示前后两次出现的点数之和, 求X 的概率分布, 并验证其满足 式.解:由表格知并且,361)12()2(====X P X P ;362)11()3(====X P X P ;363)10()4(====X P X P ;364)9()5(====X P X P ;365)8()6(====X P X P ;366)7(==X P 。
即 36|7|6)(k k X P --== (k =2,3,4,5,6,7,8,9,10,11,12)设离散型随机变量的概率分布为,2,1,}{ ===-k ae k X P k 试确定常数a . 解:根据1)(0==∑∞=k k X P ,得10=∑∞=-k kae,即1111=---e ae 。
故 1-=e a甲、乙两人投篮时, 命中率分别为 和 , 今甲、乙各投篮两次, 求下列事件的概率:(1) 两人投中的次数相同; (2) 甲比乙投中的次数多. 解:分别用)2,1(,=i B A i i 表示甲乙第一、二次投中,则12121212()()0.7,()()0.3,()()0.4,()()0.6,P A P A P A P A P B P B P B P B ======== 两人两次都未投中的概率为:0324.06.06.03.03.0)(2121=⨯⨯⨯=B B A A P , 两人各投中一次的概率为:2016.06.04.03.07.04)()()()(1221211212212121=⨯⨯⨯⨯=+++B B A A P B B A A P B B A A P B B A A P 两人各投中两次的概率为:0784.0)(2121=B B A A P 。
所以: (1)两人投中次数相同的概率为3124.00784.02016.00324.0=++ (2) 甲比乙投中的次数多的概率为:12121221121212121212()()()()()20.490.40.60.490.3620.210.360.5628P A A B B P A A B B P A A B B P A A B B P A A B B ++++=⨯⨯⨯+⨯+⨯⨯= 设离散型随机变量X 的概率分布为5,4,3,2,1,15}{===k kk X P ,求)31()1(≤≤X P )5.25.0()2(<<X P 解:(1)52153152151)31(=++=≤≤X P (2) )2()1()5.25.0(=+==<<X P X P X P 51152151=+= 设离散型随机变量X 的概率分布为,,3,2,1,21}{ ===k k X P k ,求 };6,4,2{)1( =X P }3{)2(≥X P解:31)21211(21212121}6,4,2{)1(422642=++⨯=++== X P41}2{}1{1}3{)2(==-=-=≥X P X P X P设事件A 在每次试验中发生的概率均为 , 当A 发生3 次或3 次以上时, 指示灯发出信号, 求下列事件的概率:(1) 进行4 次独立试验, 指示灯发出信号; (2) 进行5 次独立试验, 指示灯发出信号.解:(1))4()3()3(=+==≥X P X P X P1792.04.06.04.04334=+⨯=C(2) )5()4()3()3(=+=+==≥X P X P X P X P31744.04.06.04.06.04.054452335=+⨯+⨯=C C .某城市在长度为t (单位:小时) 的时间间隔内发生火灾的次数X 服从参数为 的泊松分布, 且与时间间隔的起点无关, 求下列事件的概率: (1) 某天中午12 时至下午15 时未发生火灾;(2) 某天中午12 时至下午16 时至少发生两次火灾. 解:(1) ()!kP X k e k λλ-==,由题意,0.53 1.5,0k λ=⨯==,所求事件的概率为1.5e -.(2) 0(2)110!1!P X e e e e λλλλλλλ----≥=--=--, 由题意,0.54 1.5λ=⨯=,所求事件的概率为213e --.为保证设备的正常运行, 必须配备一定数量的设备维修人员. 现有同类设备180 台, 且各台设备工作相互独立, 任一时刻发生故障的概率都是,假设一台设备的故障由一人进行修理,问至少应配备多少名修理人员, 才能保证设备发生故障后能得到及时修理的概率不小于解:设应配备m 名设备维修人员。
习题答案第1章 三、解答题1.设P (AB ) = 0,则下列说法哪些是正确的? (1) A 和B 不相容; (2) A 和B 相容; (3) AB 是不可能事件; (4) AB 不一定是不可能事件; (5) P (A ) = 0或P (B ) = 0 (6) P (A – B ) = P (A ) 解:(4) (6)正确.2.设A ,B 是两事件,且P (A ) = 0.6,P (B ) = 0.7,问: (1) 在什么条件下P (AB )取到最大值,最大值是多少? (2) 在什么条件下P (AB )取到最小值,最小值是多少? 解:因为)()()()(B A P B P A P AB P ,又因为)()(B A P B P 即.0)()( B A P B P 所以(1) 当)()(B A P B P 时P (AB )取到最大值,最大值是)()(A P AB P =0.6.(2)1)( B A P 时P (AB )取到最小值,最小值是P (AB )=0.6+0.7-1=0.3.3.已知事件A ,B 满足)()(B A P AB P ,记P (A ) = p ,试求P (B ).解:因为)()(B A P AB P ,即)()()(1)(1)()(AB P B P A P B A P B A P AB P ,所以.1)(1)(p A P B P4.已知P (A ) = 0.7,P (A – B ) = 0.3,试求)(AB P .解:因为P (A – B ) = 0.3,所以P (A )– P(AB ) = 0.3, P(AB ) = P (A )– 0.3, 又因为P (A ) = 0.7,所以P(AB ) =0.7– 0.3=0.4,6.0)(1)( AB P AB P .5. 从5双不同的鞋子种任取4只,问这4只鞋子中至少有两只配成一双的概率是多少? 解:显然总取法有410C n种,以下求至少有两只配成一双的取法k : 法一:分两种情况考虑:15C k24C 212)(C +25C 其中:2122415)(C C C 为恰有1双配对的方法数法二:分两种情况考虑:!2161815C C C k +25C其中:!2161815C C C为恰有1双配对的方法数法三:分两种情况考虑:)(142815C C C k +25C其中:)(142815C C C 为恰有1双配对的方法数法四:先满足有1双配对再除去重复部分:2815C C k -25C法五:考虑对立事件:410C k -45C 412)(C其中:45C 412)(C 为没有一双配对的方法数法六:考虑对立事件:!4141618110410C C C C C k其中:!4141618110C C C C 为没有一双配对的方法数所求概率为.2113410C k p 6.在房间里有10个人,分别佩戴从1号到10号的纪念章,任取3人记录其纪念章的号码.求: (1) 求最小号码为5的概率; (2) 求最大号码为5的概率.解:(1) 法一:12131025 C C p ,法二:1213102513 A A C p (2) 法二:20131024 C C p ,法二:2013102413 A A C p 7.将3个球随机地放入4个杯子中去,求杯子中球的最大个数分别为1,2,3的概率. 解:设M 1, M 2, M 3表示杯子中球的最大个数分别为1,2,3的事件,则834)(3341 A M P , 1694)(324232 A C M P , 1614)(3143C M P8.设5个产品中有3个合格品,2个不合格品,从中不返回地任取2个,求取出的2个中全是合格品,仅有一个合格品和没有合格品的概率各为多少?解:设M 2, M 1, M 0分别事件表示取出的2个球全是合格品,仅有一个合格品和没有合格品,则 3.0)(25232 C C M P ,6.0)(2512131 C C C M P ,1.0)(25221 C C M P9.口袋中有5个白球,3个黑球,从中任取两个,求取到的两个球颜色相同的概率.解:设M 1=“取到两个球颜色相同”,M 1=“取到两个球均为白球”,M 2=“取到两个球均为黑球”,则2121M M M M M 且.所以.2813C C C C )()()()(282328252121 M P M P M M P M P10. 若在区间(0,1)内任取两个数,求事件“两数之和小于6/5”的概率.解:这是一个几何概型问题.以x 和y 表示任取两个数,在平面上建立xOy 直角坐标系,如图. 任取两个数的所有结果构成样本空间 = {(x ,y ):0 x ,y 1} 事件A =“两数之和小于6/5”= {(x ,y ) : x + y 6/5} 因此2517154211)(2的面积的面积A A P . 图?11.随机地向半圆220x ax y(a 为常数)内掷一点,点落在半圆内任何区域的概率与区域的面积成正比,求原点和该点的连线与x 轴的夹角小于4的概率. 解:这是一个几何概型问题.以x 和y 表示随机地向半圆内掷一点的坐标, 表示原点和该点的连线与x 轴的夹角,在平面上建立xOy 直角坐标系,如图.随机地向半圆内掷一点的所有结果构成样本空间={(x ,y ):220,20x ax y a x}事件A =“原点和该点的连线与x 轴的夹角小于4” ={(x ,y ):40,20,202x ax y a x }因此211214121)(222 a aa A A P 的面积的面积.12.已知21)(,31)(,41)( B A P A B P A P ,求)(B A P . 解:,1213141)()()( A B P A P AB P ,6121121)|()()(B A P AB P B P.311216141)()()()(AB P B P A P B A P 13.设10件产品中有4件不合格品,从中任取两件,已知所取两件产品中有一件是不合格品,则另一件也是不合格品的概率是多少?解:题中要求的“已知所取两件产品中有一件是不合格品,则另一件也是不合格品的概率”应理解为求“已知所取两件产品中至少有一件是不合格品,则两件均为不合格品的概率”。
·1·习 题 一1.写出下列随机试验的样本空间及下列事件中的样本点: (1)掷一颗骰子,记录出现的点数. A =‘出现奇数点’; (2)将一颗骰子掷两次,记录出现点数. A =‘两次点数之和为10’,B =‘第一次的点数,比第二次的点数大2’; (3)一个口袋中有5只外形完全相同的球,编号分别为1,2,3,4,5;从中同时取出3只球,观察其结果,A =‘球的最小号码为1’;(4)将,a b 两个球,随机地放入到甲、乙、丙三个盒子中去,观察放球情况,A =‘甲盒中至少有一球’;(5)记录在一段时间内,通过某桥的汽车流量,A =‘通过汽车不足5台’,B =‘通过的汽车不少于3台’。
解 (1)123456{,,,,,}S e e e e e e =其中i e =‘出现i 点’1,2,,6i =,135{,,}A e e e =。
(2){(1,1),(1,2),(1,3),(1,4),(1,5),(1,6)S = (2,1),(2,2),(2,3),(2,4),(2,5),(2,6) (3,1),(3,2),(3,3),(3,4),(3,5),(3,6) (4,1),(4,2),(4,3),(4,4),(4,5),(4,6)(5,1),(5,2),(5,3),(5,4),(5,5),(5,6) (6,1),(6,2),(6,3),(6,4),(6,5),(6,6)}; {(4,6),(5,5),(6,4)}A =; {(3,1),(4,2),(5,3),(6,4)}B =。
(3){(1,2,3),(2,3,4),(3,4,5),(1,3,4),(1,4,5),(1,2,4),(1,2,5)S =(2,3,5),(2,4,5),(1,3,5)}{(1,2,3),(1,2,4),(1,2,5),(1,3,4),(1,3,5),(1,4,5)}A =(4){(,,),(,,),(,,),(,,),(,,),(,,),S ab ab ab a b a b b a =---------(,,),(,,,),(,,)}b a a b b a ---,其中‘-’表示空盒;{(,,),(,,),(,,),(,,),(,,)}A ab a b a b b a b a =------。
概率论与数理统计练习册 参考答案第1章 概率论的基本概念 基础练习 1.11、C2、C3、D4、A B C ++5、13{|02}42x x x ≤<≤<或,{}12/1|<<x x ,Ω6、{3},{1,2,4,5,6,7,8,9,10},{1,2,6,7,8,9,10},{1,2,3,6,7,8,9,10}7、(1) Ω={正,正,正,正,正,次},A ={次,正}(2)Ω={正正,正反,反正,反反},A ={正正,反反},B={正正,正反}(3) 22{(,)|1}x y x y Ω=+≤,22{(,)|10}A x y x y x =+<<且 (4)Ω={白,白,黑,黑,黑,红,红,红,红},A={白},B={黑} 8、(1)123A A A (2)123123123A A A A A A A A A ++ (3)123A A A ++ (4)123123123123A A A A A A A A A A A A +++ (5)123123A A A A A A +9、(1)不正确 (2)不正确 (3)不正确 (4)正确 (5) 正确 (6)正确(7)正确 (8)正确10、(1)原式=()()()A B AB A B AB A B A B B -==+=U U U (2)原式=()()A A B B A B A AB BA BB A +++=+++= (3)原式=()AB AB =∅11、证明:左边=()AAB B A A B B AB B A B +=++=+=+=右边 1.21、C2、B3、B4、0.85、0.256、0.37、2226C C 8、0.081 9、2628C C10、3()()()()()()()()4P A B C P A P B P C P AB P BC P AC P ABC ++=++---+=11、解:设,,A B C 分别表示“100人中数学,物理,化学不及格的人数” 则{10},{9},{8}A B C ===,{5},{4},{4},{2}AB AC BC ABC ====100()84ABC A B C =-++=12、解:设A 表示“抽取3个球中至少有2个白球”21343437()C C C P A C +=13、解:(1)设A 表示“10件全是合格品”,则109510100()C P A C = (2) 设B 表示“10件中恰有2件次品”,则8295510100()C C P B C = 14、解:(1)设A 表示“五人生日都在星期日”,51()7P A =(2)设B 表示“五人生日都不在星期日”, 556()7P B = (3)设C 表示“五人生日不都在星期日”,55516()177P C =-- 15、解:{(,)|01,01}x y x y Ω=≤≤≤≤设A 表示“两人能会到面”,则1{(,)|}3A x y x y =-≤, 所以5()9P A =1.31、0.8,0.252、0.63、0.074、23 5、0.56、注:加入条件()0.4P B =解:()()0.1P AB P A ==,()()0.4P A B P B +==()()0.9P A B P AB +==,()(|)0.25()P AB P A B P B ==7、解:设A 表示"13张牌中有5张黑桃,3张红心,3张方块,2张梅花”则5332131313131352()C C C C P A C =,8、解:设123,,A A A 分别表示“零件由甲,乙,丙厂生产”,B 表示“零件时次品”则112233()()(|)()(|)()(|)P B P A P B A P A P B A P A P B A =++0.20.050.40.040.40.030.036=⋅+⋅+⋅=9、解:设123,,A A A 分别表示“甲,乙,丙炮射中敌机”, 123,,B B B分别表示“飞机中一门,二门,三门炮”,C 表示“飞机坠毁”。
第一章习题解答1.解:(1) Ω={0,1,…,10}; (2) Ω={=i ni|0,1,…,100n },其中n 为小班人数; (3) Ω={√,×√, ××√, ×××√,…},其中√表示击中,×表示未击中; (4) Ω={(y x ,)|22y x +<1}。
2.解:(1)事件C AB 表示该生是三年级男生,但不是运动员; (2)当全学院运动员都是三年级学生时,关系式C ⊂B 是正确的; (3)全学院运动员都是三年级的男生,ABC=C 成立;(4)当全学院女生都在三年级并且三年级学生都是女生时,A =B 成立。
3.解:(1)ABC ;(2)AB C ;(3)C B A ;(4)C B A )(⋃;(5)C B A ⋃⋃; (6)C B C A B A ⋃⋃;(7)C B A ⋃⋃;(8)BC A C B A C AB ⋃⋃ 4.解:因ABC ⊂AB ,则P (ABC )≤P (AB )可知P (ABC )=0所以A 、B 、C 至少有一个发生的概率为P (A ∪B ∪C )=P (A )+P (B )+P (C )-P (AB )-P (AC )-P (BC )+P (ABC )=3×1/4-1/8+0 =5/85.解:(1)P (A ∪B )= P (A )+P (B )-P (AB )=0.3+0.8-0.2=0.9)(B A P =P (A )-P (AB )=0.3-0.2=0.1(2)因为P (A ∪B )= P (A )+P (B )-P (AB )≤P (A )+P (B )=α+β, 所以最大值maxP (A ∪B )=min(α+β,1);又P (A )≤P (A ∪B ),P (B )≤P (A ∪B ),故最小值min P (A ∪B )=max(α,β) 6.解:设A 表示事件“最小号码为5”,B 表示事件“最大号码为5”。
由题设可知样本点总数310C n =,2425,C k C k A ==。
所以()==31025C C A P 121; ()==31024C C B P 2017.解:设A 表示事件“甲、乙两人相邻”,若n 个人随机排成一列,则样本点总数为!n ,()!2!.1-=n k A ,()()nn n A P 2!!2!.1=-=若n 个人随机排成一圈.可将甲任意固定在某个位置,再考虑乙的位置。
i ω表示按逆时针方向乙在甲的第i 个位置,1,...,2,1-=n i 。
则样本空间Ω={}121,...,,-n ωωω ,事件A={}11,-n ωω 所以 ()12-=n A P 8.解:设A 表示事件“偶遇一辆小汽车,其牌照号码中有数8”,则其对立事件A 表示“偶遇一辆小汽车,其牌照号码中没有数8”,即号码中每一位都可从除8以外的其他9个数中取,因此A 包含的基本事件数为449119=-+,样本点总数为410。
故()()4410911-=-=A P A P9.解:设A 、B 、C 分别表示事件“恰有2件次品”、“全部为正品”、“至少有1件次品”。
由题设知样本点总数410C n =,472723,C k C C k B A ==,()()61,103====n k B P n k A P B A , 而C B =,所以 ()()651=-=B P C P 10.解:设A 、B 、C 、D 分别表示事件“5张牌为同一花色”、“3张同点数且另2张牌也同点数”、“5张牌中有2个不同的对(没有3张同点)”、“4张牌同点数”。
样本点总数552C n =,各事件包含的基本事件数为241123411351314,C C C C k C C k B A == 148441131442424213,C C C k C C C C k D C == 故所求各事件的概率为:()()151312413134124555252,,A B C C C C C C k k P A P B n C n C ==== ()2221134444552,C k C C C C P C n C ==()14113448552D C C C k P D n C == 11.解:()()()()()2.05.07.0,4.01=-=-==-=B A P A P AB P B P B P (1)()()()972.04.07.07.0|=-+==B A P AB A P B A A P Y Y Y(2) ()()()929.02.0|===B A P AB P B A AB P Y Y(3) ()()()852.015.0|=-==B A P B A PB A A P Y Y 12.解:令A={两件产品中有一件是废品},B={两件产品均为废品},C={两件产品中有一件为合格品},D={两件产品中一件是合格品,另一件是废品}。
则()()()()2112112222112,,,Mmm M M m m M m M M m M m M m m C C C CD P C C C C C P C C AB P C C C C A P ----=+==+= 所求概率为:(1) ()()()121|---==m M m A P AB P A B P (2) ()()()12|-+==m M mC P CD P C D P 13.解:设A 、B 、C 分别表示事件甲、乙、丙得病,由已知有:P (A )=0.05P (B|A )=0.4 P (C|AB )=0.8 则甲、乙、丙均得病的概率为: P (ABC )=P (A )P (B|A )P (C|AB )=0.01614.解:令{}2,1,0,==i i ,A i 名中国旅游者有从甲团中任选两人 B={从乙团中随机选一人是中国人},则:()()2|,22+++==+-b a ia A B P C C C A P i mn im i n i 由全概率公式有:()()()∑∑==+-+++==2020222|i i m n im i n i i b a ia C C C A B P A P B P 15.解:令A={天下雨},B={外出购物} 则:P (A )=0.3 , P (B|A )=0.2 ,P (B|A )=0.9(1) P (B )=P (A )P (B|A )+P (A )P (B|A )=0.69 (2) P (A|B )=()()()232|=B P A B P A P16.解:令A={学生知道答案},B={学生不知道答案},C={学生答对}P (A )=0.5 P {B }=0.5 P (C|A )=1 P (C|B )=0.25 由全概率公式:P (C )=P (A )P (C|A )+P (B )P (C|B ) =0.5+0.5×0.25=0.625所求概率为:P (A|C )=8.0625.05.0=17.解:令事件{}2,1,==i i A i 次取到的零件是一等品第{}2,1,==i i B i 箱取到第 则()()5.021==B P B P(1)()()()()()4.030185.050105.0||2121111=⨯+⨯=+=B A P B P B A P B P A P (2)()()()()()()()4.0|||2212121112112B A A P B P B A A P B P A P A A P A A P +==4856.04.0293017185.049509105.0=⨯⨯⨯+⨯⨯⨯=18.证明:因()()B A P B A P ||= 则()()()()()()()B P AB P A P BP B A P B P AB P --==1 经整理得:()()()B P A P AB P = 即事件A 与B 相互独立。
19.解:由已知有 ()()41==B A P B A P ,又A 、B 相互独立,所以A 与B 相互独立;A 与B 相互独立。
则可从上式解得:P (A )=P (B )=1/2 20.解:设A “密码被译出”,i A =“第i 个人能译出密码”,i =1,2,3则41)(,31)(,51)(321===A P A P A P )()(321A A A P A P ⋃⋃= 又321,,A A A 相互独立,因此)(1)(321A A A P A P -= =)()()(1321A P A P A P -=6.0)411)(311)(511(1=----21.解:设=i A “第i 次试验中A 出现”,4,3,2,1=i 则此4个事件相互独立。
由题设有:()()()()59.0111443214321=--=-=A P A A A A P A A A A P Y Y Y解得P (A )=0.222.解:设A 、B 、C 分别表示事件:甲、乙、丙三门大炮命中敌机,D 表示敌机被击落。
于是有 D=BC A C B A C AB ABC Y Y Y 故敌机被击落的概率为:()()()()()()()()()()()()()()()()()9.08.03.09.02.07.01.08.07.09.08.07.0⨯⨯+⨯⨯+⨯⨯+⨯⨯=+++=+++=C P B P A P C P B P A P C P B P A P C P B P A P BCA P CB A PC AB P ABC PD P=0.90223.解:设A 、B 、C 分别表示事件:甲、乙、丙三人钓到鱼,则P (A )=0.4,P (B )=0.6,P (C )=0.9 (1) 三人中恰有一人钓到鱼的概率为:()()()()CB A PC B A P C B A P CB AC B A C B A P ++=Y Y=0.4×0.4×0.1+0.6×0.6×0.1+0.6×0.4×0.9 =0.268(2) 三人中至少有一人钓到鱼的概率为:()()()()()C P B P A P C B A P C B A P -=-=11Y Y=1-0.6×0.4×0.1 =0.97624.解:设D=“甲最终获胜”,A=“第一、二回合甲取胜”;B=“第一、二回合乙取胜”; C=“第一、二回合甲、乙各取胜一次”。
则:()()()αββα2,,22===C P B P A P()()()().|,0|,1|D P C D P B D P A D P === 由全概率公式得:()()()()()()()C D P C P B D P B P A D P A P D P |||++=()2202P D αβαβ=+⨯+所以 P (D )=αβα212-25.解:由题设500个错字出现在每一页上的机会均为1/50,对给定的一页,500个错字是否出现在上面,相当于做500次独立重复试验。