工程光学下篇物理光学试卷题目
- 格式:doc
- 大小:48.17 KB
- 文档页数:3
第一章习题1、已知真空中的光速c=3 m/s,求光在水(n=1.333)、冕牌玻璃(n=1.51)、火石玻璃(n=1.65)、加拿大树胶(n=1.526)、金刚石(n=2.417)等介质中的光速。
解:则当光在水中,n=1.333时,v=2.25 m/s,当光在冕牌玻璃中,n=1.51时,v=1.99 m/s,当光在火石玻璃中,n=1.65时,v=1.82 m/s,当光在加拿大树胶中,n=1.526时,v=1.97 m/s,当光在金刚石中,n=2.417时,v=1.24 m/s。
2、一物体经针孔相机在屏上成一60mm大小的像,若将屏拉远50mm,则像的大小变为70mm,求屏到针孔的初始距离。
解:在同种均匀介质空间中光线直线传播,如果选定经过节点的光线则方向不变,令屏到针孔的初始距离为x,则可以根据三角形相似得出:所以x=300mm即屏到针孔的初始距离为300mm。
3、一厚度为200mm的平行平板玻璃(设n=1.5),下面放一直径为1mm的金属片。
若在玻璃板上盖一圆形纸片,要求在玻璃板上方任何方向上都看不到该金属片,问纸片最小直径应为多少?解:令纸片最小半径为x,则根据全反射原理,光束由玻璃射向空气中时满足入射角度大于或等于全反射临界角时均会发生全反射,而这里正是由于这个原因导致在玻璃板上方看不到金属片。
而全反射临界角求取方法为:(1)其中n2=1, n1=1.5,同时根据几何关系,利用平板厚度和纸片以及金属片的半径得到全反射临界角的计算方法为:(2)联立(1)式和(2)式可以求出纸片最小直径x=179.385mm,所以纸片最小直径为358.77mm。
4、光纤芯的折射率为n1、包层的折射率为n2,光纤所在介质的折射率为n0,求光纤的数值孔径(即n0sinI1,其中I1为光在光纤内能以全反射方式传播时在入射端面的最大入射角)。
解:位于光纤入射端面,满足由空气入射到光纤芯中,应用折射定律则有:n0sinI1=n2sinI2 (1)而当光束由光纤芯入射到包层的时候满足全反射,使得光束可以在光纤内传播,则有:(2)由(1)式和(2)式联立得到n0 sinI1 .5、一束平行细光束入射到一半径r=30mm、折射率n=1.5的玻璃球上,求其会聚点的位置。
物理学:工程光学试题及答案(三)1、填空题在原子吸收光谱中,谱线变宽的基本因素是自然宽度,(),(),场致变宽,自吸变宽。
正确答案:多普勒变宽;压力变宽2、填空题为达到增反的目的,单层膜的折射率n与玻璃基板折射(江南博哥)率n玻的关系是()正确答案:n>nG3、名词解释标准样板精度正确答案:标准样板的曲率半径名义值与其曲率半径实际值的偏差。
4、判断题原子内部的电子跃迁可以在任意两个能级之间进行,所以原子光谱是由众多条光谱线按一定顺序组成。
正确答案:错5、单选在原子吸收光谱法中,对光源进行调制的目的是()。
A.校正背景干扰B.消除物理干扰C.消除原子化器的发射干扰D.消除电离干扰正确答案:A6、名词解释入光瞳直经正确答案:入光瞳直径等于物空间中用透镜单位表示的近轴像光阐的大小。
7、名词解释基态和激发态正确答案:粒子能级中的最低能量状态称为基态,其余的自下而上依次为第一激发态、第二激发态等。
8、问答题为何在设计望远镜系统时要将孔径光阑置于物镜上?正确答案:望远镜是目视系统,需要与人眼联用。
根据光瞳衔接的原则,望远镜的出瞳应与人眼的瞳孔衔接,故它因该位于望远目镜之后,一般要求6mm以上的距离。
计算表明,将孔径光阑置于物镜上可以满足对出瞳的位置要求,而且望远镜的物镜、棱镜的尺寸最小9、单选选择辅助电极时,最起码的要求是不含()。
A、基体元素B、被测元素C、碳元素D、其他元素正确答案:B10、单选在原子吸收法中,能够导致谱线峰值产生位移和轮廓不对称的变宽应是()。
A.热变宽B.压力变宽C.自吸变宽D.场致变宽正确答案:B11、判断题光谱分析的检出限指的是某分析方法可靠地检出样品中某元素的最小量。
正确答案:对12、名词解释视见函数正确答案:光度学中,为了表示人眼对不同波长辐射的敏感度差别,定义了一个函数V(λ),称为“视见函数”。
在可见光范围内,人眼对黄绿光最敏感。
V(555)=1。
13、单选感光板中的()是感光物质。
光学物理测试题及答案一、选择题(每题2分,共10分)1. 光的波动性可以通过以下哪个实验来验证?A. 双缝干涉实验B. 光电效应实验C. 康普顿散射实验D. 光电导实验答案:A2. 光的折射率n与光在真空中的速度c和介质中的速度v之间的关系是?A. n = c/vB. n = v/cC. n = c + vD. n = c - v答案:A3. 光的偏振现象说明光是:A. 横波B. 纵波C. 非波D. 无法确定答案:A4. 以下哪种现象不属于光的干涉现象?A. 牛顿环B. 薄膜干涉C. 光的衍射D. 光的反射答案:D5. 光的波长与频率的关系是?A. 波长与频率成正比B. 波长与频率成反比C. 波长与频率无关D. 波长与频率相等答案:B二、填空题(每题2分,共10分)1. 光的三原色是________、________和________。
答案:红、绿、蓝2. 光的干涉现象中,两束相干光的相位差为0时,干涉结果是________干涉。
答案:构造3. 光的折射定律中,入射角和折射角的正弦之比等于介质的________。
答案:折射率4. 光的多普勒效应是指当光源和观察者之间存在相对运动时,观察者接收到的光的________会发生变化。
答案:频率5. 光的全反射现象发生在光从光密介质进入光疏介质,且入射角大于临界角时,此时光不会进入光疏介质,而是在光密介质中发生________。
答案:全反射三、简答题(每题5分,共20分)1. 简述光的干涉现象及其产生的条件。
答案:光的干涉现象是指两束或多束相干光波相遇时,它们的振幅相互叠加,形成明暗相间的干涉条纹的现象。
产生干涉的条件包括:两束光必须是相干光,即它们的频率相同,相位差恒定;两束光的波前必须相互重叠。
2. 解释光的偏振现象及其应用。
答案:光的偏振是指光波振动方向的选择性,自然光是各向同性的,而偏振光则是在特定方向上振动的光。
偏振现象可以通过偏振片来观察,偏振片只允许特定方向的光波通过。
1.在单缝衍射中,设缝宽为a ,光源波长为λ,透镜焦距为f ´,则其衍射暗条纹间距e 暗=f a λ' ,条纹间距同步可称为线宽度。
3.光线通过平行平板折射后出射光线方向__不变_ ___ ,但会产生轴向位移量,当平面板厚度为d ,折射率为n ,则在近轴入射时,轴向位移量为1(1)d n- 。
4.在光旳衍射装置中,一般有光源、衍射屏、观测屏,则衍射按照它们距离不一样可分为两类,一类为 菲涅耳衍射,另一类为 夫琅禾费衍射 。
5.光轴是晶体中存在旳特殊方向,当光在晶体中沿此方向传播时不产生双折射。
n e <n o 旳单轴晶体称为负单轴晶体 。
6.1/4波片旳附加相位差为(21)0,1,2,...2m m π+=±±,线偏振光通过1/4波片后,出射光将变为 椭圆偏振光或圆片遮光 。
8.两列波相干旳条件 有方向相似旳振动分量 、振动频率相似 、 相位差稳定_。
9.假设光波旳偏振度为p ,则p=0时表达 自然光,p=1时表达线偏振光,0<p<1时表达部分偏振光。
10.菲涅尔圆孔衍射图样旳中心点也许是明旳,也也许是暗旳,而夫琅和费衍射图样旳中心点是明 旳。
11.光波旳振动方向与传播方向互相 垂直 ,因此光波是横波 。
12.当自然光以布儒斯特角入射至两各向同性介质界面上,其反射光为线偏振光,折射光为_部分 偏振光。
14.在迈克尔逊干涉仪中,用单色光源直接照明,若反射镜M 1、M 2严格垂直,则此时发生 等倾(等倾或等厚)干涉,可观测到中央或明或暗旳一系列同心圆环,圆环中央疏、边缘密_(描述条纹特点),若M 1与M 2’间旳厚度每减少2λ 旳距离,在条纹中心就消失 一种条纹。
17.一般获得相干光旳措施有两类:分波面法和 分振幅法 。
18.牛顿环是一种等厚(等倾或等厚)干涉条纹,反射式牛顿环中心总是暗(亮或暗)旳。
20.迈克耳逊干涉仪旳一种反射镜移动0.33mm时,测得条纹变动192次,则所用光源旳波长为3437.5nm。
“应用光学习题”、“物理光学习题”、“工程光学+练习题”一、选择题1、几何光学有三大基本定律,它们是是:( D )A、折射与反射定律,费马原理,马吕斯定律;B、直线传播定律,折射与反射定律,费马原理;C、独立传播定律,折射与反射定律,马吕斯定律;D、直线传播定律,独立传播定律,折射与反射定律。
2、对理想光学系统,下列表述正确的是:( C )A、位于光轴上的物点的共轭像点不在光轴上;B、物方焦点与像方焦点共轭;C、基点与基面为:焦点、主点、节点,焦平面、主平面、节平面;D、牛顿物像位置关系,它是以主点为坐标原点。
3、关于光阑,下列表述正确的是:( B )A、孔径光阑经其前面的光学系统所成的像称为入窗;B、若孔径光阑在光学系统的最前面,则孔径光阑本身就是入瞳;C、孔径光阑、入窗、出窗三者是物像关系;D、视场光阑是限制轴上物点孔径角的大小,或者说限制轴上物点成像光束宽度、并有选择轴外物点成像光束位置作用的光阑。
4、关于人眼,下列描述正确的是:( A )A、眼睛自动改变焦距的过程称为眼睛的视度调节;B、近视眼是将其近点矫正到明视距离,可以用负透镜进行校正;C、眼睛可视为由水晶体、视网膜和视神经构成的照相系统。
;D、人眼分辨率与极限分辨角成正比关系。
5、关于典型光学系统,下列表述正确的是:( B )A、增大波长可以提高光学系统的分辨率;B、显微镜的有效放大率,放大率高于1000NA时,称作无效放大率,不能使被观察的物体细节更清晰;C、目视光学仪器,其放大作用可以由横向放大率来表示;D、减小孔径可以提高光学系统的分辨率。
6、关于光的电磁理论,下列表述正确的是:( D )A、两列光波相遇后又分开,每列光波不再保持原有的特性;B、两列光波叠加后其光强为两列光波的强度之和;C、等振幅面传播的速度称为相速度;D、两个振幅相同、振动方向相同、传播方向相同,但频率接近的单色光波叠加形成拍现象。
7、关于光的干涉,下列表述正确的是:( A )A、平行平板的多光束干涉中,随平板反射率的增加,透射光的干涉条纹变得越明锐;B、楔形平板形成的干涉为等倾干涉;C、等倾干涉条纹为同心圆环状条纹,中央条纹级次最低;D、迈克耳逊干涉仪只能产生等厚干涉条纹。
工程光学-物理光学智慧树知到课后章节答案2023年下北京航空航天大学北京航空航天大学第一章测试1.光的空间周期性可用()这样一组物理量来表示。
A:角频率 B:波长 C:空间频率 D:空间角频率答案:波长;空间频率;空间角频率2.电磁波是恒波。
()A:对 B:错答案:对3.驻波形成的条件:两个频率相同、振动方向相同、传播方向相同的单色光波的叠加。
()A:错 B:对答案:错4.驻波的现象是形成合成波的强度随时间和位置而变化。
()A:错 B:对答案:错5.光能量或光信号的传播速度是()。
A:群速度 B:相速度答案:群速度第二章测试1.任一方位振动的光矢量E,都可分解成两个互相垂直的分量。
平行于入射面振动的分量称为光矢量的p分量;垂直于入射面振动的分量称为光矢量的s 分量。
()A:错 B:对答案:对2.光在光密-光疏介质界面上反射时,对于正入射或掠入射时,反射光的光矢量产生π的相位改变,称为半波损失。
()A:对 B:错答案:错3.光从光疏媒质界面上发生全反射时,透过界面进入第二媒质约波长量级,并沿着界面流过波长量级距离后返回第一媒质,沿着反射波方向出射的波称为倏逝波。
()A:对 B:错答案:错4.光轴是晶体中存在的一个特殊方向,光在晶体中沿光轴传播时会发生双折射现象。
()A:对 B:错答案:错5.o光的振动方向()主平面。
A:位于 B:垂直于答案:垂直于第三章测试1.一束自然光以30度角入射到玻璃-空气界面,玻璃的折射率n=1.45,反射光的偏振度为93.8%。
()A:对 B:错答案:错2.波片快轴的定义:在波片中传播速度慢的光矢量方向。
()A:对 B:错答案:错3.电气石对o光的吸收系数为3.6/cm,对e光的吸收系数为0.8/cm,将它作成偏振片。
当自然光入射时,若要得到偏振度为88%的透射光,偏振片厚度为1.64cm。
()A:错 B:对答案:错4.通过检偏器观察一束椭圆偏振光,其强度随着检偏器的旋转而改变。
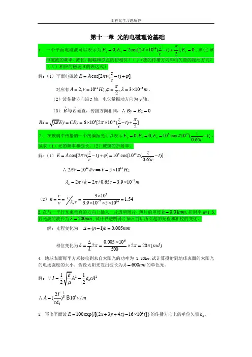
第十一章 光的电磁理论基础解:(1)平面电磁波cos[2()]E A t cπνϕ=-+ 对应有1462,10,,3102AHz m πνϕλ-====⨯。
(2)波传播方向沿z 轴,电矢量振动方向为y 轴。
(3)B E →→与垂直,传播方向相同,∴0By Bz ==814610[210()]z Bx CEy t ππ===⨯⨯-+解:(1)215cos[2()]10cos[10()]0.65E A t t ccπνϕπ=-+=- ∴1514210510v Hz πνπν=⇒=⨯72/2/0.65 3.910n k c m λππ-===⨯(2)8714310 1.543.910510n c c n v λν-⨯====⨯⨯⨯ 3.在与一平行光束垂直的方向上插入一片透明薄片,薄片的厚度0.01h mm =,折射率n=1.5,若光波的波长为500nm λ=,试计算透明薄片插入前后所引起的光程和相位的变化。
解:光程变化为 (1)0.005n h mm ∆=-=相位变化为)(20250010005.026rad πππλδ=⨯⨯=∆= 4. 地球表面每平方米接收到来自太阳光的功率为 1.33kw,试计算投射到地球表面的太阳光的电场强度的大小。
假设太阳光发出波长为600nm λ=的单色光。
解:∵22012I cA ε== ∴1322()10/I A v m c ε=5. 写出平面波8100exp{[(234)1610]}E i x y z t =++-⨯的传播方向上的单位矢量0k 。
解:∵exp[()]E A i k r t ω=- x y z k r k x k y k z ⋅=⋅+⋅+⋅00000000002,3,4234x y z x y z k k k k k x k y k z x y z k x y z ===∴=⋅+⋅+⋅=++=+ 6. 一束线偏振光以45度角从空气入射到玻璃的界面,线偏振光的电矢量垂直于入射面,试求反射系数和透射系数。
物理光学试题精选及答案1.一段时间一来,“假奶粉事件”闹得沸沸扬扬,奶粉的碳水化合物(糖)含量是一种重要指标,可以用“旋光法”来测量糖溶液的浓度,从而测定含糖量,偏振光通过糖的水溶液后,偏振方向会相对于传播方向向左或向右旋转一个角度α,这一角度α称为“旋光度”,α的值只与糖溶液的浓度有关,将α的测量值与标准值相比较,就能测量被测样品的含糖量了.如图所示,S 是自然光源,A 、B 是偏振片,转动B ,使到达O 处的光最强,然后将被测样品P 置于A 、B 之间,则下列说法中正确的是(ACD )A .到达O 处光的强度会明显减弱B .到达O 处光的强度不会明显减弱C .将偏振片B 转动一个角度,使得O 处光的强度最大,偏振片转过的角度等于αD .将偏振片A 转动一个角度,使得O 处光的强度最大,偏振片转过的角度等于α2.如图所示,一束平行复色光被玻璃三棱镜折射后分解为互相分离的红、黄、蓝三色光,分别照射到相同的三块金属板上,已知金属板b 恰有光电子逸出,则可知(D )A .照射到板c 上的光是蓝色光B .照射到板c 上的光在棱镜中传播速度最小C .照射到板a 上的光波长最长D .板a 上一定能发生光电效应3.验钞机发出的“光”能使钞票上的荧光物质发光,家用电器上的遥控器发出的“光”用来控制电视机,空调器等,对于它们发出的光,下列说法正确的是(B ) ①验钞机发出的“光”是红外线②遥控器发出的“光”是红外线③红外线是由原子的内层电子受到激发后产生的④红外线是由原子的外层电子受到激发后产生的A .①②B .②④C .①④D .②③4.某种金属逸出功为2.3eV ,这意味着① 在这种金属内部的电子克服原子核引力做2.3 eV 的功即可脱离表面 ② 在这种金属表层的电子克服原子核引力做2.3 eV 的功即可脱离表面 ③ 要使这种金属有电子逸出,入射光子的能量必须大于2.3eV④ 这种金属受到光照时若有电子逸出,则电子离开金属表面时的动能至少等于2.3eV 上述正确的是(C )A .①③B .②④C .②③D .③④5.下列叙述中与光的波动性有关的是(BD )A .用光导纤维传播信号B .用透明的标准样板与单色光检查工件表面的平整度C .一束白光通过三棱镜形成彩色光带D .水面上的油膜呈现彩色6.不同频率的紫外光分别照射钨和锌的表面而产生光电效应,可得到光电子的最大初动能E k 随入射光频率ν变化的E k —ν图象.已知钨的逸出功是3.28eV ,锌的逸出功是3.34eV ,若将二者的图线画在同一个坐标中,以实线表示钨、虚线表示锌,则下图中AAS B自然光源 偏振片 被测样品 偏振片b c A B CD7.一束复色光从长方体玻璃砖上表面射入玻璃,穿过玻璃砖后从侧表面射出,变为a 、b 两束单色光,如图所示。
光学试题(120分钟)班级__________学号____________姓名____________一 选择题(每小题3分,共30分)1 单色平行光垂直照射在薄膜上,经上下两表面 反射的两束光发生干涉,如图所示,若薄膜的厚 度为e ,且n 1<n 2>n 3,1为入射光在n 1中的波长, 则两束反射光的光程差为(A) 2n 2e . (B) 2n 2 e - λ1 / (2n 1). (C) 2n 2 e - n 1 λ1 / 2. (D) 2n 2 e - n 2 λ1 / 2. [ ]2 若把牛顿环装置(都是用折射率为1.52的玻璃制成的)由空气搬入折射率为1.33的水中,则干涉条纹(A) 中心暗斑变成亮斑. (B) 变疏.(C) 变密. (D) 间距不变. [ ]3 用劈尖干涉法可检测工件表面缺陷,当波长为的单色平行光垂直入射时,若观察到的干涉条纹如图所示,每一条纹弯曲部分的顶点恰好与其左边条 纹的直线部分的连线相切,则工件表面与条纹弯曲处对应的部分(A) 凸起,且高度为 / 4.(B) 凸起,且高度为 / 2. (C) 凹陷,且深度为 / 2.(D )凹陷,且深度为 / 4. [ ]4 在玻璃(折射率n 2=1.60)表面镀一层MgF 2 (折射率n 2=1.38)薄膜作为增透膜.为了使波长为500 nm(1nm=109m)的光从空气(n 1=1.00)正入射时尽可能少反射,MgF 2薄膜的最少厚度应是(A) 78.1 nm (B) ) 90.6 nm (C) 125 nm (D) 181 nm (E) 250nm [ ]5 对某一定波长的垂直入射光,衍射光栅的屏幕上只能出现零级和一级主极大,欲使屏幕上出现更高级次的主极大,应该(A) 换一个光栅常数较小的光栅. (B) 换一个光栅常数较大的光栅. (C) 将光栅向靠近屏幕的方向移动.(D) 将光栅向远离屏幕的方向移动. [ ]6 在双缝衍射实验中,若保持双缝S 1和S 2的中心之间的距离d 不变,而把两条缝的宽度an 3略微加宽,则(A) 单缝衍射的中央主极大变宽,其中所包含的干涉条纹数目变少. (B) 单缝衍射的中央主极大变宽,其中所包含的干涉条纹数目变多. (C) 单缝衍射的中央主极大变宽,其中所包含的干涉条纹数目不变. (D) 单缝衍射的中央主极大变窄,其中所包含的干涉条纹数目变少.(E) 单缝衍射的中央主极大变窄,其中所包含的干涉条纹数目变多. [ ]7 如果两个偏振片堆叠在一起,且偏振化方向之间夹角为60°,光强为I 0的自然光垂直入射在偏振片上,则出射光强为(A) I 0 / 8. (B) I 0 / 4.(C) 3 I 0 / 8. (D) 3 I 0 / 4. [ ]8 一束自然光自空气射向一块平板玻璃(如图),设入射角等于布儒斯特角i 0,则在界面2的反射光(A) 是自然光.(B) 是线偏振光且光矢量的振动方向垂直于入射面. (C) 是线偏振光且光矢量的振动方向平行于入射面. (D) 是部分偏振光.[ ]9 用频率为υ1的单色光照射某一种金属时,测得光电子的最大动能为E k1;用频率为υ2的单色光照射另一种金属时,测得光电子的最大动能为E k2.如果E k1 >E k 2,那么 (A) υ1一定大于υ2. (B) υ1一定小于υ2.(C) υ1一定等于υ2. (D) υ1可能大于也可能小于υ2. [ ]10已知某单色光照射到一金属表面产生了光电效应,若此金属的逸出电势是U 0 (使电子从金属逸出需作功eU 0),则此单色光的波长 必须满足: (A) ≤)/(0eU hc . (B) ≥)/(0eU hc . (C) ≤)/(0hc eU . (D) ≥)/(0hc eU . [ ]二 填空(每小题3分,共30分)1 一双缝干涉装置,在空气中观察时干涉条纹间距为1.0 mm .若整个装置放在水中,干涉条纹的间距将为____________________mm .(设水的折射率为4/3)2 如图所示,波长为的平行单色光垂直照射到 两个劈形膜上,两劈尖角分别为θ1和θ2,折射率 分别为n 1和n 2,若二者分别形成的干涉条纹的明条纹间距相等,则θ1,θ2,n 1和n 2之间的关系是_____________.3 若在迈克耳孙干涉仪的可动反射镜M 移动0.620 mm 过程中,观察到干涉条纹移动了2300条,则所用光波的波长为_____________nm .(1 nm=10-9m)λn 1 θ1θ2n 24在单缝夫琅禾费衍射实验中,设第一级暗纹的衍射角很小,若钠黄光(1≈589 nm) 中央明纹宽度为 4.0 mm,则2=442 nm (1 nm = 10-9 m)的蓝紫色光的中央明纹宽度为____________________.5用波长为546.1 nm(1 nm =10-9 m)的平行单色光垂直照射在一透射光栅上,在分光计上测得第一级光谱线的衍射角为θ=30°.则该光栅每一毫米上有_____条刻痕.6要使一束线偏振光通过偏振片之后振动方向转过90°,至少需要让这束光通过__________块理想偏振片.在此情况下,透射光强最大是原来光强的______ 倍.7 已知钾的逸出功为 2.0 eV,如果用波长为3.60×10-7 m的光照射在钾上,则光电效应的遏止电压的绝对值|U a| =___________________.从钾表面发射出电子的最大速度v max=_____________________.(h =6.63×10-34J·s,1eV =1.60×10-19J,m e=9.11×10-31kg) 8.直径3米的园桌中心上方2米处吊一平均发光强度为200坎德拉的灯泡,园桌中心的光照度等于_______________; 边缘的光照度等于__________________。
工程光学复习题及答案一、单项选择题1. 光学中,光的波动性可以通过以下哪个实验来验证?A. 双缝干涉实验B. 单缝衍射实验C. 迈克尔逊干涉仪实验D. 光的偏振实验答案:A2. 以下哪种光学元件可以实现光的会聚?A. 凸透镜B. 凹透镜C. 平面镜D. 棱镜答案:A3. 光的折射定律是由哪位科学家提出的?A. 牛顿B. 惠更斯C. 斯涅尔D. 爱因斯坦答案:C二、填空题4. 光在真空中的传播速度是_________m/s。
答案:3×10^85. 光的波长、频率和速度之间的关系可以用公式_________来表示。
答案:v=λf6. 光的偏振现象表明光是一种_________。
答案:横波三、简答题7. 简述光的干涉现象及其产生条件。
答案:光的干涉现象是指两束或多束相干光波在空间相遇时,由于光波的相位差引起的光强分布出现明暗相间的条纹。
产生干涉的条件是:两束光必须是相干光,即它们的频率相同,相位差恒定或满足一定的关系。
8. 什么是光的衍射现象?并举例说明。
答案:光的衍射现象是指光波在遇到障碍物或通过狭缝时,光波的传播方向发生改变,形成明暗相间的衍射图样。
例如,当光通过单缝时,会在缝后形成衍射条纹,这种现象称为单缝衍射。
四、计算题9. 已知一束光的波长为500nm,求其在真空中的频率。
答案:根据公式v=λf,光在真空中的速度v=3×10^8 m/s,波长λ=500×10^-9 m,代入公式可得频率f=v/λ=(3×10^8)/(500×10^-9) Hz=6×10^14 Hz。
10. 一束光从空气斜射入水中,入射角为30°,求折射角。
答案:根据斯涅尔定律n1sinθ1=n2sinθ2,其中n1为空气的折射率,n2为水的折射率,θ1为入射角,θ2为折射角。
空气的折射率n1≈1,水的折射率n2≈1.33,代入公式可得sinθ2=n1sinθ1/n2=1×sin30°/1.33≈0.433,因此θ2≈26.3°。
工程光学考试题及答案高中一、选择题1. 光学成像的基本条件是什么?A. 物体必须在焦点以内B. 物体必须在焦点以外C. 物体必须在焦点上D. 物体必须在焦距以内答案:B2. 凸透镜成像的规律是什么?A. 物远像近像变小B. 物近像远像变大C. 物远像远像变大D. 物近像近像变小答案:B3. 以下哪种情况不属于光的折射现象?A. 光从空气进入水中B. 光从水中进入空气中C. 光从玻璃进入空气中D. 光从空气直接传播答案:D4. 光的三原色是什么?A. 红、绿、蓝B. 红、黄、蓝C. 红、橙、绿D. 蓝、绿、紫答案:A5. 以下哪种光学仪器是利用光的反射原理制成的?A. 望远镜B. 放大镜C. 显微镜D. 潜望镜答案:D二、填空题6. 凸透镜的焦距越短,其成像能力越________。
答案:强7. 当物体位于凸透镜的焦点上时,成像情况是________。
答案:不成像8. 光的折射定律中,入射角和折射角的关系是________。
答案:入射角越大,折射角越大9. 光的干涉现象是指两个或两个以上的________相互叠加的现象。
答案:光波10. 光的衍射现象是指光绕过障碍物继续传播的现象,这种现象说明了光具有________。
答案:波动性三、简答题11. 请简述光的干涉条件。
答案:光的干涉条件包括:光波的频率相同、光波的相位差恒定、光波的振动方向相同。
12. 什么是全反射现象?请简述其产生条件。
答案:全反射现象是指当光从光密介质射向光疏介质,且入射角大于临界角时,光将完全反射回光密介质中。
产生全反射的条件包括:光从光密介质进入光疏介质,入射角大于临界角。
四、计算题13. 已知凸透镜的焦距为10cm,物体距离透镜15cm,求像的性质和位置。
答案:根据凸透镜成像公式1/f = 1/u + 1/v,其中f为焦距,u为物距,v为像距。
代入数据得1/10 = 1/15 + 1/v,解得v = 30cm。
由于物距大于焦距,像距大于物距,所以成像为倒立、放大的实像。
物理光学试题及答案一、选择题(每题2分,共20分)1. 光在真空中的传播速度是()A. 3×10^8 m/sB. 2×10^8 m/sC. 1×10^8 m/sD. 4×10^8 m/s答案:A2. 下列哪种现象不属于光的干涉现象()A. 双缝干涉B. 单缝衍射C. 薄膜干涉D. 光的反射答案:D3. 光的偏振现象说明光是()A. 横波B. 纵波C. 非波动性D. 粒子性答案:A4. 光的全反射条件是()A. 光从光密介质射向光疏介质B. 光从光疏介质射向光密介质C. 入射角大于临界角D. 入射角小于临界角答案:C5. 光的多普勒效应是指()A. 光的频率随光源运动而变化B. 光的频率随观察者运动而变化C. 光的强度随光源运动而变化D. 光的强度随观察者运动而变化答案:B6. 光的波长越长,其()A. 频率越高B. 频率越低C. 能量越小D. 能量越大答案:C7. 光的色散现象是由于()A. 光的波长不同B. 光的频率不同C. 光的强度不同D. 光的偏振不同答案:A8. 光的折射定律是()A. 折射角等于入射角B. 折射角与入射角成正比C. 折射角与入射角成反比D. 折射角与入射角的正弦值成比例答案:D9. 光的衍射现象说明光具有()A. 粒子性B. 波动性C. 非波动性D. 非粒子性答案:B10. 光的反射定律是()A. 反射角等于入射角B. 反射角与入射角成正比C. 反射角与入射角成反比D. 反射角与入射角的正弦值成比例答案:A二、填空题(每题2分,共20分)1. 光的三原色是红、绿、____。
答案:蓝2. 光的折射率定义为光在真空中的速度与在介质中的速度之比,即n=____/____。
答案:c/v3. 光的干涉现象中,两束相干光的频率必须____。
答案:相同4. 光的衍射现象中,当障碍物或孔径的尺寸与光的波长相近时,衍射现象最为明显,这种现象称为____。
第一章习题1、已知真空中的光速c=3 m/s,求光在水(n=1.333)、冕牌玻璃(n=1.51)、火石玻璃(n=1.65)、加拿大树胶(n=1.526)、金刚石(n=2.417)等介质中的光速。
解:则当光在水中,n=1.333时,v=2.25 m/s,当光在冕牌玻璃中,n=1.51时,v=1.99 m/s,当光在火石玻璃中,n=1.65时,v=1.82 m/s,当光在加拿大树胶中,n=1.526时,v=1.97 m/s,当光在金刚石中,n=2.417时,v=1.24 m/s。
2、一物体经针孔相机在屏上成一60mm大小的像,若将屏拉远50mm,则像的大小变为70mm,求屏到针孔的初始距离。
解:在同种均匀介质空间中光线直线传播,如果选定经过节点的光线则方向不变,令屏到针孔的初始距离为x,则可以根据三角形相似得出:所以x=300mm即屏到针孔的初始距离为300mm。
3、一厚度为200mm的平行平板玻璃(设n=1.5),下面放一直径为1mm的金属片。
若在玻璃板上盖一圆形纸片,要求在玻璃板上方任何方向上都看不到该金属片,问纸片最小直径应为多少?解:令纸片最小半径为x,则根据全反射原理,光束由玻璃射向空气中时满足入射角度大于或等于全反射临界角时均会发生全反射,而这里正是由于这个原因导致在玻璃板上方看不到金属片。
而全反射临界角求取方法为:(1)其中n2=1, n1=1.5,同时根据几何关系,利用平板厚度和纸片以及金属片的半径得到全反射临界角的计算方法为:(2)联立(1)式和(2)式可以求出纸片最小直径x=179.385mm,所以纸片最小直径为358.77mm。
4、光纤芯的折射率为n1、包层的折射率为n2,光纤所在介质的折射率为n0,求光纤的数值孔径(即n0sinI1,其中I1为光在光纤内能以全反射方式传播时在入射端面的最大入射角)。
解:位于光纤入射端面,满足由空气入射到光纤芯中,应用折射定律则有:n0sinI1=n2sinI2 (1)而当光束由光纤芯入射到包层的时候满足全反射,使得光束可以在光纤内传播,则有:(2)由(1)式和(2)式联立得到n0 sinI1 .5、一束平行细光束入射到一半径r=30mm、折射率n=1.5的玻璃球上,求其会聚点的位置。
物理学:工程光学考试资料(三)1、单选精密仪器设备失火可使用()灭火。
A、CO2泡沫灭火B、石棉毯C、1211灭火器D、水正确答案:C2、判断题非真空型光电光谱仪不仅可以分析钢铁中的合金元素,同时还可以(江南博哥)分析其中的碳、硫、磷三个元素。
正确答案:错3、名词解释菲涅尔衍射正确答案:光源和接受屏距离衍射屏有限远。
4、名词解释起偏器和检偏器正确答案:能将入射光变为线偏振光的器件;检查入射光偏振态的器件。
5、问答题摄谱法中,感光板上的光谱,波长每100A.的间隔距离,在用光栅单色器时是:(1)随波长减小而增大(2)随波长增大而增加(3)随波长减少而减少(4)几乎不随波长变化正确答案:因为光栅光谱是匀排光谱,即光栅色散率几乎与与波长无关。
所以应选(4)。
6、名词解释左旋正确答案:迎面观察通过晶面的光,振动面按顺时针方向旋转的称为左旋。
7、名词解释视见函数正确答案:光度学中,为了表示人眼对不同波长辐射的敏感度差别,定义了一个函数V(λ),称为“视见函数”。
在可见光范围内,人眼对黄绿光最敏感。
V(555)=1。
8、问答题什么是景深,照相物镜的景深与什么有关?正确答案:能在像面上获得清晰像的物空间的深度是系统的景深。
照相物镜的景深与相对孔径成反比,相对孔径越大景深越小。
在光圈相同时,景深与焦距的平方成反比,焦距越小景深越大。
9、名词解释物方空间正确答案:所有实物点和虚物点的集合构成的空间。
10、问答题简述背景吸收的产生及消除背景吸收的方法。
正确答案:背景吸收是由分子吸收和光散射引起的。
分子吸收指在原子化过程中生成的气体分子、氧化物、氢氧化物和盐类等分子对辐射线的吸收。
在原子吸收分析中常碰到的分子吸收有:碱金属卤化物在紫外取得强分子吸收;无几酸分子吸收焰火气体或石墨炉保护气体的分子吸收。
分子吸收与共存元素的浓度、火焰温度和分析线波长(短波和长波)有关。
光散射是指在原子化过程中固体微粒或液滴对空心阴极灯发出的光起散射作用,是吸收光度增加。
工程光学(下)期末考试试卷
一、填空题(每题2分,共20分)
1.在夫琅和费单缝衍射实验中,以钠黄光(波长为589nm )垂直入射,若缝宽为
0.1mm ,则第1极小出现在( )弧度的方向上。
2.一束准直的单色光正入射到一个直径为1cm 的汇聚透镜,透镜焦距为50cm ,测得
透镜焦平面上衍射图样中央亮斑的直径是3
1066.6-⨯cm ,则光波波长为( )nm 。
3.已知闪耀光栅的闪耀角为15o
,光栅常数d=1 m,平行光垂直于光栅平面入射时在
一级光谱处得到最大光强,则入射光的波长为( )nm 。
4.晶体的旋光现象是( ),其规律是
( )。
5.渥拉斯棱镜的作用( ),要使它获得较好的作用效果应
( )。
6.()
=⎥⎦
⎤
⎢⎣⎡⎥⎦⎤⎢⎣⎡-⎥⎦⎤⎢⎣⎡-⎥⎦⎤⎢⎣⎡110
01
011111i i
利用此关系可( )。
7.波片快轴的定义:( )。
8.光源的相干长度与相干时间的关系为( )。
相干长度愈长,说明
光源的时间相干性( )。
9.获得相干光的方法有( )和( )。
10.在两块平板玻璃A 和B 之间夹一薄纸片G ,形成空气劈尖。
用单色光垂直照射劈
尖,如图1所示。
当稍稍用力下压玻璃板A 时,干涉条纹间距( ),条纹向( )移动。
若使平行单色光倾斜照射玻璃板(入射角01>i ),形成的
干涉条纹与垂直照射时相比,条纹间距( )。
二、问答题(请选作5题并写明题号,每题6分,共30分)
α
A B
G 图1
1.简要分析如图2所示夫琅和费衍射装置如有以下变动时,衍射图样会发生怎样的变
化?
1)增大透镜L 2的焦距; 2)减小透镜L 2的口径;
3)衍射屏作垂直于光轴的移动(不超出入射光束照明范围)。
2.以迈克尔逊(M )干涉仪的等倾圆环和牛顿(N )环为例,对“条纹形状”作一简要讨论,(从中央级次、条纹移动分析它们的相同点与不同点)。
3.利用惠更斯作图法求下列方解石晶体中的双折射光(标出光线方向和光矢量方向)。
4.拟定部分偏振光和方位角为α的椭圆偏振光的鉴别实验。
(包括光路、器件方
位、实验步骤。
)
5.试述如图3所示格兰-付科棱镜的结构原理(要求画出并标出o 光、e 光的传播方
向,光矢量方向)特点,用途和使用方法,并说明此棱镜的透光轴方向。
θ
L 1
L 2
P
接收屏
衍射屏
光源
图2 夫琅和费衍射系统俯视图
θ
图3
6.A grating, used in the second order, diffracts light of 632.8nm
wavelength through an angle of 30o. How many lines per millimeter does the grating have?
7.An oil film (n=1.47, thickness 0.12 m) rests on a pool of water. If
light strikes the film at an angle of 60o
, what is the wavelength reflected in the first order?
三、计算(共50分)
1.(15分)平行的白光(波长范围为390nm -700nm )垂直照射到平行的双缝上,双
缝相距1mm ,用一个焦距m f 1=的透镜将双缝的衍射图样聚焦在屏幕上。
若在幕上距中央白色条纹3mm 处开一个小孔,在该处检查透过小孔的光,问将缺少哪些波长?
2.(20分)图4所示一双缝实验,波长为λ的单色平行光入射到缝宽均为
d(λ>>d )的双缝上,因而在远处的屏幕上观察到干涉图样。
将一块厚度为t ,折射率n 的薄玻璃片放在缝和屏幕之间。
1)论
0P 点的光强度特性
2)如果将一个缝的宽度增加到2d ,而另一个缝的宽度保持不变,
0P 点的光强发
生怎样的变化?(假设薄片不吸收光)。
3.(15分)将一块
4λ
片插入两个偏振器之间,波片的快轴与两偏振器透光轴的夹角
分别为︒60-和︒30,求光强为I 0的自然光通过这一系统后的强度是多少?
t
P 0
图4。