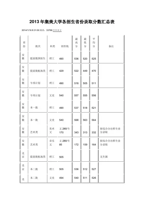
集美大学2013 录取名单
- 格式:xls
- 大小:60.00 KB
- 文档页数:9
2013徐州一中高考录取名单考生号姓名高校录取状态13320301000121吴奕辉上海视觉艺术学院录取13320301490207郭宇翔吉林大学录取13320301490311虞玥洋南京艺术学院录取13320301450232冯子麟江苏科技大学录取13320301450287李琳河海大学录取13320301450313周舟上海对外经贸大学录取13320301450293李楚鸣电子科技大学录取13320301450286闫若松南京大学预录取13320301450395李子烨北京邮电大学录取13320301450373季子皓南京航空航天大学录取13320301450416唐博睿山东大学录取13320301490217曹润冬上海海洋大学录取13320301000125潘路明南京艺术学院录取13320301450125徐一方集美大学录取13320301450346张顺武汉大学录取13320301490135王贺中国矿业大学录取13320301450360王雨风上海交通大学预录取13320301450080刘毅南京审计学院录取13320301490271杨丽锦北京航空航天大学录取13320301450332封维扬南京大学预录取13320301450191杨腾智南京大学预录取13320301450305路宇峰四川大学录取13320301680182王伊鸣南京师范大学录取13320301680129王露洁厦门大学录取13320301000129高乐雅温州大学录取13320301450169刘腾博重庆大学录取13320301680160朱伊君西南政法大学录取13320301450372刘彦君上海交通大学医学院录取13320301450158汪小青中国矿业大学录取13320301490218高寒中国矿业大学录取13320301450168杜汶桐河海大学录取13320301450105杜昊宇西南交通大学录取13320301490145李昊华中农业大学录取13320301450339吴昊天津大学录取13320301490273蒋嘉轩南京邮电大学录取13320301490333李伯熙山东大学录取13320301490261刘诚南京航空航天大学录取13320301470056唐睿大连理工大学录取13320301490167李静宜中国矿业大学录取13320301680124王雨琛中国海洋大学录取13320301680085彭丹中南财经政法大学录取13320301680092陈雨蒙华中科技大学录取13320301450330秦海伟上海交通大学预录取13320301450217孙钟潍南京理工大学录取13320301450229郝静怡河北工业大学录取13320301450134章婉琪南京理工大学录取13320301490153王迪中国矿业大学录取13320301450227路洋徐州医学院录取13320301470046汪家麟南开大学录取13320301490126许梅珍苏州大学录取13320301490275赵广重庆大学录取13320301490205王宛笛深圳大学录取13320301450239张煦电子科技大学录取13320301490187上官文波南京中医药大学录取13320301450129李翔宇南京航空航天大学录取13320301680170顾艳平安徽大学录取13320301680169魏佳欣北京语言大学录取13320301490186郝思妤南京审计学院录取13320301490268陈昱瑞中国矿业大学录取13320301490314张然西交利物浦大学录取13320301490212董秋豪南京大学预录取13320301680128仇宇南京大学预录取13320301450411付伟龙北京大学预录取13320301470055朱璐琛西交利物浦大学录取13320301450415吴剑箫东北大学秦皇岛分校录取13320301450260白浩然徐州医学院录取13320301450136蒋天游武汉理工大学录取13320301450151王蕊南京邮电大学录取13320301680104杨思齐四川外国语大学录取13320301450138杜宇宁南京审计学院录取13320301490199张娜南京师范大学录取13320301450072张蒙悦北京协和医学院录取13320301680136尹心雨南京工业大学录取13320301450071史一杰南京理工大学录取13320301450182邵寒苏州大学录取13320301490208刘宇瑶武汉大学录取13320301450164徐梓豪南京审计学院录取13320301450177刘静茹南京理工大学录取13320301680234力海潮中国青年政治学院录取13320301680196王玥茗东南大学医学院预录取13320301470033沈舒婷中国矿业大学录取13320301450311王伟男吉林大学录取13320301680150张晗中国地质大学(武汉)录取13320301490185李昱翰中南财经政法大学录取13320301450180汤宇辰武警工程大学录取13320301450369张腾哈尔滨工业大学(威海)录取13320301450331刘骋华南理工大学录取13320301450370车舵西南交通大学录取13320301450078刘娇南京医科大学录取13320301490147鲁苗南京林业大学录取13320301490237朱辉南京航空航天大学录取13320301450187常沐辰西安电子科技大学录取13320301490307唐晓彤南京医科大学录取13320301680229刘凝菲东南大学预录取13320301450391张洪耀东北大学秦皇岛分校录取13320301490177许梦璐南京林业大学录取13320301450276吴超月南京大学预录取13320301450338孔令天河北工业大学录取13320301470045李一龙山东大学录取13320301450225先睿奇中国矿业大学录取13320301490213李欣然山东大学录取13320301490124张姝丽中国石油大学(华东)录取13320301490160张双贺西南交通大学录取13320301450207季慧勤中国矿业大学录取13320301490232孟昕南京林业大学录取13320301490236朱广煜四川大学录取13320301680148毕羽扬州大学录取13320301490266张恒瑞南京医科大学录取13320301450107邱艺杰中国医科大学录取13320301680175颜方兰州大学录取13320301450194董壮壮中国矿业大学录取13320301490182刘尚南京邮电大学录取13320301450344赵天宇西安交通大学录取13320301450402王烁州湖南大学录取13320301490132王艺霏吉林大学录取13320301680191李楠苏州大学录取13320301450126姜路遥南京邮电大学录取13320301450086祖耀南京农业大学录取13320301450326彭洁苏州大学录取13320301450089秦健邦湖南大学录取13320301450209仲欣中国矿业大学录取13320301490301曹可中国矿业大学录取13320301450354王震南京航空航天大学录取13320301680117蒋瑾南开大学录取13320301450380孙欣予南京审计学院录取13320301680141梁奕涵中国矿业大学录取13320301490291汪圣川中国矿业大学录取13320301680155王晨露南京理工大学录取13320301680206彭牧泽北京化工大学录取13320301490283胡紫薇南京师范大学录取13320301490277李婷婷浙江大学录取13320301450392孟杉杉北京外国语大学录取13320301450349王禹翔西安电子科技大学录取13320301680120蔡子路北京林业大学录取13320301450115崔灿中国矿业大学录取13320301450079张佳迅南京邮电大学录取13320301490191袁大创西交利物浦大学录取13320301490171陈子彤苏州大学录取13320301450179王赫辉南京工业大学录取13320301450390洪乔华中科技大学录取13320301490262刘雅心南京中医药大学录取13320301450132徐晓皎大连医科大学录取13320301490326刘雅欣南京师范大学录取13320301450183周舟江苏师范大学录取13320301680205田瑞泓江苏海事职业技术学院录取13320301450258李梦琪南京财经大学录取13320301450350赵文浩北京理工大学录取13320301450327裴俊杰中国药科大学录取13320301680103刘潇月中国人民大学录取13320301450388乔润泽东南大学预录取13320301450319张鸣鹤清华大学录取13320301680152袁欣蔚苏州大学录取13320301450127郝允翰大连理工大学录取13320301450335张恒重庆大学录取13320301450267蔡萌东南大学预录取13320301450100屈歆然西南财经大学录取13320301490300尤俊瑶江南大学录取13320301450081余杨南京邮电大学录取13320301680098韩非同南京大学预录取13320301680126孙涛南京大学预录取13320301450301孔维薇江苏警官学院录取13320301450342刘琦中国矿业大学录取13320301450265聂欣彤扬州大学录取13320301450088赵斯蒙南京理工大学录取13320301450299孙宁长春理工大学录取13320301680113李子萌南京大学预录取13320301450073许若璇东华大学录取13320301450251史瑶中国矿业大学录取13320301680119吴姣浙江大学录取13320301450407曹无忧东南大学医学院预录取13320301450220黄芮蕊山东大学录取13320301490130王冉南京医科大学录取13320301680091姜珊中国人民大学(苏州校区)录取13320301680167朱梦然苏州大学录取13320301450366高炜西南大学录取13320301450283董入瑜江苏大学录取13320301470032郜欣宜南京农业大学录取13320301450118张紫嫣南京理工大学录取13320301450312黄沛林中国地质大学(北京)录取13320301490193郑阳北京交通大学录取13320301490255李子庆南京理工大学录取13320301490134李冰如中国矿业大学录取13320301450351唐赫南开大学录取13320301450240王亚光南京大学预录取13320301450082房龄航中国矿业大学录取13320301680154张子韵苏州大学录取13320301450284徐晓婕吉林大学录取13320301450242王驰中国石油大学(华东)录取13320301450112刘润江苏警官学院录取13320301450386荣诗薇同济大学录取13320301680151孙梦园西南大学录取13320301450347刘冬源南京理工大学录取13320301680110徐爽南京大学预录取13320301450247王贺东北大学秦皇岛分校录取13320301450400闫瑀南京医科大学录取13320301490161冯洁洁北京中医药大学录取13320301490176王尚飞北京航空航天大学录取13320301490166张琬笛中国矿业大学录取13320301450358巩怡然浙江大学录取13320301490188刘铮合肥工业大学录取13320301450270王星琦河北工业大学录取13320301450163王楠中国人民公安大学录取13320301490198曹长亮大连海事大学录取13320301450271陈嘉懿苏州大学录取13320301680217张晓宇武汉大学录取13320301450264黄哲伟中南大学录取13320301450337周宇江南大学录取13320301450095刘雨桐江南大学录取13320301490317娄相斌苏州大学录取13320301450159王彦凇电子科技大学录取13320301680116郭帅南京大学预录取13320301450355许凇源北京外国语大学录取13320301490290徐璠东北大学录取13320301490332王雪琳南京农业大学录取13320301450413徐清华中国矿业大学录取13320301680100罗佩剑中南大学录取13320301680084桑雅芳北京大学预录取13320301450404李博涵浙江大学录取13320301450384周嗣洋北京理工大学录取13320301450084张翼飞南京林业大学录取13320301490238张景怡南京理工大学录取13320301680201白晓璐南京审计学院录取13320301680099王瑞中国传媒大学录取13320301680131张丽娜中国矿业大学录取13320301450298冯梦珂中国矿业大学录取13320301450361孙文卿苏州大学录取13320301450263李东昂中国药科大学录取13320301450399赵越东南大学预录取13320301490242徐玉婷山东大学录取13320301490190许甜甜南京林业大学录取13320301450334王飞吉林大学录取13320301490230冯馨北京理工大学录取13320301490131秦晓雪南京审计学院录取13320301450300王亚昕中南财经政法大学录取13320301450214刘子栋西南大学录取13320301450322陈启铭南京医科大学录取13320301450365崔迪扬北京师范大学录取13320301450066徐子攸东南大学预录取13320301680192蒋思贤南京理工大学录取13320301680111马百行山东大学录取13320301450398李明坤四川大学录取13320301450133佟毓来华中科技大学录取13320301680198蒋天倚中国矿业大学录取13320301490138李东浩哈尔滨工业大学(威海)录取13320301450205王起帆江苏大学录取13320301450383李雨晨南京邮电大学录取13320301450076徐维斌中国矿业大学录取13320301680130蔡梦琦南京师范大学录取13320301470029刘枫荷南京邮电大学录取13320301680166戴苏南京师范大学录取13320301680087杨宇慧华东政法大学录取13320301450340孟涛南京大学预录取13320301490294李艺珩南京林业大学录取13320301450139李梦蕾武汉理工大学录取13320301450199刘亮山东大学威海分校录取13320301450257赵豇瑶四川大学录取13320301450376谢金容上海交通大学医学院录取13320301490327王磊江苏大学录取13320301450249方荣鑫装甲兵工程学院录取13320301450102段浩淼电子科技大学录取13320301680209张玲君汕头大学录取13320301490272刘永衍南京邮电大学录取13320301490121刘佳宁东南大学医学院预录取13320301450063白浩天大连医科大学录取13320301450389刘潭江苏警官学院录取13320301450282孟轩南京审计学院录取13320301450253厉苏洪江南大学录取13320301450356仝甜甜东南大学预录取13320301450109顾岩城四川大学录取13320301680218王依蒙南京师范大学录取13320301490325王钊业南京审计学院录取13320301450323辛宇轩华东师范大学录取13320301680207杨轶中国传媒大学录取13320301450144仇浩然西安交通大学录取13320301450153马文灿哈尔滨工业大学(威海)录取13320301450348张欢东南大学预录取13320301490142王鹏远西北农林科技大学录取13320301450142周春秀华东交通大学录取13320301450393王朝厦门大学录取13320301490248段朕中国矿业大学录取13320301450090刘秉卓西交利物浦大学录取13320301450379邱宇上海交通大学预录取13320301450261纵祎祺中国矿业大学录取13320301450382吕洁苏州大学录取13320301450285卢卅南京邮电大学录取13320301490175韩振江苏科技大学录取13320301470037郑嵩太原理工大学录取13320301680168滕悦湘潭大学录取13320301680176程芳苏州大学录取13320301680237高旭和浙江大学录取13320301450117祝啟瑞苏州大学录取13320301490154程城铭吉林大学录取13320301680093陈思中国人民大学录取13320301450328王康康华南理工大学录取13320301450310翟羽佳山东大学录取13320301680114仝思佳南京理工大学录取13320301490279杜雪纯南京农业大学录取13320301450295胡殿麟中国矿业大学录取13320301470034俞新悦吉林大学录取13320301450224韩健坤山东大学录取13320301450302蒋路远吉林大学录取13320301450064李萧纹中国矿业大学录取13320301000123付渝舒南京师范大学中北学院录取13320301450275吴思睿同济大学录取13320301450148袁硕解放军理工大学录取13320301680178高远西南政法大学录取13320301450222王知远电子科技大学录取13320301680204李心竹南京工业大学录取13320301450281孙昆阳电子科技大学录取13320301450336秦宇上海交通大学预录取13320301680109程愈胜南京审计学院录取13320301450290李德润天津科技大学录取13320301490264李一凡天津财经大学录取13320301680108吕秋晨东南大学录取13320301450397朱皓琳中央财经大学录取13320301450119窦天纵天津大学录取13320301490151徐秋姮苏州大学录取13320301490144张羿东北师范大学录取13320301450170朱浩轩第三军医大学录取13320301450266梁阳西南交通大学录取13320301680101王柏程东北财经大学录取13320301680090李竹子武汉大学录取13320301680123董丁南京大学预录取13320301680216丁雪冬暨南大学录取13320301000677陈思彤南京艺术学院录取13320301681154任安琪南京师范大学录取13320301450993王明育四川大学录取13320301670939齐婧宇江苏师范大学录取13320301000673冯钰茹江苏师范大学录取13320301451027查文瀚太原理工大学录取13320301451007赵哲宇南京邮电大学录取13320301451044李沛佳华北电力大学(北京)录取13320301491641王弘晟南京信息工程大学录取13320301491718朱磊南京邮电大学录取13320301680073赵袁思鹏江苏警官学院录取13320301451023刘万松扬州大学录取13320301670941鹿瑶南京审计学院录取13320301451078李玉冰深圳大学录取13320301000668马瑷四川美术学院录取13320301681103殷铭山东大学威海分校录取13320301000685王丹宁江苏师范大学录取13320301000683李若菡南京艺术学院录取13320301491714杜哲湖南大学录取13320301451025施成江苏海事职业技术学院录取13320301451080任虹举中国矿业大学录取13320301000672姚铮辽宁工业大学录取13320301451032蔡云归江南大学录取13320301450982陈思尧兰州大学录取13320301451011靳桢南京医科大学录取13320301000688田梦昕天津音乐学院录取13320301000674杨赟东南大学录取13320301000695闫露予东华大学录取13320301491728龚鹤鸣中国矿业大学录取13320301450988陈嘉琦中国石油大学(华东)录取13320301000699陆昕江南大学录取13320301491720李柯伸南京航空航天大学录取13320301491706安适中国矿业大学录取13320301491647邢茜苏州大学录取13320301491653吴依庭南京财经大学录取13320301451047花景煜南京审计学院录取13320301670930靳一凡江苏师范大学录取13320301450990唐珺西南政法大学录取13320301681152司宇辰中国矿业大学录取13320301681139张辰琛哈尔滨工业大学录取13320301451033孙梦晗东华大学录取13320301451038尚文婷中国矿业大学录取13320301451026范梦雨南京财经大学录取13320301681117刘昱彤南京师范大学浦口校区(与江苏第二师范学院联合办学)录取13320301000679张宗蕊中国地质大学(武汉)录取13320301491730章程台湾地区高校录取13320301450978朱瑀洁北京科技大学录取13320301450996殷逸臣中国矿业大学录取13320301451031张玙璠南京师范大学录取13320301681104李雨欣东北财经大学录取13320301491634李静怡南京信息工程大学录取13320301000680李慧琳西安文理学院录取13320301451055吴俊汐中国矿业大学录取13320301681124张亦弛山东大学录取13320301451074刘岱卫中国石油大学(华东)录取13320301491674卫永智兰州大学录取13320301491734龙梦琪南京审计学院录取13320301000678周佳文西南大学录取13320301451075种楚扬南京理工大学录取13320301681133朱嘉源南京审计学院录取13320301681118孙文蔷南京师范大学录取13320301451056王继康空军勤务学院录取13320301681115梁宵中南财经政法大学录取13320301450991王祥如南京财经大学录取13320301681121周映宇中国药科大学录取13320301000694刘畅西安邮电大学录取13320301451015王梓豪中国医科大学录取13320301491650王博文西交利物浦大学录取13320301681125陈秋睿江苏师范大学录取13320301451030张晋南南京林业大学录取13320301000088李文斯淮北师范大学录取13320301491725刘纯羽东北大学秦皇岛分校录取13320301450999李庭屹西北工业大学录取13320301681134李昕宇南京师范大学录取13320301451036马巾斐中国医科大学录取13320301000684孟凌宇江苏师范大学录取13320301451014李肇中国矿业大学录取13320301451054吴坤空军勤务学院录取13320301451043曹晋瑜扬州大学录取13320301451034许宝元南京森林警察学院录取13320301450995薛嵩河海大学录取13320301451050张拯中国矿业大学录取13320301000687马梦笛上海师范大学录取13320301670932王喆斐江苏师范大学录取13320301451060吴博豪中国矿业大学录取13320301451005高领南京医科大学录取13320301451069罗志凌南京农业大学录取13320301000689徐秋婉苏州大学录取13320301491733陆雪纯东华大学录取13320301491649张斯淼南京财经大学录取13320301491677刘宇宸兰州大学录取13320301000676张珂江苏师范大学录取13320301451072武世岩中国矿业大学录取。
甘肃省2013年普通高校本科一批录取院校投档最低分(文史类)2013年07月13日甘肃省高等学校招生办公室院校代号院校名称科类最低分0029 北京大学文史6100030 中国人民大学文史5920031 清华大学文史6180032 北京交通大学文史5080033 北京工业大学文史5030034 北京航空航天大学文史5030035 北京理工大学文史5170037 北方工业大学文史5030038 北京化工大学文史5030039 北京工商大学文史5070045 中国农业大学文史5070047 北京林业大学文史5070048 北京中医药大学文史5380050 首都师范大学文史5030053 北京第二外国语学院文史5030054 北京语言大学文史5120055 中国传媒大学文史5030056 中央财经大学文史5760057 对外经济贸易大学文史5790059 首都经济贸易大学文史5100065 中国政法大学文史567 0066 华北电力大学(北京) 文史503 0074 北京联合大学文史503 0102 南开大学文史5780106 中国民航大学文史510 0111 天津师范大学文史503 0113 天津外国语大学文史514 0115 天津财经大学文史534 0155 华北电力大学(保定) 文史503 0168 石家庄铁道大学文史503 0225 中北大学文史5030297 辽宁大学文史5080304 辽宁工程技术大学文史503 0308 大连海事大学文史503 0325 东北财经大学文史503 0386 吉林大学文史5450387 延边大学文史5030395 东北师范大学文史503 0439 东北石油大学文史503 0442 东北农业大学文史503 0443 东北林业大学文史503 0501 复旦大学文史6000503 上海交通大学文史600 0506 上海海事大学文史5030517 上海对外经贸大学文史521 0520 华东政法大学文史503 0522 上海大学文史5030526 上海立信会计学院文史524 0557 南京大学文史5920558 苏州大学文史5330562 江苏科技大学文史505 0563 中国矿业大学文史503 0566 南京邮电大学文史503 0567 河海大学文史5290568 江南大学文史5150569 南京林业大学文史503 0570 江苏大学文史5160571 南京信息工程大学文史503 0576 中国药科大学文史515 0577 南京师范大学文史531 0581 南京财经大学文史522 0594 扬州大学文史5030597 南京审计学院文史503 0679 西交利物浦大学文史503 0687 浙江师范大学文史503 0694 浙江工商大学文史529 0696 中国计量学院文史503 0704 宁波大学文史5030741 宁波诺丁汉大学文史506 0742 安徽大学文史5250744 合肥工业大学文史503 0751 安徽财经大学文史526 0768 厦门大学文史5640769 华侨大学文史5030770 福州大学文史5220773 集美大学文史5030846 南昌大学文史5030860 江西财经大学文史518 0920 山东大学文史5620921 中国海洋大学文史541 0924 青岛科技大学文史503 0954 青岛大学文史5150955 烟台大学文史5031037 山东大学威海分校文史513 1039 郑州大学文史5191042 河南工业大学文史503 1050 河南大学文史5031131 武汉大学文史5651133 武汉科技大学文史503 1136 中国地质大学(武汉) 文史503 1139 武汉理工大学文史513 1141 华中农业大学文史503 1149 中南财经政法大学文史5521220 湖南大学文史5501221 中南大学文史5031222 湖南科技大学文史5031223 长沙理工大学文史5031225 中南林业科技大学文史5031227 湖南师范大学文史5031302 中山大学文史5661303 暨南大学文史5411304 华南理工大学文史5031305 华南农业大学文史5031311 华南师范大学文史5071319 深圳大学文史5041325 广州大学文史5111336 广东外语外贸大学文史5271340 南方医科大学文史5041371 北京师范大学-香港浸会大学联合国际学院文史507 1408 海南大学文史5051424 重庆大学文史5381429 西南大学文史5301435 西南政法大学文史5031474 四川大学文史5581475 西南交通大学文史5171478 成都理工大学文史5031495 西南财经大学文史5501578 云南大学文史5031614 西北大学文史5291615 西安交通大学文史512 1616 西北工业大学文史503 1620 西安建筑科技大学文史503 1626 长安大学文史5251627 西北农林科技大学文史505 1629 陕西师范大学文史517 1634 西北政法大学文史524 1703 宁夏大学文史5051717 新疆大学文史5031721 石河子大学文史5037000 兰州大学文史5327006 西北师范大学文史503 7011 兰州商学院文史504手握一滴水我登上烽火台,俯瞰被黄沙侵蚀的战场。
2013年部分高校在闽本二批投档线1、福建工程学院投档线学校文史理工福建工程学院503 497福建工程学院闽台438 448福建工程学院鳝溪校区483 457福建工程学院中外合作401福建工程学院软件468 453福建工程学院高职联办4172、华侨大学厦门工学院2013年福建本科二批出档线为:理工类427分,文史类452分。
3、集美大学诚毅学院2013年福建省本二批出档分:文史472,理工441。
4、厦门理工学院2013福建本二投档线(100%):文史:全省510,闽台472,中外431,厦软校区471;厦门488,厦门闽台460,厦门中外431。
理工:全省499,闽台458,中外401,厦软校区417;厦门471,厦门闽台447,厦门中外403。
5、厦大嘉庚学院省内投档线出炉文科484分理科445分面向全省,文科484分(最高分534分,平均分497.25分),理科445分(最高分531分,平均分473.83分);面向漳州,文科480分,理科456分。
6、闽江学院本部,文科502,理科4917、福建师范大学2013年福建省本科二批出档线公告(1). 信息技术学院(1012):理工类438.933分;(2). 福清校区(1013):文史类494.986分,理工类453.941分;(3). 闽台合作项目(1015):文史类459.975分,理工类407.918分;(4).人民武装学院(1016):文史类470.979分,理工类450.939分;(5). 中日合作项目(1018):理工类401.915分;(6). 福建师范大学闽南科技学院(2011):文史类431.964分,理工类401.915分; (7). 福建师范大学协和学院(2012):文史类455.974分,理工类422.925分;(8). 福建师范大学协和学院(实验班,2013):文史类431.965分,理工类401.915分。
8、宁德师范学院2013年福建本科二批出档线公布文史类474分,理工类451分,应用型本科419 分。
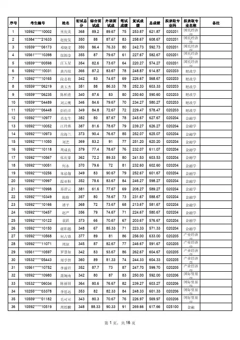
110592*****10002巫庆美36889.289.6775253.87 621.87 020201国民经济学210384*****21633赵俊发3508887.6783258.67 608.67 020201国民经济学310559*****06173邓晓雯35086.476.3380242.73 592.73 020201国民经济学410561*****10398邬圆金3558779.6761227.67 582.67 020201国民经济学510559*****00598汪玉星35482.673.6764220.27 574.27 020201国民经济学610592*****10031黄丹阳36687.283.6778248.87 614.87 020203财政学710592*****10165段喜枚3428374.6769226.67 568.67 020203财政学810559*****06219黄玉杰3518886.3378252.33 603.33 020203财政学910559*****06235陈柏熹34087.68380250.60 590.60 020203财政学1010559*****04489刘云鹰34684.679.6770234.27 580.27 020203财政学1110520*****06448彭任洋34984.872.6772229.47 578.47 020203财政学1210592*****10977肖友生3828087.6778245.67 627.67 020204金融学1310592*****10052江玲燕38781.678.6779239.27 626.27 020204金融学1410592*****10973房海兰37390.476.6785252.07 625.07 020204金融学1510592*****11050刘艺36983.29177251.20 620.20 020204金融学1610592*****10118周成良37977.478.6776232.07 611.07 020204金融学1710592*****10567张庆豪36272.289.3380241.53 603.53 020204金融学1810592*****10051何永37079.67281232.60 602.60 020204金融学1910592*****10256朱泓翰3498390.6779252.67 601.67 020204金融学2010592*****10997温亚桓35278.683.6784246.27 598.27 020204金融学2110592*****10998易碧云38161.677.6769208.27 589.27 020204金融学2210592*****10349陈盼3578078.6773231.67 588.67 020204金融学2310592*****10166谭平3687273.6768213.67 581.67 020204金融学2410592*****10457赵严3567974.6771224.67 580.67 020204金融学2510592*****10122袁跃3736670.6767203.67 576.67 020204金融学2610592*****10150谢阳越3486785.3371223.33 571.33 020204金融学2710592*****10568何占锋377898186256.00 633.00 020205产业经济学2810592*****11071周琼3458782.6777246.67 591.67 020205产业经济学2910561*****10597罗慧如3428393.6786262.67 604.67 020205产业经济学3010532*****05443郑学智3608981.3374244.33 604.33 020205产业经济学3110561*****10752李丽君35287.77387247.70 599.70 020205产业经济学3210592*****10980萧婉南342808783250.00 592.00 020206国际贸易学3310532*****06034陈丽羽36480.676.6782239.27 603.27 020206国际贸易学3410255*****03378李思远3538282.3384248.33 601.33 020206国际贸易学3510559*****01182毛可可34380.370.6776226.97 569.97 020206国际贸易学3610592*****10519周煜麟34888.3390.3391269.66 617.66 025100金融3710592*****10996梅红34088.3390.3386264.66 604.66 025100金融3810592*****10565杨忠华34779.6783.3384247.00 594.00 025100金融3910592*****10132唐红豆34484.678184249.67 593.67 025100金融4010592*****11003江永威34782.6787.3376246.00 593.00 025100金融4110592*****10046杨益346858265232.00 578.00 025100金融4210327*****03267孙凌3809088.6780258.67 638.67 025100金融4310532*****12863龚漪沁39583.3390.6765239.00 634.00 025100金融4410558*****08537杨啸37984.6788.3379252.00 631.00 025100金融4510559*****01629潘弘海36881.3392.6788262.00 630.00 025100金融4610384*****42213王晓涛37583.3386.6782252.00 627.00 025100金融4710559*****00761黄木澎35385.679790272.67 625.67 025100金融4810532*****12981吕巧玲36382.3389.6689260.99 623.99 025100金融4910559*****01587黄珊36086.3388.3389263.66 623.66 025100金融5010561*****10546涂冰38583.338669238.33 623.33 025100金融5110532*****12759陈忱36794.3393.3368255.66 622.66 025100金融5210486*****03472韩麦尔36879.6790.6784254.34 622.34 025100金融5310269*****03336韩建林3598588.6789262.67 621.67 025100金融5410532*****12659张忠民38286.339161238.33 620.33 025100金融5510002*****09322扈震34987.6789.3394271.00 620.00 025100金融5610532*****12641赵莉37386.3387.6771245.00 618.00 025100金融5710335*****07899陆璐35885.3382.6791259.00 617.00 025100金融5810532*****13079梅欣36687.339865250.33 616.33 025100金融5910532*****12881蒋韬宇3508990.3384263.33 613.33 025100金融6010559*****01669李志伟3708586.3372243.33 613.33 025100金融6110002*****08223张锦锋36184.3384.3381249.66 610.66 025100金融6210422*****93810徐志超37285.3388.3365238.66 610.66 025100金融6310532*****12870傅奕钧3588690.6775251.67 609.67 025100金融6410532*****12891蔡乔智3807586.3368229.33 609.33 025100金融6510533*****12609邓玉婷3498593.6781259.67 608.67 025100金融6610532*****12917卢燕峰35681.678190252.67 608.67 025100金融6710520*****00914罗一351859379257.00 608.00 025100金融6810532*****05688唐婉容36284.3395.3366245.66 607.66 025100金融6910285*****01047石兴旺3737579.3379233.33 606.33 025100金融7010269*****03119吴昊芃35780.3385.6783249.00 606.00 025100金融7110272*****07126谌李雪361867683245.00 606.00 025100金融7210246*****02446张恩耀36781.3371.3386238.66 605.66 025100金融7310269*****03414侯新义3587880.6788246.67 604.67 025100金融7410532*****12899禹添辉36081.338776244.33 604.33 025100金融7510001*****70625胡凡35286.339570251.33 603.33 025100金融7610561*****10753周迪34280.339288260.33 602.33 025100金融7710558*****08694张锐豪3458888.3381257.33 602.33 025100金融7810561*****10734张帆360858869242.00 602.00 025100金融7910272*****01099路珍36172.678583240.67 601.67 025100金融8010561*****10845王斌斌36080.3382.3379241.66 601.66 025100金融8110486*****03543彭文慧35184.6786.3379250.00 601.00 025100金融8210520*****00791林岚35182.3387.6780250.00 601.00 025100金融8310272*****06567陶艳玲34879.3387.3386252.66 600.66 025100金融8410520*****00193罗玉35183.6786.6779249.34 600.34 025100金融8510558*****08676何根3438789.3381257.33 600.33 025100金融8610532*****06981钟亚35687.679363243.67 599.67 025100金融8710459*****70096张涵斐3617985.6774238.67 599.67 025100金融8810561*****10917叶家豪35686.3381.3376243.66 599.66 025100金融8910559*****01637温瑞鹏35782.3386.6773242.00 599.00 025100金融9010055*****09345兰天民3409391.3373257.33 597.33 025100金融9110246*****02412石磊34277.3387.3390254.66 596.66 025100金融9210559*****01189龚若平35289.339362244.33 596.33 025100金融9310307*****80095姜卫彬3618086.3369235.33 596.33 025100金融9410559*****05089贺军35586.3388.6766241.00 596.00 025100金融9510559*****08446何兴斌369847964227.00 596.00 025100金融9610532*****12907邓昊赟36482.6788.6760231.34 595.34 025100金融9710246*****02589夏远林36577.6775.6777230.34 595.34 025100金融9810651*****00074官俊杰3478991.3368248.33 595.33 025100金融9910532*****12685杨勇36182.6780.3371234.00 595.00 025100金融10010002*****11210贾昂昂35083.3379.3382244.66 594.66 025100金融10110532*****13004申云华37281.3371.3370222.66 594.66 025100金融10210070*****05113宋颖3448090.3380250.33 594.33 025100金融10310002*****09782李博34680.338682248.33 594.33 025100金融10410002*****08334秦凯35380.6788.3371240.00 593.00 025100金融10510532*****05302戴哲36080.3381.6771233.00 593.00 025100金融10610520*****07000李婧雯34584.3384.3379247.66 592.66 025100金融10710002*****09826谢乐乐35278.6780.3380239.00 591.00 025100金融10810559*****01598陈思佳3527290.6776238.67 590.67 025100金融10910559*****04642张晓浔34984.3388.3369241.66 590.66 025100金融11010055*****07608韩清34684.339070244.33 590.33 025100金融11110532*****12964陈阵36280.6774.3372227.00 589.00 025100金融11210532*****13039沈蛟34887.678171239.67 587.67 025100金融11310520*****07134胡攀35382.6765.6786234.34 587.34 025100金融11410280*****06317黄元英34279.3386.3379244.66 586.66 025100金融11510559*****05544郑瀚35883.3385.3357225.66 583.66 025100金融11610248*****01671李鑫37173.3385.3353211.66 582.66 025100金融11710559*****00035廖夏维34183.6791.6766241.34 582.34 025100金融11810561*****10641杨晓丽36778.337661215.33 582.33 025100金融11910561*****10604刘翔346888860236.00 582.00 025100金融12010559*****00913杨忠35878.337669223.33 581.33 025100金融12110532*****05785刘凤奇3647180.3366217.33 581.33 025100金融12210559*****06291李润超3417290.3376238.33 579.33 025100金融12310272*****06845徐茜茜35777.3379.6764221.00 578.00 025100金融12410558*****01716陈伟杰35874.6790.6754219.34 577.34 025100金融12510561*****10510陈浩宇34684.6779.3367231.00 577.00 025100金融12610532*****13122曾佳3568485.3349218.33 574.33 025100金融12710559*****06558唐艳萍34786.3384.6756227.00 574.00 025100金融12810559*****05951丁芬35075.338562222.33 572.33 025100金融12910559*****03790王玮34079.6789.6761230.34 570.34 025100金融13010247*****12419李为健34280.339157228.33 570.33 025100金融13110559*****05098李缘增3468081.3360221.33 567.33 025100金融13210002*****02035郑晔3487163.3385219.33 567.33 025100金融13310532*****05599李锦熙34979.3382.6755217.00 566.00 025100金融13410697*****60803张冰瑶35082.677855215.67 565.67 025100金融13510559*****06139栗子蔚35675.6782.3351209.00 565.00 025100金融13610532*****05388刘冠栾350828745214.00 564.00 025100金融13710532*****05672宋连科368617955195.00 563.00 025100金融13810590*****00414黄平江3438781.6744212.67 555.67 025100金融13910487*****03448万吴都35176.3387.3334197.66 548.66 025100金融14010532*****05579蒋颖342708451205.00 547.00 025100金融14110532*****06093邵广龙34370.3366.6767204.00 547.00 025100金融14210487*****03718曾献文36466.6766.3347180.00 544.00 025100金融14310269*****03358张鹏飞38381.3389.3384254.66 637.66 025100金融14410532*****12653周韬39080.6783.3382246.00 636.00 025100金融14510284*****07234张海波371848574243.00 614.00 025100金融14610559*****00822黄旭3628485.3382251.33 613.33 025100金融14710034*****30010王景艳34385.339583263.33 606.33 025100金融14810269*****03357梁琪3458685.3385256.33 601.33 025100金融14910272*****06831李爽34886.6783.6782252.34 600.34 025100金融15010269*****03217来全能35579.3380.3384243.66 598.66 025100金融15110559*****06296张丰衍351858569239.00 590.00 025100金融15210520*****00786杨超凡3407788.3374239.33 579.33 025100金融15310183*****02073程茂林34072.6781.3366220.00 560.00 025100金融15410592*****10327王培培36480.678656222.67 586.67 025100金融二次复试录取15510559*****06344赵详平38282.338087249.33 631.33 025100金融15610520*****06591谢永强381848081245.00 626.00 025100金融15710272*****01262薛原3678076.3390246.33 613.33 025100金融15810036*****06879孙艺玮35384.3383.3390257.66 610.66 025100金融15910559*****05097陈锦全36982.3381.3374237.66 606.66 025100金融16010011*****00547邢邵龙372807579234.00 606.00 025100金融16110698*****10812黄珊35579.338187247.33 602.33 025100金融16210002*****08236冯凯34190.679080260.67 601.67 025100金融16310280*****02678周广如35481.678680247.67 601.67 025100金融16410533*****09082罗纯348709088248.00 596.00 025100金融16510520*****05798黄琳37466.6770.6782219.34 593.34 025100金融16610592*****10044陈中汉340937587255.00 595.00 025500保险16710272*****01594刘骝3539486.3395275.33 628.33 025500保险16810272*****06315郜靓姿35194.339091275.33 626.33 025500保险16910532*****12978匡贺武3679480.6781255.67 622.67 025500保险17010532*****13153龚巧巧36093.337188252.33 612.33 025500保险17110559*****02354王清龙3699171.6779241.67 610.67 025500保险17210611*****20058黄建文35493.677980252.67 606.67 025500保险17310272*****06448袁玉博348888089257.00 605.00 025500保险17410286*****05223史健35591.6774.3383249.00 604.00 025500保险17510384*****40343闫泽34887.3384.6782254.00 602.00 025500保险17610533*****09183宋浩3489083.6777250.67 598.67 025500保险17710141*****30250孟江飞34890.6776.3382249.00 597.00 025500保险17810422*****01709王磊磊35290.337181242.33 594.33 025500保险17910532*****13016喻建行3489174.3380245.33 593.33 025500保险18010486*****03621谢司意3419177.3384252.33 593.33 025500保险18110246*****01399周蔚起345878576248.00 593.00 025500保险18210036*****00385闫慧慧38487.6769.6787244.34 628.34 025500保险18310036*****06867王乐34787.3385.3386258.66 605.66 025500保险18410561*****10852吴昊34685.3381.3380246.66 592.66 025500保险18510327*****00050李慧泽34584.337685245.33 590.33 025500保险18610497*****33954唐伟3498675.3380241.33 590.33 025500保险18710574*****00492李润发349767983238.00 587.00 025500保险18810246*****00336赵靓34580.3384.3377241.66 586.66 025500保险二次复试录取18910520*****07016弋路飞341807665221.00 562.00 025500保险二次复试录取19010592*****11002陈琳娟34589.678466239.67 584.67 027000统计学19110384*****22229李棕杰3818587.3380252.33 633.33 027000统计学19210559*****01677李世伟34790.679085265.67 612.67 027000统计学19310422*****93727张念辰361898773249.00 610.00 027000统计学19410559*****06555陈东37084.6771.6783239.34 609.34 027000统计学19510559*****00337龙乔3519084.6777251.67 602.67 027000统计学19610559*****03523闵明勇36086.3370.3386242.66 602.66 027000统计学19710559*****05436林石莲36283.3371.3381235.66 597.66 027000统计学19810561*****10841杨正威35785.6770.6782238.34 595.34 027000统计学19910592*****10188严文俊39586.284.3388258.53 653.53 030101法学理论20010592*****11077李盼盼35583.266.6786235.87 590.87 030101法学理论20110558*****04963徐嘉雯3508181.6793255.67 605.67 030101法学理论20210558*****04956曾恺33584.281.6783248.87 583.87 030101法学理论20310532*****09125黄蜜3536588.6773226.67 579.67 030101法学理论20410520*****07671何雨琪32882.28384249.20 577.20 030101法学理论20510520*****07792王倩31983.687.3375245.93 564.93 030101法学理论20610053*****10477李妙琼31773.884.6780238.47 555.47 030101法学理论20710592*****10190李宜霖3367983.6779241.67 577.67 030103宪法学与行政法学20810592*****10189陈中博33777.29068235.20 572.20 030103宪法学与行政法学20910558*****04949何嘉飞35077.89077244.80 594.80 030103宪法学与行政法学21010652*****30260曾祥昌3278585.3374244.33 571.33 030103宪法学与行政法学21110520*****01157关文诗32079.287.3381247.53 567.53 030103宪法学与行政法学21210592*****10195吴岳樯37192.685.6790268.27 639.27 030104刑法学21310592*****10475黎祎蓉3818390.6782255.67 636.67 030104刑法学21410592*****10437漆梦珊36079.28680245.20 605.20 030104刑法学21510592*****10968郑伟鸿39590.48096266.40 661.40 030105民商法学21610592*****10479郑智丹38788.49391272.40 659.40 030105民商法学21710592*****10197陈洁39488.284.6780252.87 646.87 030105民商法学21810592*****10478吴家俊35890.488.3378256.73 614.73 030105民商法学21910592*****10203李耀37287.48172240.40 612.40 030105民商法学22010592*****10200侯巍冰35988.881.3375245.13 604.13 030105民商法学22110592*****10179何蒋玲37477.27377227.20 601.20 030105民商法学22210592*****10198陈昆虬3408886.3373247.33 587.33 030105民商法学22310592*****10476段旭34186.484.3374244.73 585.73 030105民商法学22410592*****10218夏锦春36381.68280243.60 606.60 030106诉讼法学22510592*****10212方杰仕35087.683.6780251.27 601.27 030106诉讼法学22610592*****10094王豪316839088261.00 577.00 030106诉讼法学22710592*****10347谈国辉34181.280.3374235.53 576.53 030106诉讼法学22810592*****10219叶泓瑜317809087257.00 574.00 030106诉讼法学22910592*****10346李子豪32282.879.6772234.47 556.47 030106诉讼法学23010592*****10485林启斌408858789261.00 669.00 030107经济法学23110592*****10424蒋元慧35080.885.3370236.13 586.13 030107经济法学23210592*****10561许婉婉34082.68279243.60 583.60 030107经济法学23310592*****11029易华米315827074226.00 541.00 030107经济法学23410558*****05222林少丰3598285.6785252.67 611.67 030107经济法学23510592*****10176彭靖35682.68270234.60 590.60 030109国际法学23610592*****10228吴佳蔚32586.890.3371248.13 573.13 030109国际法学23710559*****06589郑晓晓344858472241.00 585.00 030109国际法学23810532*****09435陈武笑34884.889.3361235.13 583.13 030109国际法学23910384*****10506孙校栓3508279.6760221.67 571.67 030109国际法学24010592*****10230杨军40488.8386.6789264.50 668.50 030501马克思主义基本原24110592*****10988方少灿393918090261.00 654.00 030501马克思主义基本原24210592*****10406邓晔38687.3388.3386261.66 647.66 030501马克思主义基本原24310592*****10488张李敏37489.339088267.33 641.33 030501马克思主义基本原24410592*****10989梁君春3808683.3381250.33 630.33 030505思想政治教育24510592*****10233黄兆鹤38187.8381.3375244.16 625.16 030505思想政治教育24610592*****10234李凯杰37289.1783.3371243.50 615.50 030505思想政治教育24710592*****10490徐丽葵37767.6773.3376217.00 594.00 030505思想政治教育24810592*****11018邹锡锋3528683.3375244.33 596.33 035101法律(非法学)24910592*****10121熊文彬36385.572.6767225.17 588.17 035101法律(非法学)25010592*****10384伍冠岳35376.473.3375224.73 577.73 035101法律(非法学)25110592*****10310罗兆麟32179.671.6765216.27 537.27 035101法律(非法学)25210002*****16740沈童33882.693.6781257.27 595.27 035101法律(非25310558*****03230李舒伟34184.875.3385245.13 586.13 035101法律(非法学)25410652*****10522于汉清32979.292.3376247.53 576.53 035101法律(非法学)25510246*****13500曲鸣英3268582.6681248.66 574.66 035101法律(非法学)25610652*****10999叶志澎32878.484.3383245.73 573.73 035101法律(非法学)25710520*****05397杨旖32685.68082247.60 573.60 035101法律(非法学)25810561*****11670关雪梅32682.683.6781247.27 573.27 035101法律(非法学)25910384*****10224宗菲3538771.3360218.33 571.33 035101法律(非法学)26010486*****16769李杰3298374.3380237.33 566.33 035101法律(非法学)26110003*****02403孙浩然32188.292.6764244.87 565.87 035101法律(非法学)26210384*****10373李伟32684.281.6771236.87 562.87 035101法律(非法学)26310652*****10931杨红球33381.472.6775229.07 562.07 035101法律(非法学)26410384*****10380林夏婷31580.689.3376245.93 560.93 035101法律(非法学)26510558*****03135吴琼3247974.3383236.33 560.33 035101法律(非法学)26610558*****03375方辉31784.887.3370242.13 559.13 035101法律(非法学)26710486*****16825苏亚坤32679.683.3367229.93 555.93 035101法律(非法学)26810652*****10821周芳芳33381.467.6770219.07 552.07 035101法律(非法学)26910002*****16195王侃32681.284.6760225.87 551.87 035101法律(非法学)27010276*****00634刘海杰32881.873.3367222.13 550.13 035101法律(非法学)27110335*****07603王晨蓉32479.679.3363221.93 545.93 035101法律(非法学)27210520*****11128刘家辉32981.27263216.20 545.20 035101法律(非法学)27310558*****03081曾珠32284.666.3369219.93 541.93 035101法律(非法学)27410248*****17567唐甜32378.47365216.40 539.40 035101法律(非法学)27510652*****11002陈文杰32481.873.3360215.13 539.13 035101法律(非法学)27610652*****10867王莹莹31681.87548204.80 520.80 035101法律(非法学)27710248*****16407王满强3328481.6788253.67 585.67 035101法律(非法学)27810248*****10651郭雨雷34283.677584242.67 584.67 035101法律(非法学)27910335*****08674潘文涛3268479.3387250.33 576.33 035101法律(非法学)28010486*****05853张志豪3408477.6772233.67 573.67 035101法律(非法学)28110247*****09137钟有为31786.6788.6781256.34 573.34 035101法律(非法学)28210520*****11233曾茂元3368469.3382235.33 571.33 035101法律(非法学)28310652*****11286杨涛32883.337080233.33 561.33 035101法律(非法学)28410459*****00185袁利芳319827875235.00 554.00 035101法律(非法学)28510592*****10318刘育正32782.871.6776230.47 557.47 035102法律(法学)28610422*****92682林雪349898494267.00 616.00 035102法律(法学)28710532*****09131周雁芳35084.677.3392253.93 603.93 035102法律(法学)28810558*****02728雷蒙35484.881.3382248.13 602.13 035102法律(法28910520*****11294陈昊3238695.6693274.66 597.66 035102法律(法学)29010055*****15311李姣姣3498873.3387248.33 597.33 035102法律(法学)29110006*****03296李洁3438379.6788250.67 593.67 035102法律(法学)29210558*****02863黄丽君34575.89181247.80 592.80 035102法律(法学)29310520*****07986李亚聪3508289.6771242.67 592.67 035102法律(法学)29410559*****02680赖娟33982.48486252.40 591.40 035102法律(法学)29510611*****30037任钟兴3379182.3380253.33 590.33 035102法律(法学)29610558*****05120罗敏兰33884.891.3376252.13 590.13 035102法律(法学)29710532*****09313韩晗34177.48882247.40 588.40 035102法律(法学)29810002*****10717严椰铭33281.88886255.80 587.80 035102法律(法学)29910002*****10186孔冉冉35478.68174233.60 587.60 035102法律(法学)30010319*****09724侯怡清35176.28179236.20 587.20 035102法律(法学)30110520*****07927贺雅婷34082.28877247.20 587.20 035102法律(法学)30210558*****05238刁泓祯35383.290.6660233.86 586.86 035102法律(法学)30310532*****09418袁蕾354828466232.00 586.00 035102法律(法学)30410558*****05050李燕清33887.692.3368247.93 585.93 035102法律(法学)30510559*****02035黄丽敏337828679247.00 584.00 035102法律(法学)30610533*****11861胡佳丽34879.680.3375234.93 582.93 035102法律(法学)30710520*****07223张丽娜3398577.6781243.67 582.67 035102法律(法学)30810559*****05697陈海菊33280.480.3389249.73 581.73 035102法律(法学)30910558*****05045刘建32487.68783257.60 581.60 035102法律(法学)31010532*****09312陈会香33778.880.6685244.46 581.46 035102法律(法学)31110533*****11806姚丽林344777090237.00 581.00 035102法律(法学)31210532*****09327尹海鹏34186.268.3384238.53 579.53 035102法律(法学)31310558*****02808谭子毅32584.889.6779253.47 578.47 035102法律(法学)31410520*****04030崔景娇3338085.3380245.33 578.33 035102法律(法学)31510558*****02760李巍33285.480.6780246.07 578.07 035102法律(法学)31610532*****09304张凯33788.67774239.60 576.60 035102法律(法学)31710276*****01396杨嫦33084.283.3379246.53 576.53 035102法律(法学)31810384*****10475席志远34778.877.6773229.47 576.47 035102法律(法学)31910276*****01897王岑3368375.3382240.33 576.33 035102法律(法学)32010276*****01550赵露琼33683.467.6787238.07 574.07 035102法律(法学)32110384*****10494夏雪珂34080.28072232.20 572.20 035102法律(法学)32210053*****10459张宸硕33282.67879239.60 571.60 035102法律(法学)32310001*****91261陈丽娜33078.48776241.40 571.40 035102法律(法学)32410559*****04514李亦雯32086.48283251.40 571.40 035102法律(法32510558*****05030雷柏熙33185.68271238.60 569.60 035102法律(法学)32610559*****05233柳亚洲3298690.3363239.33 568.33 035102法律(法学)32710520*****07248邵君330839164238.00 568.00 035102法律(法学)32810520*****07856刘艳飞33782.477.6770230.07 567.07 035102法律(法学)32910561*****11587李文文31681.89277250.80 566.80 035102法律(法学)33010561*****11586蔡晓冬3337481.6678233.66 566.66 035102法律(法学)33110520*****07708李会敏33082.281.3373236.53 566.53 035102法律(法学)33210558*****04978朱静欣3468373.3364220.33 566.33 035102法律(法学)33310384*****10097赖东尧32883.476.3378237.73 565.73 035102法律(法学)33410520*****07704姚新3388170.3376227.33 565.33 035102法律(法学)33510459*****90012陆梦龙33481.489.6760231.07 565.07 035102法律(法学)33610532*****09307齐文娟34882.67064216.60 564.60 035102法律(法学)33710276*****00924薛圣谕3188587.6773245.67 563.67 035102法律(法学)33810276*****00261李海林32286.67778241.60 563.60 035102法律(法学)33910384*****10419祁娜娜3248982.3368239.33 563.33 035102法律(法学)34010030*****70099张颢严3298468.6781233.67 562.67 035102法律(法学)34110542*****02989杨晨雨32783.482.6769235.07 562.07 035102法律(法学)34210559*****06634李幸欣337857664225.00 562.00 035102法律(法学)34310559*****02032肖珏荟32885.88265232.80 560.80 035102法律(法学)34410036*****07454梁金马31884.68276242.60 560.60 035102法律(法学)34510652*****50381林玲32273.686.3378237.93 559.93 035102法律(法学)34610486*****16377陈代聪32480.480.3375235.73 559.73 035102法律(法学)34710652*****50622陈文儒3157880.6686244.66 559.66 035102法律(法学)34810511*****48629丁涵璐33173.286.6668227.86 558.86 035102法律(法学)34910459*****50114宁佩莹3496767.3375209.33 558.33 035102法律(法学)35010590*****03812陈杰32275.67882235.60 557.60 035102法律(法学)35110558*****02805陈盛兴3237578.3381234.33 557.33 035102法律(法学)35210027*****10053谭凯韵32284.27180235.20 557.20 035102法律(法学)35310559*****06625袁炜林32784.472.6773230.07 557.07 035102法律(法学)35410280*****08768丁小宁33268.873.6681223.46 555.46 035102法律(法学)35510284*****16832郭涛3238072.6679231.66 554.66 035102法律(法待学历认证通过学)35610055*****04113南默涵327856674225.00 552.00 035102法律(法学)35710286*****14581公君超32176.275.6679230.86 551.86 035102法律(法学)35810276*****01286毛楼卫32081.676.6773231.27 551.27 035102法律(法学)35910284*****16915尹婉萍32780.274.3368222.53 549.53 035102法律(法学)36010559*****06576范丹霞32080.668.6679228.26 548.26 035102法律(法36110055*****05749潘婷婷32081.66775223.60 543.60 035102法律(法学)36210520*****08284李乐意32577.668.3370215.93 540.93 035102法律(法学)36310027*****50108袁彬32781.871.6760213.47 540.47 035102法律(法学)36410276*****01024张会敏31683.66970222.60 538.60 035102法律(法学)36510384*****10636史蕙雅31983.274.3362219.53 538.53 035102法律(法学)36610183*****14495邵娟3157584.3360219.33 534.33 035102法律(法学)36710520*****01378余丁3267760.6768205.67 531.67 035102法律(法学)36810459*****60034张淑华31582.66073215.60 530.60 035102法律(法学)36910592*****10192张利水34584.337082236.33 581.33 035102法律(法二次复试录取学)37010079*****00003章海北369848088252.00 621.00 035102法律(法学)37110559*****03141何慧36987.6781.6779248.34 617.34 035102法律(法学)37210533*****11850周静雯36689.678168238.67 604.67 035102法律(法学)37310173*****03166田甜34686.338880254.33 600.33 035102法律(法学)37410053*****30596甄晖34986.3381.6778246.00 595.00 035102法律(法学)37510384*****10402纪泽虹3378290.3383255.33 592.33 035102法律(法学)37610384*****10451孙成蛟33983.6780.6784248.34 587.34 035102法律(法学)37710559*****02278刘芳艳3578570.3375230.33 587.33 035102法律(法学)37810335*****10744孙庆玲34782.3369.3386237.66 584.66 035102法律(法学)37910273*****00247傅立亚34482.6775.3382240.00 584.00 035102法律(法学)38010319*****12029候丽鹏348867079235.00 583.00 035102法律(法学)38110319*****09725洪菲慧35983.3372.3367222.66 581.66 035102法律(法学)38210652*****70381江舒驰3178681.6792259.67 576.67 035102法律(法学)38310574*****00631陈春燕3498177.6768226.67 575.67 035102法律(法学)38410574*****00554庄嘉颖32285.6777.6789252.34 574.34 035102法律(法学)38510652*****61126林增强324847987250.00 574.00 035102法律(法学)38610459*****30012堵仁展34078.6773.3382234.00 574.00 035102法律(法学)38710520*****07802席新3508070.6773223.67 573.67 035102法律(法学)38811625*****21008会岩32682.6780.6784247.34 573.34 035102法律(法学)38910532*****09269陈婷34583.677171225.67 570.67 035102法律(法学)39010520*****07373吉玲33079.337979237.33 567.33 035102法律(法学)39110520*****07930周运坤34176.3374.3375225.66 566.66 035102法律(法学)39210004*****09091郭蓝瑞33083.6780.3371235.00 565.00 035102法律(法学)39310459*****10026左珠琳33583.6770.6775229.34 564.34 035102法律(法学)39410520*****11386肖俊娜32385.678074239.67 562.67 035102法律(法学)39510486*****15917张莉红36369.677753199.67 562.67 035102法律(法学)39610459*****50059于贝贝34385.6770.6763219.34 562.34 035102法律(法学)39710542*****02793唐瑛325608195236.00 561.00 035102法律(法学)39810652*****30130宋思语3238375.6777235.67 558.67 035102法律(法学)39910592*****10319吴春梅31081.88095256.80 566.80 035102法律(法破格录取学)40010592*****10436刘丽娟39481.6780.6678240.33 634.33 050201英语语言文学40110592*****10449吴梦瑜3668391.3482256.34 622.34 050201英语语言文学40210592*****10148刘旭丽36685.336080225.33 591.33 050201英语语言文学40310559*****06945黎诗诗37785.338878251.33 628.33 050201英语语言文学40410574*****03905唐嘉蔚36686.6769.3483239.01 605.01 050201英语语言文学40510559*****06944余青怡36687.3364.6680231.99 597.99 050201英语语言文学40610574*****03949周静36063.6781.3483228.01 588.01 050201英语语言文学40710533*****14820刘曼玲36663.337285220.33 586.33 050201英语语言文学40810520*****09437蒋凯婷3538692.6776254.67 607.67 087100管理科学与工程40910590*****04213郭帅强346918584260.00 606.00 087100管理科学与工程41010280*****00783贺燕花34787.486.6778252.07 599.07 087100管理科学与工程41110425*****01223黄俊珲32187.486.6781255.07 576.07 087100管理科学与工程41210592*****11006王崧3938888.3377253.33 646.33 120201会计学41310592*****10006陈思明37386.883.6795265.47 638.47 120201会计学41410592*****10056曾凯39486.683.3372241.93 635.93 120201会计学41510592*****10018姚可达35880.469.6790240.07 598.07 120201会计学41610592*****10037刘天溶36784.486.3349219.73 586.73 120201会计学41710592*****10984罗云34976.88053209.80 558.80 120201会计学41810592*****10108许元元34568.269.3362199.53 544.53 120201会计学41910520*****09869王紫薇37475.492.3372239.73 613.73 120201会计学42010532*****06314王黎36186.271.6793250.87 611.87 120201会计学42110280*****06113陈舒骏35481.28180242.20 596.20 120201会计学42210532*****06416邓凌37283.670.6761215.27 587.27 120201会计学42310559*****07837陈彦芝34778.683.6771233.27 580.27 120201会计学42410559*****01989李红35186.681.6751219.27 570.27 120201会计学42510592*****10073洪昔仁37090.282.3367239.53 609.53 120202企业管理42610592*****10077刘吉35893.878.3377249.13 607.13 120202企业管理42710592*****10177张建平36889.871.6766227.47 595.47 120202企业管理42810532*****04983毛应37994.477.6777249.07 628.07 120202企业管理42910532*****04974黄丽清36287.88684257.80 619.80 120202企业管理43010486*****15343陈璐颖35494.49274260.40 614.40 120202企业管理43110558*****02458廖友亮3559283.6779254.67 609.67 120202企业管理43210559*****03878马娟34589.287.3386262.53 607.53 120202企业管理43310559*****09091李海堤36484.67976239.60 603.60 120202企业管理43410558*****02652许志军35588.880.6772241.47 596.47 120202企业管理43510698*****07939李恩35687.66979235.60 591.60 120202企业管理43610054*****00659耿文龙3558575.3372232.33 587.33 120202企业管理43710561*****09735王彦楠37492.338881261.33 635.33 120203旅游管理43810280*****06115李晓3459590.3375260.33 605.33 120203旅游管理43910592*****10911曾庆年2049588.6788271.67 611.67 125100工商管理44010592*****10644冯晟坤20193.39487.3274.63 609.63 125100工商管理44110592*****10866吴廷圣201928888268.00 603.00 125100工商管理44210592*****10842王明朝198878787.7261.70 591.70 125100工商管理44310592*****10754刘斌2008287.3387256.33 589.66 125100工商管理44410592*****10902姚振宇19190.78990269.70 588.03 125100工商管理44510592*****10662胡健健187909286.3268.33 580.00 125100工商管理44610592*****10689赖志娟19487.783.6785256.37 579.70 125100工商管理44710592*****10963邹伟冬187888890266.00 577.67 125100工商管理44810592*****10863吴刘娜188858293260.00 573.33 125100工商管理44910592*****10721李志云1908978.3389256.33 573.00 125100工商管理45010592*****10674黄水媚1889178.3386255.33 568.66 125100工商管理45110592*****10675黄斯惠17890.793.3387271.03 567.70 125100工商管理45210592*****10629戴秀青185838789259.00 567.33 125100工商管理45310592*****10747林雅斯184858787.7259.67 566.34 125100工商管理45410592*****10654郭剑18987.77588250.70 565.70 125100工商管理45510592*****10931赵恒辉1769290.6783.7266.34 559.67 125100工商管理45610592*****10647高粉红1749387.389269.30 559.30 125100工商管理45710592*****10808屈云飞1778881.6791260.67 555.67 125100工商管理45810592*****10655郭天成172899089.7268.70 555.37 125100工商管理45910592*****10707李沐芷172928987268.00 554.67 125100工商管理46010592*****10807邱通平178858685.7256.70 553.37 125100工商管理46110592*****10892严梓全1788587.3384256.33 553.00 125100工商管理46210592*****10595陈婧171888789264.00 549.00 125100工商管理46310592*****10666黄焕娴1669093.3388271.33 548.00 125100工商管理46410592*****10773卢潜169878986.7262.70 544.37 125100工商管理46510592*****10758刘红妍16489.79387.7270.37 543.70 125100工商管理46610592*****10682黄振煜163909190.7271.67 543.34 125100工商管理46710592*****10651龚清杰1699384.3384261.33 543.00 125100工商管理46810592*****10638段淑芬165899187267.00 542.00 125100工商管理。
甘肃省2013年普通高校本科一批录取院校投档最低分(理工类)更新时间:2013年07月13日文章来源:甘肃省高等学校招生办公室院校代号院校名称科类最低分0029 北京大学理工6450030 中国人民大学理工 6 240031 清华大学理工6460032 北京交通大学理工4890033 北京工业大学理工4890034 北京航空航天大学理工5470035 北京理工大学理工4920036 北京科技大学理工5370037 北方工业大学理工4890038 北京化工大学理工4890039 北京工商大学理工4950040 北京邮电大学理工5630042 北京建筑大学理工4910045 中国农业大学理工5600047 北京林业大学理工4900048 北京中医药大学理工5070050 首都师范大学理工4890052 北京外国语大学理工4890053 北京第二外国语学院理工4930054 北京语言大学理工4890055 中国传媒大学理工5260056 中央财经大学理工576 0057 对外经济贸易大学理工588 0059 首都经济贸易大学理工519 0064 北京体育大学理工489 0065 中国政法大学理工489 0066 华北电力大学(北京) 理工489 0070 北京信息科技大学理工489 0071 中国矿业大学(北京) 理工503 0072 中国石油大学(北京) 理工489 0073 中国地质大学(北京) 理工489 0074 北京联合大学理工489 0101 北京大学医学部理工628 0102 南开大学理工6020103 天津大学理工5900106 中国民航大学理工501 0109 天津医科大学理工551 0110 天津中医药大学理工5160111 天津师范大学理工4890113 天津外国语大学理工4990115 天津财经大学理工4890117 河北工业大学理工5100155 华北电力大学(保定) 理工490 0168 石家庄铁道大学理工489 0169 燕山大学理工4890222 东北大学秦皇岛分校理工5150225 中北大学理工4890226 太原理工大学理工5200228 山西医科大学理工5290297 辽宁大学理工5080298 大连理工大学理工5680299 沈阳工业大学理工4890302 东北大学理工5380303 辽宁科技大学理工4890304 辽宁工程技术大学理工489 0305 辽宁石油化工大学理工489 0307 大连交通大学理工4890308 大连海事大学理工5260310 沈阳建筑大学理工4890312 沈阳农业大学理工4890314 中国医科大学理工4900317 大连医科大学理工5420318 沈阳药科大学理工4890325 东北财经大学理工5570385 大连理工大学(盘锦校区) 理工489 0386 吉林大学理工4890387 延边大学理工4890388 长春理工大学理工4890395 东北师范大学理工4890435 哈尔滨工业大学理工5900437 哈尔滨工程大学理工5320442 东北农业大学理工489 0443 东北林业大学理工489 0501 复旦大学理工6390502 同济大学理工6030503 上海交通大学理工489 0504 华东理工大学理工540 0505 上海理工大学理工489 0506 上海海事大学理工489 0507 东华大学理工5100512 上海中医药大学理工492 0515 上海外国语大学理工551 0516 上海财经大学理工610 0517 上海对外经贸大学理工505 0520 华东政法大学理工495 0522 上海大学理工5330526 上海立信会计学院理工494 0556 复旦大学医学院理工633 0557 南京大学理工6260558 苏州大学理工5310559 东南大学理工4890560 南京航空航天大学理工506 0561 南京理工大学理工551 0562 江苏科技大学理工491 0563 中国矿业大学理工4890566 南京邮电大学理工509 0567 河海大学理工5310568 江南大学理工5110569 南京林业大学理工489 0570 江苏大学理工5050571 南京信息工程大学理工492 0575 南京农业大学理工489 0576 中国药科大学理工527 0577 南京师范大学理工489 0581 南京财经大学理工532 0594 扬州大学理工5010597 南京审计学院理工489 0679 西交利物浦大学理工492 0680 浙江大学理工6320681 杭州电子科技大学理工505 0682 浙江工业大学理工490 0683 浙江理工大学理工500 0686 温州医科大学理工513 0687 浙江师范大学理工489 0694 浙江工商大学理工497 0696 中国计量学院理工489 0704 宁波大学理工4910741 宁波诺丁汉大学理工489 0742 安徽大学理工5180743 中国科学技术大学理工630 0744 合肥工业大学理工5320745 安徽工业大学理工4890751 安徽财经大学理工5190767 合肥工业大学(宣城校区) 理工489 0768 厦门大学理工5810769 华侨大学理工4890770 福州大学理工5210773 集美大学理工4890846 南昌大学理工5230847 华东交通大学理工4890849 南昌航空大学理工4890850 江西理工大学理工4890860 江西财经大学理工5240920 山东大学理工5560921 中国海洋大学理工5450922 山东科技大学理工4890923 中国石油大学(华东) 理工489 0924 青岛科技大学理工4920954 青岛大学理工5040955 烟台大学理工4891036 哈尔滨工业大学(威海) 理工551 1037 山东大学威海分校理工529 1039 郑州大学理工4901042 河南工业大学理工4891050 河南大学理工4931131 武汉大学理工4951132 华中科技大学理工5851133 武汉科技大学理工4941134 长江大学理工4941135 武汉工程大学理工4891136 中国地质大学(武汉) 理工496 1139 武汉理工大学理工4911141 华中农业大学理工5031149 中南财经政法大学理工561 1158 三峡大学理工4891218 湘潭大学理工4891220 湖南大学理工5391221 中南大学理工4891222 湖南科技大学理工489 1223 长沙理工大学理工489 1224 湖南农业大学理工489 1225 中南林业科技大学理工489 1226 湖南中医药大学理工520 1227 湖南师范大学理工489 1237 南华大学理工4891302 中山大学理工4891303 暨南大学理工5381304 华南理工大学理工489 1305 华南农业大学理工4891307 广州医科大学理工5291311 华南师范大学理工4891319 深圳大学理工4891325 广州大学理工5041336 广东外语外贸大学理工4891340 南方医科大学理工5171371 北京师范大学-香港浸会大学联合国际学院理工489 1372 广西大学理工5071408 海南大学理工4891424 重庆大学理工4931425 重庆邮电大学理工5061427 重庆医科大学理工5251429 西南大学理工4891435 西南政法大学理工4981438 重庆理工大学理工4891474 四川大学理工4931475 西南交通大学理工5411476 电子科技大学理工5441477 西南石油大学理工4891478 成都理工大学理工4951484 四川农业大学理工4891495 西南财经大学理工5581549 贵州大学理工5021578 云南大学理工4891614 西北大学理工5291615 西安交通大学理工599 1616 西北工业大学理工581 1617 西安理工大学理工522 1618 西安电子科技大学理工502 1619 西安工业大学理工502 1620 西安建筑科技大学理工519 1621 西安科技大学理工489 1622 西安石油大学理工526 1623 陕西科技大学理工489 1624 西安工程大学理工489 1626 长安大学理工5351627 西北农林科技大学理工520 1629 陕西师范大学理工504 1634 西北政法大学理工492 1695 青海大学理工4891703 宁夏大学理工4991704 宁夏医科大学理工530 1717 新疆大学理工4891721 石河子大学理工4971722 新疆医科大学理工523 7000 兰州大学理工5437001 兰州理工大学理工489 7003 兰州交通大学理工503 7004 甘肃农业大学理工489 7006 西北师范大学理工4897011 兰州商学院理工498甘肃省2013年普通高校本科一批录取院校投档最低分(文史类)2013年07月13日甘肃省高等学校招生办公室院校代号院校名称科类最低分0029 北京大学文史6100030 中国人民大学文史5920031 清华大学文史6180032 北京交通大学文史5080033 北京工业大学文史5030034 北京航空航天大学文史5030035 北京理工大学文史5170037 北方工业大学文史5030038 北京化工大学文史5030039 北京工商大学文史5070045 中国农业大学文史5070047 北京林业大学文史5070048 北京中医药大学文史5380050 首都师范大学文史5030053 北京第二外国语学院文史5030054 北京语言大学文史5120055 中国传媒大学文史5030056 中央财经大学文史5760057 对外经济贸易大学文史5790059 首都经济贸易大学文史510 0064 北京体育大学文史503 0065 中国政法大学文史567 0066 华北电力大学(北京) 文史503 0074 北京联合大学文史503 0102 南开大学文史5780106 中国民航大学文史510 0111 天津师范大学文史503 0113 天津外国语大学文史514 0115 天津财经大学文史534 0155 华北电力大学(保定) 文史503 0168 石家庄铁道大学文史503 0225 中北大学文史5030297 辽宁大学文史5080304 辽宁工程技术大学文史503 0308 大连海事大学文史503 0325 东北财经大学文史503 0386 吉林大学文史5450387 延边大学文史5030395 东北师范大学文史503 0439 东北石油大学文史503 0442 东北农业大学文史503 0443 东北林业大学文史503 0501 复旦大学文史6000503 上海交通大学文史6000506 上海海事大学文史503 0515 上海外国语大学文史553 0517 上海对外经贸大学文史521 0520 华东政法大学文史503 0522 上海大学文史5030526 上海立信会计学院文史524 0557 南京大学文史5920558 苏州大学文史5330562 江苏科技大学文史505 0563 中国矿业大学文史503 0566 南京邮电大学文史503 0567 河海大学文史5290568 江南大学文史5150569 南京林业大学文史503 0570 江苏大学文史5160571 南京信息工程大学文史503 0576 中国药科大学文史515 0577 南京师范大学文史531 0581 南京财经大学文史522 0594 扬州大学文史5030597 南京审计学院文史503 0679 西交利物浦大学文史503 0687 浙江师范大学文史503 0694 浙江工商大学文史529 0696 中国计量学院文史5030704 宁波大学文史5030741 宁波诺丁汉大学文史506 0742 安徽大学文史5250744 合肥工业大学文史503 0751 安徽财经大学文史526 0768 厦门大学文史5640769 华侨大学文史5030770 福州大学文史5220773 集美大学文史5030846 南昌大学文史5030860 江西财经大学文史518 0920 山东大学文史5620921 中国海洋大学文史541 0924 青岛科技大学文史503 0954 青岛大学文史5150955 烟台大学文史5031037 山东大学威海分校文史513 1039 郑州大学文史5191042 河南工业大学文史503 1050 河南大学文史5031131 武汉大学文史5651133 武汉科技大学文史503 1136 中国地质大学(武汉) 文史503 1139 武汉理工大学文史513 1141 华中农业大学文史5031149 中南财经政法大学文史5521218 湘潭大学文史5031220 湖南大学文史5501221 中南大学文史5031222 湖南科技大学文史5031223 长沙理工大学文史5031225 中南林业科技大学文史5031227 湖南师范大学文史5031302 中山大学文史5661303 暨南大学文史5411304 华南理工大学文史5031305 华南农业大学文史5031311 华南师范大学文史5071319 深圳大学文史5041325 广州大学文史5111336 广东外语外贸大学文史5271340 南方医科大学文史5041371 北京师范大学-香港浸会大学联合国际学院文史507 1408 海南大学文史5051424 重庆大学文史5381429 西南大学文史5301435 西南政法大学文史5031474 四川大学文史5581475 西南交通大学文史5171478 成都理工大学文史5031495 西南财经大学文史550 1549 贵州大学文史5031578 云南大学文史5031614 西北大学文史5291615 西安交通大学文史512 1616 西北工业大学文史503 1620 西安建筑科技大学文史503 1626 长安大学文史5251627 西北农林科技大学文史505 1629 陕西师范大学文史517 1634 西北政法大学文史524 1703 宁夏大学文史5051717 新疆大学文史5031721 石河子大学文史5037000 兰州大学文史5327006 西北师范大学文史503 7011 兰州商学院文史504手握一滴水我登上烽火台,俯瞰被黄沙侵蚀的战场。
2013年普通高校一批艺术本科院校录取结束名单(一)提供:黑龙江省招生考试委员会办公室阅读:131148 次时间:2013-7-132013年普通高校一批艺术本科院校录取结束名单(二)提供:黑龙江省招生考试委员会办公室阅读:113205 次时间:2013-7-142013年普通高校一批艺术本科院校录取结束名单(三)提供:黑龙江省招生考试委员会办公室阅读:149708 次时间:2013-7-152013年普通高校一批艺术本科院校录取结束名单(四)提供:黑龙江省招生考试委员会办公室阅读:88278 次时间:2013-7-162013年普通高校一批艺术本科院校录取结束名单(五)提供:黑龙江省招生考试委员会办公室阅读:61410 次时间:2013-7-172013年普通高校一批艺术本科院校录取结束名单(六)提供:黑龙江省招生考试委员会办公室阅读:66451 次时间:2013-7-182013年普通高校一批艺术本科院校录取结束名单(七)提供:黑龙江省招生考试委员会办公室阅读:48788 次时间:2013-7-192013年普通高校一批艺术本科院校录取结束名单(八)提供:黑龙江省招生考试委员会办公室阅读:38961 次时间:2013-7-202013年普通高校一批艺术本科院校录取结束名单(九)提供:黑龙江省招生考试委员会办公室阅读:38507 次时间:2013-7-212013年普通高校一批艺术本科院校录取结束名单(十)提供:黑龙江省招生考试委员会办公室阅读:35467 次时间:2013-7-22佳木斯大学艺术一表录取分数线齐齐哈尔大学2013年黑龙江省艺术类一批录取分数线2013年普通高校一批艺术本科院校录取结束名单(十三)提供:黑龙江省招生考试委员会办公室阅读:29507 次时间:2013-7-28。