苏北四市2018届高三一模物理试卷
- 格式:doc
- 大小:1.39 MB
- 文档页数:9
江苏省淮安市等四市2018届高三上学期第一次模拟物理试卷注意:本试卷满分120分,考试时间100分钟.请将答案填写在答题卡上,直接写在试卷上不得分. 一、单项选择题:本题共5小题,每小题3分,共15分.每小题只有一个....选项符合题意. 1.如图所示,小明将叠放在一起的A 、B 两本书抛给小强,已知A 的质量为m ,重力加速度为g ,两本书在空中不翻转,不计空气阻力,则A 、B 在空中运动时 A .A 的加速度等于g B .B 的加速度大于g C .A 对B 的压力等于mg D .A 对B 的压力大于mg2.如图所示,物块以速度v 0从粗糙斜面底端沿斜面上滑,达到最高点后沿斜面返回.下列v -t 图象3.如图所示,铁芯上绕有线圈A 和B ,线圈A与电源连接,线圈B 与理想发光二极管D 相连,衔铁E 连接弹簧K 控制触头C 的通断.忽略AA .闭合S ,D 闪亮一下B .闭合S ,C 将会过一小段时间接通 C .断开S ,D 不会闪亮D .断开S ,C 将会过一小段时间断开 4.带电球体的半径为R ,以球心为原点O 建立坐标轴x ,轴上各点电势φ随x 变化如图所示.下列说法正确的是 A .球体带负电荷 B .球内电场强度最大 C .A 、B 两点电场强度相同D .正电荷在B 点的电势能比C 点的大5v 1,穿透时间为t 1;若子弹以相同的速率从右向左水平穿透物块时速率为v 2,穿透时间为t 2.子弹在物块中受到的阻力大小与其到物块左端的距离成正比.则A .t 1>t 2B .t 1<t 2C .v 1>v 2D .v 1<v 2二、多项选择题:本题共4小题,每小题4分,共16分.每题有多个..选项符合题意,全部选对的得DA B C4分,选对但不全的得2分,错选或不答的得0分.6.2017年9月25日,微信启动页“变脸”:由此前美国卫星拍摄地球的静态图换成了我国“风云四号”卫星拍摄地球的动态图,如图所示.“风云四号”是一颗静止轨道卫星,关于“风云四号”,下列说法正确的有 A .能全天候监测同一地区 B .运行速度大于第一宇宙速度C .在相同时间内该卫星与地心连线扫过的面积相等D .向心加速度大于地球表面的重力加速度7.如图所示,理想变压器原副线圈匝数比为2:1,原线圈接交流电u =202sin100πt (V ),保险丝的电阻为1Ω,熔断电流为2A ,电表均为理想电表.下列说法正确的有 A .电压表V 的示数为14.1V B .电流表A 1、A 2的示数之比为2:1C .为了安全,滑动变阻器接入电路的最小阻值为4ΩD .将滑动变阻器滑片向上移动,电流表A 1的示数减小8.在一个很小的矩形半导体薄片上,制作四个电极E 、F 、M 、N ,做成了一个霍尔元件.在E 、F 间通入恒定电流I ,同时外加与薄片垂直的磁场B , M 、N 间的电压为U H .已知半导体薄片中的载流子为正电荷,电流与磁场的方向如图所示,下列说法正确的有 A .N 板电势高于M 板电势B .磁感应强度越大,MN 间电势差越大C .将磁场方向变为与薄片的上、下表面平行,U H 不变D .将磁场和电流分别反向,N 板电势低于M 板电势9.如图所示,质量为M 的长木板静止在光滑水平面上,上表面l ,左端O 处固定轻质弹簧,右侧用不可伸长的轻绳连接于竖直墙上,轻绳所能承受的最大拉力为F .质量为m 的小滑块以速度v 从A 点向左滑动压缩弹簧,弹簧的压缩量达最大时细绳恰好被拉断,再过一段时间后长木板停止运动,小滑块恰未掉落.则A .细绳被拉断瞬间木板的加速度大小为FMB .细绳被拉断瞬间弹簧的弹性势能为212mv C .弹簧恢复原长时滑块的动能为212mv D .滑块与木板AB 间的动摩擦因数为22v gl三、简答题:本题共4小题,满分42分.请将解答填在答题卡相应的位置.10.(8分)如图甲所示是研究小车加速度与力关系的实验装置.木板置于水平桌面上,一端系有砂桶的细绳通过滑轮与拉力传感器相连,拉力传感器可显示所受的拉力大小F ,改变桶中砂的质量保险丝A 1V A 2~E B MIFNU HA P BO v多次实验.完成下列问题:⑴实验中需要 ▲ . A .测量砂和砂桶的总质量 B .保持细线与长木板平行 C .保持小车的质量不变D .满足砂和砂桶的总质量远小于小车的质量⑵实验中得到一条纸带,相邻计数点间有四个点未标出,各计数点到A 点的距离如图乙所示.电源的频率为50H Z ,则打B 点时小车速度大小为 ▲ m/s ,小车的加速度大小为 ▲ m/s 2.⑶实验中描绘出a -F 图象如图丙所示,图象不过坐标原点的原因是 ▲ .11.(10分)测定一节电池的电动势和内阻,电路如图甲所示,MN 为一段粗细均匀、电阻率较大的电阻丝,定值电阻R 0=1.0Ω.调节滑片P ,记录电压表示数U 、电流表示数I 及对应的PN 长度x ,绘制了U-I 图象如图乙所示.⑴由图乙求得电池的电动势E = ▲ V ,内阻r = ▲ Ω.⑵实验中由于电表内阻的影响,电动势测量值 ▲ 其真实值(选填“大于”、“等于”或“小于”). ⑶根据实验数据可绘出UI-x 图象,如图丙所示.图象斜率为k ,电阻丝横截面积为S ,可求得电阻丝的电阻率 = ▲ , 电表内阻对电阻率的测量 ▲ (选填“有”或“没有”)影响.12.【选做题】本题包括A 、B 、C 三小题,请选定其中两题,并在相应答题区域内作答.若三题都做,则按A 、B 两题评分.A .[选修3-3](12分)⑴对于下列实验,说法正确的有 ▲ .cmE DCBA aFO丙8.323.4014.7322.56乙甲 GR N PE rS R 0M ·A · · VOx丙UI乙1.2 01.3 1.4 1.50.100.20 0.05 0.15 I /AU /Vd油酸分子A .甲图是用油膜法测分子直径的示意图,认为油酸薄膜厚度等于油酸分子直径B .乙图是溴蒸气的扩散实验,若温度升高,则扩散的速度加快C .丙图是模拟气体压强产生机理的实验,说明气体压强是由气体重力引起的D .丁图是蜂蜡涂在单层云母片上融化实验,说明云母晶体的导热性能各向同性⑵一定质量的理想气体,其状态变化的p -V 图象如图所示.已知气体在状态A 时的温度为260K ,则气体在状态B 时的温度为 ▲ K ,从状态A 到状态C 气体与外界交换的热量为▲ J .⑶2017年5月,我国成为全球首个海域可燃冰试采获得连续稳定气流的国家.可燃冰是一种白色固体物质,1L 可燃冰在常温常压下释放160L 的甲烷气体,常温常压下甲烷的密度0.66g/L ,甲烷的摩尔质量16g/mol ,阿伏伽德罗常数6.0×1023mol –1.请计算1L 可燃冰在常温常压下释放出甲烷气体分子数目(计算结果保留一位有效数字).B .[选修3-4](12分)⑴下列说法正确的有 ▲ .A .观察者接近恒定频率波源时,接收到波的频率变小B .物体做受迫振动,当驱动力频率等于固有频率时,振幅最大C .雨后美丽的彩虹是光的干涉现象D .相对论认为时间和空间与物质的运动状态有关⑵图甲为一列沿x 轴传播的简谐横波在t =0.1 s 时刻的波形图,图乙是这列波中质点B 的振动图象.则波速的大小为 ▲ m/s ;再经过0.05s ,质点 ▲ (选填“A ”、“B ”、“C ”或“D ”)到达波峰.⑶如图所示,水深为H 的池底有一半径为r 的圆形光源,在水面上形成圆形光斑.已知水的折射率为n ,真空中的光速为c .求: ①光到达水面的最短时间t ; ②光斑的半径R .C .[选修3-5](12分)⑴下列说法正确的有 ▲ .乙3310m )-▲ ▲▲y /cm乙 甲A .比结合能大的原子核分解成比结合能小的原子核时要吸收能量B .用紫光照射某金属表面时发生光电效应,改用红光照射时也一定能发生光电效应C .黑体辐射的强度随温度的升高而变大,且最大值向波长较短的方向移动D .改变压强、温度可改变放射性元素的半衰期⑵如图所示为氢原子的能级图,莱曼线系是氢原子从n =2,3,4,5······激发态跃迁到基态时辐射的光谱线系,辐射出光子的最小频率为 ▲ ;若该光子被某种金属吸收后,逸出的光电子最大初动能为E k ,则该金属的逸出功为 ▲ .已知普朗克常量为h ,氢原子处于基态时的能级为E 1.⑶如图所示,光滑水平面上小球A 、B 分别以1.2m/s 、2.0m/s 的速率相向运动,碰撞后B 球静止.已知碰撞时间为0.05s ,A 、B 的质量均为0.2kg .求: ①碰撞后A 球的速度大小;②碰撞过程A 对B 平均作用力的大小.四、计算题:本题共3小题,共47分.解答时请写出必要的文字说明、方程式和重要的演算步骤,只写最后答案的不能得分.有数值计算的题,答案中必须明确写出数值和单位.14.(16分)如图所示,水平光滑细杆上P 点套一小环,小环通过长L =1m 的轻绳悬挂一夹子,夹子内夹有质量m =1kg 的物块,物块两竖直侧面与夹子间的最大静摩擦力均为f m =7N .现对物块施加F =8N 的水平恒力作用,物块和小环一起沿水平方向做初速度为零的匀加速直线运动,小环碰到杆上的钉子Q 时立即停止运动,物块恰好相对夹子滑动,此时夹子立即锁定物块,锁定后物块仍受恒力F 的作用.小环和夹子的大小及质量均不计,物块可看成质点,重力加速度g =10m/s 2.求: ⑴物块做匀加速运动的加速度大小a ; ⑵P 、Q 两点间的距离s ; ⑶物块向右摆动的最大高度h .E 1n▲ ▲ ▲▲ ▲ ▲甲 乙▲ ▲ ▲▲ ▲ ▲物理参考答案及评分标准10. ⑴BC (2分)⑵0.416m/s 或0.42m/s (2分)1.48m/s 2(2分) ⑶平衡摩擦力过度(2分) 11. ⑴1.49(2分) 0.45(2分) ⑵小于(2分) ⑶kS (2分) 没有(2分)12.【选做题】A. (12分)(选修3-3) AB (4分) 780(2分) 600(2分) ⑶A vn N Mρ=(2分) 解得:24410n =⨯(2分)B. (12分)(选修3-4)⑴BD (4分) ⑵20m/s (2分) D (2⑶①光在水中传播的速度cv n=………(1分) 当光竖直向上传播时间最短H nHt v c== ………(1分) ②发生全反射的临界角为C ,有:1sin C n = ………(1分)则水面光斑的半径tan R r H C r =+=+ ………(1分) C. (12分)(选修3-5)⑴AC (4分) ⑵134E h -(2分) 134k EE --(2分) ⑶①A 、B 系统动量守恒,设B 的运动方向为正方向由动量守恒定律得/0A A B mv mv mv +=- ………(1分) 解得8.0/=v m/s ………(1分) …………(1分) 解得8=F N …………(1分)13.(15分)⑴由法拉第电磁感应定律得电动势t BSE ∆∆= ……………(2分) 感应电流 REI = ……………(1分)电量q I t =∆ ………………(1分) 解得2108.4-⨯=q C ………………(2分)⑵安培力BIL F = …………(2分) 由图得 3s 时的B =0.3T …………(1分) 代入数值得 31044.1-⨯=F N ……………(2分)⑶由焦耳定律得2Q I Rt =J …………(2分)代入数值得 31.15210Q -=⨯J ……………(2分) 14.(16分)(1)由牛顿第二定律F =ma , ……………(2分)解得a =4ms/2 ……………(1分) (2)环到达Q ,刚达到最大静摩擦力由牛顿第二定律 2m 2mv f mg L-=解得v m =2m/s … …(3分)根据动能定理 2m 12Fs mv = …………………(3分)解得s =0.25m …………………(1分) (3)设物块上升的最大高度为h ,水平距离为x ,由动能定理得()0F x s mgh +-= …………………(3分)由几何关系得222()L h x L -+=或222()h Lx L -+= ……………(2分)解得h =1m 或141h m(舍去)………………(1分)15.(16分)(1)电子射入圆形区域后做圆周运动,轨道半径大小相等,设为r,当电子a射入,经过O点进入x轴下方,则:r=R……(2分)。
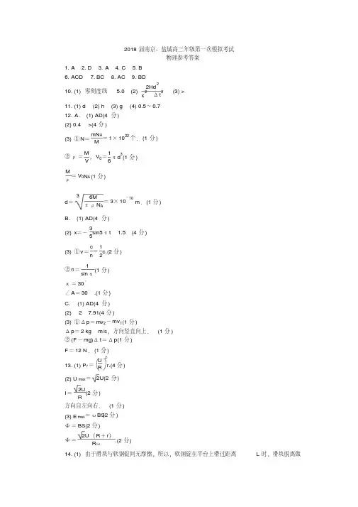
南京市、盐城市2018届高三年级第一次模拟考试物理参考答案及评分标准二、多项选择题:本题共4小题,每小题4分,共计16分。
每小题有多个选项符合题意,全三、简答题:本题分必做题(第10、11题)和选做题(第12题)两部分,共计42分.请将解答填写在答题卡相应的位置. 10.(8分)(1)①见图甲………………2分②0.735 ……………2分(2)①见图乙 ……………2分②0.35—0.45均给分…2分11. (10分)(1)5 ………………2分 (2)①C ……………2分②B ,D ………………2分 ③见图丙………………2分(3)灯泡电阻随温度升高而增大……2分 12.A (12分)(1)C ………………4分 (2)大于 ………………2分W U +∆ …………2分 (3)解析:SMgP P +=01 ………………………………………………1分 02P P = ………………………………………………1分由)(xS V P V P +=0211 ………………………………………………1分 200S P MgV x =………………………………………………1分12.B (12分)丙甲(1)BD ……………………………………………………………4分 (2)0.25 ………………………………………………………………2分10 ………………………………………………………………2分 (3)解析:1025sin =i ︒=45i ………………………………………………1分 γsin sin in =︒=30γ ………………………………………………1分 同理射出透明球的光线折射角为45° ……………………………1分 再由几何知识得到︒=30α …………………………………………1分12.C (12分)(1)B ………………………………………………………4分(2)He Th U 422349023892+→ ………………………………………………2分()2321c m m m -- ………………………………………………2分(3)解析:设水平向右为正方向,碰撞后小球A 的速度为30υ-,小球B 的速度为υ。
苏北四市2018 届高三一模物理试卷注意:本试卷满分120 分,考试时间100 分钟.请将答案填写在答题卡上,直接写在试卷上不得分.一、单项选择题:此题共 5 小题,每题 3 分,共15 分.每题只有.一.个..选项切合题意.1.如下图,小明将叠放在一同的A、B 两本书抛给小强,已知 A 的质量为m,重力加快度为g,两本书在空中不翻转,不计空气阻力,则A、B 在空中运动时A .A 的加快度等于gB.B 的加快度大于g C.A 对B 的压力等于mg ABABD.A 对B 的压力大于mg2.如下图,物块以速度v0 从粗拙斜面底端沿斜面上滑,达到最高点后沿斜面返回.下列v-t 图象能正确反应物块运动规律的是v v v vv0 v0 v0 v0v0O O O Ot t ttA B C D3.如下图,铁芯上绕有线圈 A 和B,线圈 A 与电源连结,线圈 B 与理想发光二极管 D相连,衔铁 E 连结弹簧K 控制触头 C 的通断.忽视 A 的自感,以下说法正确的选项是K EA .闭合S,D 闪亮一下C B.闭合S,C 将会过一小段时间接通S A C.断开S,D 不会闪亮DB D.断开S,C 将会过一小段时中断开4.带电球体的半径为R,以球心为原点O 成立坐标轴x,轴上各点电势φ随x变化如图所示.以下说法正确的选项是A .球体带负电荷A B CO xφB.球内电场强度最大C.A、B 两点电场强度同样D.正电荷在 B 点的电势能比 C 点的大-x1-R O R x1 x2 x 5.如下图,物块固定在水平面上,子弹以某一速率从左向右水平穿透物块时速率为v1,穿透时间为t1;若子弹以同样的速率从右向左水平穿透物块时速率为v2,穿透时间为t2.子弹在物块中遇到的阻力大小与其到物块左端的距离成正比.则A .t1>t2 B.t1<t2 子弹物块C.v1>v2 D.v1<v2高三物理试题第1页共6 页二、多项选择题:此题共 4 小题,每题 4 分,共16 分.每题有多个..选项切合题意,全部选对的得 4 分,选对但不全的得 2 分,错选或不答的得0 分.6.2017 年9 月25 日,微信启动页“变脸”:由此前美国卫星拍摄地球的静态图换成了我国“风云四号”卫星拍摄地球的动向图,如下图.“风云四号”是一颗静止轨道卫星,对于“风云四号”,以下说法正确的有A .能全天候监测同一地域B.运转速度大于第一宇宙速度C.在同样时间内该卫星与地心连线扫过的面积相等D.向心加快度大于地球表面的重力加快度7.如下图,理想变压器原副线圈匝数比为2:1,原线圈接沟通电u= 20 2 sin100πt(V),保险丝的电阻为1Ω,熔断电流为2A,电表均为理想电表.以下说法正确的有A V 14.1V.电压表的示数为B.电流表A1、A 2 的示数之比为2:1A 1保险丝~VC.为了安全,滑动变阻器接入电路的最小阻值为4ΩD.将滑动变阻器滑片向上挪动,电流表A1 的示数减小A28.在一个很小的矩形半导体薄片上,制作四个电极E、F、M、N,做成了一个霍尔元件.在E、F 间通入恒定电流I ,同时外加与薄片垂直的磁场B,M、N 间的电压为U H.已知半导体薄片中的载流子为正电荷,电流与磁场的方向如下图,以下说法正确的有A .N 板电势高于M 板电势F IN B.磁感觉强度越大,MN 间电势差越大M C.将磁场方向变成与薄片的上、下表面平行,U H 不变E BD.将磁场和电流分别反向,N 板电势低于M 板电势U H9.如下图,质量为M 的长木板静止在圆滑水平面上,上表面OA 段圆滑,AB 段粗拙且长为l,左端O 处固定轻质弹簧,右边用不行伸长的轻绳连结于竖直墙上,轻绳所能承受的最大拉力为F.质量为m 的小滑块以速度v 从A 点向左滑动压缩弹簧,弹簧的压缩量达最大时细绳恰巧被拉断,再过一段时间后长木板停止运动,小滑块恰未掉落.则A .细绳被拉断瞬时木板的加快度大小为F MB.细绳被拉断瞬时弹簧的弹性势能为122mvvC.弹簧恢还原长时滑块的动能为122mv O APBD.滑块与木板AB 间的动摩擦因数为2 v 2gl高三物理试题第2页共6 页三、简答题:此题共 4 小题,满分42 分.请将解答填在答题卡相应的地点.10.(8 分)如图甲所示是研究小车加快度与力关系的实验装置.木板置于水平桌面上,一端系有砂桶的细绳经过滑轮与拉力传感器相连,拉力传感器可显示所受的拉力大小F,改变桶中砂的质量多次实验.达成以下问题:⑴实验中需要▲.小车打点计时器纸带A.丈量砂和砂桶的总质量B.保持细线与长木板平行拉力传感器C.保持小车的质量不变砂桶甲D.知足砂和砂桶的总质量远小于小车的质量⑵实验中获取一条纸带,相邻计数点间有四个点未标出,各计数点到 A 点的距离如图乙所示.电源的频次为50H Z,则打 B 点时小车速度大小为▲m/s,小车的加快度大小为▲m/s2.A B C D E cm a3.408.3214.7322.56 乙O丙F⑶实验中描述出 a -F 图象如图丙所示,图象可是坐标原点的原由是▲.11.(10 分)测定一节电池的电动势和内阻,电路如图甲所示,MN 为一段粗细均匀、电阻率较大的电阻丝,定值电阻R0=1.0 Ω.调理滑片P,记录电压表示数U、电流表示数I 及对应的PN 长度x,绘制了U-I 图象如图乙所示.⑴由图乙求得电池的电动势E=▲V ,内阻r = ▲Ω.⑵实验中因为电表内阻的影响,电动势丈量值▲其真切值(选填“大于”、“等于”或“小于”).⑶依据实验数据可绘出UI -x 图象,如图丙所示.图象斜率为k,电阻丝横截面积为S,可求得电阻丝的电阻率=▲,电表内阻对电阻率的丈量▲(选填“有”或“没有”)影响.U/VV 1.5 U··MPNGA ·1.4IR0R 1.3E r甲S1.20 0.5 0.10 0.15 0.20 I/A乙O x丙高三物理试题第3页共6 页12.【选做题】此题包含A、B、C 三小题,请选定此中两题,并在相应答题地区内作答.若三题都做,则按A、B 两题评分.A.[选修3-3](12 分)⑴对于以下实验,说法正确的有▲.油酸分子d丙丁甲乙A .甲图是用油膜法测分子直径的表示图,以为油酸薄膜厚度等于油酸分子直径B.乙图是溴蒸气的扩散实验,若温度高升,则扩散的速度加快C.丙图是模拟气体压强产活力理的实验,说明气体压强是由气体重力惹起的D.丁图是蜂蜡涂在单层云母片上消融实验,说明云母晶体的导热性能各向同性p 5/ ( 10 Pa)⑵必定质量的理想气体,其状态变化的p-V 图象如图所示.已知气体在状态 A 时的温度为260K,则气体在状A3 B 2态B 时的温度为▲K,从状态 A 到状态 C 气体与C1外界互换的热量为▲J.O 1 2 3 V 3 3/ ( 10 m )⑶2017 年5 月,我国成为全世界首个海疆可燃冰试采获取连续稳固气流的国家.可燃冰是一种白色固体物质,1L 可燃冰在常温常压下开释160L 的甲烷气体,常温常压下甲烷的密度0.66g/L,甲烷的摩尔质量16g/mol,阿伏伽德罗常数 6.0 ×1023mol–1.请计算1L 可燃冰在常温常压下开释出甲烷气体分子数量(计算结果保存一位有效数字).▲▲▲B.[选修3-4](12 分)⑴以下说法正确的有▲.A .察看者靠近恒定频次波源时,接收到波的频次变小B.物体做受迫振动,当驱动力频次等于固有频次时,振幅最大C.雨后漂亮的彩虹是光的干预现象D.相对论以为时间和空间与物质的运动状态相关⑵图甲为一列沿x 轴流传的简谐横波在t=0.1 s 时辰的波形图,图乙是这列波中质点 B 的振动图象.则波速的大小为▲m/s;再经过0.05s,质点▲(选填“A”、“B”、“C”或“D”)抵达波峰.1 y/cmAB D1y/cm0 x/m1 2 3 4C-1甲-10.1 0.2乙t/s高三物理试题第4页共6 页⑶如下图,水深为H 的池底有一半径为r 的圆形光源,在水面上形成圆形光斑.已知水的折射率为n,真空中的光速为c.求:①光抵达水面的最短时间t;H ②光斑的半径R.光源r▲▲▲C.[选修3-5](12 分)⑴以下说法正确的有▲.A .比联合能大的原子核分解成比联合能小的原子核时要汲取能量B.用紫光照耀某金属表面时发生光电效应,改用红光照耀时也必定能发生光电效应C.黑体辐射的强度随温度的高升而变大,且最大值向波长较短的方向挪动D.改变压强、温度可改变放射性元素的半衰期⑵如下图为氢原子的能级图,莱曼线系是氢原子从n∞E0n=2,3,4,5······激发态跃迁到基态时辐射的光谱线系,辐射出光子的最小频次为▲;若该光子5 4 3被某种金属汲取后,逸出的光电子最大初动能为E k,2则该金属的逸出功为▲.已知普朗克常量为h,氢原子处于基态时的能级为E1. 1 E1▲▲▲⑶如下图,圆滑水平面上小球A、B 分别以 1.2m/s、2.0m/s 的速率相向运动,碰撞后B 球静止.已知碰撞时间为0.05s,A、B 的质量均为0.2kg.求:①碰撞后 A 球的速度大小;②碰撞过程 A 对B 均匀作使劲的大小.A B▲▲▲四、计算题:此题共 3 小题,共47 分.解答时请写出必需的文字说明、方程式和重要的演算步骤,只写最后答案的不可以得分.有数值计算的题,答案中一定明确写出数值和单位.13.(15 分)如图甲所示,单匝正方形线框abcd 的电阻R=0. 5Ω,边长L=20cm ,匀强磁场垂直于线框平面,磁感强度 B 随时间t 的变化规律如图乙所示.求:⑴0~2s 内经过ab 边横截面的电荷量q;B/( ×10-1T)-1T)⑵3s 时ab 边所受安培力的大小F;a b 128⑶0~4s 内线框中产生的焦耳热Q.4▲▲▲d cO t/s1 2 3 4甲乙高三物理试题第5页共6 页14.(16 分)如下图,水平圆滑细杆上P 点套一小环,小环经过长L=1m 的轻绳悬挂一夹子,夹子内夹有质量m=1kg 的物块,物块两竖直侧面与夹子间的最大静摩擦力均为f m=7N.现对物块施加 F =8N 的水平恒力作用,物块和小环一同沿水平方向做初速度为零的匀加快直线运动,小环遇到杆上的钉子Q 时立刻停止运动,物块恰巧相对夹子滑动,此时夹子立刻锁定物块,锁定后物块仍受恒力 F 的作用.小环和夹子的大小及质量均不计,物块可当作质点,重力加快度g=10m/s2.求:P Q⑴物块做匀加快运动的加快度大小a;⑵P、Q 两点间的距离s;⑶物块向右摇动的最大高度h.F▲▲▲15.(16 分)如下图的xOy 平面内,以O1(0,R)为圆心、R 为半径的圆形地区内有垂直于xOy 平面向里的匀强磁场(用B1 表示,大小未知);x 轴下方有向来线MN,MN 与x 轴相距为Δy(未知),x 轴与直线MN 间地区有平行于y 轴的匀强电场,电场强度大小为E;在MN 的下方有矩形地区的匀强磁场,磁感觉强度大小为B2,磁场方向垂直于xOy 平面向外.电子a、b 以平行于x 轴的速度v0 分别正对O1 点、A (0,2R) 点射入圆形磁场,偏转后都经过原点O 进入x 轴下方的电场.已知电子质量为m,电荷量为e,E23mv2eR,3mv0B2 = ,不计电子重力.2eR⑴求磁感觉强度B1 的大小;⑵若电场沿y 轴负方向,欲使电子 a 不可以抵达MN,求y 的最小值;⑶若电场沿y 轴正方向,y 3R ,欲使电子 b 能抵达x 轴上且距原点O 距离最远,求y 矩形磁场地区的最小面积.Aba O1B1▲▲▲OEM N······x······B2······高三物理试题第6页共6 页物理参照答案及评分标准题号 1 2 3 4 5 6 7 8 9 答案 A C D D B AC CD AB ABD10. ⑴BC(2 分)⑵0.416m/s 或0.42m/s(2 分)1.48m/s2(2 分)⑶均衡摩擦力过分( 2 分)11. ⑴1.49(2 分)0.45(2 分)⑵小于(2 分)⑶kS(2 分)没有(2 分)12.【选做题】A. (12 分)(选修3-3)AB (4 分)780(2 分)600(2 分)v⑶(2 分)n NAM24解得:n 4 10 (2 分)B. (12 分)(选修3-4)⑴BD (4 分)⑵20m/s(2 分)D(2 分)⑶①光在水中流传的速度v cn⋯⋯⋯(1 分)当光竖直向上流传时间最短t H nHv c⋯⋯⋯(1 分)②发生全反射的临界角为C,有:sin C 1n⋯⋯⋯(1 分)则水面光斑的半径R r H tan C rH2n 1⋯⋯⋯(1 分)C. (12 分)(选修3-5)⑴AC (4 分)⑵ 3 1E4h (2 分)3E14E (2 分)k⑶①A 、B 系统动量守恒,设 B 的运动方向为正方向由动量守恒定律得/mv B mv 0 mv A ⋯⋯⋯(1 分)A/解得0.8v m/s ⋯⋯⋯(1 分)A②对B,由动量定理得F t p ⋯⋯⋯⋯(1 分)B解得F 8N ⋯⋯⋯⋯(1 分)13.(15 分)⑴由法拉第电磁感觉定律得电动势BE S ⋯⋯⋯⋯⋯(2 分)t感觉电流EI ⋯⋯⋯⋯⋯(1 分)R电量q I t ⋯⋯⋯⋯⋯⋯(1 分)高三物理试题第7页共6 页解得 2q 4.8 10 C ⋯⋯⋯⋯⋯⋯(2 分)⑵安培力F BIL ⋯⋯⋯⋯(2 分)由图得3s 时的B=0.3T ⋯⋯⋯⋯(1 分)代入数值得 3F 1.44 10 N ⋯⋯⋯⋯⋯(2 分)⑶由焦耳定律得 2Q I Rt J ⋯⋯⋯⋯(2 分)代入数值得 3Q 1.152 10 J ⋯⋯⋯⋯⋯(2 分)14.(16 分)(1)由牛顿第二定律F= m a,⋯⋯⋯⋯⋯(2 分)解得a=4ms/2 ⋯⋯⋯⋯⋯(1 分)(2)环抵达Q,刚达到最大静摩擦力由牛顿第二定律 2 f mgm2mvL解得v m=2m/s ⋯⋯(3 分)依据动能定理12Fs mv ⋯⋯⋯⋯⋯⋯⋯(3 分)m2解得s=0.25m ⋯⋯⋯⋯⋯⋯⋯(1 分)P Q (3)设物块上涨的最大高度为h,水平距离为x,由动能定理得F (x s) mgh 0 ⋯⋯⋯⋯⋯⋯⋯(3 分)x 由几何关系得夹子h2 2 2 (L h) x L 或2 2 2(h L) x L ⋯⋯⋯⋯⋯(2 分)解得h =1m 或 1h m(舍去)⋯⋯⋯⋯⋯⋯(1 分)4115.(16 分)(1)电子射入圆形地区后做圆周运动,轨道半径大小相等,设为r,当电子 a 射入,经过O 点进入x 轴下方,则:r=R ⋯⋯(2 分)2v mv0 0ev0B = m ,解得B1 = ⋯⋯⋯⋯(2 分)r eR⑵匀强电场沿y 轴负方向,电子 a 从O 点沿y 轴负方向进入电场做减速运动,由动能12定理eEΔy = mv ⋯⋯⋯⋯⋯(2 分)223 mv可求出RΔy = = ⋯⋯⋯⋯⋯(2 分)2 3eE⑶匀强电场沿y 轴正方向,电子 b 从O 点进入电场做类平抛运动,设电子 b 经电场加速后抵达MN 时速度大小为v,电子 b 在MN 下方磁场做匀速圆周运动轨道半径为r1,电子 b 走开电场进入磁场时速度方向与水平方向成θ角,如下图。
2018年全国高考物理一模试卷(江苏卷)一、单项选择题:本题共5小题,每小题3分,共计15分.每小题只有一个选项符合题意.1.(3分)骑射是少数民族运动会上常有的项目,运动员骑在奔驶的马背上,弯弓放箭射击侧向的固定目标。
由于马跑得很快,摄影师用一种“追拍法”成功地将运动的“美”展现了出来(如图甲所示).假设运动员骑马奔驰的速度为v1,运动员静止时射出的弓箭速度为v2,跑道离固定目标的最近距离为d(如图乙所示).如果忽略箭在运动过程中所受的空气阻力。
下列说法中错误的是()A.在摄影师眼里清晰的运动员是静止的,而模糊的背景是运动的,这是因为他选择运动员为参考系B.射出的箭在水平方向上的分运动是匀速直线运动C.箭射到目标的最短时间为D.要想命中目标且射出的箭在空中飞行时间最短,运动员放箭处离目标的距离为2.(3分)如图所示,两位同学在体育课上进行传接篮球训练,甲同学将篮球从A点抛给乙(篮球运动的轨迹如图中实线1所示),乙在B点接住然后又将篮球传给甲(篮球运动的轨迹如图中虚线2所示).已知篮球在空中运动的最大高度恰好相同。
若忽略空气阻力,则下列说法中正确的是()A.篮球沿轨迹1运动的时间较长B.篮球沿轨迹1运动的过程中速度变化较快C.两同学将篮球抛出的速度大小相等D.篮球落到B点前的瞬间重力做功的功率等于落到C点(与A、B两点高度相同)前的瞬间重力做功的功率3.(3分)两个带电体M和N在周围空间形成电场,电场线分布如图所示,其中O、P两点为同一电场线上的两个点。
下列有关说法中正确的是()A.M一定带正电而N一定带负电B.O点的电势一定低于P点的电势C.O点的电场强度大小一定小于P点的电场强度大小D.将某一电荷从O点经某一路径移动到P点,电场力做的功可能为零4.(3分)如图所示为电磁驱动器的原理图。
其中①为磁极,它被固定在电动机②的转轴上,金属圆盘③可以绕中心轴转动,圆盘与转轴间的阻力较小。
整个装置固定在一个绝缘支架④上。
淮安、连云港、宿迁、徐州四市2018届高三调研考试物理试题本试卷分第Ⅰ卷(选择题)和第Ⅱ卷(非选择题)两部分。
第Ⅰ卷31分,第Ⅱ卷89分,满分120分,考试时间100分钟。
请把试题答案写在答题纸相应位置上................。
第Ⅰ卷(选择题 共31分)一、单项选择题:本题共5小题,每小题3分,共15分。
每小题只有一个....选项符合题意,选对的得3分,错选或不答的得0分。
1.用比值法定义物理量是物理学中一种重要的思想方法,下列物理量的表达式不属于...用比值法定义的是 A .加速度Fa m = B .功率P =tW C .电阻UR I=D .磁感应强度IL F B =2.某同学设想驾驶一辆“陆地-太空”两用汽车,沿地球赤道行驶并且汽车相对于地球速度可以增加到足够大。
当汽车速度增加到某一值时,它将成为脱离地面绕地球做圆周运动的“航天汽车”。
不计空气阻力,已知地球的半径R =6400km 。
下列说法正确的是 A .汽车在地面上速度增加时,它对地面的压力增大B .当汽车速度增加到7.9km/s 时,将离开地面绕地球做圆周运动C .此“航天汽车”环绕地球做圆周运动的最小周期为1hD .在此“航天汽车”上可以用弹簧测力计测量物体的重力3.如图甲所示为某一门电路符号及输入端A 、B 的电势随时间变化关系的图象,则图乙中能正确反映该门电路输出端电势随时间变化关系的图象是4.从地面竖直上抛一个质量为m 的小球,小球上升的最大高度为H ,设上升过程中空气阻力F f 恒定。
在小球从抛出到上升至最高处的过程中,下列说法正确的是 A .小球的动能减少mgH B .小球的动能减少F f H甲ABC D 乙5.水平地面上有一轻质弹簧,下端固定,上端与物体A 相连接,整个系统处于平衡状态。
现用一竖直向下的力压物体A ,使A 竖直向下做匀加速直线运动一段距离,整个过程中弹簧一直处在弹性限度内。
下列关于所加的力F 的大小和运动距离x 之间关系的图象正确的是二、多项选择题:本题共4小题,每小题4分,共16分。
2018年江苏省南京市、盐城市高考物理一模试卷一、单项选择题:本题共5小题,每小题3分,共计15分,每小题只有一个选项符合题意.1.(3.00分)质量为m 的物块沿着倾角为θ的粗糙斜面匀速下滑,物块与斜面间的动摩擦因数为μ.斜面对物块的作用力是()A.大小mg,方向竖直向上B.大小mgcosθ,方向垂直斜面向上C.大小mgsinθ,方向沿着斜面向上D.大小μmgcosθ,方向沿着斜面向上2.(3.00分)下列图中,不属于涡流现象的是()A.图是真空冶炼炉可以冶炼高质量的合金B.图是充电器工作时绕制线圈的铁芯中会发热C.图是安检门可以探测人身是否携带金属物品D.图是工人穿上金属丝织成的衣服可以高压带电作业3.(3.00分)科学家发现太阳系外某一恒星有一行星,并测得它围绕该恒星运行一周所用的时间为1200 年,它与该恒星的距离为地球到太阳距离的100 倍.假定该行星绕恒星运行的轨道和地球绕太阳运行的轨道都是圆周,仅利用以上两个数据可以求出的量是()A.恒星与太阳质量之比B.恒星与太阳密度之比C.行星与地球质量之比D.行星与地球表面的重力加速度之比4.(3.00分)如图所示,电视显像管中有一个电子枪,工作时它能发射电子,荧光屏被电子束撞击就能发光。
在偏转区有垂直于纸面的磁场B1 和平行纸面上下的磁场B2,就是靠这样的磁场来使电子束偏转,使整个荧光屏发光。
经检测仅有一处故障:磁场B1 不存在,则荧光屏上()A.不亮B.仅有一个中心亮点C.仅有一条水平亮线D.仅有一条竖直亮线5.(3.00分)如图所示,质量相等的甲、乙两个小球,在光滑玻璃漏斗内壁做水平面内的匀速圆周运动,甲在乙的上方.则它们运动的()A.向心力F甲>F 乙 B.线速度υ甲>υ乙C.角速度ω甲>ω乙D.向心加速度a甲>a乙二、多项选择题:本题共4小题,每小题4分,共计16分,每小题有多个选项符合题意.全部选对的得4分,选对但不全的得2分,错选或不答的得0分.6.(4.00分)变压器线圈中的电流越大,所用的导线应当越粗.如图所示,是降压变压器,假设它只有一个原线圈和一个副线圈,匝数分别为n1和n2.下列说法中不正确的是()A.n1>n2,原线圈比副线圈的导线粗B.n1>n2,原线圈比副线圈的导线细C.n1<n2,原线圈比副线圈的导线粗D.n1<n2,原线圈比副线圈的导线细7.(4.00分)建筑工地通过吊车将物体运送到高处。
2018届南京、盐城高三年级第一次模拟考试物理参考答案1. A2. D3. A4. C5. B6. ACD7. BC8. AC9. BD10. (1) 零刻度线 5.0(2)2Hd2x2·Δt2(3) >11. (1) d(2) h(3) g(4) 0.5~0.712. A. (1) AD(4分)(2) 0.4>(4分)(3) ①N=mN AM=1×1022个.(1分)②ρ=MV,V0=16πd3(1分)Mρ=V0N A(1分)d=36MπρN A=3×10-10 m.(1分)B. (1) AD(4分)(2) x=-35sin5πt 1.5(4分)(3) ①v=cn=12c.(2分)②n=1sinα(1分)α=30°∠A=30°.(1分)C. (1) AD(4分)(2) 27.91(4分)(3) ①Δp=mv2-mv1(1分)Δp=2 kg·m/s,方向竖直向上.(1分) ②(F-mg)Δt=Δp(1分)F=12 N.(1分)13. (1) P r=UR2r.(4分)(2) U max=2U(2分)I=2UR(2分)方向自左向右.(1分) (3) E max=ωBS(2分) Φ=BS(2分)Φ=2U(R+r)Rω.(2分)14. (1) 由于滑块与软钢锭间无摩擦,所以,软钢锭在平台上滑过距离L时,滑块脱离做自由落体运动a=g.(4分)(2) 根据动能定理得E k=12Mv2(1分)∑W=ΔE k(1分)W f克=-ΔE k=12Mv2.(2分)(3) 滑块脱离软钢锭后做自由下落到平台的时间与软钢锭在平台最后滑动L的时间相同,都为t(1分)L=12μgt2(1分)μ(M+m)gL+μMgL=12Mv2(2分)v m=gt(1分)E km=12mv2m(1分)联立以上四个方程式得E km=2(2M+m)mg2L2Mv2.(2分)15. (1) 带电粒子以v进入磁场经T3的时间从内圆最高A点处进入电场(1分)Bqv=m v2R(1分)R=23r3(1分)v=23rBq3m.(1分)(2) 带电粒子进入电场做类平抛运动(1分) 2rcos60°=vt(1分)2rsin60°=Eqt22m(1分)E=83B2qr3m.(1分)(3) 带电粒子经加速电场获得一定动能进入磁场U加q=12mv2(1分)Bqv=m v2R(1分)U加=B2qR22m(1分)使该粒子不进入电场并在磁场中做完整的圆周运动,经分析R有三种临界值.讨论:①R1=3rv1=Bqm3rU加1=3B2qr22m(1分)②R2=3+12r,v2=Bqm·3+12rU加2=()2+3B2qr24m(1分)③R3=3-12r,v3=Bqm·3-12rU加3=()2-3B2qr24m(1分)加速电压的取值范围:U加∈0,(2-3)B2qr24m和U加∈[(2+3)B2qr24m,3B2qr22m]. (2分)。
2018年苏、锡、常、镇高三教学情况调研物理参考答案和评分意见说明:定出评分标准是为了尽可能在统一标准下评定成绩.试题的参考解答是用来说明评分标准的.考生如按其他方法或步骤解答,正确的,同样给分;有错的,根据错误的性质,参照评分标准中相应的规定评分.一、参考答案及评分标准选择题共40分,每小题4分.每小题全部选对的给4分,选不全的给2分,有选二、参考答案及评分标准 11.(1)0.900 (4分) (2) 33.10 (4分) 12.(1)C (4分) (2)E =10V (4分) r =46±2Ω (4分) 三、参考答案及评分标准 13.参考解答: (1)电流表的读数II =3Er R + ① 代入数据得 I =0.8A ② (2)电容器带电量 3q C I R= ③ 代入数据得 q =9.6×10-11C ④ 评分标准:本题14分.①式4分,②式3分,③式4分,④式3分. 四、参考答案及评分标准 14.参考答案(1)由磁通量随时间变化的图线可知在t =0到4Tt =时间内,环中的感应电动势 1ΦE t ∆=∆ ① 在以上时段内,环中的电流为 11EI R= ②则在这段时间内通过金属环某横截面的电量 1q I t = ③联立求解得 0q RΦ= ④(2)在24T t T t ==到和在34Tt t T ==到时间内,环中的感应电动势 .02=E ⑤在432Tt T t ==到时间内,环中的感应电动势 034E TΦ= ⑥ 由欧姆定律可知在以上时段内,环中的平均电流为 034I TRΦ= ⑦在t =0到T t 2=时间内金属环所产生的电热2211332()Q I Rt I Rt =+ ⑧联立求解得216Q RTΦ= ⑨评分标准:本题14分.①②③式各2分,④⑤⑥⑦式各1分;⑧⑨式各2分。
五、参考答案及评分标准 15.参考答案(1)设在t ∆时间内,CO 2分子运动的距离为L ,则L=v t ∆ ①打在平板上的分子数 16A N nLSN ∆= ② 故单位时间内打在平板上的CO 2分子数为NN t∆=∆得 16A N nSN v = ③(2)根据动量定理(2)F t mv N ∆=∆ ④ A N m μ= ⑤解得 213F n Sv μ= ⑥CO 2气体对平板的压力 213F F n Sv μ'== ⑦评分标准:本题15分.①式2分,②式3分,③④⑤⑥⑦式各2分. 六、参考答案及评分标准 16.参考答案:(1)将气球和小石块作为一个整体:在竖直方向上,气球(包括小石块)受到重力G 、浮力F 和地面支持力N 的作用,据平衡条件有 N =(m 1+m 2)g -gV ρ ① 式中N 是与风速v 无关的恒力,故气球会连同小石块不会一起被吹离地面. (2)气球的运动可分解成水平方向和竖直方向的两分运动,达最大速度时气球在水平方向做匀速运动,有x v v = ②气球在竖直方向做匀速运动,有 2y m g kv gV ρ+= ③气球的最大速度 m v =④联立求解得m v = ⑤评分标准:本题15分.①式3分,正确判断气球(连同小石块)能否被吹离地面3分;②式2分,③式3分,④⑤式各2分.说明:解答过程如无①式:能正确作出判断,得3分;能正确表述理由,得3分. 七、参考答案及评分标准 17.参考答案(1)粒子在x 轴上方和下方的磁场中做半径相同的匀速圆周运动,其运动轨迹如图(甲)所示.设粒子的轨道半径r ,有qvB =m2v r①代入数据得 r =0.1m ② 由几何关系知x 坐标为 1x =2r ③ 代入数据得 1x =0.2m ④ (2)设粒子在磁场中的圆周运动的周期为T 0T 0=2m qBπ ⑤ 代入数据得 40210sT π-=⨯ ⑥ 据题意,知粒子在t =0到t =42103π-⨯s 内和在t =42103π-⨯s 到t =44103π-⨯s 内在磁场中转过得圆弧所对得圆心角均为23π⑦粒子的运动轨迹应如图(b )所示.由几何关系得 2x =6r ⑧ 带入数据得 2x =0.6m ⑨ 评分标准:本题16分.①②式各1分,③式4分,④式1分,⑤⑥式各1分,⑦式2分,⑧式4分,⑨式1分.图(a ) 1xy x v o xv o r r 图(b )八、参考答案及评分标准18.(1)整个过程木块克服摩擦力做功W =μmg ·l +μmg ·2l +……+μmg ·nl =(1)2n n mglμ+ ①根据功能关系,整个过程中由于碰撞而损失的总动能为△E K = E K 0-W ② 得 △E K =201 (1)22n n mgl mv μ+- ③ (2)设第i 次(i ≤n -1)碰撞前木块的速度为v i ,碰撞后速度为v i ′,则(i +1)m v i ′= im v i ④碰撞中损失的动能△E K i 与碰撞前动能E K i 之比为22211(1)2212i i Ki Kii imv i mv E E imv '-+∆=(i ≤n -1) ⑤ 可得 11Ki Ki E E i ∆=+ (i ≤n -1) ⑥ (3)初动能 E K 0= mv 02/2第1次碰撞前 E K 1= E K 0-μmgl ⑦ 第1次碰撞后 E K 1′= E K 1-△E K 1= E K 1-E K 1/2= E K 0/2-μmgl /2 ⑧ 第2次碰撞前 E K 2= E K 1′-μ(2mg )l = E K 0/2-5μmgl /2第2次碰撞后 E K 2′= E K 2-△E K 2= E K 2-E K 3/3= E K 0/3-5μmgl/3 第3次碰撞前 E K 3= E K 2′-μ(3mg )l = E K 0/3-14μmgl /3 第3次碰撞后 E K 3′= E K 3-△E K 3= E K 0/4-7μmgl /2据题意有 E K 0/4-7μmgl /2=μ(4mg )l ⑨ 带入数据,联立求解得 μ=0.15 ⑩评分标准:本题16分.①式2分,②式2分,③④⑤式各1分,⑥式3分,⑦⑧式各1分,⑨⑩式各2分.。
2018年江苏省南京市、盐城市高考物理一模试卷一、单项选择题:本题共5小题,每小题3分,共计15分,每小题只有一个选项符合题意.1.(★)质量为m 的物块沿着倾角为θ的粗糙斜面匀速下滑,物块与斜面间的动摩擦因数为μ.斜面对物块的作用力是()A.大小mg,方向竖直向上B.大小mgcosθ,方向垂直斜面向上C.大小mgsinθ,方向沿着斜面向上D.大小μmgcosθ,方向沿着斜面向上2.(★)下列图中,不属于涡流现象的是()A.图是真空冶炼炉可以冶炼高质量的合金B.图是充电器工作时绕制线圈的铁芯中会发热C.图是安检门可以探测人身是否携带金属物品D.图是工人穿上金属丝织成的衣服可以高压带电作业3.(★)科学家发现太阳系外某一恒星有一行星,并测得它围绕该恒星运行一周所用的时间为1200 年,它与该恒星的距离为地球到太阳距离的100 倍.假定该行星绕恒星运行的轨道和地球绕太阳运行的轨道都是圆周,仅利用以上两个数据可以求出的量是()A.恒星与太阳质量之比B.恒星与太阳密度之比C.行星与地球质量之比D.行星与地球表面的重力加速度之比4.(★)如图所示,电视显像管中有一个电子枪,工作时它能发射电子,荧光屏被电子束撞击就能发光。
在偏转区有垂直于纸面的磁场B1 和平行纸面上下的磁场B2,就是靠这样的磁场来使电子束偏转,使整个荧光屏发光。
经检测仅有一处故障:磁场B1 不存在,则荧光屏上()A.不亮B.仅有一个中心亮点C.仅有一条水平亮线D.仅有一条竖直亮线5.(★★)如图所示,质量相等的甲、乙两个小球,在光滑玻璃漏斗内壁做水平面内的匀速圆周运动,甲在乙的上方.则它们运动的()A.向心力F甲>F 乙B.线速度υ甲>υ乙C.角速度ω甲>ω乙D.向心加速度a甲>a乙二、多项选择题:本题共4小题,每小题4分,共计16分,每小题有多个选项符合题意.全部选对的得4分,选对但不全的得2分,错选或不答的得0分.6.(★★)变压器线圈中的电流越大,所用的导线应当越粗.如图所示,是降压变压器,假设它只有一个原线圈和一个副线圈,匝数分别为n 1和n 2.下列说法中不正确的是()A.n1>n2,原线圈比副线圈的导线粗B.n1>n2,原线圈比副线圈的导线细C.n1<n2,原线圈比副线圈的导线粗D.n1<n2,原线圈比副线圈的导线细7.(★★★)建筑工地通过吊车将物体运送到高处。
江苏四市2018届高三物理3月调研试题(带答案)第I卷(选择题共31分)二、单项选择题:本题共5小题,每小题3分。
每小题给出的四个选项中只有一项符合题目要求。
1.下列各式属于定义式的是A.加速度B.电动势C、电容D、磁感应强度2.如图所示为从静止开始做直线运动的物体加速度—时间图象,关于物体运动下列说法正确的是A.物体在t=6s时,速度为0B.物体在t=6s时,速度为18m/sC.物体运动前6s平均速度为9m/sD.物体运动前6s位移为18m3.高空滑索是勇敢者的运动.如图所示一个人用轻绳通过轻质滑环悬吊在足够长的倾斜钢索上运动(设钢索是直的),下滑过程中到达图中A位置时轻绳与竖直线有夹角,到达图中B位置时轻绳竖直向下.不计空气阻力,下列说法正确的是A.在A位置时,人的加速度可能为零B.在A位置时,钢索对轻绳的作用力小于人的重力C.在B位置时,钢索对轻环的摩擦力为零D.若轻环在B位置突然被卡住,则此时轻绳对人的拉力等于人的重力4.一带电粒子在电场中仅受静电力作用,做初速度为零的直线运动.取该直线为x轴,起始点O为坐标原点,其电势能EP与位移x的关系如图所示,下列图象中合理的是5.一长轻质薄硬纸片置于光滑水平地面上,其上放有质量均为1kg的A、B两物块,A、B与薄硬纸片之间的动摩擦因数分别为μ1=0.2,μ2=0.3,水平恒力F作用在A物块上,如图所示.已知最大静摩擦力等于滑动摩擦力,g=10m/s2,则下列说法正确的是A.若F=1.5N,则A物块所受摩擦力大小为1.5NB.若F=8N,则B物块的加速度为4.0m/s2C.无论力F多大,A与薄硬纸片都不会发生相对滑动D.无论力F多大,B与薄硬纸片都不会发生相对滑动二、多项选择题:本题共4小题,每小题4分,共16分。
每小题有多个选项符合题意.全部选对的得4分,选对但不全的得2分,错选或不答的得0分.6.如图所示,a、b、c为三只完全相同的灯泡,L为电阻不计的纯电感,电源内阻不计.下列判断正确的是A.S闭合的瞬间,b、c两灯亮度相同B.S闭合足够长时间后,b、c两灯亮度相同C.S断开的瞬间,a、c两灯立即熄灭D.S断开后,b灯先突然闪亮后再逐渐变暗熄灭7.如图所示,我国自主研发的北斗卫星导航系统由35颗卫星组成,包括分布于a类型轨道的5颗同步轨道卫星、分布于b类型轨道的3颗倾斜轨道卫星(与同步卫星轨道半径相同,轨道倾角55°)和分布于c类型轨道的27颗中轨道卫星,中轨道卫星运行在3个互成120°的轨道面上做圆周运动,预计2020年全部建成.下列说法正确的是A.a类型轨道上的卫星相对于地面静止且处于平衡状态B.a类型轨道上的卫星运行速率等于b类型卫星的速率C.b类型轨道上的卫星也与地球保持相对静止D.三类卫星相比,c类卫星的向心加速度最大8.如图所示,MN为半圆环MQN的水平直径.现将甲、乙两个相同的小球分别在M、N两点同时以v1、v2的速度水平抛出,两小球刚好落在圆环上的同一点Q,不计空气阻力.则下列说法正确的是A.落到Q点时,甲、乙两小球重力的瞬时功率相等B.乙球落到圆环时的速度有可能沿OQ方向C.若仅增大v1,则两小球一定能落到圆环前相遇D.从抛出到落到Q点的过程中,甲球动能的增加量比乙球的小9.电动自行车是一种应用广泛的交通工具,其速度控制是通过转动右把手实现的,这种转动把手称“霍尔转把”,属于传感器非接触控制.转把内部有永久磁铁和霍尔器件等,截面如图甲.永久磁铁的左右两侧分别为N、S极,开启电源时,在霍尔器件的上下面之间加一定的电压,形成电流,如图乙.随着转把的转动,其内部的永久磁铁也跟着转动,霍尔器件能输出控制车速的霍尔电压,已知电压与车速关系如图丙,以下关于“霍尔转把”叙述正确的是A.为提高控制的灵敏度,永久磁铁的上下端分别为N、S 极B.按图甲顺时针转动电动车的右把手(手柄转套),车速将变快C.图乙中从霍尔器件的前后面输出控制车速的霍尔电压D.若霍尔器件的上下面之间所加电压正负极性对调,将影响车速控制第II卷(非选择题共89分)三、简答题:本题分必做题(第10、11题)和选做题(第12题)两部分,共计42分.请将解答填写在答题卡相应的位置.【必做题】10.(8分)如图甲所示是小明同学探究加速度与力的关系的实验装置.他在气垫导轨上安装了一个光电门B,滑块上固定一遮光条,滑块用细线绕过气垫导轨左端的定滑轮与力传感器相连,传感器下方悬挂钩码,每次滑块及遮光条都从位置A处由静止释放.(1)小明用游标卡尺测量遮光条的宽度d,示数如图乙所示,则d=mm.(2)实验时,将滑块从A位置由静止释放,由数字计时器读出遮光条通过光电门B的时间t,若要得到滑块的加速度,还需要测量的物理量c是(用文字表述).(3)小亮同学认为:无需测出上述c和d,只要画出以F(力传感器示数)为横坐标、以为纵坐标的图象就能直接反映加速度与力的关系.(4)下列实验操作和要求必要的是(请填写选项前对应的字母).A.应将气垫导轨调节水平B.应测出钩码和力传感器的总质量C.应使A位置与光电门间的距离适当大些D.应使滑块质量大于钩码和力传感器的总质量11.(10分)在“测电源电动势和内阻”的实验中,某实验小组同学根据图甲电路进行测量实验.(1)根据图甲电路,请在乙图中用笔画线代替导线,完成实物电路的连接.(2)实验小组同学操作正确,记录下几组电压表和电流表的示数,并在坐标系内作出电压表示数U和对应的电流表示数I的图象,如图丙所示.由图象可测得和,则;(选填“”、“=”、“”).(3)为了克服系统误差,同学们又根据图丁电路进行测量.同样作出U-I图象,如图戊所示.经过讨论发现,利用图丙和图戊可以消除系统误差得出电源的电动势和内阻的真实值,则,.12、【选做题】本题包括A、B、C三个小题,请选定其中两题,并在相应的位置作答.若三题都做,则按A、B两题评分.A.(选修模块3-3)(12分)(1)下列说法中正确的是A.悬浮在液体中足够小的微粒,受到来自各个方向的液体分子撞击的不平衡使微粒的运动无规则B.单晶体的某些物理性质呈现各向异性,是因为组成它们的原子(分子、离子)在空间上的排列是杂乱无章的C.液体表面张力产生的原因是液体表面层分子间距比较大,分力力表现为引力D.若把氢气和氧气看做理想气体,则质量和温度均相同的氢气和氧气内能相等(2)在温度不变的情况下,增大液面上饱和汽的体积并再次达到饱和时,饱和汽的质量,饱和汽的压强(两空都选填“增大”、“减小”或“不变”).(3)如图所示,轻质活塞将体积为V0、温度为3T0的理想气体,密封在内壁光滑的圆柱形导热气缸内.已知大气压强为p0,大气的温度为T0,气体内能U与温度的关系为U=aT(a为常量).在气缸内气体温度缓慢降为T0的过程中,求:①气体内能的减少量;②气体放出的热量.B.(选修模块3-4)(12分)(1)如图所示为同一地点的两单摆甲、乙的振动图象,下列说法正确的是A.甲摆的摆长比乙长B.甲摆的振幅比乙大C.甲、乙两单摆的摆长相等D.由图象可以求出当地的重力加速度(2)如图甲所示,一束激光频率为,传播方向正对卫星飞行方向,已知真空中光速为c,卫星速度为u,则卫星上观测到激光的传播速度是,卫星接收到激光的频率(选填“大于”、“等于”或“小于”).(3)如图乙所示,一束激光沿圆心方向射入半圆形玻璃后从直径边射出.入射光线与法线的夹角为30°,折射光线与法线的夹角为45°,已知光在真空中的速度为c.①求这束激光在玻璃砖中的传播速度.②以O点为圆心顺时针旋转玻璃砖,至少旋转多大角度折射光消失?C.(选修模块3-5)(12分)(1)下列四副图涉及不同的物理知识,其中说法正确的是A.甲图中,原子核D和E聚变成原子核F要放出能量B.乙图中,卢瑟福通过分析α粒子散射实验结果,发现了质子和中子C.丙图中,原来有1000个氡222,经过一个半衰期的时间,一定还剩下500个D.丁图中,链式反应属于重核的裂变(2)正电子发射型计算机断层显像,是核医学领域比较先进的临床检查影像技术.放射性同位素在衰变过程中会释放出正电子,一个正电子遇到一个电子后发生湮灭,产生方向相反的一对光子.已知电子的质量为m,光束为c,则一对静止的正、负电子湮灭过程中产生的一个光子能量是,湮灭的反应方程式为.(3)一质量为m的蹦极运动员身系弹性蹦极绳,由水面上方的高台自由下落,从开始下落到绳对人刚产生作用力前,人下落的高度为h,此后经历时间t蹦极绳达到最大伸长量,人到水面还有数米距离.在此过程中蹦极绳对人的作用力始终竖直向上,重力加速度为g,不计空气阻力,求该段时间内蹦极绳对人的平均作用力大小.四、计算题:本大题共3小题,共47分。
江苏省2018届高三物理百校大联考第一次模拟考试试卷
CO
M 江苏省3V,电阻约为30kΩ)
B.电流表(0-06A,电阻约为05Ω)
C.电池组(电动势为6V,内阻不计)
D.保护电阻R0
E.开关S
F.螺旋测微器
G.连接用导线若干
(1)用螺旋测微器测量电阻丝直径的示数如图所示,则该电阻丝的直径d= mm。
(2)将下图中提供的器材连接成实验电路(注意量程的选择),要求①尽量减小由于电流热效应而使电阻丝的电阻率随电阻的变化而发生变化;②能进行多次测量。
(3)通过改变滑动变阻器触头c的位置,分别测量出了多组与接入电阻丝的有效长度L对应的电压U的数据(电流表示I保持在050A不变),并绘出U-L图线如图所示,若测出U-L图线的斜率为k,则用d、I、k等物理量表示出该电阻丝的电阻率,代入数据求得该电阻丝电阻率的测量值为Ω m。
12.[选做题]本题包括A、B、C三个小题,请选定其中两题,并在相应的答题区域内作答,若三题都做,则按A、B两题评分。
A.(选修模块3-3)(12分)
(1)光伏发电是利用半导体界面的光生伏特效应而将太阳能转变为电能的一项技术,关键元是太阳能电池,如图所示的是太阳能电池组,关于太阳能及其利用,下列说法中正确的是()
A.由于日地距离过大,因此地球上能被利用的太阳能很少
B.太阳能主要以热传递的方式传到地球
C.太阳能电池是将电能转换为其他能的装置
D.太阳能电池已经被广泛应用于航天事业。
苏北四市2018届高三一模物理试卷注意:本试卷满分120分,考试时间100分钟.请将答案填写在答题卡上,直接写在试卷上不得分.一、单项选择题:本题共5小题,每小题3分,共15分.每小题只有一个....选项符合题意. 1.如图所示,小明将叠放在一起的A 、B 两本书抛给小强,已知A 的质量为m ,重力加速度为g ,两本书在空中不翻转,不计空气阻力,则A 、B 在空中运动时 A .A 的加速度等于g B .B 的加速度大于g C .A 对B 的压力等于mg D .A 对B 的压力大于mg2.如图所示,物块以速度v 0从粗糙斜面底端沿斜面上滑,达到最高点后沿斜面返回.下列v -t 图象能正确反映物块运动规律的是3.如图所示,铁芯上绕有线圈A 和B ,线圈A 与电源连接,线圈B 与理想发光二极管D 相连,衔铁E 连接弹簧K 控制触头C 的通断.忽略AA .闭合S ,D 闪亮一下B .闭合S ,C 将会过一小段时间接通 C .断开S ,D 不会闪亮D .断开S ,C 将会过一小段时间断开 4.带电球体的半径为R ,以球心为原点O 建立坐标轴x ,轴上各点电势φ随x 变化如图所示.下列说法正确的是 A .球体带负电荷 B .球内电场强度最大 C .A 、B 两点电场强度相同D .正电荷在B 点的电势能比C 点的大5v 1,穿透时间为t 1;若子弹以相同的速率从右向左水平穿透物块时速率为v 2,穿透时间为t 2.子弹在物块中受到的阻力大小与其到物块左端的距离成正比.则 A .t 1>t 2 B .t 1<t 2 C .v 1>v 2 D .v 1<v 2DA B C二、多项选择题:本题共4小题,每小题4分,共16分.每题有多个..选项符合题意,全部选对的得4分,选对但不全的得2分,错选或不答的得0分.6.2017年9月25日,微信启动页“变脸”:由此前美国卫星拍摄地球的静态图换成了我国“风云四号”卫星拍摄地球的动态图,如图所示.“风云四号”是一颗静止轨道卫星,关于“风云四号”,下列说法正确的有 A .能全天候监测同一地区 B .运行速度大于第一宇宙速度C .在相同时间内该卫星与地心连线扫过的面积相等D .向心加速度大于地球表面的重力加速度7.如图所示,理想变压器原副线圈匝数比为2:1,原线圈接交流电u =错误!未找到引用源。
πt (V ),保险丝的电阻为1Ω,熔断电流为2A ,电表均为理想电表.下列说法正确的有A .电压表V 的示数为14.1错误!未找到引用源。
VB .电流表A 1、A 2的示数之比为2:1C .为了安全,滑动变阻器接入电路的最小阻值为4ΩD .将滑动变阻器滑片向上移动,电流表A 1的示数减小8.在一个很小的矩形半导体薄片上,制作四个电极E 、F 、M 、N ,做成了一个霍尔元件.在E 、F 间通入恒定电流I ,同时外加与薄片垂直的磁场B , M 、N 间的电压为U H .已知半导体薄片中的载流子为正电荷,电流与磁场的方向如图所示,下列说法正确的有 A .N 板电势高于M 板电势B .磁感应强度越大,MN 间电势差越大C .将磁场方向变为与薄片的上、下表面平行,U H 不变D .将磁场和电流分别反向,N 板电势低于M 板电势9.如图所示,质量为M 的长木板静止在光滑水平面上,上表面长为l ,左端O 处固定轻质弹簧,右侧用不可伸长的轻绳连接于竖直墙上,轻绳所能承受的最大拉力为F .质量为m 的小滑块以速度v 从A 点向左滑动压缩弹簧,弹簧的压缩量达最大时细绳恰好被拉断,再过一段时间后长木板停止运动,小滑块恰未掉落.则 A .细绳被拉断瞬间木板的加速度大小为FMB .细绳被拉断瞬间弹簧的弹性势能为212mvC .弹簧恢复原长时滑块的动能为212mvD .滑块与木板AB 间的动摩擦因数为22v gl三、简答题:本题共4小题,满分42分.请将解答填在答题卡相应的位置.10.(8分)如图甲所示是研究小车加速度与力关系的实验装置.木板置于水平桌面上,一端系有砂桶的细绳通过滑轮与拉力传感器相连,拉力传感器可显示所受的拉力大小F ,改变桶中砂的质量多次实验.完成下列问题: ⑴实验中需要 ▲ . A .测量砂和砂桶的总质量 B .保持细线与长木板平行C .保持小车的质量不变D⑵实验中得到一条纸带,相邻计数点间有四个点未标出,各计数点到A 点的距离如图乙所示.电源的频率为50H Z ,则打B 点时小车速度大小为 ▲ m/s ,小车的加速度大小为 ▲ m/s 2.⑶实验中描绘出a -F 图象如图丙所示,图象不过坐标原点的原因是 ▲ . 11.(10分)测定一节电池的电动势和内阻,电路如图甲所示,MN 为一段粗细均匀、电阻率较大的电阻丝,定值电阻R 0=1.0Ω.调节滑片P ,记录电压表示数U 、电流表示数I 及对应的PN 长度x ,绘制了U-I 图象如图乙所示. ⑴由图乙求得电池的电动势E = ▲ V ,内阻r = ▲ Ω.⑵实验中由于电表内阻的影响,电动势测量值 ▲ 其真实值(选填“大于”、“等于”或“小于”). ⑶根据实验数据可绘出UI-x 图象,如图丙所示.图象斜率为k ,电阻丝横截面积为S ,可求得电阻丝的电阻率 = ▲ , 电表内阻对电阻率的测量 ▲ (选填“有”或“没有”)影响.乙丙甲12.【选做题】本题包括A 、B 、C 三小题,请选定其中两题,并在相应答题区域内作答.若三题都做,则按A 、B 两题评分. A .[选修3-3](12分)⑴对于下列实验,说法正确的有 ▲ .A .甲图是用油膜法测分子直径的示意图,认为油酸薄膜厚度等于油酸分子直径B .乙图是溴蒸气的扩散实验,若温度升高,则扩散的速度加快C .丙图是模拟气体压强产生机理的实验,说明气体压强是由气体重力引起的D .丁图是蜂蜡涂在单层云母片上融化实验,说明云母晶体的导热性能各向同性⑵一定质量的理想气体,其状态变化的p -V 图象如图所示.已知气体在状态A 时的温度为260K ,则气体在状态B 时的温度为 ▲K ,从状态A 到状态C 气体与外界交换的热量为 ▲ J .⑶2017年5月,我国成为全球首个海域可燃冰试采获得连续稳定气流的国家.可燃冰是一种白色固体物质,1L 可燃冰在常温常压下释放160L 的甲烷气体,常温常压下甲烷的密度0.66g/L ,甲烷的摩尔质量16g/mol ,阿伏伽德罗常数6.0×1023mol –1.请计算1L 可燃冰在常温常压下释放出甲烷气体分子数目(计算结果保留一位有效数字).B .[选修3-4](12分)⑴下列说法正确的有 ▲ .A .观察者接近恒定频率波源时,接收到波的频率变小B .物体做受迫振动,当驱动力频率等于固有频率时,振幅最大C .雨后美丽的彩虹是光的干涉现象D .相对论认为时间和空间与物质的运动状态有关⑵图甲为一列沿x 轴传播的简谐横波在t =0.1 s 时刻的波形图,图乙是这列波中质点B 的振动图象.则波速的大小为 ▲ m/s;再经过0.05s ,质点 ▲ (选填“A ”、“B ”、“C ”或“D ”)到达波峰.丙 丁乙甲▲ ▲ ▲3310m )-⑶如图所示,水深为H 的池底有一半径为r 的圆形光源,在水面上形成圆形光斑.已知水的折射率为n ,真空中的光速为c .求: ①光到达水面的最短时间t ; ②光斑的半径R .C .[选修3-5](12分)⑴下列说法正确的有 ▲ .A .比结合能大的原子核分解成比结合能小的原子核时要吸收能量B .用紫光照射某金属表面时发生光电效应,改用红光照射时也一定能发生光电效应C .黑体辐射的强度随温度的升高而变大,且最大值向波长较短的方向移动D .改变压强、温度可改变放射性元素的半衰期 ⑵如图所示为氢原子的能级图,莱曼线系是氢原子从n =2,3,4,5······激发态跃迁到基态时辐射的光谱线系,辐射出光子的最小频率为 ▲ ;若该光子被某种金属吸收后,逸出的光电子最大初动能为E k ,则该金属的逸出功为 ▲ .已知普朗克常量为h ,氢原子处于基态时的能级为E 1.⑶如图所示,光滑水平面上小球A 、B 分别以1.2m/s 、2.0m/s 的速率相向运动,碰撞后B 球静止.已知碰撞时间为0.05s ,A 、B 的质量均为0.2kg .求: ①碰撞后A 球的速度大小;②碰撞过程A 对B 平均作用力的大小.四、计算题:本题共3小题,共47分.解答时请写出必要的文字说明、方程式和重要的演算步骤,只写最后答案的不能得分.有数值计算的题,答案中必须明确写出数值和单位.▲ ▲ ▲▲ ▲ ▲▲ ▲ ▲E 1n∞ 甲 乙14.(16分)如图所示,水平光滑细杆上P点套一小环,小环通过长L=1m的轻绳悬挂一夹子,夹子内夹有质量m=1kg的物块,物块两竖直侧面与夹子间的最大静摩擦力均为f m=7N.现对物块施加F=8N的水平恒力作用,物块和小环一起沿水平方向做初速度为零的匀加速直线运动,小环碰到杆上的钉子Q时立即停止运动,物块恰好相对夹子滑动,此时夹子立即锁定物块,锁定后物块仍受恒力F的作用.小环和夹子的大小及质量均不计,物块可看成质点,重力加速度g=10m/s2.求:Array⑴物块做匀加速运动的加速度大小a;⑵P、Q两点间的距离s;⑶物块向右摆动的最大高度h.▲ ▲ ▲物理参考答案及评分标准10. ⑴BC (2分)⑵0.416m/s 或0.42m/s (2分)1.48m/s 2(2分) ⑶平衡摩擦力过度(2分)11. ⑴1.49(2分) 0.45(2分) ⑵小于(2分) ⑶kS (2分) 没有(2分)12.【选做题】A. (12分)(选修3-3)AB (4分) 780(2分) 600(2分)⑶A vn N Mρ=(2分) 解得:24410n =⨯(2分)B. (12分)(选修3-4)⑴BD (4分) ⑵20m/s (2分) D (2分)⑶①光在水中传播的速度cv n=………(1分) 当光竖直向上传播时间最短H nHt v c== ………(1分) ②发生全反射的临界角为C ,有:1sin C n = ………(1分)则水面光斑的半径tan R r H C r =+=+ ………(1分) C. (12分)(选修3-5)⑴AC (4分) ⑵134E h -(2分) 134k EE --(2分) ⑶①A 、B 系统动量守恒,设B 的运动方向为正方向由动量守恒定律得/0A A B mv mv mv +=- ………(1分) 解得8.0/=v m/s ………(1分)…………(1分)…………(1分)13.(15分)⑴由法拉第电磁感应定律得电动势t BSE ∆∆= ……………(2分) 感应电流 REI = ……………(1分)电量q I t =∆………………(1分) 解得2108.4-⨯=q C ………………(2分)⑵安培力BIL F = …………(2分) 由图得 3s 时的B =0.3T …………(1分) 代入数值得 31044.1-⨯=F N ……………(2分)⑶由焦耳定律得2Q I Rt =J …………(2分)代入数值得 31.15210Q -=⨯J ……………(2分) 14.(16分)(1)由牛顿第二定律F =ma , ……………(2分)解得a =4ms/2 ……………(1分) (2)环到达Q ,刚达到最大静摩擦力由牛顿第二定律 2m 2mv f mg L-=解得v m =2m/s … …(3分)根据动能定理 2m 12Fs mv = …………………(3分)解得s =0.25m …………………(1分) (3)设物块上升的最大高度为h ,水平距离为x ,由动能定理得()0F x s mgh +-= …………………(3分)由几何关系得222()L h x L -+=或222()h L x L -+= ……………(2分)解得h =1m 或141h =m (舍去) ………………(1分) 15.(16分)(1)电子射入圆形区域后做圆周运动,轨道半径大小相等,设为r ,当电子a射入,经过O 点进入x 轴下方,则:r =R ……(2分)。