2010年南京大学高等代数考研试题
- 格式:pdf
- 大小:100.64 KB
- 文档页数:3
安徽大学2008年高等代数考研试题参考解答北京大学1996年数学分析考研试题参考解答北京大学1997年数学分析考研试题参考解答北京大学1998年数学分析考研试题参考解答北京大学2015年数学分析考研试题参考解答北京大学2016年高等代数与解析几何考研试题参考解答北京大学2016年数学分析考研试题参考解答北京大学2020年高等代数考研试题参考解答北京大学2020年数学分析考研试题参考解答北京师范大学2006年数学分析与高等代数考研试题参考解答北京师范大学2020年数学分析考研试题参考解答大连理工大学2020年数学分析考研试题参考解答赣南师范学院2012年数学分析考研试题参考解答各大高校考研试题参考解答目录2020/04/29版各大高校考研试题参考解答目录2020/06/21版各大高校数学分析高等代数考研试题参考解答目录2020/06/04广州大学2013年高等代数考研试题参考解答广州大学2013年数学分析考研试题参考解答国防科技大学2003年实变函数考研试题参考解答国防科技大学2004年实变函数考研试题参考解答国防科技大学2005年实变函数考研试题参考解答国防科技大学2006年实变函数考研试题参考解答国防科技大学2007年实变函数考研试题参考解答国防科技大学2008年实变函数考研试题参考解答国防科技大学2009年实变函数考研试题参考解答国防科技大学2010年实变函数考研试题参考解答国防科技大学2011年实变函数考研试题参考解答国防科技大学2012年实变函数考研试题参考解答国防科技大学2013年实变函数考研试题参考解答国防科技大学2014年实变函数考研试题参考解答国防科技大学2015年实变函数考研试题参考解答国防科技大学2016年实变函数考研试题参考解答国防科技大学2017年实变函数考研试题参考解答国防科技大学2018年实变函数考研试题参考解答哈尔滨工程大学2011年数学分析考研试题参考解答哈尔滨工业大学2020年数学分析考研试题参考解答合肥工业大学2012年高等代数考研试题参考解答湖南大学2006年数学分析考研试题参考解答湖南大学2007年数学分析考研试题参考解答湖南大学2008年数学分析考研试题参考解答湖南大学2009年数学分析考研试题参考解答湖南大学2010年数学分析考研试题参考解答湖南大学2011年数学分析考研试题参考解答湖南大学2019年高等代数考研试题参考解答湖南大学2020年数学分析考研试题参考解答湖南师范大学2011年数学分析考研试题参考解答湖南师范大学2011年数学分析考研试题参考解答湖南师范大学2012年数学分析考研试题参考解答湖南师范大学2012年数学分析考研试题参考解答湖南师范大学2012年数学基础综合之高等代数考研试题参考解答湖南师范大学2012年数学基础综合之高等代数考研试题参考解答湖南师范大学2012年数学基础综合之数学分析考研试题参考解答湖南师范大学2013年数学分析考研试题参考解答湖南师范大学2013年数学分析考研试题参考解答湖南师范大学2013年数学基础之高等代数考研试题参考解答湖南师范大学2013年数学基础之数学分析考研试题参考解答湖南师范大学2014年数学分析考研试题参考解答华东师范大学2002年数学分析考研试题参考解答华东师范大学2012年数学分析考研试题参考解答华东师范大学2013年高等代数考研试题参考解答华东师范大学2013年数学分析考研试题参考解答华东师范大学2013年数学分析考研试题参考解答华东师范大学2014年高等代数考研试题参考解答华东师范大学2014年数学分析考研试题参考解答华东师范大学2015年高等代数考研试题参考解答华东师范大学2015年数学分析考研试题参考解答华东师范大学2016年高等代数考研试题参考解答华东师范大学2016年数学分析考研试题参考解答华东师范大学2020年高等代数考研试题参考解答华东师范大学2020年数学分析考研试题参考解答华南理工大学2005年高等代数考研试题参考解答华南理工大学2006年高等代数考研试题参考解答华南理工大学2007年高等代数考研试题参考解答华南理工大学2008年高等代数考研试题参考解答华南理工大学2009年高等代数考研试题参考解答华南理工大学2009年数学分析考研试题参考解答华南理工大学2010年高等代数考研试题参考解答华南理工大学2010年数学分析考研试题参考解答华南理工大学2011年高等代数考研试题参考解答华南理工大学2011年数学分析考研试题参考解答华南理工大学2012年高等代数考研试题参考解答华南理工大学2012年数学分析考研试题参考解答华南理工大学2012年数学分析考研试题参考解答华南理工大学2013年高等代数考研试题参考解答华南理工大学2013年数学分析考研试题参考解答华南理工大学2014年高等代数考研试题参考解答华南理工大学2014年数学分析考研试题参考解答华南理工大学2015年高等代数考研试题参考解答华南理工大学2015年数学分析考研试题参考解答华南理工大学2016年高等代数考研试题参考解答华南理工大学2016年数学分析考研试题参考解答华南理工大学2020年高等代数考研试题参考解答华南理工大学2020年数学分析考研试题参考解答华南师范大学1999年高等代数考研试题参考解答华南师范大学1999年数学分析考研试题参考解答华南师范大学2002年高等代数考研试题参考解答华南师范大学2013年数学分析考研试题参考解答华中科技大学1999年高等代数考研试题参考解答华中科技大学2000年数学分析考研试题参考解答华中科技大学2001年数学分析考研试题参考解答华中科技大学2002年高等代数考研试题参考解答华中科技大学2002年数学分析考研试题参考解答华中科技大学2003年数学分析考研试题参考解答华中科技大学2004年数学分析考研试题参考解答华中科技大学2005年高等代数考研试题参考解答华中科技大学2005年数学分析考研试题参考解答华中科技大学2006年高等代数考研试题参考解答华中科技大学2006年数学分析考研试题参考解答华中科技大学2007年高等代数考研试题参考解答华中科技大学2007年数学分析考研试题参考解答华中科技大学2008年高等代数考研试题参考解答华中科技大学2008年数学分析考研试题参考解答华中科技大学2009年高等代数考研试题参考解答华中科技大学2009年数学分析考研试题参考解答华中科技大学2010年高等代数考研试题参考解答华中科技大学2010年数学分析考研试题参考解答华中科技大学2011年高等代数考研试题参考解答华中科技大学2011年数学分析考研试题参考解答华中科技大学2013年高等代数考研试题参考解答华中科技大学2013年数学分析考研试题参考解答华中科技大学2014年高等代数考研试题参考解答华中科技大学2020年数学分析考研试题参考解答华中师范大学1998年数学分析考研试题参考解答华中师范大学1999年数学分析考研试题参考解答华中师范大学2001年数学分析考研试题参考解答华中师范大学2002年数学分析考研试题参考解答华中师范大学2003年数学分析考研试题参考解答华中师范大学2004年高等代数考研试题参考解答华中师范大学2004年数学分析考研试题参考解答华中师范大学2005年高等代数考研试题参考解答华中师范大学2005年数学分析考研试题参考解答华中师范大学2006年高等代数考研试题参考解答华中师范大学2006年数学分析考研试题参考解答华中师范大学2014年高等代数考研试题参考解答华中师范大学2014年数学分析考研试题参考解答吉林大学2020年数学分析考研试题参考解答暨南大学2013年数学分析考研试题参考解答暨南大学2014年数学分析考研试题参考解答江南大学2007年数学分析考研试题参考解答江南大学2008年数学分析考研试题参考解答江南大学2009年数学分析考研试题参考解答兰州大学2004年数学分析考研试题参考解答兰州大学2005年数学分析考研试题参考解答兰州大学2006年数学分析考研试题参考解答兰州大学2007年数学分析考研试题参考解答兰州大学2008年数学分析考研试题参考解答兰州大学2009年数学分析考研试题参考解答兰州大学2010年数学分析考研试题参考解答兰州大学2011年数学分析考研试题参考解答兰州大学2020年高等代数考研试题参考解答兰州大学2020年数学分析考研试题参考解答南京大学2010年数学分析考研试题参考解答南京大学2014年高等代数考研试题参考解答南京大学2015年高等代数考研试题参考解答南京大学2015年数学分析考研试题参考解答南京大学2016年高等代数考研试题参考解答南京大学2016年数学分析考研试题参考解答南京大学2020年数学分析考研试题参考解答南京航空航天大学2010年数学分析考研试题参考解答南京航空航天大学2011年数学分析考研试题参考解答南京航空航天大学2012年数学分析考研试题参考解答南京航空航天大学2013年数学分析考研试题参考解答南京航空航天大学2014年高等代数考研试题参考解答南京航空航天大学2014年数学分析考研试题参考解答南京师范大学2012年高等代数考研试题参考解答南京师范大学2013年高等代数考研试题参考解答南京师范大学2014年高等代数考研试题参考解答南京师范大学2014年高等代数考研试题参考解答南京师范大学2014年数学分析考研试题参考解答南开大学2002年数学分析考研试题参考解答南开大学2003年数学分析考研试题参考解答南开大学2004年高等代数考研试题参考解答南开大学2005年高等代数考研试题参考解答南开大学2005年数学分析考研试题参考解答南开大学2006年高等代数考研试题参考解答南开大学2006年数学分析考研试题参考解答南开大学2007年高等代数考研试题参考解答南开大学2007年数学分析考研试题参考解答南开大学2008年高等代数考研试题参考解答南开大学2008年数学分析考研试题参考解答南开大学2009年高等代数考研试题参考解答南开大学2009年数学分析考研试题参考解答南开大学2010年高等代数考研试题参考解答南开大学2010年数学分析考研试题参考解答南开大学2011年高等代数考研试题参考解答南开大学2011年数学分析考研试题参考解答南开大学2012年高等代数考研试题参考解答南开大学2012年数学分析考研试题参考解答南开大学2014年高等代数考研试题参考解答南开大学2014年数学分析考研试题参考解答南开大学2016年高等代数考研试题参考解答南开大学2016年数学分析考研试题参考解答南开大学2016年数学分析考研试题参考解答南开大学2017年高等代数考研试题参考解答南开大学2017年数学分析考研试题参考解答南开大学2018年高等代数考研试题参考解答南开大学2018年数学分析考研试题参考解答南开大学2019年高等代数考研试题参考解答南开大学2019年数学分析考研试题参考解答南开大学2020年高等代数考研试题参考解答南开大学2020年数学分析考研试题参考解答南开大学2020年数学分析考研试题参考解答清华大学2011年数学分析考研试题参考解答厦门大学1999年高等代数考研试题参考解答厦门大学2000年高等代数考研试题参考解答厦门大学2001年高等代数考研试题参考解答厦门大学2009年高等代数考研试题参考解答厦门大学2009年数学分析考研试题参考解答厦门大学2010年高等代数考研试题参考解答厦门大学2010年数学分析考研试题参考解答厦门大学2011年高等代数考研试题参考解答厦门大学2011年数学分析考研试题参考解答厦门大学2012年高等代数考研试题参考解答厦门大学2012年数学分析考研试题参考解答厦门大学2013年高等代数考研试题参考解答厦门大学2013年数学分析考研试题参考解答厦门大学2014年高等代数考研试题参考解答厦门大学2014年数学分析考研试题参考解答厦门大学2015年高等代数考研试题参考解答厦门大学2016年高等代数考研试题参考解答厦门大学2016年数学分析考研试题参考解答厦门大学2016年数学分析考研试题参考解答厦门大学2017年高等代数考研试题参考解答厦门大学2018年高等代数考研试题参考解答厦门大学2019年高等代数考研试题参考解答厦门大学2020年数学分析考研试题参考解答上海交通大学2020年高等代数考研试题参考解答上海交通大学2020年数学分析考研试题参考解答首都师范大学2011年高等代数考研试题参考解答首都师范大学2011年高等代数考研试题参考解答首都师范大学2011年数学分析考研试题参考解答首都师范大学2012年高等代数考研试题参考解答首都师范大学2012年数学分析考研试题参考解答首都师范大学2013年高等代数考研试题参考解答首都师范大学2013年数学分析考研试题参考解答首都师范大学2014年高等代数考研试题参考解答首都师范大学2014年数学分析考研试题参考解答首都师范大学2020年高等代数考研试题参考解答首都师范大学2020年数学分析考研试题参考解答四川大学2005年数学分析考研试题参考解答四川大学2006年数学分析考研试题参考解答四川大学2009年数学分析考研试题参考解答四川大学2011年数学分析考研试题参考解答四川大学2020年数学分析考研试题参考解答苏州大学2010年数学分析考研试题参考解答苏州大学2011年数学分析考研试题参考解答苏州大学2012年数学分析考研试题参考解答同济大学2011年数学分析考研试题参考解答同济大学2020年高等代数考研试题参考解答同济大学2020年数学分析考研试题参考解答武汉大学2010年高等代数考研试题参考解答武汉大学2010年数学分析考研试题参考解答武汉大学2011年高等代数考研试题参考解答武汉大学2011年数学分析考研试题参考解答武汉大学2011年数学分析考研试题参考解答武汉大学2012年数学分析考研试题参考解答武汉大学2012年线性代数考研试题参考解答武汉大学2013年高等代数考研试题参考解答武汉大学2013年数学分析考研试题参考解答武汉大学2014年高等代数考研试题参考解答武汉大学2014年数学分析考研试题参考解答武汉大学2015年高等代数考研试题参考解答武汉大学2015年数学分析考研试题参考解答武汉大学2020年高等代数考研试题参考解答武汉大学2020年数学分析考研试题参考解答西南大学2002年数学分析考研试题参考解答西南大学2003年数学分析考研试题参考解答西南大学2004年数学分析考研试题参考解答西南大学2006年高等代数考研试题参考解答西南大学2006年高等代数考研试题参考解答西南大学2007年高等代数考研试题参考解答西南大学2007年高等代数考研试题参考解答西南大学2007年数学分析考研试题参考解答西南大学2008年高等代数考研试题参考解答西南大学2008年高等代数考研试题参考解答西南大学2008年学分析考研试题参考解答西南大学2009年高等代数考研试题参考解答西南大学2009年学分析考研试题参考解答西南大学2010年高等代数考研试题参考解答西南大学2010年学分析考研试题参考解答西南大学2011年高等代数考研试题参考解答西南大学2011年学分析考研试题参考解答西南大学2012年高等代数考研试题参考解答西南大学2012年学分析考研试题参考解答西南师范大学2000年高等代数考研试题参考解答湘潭大学2011年数学分析考研试题参考解答浙江大学2009年高等代数考研试题参考解答浙江大学2009年高等代数考研试题参考解答浙江大学2009年数学分析考研试题参考解答浙江大学2010年高等代数考研试题参考解答浙江大学2010年数学分析考研试题参考解答浙江大学2011年高等代数考研试题参考解答浙江大学2011年数学分析考研试题参考解答浙江大学2012年高等代数考研试题参考解答浙江大学2012年数学分析考研试题参考解答浙江大学2013年数学分析考研试题参考解答浙江大学2014年高等代数考研试题参考解答浙江大学2014年数学分析考研试题参考解答浙江大学2015年数学分析考研试题参考解答浙江大学2016年高等代数考研试题参考解答浙江大学2016年数学分析考研试题参考解答浙江大学2020年高等代数考研试题参考解答浙江大学2020年数学分析考研试题参考解答中国海洋大学2020年数学分析考研试题参考解答中国科学技术大学2010年数学分析考研试题参考解答中国科学技术大学2010年线性代数与解析几何考研试题参考解答中国科学技术大学2011年分析与代数考研试题参考解答中国科学技术大学2011年高等数学B考研试题参考解答中国科学技术大学2011年数学分析考研试题参考解答中国科学技术大学2011年线性代数与解析几何考研试题参考解答中国科学技术大学2012年分析与代数考研试题参考解答中国科学技术大学2012年高等数学B考研试题参考解答中国科学技术大学2012年数学分析考研试题参考解答中国科学技术大学2012年线性代数与解析几何考研试题参考解答中国科学技术大学2013年分析与代数考研试题参考解答中国科学技术大学2013年高等数学B考研试题参考解答中国科学技术大学2013年数学分析考研试题参考解答中国科学技术大学2014年分析与代数考研试题参考解答中国科学技术大学2014年高等数学B考研试题参考解答中国科学技术大学2014年数学分析考研试题参考解答中国科学技术大学2014年数学分析考研试题参考解答中国科学技术大学2014年线性代数与解析几何考研试题参考解答中国科学技术大学2014年线性代数与解析几何考研试题参考解答中国科学技术大学2015年分析与代数考研试题参考解答中国科学技术大学2015年高等数学B考研试题参考解答中国科学技术大学2015年高等数学理考研试题参考解答中国科学技术大学2015年数学分析考研试题参考解答中国科学技术大学2015年线性代数与解析几何考研试题参考解答中国科学技术大学2016年数学分析考研试题参考解答中国科学技术大学2020年数学分析考研试题参考解答中国科学院大学2013年高等代数考研试题参考解答中国科学院大学2013年数学分析考研试题参考解答中国科学院大学2014年高等代数考研试题参考解答中国科学院大学2014年数学分析考研试题参考解答中国科学院大学2016年高等代数考研试题参考解答中国科学院大学2016年数学分析考研试题参考解答中国科学院大学2020年高等代数考研试题参考解答中国科学院大学2020年数学分析考研试题参考解答中国科学院数学与系统科学研究院2001年数学分析考研试题参考解答中国科学院数学与系统科学研究院2002年数学分析考研试题参考解答中国科学院数学与系统科学研究院2003年数学分析考研试题参考解答中国科学院数学与系统科学研究院2004年高等代数考研试题参考解答中国科学院数学与系统科学研究院2005年高等代数考研试题参考解答中国科学院数学与系统科学研究院2005年数学分析考研试题参考解答中国科学院数学与系统科学研究院2006年高等代数考研试题参考解答中国科学院数学与系统科学研究院2006年数学分析考研试题参考解答中国科学院数学与系统科学研究院2007年数学分析考研试题参考解答中国科学院研究生院2011年数学分析考研试题参考解答中国科学院研究生院2012年数学分析考研试题参考解答中国科学院-中国科学技术大学2000年数学分析考研试题参考解答中国人民大学1999年高等代数考研试题参考解答中国人民大学1999年数学分析考研试题参考解答中国人民大学2000年高等代数考研试题参考解答中国人民大学2000年数学分析考研试题参考解答中国人民大学2000年数学分析考研试题参考解答中国人民大学2003年高等代数考研试题参考解答中国人民大学2003年高等代数考研试题参考解答中国人民大学2003年数学分析考研试题参考解答中国人民大学2003年数学分析考研试题参考解答中国人民大学2004年高等代数考研试题参考解答中国人民大学2004年数学分析考研试题参考解答中国人民大学2017年高等代数考研试题参考解答中国人民大学2017年数学分析考研试题参考解答中国人民大学2018年高等代数考研试题参考解答中国人民大学2018年数学分析考研试题参考解答中国人民大学2019年高等代数考研试题参考解答中国人民大学2019年数学分析考研试题参考解答中国人民大学2020年高等代数考研试题参考解答中国人民大学2020年数学分析考研试题参考解答中南大学2011年数学分析考研试题参考解答中南大学2013年高等代数考研试题参考解答中山大学2005年数学分析高等代数考研试题参考解答中山大学2006年数学分析高等代数考研试题参考解答中山大学2007年高等代数考研试题参考解答中山大学2007年数学分析考研试题参考解答中山大学2008年数学分析高等代数考研试题参考解答中山大学2008年数学分析考研试题参考解答中山大学2009年数学分析高等代数考研试题参考解答中山大学2009年数学分析考研试题参考解答中山大学2010年数学分析高等代数考研试题参考解答中山大学2010年数学分析考研试题参考解答。
2010考研数学(一)真题及参考答案一、选择题(1)、极限2lim ()()x x x x a x b ®¥æö=ç÷-+èø( C ) A 、1 B 、e C 、a be - D 、b ae-【详解】【详解】()()2222ln 1()()()()()()()()lim lim lim ()()lim lim xx x x x x a x b x a x b x x x a b x ab a b x abxx x a x b x a x b x x a bx e e x a x b ee eæöæö-ç÷ç÷ç÷ç÷-+-+èøèø®¥®¥®¥-+æö-+ç÷ç÷-+-+èø®¥®¥-æö==ç÷-+èø===(2)、设函数(,)z z x y =,由方程(,)0y z F x x =确定,其中F 为可微函数,且20F ¢¹,则z zx y u y¶¶+=¶¶( B )A 、xB 、zC 、x -D z -【详解】【详解】 等式两边求全微分得:121212()()()0x x y y z z Fu F v dx Fu F v dy Fu F v dz ¢¢¢¢¢¢+++++=, 所以有,1212x x z z F u F v z x F u F v ¢¢+¶=-¢¢¶+,1212yy z z Fu F v z y Fu F v ¢¢+¶=-¢¢¶+, 其中,2x y u x =-,1y u x =,0z u =,2x z v x =-,0yv =,1z v x=,代入即可。
2010年考研数学(三)试卷答案速查一、选择题(1)C (2)A (3)B (4)C (5)A (6)D (7)C (8)A 二、填空题(9)1− (10)2π4(11)31(1)3e p p − (12)3(13)3 (14)22σμ+ 三、解答题(15)1e −. (16)1415. (17)max u =,min u =−. (18)(Ⅰ)[]110ln ln(1)d ln d nn t t t t t t +<⎰⎰ (1,2,)n =.(Ⅱ)lim 0n n u →∞=.(19)略.(20)(Ⅰ)1λ=−,2a =−.(Ⅱ)通解为32110210k ⎛⎫ ⎪⎛⎫ ⎪⎪⎪=+− ⎪ ⎪ ⎪ ⎪⎝⎭ ⎪ ⎪⎝⎭x ,k 为任意常数.(21)1a =−,0⎪=⎪⎪⎪⎪⎭Q .(22)1πA =.222(,)()()x xy y Y X X f x y f y x f x −+−==,y −∞<<+∞.(23)(Ⅰ)(,)X Y 的概率分布为(Ⅱ)4cov(,)45X Y =−. 2010年全国硕士研究生入学统一考试数学(三)参考答案一、选择题:1~8小题,每小题4分,共32分.下列每题给出的四个选项中,只有一个选项是符合题目要求的.请将所选项前的字母填在答题纸...指定位置上. (1)【答案】C .【解答】原式00111e lim e e lim 11xx x x x a a a x x x →→−⎛⎫=−+=+=−+= ⎪⎝⎭所以2a =.故选C .(2)【答案】A .【解答】由已知条件可得12y y λμ−是齐次方程()0y p x y '+=的解,带入可得,1122(())(())0y p x y y p x y λμ''+−+=,即()()0q x λμ−=,0λμ−=.又12y y λμ+是方程()()y p x y q x '+=的解,所以有,1122(())(())()y p x y y p x y q x λμ''+++=,可得()()()q x q x λμ+=,1λμ+=.所以12λμ==.故选A . (3)【答案】B .【解答】因为0()g x a =是()g x 的极值,且()g x 可导,所以0()0g x '=.记()()y f g x =,有 ()()()y f g x g x '''=⋅,()[]()2()()()()y f g x g x f g x g x ''''''''=⋅+⋅. 从而00()()0x x y f a g x ='''=⋅=,即0x 是()()f g x 的驻点.又[]02000()()()()()()x x y f a g x f a g x f a g x ='''''''''''=⋅+⋅=⋅,由极值的第二充分条件,当00()()0x x y f a g x ='''''=⋅<时,y 在0x 取极大值,因为0()0g x ''<,所以()0f a '>.故选B . (4)【答案】C . 【解答】因为10()limlim ()ln x x g x x f x x→+∞→+∞==+∞,10()elim lim ()xx x h x g x x →+∞→+∞==+∞,所以,当x 充分大时, ()()()f x g x h x <<.故选C . (5)【答案】A .【解答】因为向量组Ⅰ可由向量组Ⅱ线性表示,所以1212(,,,)(,,,)r s r r αααβββ,若向量组Ⅰ线性无关,则12(,,,)r r r =ααα,从而1212(,,,)(,,,)r s r r r s =αααβββ,即r s .故选A .(6)【答案】D .【解答】设λ为A 的特征值,因为2+=A A O ,所以20λλ+=,1λ=−或0.因为A 为实对称矩阵,故A 可相似对角化,即A 相似于对角阵Λ,()()3r r ==A Λ,因此1110−⎛⎫⎪− ⎪= ⎪− ⎪⎝⎭Λ.故选D . (7)【答案】C .【解答】{}{}{}()()11111111101e e 22P X P X P X F F −−==−<=−−=−−=−. 故选C . (8)【答案】A .【解答】221()x f x −=,21,13,()40,x f x ⎧ −⎪=⎨⎪ ⎩其它.利用概率密度的性质,3312100131()d ()d ()d ()d d 2424a a f x x af x x bf x x f x xb x b +∞+∞−∞−∞−∞==+=+=+⎰⎰⎰⎰⎰,所以234a b +=.故选A .二、填空题:9~14小题,每小题4分,共24分.请将答案写在答题纸...指定位置上. (9)【答案】1−. 【解答】220e d sin d x yxt t x t t +−=⎰⎰, ①两边对x 求导得2()220e(1)sin d sin xx y y t t x x −+'+=+⎰. ②把0x =代入①式,得0y =,把0x =,0y =代入②式,得1y '=−,即d 1d x yx==−.(10)【答案】2π4.【解答】222e ee1ππd πd πarctan(ln )(1ln )4V y x x x x x +∞+∞+∞====+⎰⎰. (11)【答案】31(1)3ep p −.【解答】由收益弹性3d 1d p R p R p =+,整理得2d 1d R p p R p ⎛⎫=+ ⎪⎝⎭,解得313e p R Cp =. 代入()11R =,得13e C −=,所以31(1)3()ep R p p −=.(12)【答案】3.【解答】232,62y x ax b y x a '''=++=+. 令0y ''=,得13ax =−=−,所以3a =. 又曲线过点(1,0)−,代入曲线方程,得3b =. (13)【答案】3. 【解答】因为1111111()E −−−−−−−+=+=+=+A BAE B ABB AA B A A B B ,所以11111()3−−−−−+=+=⋅+⋅=A B A A B B A A B B . (14)【答案】22σμ+.【解答】2222221111()()()()n n i i i i ET E X E X E X DX EX n n σμ======+=+∑∑.三、解答题:15~23小题,共94分.解答应写出文字说明、证明过程或演算步骤.请将答案写在答题纸...指定位置上. (15)(本题满分10分) 解: 11111ln(1)ln(1)lim ln ln ln lim (1)lim eex x x x x xxxxx x x →+∞−−→+∞→+∞−==,其中,1ln 0lim lim ee 1x x xx x x →+∞→+∞===,1112111ln ln(1)1ln 1lim lim lim1ln (1)xxx x x x xx xx x x x xx x x→+∞→+∞→+∞−−−−==−1ln 1ln 1ln limlim1,1ln (e1)x x x xx xx x x x→+∞→+∞−−===−⋅−所以原式1e −=.解:积分区域如图,33223()d d (33)d d DDI x y x y x x y xy y x y =+=+++⎰⎰⎰⎰,根据对称性,13232(3)d d 2(3)d d DD I x xy x y x xy x y =+=+⎰⎰⎰⎰, 其中{}21(,)01,21D x y y y x y =+是D 的上半部分,从而 2111324202091142d 3)d 2(2)d 4415y I yx xy x y y y +=+=−++=⎰⎰⎰.(17)(本题满分10分)解:构造拉格朗日函数222(,,,)2(10)L x y z xy yz x y z λλ=++++−,由 22220,220,220,100.xyzL y x L x z y L y z L x y z λλλλ'=+=⎧⎪'=++=⎪⎨'=+=⎪⎪'=++−=⎩解得可能的最值点有5,2),(1,5,2),(5,2),(1,5,2),(22,0,2),(22,0,2)−−−−−−−−,因为5,2)(1,5,2)55u u =−−−=,(1,5,2)(5,2)55u u −=−−=−,(22,0,2)(22,0,2)0u u −=−=,所以max 55u =,min 55u =−.(18)(本题满分10分)解:(Ⅰ)当01t <时, 令()ln(1)f t t t =−+,有(0)0,'()0f f t =>,所以()0f t >且单调递增,故有0ln(1)t t <+<,所以[]ln ln(1)ln nnt t t t +<.由积分的比较性质,[]11ln ln(1)d ln d nn t t t t t t +<⎰⎰,(1,2,)n = .(Ⅱ)由(Ⅰ)可知10ln d nn u tt t <<⎰,而1111200011ln d ln d ln d()1(1)nnn t t t t t t t t n n +=−=−=++⎰⎰⎰, 所以,210(1)n u n <<+,又21lim 0(1)n n →∞=+,由夹逼定理,lim 0n n u →∞=.解:(Ⅰ)由积分中值定理,2()d 2()f x x f η=⎰,(0,2)η∈,因为22(0)()d f f x x =⎰,所以(0)()f f η=,(0,2)η∈.(Ⅱ)因为(2)(3)(0)2f f f +=,所以由介值定理,存在[2,3]c ∈,使得()(0)f c f =.从而有 (0)()()f f f c η==.现对()f x 分别在区间[0,]η和[,]c η上应用罗尔定理,得12()()0f f ξξ''==,其中12[0,],[,]c ξηξη∈∈.又()f x 二阶可导,再对()f x 在区间12[,]ξξ上应用罗尔定理,得()0f ξ''=,其中12(,)(0,3)ξξξ∈⊂.(20)(本题满分11分) 解:(Ⅰ)对增广矩阵进行初等行变换,得211111()010101011110011a a λλλλλλλ⎛⎫⎛⎫⎪⎪=−→− ⎪ ⎪ ⎪ ⎪−−+⎝⎭⎝⎭A b .当1λ=时,()1,(,)2r r ==A A b ,方程组无解;当1λ=−时,()(,)23r r ==<A A b ,方程组有无穷多解,满足=Ax b 存在两个不同的解的条件,所以1λ=−,2a =−.(Ⅱ)当1λ=−,2a =−时,增广矩阵经初等变换得3101211111()0201010200000000⎛⎫− ⎪−⎛⎫ ⎪⎪ ⎪→−→− ⎪ ⎪ ⎪ ⎪⎝⎭ ⎪ ⎪⎝⎭A b ,其导出组的通解为1101k ⎛⎫ ⎪= ⎪ ⎪⎝⎭x ,方程组=Ax b 的一个特解为32120⎛⎫ ⎪ ⎪ ⎪=− ⎪ ⎪ ⎪ ⎪⎝⎭η,故通解为32110210k ⎛⎫ ⎪⎛⎫ ⎪⎪⎪=+− ⎪ ⎪⎪ ⎪⎝⎭ ⎪ ⎪⎝⎭x ,k 为任意常数.解:因为Q 的列是A的特征向量,所以设T 1=α是A 的对应于特征值1λ的特征向量,由111λ=A αα,即10141113224011a a λ−⎛⎫⎛⎫⎛⎫ ⎪⎪ ⎪−= ⎪⎪ ⎪ ⎪⎪ ⎪⎝⎭⎝⎭⎝⎭,解得12,1a λ==−.由14131(4)(2)(5)041λλλλλλλ−−=−=+−−=−E A 得,A 的特征值为1232,5,4λλλ===−.对25λ=,由(5)−=E A x 0,解得A 的对应于25λ=的特征向量为T2(1,1,1)=−α. 对34λ=−,由(4)−−=E A x 0,解得A 的对应于34λ=−的特征向量为T3(1,0,1)=−α.因为A 为实对称矩阵,不同特征值的特征向量相互正交,只需单位化:T T 2323231,1),1,0,1)==−==−ααββαα,则123(,,)0⎪==⎪⎪⎪⎪⎭Q αββ,使T 254⎛⎫ ⎪== ⎪ ⎪−⎝⎭Q AQ Λ.(22)(本题满分11分) 解: 由概率密度的性质,222222()1(,)d d ed de e d d x xy y x y xf x y x y A x y A x y +∞+∞+∞+∞+∞+∞−+−−−−−∞−∞−∞−∞−∞−∞===⎰⎰⎰⎰⎰⎰22()ed ed()πx y x Ax y x A +∞+∞−−−−∞−∞=−=⎰⎰,所以1πA =. X 的边缘概率密度为222()1()(,)d e e d()πx y x x X f x f x y y y x +∞+∞−−−−−∞−∞==−=⎰⎰,x −∞<<+∞当x −∞<<+∞时,条件概率密度222(,)()()x xy yY XXf x yf y xf x−+−==,y−∞<<+∞.(23)(本题满分11分)解:(Ⅰ)X的所有可能取值为0,1,Y的所有可能取值为0,1,2.{}232610,05CP X YC====,{}11232620,15C CP X YC====,{}10,215P X Y===,{}11132611,05C CP X YC====,{}21,115P X Y===,{}1,20P X Y===.从而(,)X Y的概率分布为(Ⅱ)cov(,)()X Y E XY EX EY=−⋅,21101333EX=⨯+⨯=,2812012515153EY=⨯+⨯+⨯=,22()111515E XY=⨯⨯=,4cov(,)45X Y=−.。
南京大学真题2010年(总分:100.00,做题时间:90分钟)一、SECTION Ⅰ STRUCTURE AND VOCABULARY(总题数:0,分数:0.00)二、Directions: There are 20 incomplete sentences in this part. For each sentence there are four choices marked A, B, C and D respectively. Choose the ONE that best completes the sentences. Then blacken your Answer in the corresponding letter on your ANSWER SHEET with a single line through the center.(总题数:20,分数:20.00)1.The little girl wore a very thin coat. A sudden gust of cold wind made her ______A. whirl B shift C. shiver D. shake(分数:1.00)A.B.C. √D.解析:[解析] 句子大意为:这个小女孩穿了一件很薄的外套。
一阵冷风让她发抖。
本题考查近义词辨析。
在给出的选项中:whirl“打旋”;shift“移动”;shiver“发抖”,因寒冷、恐惧、兴奋等发抖;shake“摇动、震动”。
所以,正确答案是c。
2.Having gone through all kinds of hardships in life, he became a man with a strong______A. philosophy B idealism C. morality D. personality(分数:1.00)A.B.C.D. √解析:[解析] 句子大意为:经历过生活中的种种艰难困苦,他成了一位名人。
2010年全国硕士研究生入学统一考试数学(一)试题及参考答案一、选择题:1~8小题,每小题4分,共32分。
(1)、极限2lim ()()xx x x a x b →∞⎛⎫= ⎪-+⎝⎭( C ) A 、1 B 、e C 、e a b- D 、eb a-【解析与点评】方法一222ln 1()()()()lim lime lime()()xx x xx x a x b x a x b x x x xx a x b ⎛⎫⎛⎫- ⎪ ⎪ ⎪ ⎪-+-+⎝⎭⎝⎭→∞→∞→∞⎛⎫== ⎪-+⎝⎭()()2()()()()limelime a b x ab a b x abxx x a x b x a x b x x -+⎛⎫-+ ⎪ ⎪-+-+⎝⎭→∞→∞==e a b -=方法二22()()lim lim 1()()()()x xx x x x x a x b x a x b x a x b →∞→∞⎛⎫⎛⎫--+=+ ⎪ ⎪-+-+⎝⎭⎝⎭()()()()()()()()lim 1lim 1()()()()x a x b a b x abxxa b x ab x a x b x x a b x ab a b x ab x a x b x a x b -+-+⋅-+-+→∞→∞⎛⎫⎛⎫-+-+=+=+ ⎪ ⎪-+-+⎝⎭⎝⎭()lim()()()ee x a b x abxa b x a x b →∞-+--+==考点:第二个重要极限,初等函数运算,复合函数极限运算法则,极限运算,无穷小量替换 (2)、设函数(,)z z x y =,由方程(,)0y z F x x=确定,其中F 为可微函数,且20F '≠,则z zxy u y∂∂+=∂∂( B ) A 、x B 、z C 、x - D 、z -【解析与点评】 等式两边求全微分得:12d d 0y z F F x x ⎛⎫⎛⎫''⋅+⋅= ⎪ ⎪⎝⎭⎝⎭,即 1222d d dz d 0x y y x x z xF F x x --''+=12(d d )(dz d )0F x y y x F x z x ''⇒⋅-+⋅-= 12122dz d d yF zF F x y xF F '''+∴=-''所以有,1212222yF zF F zF z z xy x y z u y xF F F ''''+∂∂+=-==∂∂'''(3)、设,m n是正整数,则反常积分x ⎰的收敛性( D )A 、仅与m 的取值有关B 、仅与n 的取值有关C 、与,m n 的取值都有关D 、与,m n 的取值都无关 【解析与点评】:显然0,1x x ==是两个瑕点,有=+⎰对于的瑕点0x =,当0x +→21ln (1)mnx x -=-等价于221(1)mm nx--,而21120m nxdx -⎰收敛(因,m n 是正整数211m n ⇒->-),故收敛;对于)的瑕点1x =,当1(1,1)(0)2x δδ∈-<<时12122ln (1)2(1)nmnmx x <-<-,而2112(1)mxd x-⎰显然收敛,故收敛。
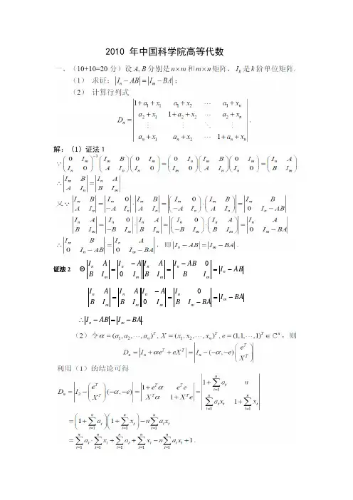
2010 年中国科学院高等代数解:(1)证法1证法2 AB I I B AB I I B A I I A I I B A I n mn m n m n m n -=-=-=00BA I BAI BI I A I I BA I I BA I m m n mn m n mn -=-=-=0.BA I AB I m n -=-∴证明:因为A 为正交矩阵,故其特征值的模长为1. 由于1 A ,故可设,于是法1法 2 因为1)(-=n A r ,故方程组0=AX 的解空间是一维的。
若0≠λ,则0**==ξξλA A A ,故0*=ξA ,ξ为*A 的一个特征向量。
若0=λ,则ξ为方程组0=AX 解空间的一组基,又0*=ξAA ,故ξ*A 也是方程组0=AX 的解,于是存在k 使得ξξk A =*,即ξ为*A 的一个特征向量。
},,max{1n k εεε =,则jini nj i iji i h x εεεε∑∑===11,,j i ni nj i ijii kiyεεεε∑∑===11,故∑∑∑∑∑∑=======+≤≤==nj i ni i ji j i nj i ji j i n i nj i ij i i n i i nh h hh x x 1,21221,,11,12,2||||||||||εεεεεεεεεε∑∑∑∑∑∑=======+≤≤==nj i ni i ji j i nj i ji j i ni nj i ij i i ni i nk k kk iy y 1,21221,,11,122||||||||||εεεεεεεεεε于是,nh x ≤ 且nk y ≤。
特征值,并设,于是当0≠λ时必为纯虚数。
因此,(本题结论改为:存在∈λC ,使得)()(A tr A T λ=更恰当)证明:因为T 是线性映射,且满足)()(BA T AB T =,故0)(=-BA AB T ,于是任给n j i ≤≠≤1,都有0)()(=-=ii ij ij ii ij E E E E T E T ,且0)()(=-=-ij ji ji ij jj ii E E E E T E E T ,因此设λ=)(11E T ,则)()()()(1,1A tr E T a ET a A T nj i ni ii ii ijijλ===∑∑==。
2010年全国硕士研究生入学统一考试数学一试题一、选择题:1~8小题,每小题4分,共32分,下列每题给出的四个选项中,只有一个选项符合题目要求,请将所选项前的字母填在答题纸...指定位置上. (1)极限2lim ( )()()xx x x a x b →∞⎡⎤=⎢⎥-+⎣⎦(A)1 (B)e(C)a be-(D)b ae-答案:C 详解:2lim ()()xx x x a x b →∞⎡⎤⎢⎥-+⎣⎦=2233221ln ()()()()lim lim lim xxx x bx abxx x x a x b a bx a x b x ax bx abx x x e e ee⎛⎫-+-- ⎪⋅ ⎪-+--+⎝⎭-+-→∞→∞→∞===(2)设函数(),z z x y =,由方程(,)0y zF x x=确定,其中F 为可微函数,且20F '=,则x z x y u y ∂∂+∂∂=( ) (A)x (B)z (C)x - (D)z -答案:B详解:12221222,1x z y z y zF F F F F z x x x x x F F F x⎛⎫⎛⎫''-+-''⋅+⋅⎪ ⎪'∂⎝⎭⎝⎭=-=-=''∂'⋅112211y x F F F z x xF F F x'⋅''∂=-=-=-''∂'⋅1212222yF zF yF F z z z xyz xxF F F ''''+⋅∂∂+=-=='''∂∂(3)设,m n是正整数,则反常积分0⎰的收敛性(A)仅与m 的取值有关 (B)仅与n 取值有关 (C)与,m n 取值都有关 (D)与,m n 取值都无关 答案:C 详解:11222111111111ln 1(ln (1))1111mmn mm np p p nnx p p m dx p x p np -∞∞∞⋅⋅⋅⎛⎫⎛⎫⎛⎫- ⎪⎪ ⎪-⎛⎫⎝⎭⎝⎭⎝⎭==-= ⎪⎛⎫⎝⎭⎛⎫ ⎪ ⎪⎝⎭⎝⎭∑∑∑⎰⎰2121121n mm np n m m nn m p m n -∞--⎧>⎪⎛⎫⎪=⎨⎪-⎝⎭⎪≤⎪⎩∑收敛,发散, (4)()()2211limnnx i j nn i n j→∞--=++∑∑(A)()()12111x dx dy x y++⎰⎰(B)()()10111x dx dy x y ++⎰⎰(C)()()1100111dx dy x y ++⎰⎰(D)()()112111dx dy x y++⎰⎰答案:D详解:()()22211112limlim11nnnnx x i j i j nnn i nji j n n n n →∞→∞----=⎛⎫++⎛⎫⎛⎫+⋅⋅+ ⎪⎪ ⎪ ⎪⎝⎭⎝⎭⎝⎭∑∑∑∑2211111lim11n nx i j inj n n →∞--=⋅⋅⎛⎫++ ⎪⎝⎭∑∑()()112111dx dy x y=++⎰⎰(5)设A 为m n ⨯型矩阵,B 为n m ⨯型矩阵,E 为m 阶单位矩阵,若AB =E ,则( ) (A)秩(),r A m =秩()r B m =(B)秩(),r A m =秩()r B n = (C)秩(),r A n =秩()r B m = (D)秩(),r A n =秩()r B n =答案:A解析:由于A B E =,故()()r A B r E m ==,又由于()(),()()r A B r A r A B r B ≤≤,故(),()m r A m r B ≤≤ ①由于A 为m n ⨯矩阵,B 为n m ⨯矩阵,故(),()r A m r B m ≤≤ ②由①、②可得(),()r A m r B m ==,故选A 。
第一章 多项式1、(清华2000—20分)试求7次多项式()f x ,使()1f x +能被4(1)X -整除,而()1f x -能被4(1)X +整除。
2、(南航2001—20分)(1)设x 2-2px+2∣x 4+3x 2+px+q ,求p,q 之值。
(2)设f(x),g(x),h(x)∈R[x],而满足以下等式(x 2+1)h(x)+(x -1) f(x)+ (x -2) g(x)=0(x 2+1)h(x)+(x+1) f(x)+ (x+2) g(x)=0证明:x 2+1∣f(x),x 2+1∣g(x)3、(北邮2002—12分)证明:x d -1∣x n-1的充分必要条件是d ∣n (这里里记号d ∣n 表示正整数d 整除正整数n )。
4、、(北邮2003—15分)设在数域P 上的多项式g 1(x),g 2(x),g 3(x),f(x),已知g 1(x)∣f(x),g 2(x)∣f(x), g 3(x)∣f(x),试问下列命题是否成立,并说明理由:(1)如果g 1(x),g 2(x), g 3(x)两两互素,则一定有g 1(x),g 2(x),g 3(x)∣f(x) (2)如果g 1(x),g 2(x), g 3(x)互素,则一定有g 1(x)g 2(x)g 3(x)∣f(x) 5、(北师大2003—25分)一个大于1的整数若和其因子只有1和本身,则称之为素数。
证明P 是素数当且仅当任取正整数a ,b 若p ∣ab 则p ∣a 或p ∣b 。
6、(大连理工2003—12分)证明:次数>0且首项系数为1的多项式f(x)是某一不可约多项式的方幂主充分必要条件是,对任意的多项式g(x),h(x) ,由f(x)∣g(x) h(x)可以推出f(x)∣g(x),或者对某一正整数m ,f(x)∣h m(x)。
7、(厦门2004—16分)设f(x),g(x)是有理数域上的多项式,且f(x)在有理数域上不可约。
2010年硕士研究生入学考试试题答案及评分标准考试科目代码: 856 考试科目名称: 高等代数一.(40分)答:1.(D)2.(D)3.(A)4.(D)5.(B)6.(C)7.(B)8.(D)9.(D) 10.(C)二.(20分)证明下列命题:(1). 如果多项式(),()f x g x 不全为零,证明:()((),())f x f xg x 与()((),())g x f x g x 互素。
(2). 证明:0x 是()f x 的k 重根的充分必要条件是1000()()()0k f x f x fx -'==== 而0()0kf x ≠.答:(1).证: 存在多项式(),()u x v x , 使((),())()()()()f x g x u x f x v x g x =+. (4分)因而()()()()1((),())((),())f x g x u x v x f x g x f x g x +=. (7分)由定理3,()(),1.((),())((),())()f x g x f x g x f x g x = (10分)(2). 必要性:设0x 是()f x 的k 重根。
那么0x 是()f x '的1k -重根,……,是1()k fx -的1重根,是()k f x 的0重根,即不是()k f x 的根,(3分)所以 1000()()()0k f x f x fx -'==== 而0()0kf x ≠. (5分)充分性:设1000()()()0k f x f x f x -'==== 而0()0kf x ≠. 设0x 是()f x 的l 重根。
由必要性的证明 1000()()()0l f x f x fx -'==== 而0()0lf x ≠. 从而l k =.(10分)三.(15分)已知行列式12114126211214783D --=. 求13233343A A A A +++,其中ij A 是元素ija 的代数余子式。
2010高等代数1(A 卷)参考答案一、填空题 1.n <; 2. 0; 3. 1627-; 4. 0λ≠且3λ≠-; 5. 6,16a b =-= 二、判断题 6.⨯7.⨯8.√9.⨯ 10. √三、单项选择11. (D) 12. (B) 13. (A) 14. (B) 15 (B)四、解答题 16. 解: x+1∴ (f(x),g(x))=x-3 (7分)17. 解:(4分)2131415143r r r r r r r r ---+−−−→3242523r r r r r r +-+−−−→1234511231111133542563157A ααααα⎛⎫⎪- ⎪⎪= ⎪- ⎪⎪----⎝⎭1213141511123021202120636402123ααααααααα⎛⎫ ⎪---- ⎪ ⎪- ⎪---- ⎪ ⎪+⎝⎭12132142152111230212000020000300002αααααααααααα⎛⎫⎪---- ⎪⎪+- ⎪-- ⎪ ⎪++⎝⎭∴12345()2,r α,α,α,α,α=12α,α是它的一个极大无关组, (6分) 且3124125123α=2α-α,α=α+α,α=-2α-α (7分) 18.解:方程组的系数行列式为 (1分)(1) 当2k ≠-且1k ≠ 时,方程组有唯一解; (2分)(2)2k =-时,(3)()3()2R A R A =≠=,此时,方程组无解; (4分)(3)1k =,此时方程组有无穷多解, (6分)通解为 :1212111010,,001k k k k k R --⎛⎫⎛⎫⎛⎫⎪ ⎪ ⎪=++∈ ⎪ ⎪ ⎪ ⎪ ⎪ ⎪⎝⎭⎝⎭⎝⎭。
(7分)19.解:因为A = , 所以A 可逆, (2分)则(3分) 21111(2)(1)11k k k k k=+-111111111111A ⎛⎫ ⎪= ⎪⎪⎝⎭111100000000⎛⎫⎪ ⎪ ⎪⎝⎭2131r r r r --−−−→()()13R A R A n ==<=015153522321≠=1123123x x A x -⎛⎫⎛⎫ ⎪ ⎪= ⎪ ⎪ ⎪ ⎪⎝⎭⎝⎭211112121124A -⎛⎫ ⎪=-- ⎪ ⎪-⎝⎭13112412122111r r ↔-⎛⎫ ⎪→-- ⎪ ⎪-⎝⎭21212112403360339r r r r -+-⎛⎫ ⎪→-- ⎪ ⎪-⎝⎭2132112403360003r r r r -+-⎛⎫ ⎪→-- ⎪⎪⎝⎭()123100123100123100123100225010021210018301018301351001018301021210001541211221201005551381010151515412001151515A ⎛⎫⎛⎫⎛⎫⎛⎫ ⎪ ⎪ ⎪ ⎪∣E =→---→---→--- ⎪ ⎪ ⎪ ⎪⎪ ⎪ ⎪ ⎪-------⎝⎭⎝⎭⎝⎭⎝⎭⎛⎫--⎪⎪ ⎪→---→ ⎪⎪ ⎪-⎪⎝⎭31341515151381010151515412001151515⎛⎫⎪⎪ ⎪-⎪⎪ ⎪- ⎪⎝⎭即 1231341515151381151515412151515A -⎛⎫- ⎪⎪ ⎪=- ⎪⎪ ⎪- ⎪⎝⎭(6分) 则(7分)20.解: 二次型的矩阵为 (1分)()21311212213113111221122400110110100221100112240211002110042211011201010201010010022110001210001200001r r r r r r c c c c c c r r c A -+++-+←−→←→--⎛⎫- ⎪⎛⎫---⎛⎫⎛⎫⎪⎪ ⎪ ⎪ ⎪⎪∣E =-−−−→-−−−→-−−−→ ⎪ ⎪ ⎪⎪ ⎪ ⎪ ⎪ ⎪⎝⎭⎝⎭⎝⎭ ⎪⎝⎭3111110011001222211110100010022220041111001022c −----⎛⎫⎛⎫ ⎪ ⎪ ⎪⎪ ⎪ ⎪−−−−→→⎪ ⎪ ⎪ ⎪ ⎪ ⎪⎝⎭⎝⎭123231341515151113812015151530412151515x x x ⎛⎫- ⎪⎛⎫⎛⎫⎛⎫⎪ ⎪ ⎪ ⎪⎪=-= ⎪ ⎪ ⎪ ⎪ ⎪ ⎪ ⎪ ⎪⎝⎭⎝⎭⎝⎭ ⎪- ⎪⎝⎭021201110A -⎛⎫ ⎪=- ⎪⎪⎝⎭则非退化线性变换X CY == (6分) 把二次型()123,,f x x x 化222123x x x +- 。
第一章 多项式例 1.1(华南理工大学, 2006年) 设 ( ) ( ) x g x f , 是数域F 上的多项式. 证明:( ) ( ) x g x f | 当且仅当对于任意的大于1的自然数n 有, ( ) ( ). | xg x f n n 证明 必要性显然成立,下证充分性. 设 ( ) g x 在数域F 上的不可约分解为( ) ( ) ( ) ( ) 12 12 k lllk g x cp x p x p x =××× ,其中 ( ) ,1,2,..., il i p x i k = 是互不相同的不可约多项式.若有 ( ) ( ) | nnf xg x ,则( ) ( ) ( ) ( ) 12 12 ,0,1,2,...,.k nf nf nfn k i i f x dp x p x p x f l i k =×××££= 其中d 是某个常数,因此有( ) ( ) x g x f | .例 1.2(大连理工大学,2007 年)设 ( ) ( ) ( ) x hx g x f , , 是实系数多项式,如果 ( ) ( ) ( ) x xhx xg x f 22 2 + = ,则 ( ) ( ) ( ) . 0 = = = x h x g x f 证明 由 ( ) ( ) ( ) ( ) 222 f x x g x h x =+ ,可知 ( ) 2 | x f x ,易推得 ( ) | x f x . 于是有 ( ) ( ) 2221 f x x f x= ,代入方程并在两边约去 x 有 () ( ) ( ) x h x g x xf 2 2 21 + = (*)于是有 ( ) ( ) ( ) 22 | x g x h x + ,若多项式 ( ) g x 或 ( ) h x 中的常数项不为零的话,都可 以推出( ) ( )( )x h x g x 2 2 | + 于是有( ) ( ) ( ) () ( )x h x g x x h x g 21 2 1 2 2 2 + = + 代入(*)式并约去 x 有( ) ( ) () ( )x h x g x x f 21 2 1 21 + = 这样又回到原来的方程,所不同的是 ( ) ( ) ( ) 111 ,, f x g x h x 比 ( ) ( ) ( ) ,, f x g x h x 的次数要小 1. 于是经过有限次后必可以使得方程的左边为零次多项式,即为某个常 数c ,使得( ) () ( )x h x g x c k k 22 + = 比较两边的次数易得 0 = c ,并代入方程有( ) () 0 22 = + x h x g k k 于是( ) () 0 = = x h x g k k 那么 ( ) ( ) ( ) ,, f x g x h x 都是某个多项式乘以数0. 由此可推得( ) ( ) ( ) 0 = = = x h x g xf . 例 1.3(大连理工大学,2007年)证明多项式 1 | 1 - - n d x x 的充分必要条件是n d | .证明 充分性显然,下证必要性.若 d r r dq n < < + = 0 ,,则 ( ) ( )11 1 1 - + - = - + - = - r dq r r r n n x x x x x x x 由于 1 - dq x 可被 1 - d x 整除, 而 1 - r x 不能被 1 - d x 整除, 于是 1 - n x 不能被 1 - dx 整除.由其逆否命题可知必要性成立.例 1.4 (北京科技大学,2004年)求一个三次多项式 ( ) x f ,使得 ( ) 1 + x f 能 被( ) 21 - x 整除,而 ( ) 1 - x f 能被( ) 21 + x 整除.解 由题知 ( ) 'f x 能被( ) 1 x - 和( ) 1 x + 整除,又由 ( ) f x 是一个三次多项式, 那么 ( ) 'f x 是一个二次多项式,于是可设( ) ( )( ) aax x x a x f - = - + = 2 ' 1 1 积分易得( ) 33a f x x axb =-+ (其中a, b 为常数) 由题设可知 ( ) 1 f x =- ,易解得3 2 0a b ì = ïí ï = î 那么显然有( ) xx x f 2 3 2 1 3 - = .例 1.5(兰州大学,2004)设 () f x 和 () g x 是数域F 上的两个不完全为零的多 项式,令{ [ ]}()()()()(),() I u x f x v x g x u x v x F x =+Î 证明:(1) I 关于多项式的加法和乘法封闭,并且对任意的 () h x I Î 和任意的 [ ] (), k x F x Î 有 ()() h x k x I Î .(2) I 中存在次数最小的首项系数为 1 的多项式 () d x , 并且()((),()) d x f x g x = .证明 (1) 容易证明,略.(2) 考虑{ [ ] 0 (()()()())(),() I u x f x v x g x u x v x F x =¶+Î 且 } ()()()()0 u x f x v x g x +¹ 则 0 I 是非负整数的一个子集,由最小数原理, 0 I 中存在最小数,也就是说,I 中存在次数最小的首项系数为1的多项式:11 ()()()()()d x u x f x v x g x =+ 设 () h x 是 I 中任意多项式,且 ()()()() h x d x q x r x =+ ,其中 ()0 r x = 或者(()) r x ¶< (()) d x ¶ .若 (()) r x ¶< (()) d x ¶ , 则 ()()()() r x h x d x q x =- .由(1)可知 () r x I Î , 与 () d x 是I 中次数最小的多项式矛盾. 故 ()0 r x = ,所以 ()() d x h x .显然 (),() f x g x I Î ,所以 ()() d x f x , ()() d x g x .如果 ()() p x f x , ()() p x g x ,则11 ()()()()()p x u x f x v x g x +即 ()() p x d x ,所以 ()((),()) d x f x g x = .例 1.6(上海交通大学,2004)假设 1 () f x 与 2 () f x 为次数不超过 3 的首项系数为1的互异多项式,若 42343 12 1()() x x f x x f x +++ ,试求 1 () f x 与 2 () f x 的最大公因式.解 由于42 1x x ++ = 22222 (1)(1)(1) x x x x x x +-=++-+ 设它的4个根分别为 1212 ,,, w w e e 其中1212 13131313 ,,, 2222i i i i w w e e -+--+- ==== 由于 4234312 1()() x x f x x f x +++ ,就有 343 12 ()() f x x f x + = 42 (1) x x ++ () g x . 于是有下面的方程组112 122 (1)(1)0 (1)(1)0 f f f f w w += ì í+= î 与 112 122 (1)(1)0 (1)(1)0f f f f e e ---= ì í ---= î 分别解这两个方程组得,12 (1)(1)0 f f == , 12 (1)(1)0f f -=-= 于是有,11 (1)(),(1)() x f x x f x +- , 22 (1)(),(1)() x f x x f x +- .进而有 1 (1)(1)() x x f x +- , 2 (1)(1)() x x f x +- .而 1 () f x , 2 ,() f x 是互异的次数不超过 3 的首系数为 1 的多项式,所以 2 12 ((),())1 f x f x x =- .例 1.7 (浙江大学,2006 年)设 P 为数域, ( ) [] i i f f x p x =Î , ( ) [],1,2 i i g g x p x i =Î= .证明:( )( ) ( )2 1 2 1 2 1 2 1 2 2 1 1 , , , , , g g f g g f f f g f g f = 证明 设 ( )( ), , , , 2 2 2 1 1 1 g f d g f d = = 有( ) ( ) ( ) ( ) ( ) ( ) ( )( )12121212 12121212 1212 1121122 ,,, ,,, , , ,,. f f f g g f g g f f f g g f g g f d g d f g d f g f g = = = = 例 1.8 (哈尔滨工业大学, 2005年) 设 ( ) ( ) x g x f , 都是实数R 上的多项式,R a Î (1) 证明: ( ) ( ) ( ) ( ) ( ) ( ).| a g f x g f a g x g - - (2) 问 ( )( ) a f x f a x - - 33 | 是否成立,为什么?解 (1) 令 ( ), y g x = 考虑多项式( ) ( ) ( ) ( ) a g f y f y h- = 由 ( ) ( ) ( ) ( ) ( ) ( ) 0= - = a g f a g f a g h 可知 ( ) ( ) ( )y h a g y | - 即( ) ( ) ( ) ( ) ( ) ( ) a g f x g f a g x g - - | .(2) 令 3 b a R =Î ,注意用到(1)的结论,将(1)中a 的换成这里的b ,将(1)的( ) g x 换成这里的 3 x ,可得( ) ( ) 33 | x a f x f a -- .例 1.9(上海大学,2005)设22 1231 1(1)()()()() n n n n n nn x x f x xf x x f x x f x - - éù --++++ ëûL ( 2 n ³ )求证: 1() i x f x - (1,2,,1) i n =- L . 证明 由题设易知1222 1231 1()()()()n n n n n n n n x x x f x xf x x f x x f x --- - ++++++++ L L 这里令e 是n 次本原单位根,那么22 1231 22222 1231 11212 1231 (1)(1)(1)(1)0(1)(1)()(1)()(1)0(1)(1)()(1)()(1)0n n n n n n n n n f f f f f f f f f f f f e e e e e e e e e - - - - ---- - ì ++++= ï ++++= ï íï ï ++++= î L L L LL于是关于 1231 (1),(1),(1),,(1) n f f f f - L 的齐次线性方程组的系数行列式为22 22222112121 1()() 0 1()()n n n n n n ee e e e e e e e - - ---- ¹ L L MMMML .故齐次线性方程组只有零解,于是 121 (1)(1)(1)0 n f f f - ==== L ,所以 1()i x f x - (1,2,,1) i n =- L .例 1.10(哈尔滨工业大学,2006 年)已知 ( ) ( ) x g x f , 是数域 P 上两个次数大 于零的多项式,且存在 ( ) ( ) 11 ,[], u x v x p x Î 使得 ( ) ( ) ( ) ( ) 1 1 1 = + x g x v x f x u ,问是否存 在 ( ) ( ) ,[] u x v x p x Î ,使得 ( ) ( ) ( ) ( ) ( ) ( ) ( ) ( ) ( ) ( ) ( ) ( ) x f x v x g x u x g x v x f x u ¶ < ¶ ¶ < ¶ = + , , 1 . 如果存在,这样是唯一的吗?说明理由.解 由于 ( ) ( ) ( ) 11 ()1 u x f x v x g x += ,若 ( ) 1 u x 的次数大于 ( ) g x 的次数,则由 带余除法得( ) ( ) ( ) ( ) 1 u x g x q x u x =+ , ( ) ( ) ( ) ( )u x g x ¶<¶ 代入上式得( ) ( ) ( ) ( ) ( ) ( ) ( ) 1 1f xg x q x u x g x v x ++= 即( ) ( ) ( ) ( ) ( ) () ( ) 1 1 = + + x v x q x f x g x u x f 令 ( ) ( ) ( ) ( ) 1 v x f x q x v x =+ ,则有( ) ( ) ( ) ( )x f x v ¶ > ¶ 否则由比较次数可知上式将不可能成立.关于唯一性的证明,可以假设 ( ) 2 u x , ( ) 2 v x 也满足条件,那么有( ) ( ) ( ) ( ) ( ) ( ) ( ) ( ) 1122 1f x u xg x v x f x u x g x v x +=+= 易得( ) ( ) ( ) ( ) ( ) ( ) ( ) ( )1221 f x u x u x g x v x v x -=- 由 ( ) f x 与 ( ) g x 互素,可知 ( ) ( ) ( ) ( ) 12 | g x u x u x - .又由 ( ) ( ) ( ) ( ) ( ) 12 u x u x g x ¶-<¶ ,可得 ( ) ( ) 12 0 u x u x -= ,即 ( ) ( ) 12 u x u x = ,这时有( ) ( ) 12 v x v x = .例 1.11(华南理工大学,2005年)证明:如果 ( ) ( )( ) 1 , = x g x f ,那么 ( ) ( ) ( ) ( ) ( ) ( ) ( ) ( ) ( ) ( ) ,1f xg x f x g x f x f x g x g x +++= 证明 由已知条件有 ( ) ( ) ( ) ( ) ,1 f x f x g x += , ( ) ( ) ( ) ( ) ,1 g x f x g x += ,由多 项式互素的性质可得( ) ( ) ( ) ( ) ( ) ,1f xg x f x g x += 于是有( ) ( ) ( ) ( ) ( ) ( ) ( ) ,1f xg x f x g x f x g x ++= ( ) ( ) ( ) ( ) ( ) ( ) ( ) ,1f xg x f x g x f x g x +++= 综合上述两个等式以及多项式互素的性质有( ) ( ) ( ) ( ) ( ) ( ) ( ) ( ) ( ) ( ) ,1 f x g x f x g x f x g x f x g x +++= .例 1.12(苏州大学,2005)设 () f x 是一个整系数多项式,证明:如果存在 一个偶数m 和一个奇数n ,使得 () f m 和 () f n 都是奇数,则 () f x 没有整数根.证明 (反证法) 假设 () f x 有整数根k ,则 ()()() f x x k g x =- ,因为x k - 是 本原多项式,故 () g x 是整系数多项式. 又由于()()() f m m k g m =- , ()()() f n n k g n =- .且 () f m 和 () f n 都是奇数,那么m k - ,n k - 都是奇数,与m 是偶数且n 是 奇数矛盾,所以 () f x 没有整数根.例1.13 (四川大学, 2004年) (1) 设多项式 ( ) ( )( ) ( ) ( ) 1 1 2 2 1 + - - × × × - - = n x x x x f , 其中n 为非负整数. 证明: ( ) x f 在有理数域上一定不可约.(2) 在有理数域上求多项式 ( ) 36 12 11 2 2 3 4 + - - + = x x x x x g 的标准分解式.(1) 证明 假设 ( ) f x 在有理数域上可约, 故 ( ) f x 可分解为两个整系数多项式 的积, 即存在两个整系数多项式 ( ) ( ) , h x k x 使得( ) ( ) ( )f x h x k x = 注意到 ( ) 1,1,2,,21 f i i n ==×××- ,于是( ) ( ) 1,1,2,,21h i k i i n ==×××- 令 ( ) ( ) ( ) l x h x k x =- ,由 ( ) h x 与 ( ) k x 的次数小于21 n - 知 ( ) l x 的次数也小于 21 n - ,但是 ( ) l x 有21 n - 个不同的根为 1,2,,21 x n =×××- ,那么有 ( ) 0 l x º ,于是 ( ) ( ) h x k x = ,推得( ) ( ) ( ) 2f x k x =³ 但是 ( ) 00 f = ,矛盾. 于是 ( ) f x 在有理数域上不可约.(2) 注意到 ( ) ( ) 230 g g =-= ,由综合除法可得( ) ( ) ( )2223 g x x x =-+ 上式为 ( ) g x 在有理数域上的标准分解式.例 1.14(上海大学,2005)设 1 ()2n nf x x x + =+- (1) n ³ ,求 () f x 在有理数域上的不可约因式并说明理由. 解11 ()2(1)(1)n n n nf x x x x x ++ =+-=-+- 112 12 (1)(1)(1)(1) (1)(2222)(1)()n n n n n n n x x x x x x x x x x x x g x --- -- =-++++-+++ =-+++++ =- L L L 对 () g x , 令 2 p = , 用Eisenstein 判别法容易证明 () g x 在有理数域上不可约, 因此 () f x 在有理数域的不可约因式是: 1 x - 及 12 2222 n n n x x x x -- +++++ L .例 1.15(大连理工大学,2004)设R Q 分别表示实数域和有理数域,(),()[] f x g x Q x Î . 证明:(1) 若在 [] R x 中有 ()() g x f x ,则在 [] Q x 中也有 ()() g x f x .(2) () f x 与 () g x 在 [] Q x 中互素,当且仅当 () f x 与 () g x 在 [] R x 中互素.(3) 设 () f x 是 [] Q x 中不可约多项式,则 () f x 的根都是单根.证明 (1)(反证)假设在 [] Q x 中 () g x 不能整除 () f x ,作带余除法有()()()(),(),()[]f x q xg x r x q x r x Q x =+Î 且 (()) r x ¶< (()) g x ¶ .以上带余除法的结果在 [] R x 中也成立,所以在 [] R x 中 () g x 不能整除 () f x , 与在 [] R x 中有 ()() g x f x 矛盾. 因此,结论成立.(2) 如果 () f x 与 () g x 在 [] Q x 中互素,那么存在 (),()[] u x v x Q x Î ,使得()()()()1 f x u x g x v x += .以上等式在 [] R x 中也成立,所以 () f x 与 () g x 在 [] R x 中互素.如果 () f x 与() g x 在 [] Q x 中不互素,那么 () f x 与 () g x 在 [] Q x 存在非零次公因式.即()[] d x Q x Î , (())1,d x ¶³ 1 ()()() f x d x f x = , 1 ()()() g x d x g x = ,11 (),()[]f xg x Q x Î 以上两个等式在 [] R x 中也成立. 因此, () f x 与 () g x 在 [] R x 中不互素. (3) () f x 是 [] Q x 中的不可约多项式 , 则 ' ((),())1 f x f x = , 否则 ' ((),())()1, f x f x d x =¹ 则 () f x 有重因式, 与 () f x 不可约矛盾. 于是 () f x 没有重 因式,所以 () f x 的根都是单根.例 1.16(南京理工大学,2005年)设 p 是奇素数,试证 1 + + px x p 在有理数 域上不可约.证明 令 1 x y =- ,代入 ( ) 1 p f x x px =++ 有( ) ( ) ( ) ( ) ( ) 1111 pg y f x f y y p y ==-=-+-+ .考查多项式 ( ) ( ) ( ) 1! h y p g y =- ,注意到 p 是一个奇素数,那么 ( ) h y 的常数项为 ! p - ,于是对于素数 p 有, |! p p - ,而 2p 不整除 ! p - ,对于 ( ) h y 的首项,显然有 ( ) |1! p p - .对于其他的项,利用二项式定理对( ) ( ) 1!1 pp y -- 展开可知 p 能整除除了首项和 常数项之外的所有项系数. 又 ( ) 1 p y - 中关于 y 的一次项的系数也为 p 的倍数, 于是 p 整除 ( ) h y 的除了首项和常数项之外的所有系数. 利用Eisenstein 判别法可 知 ( ) h y 在有理数域上不可约,即 ( ) g y 在有理数域上不可约,也即 ( ) f x 有理数 域上不可约.例 1.17(陕西师范大学, 2006年) 11 ()()(),()()(), f x af x bg x g x cf x dg x =+=+ 且0 a bc d¹ ,证明: 11 ((),())((),()) f x g x f x g x= . 证明 令 111 ()((),()) d x f x g x = , ()((),()) d x f x g x = .由1 ()()() f x af x bg x =+ (*) 1 ()()()g x cf x dg x =+ (**)于是 1 ()() d x f x , 1 ()() d x g x . 那么 1 ()() d x d x .由式(*)与式(**)可以看成是关于 (),() f x g x 的线性方程组,解得,( ) ( )11 11 1()()() 1()()() g x ag x cf x ad bc f x df x bg x ad bc=- - =- - 于是 11 ()() d x f x , 11 ()() d x g x . 那么 1 ()() d x d x . 显然 1 ()() d x d x .于是11 ((),())((),()) f x g x f x g x = .例 1.18(华南理工大学,2006年)设 ( ) 1 2 34 + + + + = x x x x x f .(1) 将 ( ) x f 在实数域上分解因式.(2) 证明: ( ) x f 在有理数域上不可约. 由此证明 ( ) 5/ 2 cos p 不是有理数. (1) 解 不妨设 2 2 5, i e pa b a == , 于是 ,,, a a b b 是1的四个非实数的 5次方根. 显然有( ) ( )( )( )( )( ) ( ) ( ) ( )2222 11 24 2cos 12cos 1 55 f x x x x x x x x x x x x x a ab b a a b b p p =---- =-++-++ æöæö =-+-+ ç÷ç÷èøèø上式为 ( ) f x 在实数域上的因式分解. (2) 证明 令 1 x y =+ ,代入 ( ) f x .有( ) ( )1 g y f y =+ ( ) ( ) 5432 11 11510105y y y y y y +- =+- =++++ 对素数5 用Eisenstein 判别法可得 ( ) g y 是有理数域上不可约的多项式, 于是 有 ( ) f x 在有理数域上不可约 . 若 ( ) cos 2/5 p 是有理数 , 由 ( ) ( ) 2 cos 4/52cos 2/51 p p =- 可知 ( ) cos 4/5 p 也是有理数.于是由(1)的结论可知( ) 22 24 2cos 12cos 1 55 f x x x x x p p æöæö=-+-+ ç÷ç÷ èøèø.上式为 ( ) f x 在有理数域上的分解,这将导致 ( ) f x 在有理数域上可约,矛盾. 故结论成立.例 1.19(华东师范大学,2005 年)试在有理数域、实数域及复数域上将 ( ) 1 7 8 9 + + × × × + + + = x x x x x f 分解为不可约因式的乘积(结果用根式表示),并简 述理由.解 由( ) ( ) 1011 x f x x -=- ( )( )( )( )1 1 1 1 23 4 2 3 4 + - + - + + + + + - = x x x x x x x x x x 可知它在有理数域上的不可约分解为( ) ( )( )( )432432 111 f x x x x x x x x x x =+++++-+-+ (这里设 ( ) 432 1 1 g x x x x x =++++ ,并取 1 x y =+ 代入,并对素数 5用 Eisenstein 判别法可知 ( ) 1 1 g y + 在有理数域上不可约. 同理设 ( ) 432 2 1 g x x x x x =-+-+ ,并取 1 x y =- 代入,可知 ( ) 2 1 g y - 在有理数域上不可约.)设 243 55551212 ,,, i iii eee e pp ppa ab b ==== ,显然 1 的五次方根为 1122 1,,,, a a a a ;‐1的五次方根为 1122 1,,,, b b b b - . 于是在实数域上 ( ) f x 可分解为( ) ( ) ( ) ( ) ( ) ( ) ( ) ( ) ( ) ( )2222 11221122 11111f x x x x x x x x x x a a a a b b b b =+-++-++-++-++ 显然在复数域上 ( ) f x 可分解为( ) ( )( )( )( )( )( )( )( )( ) 112211221 f x x x x x x x x x x a a a a b b b b =+-------- .第二章 行列式例 2.1(兰州大学,2004年) 计算下列行列式的值121 121 121 1231 n n n n n n n n xa a a a a x a a a D a a x a a a a a a x- - - - = L L L M M M M M L 解 将 n D 的第2列到第 1 n +列加到第1列,且提取公因子有 121 21 21 1231 1 1 ()1 1 n n n n nn i n n i n a a a a xa a a D x a a x a a a a a x- - - = - =+ å L L L M M M M M L 121 12121213212 1 00()000 0 n n ni i n n na a a a x a x a a a x a a a a a a a x a - = -- - =+-- ---- å L LL M M M M M L 11()() nni i i i x a x a = = =+- å Õ .例 2.2(中山大学,2009年) 计算n 阶行列式22 111122 2222 22 111122 1...1... ..................1... 1... n n n nn n nn n n n n nn n n nx x x x x x x x D x x x x x x x x - - - ---- - = 解 首先考虑 1 n + 阶范德蒙行列式221 1111 1 221 2222 2 221 1111 1 221 2211... 1... .................. ... () 1... 1 (1)... n n n n n n n n n n n n n n n n n n n n n nn n n x x x x x x x x x x g x x x x x x x x x x x x xx x x-- -- -- ---- - -- -- =213111 3222 ()()...()() .()...()()...()n n n x x x x x x x x x x x x x x x x =---- ---- 从上面 1 n + 阶范德蒙行列式知,多项式 () g x 的 1 n x - 的系数为 21(1) n D D + -=- ;但从上式右端看, 1 n x - 的系数为12 1 (...).()n ji i j nx x x xx £<£ -+++- Õ 二者应相等,故 12 1 (...).() n n ji i j nD x x x xx £<£ =+++- Õ .例 2.3(北京交通大学,2004年)计算n 阶行列式111 23 222341222123 111 122111...11... 1... ............1 (1)... nn n n n n n n n n n nn n C C C C C C D C C C C C C + --- -- --- +- =.解 从最后一行起将每一行减去前面一行便可将行列式降一阶, 再对降一阶的行列式做同样的处理,不断这样下去可得 1 D = .例 2.4(大连理工大学,2005年) n 阶行列式21...11 13 (11) (1)1...11n =+ .解 答案是 1 1!(1) ni n i= + å . 这是因为原式 21...1111...11 13 (1102)...11 (1)1...1101...11n n ==++ 将上述行列式的第二行到 1 n + 行分别减去第一行,可得原式 11...11 11...00 (1)...n- =- 然后依次将第二列乘以1,第三列乘以 1 2 ,........,第 1 n + 列乘以 1n都加到第一列可得1 11 11...1 (11)2 101...00 !(1) ............... 00...0 ni n n i n= ++++ =+ å .例 2.5(南开大学,2003年) 计算下列行列式的值1112121 1212222 1122 ... ... ............... n n n n n n n n n na b c a b c a b c a b c a b c a b c D a b c a b c a b c +++ +++ =+++ 解法 1 将 n D 按第一行拆成两个n 阶行列式相加,并由于 3 n ³ ,故得1211121 12122221212222 11221122 ...... ...... .............................. n n n n n nn n n n n nn n n n n a a a b c b c b c a b c a b c a b c a b c a b c a b c D a b c a b c a b c a b c a b c a b c++++++ =+++++++ 000=+= 解法 2 将原n 阶行列式加边成一个 1 n + 阶行列式11112121 21212222 112 100...0 ... ... ............... ... n nn n nnn n n n n x a b c a b c a b c D x a b c a b c a b c x a b c a b c a b c+++ =+++ +++由于 3 n ³ ,故对上面的 1 n + 阶行列式按第一行展开可知,其每个元素的余子式 都是一个至少有两列元素对应成比例的n 阶行列式,从而都等于零. 因此 0 D = .例 2.6(浙江大学,2004年) 计算n 阶行列式... ... .................. ... ... ... n b b b b a b b b a b D b b a b b b a b b b a b b b b=解 ......() ......0 .................................... ......0 ......0 ......0 n b b b b a b b b b a b b b b b a b b b b a b D b b a b b b b a b b b a b b b b a b b b abbbb a b b b b -+ + == + + + 11 ... ... .................. (1)() ... ... ...n n b b b b b b b b a b a b D b b a b b b a b b b a bbbb+ - =--+(3) 1121 (1)()(1)()n n n n n a b D b a b + +- - =--+-- 注意到 222 D b a=- 递推可得(3) 1 2(1)()((1)) n n n n D a b a n b + - =--+- .例 2.7(复旦大学,2005年) 设 12 ...,0,1,2,... k k kk n s x x x k =+++= , 计算 1 n + 阶行列式11 121122 121 ...1 ... .................. ... n nn n n n n nnn n s s s s s s xD s s s xs s s x- - -- -- = 解 根据 k s 的定义、行列式的乘法以及范德蒙行列式知,所给的 1 n + 阶行列 式D可表示成两个 1 n + 阶行列式相乘111112 221111 112 12 11...11 1...0 ...1...0 ................................ 1...0 ... 00 (01)n n nn n n n n n n n n nnnn n x x x x x x x x D x x x x x x x x x x - - ---- - = 2 11 ()(())nj ji i i j nx x xx =£<£ =-- ÕÕ 211 ()() ni ij i i j nx x xx =£<£ =-- ÕÕ .例 2.8(华东师范大学,2008年) 计算n 阶行列式1 1 1 1 1 1 1 1 1 1 11 1 1 1 1 1 1 1 1 1 32 1 L L M M M M M L L L n n n n n n D n- - - - - = ∙ 解 将第2列,第 3列,…,第n 列都加到第 1 列上11 11 01 1 1 1 0 1 1 1 1 0 1 1 1 1 0 1 32 2 ) 1 ( L L M M M M M L LL nn nn n n n n D n - - - - - + =111 1 1 1 1 1 11 11 1 1 11 2) 1 ( LL M M MM L L n n n n n n - - - - + = 1111 1 1 1 1 11 11 1 1 1 1 2) 1 ( LL M M MM L L - - - - - - - + = n n n n n111 10 0 0 0 0 00 0 0 2) 1 ( L L M M M ML L - - - - + = n n n n n 2)1 ,2 , 2 , 1 ( ) ( ) 1 ( ) 1 ( 2) 1 ( - - - - × - - + =n n n n n n L t 21 2)2 )( 1 ( ) ( ) 1 ( )1 (2 ) 1 ( - - - - - × - - + = n n n n n n n 2)1 ( )1 ( 1 2)1 ( + ×- = - - n n n n n 1) 2 )]( 1 ( 2 [ - - - = = n x n x 例 2.9(大连理工大学, 2004年) 计算n 阶行列式1 1 1 12 1 2 1 1 12 1 1 1 1 L M M M M M L L nn n D n - - - =解 将第2行,第 3行,…,第n 行都加到第 1 行上1 1 1 12 1 2 1 1 11 1 1 1 1 L M M M M M L L n n D n - - =0 01 0 1 0 0 0 1 1 1 1 1 L M M M M M L L nn - - =1 2) 1 ( )1 ,2 , , 1 , ( 1 ) 1 ( ) 1 ( ) 1 ( ) 1 ( - - - - - - = - - = n n n n n n n n L t .例 2.10(北京航空航天大学, 2004年) 计算下列行列式的值.12 12 12... .................. n n n n a a a a a a D a a a l l l+ + =+ 解 将行列式的所有列加到第一列, 并提取公因子 12 (...) n a a a l ++++ 可得1212 1212 1 1212...... ......().............................. n n nn n i i n n a a a a a a a a a a a a a a a a a a a l l l l l l l= ++ ++ =+ ++ å 然后将第 2 列到第n 列依次减去第一列乘以 12 ,,..., n a a a 得到一个下三角的行列式, 易得12 12 1112... ...()............... n nn n i i n a a a a a a a a a a l l ll l- = + + =+ + å 例 2.11(上海交通大学,2004年)求下面多项式的所有根23 2 3 23 2 3 3 2 3 2 22 23 2 2 2 2 3 ) ( nn n n nnna x a a a a a a a a x a a a a a a a a x a a a a x x f - - - - - - - - - - - - - - - - - - - = L MM M M L L L 解 将第一列的 2 a - 倍,3 a - 倍,L , n a - 倍分别加到第 2 列,第3列, L ,第n 列2323 221 3333 100100 ()010(2)010 0101n n n nnx a a a x a a a a a f x a x a a a - ------- -- =-=-- -- L L L L L L M M M M M M M M LL第2列的 2 a 倍,第 3列的 3 a倍,L ,第n 列的 n a 倍都加到第一列 22223 13 0100 ()(2)0010 001n n n x a a a a a f x x - ------ =- L L L L M M M M L1222 (2)(3)n n x x a a - =---- L 所以, 2 x = 是 () f x 的 1 n - 重根, 222 3 n a a +++ L 是 () f x的单根. 例 2.12 (北京交通大学,2005年)计算 1 n + 阶行列式11111 (1)(2)...()(1)(2)...()............... 12... 111 (1)n n n nn n n n n x x x x n x x x x n D x x x x n ---- + +++ +++ = +++ 解 注意到依次把第一行和第 1 n + 行交换次序,第2行和第n 行交换次序, ...,可得2 1 1111111...1 12... (1) ............... (1)(2)...()(1)(2)...() nn n n n n n n n nx x x x n D x x x x n x x x x n + ---- +++ =-+++ +++ 21 (1)(()()) n i j n x j x i £<£ =-+-+ Õ 21 (1)()n i j nj i £<£ =-- Õ 第三章 线 性 方 程 组例 3.1(清华大学,2006 年)设 12 ,,, s a a a L 是一组线性无关的向量,则122311 ,,,, s s s a a a a a a a a - ++++ L 是否线性无关? 证明之.证明 若 112223111()()()()0 s s s s s k k k k a a a a a a a a -- ++++++++= L 将上式展开并利用 12 ,,, s a a a L 的线性无关,可得关于 121 ,,, s s k k k k - L 的线性方程 组为1 2 1 100...10 110...00 ... 011...0... ...............0 00...110 s s k k k k - æö æöæö ç÷ ç÷ç÷ ç÷ ç÷ç÷ ç÷ ç÷ç÷= ç÷ ç÷ç÷ ç÷ ç÷ç÷ ç÷ç÷ ç÷ èøèø èø 令其系数矩阵为 A ,显然有 1 1(1) s A + =+- .当 S 为偶数时 , 0 A = , 则方程组有非零解 , 这是122311 ,,,, s s s a a a a a a a a - ++++ L 线性相关.当 S 为奇数时 , 0 A ¹ , 则方程组仅有零解 , 这是122311 ,,,, s s s a a a a a a a a - ++++ L 线性无关.例3.2 (北京科技大学, 2005年) 设 0 h 是线性方程组的一个解, 而 12 th h h L , , , 是它的导出方程组的一个基础解系, 1021010 ,,..., t t g h g h h g h h + ==+=+ .证明:线性方程组的任一解g , 都可表成 112211 ... t t g m g m g m g ++ =+++ , 其中 121 (1)t m m m + +++= . 证明 设 0211 ... t t g h m h m h + =+++ ,令 121 1... t m m m - =--- , 即 121 ...1 t m m m - +++= ,则由于 1021010 ,,..., t t g h g h h g h h + ==+=+ ,1210211 (...)... t t tg m m m h m h m h ++ =++++++ 1021010 ()...() t t m h m h h m h h + =+++++ 112211... t t m g m g m g ++ =+++ 例 3.3(哈尔滨工业大学,2005 年)设 12 ,,, r a a a L 是一组线性无关的向量,1,1,2,..., ri ij j j k i r b a = == å ,证明: 12 ,,, r b b b L 线性相关的充要条件是矩阵11121 21222 12... ... ............ ... r r r r rr k k k k k k K k k k æöç÷ ç÷ = ç÷ ç÷ èø不可逆.证明 12 ,,, r b b b L 线性无关Û 10 ri i b = = å 仅有零解Û 10 rij i j j k x a = = å 仅有零解Û(由 12 ,,, r a a a L 线性无关性仅有零解)方程组 ' 0 K X = 仅有零解Û ' K 可逆Û矩阵 11121 21222 12... ... ............ ... r r r r rr k k k kk k K k k k æöç÷ ç÷ = ç÷ ç÷ èø是可逆的.例 3.4(上海大学,2005 年)设b 是非齐次线性方程组AX b = 的一个解,12 ,,, n r a a a - L 是其导出组的一个基础解系,证明:(1) 12 ,,,, n r a a a b - L 线性无关.(2) 12 ,,,, n r b a b a b a b - +++ L 线性无关.证明 (1) 假定 12 ,,,, n r a a a b - L 线性相关,而 12 ,,, n r a a a - L 线性无关,那么b 可由 12 ,,, n r a a a - L 线性表出,则b 是导出组的一个解与b 是AX b = 的一个解矛 盾.(2)令( ) ( ) ( ) 1122 0n r n r x x x x b a b a b a b -- +++++++= L 于是( ) 112212 0n r n r n r x x x x x x x a a a b --- ++++++++= L L 由 12 ,,,, n r a a a b - L 线性无关,则12 0n r x x x - ==== L 且12 0 n r x x x x - ++++= L ,于是 12 0 n r x x x x - ===== L ,故(2)成立.例 3.5(东北大学, 2003年) 设 1 2 ... r A a aa æö ç÷ ç÷ = ç÷ ç÷ èø是一个r n ´ 阶矩阵() r n < 且秩为r ,已知:b 是 0 AX = 的非零解,讨论 12 ,,, r a a a L 与b 的线性相关性.证明 由于对矩阵A , 有 () r A r = , 记 12 ,,, r U a a a =<> L . 显然有 12 ,,, ra a a L 为空间U 的一组基,由于b 是方程组 0 AX = 的一个非零解,所以有 T b 与12 ,,, r a a a L 相正交,于是有 U b ^^ Î ,对于 12 ,,, r a a a L 与 T b 的线性组合1122 0T r r l l l l a a a b ++++= L 两边同时与 T b 做内积,注意到 T U b ^ ,可得(,)0T T l b b = 由于 0 T b ¹ ,可得 0 l = ,于是1122 0r r l l l a a a +++= L 由 12 ,,, r a a a L 的线性无关性可得0(1,2,...,)i l i r == 即 12 ,,,, r a a a b L 的线性无关.例 3.6(浙江大学,2004 年) 令 12 ,,, s a a a L 是 n R 中s 个线性无关的向量, 证明:存在含n 个未知量的齐次线性方程组,使得 12 ,,, s a a a L 是它的一个基础解 系.证明 以列向量 12 ,,, s a a a L 的转置为行构成矩阵A1 2 TT T s A a a a æö ç÷ ç÷= ç÷ ç÷ ç÷ èøM 考虑以A 为系数矩阵的齐次线性方程组AX = 它的基础解系由 n s - 个 n 维列向量组成,设基础解系为 12 ,,, n s b b b - L 以12 ,,, T T T n s b b b - L 为行构成矩阵B ,则以B 为系数矩阵的齐次线性方程组 0 BX = 满足要求.因为 12 ,,, n s b b b - L 是 0 AX = 的解,则 0,1,,;1,, T j i s j n s a b ===- L L .它同 时说明,作为 n 维向量, 12 ,,, s a a a L 是齐次线性方程组 0 BX = 的解,而() r B n s =- .故 12 ,,, s a a a L 是 0 BX = 的一个基础解系.例 3.7(西安交通大学,2005年)讨论 , a b 为何值时,如下方程组有唯一解?无解?无穷多解? 当有无穷多解时,求出它的通解.1234 234 234 1234 0 221 (3)2 321 x x x x x x x x a x x b x x x ax +++= ì ï ++= ï í-+--= ï ï +++=- î解 将增广矩阵进行初等行变换化为行阶梯形矩阵,有1111011110 0122101221 01320132 321101231 A a b a b a a æöæö ç÷ç÷ ç÷ç÷ =® ç÷ç÷ ------ ç÷ç÷ ---- èøèø11110 01221 00101 00010 a b a æöç÷ ç÷ ® ç÷ -+ ç÷- èø.(1)当 1 a ¹ 时方程组有唯一解. (2)当 1 a = 且 1 b ¹- 时方程组无解. (3)当 1 a = 且 1 b =- 时方程组有无穷多解. 解方程组1234 234 0 221 x x x x x x x+++= ì í++= î 方程组的特解为 0 1 1 0 0 a - æöç÷ç÷ = ç÷ ç÷ èø,导出组的基础解系为 12 11 22 , 10 00 h h æöæö ç÷ç÷ -- ç÷ç÷ == ç÷ç÷ ç÷ç÷ èøèø, 于是通解为 01122 k k a a h h =++ .例 3.8(东南大学,2005年) 问:参数 , a b 取何值时,线性方程组1234 1234 234 1234 1 32 223 54(3)3 x x x x x x x x a x x xx x a x x b +++= ì ï+++= ï í++= ï ï ++++= î有解?当线性方程组有解时,求出其通解.解 将增广矩阵做初等行变换可化为10112 01223 0002 0000 a b a --- æöç÷ç÷ç÷ - ç÷èø. 显然若要方程组有解,必须有 0 a = 且 2 b = , 这时增广矩阵变为10112 01223 0002 0000 a b a --- æöç÷ç÷ ç÷- ç÷èø 方程组的一个特解为 ' (2,3,0,0) - ,基础解系为 ''(1,2,1,0),(1,2,0,1) -- ,于是通解为12 211 322 010 001 x C C - æöæöæöç÷ç÷ç÷ -- ç÷ç÷ç÷ =++ ç÷ç÷ç÷ ç÷ç÷ç÷ èøèøèø. 例 3.9(东南大学,2004年) 已知线性方程组1122 1122 1122 () 0()...0 ........................... ...()0 n n n n n na b x a x a x a x a b x a x a x a x a b x ++++= ì ï++++= ï íï ï ++++= î (*)其中 10 ni i a = ¹ å .试讨论 12 ,,, n a a a L 和b 满足什么条件时,(1)方程组仅有零解.(2)方程组有非零解,此时用基础解系表示所有解.解 由于方程组(*)的系数行列式为2 1 12 12 2 111 ............ ............... ... nin i n n n in i nn nin n i b a a a a b a a a a b a b a a b a a a a bb a a a b = = = + + + ++ =+ ++ å å å .2 2 1111 1100 1 10()()() ............ ............1 (1)0... n nnnn n i i i i i i nn a a a b a bb a b a b a ba a bb- === + =+=+=+ + ååå(1)当 0 b ¹ ,且 1()0 ni i b a = +¹ å 时,方程组(*)的系数行列式不等于零. 于是此方程组只有唯一零解.(2) 当 0 b ¹ ,且 1()0 ni i b a = += å 时,方程组(*)的系数行列式为零. 因此方程组(1)有非零解,它的基础解系为 '(1,1,...,1) ,此时方程组的一切解可表为' (1,1,...,1), k k R Î .(3) 当 0 b = 时,方程组的系数行列式为零. 此时方程组(*)有非零解,并且方 程组等价于1122 0n n a x a x a x +++= (**)由于 10 ni i a = ¹ å ,故在 12 ,,, n a a a L 中必有一个不为零,不妨设 0 ia ¹ ,则有 11 1111 ....... i i n i i i n i i i i a a a a x x x x x a a a a-+ -+ =------ 其中 111 ,...,,,..., i i n x x x x -+ 为自由未知量,因此原方程组的一个基础解系为' 1 1 (1,0,...,0,,0, 0i aah =- ..................................' 11 (0,0,...,1,,0,...,0) i i i a a h - - =-' 11 (0,0,...,0,,1,...,0) i i i a ah + + =-..................................' (0,0,...,0,,0,...,1) nn i a ah =-此时,方程组(*)的一切解可表为111111 ...() i i i i n n i X k k k k k Rh h h h --++ =+++++Î L . 例 3.10(大连理工大学,2004年)设 A 是n 阶矩阵,若 ()1 r A n =- ,且代数 余子式 11 0 A ¹ ,则齐次线性方程组 0 AX = 的通解是.。