河南省信阳市2018届高三文综10月月考试题
- 格式:doc
- 大小:1.38 MB
- 文档页数:18
河南省信阳高级中学2017—2018学年度上学期10月月考高一文科综合试题第I卷本卷共60个小题,每小题2分,共120分。
在每小题给出的四个选项中,只有一项是符合题目要求的。
读天体系统示意图,完成1~2题。
1.下列能正确表示①、②、④三者关系的示意图是2.下列叙述正确的是A.①是人类已知的宇宙部分B.由②可知地球所处的宇宙环境是安全的C.水星所在的最低一级天体系统是③D.北极星与④是在同一恒星系统中我国将发射火星探测器——“萤火一号”,寻找火星生命的迹象是其任务之一。
据下表回答3~5题。
3.人类发射探测器可以到达火星附近,表明人造天体已经能够离开A.总星系B.地月系C.太阳系D.银河系4.能对“萤火一号”火星探测器上的中央控制系统、数据处理设备等产生威胁的太阳活动是A.黑子和日珥B.黑子和太阳风C.黑子和耀斑 D.耀斑和太阳风5.科学家认为火星是除地球以外最有可能存在生命的天体之一,火星与地球相比A.有相近的距日距离和自转周期B.有适合生物呼吸的相同大气成分C.有相近的体积和质量D.有岩石、土壤和大量液态水美国航天局2017年2月22日宣布,一个国际天文学家小组发现,在距地球仅40光年外发现围绕单一恒星运行的7颗系外行星。
中心天体Trappist—1的质量和亮度,分别只有太阳的1/10和1/200,温度只有太阳的1/2。
天文学家认为,这一酷似太阳系的星系,堪称迄今寻找外星生命的最佳地点。
据此完成6~7题。
6.推测该天体系统属于A.地月系B.太阳系C.银河系D.河外星系7.天文学家推测该星系的某颗行星上可能存在生命,需要从哪些方面寻找论据①大小与地球相似②存在液态水③距离地球较近④拥有与地球相近的温度A.①②③B.②③④C.①②④D.①③④8.下图中,实线表示水平运动物体的原始方向,虚线表示运动物体的实际方向,正确的是A.1 B.2 C.3 D.4读“太阳辐射中各种波长的光所占比例(%)图”,回答9~10题。
河南省信阳市高三10月月考文综地理试题姓名:________ 班级:________ 成绩:________一、选择题 (共5题;共24分)1. (6分)(2016·河南模拟) 如图示意我国某地区12月22日8时气压形势,图中天气系统以120千米/天的速度东移,读图回答以下问题。
(1)当日气象部门发布了暴风雪预报,图中城市出现暴风雪开始的时间约为()A . 23日0时B . 22日18时C . 23日8时D . 23日12时(2)该日图示地区()A . 昼长达到一年中最大值B . 正午太阳高度达到最大值C . 日出方位在东北方向D . 日出地方时达到最晚(3)为了更好地利用太阳能,应不断调整太阳能热水器与楼顶平面之间的倾角,使太阳光与受热板之间成直角(如图所示)。
该地该日为更好利用太阳能,图中调整支架使α为()A . 90°B . 69.5°C . 59.5°D . 36°2. (4分) (2018高三上·南充模拟) 下图是我国东部沿海某地等高线图(单位:米),读图完成下列各题。
(1)关于图中所反映信息,表述正确的是()A . 图中河流大致从东北流向西南B . 甲地和乙地一年四季都能看到海上日出C . ①地位于山地的迎风坡,降水比②地多D . 陡崖的最大相对高度可接近200米(2)当地为发展旅游业,打算修建一条直达山顶(492m处)的观光索道,最合适的选线是()A . 从甲处到山顶B . 从乙处到山顶C . 从丙处到山顶D . 从丁处到山顶3. (4分) (2016高一上·徐州期中) 气温日较差是一天中最高气温与最低气温的差值。
图是某年3月1日至17日上海地区气温折线图。
读图完成下题。
(1)图中最高气温表示一天中的最高气温,最低气温表示一天中最低气温。
17天中,最高气温出现在()A . 16日B . 10日C . 12日D . 17日(2)下列4天中,气温日较差最大的一天是()A . 3日B . 6日C . 11日D . 16日4. (2分) (2019高二上·麻江期末) 黄土塬又称黄土平台,黄土桌状高地,塬是中国西北地区群众对顶面平坦宽阔,周边为沟谷切割的黄土堆积高地的俗称。
2018届高三第五次大考文 数试题命题人:刘新民 审题人:陈丽第Ⅰ卷一、选择题:本题共12小题,每小题5分,共60分.在每小题给出的四个选项中,只有一项是符合题目要求的.请将正确的答案填涂在答题卡上.1.已知集合A={x ︳y=} B={x ︳y=ln(1-x)},则A UB=A .[0,1]B .[0,1)C . (-∞,1)D .]1-,(∞2.下列命题中假命题是A .0lg ,=∈∃x R xB .3cos sin ,=+∈∃x x R xC .x x R x 21,2≥+∈∀D .02,>∈∀X R x3.下列函数中,既是偶函数又在区间(0,+ ∞)上单调递增的是A .1y x= B .12y x = C..xy e -= D .lg ||y x =4.已知函数()f x 为定义在[]2,1b b -上的偶函数,且在[]0,1b -上单调递增,则不等式()()1f x f ≤的解集为A .[]1,2B .[]3,5C .[]1,1-D .13,22⎡⎤⎢⎥⎣⎦5.若4sin 3cos 0αα-=,则21cos 2sin 2αα+的值为A .2516 B .1 C. 2548 D .25646.△ABC 中,已知060,,2===B x b a 如果△ABC 有两组解,则x 的取值范围 A.2>x B.23<<x C.3342<<x D.3342≤<x7.在△ABC 所在的平面内有一点P ,如果2PA →+PC →=AB →-PB →,那么△PBC 的面积与△ABC 的面积之比是 A.34B.12C.13D.23 8.函数1()ln ||f x x x=+的图象大致是( )9.设()f x '是定义域为R 的函数f(x)的导函数,()f x '<3,f (-1) =4,则f (x )>3x +7的解集为A .--1∞(,)B .--3∞(,)C .-30+∞ (,)(1,)D .-10+∞ (,)(1,)10.将()04sin 2)(>⎪⎭⎫⎝⎛+=ωπωx x f 的图像向右平移ωπ4个单位,得到)(x g y =的图像,若)(x g y =在⎥⎦⎤⎢⎣⎡-4,6ππ上为增函数,则ω的最大值为A. 1B. 2C. 3D. 411.已知函数(12),1()1log ,13x a a x f x x x ⎧-≤⎪=⎨+>⎪⎩,当12x x ≠时,1212()()0f x f x x x -<-,则a 的取值范围是A .1(0,]3 B .11[,]32 C.1(0,]2 D .11[,]4312. 已知函数()⎪⎩⎪⎨⎧≤≤+≤≤+=41,234sin 2110,1x x x x x f π,若不等式()()022<+-x af x f 在[]40,上恒成立,则实数a 取值范围是A .a >.3a < C .3a > D.3a <<第Ⅱ卷二、填空题:本题共4小题,每小题5分,共20分.请将答案填在答题卡对应题号的位置上,答错位置,书写不清,模棱两可均不得分. 13. 函数f (x )=216x x+在区间[0,3]的最大值为___________. 14.若不等式1x a -<成立的一个充分条件是04x <<,则实数a 的取值范围是______ 15.1sin10°-3sin80°=________.16.若函数f(x)=2-lnx 在定义域内的一个子集(k-2,k+1)上不是单调函数,则实数k 的取值范围是________.三、解答题:本题共6小题,共70分.解答应写出文字说明,证明过程或演算步骤。
2018届高三上学期文综历史10月月考试卷一、单选题1. 王阳明将“乐”看作是“心之本体”,圣人和“常人之所同有”,但是常人却不能做到“真乐”,反而很“忧苦”。
这反映其心学思想是()A . ”万恶心生,苦乐天定”B . “失却真心,便失却真人”C . “是非之心,不虑而知”D . “物由心定,事由心生”2. 1926年,毛泽东在向国民党第二次全国代表大会汇报工作时指出,国民党的宣传工作特别重视城市而忽略了农村,他断言只有把农民的潜力发挥出来,革命党才能获得战胜帝国主义的力量。
”这反映出毛泽东()A . 坚持建立无产阶级的革命武装B . 革命工作的重心转移至农村C . 致力于巩固革命统一战线成果D . 肯定了农村包围城市的道路3. 抗战初期,陕甘宁边区参议会和政府相继制订和公布了《陕甘宁边区惩治贪污暂行条例》《陕甘宁边区政纪总则》《陕甘宁边区政务人员公约》《陕甘宁边区各级政府干部奖惩暂行条例》等法规。
这表明当时()A . 国民政府和参议会注重廉洁自律B . 中共把廉政建设纳入法治的轨道C . 国民党要借助反腐实行一党专政D . 敌后的抗日根据地注重反腐倡廉4. 1942年,国民政府公布的《战时消费税暂行条例》规定:国货税率,普通用品为5%,非必需品为10%,半奢侈品为15%,奢侈品为25%,这一规定更有利于()A . 生活必需品的生产B . 战争物资的生产C . 征集剩余产品抗战D . 自然经济的解体5. 根据一位美国著名科学家的研究,1960年时中国的25万科学家和工程师中,有90%是在1949年中华人民共和国成立后培养出来的,而在1960年,中国工科毕业生数量大约是美国工科毕业生的75%。
导致这一现象的主要因素是()A . 建国初期的高校调整B . 半工半读高校的涌现C . “八字方针”的实施D . 中美关系改善的影响6. 1958年8月1日,中国第一台计算机由张梓昌领衔研制的103型通用数字电子计算机研制成功,运行速度每秒1,500次;1959年,由张效样教授领衔研制的中国第一台大型数字电子计算机,运算速度达到每秒1万次。
河南省信阳高级中学2018届高三10月月考英语第I卷注意事项:1.答题前,考生在答题卡上务必用直径0.5毫米黑色墨水签字笔将目己的姓名、准考证号填写清楚,并贴好条形码。
请认真核准条形码上的准考证号、姓名和科目。
2.短小题选出答案后,用2B铅笔把答题卡上对应题目的答案标号涂黑,如需改动,用橡皮擦干净后,再选涂其他答案标号,在试题卷上作答无效。
第一部分听力(共两节,满分30分)做题时,先将答案标在试卷上。
录音内容结束后,你将有两分钟的时间将试卷上的答案转涂到答题卡上。
第一节(共5小题:每小题1.5分,满分7.5分)听下面5段对话。
每段对话后有一个小题.从题中所给的A. B.C三个选项中选出最佳选项,并标在试卷的相应位置。
听完每段对话后,你都有10秒钟的时间来回答有关小题和阅读下一小题。
每段对话仅读一遍。
1.How much will the man pay for what he is buying?A. Two dollars.B. Four dollars.C. Six dollars.2.Why can't the man go to the west coast?A. He is looking for a new job.B. He is training his workers.C. He is busy with his new job training.3.What does the man tell the woman?A. There is another cat like his.B. She has mistaken another dog for his.C. He seldom goes out with his dog.4.What is the most probable relationship between the two speakers?A. Doctor and patient.B. Professor and student.C. Manager and secretary.5.Why does the woman ask the man to go to the airport?A. To meet a girl.B. To buy a ticketC. To see a girl off.第二节(共15小题;每小题1.5分,满分22.5分)听下面5段对话。
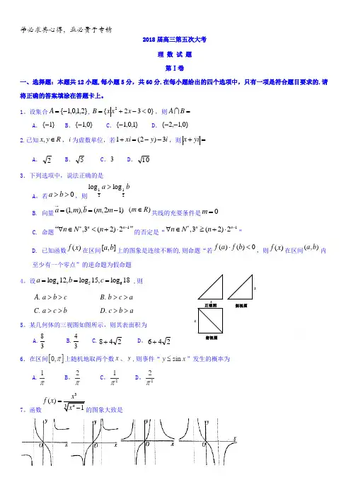
2018届高三第五次大考理 数 试 题 第Ⅰ卷一、选择题:本题共12小题,每小题5分,共60分.在每小题给出的四个选项中,只有一项是符合题目要求的.请将正确的答案填涂在答题卡上。
1。
设集合}2,1,0,1{-=A ,}032{2<-+=x x x B ,则=B AA .}1{-B .}0,1{-C .}1,0,1{-D .}0,1,2{-- 2.已知R y x ∈,,i 为虚数单位,若i y xi 3)2(1--=+,则=+yi xA .2B .5C .3D .10 3.下列选项中,说法正确的是A 。
若0a b >>,则1122log log a b>B. 向量(1,),(,21)a m b m m ==- ()m R ∈共线的充要条件是0m =C. 命题”“12)2(3,-*⋅+<∈∀n n n N n 的否定是“*1,3(2)2n n n N n -∀∈≥+⋅”D. 已知函数()f x 在区间[,]a b 上的图象是连续不断的,则命题“若()()0f a f b ⋅<,则()f x 在区间(,)a b 内至少有一个零点”的逆命题为假命题 4。
设456log 12,log 15,log 18a b c === ,则.A a b c >> .B b c a >> .C a c b >> .D c b a >>5。
某几何体的三视图如图所示,则其表面积为A.83B.43C.248+ D 。
246+ 6.在区间[]0,π上随机地取两个数x 、y ,则事件“sin y x ≤”发生的概率为A.1πB 。
2πC 。
21πD 。
22π7。
函数334()1x f x x =-的图象大致是22俯视图侧视图A .B .C 。
D .8。
已知),,0(,3tan παα∈=则⎪⎭⎫ ⎝⎛+a 225cos π= A 。
53B 。
54C 。
河南省信阳高级中学2018年高中文综统一招生模拟试题(三)第Ⅰ卷(选择题共140分)本卷共35小题,每小题4分,共140分。
在每小题给出的四个选项中,只有一项是符合题目要求的。
科考队在某地考察中发现,该地物体的影子长度和方向如右图所示(虚线代表一天中物体影长及朝向的时间变化),据此回答1-2题。
1.该地应位于A.北极圈内B.赤道与北回归线之间C.南极圈内D.赤道与南回归线之间2.若该地纬度为α,直射点纬度为β,则此日该地太阳高度最大值和最小值的差是A.2αB.2βC.90-α-βD.2(90-α)2016年中国五矿集团公司所属的五矿资源有限公司(总部设在国内)与甲国达成收购该国拉斯邦巴斯铜矿(阴影区)项目股权的合作开采协议,与甲国合作发展铜矿开采业,产品除了供应我国外,还远销其他国家。
下图为甲国局部位置示意图。
据此完成3~5题。
3.近年来,我国矿业热衷于在甲国从事铜矿开采的主要原因是A.我国铜矿需求量减少 B.甲国的从业人口少C.我国采矿技术水平高 D.甲国矿业市场成熟4.自21世纪初,甲国运往世界各地的铜矿产品货运量成倍增长,其主要原因是A.海洋运输成本降低 B.铜矿资源储量丰富C.开采技术水平大幅提高 D.市场需求迅速增加5.若考虑运输成本,则在下列国家中,甲国的中矿企业产品首先应销往A.日本 B.美国 C.英国 D.意大利当河流流出谷口时,摆脱了侧向约束,其携带的泥沙等物质在出山口处铺散沉积下来,形成扇形堆积体—冲积扇。
冲积扇在平面上呈扇形,可分为扇顶、扇中、扇缘三部分,扇顶伸向谷口;在立体上大致呈半埋藏的锥形。
下面左图为干旱区冲积扇平面示意图,右图为湿润区冲积扇平面示意图。
据此完成6--8题。
6.干旱区冲积扇形态较湿润区冲积扇形态显著的原因是A.干旱区人类活动少、开发少B.干旱区流水作用弱C.湿润区河流落差小D.湿润区冲积扇面积大7.干旱区绿洲易出现在A.冲积扇扇缘B.冲积扇扇中C.冲积扇扇顶D.山谷中8.横断山脉冲积扇易发生A.渍涝B.台风灾害C.旱灾D.泥石流灾害传统经济发展模式的转变推动了企业区位偏好的改变,时间价值成为影响企业决策的重要因素,机场周边地区成为驱动城市经济增长的新型经济空间。
河南省信阳市高三上学期地理第二次月考文综地理试卷姓名:________ 班级:________ 成绩:________一、选择题 (共6题;共16分)1. (2分) (2018高一上·长春期末) 下列关于经纬线(度)的叙述,正确的是()A . 以0°经线为界,东经和西经的度数分别向东、向西越来越小B . 经线指示东西方向,纬线指示南北方向C . 以赤道为界,北纬和南纬的度数分别向北、向南越来越大D . 所有经线都是大小相等的圆,而所有纬线都是大小不等的圆2. (2分) (2013高一上·安吉月考) 如图为近地面和高空等压面状况图,若图中的气压分布状况是热力作用形成的,则图中四点气温最高的是()A . ①B . ②C . ③D . ④3. (4分)凋落物是联系植被与土壤两个系统的纽带,主要包括植被凋落的叶和茎等物质。
左图为我国某地凋落物数量的逐月变化示意图,右图为甲树种春季凋落景观图。
读图,完成下面小题。
(1)乙树种广泛分布地区所属的自然带,在我国对应的气候类型为()A . 温带海洋性气候B . 热带季风气候C . 亚热带季风气候D . 温带季风气候(2)造成甲树种春季凋落较多的最主要原因是()A . 风力较大B . 气温回升C . 日照充足D . 降水稀少4. (2分)(2016高三上·枣阳期中) 读世界某区域图,图示范围内的国家()A . 以发达国家为主B . 以发展中国家为主C . 都是发达国家D . 都是发展中国家5. (4分) (2017高二下·莆田期末) 下图示意某国家部分经济活动分布。
该国人口2400多万,人口自然增长率约2.4%,矿产品、可可和木材为其三大经济支柱。
据此完成下列各题。
(1)该国()A . 位于北半球、西半球B . 河流以降水补给为主C . 地势南部高,北部低D . 人口增长属于原始型(2)关于该国经济活动的叙述,正确的是()A . 北部地区主要发展乳畜业B . 南部沿海有世界著名渔场C . 木材产自常绿硬叶林区D . 主要出口初级农矿产品6. (2分)适合在松嫩平原种植的农作物是()A . 春小麦、玉米、甜菜、亚麻B . 冬小麦、高粱、大豆、甜菜C . 玉米、高粱、大豆、油菜D . 玉米、芝麻、甜菜、大豆二、综合题 (共4题;共34分)7. (12分) (2016高二下·集宁期中) 读图及相关材料,完成下列问题。
2018年普通高等学校招生全国统一考试模拟卷文科综合第Ⅰ卷(选择题共140分)本卷共35小题,每小题4分,共140分。
在每小题给出的四个选项中,只有一项是符合题目要求的。
图1示意大陆上某地区某时刻的气压形势分布。
图2是图1中40°纬线穿过的河流的剖面图。
读图完成1~3题。
1.图1中②⑤两地A.②地的自转线速度比⑤地小 B.②地的年降水量比⑤地小C.②地的冬雨率比⑤地小 D.七月份都吹西南风2.在图示天气系统控制下,下列关于①②③④四地的天气情况,叙述正确的是A.①地天气晴朗 B.②地风速比①地大C.③地有冷锋移来,云层较薄 D.④地吹偏北风,降水较多3.关于河流剖面图的说法,正确的是A.岩层戊形成年代比岩层丁晚B.岩层甲比岩层乙易受侵蚀C.岩浆侵入活动发生在岩层乙形成之后 D.河流出现于岩层丙形成之前随着三峡水库蓄水位的逐步上升和水库运用方式的不断优化,三峡水库的实际排沙比和淤积量相对于论证阶段出现了明显减小。
右表是某水利工程部依据实测资料求得的三峡水库2003年-2013年入库及出库沙量、淤积量和排沙比。
结合所学知识回答4--6题。
4.三峡水库实际排沙比相对论证阶段较低,但淤积量却大幅减小的原因最可能是A.汛期坝前水位抬高B.入库流量加大C.来沙量减少D.河床坡度变缓5. 结合材料,判读下列说法不正确的是A.排沙比越大,水库淤积强度越大B.水库累积淤积量呈稳步增长趋势C.库区年度淤积量变化幅度较小D.坝前水位抬升当年的排沙比均比上一年明显降低6.结合所学的知识,推测影响排沙比的因素有①河道输沙能力;②水库蓄水位高低;③入库流量大小④水质富营养化程度;⑤入库泥沙颗粒的大小A. ①②③④B. ①②③⑤C. ②③④⑤D. ①②④⑤下表为我国甲、乙两个省级行政区及全国的人口数据。
读表,回答7-8题。
7.2002年至2014年A.人口政策调整,全国少年儿童人口比重下降B.甲地就业吸引力强,劳动人口比重提升C.乙地迁入人口多,老年人口比重下降D.两地自然增长率均低,劳动人口抚养负担加重8.据表中信息推断,为促进产业转型升级,甲地可重点发展①有色金属冶炼业②信息服务产业③大型建材生产产业④生物医疗产业⑤商务会展产业A.①②③B.①④⑤C.②③④D.②④⑤机井是利用动力机械驱动水泵提水的水井,对农业生产意义重大。
河南省信阳市2018届高三理综10月月考试题本试题卷分第Ⅰ卷(选择题)和第Ⅱ卷(非选择题)两部分。
考生作答时,将答案答在答题卡上(答题注意事项见答题卡),在本试题卷上答题无效。
考试结束后,将本试题卷和答题卡一并交回。
一、选择题:本题共8小题,每小题6分。
在每小题给出的四个选项中。
第14~18题只有一项符合题目要求。
第19~21题有多项符合题目要求。
全部选对的得6分。
选对但不全的得3分,有选错的得0分。
第Ⅰ卷(选择题)一、选择题:本题共13小题,每小题6分。
在每小题给出的四个选项中,只有一项是符合题目要求的。
可能用到相对原子质量:H-1 He-4 N-14 O-16 Na-23 S-32 Ni—59 Co—591.现用洋葱根尖进行如下处理并完成实验:①用蒸馏水培养根尖,观察有丝分裂;②将正常培养的装置移到冰箱中再培养一段时间,观察并统计有丝分裂中期的染色体数;③在蒸馏水中加入一定量的苯培养根尖,观察有丝分裂中期染色体的形态和数目。
下列相关叙述合理的是A.实验①换用高倍镜观察染色体变化特点时,调节光圈、反光镜就可使视野清晰B.实验②是为了验证“低温可能是形成多倍体的诱因”,所观察细胞中染色体数都是4N C.实验③的目的可能是研究苯对染色体结构和数目的影响,但还需设计对照组D.实验③依据的原理之一是“致癌物质会使细胞发生基因突变,原癌基因和抑癌基因被激活”2.如图所示为影响酶促反应的温度、pH值和底物浓度与反应速率关系的曲线图,下列相关叙述,错误的是A.影响乙曲线的因素是温度,影响丙曲线的因素是pH值B.甲曲线中,A点与B点限制酶促反应速率的因素不同C.乙曲线中,D点与F点酶的空间结构都被破坏且不能恢复D.丙曲线中,G点时对应因素升高,酶的活性不能到达H点3.如图表示光合作用和有氧呼吸过程中C、H、O三种元素的转移途径以及能量转换过程,图中序号表示相关的生理过程。
下列叙述错误的是A.在元素转移途径中,④与⑧、⑦与⑨表示的生理过程相同B.在元素转移途径中,能在小麦根尖成熟区细胞中发生的生理过程有②③⑥⑦⑨C.在有氧呼吸过程中,产生能量最多的过程是⑦和⑨D.ATP中的能量不仅可以来自光能,也可以来自有机物中的化学能;ATP中的化学能可以转变为化学能而不能转变为光能4.鸡的雄羽与母羽是一对相对性状,受常染色体上的一对等位基因控制。
2018届高一摸底考试文综试题 命题人: 审题人: 一、选择题(本题有52小题,每小题只有一个正确答案,1-20为地理,每小题1分,21-32为政治,每小题2分,33-52为历史,每小题1分,共64分。
三个学科选择题填涂在一张答题卡上。
) 我国2013年发射“嫦娥三号”卫星,实现了软着陆、无人探测及月夜生存三大创新,读太阳系局部图,M是地球的自然卫星(月球),分析完成1~3题。
1.图中显示的天体系统级别有 A.1级 B.2级 C.3级 D.4级 2.“嫦娥三号”卫星考察的天体是 A.M B.N C.P D.Q 3.与N、P、Q相比,地球上有利于生命形成的优越条件是 ①太阳光照一直比较稳定 ②表面温度适于生物生存 ③行星各行其道,互不干扰 ④有适于生物呼吸的大气 A.①② B.②④ C.②③ D.③④ 读下表,完成~题。
行星名称水星金星地球与太阳距离 (106千米)57.9108.2149.6公转周期87.9天224.7天1.0年自转周期58.6天243天(逆向)23时56分大气及 主要成分极稀薄,氦、汽化钠浓密,CO2浓密,N2、O2表面平均温度(℃)白天350,夜晚-170(固体表面)480 (固体表面)22 (固体表面).液态水的存在是地球上生命起源和发展的重要条件之一,下列叙述中与地球“液态水存在”有密切关系的是 地球上昼夜更替的周期适中 地球的质量和体积适中 地球处于一个比较安全的宇宙环境中 地球与太阳的距离比较适中 A.B.C. D. 5.下列关于表中各行星的叙述正确的是 A.金星位于地球和火星之间B.水星公转方向自东向西 C.地球D.金星2014年8月24日,是“北京奥运星”名镶星空六周年的日子。
“北京奥运星”为一颗小行星,在轨道上平均每天以147.6万千米的速度运行,绕太阳一周约需5.3年。
据此回答~题。
.“北京奥运星”的公轨轨道形状最有可能是 7.“北京奥运星”位于 A.金星和火星轨道之间B.火星和木星轨道之间 C.水星和金星轨道之间D.金星和地球轨道之间 A.太阳辐射能量的来源是太阳内部的核裂变反应 B. 太阳辐射的能量不包括煤、石油、天然气等 C.太阳辐射是地球上大气、水、生物和地震活动的主要动力 D.太阳辐射是一种电磁波 9.下列说法与太阳辐射有关的是 A.水向低处流 B.地震、火山爆发 C.煤、石油的形成 D.地球内部温度升高 读太阳及其大气结构示意图,回答~题。
河南省信阳市2018届高三文综10月月考试题一、选择题(本题共35小题,每小题4分,共140分)下图为世界某区域年降水量分布图(单位:毫米)。
在该区域南部地区生活的富拉尼人,以游牧业为主。
读图回答下列1~2题。
1.影响该区域年降水量的主导因素是A.纬度高低 B.地形起伏 C.大气环流D.距海远近2.富拉尼人迁徙的时间最有可能是A.10月北迁,4月南迁 B.10月南迁,4月北迁C.10月东迁,4月西迁 D.10月西迁,4月东迁下图为我国东南某地区等坡度线(地表坡度值相等的点连成的线)图,图中数字代表坡度(坡面与水平面的夹角)。
读图完成3~4题。
3.图中河流,流速最快的河段是A.甲B.乙C.丙D.丁4.图示区域A.P地坡度最陡 B.河流从东北流向西南C.适宜发展果林业 D.Q地位于背风坡,土壤水分条件差读沿30°纬线某月平均气温曲线图,完成5~6题。
5.下列关于图中三地的叙述,正确的是A.②地气温日较差比①地小 B.①地气温年较差比③地大C.该月份①地比③地更易受寒潮影响 D.①地大气逆辐射强于②地6.②地该月平均气温高于①③两地的原因是A.海拔高,太阳高度大,日照时间长B.受副高控制,盛行下沉气流,晴天多C.受西南风影响,增温作用显著D.受地形影响,气温较同纬度高左下图为“某地等高线示意图(单位:米)”,右下表为某地理兴趣小组在该地野外考察中依次记录的5个观测点信息(岩层代号P-Q-S由老到新)。
读图完成7~8题。
7.图中与该小组考察的路线基本一致的是A. L1线B. L2线C. L3线D. L4线8.下列关于该区域的说法正确的是A. M处岩层物质坚实不易被侵蚀B. M处为良好的储油储气构造C. N处地貌形成以内力作用为主D. N处断层发育多地质灾害职住平衡是指城市在规模合理的范围内所提供的就业岗位数量与该范围内居民中的就业人口数量大致相等,且大部分有工作的居民可以就近工作。
通常用职住比来评价一个地区的职住平衡状况,计算公式为:职住比=就业岗位数量/居民中的就业人口数量。
下图是2015年北京环线之间职住比分布图。
读图,完成9~11题。
9.相比较而言,北京职住最为平衡的区域在A.二环与三环之间B.三环与四环之间C.四环与五环之间D.五环与六环之间10.20世纪80年代以来,北京环线间职住比差异逐渐加大,导致就业人群的A.平均居住成本上升B.平均出勤距离增加C.平均经济收入增加D.平均通信费用增加11.针对环线间职住比差异加大带来的问题,北京宜采取的应对措施是①大力发展快速交通②郊区兴建大型住宅区③部分产业迁至郊区④提高郊区产业集聚度A.①③B.②③C.①④D.②④12.中国移动、中国联通、中国电信三大运营商表示,2017年9月1日起将全面实施取消手机国内长途和漫游费。
图4所示的四张图最能反映手机通话需求市场变化的是(D1为取消手机国内长途和漫游费前,D2为取消手机国内长途和漫游费后)13.共享经济,一般是指以获得一定报酬为主要目的,基于陌生人且存在物品或者资本使川用权暂时转移的一种新的经济模式。
其本质是整合线下的闲散资源。
此种共享更多的是以互联网为媒介来实现的。
下列属于共享经济模式的是①众筹模式:发起人通过互联网发布筹款项目并募集创业资金②OTO模式:消费者在线上支付购买商品和服务,线下去享用③滴滴模式:涵盖出租车、专车、顺风车及大巴等在内的一站式出行平台④PPP模式:民营资本与政府共同合作参与公共服务设施的建设A.①③B.①④C.②③D.②④14.2017年4月23日,国务院办公厅印发《关于推进医疗联合体建设和发展的指导意见》,医联体将同一个区域内的医疗资源整合在一起,通常由一个区域内的三级医院与二级医院、社区医院、村医院组成。
这样,即使是一般的病症,老百姓在小医院也能通过医联体得到大医院专家的诊疗服务。
医联体模式有利于①有效控制医疗费用,为群众提供价格适宜的医疗服务②整合卫生资源,提升基层医疗卫生机构服务水平③完善社会保险制度,形成多层次的社会保障体系④打破医疗垄断,扩大非公立医院的经营范围A.①②B.①③C.②④D.③④15.李奶奶家住某老旧小区的六层,上下楼很不方便。
大家一直盼着小区加装电梯,但一、二层住户因为担心影响采光和噪音干扰,坚决反对。
居民老旧小区加装电梯的改造①应要求一、二层住户服从多数人的意见②应尊重一、二层住户的合法权利,充分协商③可请求政府为电梯改造提供资金,避免矛盾④可请求社区居委会发挥自治组织作用,调解纠纷A.①②B.②④C.①③ D.③④16.十二届全国人大常委会二十五次会议以145票赞成、1票反对、4票弃权,表决通过了《中华人民共和国环境保护税法》。
这是党的十八届三中全会提出“落实税收法定原则”改革任务后,全国人大常委会审议通过的第一部税收法律。
这体现了①中国共产党领导立法,推进社会主义法治建设②人大代表是国家权力机关的组成人员,行使立法权③民主集中制是我国国家机关的组织与活动原则④全国人大常委会行使决定权,推进国家治理现代化A.①③ B.①② C.③④D.②④17.漫画《按程序办》对政府工作的启示是①审慎行使权力,做到权责一致②转变政府职能,提高服务水平③简化行政手续,提高行政效率④坚持依法行政,维护政府权威A.①② B.①④ C.②③D.②④18.十二届全国人大常委会二十五次会议对国务院提交的《水污染防治法修正案(草案)》进行分组审议。
此前,国务院多次就《水污染防治法修正案(草案)》向社会公开征求意见,公民踊跃参与。
这表明①国务院是人大的执行机关,要对人大负责、受其监督②全国人大常委会行使审议权,坚持了民主集中制原则③全国人大常委会行使立法权,推动国家治理的法制化④公民依法有序参与立法,推动了立法的民主化科学化A.①② B.②③ C.①④D.③④19.2017年6月,C市通过改革形成的“一口受理、一章审批、内部流转、限时办结、全程监督”的“车间流水线”模式,让企业大为受益。
可见,该改革①增强了决策的透明度②精简了政府管理职能③优化了公共服务体系④提升了行政管理效率A.①③B.③④C.①④D.②④20.以色列科学家通过研究发现,当水媳身体片断再生时,它们使用绳状蛋白质纤维一一细胞骨架,重新排列细胞;当身体被切或者被撕裂时,细胞骨架模型将幸存下来,变成新身体的一部分。
这证实了水媳具有“长生不老”的能力,可以逃避身体衰老进程。
这表明①改变创造条件可以克服规律的必然性②新的具体联系建立在固有联系基础上③若干要素重新组合后能产生新的系统④人们在实践中发现和检验真理性认识A.①②B.①③C.②④D.③④21.近年来,不少城市纷纷开展“文化进地铁”活动,如上海的“地铁读书会”、武汉的“戏曲进地铁”、沈阳的“清文化进地铁”等。
“文化进地铁”活动得到民众热烈欢迎,乘客每次出行都是一次文化之旅。
“文化进地铁”有利于①形成良好的文化环境,提升人们的文化素养②推动文化事业发展,满足人们的文化需求③提升城市品质,对游客产生潜移默化的影响④创新文化主题,更好地增强人们的精神力量A.①④B.①③C.②③D.②④22.李克强总理强调:稳中求进工作总基调是治国理政的重要原则。
稳是主基调,稳是大局,在稳的前提下要在关键领域有所进取,在把握好度的前提下奋发有为。
这一原则①体现了事物的运动是绝对的,静止是相对的②说明事物发展前途是光明的,边路是曲折的③要求我们正确认识事物状态,坚持适度原则④要求调整生产关系中与生产力不相适应部分A.①②B.③④C.②④D.①③23.漫画蕴含着深刻的哲理,漫画(图5)给我们的人生感悟是①树立正确的幸福观是美好人生的向导②对幸福的不同理解决定了不同人生道路③调节和控制生理活动有利于感悟幸福④投身社会实践是实现人生价值的根本途径A.①②B.①③C.②④D.③④24.商王朝是一个以商部族为中心的方国联盟。
周初大举实行分封。
同姓亲族是分封的主体。
他们的封地或居于富庶之处,或处在战略要地。
据此可知,与商朝相比,西周A.对地方的管辖更有效B.管辖的版图更辽阔C.开发了更广阔的土地D.建立了集权统治25.清代早期,江苏宜兴任氏祠堂家祭的对象,一改按辈分排列祖先的惯例,除一族祖先之外,其次即是官员和有钱财的人,再次则是所谓有一善一行的人,最后才是本宗族的一般平民祖先。
此类现象并非个例,引起了卫道之士的批评。
这反映当时A.宗法观念崩溃 B.批判思潮产生C.君主专制强化 D.商品经济发展26.甲午战后,梁启超写到“吾国之大患,由国家视其民为奴隶,积之既久,民之自视亦如奴隶焉。
彼奴隶者苟抗颜而干预主人之家室,主人必艴然【艴(fu)然:生气的样子】而摈斥则谴责耳。
故奴隶于主人之事,罕有关心者,非其性然也,势使之然也。
”在梁启超看来,中国民主进程之大患在于A.专制政治导致人民缺乏公民权利B.国民素质状况阻碍民主化发展C.社会矛盾激化致使统治危机加剧D.公民意识与民族意识严重缺乏27.1911年6月,梁启超在报纸上发表文章指出:“在今日之中国而持革命论,诚不能自完其说;在今日之中国而持非革命论,其不能自完其说抑更甚。
政府日日以制造革命党为事,日日供给革命党发荣滋长之资料,则导全国人心理尽趋于革命亦宜。
”材料反映了A.清政府倒行逆施客观推动了革命形势发展B.梁启超反对暴力革命,主张和平宪政转型C.梁启超主张由改良转向革命D.民主共和思想广泛传播推动革命进入高潮28.史学家陈旭麓指出:革命过后的社会民众心理是“呼唤一个能迅速结束动乱、稳定政局的任务……”他还说:“袁世凯是选举出来的,于法有据。
”陈旭麓的论证旨在说明A.袁世凯上台符合法律程序B.辛亥革命引发社会动荡C.袁世凯上台具有必然性D.改良更有利于社会稳定29.吴佩孚等在致大总统徐世昌的电报中称:“有北京学生因开会宣讲被捕者数百余人,泸商全体罢市……仰恳大总统以国本为念,以民心为怀,一面释放学生,以培养士气。
一面促开国民大会,宣示外交得失缘由,共维时艰,俾全国一致力争,收回青岛,一平民气,而救危亡。
”下列对材料解析正确的是A.当时中国已经完成了第二次工业革命B.发电报时中国面临主权受损的新危机C.当时学生强力抗争,北京是运动中心D.吴佩孚等人积极呼吁促成初步胜利30.毛泽东在一篇文章中说:“打倒帝国主义,打倒军阀,打倒贪官污吏,打倒土豪劣绅,这几个政治口号,真是不翼而飞,飞到无数乡村的青年壮年老头子小孩子妇女们的面前,已知钻进他们的脑子里去,又从他们的脑子里流到了他们的嘴上。
”该文描述的这一现象表明A.中国革命目标与民众需求相一致B.国民党在农村调整扶助农工政策C.中共工农武装割据理论日益成熟D.中国革命性质开始发生根本转变31.黄仁宇在总结国共两党十年对峙的历史博弈时说:“毛泽东的成功归功于他打破了城乡之间沟通障碍……当毛泽东的话语延伸到小村落时,被孤立在城市的国民党绝对没有机会赢得中国。