化工原理计算题例题
- 格式:doc
- 大小:451.00 KB
- 文档页数:18
1、 如图所示,从高位槽向塔内进料,高位槽中液位恒定,高位槽和塔内的压力均为大气压。
送液管为φ45×2.5mm 的钢管,要求送液量为4.2m 3/h 。
设料液在管内的压头损失为1.4m(不包括出口能量损失),试问高位槽的液位要高出进料口多少米?其中:z1=h ,u1=0 p1=0(表压) He=oZ2=0 p2=0(表压)hf=1.4m将以上各值代入上式中,可确定高位槽液位的高度:计算结果表明,动能项数值很小,流体位能主要用于克服管路阻力。
2、 如附图所示。
用泵将敞口水池中的水输送至吸收塔塔顶,并经喷嘴喷出,水流量为35 m3/h 。
泵的入口管为φ108×4mm 无缝钢管,出口管为φ76×3 mm 无缝钢管。
池中水深为1.5m ,池底至塔顶喷嘴入口处的垂直距离为20m 。
水流经所有管路的能量损失为42 J/kg (不包括喷嘴),喷嘴入口处的表压为34 kPa 。
设泵的效率为60%,试求泵所需的功率.(水密度以1000kg/m3计)解: 取水池大液面为1-1’面,取喷嘴入口内侧为2-2’截面,取池底水平面为基准水平面,在1面与2面之间列柏努利方程由题 Z1=1.5 m; P1=0 (表压); U1=0z2=20; u2=qv/(0.785d22)=35/(3600*0.785*0.072)=2.53 m/s;P2= 34 Kpa (表压); Wf=42 J/kg3、 例:在操作条件25oC 、101.3kPa 下,用CO2含量为0.0001(摩尔分数)的水溶液与含CO2 10%(体积分数)的CO2 -空气混合气在一容器内充分接触。
(1)判断CO2的传质方向中,且用气相摩尔分数表示过程的推动力; (2)设压力增加到506.5kPa ,则CO2的传质方向如何?并用液相分数表示过程的推动力?(3)若温度增加到60oC ,压力仍为506.5kPa ,则CO2的传质方向如何?解:(1)查表5-2得:25oC 、101.3kPa 下CO2 -水系统的E =166MPa ,则因y=0.10比较得y < y*所以CO2的传质方向是由液相向气相传递,为解吸过程。
化工原理试卷(计算题)班级姓名分数一、计算题( 共43题320分)1. 5 分(2823)如图,用泵将15 ℃的水从水池送至一敞口储槽中。
储槽水面与水池液面相距10 m,水面高度均保持不变。
输水管内径为68 mm,管道阻力造成的总能量损失为20 J·kg-1,试问泵需给每千克的水提供多少能量?2. 10 分(3758)一单程列管换热器, 平均传热面积A为200 m2。
310 ℃的某气体流过壳程,被加热到445 ℃, 另一种580 ℃的气体作为加热介质流过管程, 冷热气体呈逆流流动。
冷热气体质量流量分别为8000 kg·h-1和5000 kg·h-1, 平均比定压热容均为1.05 kJ·kg-1·K-1。
如果换热器的热损失按壳程实际获得热量的10%计算, 试求该换热器的总传热系数。
3. 5 分(2466)已知20℃水在φ109 mm×4.5 mm的导管中作连续定态流动(如图所示),流速为3.0 m·s-1。
液面上方的压强p=100 kPa。
液面至导管中心的距离为4 m,求A点的表压强为多少千帕?(20℃水的密度ρ=1000 kg·m-3)。
4. 10 分(3711)在一列管式换热器中进行冷、热流体的热交换, 并采用逆流操作。
热流体的进、出口温度分别为120 ℃和70 ℃,冷流体的进、出口温度分别为20 ℃和60 ℃。
该换热器使用一段时间后,由于污垢热阻的影响,热流体的出口温度上升至80 ℃。
设冷、热流体的流量、进出口温度及物性均保持不变,试求:污垢层热阻占原总热阻的百分比?5. 10 分(4951)某连续精馏塔在常压下分离甲醇水溶液。
原料以泡点温度进塔,已知操作线方程如下:精馏段:y n +1=0.630 x n+0.361提馏段:y m +1=1.805 x m-0.00966试求该塔的回流比及进料液、馏出液与残液的组成。
1.设计一台常压操作的填料塔,用清水吸收焦炉气中的氨,操作条件下的平衡关系为y=1.2x,气体流率为4480m3/㎡·h,入塔气体浓度为10g/N m3,要求回收率为95%,吸收剂用量为最小用量的1.5倍,气相体积总传质系数为Kya =200kmol/ m3h。
试求:①水用量(m3/㎡·h)(取ρ水1000kg/ m3);②出塔溶液中氨的浓度(mol%);③填料层高度(m);解:①y1=(10×10-3/17)/(1/22.4)=0.0132y2=Y1(1-η)=0.0132(1-0.95)=6.59×10-4(L/G)min=(y1-y2)/(y1/m)=η·m=0.95×1.2=1.14L/G=1.5(L/G)min=1.5×1.14=1.71 G=4480/22.4=200Kmol/㎡·hL=1.71×200=342 Kmol/㎡·h=342×18/1000=6.16m3/㎡·h②X1=(y1-y2)/(L/G)=(0.0132-6.59×10-4)/1.71=0.00733=0.733%③H OG=G/Kya=200/200=1m S=m/(L/G)=1.2/1.71=0.702N OG=1/(1-S)Ln[(1-S)y1/y2+S]=6.37 h=6.73m2.用离心泵将密闭储槽中20℃的水通过内径为100mm的管道送往敞口高位槽。
两储槽液面高度差为10m,密闭槽液面上有一真空表P1读数为600mmHg (真),泵进口处真空表P2读数为294mmHg(真)。
出口管路上装有一孔板流量计,其孔口直径d0=70mm,流量系数α=0.7,U形水银压差计读数R=170mm。
已知管路总能量损失为44J/Kg,试求:(1)出口管路中水的流速。
(2)泵出口处压力表P3(与图对应)的指示值为多少?(已知P2与P3相距0.1m)解:(1)因为V=αA(2ρΔP/ρ2)0.5=αA(2ΔP/ρ)0.5ΔP=Rg(ρo-ρ)=0.17×9.81×(13600-1000)=2.1×104V=0.7(Л/4)×(0.07)2(2.1×104)×2/1000)0.5=0.7×0.785×(0.07)2(4.2×10)0.5=0.0174m3/s 所以U=V/(0.785d2)=0.0174/(0.785×0.12)=2.22m/s (2)选低位水池的水平为基准面,取1-1、2-2两截面建立柏努力方程:Z1+(P1/ρg)+(U12/2g)+H=Z2+(P2/ρg)+(u22/2g)+∑hf′u1=u2=0 Z1=0 P2/ρg≈0所以H=Z2+∑hf′-(P1/ρg)=10+(44/9.81)+0.6×13.6=22.7mmH2O再选泵入口管所在面为基面,取3-3、4-4两截面建立柏努力方程:Z3+(P3/ρg)+(U32/2g)+H=Z4+(P4/ρg)+(U42/2g)=H-h0-(u42-U32)/2g+H真(u42-U32)/2g≈0P4=ρg(H-ho)+H真)=1000×9.8(22.7-0.1-0.294×13.6)=1.8×105Pa =1.8大气压(表)P3=1.8kg/cm2(表)泵出口处的指示值为1.8kg/cm23.有一套管换热器,由内管为Ф54×2mm,套管为Ф116×4mm的钢管组成。
三 计算题1 (15分)在如图所示的输水系统中,已知 管路总长度(包括所有当量长度,下同)为 100m ,其中压力表之后的管路长度为80m , 管路摩擦系数为,管路内径为, 水的密度为1000Kg/m 3,泵的效率为, 输水量为15m 3/h 。
求:(1)整个管路的阻力损失,J/Kg ; (2)泵轴功率,Kw ; (3)压力表的读数,Pa 。
解:(1)整个管路的阻力损失,J/kg ; 由题意知,s m AV u s/12.2)405.03600(152=⨯⨯==π则kg J u d l h f /1.135212.205.010003.0222=⨯⨯=⋅⋅=∑λ (2)泵轴功率,kw ;在贮槽液面0-0´与高位槽液面1-1´间列柏努利方程,以贮槽液面为基准水平面,有:∑-+++=+++10,121020022f e h p u gH W p u gH ρρ 其中, ∑=kg J h f /1.135, u 0= u 1=0, p 1= p 0=0(表压), H 0=0, H=20mv1.0 可编辑可修改代入方程得: kg J h gH W f e /3.3311.1352081.9=+⨯=+=∑又 s kg V W s s /17.41000360015=⨯==ρ 故 w W W N e s e 5.1381=⨯=, η=80%, kw w N N e 727.11727===η2 (15分)如图所示,用泵将水从贮槽送至敞口高位槽,两槽液面均恒定不变,输送管路尺寸为83×,泵的进出口管道上分别安装有真空表和压力表,真空表安装位置离贮槽的水面高度H 1为,压力表安装位置离贮槽的水面高度H 2为5m 。
当输水量为36m 3/h 时,进水管道全部阻力损失为kg ,出水管道全部阻力损失为kg ,压力表读数为×105Pa ,泵的效率为70%,水的密度为1000kg/m 3,试求: (1)两槽液面的高度差H 为多少 (2)泵所需的实际功率为多少kW (3)真空表的读数为多少kgf/cm 2解:(1)两槽液面的高度差H在压力表所在截面2-2´与高位槽液面3-3´间列柏努利方程,以贮槽液面为基准水平面,得:∑-+++=++32,323222222f h p u gH p u gH ρρ 其中, ∑=-kg J h f /9.432,, u 3=0, p 3=0,p 2=×105Pa, H 2=5m, u 2=Vs/A=s代入上式得: m H 74.2981.99.481.9100010452.281.92205.2552=-⨯⨯+⨯+=(2)泵所需的实际功率在贮槽液面0-0´与高位槽液面3-3´间列柏努利方程,以贮槽液面为基准水平面,有:∑-+++=+++30,323020022f e h p u gH W p u gH ρρ 其中, ∑=-kg J h f /9.864.630,, u 2= u 3=0, p 2= p 3=0, H 0=0, H=代入方程求得: W e =kg , s kg V W s s /101000360036=⨯==ρ 故 w W W N e s e 4.2986=⨯=, η=70%, kw N N e 27.4==η(3)真空表的读数在贮槽液面0-0´与真空表截面1-1´间列柏努利方程,有:∑-+++=+++10,1211020022f h p u gH p u gH ρρ 其中, ∑=-kg J h f /96.110,, H 0=0, u 0=0, p 0=0, H 1=, u 1=s代入上式得, 2421/525.01015.5)96.12205.28.481.9(1000cm kgf Pap -=⨯-=++⨯-= 3 用离心泵把20℃的水从储槽送至水洗塔顶部,槽内水位维持恒定。
·流体流动部分1.某储油罐中盛有密度为960 kg/m 3的重油(如附图所示),油面最高时离罐底9.5 m ,油面上方与大气相通。
在罐侧壁的下部有一直径为760 mm 的孔,其中心距罐底1000 mm ,孔盖用14 mm 的钢制螺钉紧固。
若螺钉材料的工作压力为39.5×106 Pa ,问至少需要几个螺钉(大气压力为101.3×103 Pa )?解:由流体静力学方程,距罐底1000 mm 处的流体压力为[](绝压)Pa 10813.1Pa )0.15.9(81.9960103.10133⨯=-⨯⨯+⨯=+=gh p p ρ 作用在孔盖上的总力为N 10627.3N 76.04π103.10110813.1)(4233a ⨯⨯⨯⨯⨯-==)-=(A p p F每个螺钉所受力为N 10093.6N 014.04π105.39321⨯=÷⨯⨯=F因此)(个)695.5N 10093.610627.3341≈=⨯⨯==F F n2.如本题附图所示,流化床反应器上装有两个U 管压差计。
读数分别为R 1=500 mm ,R 2=80 mm ,指示液为水银。
为防止水银蒸气向空间扩散,于右侧的U 管与大气连通的玻璃管内灌入一段水,其高度R 3=100 mm 。
试求A 、B 两点的表压力。
解:(1)A 点的压力()(表)Pa 101.165Pa 08.081.9136001.081.9100042汞3水A ⨯=⨯⨯+⨯⨯=+=gR gR p ρρ(2)B 点的压力 ()(表)Pa 107.836Pa 5.081.91360010165.1441汞A B ⨯=⨯⨯+⨯=+=gR p p ρ习题2附图习题1附图3、如本题附图所示,水在管道内流动。
为测量流体压力,在管道某截面处连接U 管压差计,指示液为水银,读数R=100毫米,h=800mm 。
为防止水银扩散至空气中,在水银液面上方充入少量水,其高度可忽略不计。
1. (20分)如图所示,油在光滑管中以u=2m/s 的速度流动,油的密度ρ=920kg/m3,管长L=3m ,直径d=50mm ,水银压差计测得R=15.0mm 。
试求: (1)油在管中的流动形态; (2)油的粘度;(3)若保持相同的平均流速反向流动,压差计读数有何变化?层流:λ=64/R e ;湍流:λ=0.3164/R e 0.25。
解:(1)列1截面和2截面间柏努利方程,取2截面为基准面∑+++=++f h u p gZ u p gZ 2222222111ρρ()g Z Z p p h f 2121-+-=∑ρp D = p Dp C = p 2 +(Z 2 – Z A )ρg + R ρ0gp D = p 1 + (Z 1 – Z 2)ρg +(Z 2 – Z B )ρg + R ρg p 1 – p 2 = R (ρ0 -ρ)g -(Z 1 – Z 2)ρg R (ρ0 -ρ)g = p 1 – p 2 +(Z 1 – Z 2)ρg03.281.992092013600015.00=⨯-⨯=-=∑g Rh f ρρρ(J/kg ) 设管中为湍流:25.0Re 3164.0=λ03.22Re 3164.02225.02=⋅⋅=⋅⋅=∑u d L u d L h f λ7034.182205.0303.23164.0Re225.0=⨯⨯= Re = 1.224×105 > 2000 (湍流)∴ 油在管中为湍流流动 (8分) (2) 510224.1Re ⨯==μρdu()7516.010516.710224.1920205.045=⋅⨯=⨯⨯⨯=-s Pa μ(cP ) (4分) (3)列1截面和2截面间柏努利方程,取2截面为基准面∑'+++=++f h u p gZ u p gZ 2221112222ρρ()221212u d L g Z Z p p h f⋅⋅=-+-='∑λρ∴ ∑h f ′= ∑h f∵ |Z 2 – Z 1| = |Z 1 – Z 2| ∴ |p 2 – p 1| = |p 1 – p 2|即压差计读数R 不变,但左边低右边高。
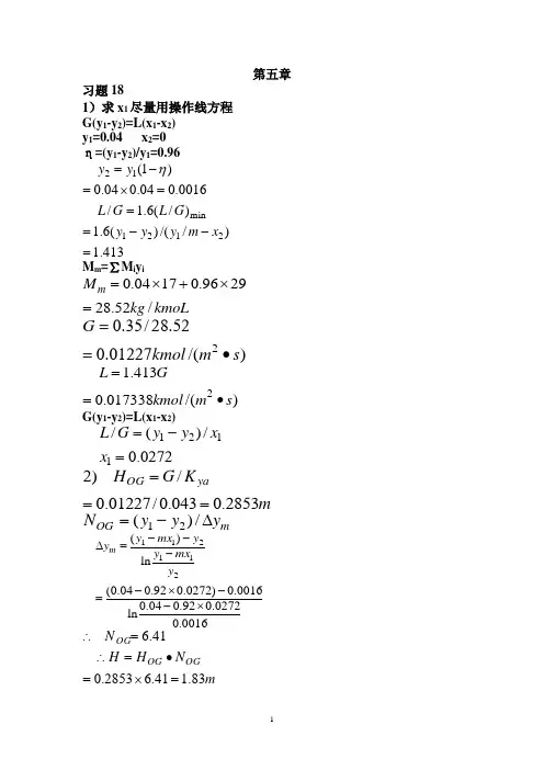
第五章习题181)求x 1尽量用操作线方程 G(y 1-y 2)=L(x 1-x 2) y 1=0.04 x 2=0 η=(y 1-y 2)/y 1=0.96413.1)//()(6.1)/(6.1/0016.004.004.0)1(2121min 12=--===⨯=-=x m y y y G L G L y y ηM m =∑M i y ikmoLkg M m /52.282996.01704.0=⨯+⨯= )/(01227.052.28/35.02s m kmol G ∙==)/(017338.0413.12s m kmol GL ∙==G(y 1-y 2)=L(x 1-x 2)0272.0/)(/1121=-=x x y y G Lm K G H yaOG 2853.0043.0/01227.0/)2===m OG y y y N ∆-=/)(210016.00272.092.004.0ln0016.0)0272.092.004.0(ln )(211211⨯--⨯-=---=∆y mx y y mx y y mmN H H N OG OG OG 83.141.62853.041.6=⨯=∙=∴=∴注意:● 若D=0.5m,G ’=10Nm 3/h G ’=10/(22.4*3600) kmol/s G=G ’/(πD 2/4) kmol/m 2s● 若D=0.5m,G ’=10kg/h, y 1=0.015 M m =∑M i y i=M 2*(1-0.015)+ M 1*0.015G=G ’/[3600M m (πD 2/4)] kmol/m 2s ● 若D=0.5m,20℃,1atm, G ’=480m 3/hG ’=480*273/(293*22.4) G=G ’/[(πD 2/4) *3600] kmol/m 2sy=1g/m 3=(1/M)/(1000/22.4) (标准态)22)以清水在填料塔内逆流吸收空气~二氧化硫混合气中的,总压为1 ,温度为20℃,填料层高为4m 。
《化工原理》试题参考答案-计算题 《化工原理》计算题1二、 某离心泵在作性能试验时以恒定转速打水,当流量为75m 3/h 时,泵吸入口真空表读数为0.030MPa ,泵压出口处压强计读数为0.30MPa 。
两测压点的位差不计,泵进出口的管径相同,测得此时泵的轴功率为10.6kW, 试求:(1)该泵的扬程He ;(10分) (2)该泵的效率。
(6分)解:(1)选取泵吸入口处的截面为截面1-1,泵压出口处截面为截面2-2; 列机械能衡算式:2212222211Z H Z gu gP e gu gP ++=+++ρρ根据题意,已知:P 1= -0.03MPa=-3×104Pa (表), P 2=0.30MPa=-3×105Pa (表),u 1=u 2,Z 1=Z 2,代入上式:122212212H Z Z gu u gP P e -++=--ρ980733000000807.91000)103(10345=++=⨯⨯--⨯ =33.65m(2)Pe=ρgHe.qv=1000×9.807×33.65×75/3600 =6875W=6.875kW η=Pe/P ×100%=(6.875/10.6)×100%=64.9% 答:该泵的扬程为33.65m ;泵的效率为64.9%。
二、 某压滤机作恒压过滤,过滤10min 得滤液5L ,再过滤10min 又得滤液3L ,试问:如果继续过滤10min ,又可得滤液多少L ?(13分) 解:对恒压过滤,有:V 2+2VeV =KA 2τ据题意,知:τ1=10min时, V1=5L;τ2=20min时, V2=8L;代入上式:52+10Ve=10KA2 (1)82+16Ve=20KA2 (2)联立上式,解得:Ve=3.5,KA2=6即:V2+7V=6ττ3=10+10+10=30min时,代人,得V3=10.37LΔV=10.37-5-3=2.37L答:再过滤10min.后又得滤液2.37L。
1.含量为0.02(摩尔分数)的稀氨水在20℃时氨平衡的分压为1.66kPa ,氨水上方的总压强为常压,在此含量下相平衡关系服从亨利定律,氨水的密度可近似取1000kg/m 3,试求算亨利系数E 、H 和m 的数值各是多少?解: (1)由 A A Ex p =*可得 k P a x p E AA 3.8302.0666.1*===(2) 取1kmol 氨水为基准,其中含0.98kmol 水与0.02kmol 氨,总摩尔体积为 k m o l m MMV NHOH /02.098.0332ρ+=氨水的总摩尔浓度为3/6.551702.01898.0100002.098.0132m kmol MMV c NHOH =⨯+⨯=+==ρ氨的摩尔浓度 A A cx c = 由 Hc pA A=*,可得 )./(667.03.836.55**m kN kmol Ec pcx pc H AA AA =====(3)由 822.03.1013.83===PE m =2.101.33kPa 、20℃时,氧气在水中的溶解度可用P o2=4.06×106x,表示,式中P O2为氧在气相中的分压,kPa ,x 为氧在液相中的摩尔分数。
试求在此温度及压强下与空气充分接触后的水中,每立方米溶有多少克氧。
解:氧在空气中的摩尔分率为0.21,故6661024.51006.427.211006.427.2121.03.101-⨯=⨯=⨯==⨯==p x kPaPy p在本题浓度范围内亨利定律适用 由p EMHp c EMH ssρρ==⇒=*查附录表1可知20℃时氧在水中的亨利系数E=4.06×106kPa ,因x 值甚小,所以溶液密度可按纯水计算,即取ρ=1000kg/m 3,所以单位体积溶液中的溶质的摩尔浓度为346*/1091.227.21181006.41000m kmol p EMc s-⨯=⨯⨯⨯==ρ则每立方米溶解氧气质量为32*/31.932m gO c =∙3.一直径为25mm 的萘球悬挂于静止空气中,进行分子扩散。
精馏计算题5. 在连续精馏塔中分离二硫化碳(A )和四氯化碳(B )混合液,原料液流量为10000kg/h 、组成为0.3(质量分数,下同)。
若要求釜残液组成不大于0.05,二硫化碳回收率为88%,试求馏出液流量和组成,分别以摩尔流量和摩尔分率表示。
6.在连续精馏塔中分离两组分混合液,已知进料液量为100kmol/h 、组成为0.45(摩尔分数,下同)。
饱和液体进料;操作回流比为2.6,馏出液组成为0.96,釜残液组成为0.02,试求:⑴易挥发组分的回收率; (2)精馏段操作线方程; (3)提馏段操作线方程;7.在连续精馏塔中分离两组理想溶液,原料液流量为100kmol/h ,泡点进料。
精馏段操作线方程和提馏段操作方程分别为263.0723.0+=x y 和 018.025.1-=x y试求精馏段和提馏段上升蒸气量。
9. 在常压连续精馏塔中分离含苯0.4(摩尔分数,下同)的苯——甲苯混合液。
饱和液体进料,馏出液组成为0.9,釜残液组成为0.06。
塔顶采用混凝器,泡点回流,操作回流比为最小回流比的1.5倍。
在操作条件下,物系的平均相对挥发度为2.47。
试求理论板数和进料位置。
10. 在连续的精馏塔中,分离两组理想溶液。
已知原料组成为0.3(摩尔分数,下同),泡点进料,馏出液组成为0.9,釜残液组成为0.05,操作回流比为2.5,试写出精馏段操作线方程和提馏段操作线方程。
11. 在连续的精馏塔中分离理想溶液,原料液组成为0.35(摩尔分数,下同),馏出液组成为0.95,回流比取为最小回流比的1.3倍,物系的平均相对挥发度为2.0,试求以下两种进料情况下的操作回流比。
(1)饱和蒸汽进料; (2)饱和液体进料;参考答案5. D=35.7kmol/h , 97.0=D x6.(1)%59.97=D η(2)267.0722.01+=+n n x y ;(30066.0329.1//1-=+m m x y 7.h kmol V V /5.189/==10. 257.0714.01+=+n n x y0343.0685.1//1-=+m m x y 11.(1)R=5.65 (2)R=3.29 吸收★习题1常压逆流操作的吸收塔中,用清水吸收混合气中溶质组分A 。
三 计算题1 (15分)在如图所示的输水系统中,已知管路总长度(包括所有当量长度,下同)为 100m ,其中压力表之后的管路长度为80m , 管路摩擦系数为0.03,管路径为0.05m , 水的密度为1000Kg/m 3,泵的效率为0.85, 输水量为15m 3/h 。
求:(1)整个管路的阻力损失,J/Kg ; (2)泵轴功率,Kw ; (3)压力表的读数,Pa 。
解:(1)整个管路的阻力损失,J/kg ; 由题意知,s m A Vu s /12.2)405.03600(152=⨯⨯==π 则kg J u d l h f /1.135212.205.010003.0222=⨯⨯=⋅⋅=∑λ (2)泵轴功率,kw ;在贮槽液面0-0´与高位槽液面1-1´间列柏努利方程,以贮槽液面为基准水平面,有:∑-+++=+++10,121020022f e h p u gH W p u gH ρρ 其中, ∑=kg J h f /1.135, u 0= u 1=0, p 1= p 0=0(表压), H 0=0, H=20m 代入方程得: kg J h gH W f e /3.3311.1352081.9=+⨯=+=∑又 s kg V W s s /17.41000360015=⨯==ρ 故 w W W N e s e 5.1381=⨯=, η=80%, kw w N N e 727.11727===η2 (15分)如图所示,用泵将水从贮槽送至敞口高位槽,两槽液面均恒定不变,输送管路尺寸为φ83×3.5mm ,泵的进出口管道上分别安装有真空表和压力表,真空表安装位置离贮槽的水面高度H 1为4.8m ,压力表安装位置离贮槽的水面高度H 2为5m 。
当输水量为36m 3/h 时,进水管道全部阻力损失为1.96J/kg ,出水管道全部阻力损失为4.9J/kg ,压力表读数为2.452×105Pa ,泵的效率为70%,水的密度ρ为1000kg/m 3,试求: (1)两槽液面的高度差H 为多少? (2)泵所需的实际功率为多少kW ? (3)真空表的读数为多少kgf/cm 2?解:(1)两槽液面的高度差H在压力表所在截面2-2´与高位槽液面3-3´间列柏努利方程,以贮槽液面为基准水平面,得:∑-+++=++32,323222222f h p u gH p u gH ρρ 其中, ∑=-kg J h f /9.432,, u 3=0, p 3=0,p 2=2.452×105Pa, H 2=5m, u 2=Vs/A=2.205m/s代入上式得: m H 74.2981.99.481.9100010452.281.92205.2552=-⨯⨯+⨯+= (2)泵所需的实际功率在贮槽液面0-0´与高位槽液面3-3´间列柏努利方程,以贮槽液面为基准水平面,有:∑-+++=+++30,323020022f e h p u gH W p u gH ρρ 其中, ∑=-kg J h f /9.864.630,, u 2= u 3=0, p 2= p 3=0, H 0=0, H=29.4m代入方程求得: W e =298.64J/kg , s kg V W s s /101000360036=⨯==ρ 故 w W W N e s e 4.2986=⨯=, η=70%, kw N N e 27.4==η(3)真空表的读数在贮槽液面0-0´与真空表截面1-1´间列柏努利方程,有:∑-+++=+++10,1211020022f h p u gH p u gH ρρ 其中,∑=-kg J hf /96.110,, H 0=0, u 0=0, p 0=0, H 1=4.8m,u 1=2.205m/s代入上式得, 2421/525.01015.5)96.12205.28.481.9(1000cm kgf Pap -=⨯-=++⨯-= 3 用离心泵把20℃的水从储槽送至水洗塔顶部,槽水位维持恒定。
化工原理计算题计算题一.输水系统将敞开容器中的水作为吸收剂输送至吸收塔顶部。
储罐水面至塔顶喷嘴的垂直距离为38m,塔内表面压力为4mh2o柱φ,100*5钢管输送,管道内孔板流量计两侧连接的U形管差压表读数为r=158mmhg。
已知:孔径d0=0.045m,孔板流量系数C0=0.7,sh2o=1,HF=3mh2o柱,泵效率η=0.75,计算泵所需的轴功率PA。
2.用离心泵将水池中的水送到高位槽,高位槽和水池均为敞口容器,高位槽水面高出池面50m,采用φ100*5的管道输送,泵的送水量为34m3/h,输送过程中管路磨擦阻力损失为2.4m,若泵的效率为60%,计算泵所需的实际功率pa。
3.一输水系统,用泵从水池送水到高位槽,水池和高位槽均为敞口容器,水池到泵入口处的垂直距离为4.8m,水池到泵出口处的垂直距离为5m,要求qv=36m3/h,管道为φ80*2的钢管,已知泵前的进水管道的阻力压头损失为hf1=0.2m水柱,出水管道的阻力压头损失为hf2=0.5m水柱,泵出口处压强计的读数为2.5at,sh2o=1。
试求:①水池到高位槽的垂直距离h。
②泵所需的实际功率pa(η=0.7)。
4.两种液体在套管式换热器中进行逆流换热,冷热流体的传热系数α均为600W/m2k,其中热流体从150℃降至70℃,其相对密度S1=1,体积流量qv1=0.001m/s,比热CP1=3*10J/kg k,冷流体从30℃上升到80℃;换热器采用壁厚5mm的钢管。
管壁很薄,可以视为导热系数λ=50w/m.k的平面壁。
找到所需的传热面积。
1三032.53h214.8m5m5.在逆流换热器中,使用初始温度为30℃的水将1.25kg/s的液体(CP=1.7kj/(kg*k),密度为850kg/m3)从80℃冷却到40℃。
换热器管直径为φ25*2.5mm,水进入管内。
水侧和液侧的传热系数分别为0.95和1.50KW/(M2*k),污垢热阻忽略不计。
离心泵的计算1计算题j01b10029如图所示, 水通过倾斜变径管段(A-B), D A=100mm,D B =240mm,水流量为2m3/min,在截面A与B处接一U形水银压差计,其读数R=20mm,A、B两点间的垂直距离为h=0.3m试求:(1) 试求A、B两点的压差等于多少Pa?(2)A、B管段阻力损失为多少mmHg?(3)若管路水平放置,而流量不变,U形水银压差计读数及A、B两点压差有何变化?计算题j01b10029 (题分:20)(1) u A=(2/60)/[(π/4)×(0.10)2]=4.244 m/s,u B=4.244×(1/2.4)2=0.7368 m/sp A/ρ+u A2/2= gh+p B/ρ+u B2/2+∑h f∵p A/ρ-(gh+p B/ρ)=(ρi-ρ)gR/ρ∴p A-p B=(ρi-ρ)gR+ρgh=(13.6-1)×103×9.81×0.020+103×9.81×0.3=5415 Pa(2) ∑h f=(p A/ρ-gh-p B/ρ)+u A2/2-u B2/2=(ρi-ρ)gR/ρ+u A2/2-u B2/2=(13.6-1)×9.81×0.020+(4.244)2/2-(0.7368)2/2=11.2 J/kg即∆p f=ρ∑h f=103×11.2=11.2×103 Pa换成mmHg: ∑H f=∆p f/(ρHg⋅g)= 11.2×103/(13.6×103×9.81)=0.0839 mHg=83.9 mmHg(3) p A/ρ+u A2/2=p B/ρ+u B2/2+∑h f∵u A、u B、∑h f均不变,故(ρi-ρ)gR’/ρ之值不变即R’不变,R’=R=20 mm水平放置时p A-p B = (13.6-1)⨯103⨯9.81⨯0.020 =2472Pa比倾斜放置时的压差值小。
三 计算题1 (15分)在如图所示的输水系统中,已知 管路总长度(包括所有当量长度,下同)为 100m ,其中压力表之后的管路长度为80m ,管路摩擦系数为0.03,管路内径为0.05m , 水的密度为1000Kg/m 3,泵的效率为0.85, 输水量为15m 3/h 。
求:(1)整个管路的阻力损失,J/Kg ; (2)泵轴功率,Kw ; (3)压力表的读数,Pa 。
解:(1)整个管路的阻力损失,J/kg ; 由题意知,s m A V u s /12.2)405.03600(152=⨯⨯==π 则kg J u d l h f /1.135212.205.010003.0222=⨯⨯=⋅⋅=∑λ (2)泵轴功率,kw ;在贮槽液面0-0´与高位槽液面1-1´间列柏努利方程,以贮槽液面为基准水平面,有:∑-+++=+++10,121020022f e h p u gH W p u gH ρρ 其中, ∑=kg J h f /1.135, u 0= u 1=0, p 1= p 0=0(表压), H 0=0, H=20m 代入方程得: kg J h gH W f e /3.3311.1352081.9=+⨯=+=∑又 s kg V W s s /17.41000360015=⨯==ρ 故 w W W N e s e 5.1381=⨯=, η=80%, kw w N N e 727.11727===η2 (15分)如图所示,用泵将水从贮槽送至敞口高位槽,两槽液面均恒定不变,输送管路尺寸为φ83×3.5mm ,泵的进出口管道上分别安装有真空表和压力表,真空表安装位置离贮槽的水面高度H 1为4.8m ,压力表安装位置离贮槽的水面高度H 2为5m 。
当输水量为36m 3/h 时,进水管道全部阻力损失为 1.96J/kg ,出水管道全部阻力损失为 4.9J/kg ,压力表读数为 2.452×H=20m H 1=2m105Pa ,泵的效率为70%,水的密度ρ为1000kg/m 3,试求: (1)两槽液面的高度差H 为多少? (2)泵所需的实际功率为多少kW ? (3)真空表的读数为多少kgf/cm 2?解:(1)两槽液面的高度差H在压力表所在截面2-2´与高位槽液面3-3´间列柏努利方程,以贮槽液面为基准水平面,得:∑-+++=++32,323222222f h p u gH p u gH ρρ 其中, ∑=-kg J h f /9.432,, u 3=0, p 3=0,p 2=2.452×105Pa, H 2=5m, u 2=Vs/A=2.205m/s代入上式得: m H 74.2981.99.481.9100010452.281.92205.2552=-⨯⨯+⨯+= (2)泵所需的实际功率在贮槽液面0-0´与高位槽液面3-3´间列柏努利方程,以贮槽液面为基准水平面,有:∑-+++=+++30,323020022f e h p u gH W p u gH ρρ 其中, ∑=-kg J h f /9.864.630,, u 2= u 3=0, p 2= p 3=0, H 0=0, H=29.4m代入方程求得: W e =298.64J/kg , s kg V W s s /101000360036=⨯==ρ 故 w W W N e s e 4.2986=⨯=, η=70%, kw N N e 27.4==η(3)真空表的读数在贮槽液面0-0´与真空表截面1-1´间列柏努利方程,有:∑-+++=+++10,1211020022f h p u gH p u gH ρρ 其中,∑=-kg J hf /96.110,, H 0=0, u 0=0, p 0=0, H 1=4.8m,u1=2.205m/s代入上式得,24 21/525.01015.5)96.12205.28.481.9( 1000cm kgf Pap -=⨯-=++⨯-=3 用离心泵把20℃的水从储槽送至水洗塔顶部,槽内水位维持恒定。
第一章流体流动例1.高位槽内的水面高于地面8m,水从φ108×4mm的管道中流出,管路出口高于地面2m。
在本题特定条件下,水流经系统的能量损失可按∑hf = 6.5 u2计算,其中u为水在管道的流速。
试计算:⑴ A—A'截面处水的流速;⑵水的流量,以m3/h计。
解:处列柏Z1g(Z1q例2.49J/kg,103Pa 时,B解:(1? ?? ?0+u? ???由B? ?? ?? ???∴W=(P A-P B)/ρ- Z B g+49=98.1+49=147.1J/kg? ?? ?∴q m=q vρ=36/3600×1100=11kg/s? ?? ?Pe= q m×W=147.1×11=1618.1w? ?? ?泵的抽功率N= Ne /76%=2311.57W=2.31kw(2)由第一个方程得(P A-PB)/ρ=Z B g+9.81得??P B=P A-ρ(Z B g+9.81)=245.2×103-1100×(7×9.81+98.1)=6.2×104Pa例3.用离心泵把20℃的水从贮槽送至水洗塔顶部,槽内水位维持恒定,各部分相对位置如本题附图所示。
管路的直径均为Ф76×2.5mm ,在操作条件下,泵入口处真空表的读数为24.66×103Pa,水流经吸入管与排处管(不包括喷头)的能量损失可分别按∑hf,1=2u2,∑h f,2=10u 2计算,由于管径不变,故式中u 为吸入或排出管的流速m/s 。
排水管与喷头连接处的压强为98.07×103Pa (表压)。
试求泵的有效功率。
解:总能量损失∑hf=∑h f,1+∑h f ,2在截面与真空表处取截面作方程: z 0g+u 02/2+P 0/ρ=z 1g+u 2/2+P 1/ρ+∑h f ,1(∴q ∴ 例4. f ,BC =1.18u 2P 1∴P 1 P B +ρg (x+R 1)=P c +ρg (h BC +x )+ρ水银R 1gP B +1100×9.81×(0.045+x )=P c +1100×9.81×(5+x )+13.6×103×9.81×0.045 P B -P C =5.95×104Pa在B ,C 处取截面列柏努力方程0+u B 2/2+P B /ρ=Zg+u c 2/2+P C /ρ+∑hf ,BC∵管径不变,∴u b =u cP B -P C =ρ(Zg+∑hf ,BC )=1100×(1.18u 2+5×9.81)=5.95×104Pau=4.27m/s压缩槽内表压P1=1.23×105Pa(2)在B,D处取截面作柏努力方程0+u2/2+P B/ρ= Zg+0+0+∑hf,BC+∑hf,CDP B=(7×9.81+1.18u2+u2-0.5u2)×1100=8.35×104PaP B-ρgh=ρ水银R2g8.35×104-1100×9.81×0.2=13.6×103×9.81×R2R2=609.7mm例5.物质。
三 计算题1 (15分)在如图所示的输水系统中,已知 管路总长度(包括所有当量长度,下同)为 100m ,其中压力表之后的管路长度为80m ,管路摩擦系数为0.03,管路内径为0.05m , 水的密度为1000Kg/m 3,泵的效率为0.85, 输水量为15m 3/h 。
求:(1)整个管路的阻力损失,J/Kg ; (2)泵轴功率,Kw ; (3)压力表的读数,Pa 。
解:(1)整个管路的阻力损失,J/kg ; 由题意知,s m A Vu s /12.2)405.03600(152=⨯⨯==π 则kg J u d l h f /1.135212.205.010003.0222=⨯⨯=⋅⋅=∑λ (2)泵轴功率,kw ;在贮槽液面0-0´与高位槽液面1-1´间列柏努利方程,以贮槽液面为基准水平面,有:∑-+++=+++10,121020022f e h p u gH W p u gH ρρ 其中, ∑=kg J h f /1.135, u 0= u 1=0, p 1= p 0=0(表压), H 0=0, H=20m 代入方程得: kg J h gH W f e /3.3311.1352081.9=+⨯=+=∑又 s kg V W s s /17.41000360015=⨯==ρ 故 w W W N e s e 5.1381=⨯=, η=80%, kw w N N e 727.11727===η2 (15分)如图所示,用泵将水从贮槽送至敞口高位槽,两槽液面均恒定不变,输送管路尺寸为φ83×3.5mm ,泵的进出口管道上分别安装有真空表和压力表,真空表安装位置离贮槽的水面高度H 1为4.8m ,压力表安装位置离贮槽的水面高度H 2为5m 。
当输水量为36m 3/h 时,进水管道全部阻力损失为 1.96J/kg ,出水管道全部阻力损失为 4.9J/kg ,压力表读数为 2.452×105Pa ,泵的效率为70%,水的密度ρ为1000kg/m 3,试求: (1)两槽液面的高度差H 为多少? (2)泵所需的实际功率为多少kW ? (3)真空表的读数为多少kgf/cm 2?解:(1)两槽液面的高度差H在压力表所在截面2-2´与高位槽液面3-3´间列柏努利方程,以贮槽液面为基准水平面,得:∑-+++=++32,323222222f h p u gH p u gH ρρ 其中, ∑=-kg J h f /9.432,, u 3=0, p 3=0,p 2=2.452×105Pa, H 2=5m, u 2=Vs/A=2.205m/s代入上式得: m H 74.2981.99.481.9100010452.281.92205.2552=-⨯⨯+⨯+= (2)泵所需的实际功率在贮槽液面0-0´与高位槽液面3-3´间列柏努利方程,以贮槽液面为基准水平面,有:∑-+++=+++30,323020022f e h p u gH W p u gH ρρ 其中, ∑=-kg J h f /9.864.630,, u 2= u 3=0, p 2= p 3=0, H 0=0, H=29.4m代入方程求得: W e =298.64J/kg , s kg V W s s /101000360036=⨯==ρ 故 w W W N e s e 4.2986=⨯=, η=70%, kw N N e 27.4==η(3)真空表的读数在贮槽液面0-0´与真空表截面1-1´间列柏努利方程,有:∑-+++=+++10,1211020022f h p u gH p u gH ρρ 其中,∑=-kg J hf /96.110,, H 0=0, u 0=0, p 0=0, H 1=4.8m,u 1=2.205m/s代入上式得, 2421/525.01015.5)96.12205.28.481.9(1000cm kgf Pap -=⨯-=++⨯-= 3 用离心泵把20℃的水从储槽送至水洗塔顶部,槽内水位维持恒定。
各部分相对位置如本题附图所示。
管路的直径均为Φ76mm×2.5mm ,在操作条件下,泵入口处真空表的读数为24.66×103Pa ;水流经吸入管与排出管(不包括喷头)的能量损失可分别按∑=21,2u h f 与 ∑=22,10u h f 计算,由于管径不变,故式中u 为吸入或排出管的流速m/s 。
排水管与喷头连接处的压强为98.07×103Pa (表压)。
试求:(1)水在管内的流速u ;(2)泵的有效功率;(3)已知泵的效率为60%,求操作条件下泵的轴功率。
4 (15分)如本题附图所示,用泵2将储槽1中密度为1200kg/m 3的溶液送到蒸发器3内,储槽内液面维持恒定,其上方压强为101.33×103Pa 。
蒸发器上部的蒸发室内操作压强为200mmHg (真空度)。
蒸发器进料口高于储槽内的液面15m ,输送管道的直径为Φ68mm ×4mm ,送料量为20m 3/h ,溶液流经全部管道的能量损失为120J/kg ,试求:(1)泵的出口管路中流体的流速;(2)泵的有效功率;(3)若泵的效率为65%,求泵的轴功率。
5(15分)一卧式列管冷凝器,钢质换热管长为6m ,直径为φ25×2mm 。
冷却水在管内流过,并从17ºC 被加热到37ºC 。
流量为1.25kg/s ,温度为72ºC 的烃饱和蒸汽在管外冷凝成同温度的液体,烃蒸汽的冷凝潜热为315KJ/Kg 。
已测得:蒸汽冷凝传热系数α0=800w/(m 2·ºC ),管内侧热阻为外侧热阻的40%,污垢热阻为管内侧热阻的70%。
计算时可忽略管壁热阻及热损失。
水的比热为 4.18KJ/(Kg ·ºC )。
试计算:(1)冷却水用量;(2)换热管的总根数。
(传热面积以外表面为基准)。
解: (1)换热器每程提供的传热面积(外表面为基准),S 1;由题意知,水以0.7m/s 的流速在管内流过,欲求S 1,需先知道每程的管子数,每程的管子数等于所需冷却水的总流量与单管内水的流量之比。
两流体交换的热量为:kw r W Q h h 39431525.1=⨯==又 )(12t t C W Q pc c -=, C kg kJ C pc ︒⋅=/18.4, 则 s kg t t C Q W pc c/713.4)1737(18.4394)(12=-=-=单管内水的流量为:s kg u d W c /2423.010007.0021.0785.04221=⨯⨯⨯==π每程所需管子数为:5.192423.0713.411===c c W W n 取每程管子数为20, 则每程所能提供的传热外表面积为:21171.4320025.0ln m d S o =⨯⨯⨯==ππ(2) 换热管的总根数;由所需的总传热面积可求取换热管的总根数。
m o o t S K Q ∆=由题给数据, Cm W K oooo ︒⋅=⨯⨯+⨯+=⨯+⨯+=2/2.476)80014.07.080014.08001(1)14.07.014.01(1αααC t t t t t m ︒=-----=∆∆∆-∆=∆25.4437721772ln )3772()1772(ln2121 则任务所需的传热外表面积为: 27.1825.444762.0394m t K Q S m o o =⨯=∆=ln o o d S π= 换热管总根数为: 4.793025.07.18=⨯⨯==ππl d S n o o 取 80=n6(15分)有一换热器,管内通90℃的热流体,膜系数1α为1100C m w ︒⋅2/,管外有某种液体沸腾,沸点为50℃,膜系数2α为5800C m w ︒⋅2/。
试求以下两种情况下的壁温:(1)管壁清洁无垢 ;(2)外侧有污垢产生,污垢热阻为0.005w C m /2︒⋅解:忽略管壁热阻,并假设壁温为w T(1)当壁很薄时,根据壁两侧的对流传热方程式可得:2111ααtT T T w w -=- 58001501100190-=-w w T T则 C T w ︒=4.56(2)同理02111R tT T T w w +-=-αα 005.058001501100190+-=-w w T T 则 C T w ︒=84由此可知,壁温总是比较接近热阻小的那一侧流体的温度。
7(15分)在一单程逆流列管换热器中用水冷却空气,两流体的进口温度分别为20℃和110℃。
在换热器使用的初期,冷却水及空气的出口温度分别为45℃和40℃,使用一年后,由于污垢热阻的影响,在冷热流体的流量和进口温度不变的情况下,冷却水出口温度降至38℃,试求:(1)空气出口温度为多少?(2)总传热系数为原来的多少倍?(3)若使冷却水加大一倍,空气流量及两流体进口温度不变,冷热流体的出口温度各为多少?(α水>>α空气)(4)冷却水流量加大后,换热器的传热速率有何变化?变为多少? 解: 使用初期 使用一年后 110℃ 40℃ 110℃ 2T ' 45℃ 20℃ 38℃ 20℃ (1)空气出口温度2T '题意可得:使用初期 m ph h pc c t KS T T C W t t C W Q ∆=-=-=)()(2112 (1)使用一年后 m ph h pc c t KS T T C W t t C W Q '∆='-=-'=')()(22112(2)两式相比(2)/(1),得)2045()2038()40110()110(2--=-'-T则:2T '=59.6℃ (2)总传热系数K K /'Ct Ct T t T t T t T t mm ︒=-=-----='∆︒=-=-----=∆2.546.3972ln 6.3972206.5938110ln )202.59()38110(2.342065ln 2065ln)()(12211221方程(2)式/(1)式,得:2.382.54)2045()2038(⋅'=--K K 故 %50.0='K K(3)冷热流体的出口温度22T t ''''及 一年后 m ph h pc c t S K T T C W t t C W Q '∆'='-=-'='α)()(2112(3) m ph h pc c t S K T T C W t t C W Q ''∆''=''-=-''='')()(22112(4) 方程(4)式/(3),得:20110ln)20()110(2.5412038)20(26.59110110222222-''''--''-''-⋅⋅'''=--''=-''-T t T t K K t T 整理前半式的方程 22179.06.39T t ''-='' (5) 又因 空气水αα〉〉,空气α≈K , 故 1≈'''≈'''空空ααKK 由等比定理 20110ln)20()110(2.54196.59110)20()110(222222-''''--''-''-⋅⋅=---''-''-T t T t t T 则 2.544.4120110ln22=-''''-T t整理得, 22153T t ''-='' (6) 联立(5)和(6),可得: C t ︒=''4.292, C T ︒=''5.572 (4)冷却水流量加大后,换热器的传热速率有何变化?变为多少?C t m︒=-=-----=''∆3.565.376.80ln 5.376.80205.574.29110ln )205.57()4.29110(则 04.12.543.56=='∆''∆='''mmt t QQ8 在一单程列管式换热器中,欲用水将15000kg/h 的煤油从140℃冷却到40℃,水的进、出口温度分别为30℃和40℃,两流体逆流流动。