复旦千分考试题及答案
- 格式:docx
- 大小:84.72 KB
- 文档页数:30
2012年复旦大学自主招生千分考试题答案解析复旦大学优秀高中水平测试(以下简称千分考)涉及高中范围内的十门主要学科,二百道题均为选择,题量之大、难度之高,非寻常考试所能比拟。
近年来在各科题量分布方面,语数英等主课各占32题.政史地生物化等加试科目各占16题左右,计算机占8题左右。
其中既有基础知识的考查、综合能力的运用,也不乏偏、怪、难的题目;而其独特的计分方式(即做对得5分、不做不得分、做错扣2分)及标准分析算法(即正态分布原则)也让很多同学望而却步。
2012年复旦大学自主招生千分考试题详解1. “五月渡泸,深入不毛”中涉及到的情节是什么?“不毛”是什么意思?诸葛丞相于蜀汉建兴三年春,即公元225年率众南征,平定益州南部越雟,永昌,建宁,牂牁四郡的少数民族以及汉族豪强地主叛乱。
不毛之地,在汉语里的解释,寸草不生的荒凉之地,但是综观益州南中地貌,皆是郁郁葱葱的森林,所以我觉得这里的“不毛”不能理解成荒凉之地,而应该理解成“不苗之地”,即,少数民族聚居的地方。
2. 以下人物与情节不符的一项为何?A.诸葛亮七擒孟获B.猪八戒大战二郎神(应该是孙悟空)C.鲁智深倒拔垂杨柳3. 以下四部著作中,从文学知识的角度来看,哪一部与其他三部不同?A.《西游记》B.《红楼梦》C.《聊斋志异》D.《水浒传》其他均为长篇章回小说,《聊斋》是短篇小说集4. “此时无声胜有声”出自哪篇文章?5.下列鲁迅小说按写作年代先后的顺序排列,正确的一项是()A.《药》《狂人日记》《祝福》《阿Q正传》B.《狂人日记》《药》《祝福》《阿Q正传》C.《药》《阿Q正传》《狂人日记》《祝福》D.《狂人日记》《药》《阿Q正传》《祝福》《狂人日记》写于1918年4月,《药》写于1919年4月,《阿Q 正传》1921—1922,《祝福》写于1924年2月6.下列写法全对的词语是葱茏(cōng lóng )√领絜(lǐng jié) √7. “一家三父子,都是大文豪。
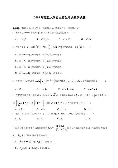
2009年复旦大学自主招生考试数学试题选择题:(每题5分,共160分,答对得5分,答错扣2分,不答得0分) 1.若0,01x y a b >><<<,则下列各式中一定成立的是( )A .a b x y >;B .a b x y <;C .x y a b >;D .x y a b <.2.设0,1a a >≠,函数()1log 1axf x x-=+在()1,+∞上单调递减,则()f x ( ) A .在(),1-∞-上单调递减,在()1,1-上单调递增; B .在(),1-∞-上单调递增,在()1,1-上单调递减;C .在(),1-∞-上单调递增,在()1,1-上单调递增;D .在(),1-∞-上单调递减,在()1,1-上单调递减.3.若要求关于x 的函数2112lg log 2ax bx y ++⎛⎫= ⎪⎝⎭的定义域是(),-∞+∞,则a 、b 的取值范围是( ) A .∅; B .0a <; C .240b a -<; D .0a b ==.4.设Q是有理数集,集合{},,0X x x a a b Q x Q x ==+∈∈≠、,在下列集合(1){}2x x X ∈;(2)X ⎫∈⎬⎭;(3)1x X x ⎧⎫∈⎨⎬⎩⎭;(4){}2x x X ∈中,与X 相同的集合有( )A .4个;B .3个;C .2个;D .1个.5.设0x y z >、、,且12xyz y z ++=,则422log log log x y z ++的最大值是( )A .3;B .4;C .5;D .6.6.定义全集X 的子集A 的特征函数为()1,,0,,A X x A f x x A ∈⎧=⎨∈⎩这里XA CxA 表示A 在X 中的补集,那么对A 、B X .下列命题中不正确的是( )A .()()AB A B f x f x ⊂⇔≤,任意x X ∈;B .()()1X A A f x f x =-,任意x X ∈;C .()()()A B A B f x f x f x =∩,任意x X ∈;D .()()()A B A B f x f x f x =+∪,任意x X ∈.7.如果一个函数()f x 在其定义域内对任意x 、y 一都满足()()22f x f y x y f ++⎛⎫⎪⎝⎭≤,则称这个函数是下凸函数,下列函数(1) ()2x f x =;(2) ()3f x x = ;(3) ()()2log 0f x x x =>;(4)(),0,2,0x x f x x x ⎧<⎪=⎨⎪⎩≥,下凸函数有( ) A .(1)、(2); B .(2)、(3); C .(3)、(4); D .(1)、(4) .8.若实数x 满足对任意正数0a >,均有21x a <+,则x 的取值范围是( )A .()1,1-;B .[]1,1-;C .()1,1a a -++; D .不能确定.9.设函数210xy =的图像是曲线C ,曲线C 1和C 关于直线1x =对称,曲线C 2和C 1关于直线y x =对称,则C 2是下列哪个函数的图像?( )A .12lg y x =-;B .22lg y x =-;C .2lg 1y x =+;D .2lg 2y x =+.10.下列曲线中哪一条拿住两端拉直后不打结?( )11.用同样大小的一种正多边形平铺整个平面(没有重叠),有几种正多边形可以铺满整个平面而不留缝隙?( )A .2种;B .3种;C .4种;D .5种.12.一个菱形的边长与其内切圆的直径之比为():11k k >,则这个菱形的一个小于2π的内角等于( )A .(2arctan 1k k -;B .21k -C .21k k --; D .21k -13.设a 、b 是实常数,则二元一次方程组1,2ax by x y a b +=⎧⎨-=--⎩无解的充分必要条件是( )A .20a b +=且1a ≠±;B .20a b +=且1a b +≠-;C .1,2a b ==-或1,2a b =-=;D .20a b +=.14.已知关于x 的方程23sin 2cos 2xx a +=在区间()0,2π内有两个不同的根,则常数a 的取值范围是( )A .()1,3-;B .()1,2-∪()2,3;C .[]1,3-;D .[)1,2-∪(]2,3.15.设{}0,1,2,,9X =⋅⋅⋅,定义X 上的运算⊕如下:刘任意,m n X ∈,m n ⊕等于m n +除以10的余数,给定初值0x X ∈,记100n n n =⊕,10,1k k n n n k -=⊕=,2,3,…,则使得数列{}k n 取遍X 中所有元素的初值0n 的集合是( )A .∅;B .X ;C .{}1,3,9;D .{}1,3,7,9.16.“要使函数()0f x ≥成立,只要x 不在区间[],a b 内就可以了.”这句话的意思是( )A .如果()0f x ≥,那么x [],a b ;B .如果x ∈[],a b ,那么()0f x <;C .如果x[],a b ,那么()0f x ≥; D .前面三个解释都不正确.17.实轴R 中的集合X 如果满足:任意非空开区间都含有X 中的点,则称X 在R 中稠密.那么“R 中的集合X 在R 中不稠密”的充分必要条件是( )A .任意非空开区间都不含X 中的点;B .存在非空开区间不含有X 中的点;C .任意非空开区间都含有X 的补集中的点;D .存在非空开区间含有X 的补集中的点. 18.某种细胞如果不能分裂则死亡,并且一个细胞死亡和分裂为两个细胞的概率都为12,现有两个这样的细胞,则两次分裂后还有细胞存活的概率是( )A .3964; B .2564; C .3164; D .2964.19.设有1n +个不同颜色的球,放人n 个不同的盒子中,要求每个盒子至少有一个球,则不同的放法有( )A .()1!n +种;B .()1!n n +种;C .()11!2n +种; D . ()112n n +!种. 20.设X 是含()2n n >个元素的集合,A 、B 是X 中的两个互不相交的子集,分别含有m 、k ()1,1,m k m k n +≥≥≤个元素,则X 中既不包含A 也不包含B 的子集的个数是( ) A .222n m n k n m k ----+-; B .2n m k --;C .2222n n m n k n m k ------+;D .12222n n m n k n m k +------+.21.已知三菱柱111ABC A B C -的底是边长为1的正三角形,高11AA =,在AB 上取一点P ,设11PA C ∆与底面所成的二面角为α,11PB C ∆与底面所成的二面角为β,则()tan αβ+的最小值是( )A .33-; B .63-; C .83-; D .53-. 22.半径为R 的球内部装有4个半径都为r 的小球,则小球半径r 可能的最大值是( )A .323R +; B .636R +; C .13R +; D .525R +.23.已知平面上三条直线220x y -+=,20x -=,0x ky +=如果这三条直线将平面划分成六个部分,则k 可能的取值情况是( )A .只有唯一值;B .可取两个不同值;C .可取三个不同值;D .可取无穷多个值.24.设ABC ∆三条边之比::3:2:4AB BC CA =,已知顶点A(0,0),B(a ,b ),则顶点C 的坐标一定是( )A .715715,6666a b b a ⎛⎫±⎪ ⎪⎝⎭; B .715715,8888a b b a ⎛⎫± ⎪ ⎪⎝⎭; C .715715,66a b b a ⎛⎫± ⎪ ⎪⎝⎭; D .715715,88a b b a ⎛⎫± ⎪ ⎪⎝⎭. 25.设实数0abc ≠,bc a ,ca b,abc 等成等差数列,则下列不等式一定成立的是( )A .b ac ≤;B .2b ac ≥;C .222a b c ≤≤;D .2a bb +≤. 26.已知()()2tan cot 100x x θθθπ-++=<<,且满足3213n x x x+++⋅⋅⋅++⋅⋅⋅=,则θ的值是( )A .5,66ππ; B .,63ππ; C .2,33ππ; D .25,,,3366ππππ. 27.设0a >,则极坐标方程()()1cos 0a ρθθπ=-≤≤所表示的曲线的大致图像是( )28.设数列{}n a 、{}n b 满足1,n n n b a a n -=-=l ,2,3,…,如果010,1a a ==,且{}n b 是公比为2的等比数列,12n n S a a a =++⋅⋅⋅+,那么limnn nS a →∞=( )A .0;B .12; C .1; D .2.29.复平面上的点012z i =+关于直线:22l z i z --=的对称点的复数表示是( )A .i -;B .1i -;C .1i +;D .i .30.设实数1r >,如果复平面上的动点z 满足z r =,则动点1z zω=+的轨迹是( )A .焦距为4的椭圆;B .焦距为4r 的椭圆;C .焦距为2的椭圆;D .焦距为2r的椭圆.31.给定一组向量()123,,a a a a =,()123,,b b b b =,()123,,c c c c =,如果存在不全为零的实数1k 、2k 、3k ,使得1230k a k b k c ++=,则称向量组a 、b 、c 是线性相关的.下面各组向量中,哪一组向量a 、b 、c 是线性相关的?( )A .()()()1,2,1,1,3,2,3,1,0a b c ==-=;B .()()()1,2,1,1,3,2,0,1,1a b c ==-=-;C .()()()1,2,0,1,3,2,0,1,1a b c ==-=-;D .()()()1,2,1,1,0,2,0,1,1a b c ==-=-.32.设向量()cos cos ,cos sin ,sin x θϕθϕθ=,cos siny θψθψθ⎫=⎪⎭,其中02πθ≤≤,如果x y =,那么向量x 和y 的夹角的最大值是( )A .2π;B .3π;C .23π;D .6π.2009年名牌大学自主招生考试试题(1)详解适用高校:复旦大学选择题(每题5分,共160分,答对得5分,答错扣2分,不答得0分) 1.[答案]D[解答]因为函数()()01x f x a a =<<在R 上单调递减,()()1m g x x m =>在R +上单调递增,且1,01x y a b >><<<,所以x y y a a b <<,选(D) .[评注]此题也可以用指数函数图像或特殊值法来解决. 2.[答案] A . [解答]当1x >时,12111x y x x-==-++在()1,+∞单调递增,而()f x 在()1,+∞上单调递减,由复合函数的单调性,知01a <<.理由()f x 为奇函数及复合函数的单调性,选(A) . 3.[答案]A .[解答]依题意,不等式210ax bx ++<对一切x ∈R 恒成市,所以220,4040a b a b a <⎧⇒<<⎨-<⎩,无解,选(A). 4.[答案]B .[解答]若集合(4)与X 相等,在集合(4)中,而不属于X ,与集合(4)的定义矛盾.集合(1)、(2)、(3)均与X 相等. 5.[答案]A .[解答]∵)4222log log log log x y z ++=,又∵12xyz y z =++≥,8≤,故)2log 3≤.6.[答案]D .[解答](D)不正确,当A ∩B ≠∅时,取x ∈A ∩B ,则()1A B f x ⋃=,而()()2A B f x f x +=.等式不成立.7.[答案]D[提示]用下凸函数的图像下凸性. 8.[答案]H[解答]依题意知,21,11x x -≤≤≤,选(B). 9.[答案]B[解答]曲线C 1的方程是1210x y -=,C 2与C 1为反函数,选(B).10.[答案]C .[评注]此题考查学生的空间想象能力.[解答]正()3n n ≥边形的一个内角()2n nπθ-=,若用同样大小的一种正多边形可以平铺整个平面(没有重叠),则存在k N *∈,使2k θπ=,即24222n k n n ==+--,其中使得k 为正整数的n 只有3、4、6 三个值,选(B). 12.[答案]D .[解答]设θ是菱形的一个小于2π的内角,菱形的内切圆半径为r ,边长为a ,则菱形的高2h r =,所以1sin h a kθ==,选(D). 13.[答案]A .[解答]由题意知这两个方程表示的两条直线平行,所以12b a a b=≠---,选(A) . 14.[答案]B .[解答]依题意知方程1sin 62a x π-⎛⎫+= ⎪⎝⎭在()0,2π上有两个不同的解,所以 111,211.22a a -⎧-<<⎪⎪⎨-⎪≠⎪⎩解得12a -<<或23a <<.选(B) . 15.[答案]D[解答]要使0n 满足题意,其实只需0n 与10互质即可,选(D). 16.[答案]C .[解答]原话意味着当x 在区间[],a b 内时,()f x ≥0也有可能成立,选(C). 17.[答案] B .[解答]“任意”的否定是“存在”. 18.[答案] A[解答] 一次分裂后,两个细胞全死了的概率是14; 一次分裂后,两个细胞有一个存活,但两次分裂后全死了的概率为18; 一次分裂后,两个细胞全部存活,但两次分裂后全死了的概率为164; 所以两次分裂后还有细胞存活的概率是111391486464---=. 19.[答案]D[解答]()211!1!2n C n n n +=+种.[解答]用容斥原理.包含A 的子集有2n m -个,包含B 的子集有2n k -个,既包含A 又包含B 的子集有2n m k --,所以既不包含A 也不包含B 的子集的个数有2222n n m n k n m k ------+个.21.[答案]C[解答]如图,过点P 作PQ ⊥A 1B 1,交A 1B 1于点O ,则PQ ⊥面A 1B 1C 1,过Q 作QE ⊥A 1C 1,交A 1C 1于点E ,作QF ⊥B 1C 1,交B 1C 1于点F .由二面角的平面角的定义,知,PEQ PFQ αβ∠=∠=设,QE x QF y ==,则311,tan ,tan x y x yαβ+===. 所以()83tan 113x y xy αβ++=--≥. 22.[答案] B[解答]当四个小球互相外切,且都与大球内切时,小球半径r 最大,此时6r r R +=,所以r 的最大值为636R +.23.[答案]C[提示]依题意,这三条直线共点或其中有两条互相平行,分情况解得2,0,1k =--. 24.[答案]A[解答]由余弦定理得7cos 8A =,向量AB 所对应的复数为a bi +,向量AB 顺时针(或逆时针)旋转7arccos 8,且将模长变为原来的43倍可得到向量AC ,所以向量AC 对应复数()471538a bi i ⎛⎫+± ⎪ ⎪⎝⎭,选(A) .25.[答案]D[解答]依题意,()22222222a c b a b ac b =+≥,所以222a c b ac ⎛+⎫ ⎪⎝⎭≤≤.所以2a cb +≤,选(D). 26.[答案]B [解答]由2312x x =-,解得3x =-或33,又∵21x <,∴33x =,代人原方程tan cot θθ+=tan 3θ=(B).27.[答案]C . [解答]特殊值法.取3πθ=,2π,π,经排除,选(C). 28.[答案]D[解答]12,21n n n n b a -==-,求和得122n n S n +=--,因此所求值为2.29.[答案]D[解答]由复数模的几何意义,知:20l x y +-=,点(1,2)关于直线l 的对称点是(0,1),选(D). 30.[答案]A[解答]设()cos sin z r i θθ=+,(),w x yi x y R =+∈.由1w z z =+ 得1cos ,1sin ,x r r y r r θθ⎧⎛⎫=+ ⎪⎪⎪⎝⎭⎨⎛⎫⎪=- ⎪⎪⎝⎭⎩,所以w 表示椭圆2222111x y r r r r +=⎛⎫⎛⎫+- ⎪ ⎪⎝⎭⎝⎭,选(A). 31.[答案]A[解答]向量a 、b 、c 是线性相关的充分必要条件是它们的坐标行列式111a b c 222a b c 123c c c 0=.32.[答案]A [解答]∵1x =,∴1cos 13y ==,解得6πθ=.∴()3cos ,x y ϕφ⎡=-⎢⎣⎦,向量x 和y 的夹角的最大值为2π.。
以下关于程序语言的叙述中,不正确的是________。
选择一个答案 a. 汇编语言编写的程序能让计算机直接执行。
b. 高级语言与具体计算机的指令系统无关。
c. 计算机不能直接执行用高级语言编写的程序。
d. 机器语言是指一台计算机全部的指令集合WWW是World Wide Web的缩写,是由________的工作人员开发的。
选择一个答案 a. 英国的数学研究所b. Internet公司在美国的总部c. 欧洲粒子研究所d. 美国物理研究所以下程序代码的功能是________。
input ainput binput cm=aif b<m then m=b endifif c<m then m=c endifprint m选择一个答案 a. 输入a、b、C,随机输出其中的某一个值b. 输入三个数,输出其中的最小值。
c. 输入三个数,输出其中的最大值。
d. 输入a、b、c,输出m。
以下是关于信息的叙述,不正确的叙述是________。
选择一个答案 a. 信息可以存储、加工、扩散。
b. 信息是数据的载体,可以存储。
c. 信息可以传递、共享。
d. 信息可以感知。
广泛使用的ASCⅡ符号编码是一种______选择一个答案 a. 6位编码b. 16位编码c. 7位编码d. 8位编码有多种汉字输入编码方法,国家标准GB2312—80信息交换用汉字编码属于______选择一个答案 a. 字形编码b. 数字编码c. 形音编码d. 字音编码分数: 5/5 计算机网络的主要功能表现在______选择一个答案 a. 上网浏览、发电子邮件、数据传输。
b. 软件资源共享、用户间信息交换。
c. 硬件资源共享、用户间信息交换。
d. 硬件资源共享、软件资源共享、用户间信息交换。
微型计算机在工作中从未进行存盘操作,若突然电源中断,则计算机中全部丢失的数据是:____选择一个答案 a. ROM和RAM中的数据b. 硬盘中的数据c. ROM中的数据d. RAM中的数据某台PC上装有一个软盘驱动器和一个硬盘,若把硬盘划分为4个分区,那么在“我的电脑”看到的是____选择一个答案 a. A:B:C:D:E:b. A:B:C:D:c. A:C:D:E:d. A:C:D:E:F;被誉为“计算机诺贝尔奖”的是____选择一个答案 a. 菲尔兹奖 b. 图灵奖CD-ROM是由____标准确定的选择一个答案 a. 黄皮书 b. 红皮书 c. 绿皮书按___组合键可以用于已启动的应用程序之间的切换选择一个答案 a. CTRL-SHIFTb. CTRL-TABc. ALT-ENTERd. AL T-TAB要将硬盘上一个文件物理删除,而不放入回收站,则在删除文件时除了用“删除”命令以外,还必须按住____键选择一个答案 a. BACKSPACEb. ALTc. SHIFTd. CTRL以下说法是正确的是____选择一个答案 a. 域名的一般表示形式是:网络名.计算机名.机构名.一级域名b. IP地址、域名地址和MAC地址是internet中三种形式相同的地址c. 计算机接入internet只有局域网方式d. 每台主机在整个internet中是唯一的。
四级词汇练习1)同义词,近义词辨析1. Children who are over-protected by their parents may become _____.A) hurt C) spoiledB) damaged D) harmed2. There were some _____ flowers on the table.A) artificial C) falseB) unnatural D) unreal3. Many people complain of the rapid _____ of modern life.A) rate C) paceB) speed D) denied4. American women were _____ the right to vote until 1920 after many years of hard struggle.A) ignored C) refusedB) neglected D) denied5. There's little chance that mankind would _____ a nuclear war.A) retain C) maintainB) endure D) survive6. Our company decided to _____ the contract because a number of the conditions in it had not been met.A) destroy C) assumeB) resist D) cancel7. In the advanced course students must take performance tests at monthly _____ .A) gaps C) lengthB) intervals D) distance8. The _____ of blood always makes him feel sick.A) form C) lookB) view D) sight9. Free medical treatment in this country covers sickness of mind as well as _____ sicknesses.A) normal C) averageB) ordinary D) regular10. This hotel _____ $60 for a single room with bath.A) charges C) pricesB) increase D) claims11. The government is trying to do something to _____ better understanding between the two countries.A) raise C) heightenB) increase D) promote12. I'm very sorry to have _____ you with so many questions on such an occasion.A) interfered C) impressedB) offended D) bothered13. The price of beer _____ from 50 cents to $4 per liter during the summer season.A) altered C) separatedB) ranged D) differed14. Although they plant trees in this area every year the tops of some hills are still _____.A) bland C) vacantB) hollow D) bare15. Medical care reform has become this country's most important public health _____.A) question C) matterB) stuff D) issue16. In preparing scientific reports of laboratory experiments, a student should _____ his findings in logical order and clear language.A) furnish C) raiseB) propose D) present17. A healthy life is frequently thought to be _____ with the open countryside and homegrown food.A) tied C) involvedB) bound D) associated18. Features such as height, weight, and skin color _____ from individual to individual and from face to face.A) change C) alterB) vary D) convert19. It has been revealed that some government leaders _____ their authority and position to get illegal for themselves.A) employ C) abuseB) take D) overlook20. Writing is a slow process, requiring _____ thought, time, and effort.A) significant C) enormousB) considerable D) numerous21. New York _____ second in the production of 850,000,000 pounds this year.A) ranked C) arrangedB) occupied D) classified22. I caught a _____ of the taxi before it disappeared around the corner of the street.A) vision C) look23. The strong storm did a lot of damage to the coastal villages: several fishing boats were _____ and many houses collapsed.A) wrecked C) tornB) spoiled D) injured24. Please be careful when you are drinking coffee in case you _____ the new carpet.A) crash C) spotB) pollute D) stain25. As a result of careless washing the jacket _____ to a child's size.A) compressed C) droppedB) shrank D) decreased26. He hoped the firm would _____ him to the Paris branch.A) exchange C) transferB) transmit D) remove(2)常见词组、句型的整合关系(一)27. The engine _____ smoke and steam.A) gives up C) gives awayB) gives in D) gives of f28. They _____ in spite of the extremely difficult condition.A) carried out C) carried onB) carried off D) carried forward29. When _____ Mr. Jones gets old, he will _____ over his business to his son.A) take C) thinkB) hand D) get30. Important people don't often have much free time as their work _____ all their time.A) takes away C) takes upB) takes over D) takes in答案:CACDD DBDBA DDBDC DDBCB ABADB CDCBC1. When I was very young, I was terribly frightened of school, but I soon _____ it.A) get off C) got awayB) got across D) got over2. I always _____ what I have said.B) hold to D) see to3. Mr. Wilson said that he did not want to _____ any further responsibilities.A) take on C) put upB) get on D) look up4. The French pianist who had been praised very highly _____ to be a great disappointment.A) turned up C) turned outB) turned in D) turned down5. When a fire _____ at the National Exhibition in London, at least ten priceless paintings were completely destroyed.A) broke off C) broke outB) broke down D) broke up6. The destruction of these treasures was a loss for mankind that no amount of money could _____.A) stand up to C) come up withB) put up with D) make up for7. Then the speaker _____ the various factors leading to the present economic crisis.A) went after C) went forB) went into D) went on8. You cannot be _____ careful when you drive a car.A) very C) soB) too D) enough9. Five minutes earlier, _____ we could have caught the last train.A) and C) orB) but D) so10. He's watching TV? He's _____ to be cleaning his room.A) known C) regardedB) considered D) supposed11. Because Edgar was convinced of the accuracy of this fact, he _____ his opinion.A) stuck to C)struckB) strove for D) stood for12. Our son doesn't know to _____ at the university; he can't make up his mind about his future.A) take in C) take overB) take up D) take after13. A lorry _____ Jam's cat and sped away.A) ran over C) ran throughB) ran into D) ran down14. Frequently single-parent children _____ some of the function that the absent adult in the house would have served.B) take after D) take on15. I want to buy a new tie to _____ this brown suit.A) go into C) go withB) go after D) go by16. I can't _____ what that object is.A) made up C) make outB) make over D) make for17. When the whole area was _____ by the flood, the government sent food there by helicopter.A) cut away C) cut upB) cut down D) cut off18. If you don't like to swim, you _____ stay at home.A) should as well C) can as wellB) may as well D) would as well19. That was so serious a matter that I had no choice but _____ the police.A) called in C) call inB) calling in D) to call in20. The sports meet, originally due to be held last Friday, was finally _____ because of the bad weather.A) set off C) worn offB) broken off D) called off21. A well-written composition _____ good choice of words and clear organization among other things.A) call on C) call upB) calls for D) calls off22. The store had to _____ a number of clerks because sales were down.A) lay out C) lay asideB) lay off D) lay down23. _____ it or not, his discovery has created a stir in scientific circles.A) Believe C) BelievingB) To believe D) Believed24. The car _____ halfway for no reason.A) broke off C) broke upB) broke down D) broke out25. Only day I _____ a newspaper article about the retirement of an English professor at a nearby state college.A) came across C) came afterB) came about D) came at26. The trumpet player was certainly loud. But I wasn't bothered by his loudness _____ by his lack of talent.B) more than D) so much as27. They decided to chase the cow away _____ it did more damage.A) unless C) beforeB) until D) although28. _____ we have finished the course, we shall start doing more revision work.A) For now C) Ever sinceB) Now that D) By now29. _____ the advances of science, the discomforts of old age will no doubt always be with us.A) As for C) ExceptB) Besides D) Despite30. A man escaped from the prison last night. It was a long time _____ the guards discovered what had happened.A) before C) sinceB) until D) when31. Nuclear science should be developed to benefit the people _____ to test this medicine on human patients.A) more than C) rather thanB) other than D) better than32. Scientists say it may be five or ten years _____ it is possible to test this medicine on human patients.A) since C) afterB) when D) before33. Liquids are like solids _____ they have a definite volume.A) since C) in thatB) for that D) at that34.Every man in this country has the right to live where he wants to, ____ the color of his skin.A) regardless of C) by virtue ofB) in the light of D) with the exception of35. John seems a nice person. ____ , I don't trust him.A) Even though C) Even soB) Therefore D) Though答案:1.D 2.B 3.A 4.C 5.C 6.D 7.B 8.B 9.A 10.D 11.A 12.B 13.A 14.D 15.C 16.C 17.D 18.B 19.D 20.D 21.B 22.B 23.A 24.B 25.A 26.D 27.C 28.B 29.D 30.A 31.C 32.D 33.C 34.A 35.D高频词汇频率出现七次的词汇case n.事例,实例,事实,情况;病例;案件;箱,盒,套;手提箱in any case 无论如何,不管怎样in case 假使,以防(引导虚拟语气)sum up the case 概括事实in case of 假如,如果发生;防备in no case 无论如何不,决不in this/that case 如果这样.那样的话a case of measles 麻疹病例appeal a case 申述pack a case 装箱in the case of 就…..来说,至于as the case may be 看情况,根据具体情况辨析case 事实,事例,情况,其可笼统地指一个完整的论题,也可表典型的事例,也可用于表医学上的病例或法律上的案例. instance 为正式用词,指从事实中援引单独事例,隐含其典型性重难点语法规则:in case意为“假使;免得,以防(万一)”。
复旦千分考试卷分类汇编(历史)年.一位中国哲人所提出的“民为邦本”地思想,被日本学者宇野重昭称为“首次在世界思想史上明确表达了人民主义革命理论”。
问:这位哲人是 。
.孔子 .孟子 .荀子 .老子. 年,德国地理学家李希霍芬在《中国》一书中,首次将中国通往西域之路称为“丝绸之路”。
问:下列哪位历史人物出使西域,为“丝绸之路”的形成建立了史诗般功业? 。
.张蹇 .张謇 .张衡 .张骞.黄遵宪在《日本国志》中写道:“三代已还,一坏于秦之焚书,再坏于魏晋之清淡,三坏于宋明之性命,至诋工艺之末为卑无足道,而古人之实学益荒矣。
”问:以下哪项,属于“宋明之性命”? 。
.佛学 .理学 .医学 .经学.国学大师王国维在《观堂集林》中,用一句话精辟地概括了清代学风:“国初之学大,乾嘉之学精,而道咸以降之学新。
”问:“道咸以降之学新”,主要“新”在哪方面? 。
.注重经典考证 .针砭社会时弊 .学习西方文化 .批判理学旧说. 年 月 日,作为新文化运动兴起之标志的《青年》杂志在上海创刊(翌年 月改为《新青年》)后,载文提出:“我们现在认定只有这两位先生可以救治中国政治上、道德上、学术上、思想上一切的黑暗。
”问:“这两位先生”是以下哪“两位先生”?.李大钊、陈独秀 .马克思、列宁 .科学、民主 .新文学、新道德.“”——. . . ..希特勒在《我的奋斗》中写道:“我是日尔曼人,但为什么我们要和其他日尔曼人分裂?我们不是同一族吗?我挥着铁拳:为什么日尔曼人不一致投向俾斯麦帝国的怀抱?”问:文中所谓的“俾斯麦帝国”最终战胜哪个国家,完成了德国统一? 。
.英国 .法国 .俄国 .奥地利.贝尔·琼斯和丹尼斯·凯文在《今日英国政治》中指出,今日英国能够走“第三条道路”,与长期以来保守党和工党政治的趋同性不无关系。
问:保守党的前身是下列哪个政党? 。
.托利党 .辉格党 .自由党 .民主党.复旦大学校训“博学而笃志,切问而近思”,出自中国某典籍,全句是“博学而笃志,切问而近思,仁在其中矣”。
1. 在下面各世界顶级的奖项中,为计算机科学与技术领域做出杰出贡献的科学家设立的奖项是(D)。
A. 沃尔夫奖B. 诺贝尔奖C. 菲尔兹奖D. 图灵奖2.Linux是一种(C)。
A. 绘图软件 B. 程序设计语言 C. 操作系统 D. 网络浏览器解析:Windows98 2000 xp都是操作系统3. 在计算机中,防火墙的作用是(B)。
A. 防止火灾蔓延B.防止网络攻击C. 防止计算机死机D. 防止使用者误删除数据解析:防黑客,防非法访问本机4. 现有80枚硬币,其中有一枚是假币,其重量稍轻,所有真币的重量都相同。
如果使用不带砝码的天平称重,最坏情况下最少需要称(B)次,就一定可以找出假币?A. 3B.4C. 7D. 85. 以下断电之后仍能保存数据的有(B)。
A. 寄存器 B. ROM C. RAM D. 高速缓存解析:缓存,和寄存,都是暂时性的,只有在通电运转情况下才能用。
RAM是随机存取存储器,同理。
6. (2010)16 + (32)8的结果是(A)。
括号后的数表示进制。
A. (8234)10B. (202B)16C. (20056)8D. (100000000110)2解析:会算就做,7. 用静电吸附墨粉后转移到纸张上,是哪种输出设备的工作方式( C )。
A. 针式打印机B. 喷墨打印机C. 激光打印机D. 喷墨绘图仪8. 下列哪个不是数据库软件的名称( C )。
A. SQL ServerB. OracleC. Excel(办公软件,还有word)D. Foxpro9. 计算机病毒是(B )A)通过计算机传播的危害人体健康的一种病毒B)人为制造的能够侵入计算机系统并给计算机带来故障的程序或指令集合C)一种由于计算机元器件老化而产生的对生态环境有害的物质D)利用计算机的海量高速运算能力而研制出来的用于疾病预防的新型病毒10. Email邮件本质上是一个( A )A)文件B)电报C)电话D)传真11. 下面关于算法的错误说法是( B)A)算法必须有输出B)算法必须在计算机上用某种语言实现C)算法不一定有输入 D)算法必须在有限步执行后能结束12. 正好由3个a,1个b和2个c构成的所有字符串中,包含子串“abc”的共有( D )个。
生物试题(选择题50题)1.细胞生命活动所需能量主要是由A 核糖和脱氧核糖氧化分解供给的B 葡萄糖氧化分解供给的C 蔗糖和乳糖氧化分解供给的D 淀粉和肝糖元氧化分解供给的2.人体的牙齿和骨骼中含有钙离子和磷酸根离子,说明无机盐所具有的生理功能之一是A 细胞结构的重要组成部分B 调节渗透压C 调节细胞的酸碱平衡D 调节细胞中离子平衡3.血红蛋白是由574个氨基酸构成的蛋白质,含四条多肽链,那么在形成肽链过程中,其肽键的数目和脱下的水分子数分别是A 573和573B 570和570C 572和572D 571和571 4.下列哪一项属于克隆?A、将鸡的某个DNA片段整合到小鼠的DNA分子中B、将抗药菌的某些基因引入草履虫的细胞内C、将鼠骨髓瘤细胞与经过免疫的脾细胞融合成杂交瘤细胞D、将某肿瘤细胞在体外培养繁殖成一个细胞系5.与核酸主要功能有关的叙述是A、具有遗传功能的的生物大分子B、最好的能源物质C、调节生命活动的重要物质D、直接能源物质6.家兔体内储存能量和减少热量散失的物质是A、纤维素B、脂肪C、淀粉D、糖原7.现有一被检测样品液,经用双缩脲试剂检验后,样品液产生紫色反应,该样品液有A 蛋白质B 糖类C 脂肪D 核酸8.人的红细胞必须生活在含有的0.9%氯化钠的溶液中;若将红细胞置于蒸馏水中,红细胞会因吸水过多而胀破;若将红细胞置于浓盐水中,红细胞会因失水而皱缩因而丧失输送氧气的功能。
所以医生给脱水的病人注射用的是0.9%的生理盐水,这个事例说明:A.无机盐对维持细胞的形态和功能有重要作用B.只有红细胞才有这种特性C.水分子容易进入细胞D.无机盐离子容易进入细胞9、构成细胞的生命物质中主要的有机化合物是A、蛋白质和核酸B、水和蛋白质C、蛋白质和无机盐D、水和核酸10.下列各对性状中,属于相对性状的是A.狗的短毛和狗的卷毛B.羊的黑毛和兔的白毛C.果蝇的红眼和果蝇的棒眼D.人的右利手和人的左利手11.一对正常夫妇生了一个患白化病的男孩,再生一个正常孩子的几率是A. 75%B. 25%C. 12.5%D. 37.5%12.大豆的白花和紫花是一对相对性状。
复旦大学2009年优秀高中生文化水平选拔测试试卷(千分考)语文试题及详尽解答本试卷共30页,满分1000分;每题5分,共200题;考试时间为180分钟。
考生注意:1.答卷前,考生务必在试卷和答题卡上都用钢笔或圆珠笔填写姓名、中学名称、准考证号,并用2B铅笔在答题卡上正确涂写试卷类型(A卷或B卷)和准考证号。
2.本卷为单选题,由机器阅卷,答案必须全部涂在答题卡上。
在答题卡上,考生应将代表正确答案的小方格用铅笔涂黑。
注意试题题号和答题卡编号一一对应,不能错位。
答案需要更改时,必须将原选项用橡皮擦去,重新选择并填涂。
答案不能写在试卷上,写在试卷上一律不给分。
3.本卷每题答对得5分,不答得O分,答错扣2分!!1依时间先后为序,以下作家名序排列正确的是A 王粲、谢灵运、杜甫、苏轼、王实甫、汤显祖、莎士比亚、但丁B 屈原、司马相如、陆机、李白、罗贯中、马致远、莫泊桑、托尔斯泰C 司马迁、陶渊明、王维、李清照、关汉卿、曹雪芹、巴尔扎克、罗曼罗兰D杨雄、曹植、高适、辛弃疾、龚自珍、归有光、泰戈尔、安徒生【选C】司马迁(西汉)陶渊明(晋)王维(唐)李清照(宋)关汉卿(元)曹雪芹(清初)巴尔扎克(十九世纪初)罗曼罗兰(20世纪初)2 下列作品集的命名方式都相同的一项是A 《贾长沙集》《王子安集》《王右丞集》《嘉佑集》B 《樊川集》《刘梦得集》《王临川集》《易安集》C 《欧阳文忠集》《周元公集》《范文正集》《林和靖集》D 《七录斋集》《饮冰室合集》《惜抱轩文集》《震川文集》【选C】欧阳修,谥号”文忠”周敦颐,谥号“元公”林和靖,谥号“和靖”范仲淹,谥号“范文正”3 古人依经、史、子、集四目给图书分类,指出下列分类无误的一项A 楚辞、昭明文选、文心雕龙、李太白集、稼轩长短句、剑南诗稿(集部)B 论语、诗经、尚书、左传、国语、战国策、吕氏春秋(经部)C 史记、汉书、资治通鉴、新五代史、三国志、世说新语(史部)D 庄子、老子、淮南子、论衡、韩非子、离骚(子部)【选C】经部:分为易、书、诗、礼、春秋、孝经、五经总义、四书、乐、小学十类。
历年复旦千分考地理试题2006年-16题-80分75.研究表明,夏季风不同年份的强弱变化是中国大陆频繁发生旱涝灾害的根本原因。
在夏季风势力强盛的年份,我国往往出现________。
A.北旱南涝B.北涝南旱C.南北借旱D.南北皆涝76.“全球卫星定位系统”的英文缩写是________。
A.GIS B.GPS C.GDP D.GNP77.下列有关农业和农产品的叙述,正确的是__ A ___。
A.黑龙江和广东的气候完全不同,但都是我国糖料作物主要生产省份B.中国东北部和美国东北部的大豆产区不属于同一类自然带C.台湾和海南水热条件优越,是我国茶叶生产和出口前两位的省份D.我国北方季风区和南方季风区的粮食作物均为水稻78.2004年12月26日,在印度尼西亚苏门答腊岛附近海域发生了里氏8.9级地震,并引发了40年来最大的海啸,造成了印度洋沿海地区15万余人丧生。
下列说法正确的是__ C _。
A.本次地震属于震源在海底以下300千米的深源地震,故烈度强大B.本次地震及之后的余震都说明,环太平洋地区地震进入频繁多发期C.本次地震引发了巨大海啸等灾难,正好说明自然灾害具有群发性和连发性的特点D.因中国、美国、印度、日本等国距离震中远近不一79.自然保护区是人类为了保护濒临灭绝的珍稀生物物种以及代表不同自然环境的生态系统而选择保护的典型区域。
最近命名的大陆赠台湾大熊猫“团团”、“圆圆”来自_______。
A.扎龙自然保护区B.梵净山自然保护区C.神农架自然保护区D.卧龙自然保护区80.读下面一则材料:北京人说他风沙多,a人就笑了;a人说他面积大,新疆人就笑了;新疆人说他民族多,b人笑了;b人说他地势高,西藏人就笑了;西藏人说他文物多,陕西人就笑了;陕西人说他革命早,江西人就笑了;江西人书他能吃辣,四川人就笑了;四川人说他人口多,c人就笑了 CA.a—内蒙古自治区b—广西壮族自治区c—山东省B.a—内蒙古自治区b—广西壮族自治区c—河南省C.a—内蒙古自治区b—云南省c—河南省D.a—甘肃省b—青海省c—河南省81.若某地坐标为(25°S,65°W),则其对称于地心的对应点最可能的景观是___C____。
09复旦千分考试题答案[备选方案A]183在下列生物细胞中,乳酸是在缺氧条件下通过厌氧呼吸产生的(1)酵母细胞(2)梨树根细胞(3)玉米鸡内金细胞(4)人肌肉细胞(1)(2)B(2)(3)C(3)(4)D(1)(4)[精选C]184当小鼠和蟾蜍(通常称为蟾蜍)从50C环境移至250℃室温时,小鼠和蟾蜍的耗氧量将发生如下变化小鼠甲和蟾蜍数量减少,小鼠乙和蟾蜍增加,小鼠丙增加,蟾蜍减少,小鼠丁减少,蟾蜍增加。
老鼠是温血动物。
它的体温是恒定的,大约37℃;蟾蜍是一种变温动物,其体温与环境温度一致。
当从5℃环境移到XXXX 1000试题+详细说明这篇试卷由30页组成,满分为1000分。
每个主题分为五类:XXXX 年、编年史的结尾、其他杂史、诏令、传记、历史笔记、记录、季节、地理、官职、政治书籍、目录和历史评论。
细分:关于佛教和道教的数百个学派和他的宗教著作分为14类:儒教,军事专家,法家,农民家庭,医生,天文算法,技术数字,艺术,记录,杂项专家,百科全书,小说家,佛教和道教。
1收藏:历代一位或多位作家的散文、骈文、诗词、散曲及其他作品的收藏,文学评论、戏曲及其他作品分为五类:楚辞、其他收藏、诗歌评论和诗歌。
关于汉字的构造有“六书”的传统。
下列哪个陈述是正确的?甲象形、指法、会意、形声字、音译、假借乙篆、隶书、魏书、楷书、行书、草书丙甲骨文、金文、、铁箍、简帛丁、、方言、说文解字、尔雅、广雅、选甲]六书指的是后世根据汉字的构成而编写的关于汉字构造的六条规则,而不是构词规则:象形、指物、形声字、知、注、借。
其中,象形、指法、会意和形声字主要是“造字法”,音译和借用是“用字法”。
以下作者获得了诺贝尔文学奖,其中一组没有获得该奖。
他们是阿·先科威、泰戈尔、罗曼·罗兰、叶芝·萧伯纳、罗素、海明威和肖洛霍夫。
川端康成、马尔克斯、大江健三郎、高行健、托尔斯泰、陀思妥耶夫斯基、萨特、高尔基·[]诺贝尔奖不授予死者。
2011年“复旦水平测试”模拟试卷答题须知:本试卷共29页,满分1000分;每题5分,共200题;考试时间为180分钟。
考生注意:1. 答卷前,考生务必在试卷和答题卡上都用钢笔或圆珠笔填写姓名、中学名称、准考证号,并用2B铅笔在答题卡上正确涂写试卷类型(A卷或B卷)和准考证号。
2. 本卷为单选题,由机器阅卷,答案用铅笔涂在答题卡上。
在答题卡上,考生应将代表正确答案的小方格涂黑。
注意试题题号和答题卡编号一一对应,不能错位。
答案需要更改时,必须将员选项用橡皮擦擦干净,从新选择并填涂。
填涂不清楚。
涂改污损会影响阅卷判读,将导致考试成绩无效。
答题卡上除填涂规定信息外,不得书写任何文字符号。
答题卡不得折叠。
3. 本卷每题答对5分,不答得0分,答错扣2分!!4. 答案不能写在试卷上,写在试卷上一律不给分。
5. 考试结束后,考生必须将试卷、草稿纸、答题卡按要求交给监考人员,严禁带出考场。
1、当代小说家毕淑敏在《提醒幸福》中写道:“幸福有时会同我们开一个玩笑,乔装打扮而来。
机遇、友情、成功、团圆......它们都酷似幸福,但它们并不等同于幸福。
”与这里的“乔装打扮”一语意思最远的一项是()A、涂脂抹粉B、改头换面C、庐山面目D、面目全非2、下列没有错别字的一句是()A、教育是至高无上的事业,教师是无尚光荣的职业。
B、这摞纸可以留作他用,不该当做废纸卖掉。
C、有人说他是大才小用;他却说,只要找准自己的位置做好自己力所能力的工作,就是才尽其用。
D、中午,山涧小溪在阳光的照射下,晶莹剃透,美丽极了。
3、下列各句中,标点符号使用正确的一句是()A、“学好语文的关键是什么?”他顿了一顿,郑重地说,“就是要注意日常积累和在课堂上认真听讲。
”B、“福娃妮妮”的造型创意来源于北京传统的沙风筝,“燕”还代表燕京,(古代北京的称谓)妮妮在体操比赛中登场,代表奥林匹克五环中绿色的一环。
C、她每次去超市都会买很多零碎的东西,什么杏肉呀、酸奶呀、薯片呀,满满地装了一车。
复旦大学千分考物理复习资料一、复旦“千分考”物理学科考试概述复旦的物理学科在千分考中共有16道题目,命题在总体上比较规范,大部分的内容都在高考的考纲上或以必学或以选学的形式出现。
由于其选择题的特性,千分考中所出现的物理题很少会有要求精密计算,往往会用判断是非,预测末状态物理情境,常识性问题探讨来考察学生的物理能力。
其实这就可以让很多在物理考试中表现并不理想的同学得到一定的优势:定量的计算,反复的过程都被选择题简化了。
突出的是对概念和知识深度的考察。
以近几年的卷子来看,物理题的难度参差,有一些甚至不及外地高考模拟卷的难度,而有一些则是考察较偏,往往都是同学容易忽略的点,导致失分。
其实在出卷时也是有分寸的,面对自己不了解的选项时,应该仔细的观察其余的几个选项,确定自己能够把握的,提高自己的应试成绩。
二、热点考试范围:三、真题详解例举:例题精讲一:【2011.155】在一根长的水平杆上穿着5个质量相同的珠子,珠子可以在杆上无摩擦的运动。
初始时若各珠子可以有任意的速度大小和方向,则他们最多可以碰撞________次。
A.4B.5C.8D.10【解析】这道题目拿到手中时,一目了然:这是在千分考中出勤率很高的碰撞问题了。
碰撞问题作为动量与能量守恒的一个衍生品,其研究往往有一定的公式和规律可循。
而我们在这里着重所说的,就是质点间的对心碰撞和它所满足的性质了。
根据能量与动量的守恒,我们就可以得到:若是碰撞的两个小球拥有相同的速度,在碰撞时不损失能量的话,两球的速度将会互换。
那我们既然知道了他们碰撞将会产生的结果,这道题还有那些难点呢?在于球的数量很多,若是一种种情况推算下去,且不说是否能想清楚,恐怕自己也没法保证球碰撞的数量是最多的吧?但若是我们换一个思路来做这道题呢?大家都画过s-t 图像,知道他的斜率就是运动的速度大小。
那如果两条s-t 图像交汇于一点,并且互相交换了斜率,那是不是就可以看做是一次碰撞呢?两个小球的研究,便只要看在平面上两条直线最多有几个交点,依次类推,五个小球,不就是看五条直线最多的交点么?我们可以很轻松的求出,一共是有十个交点,代表了十次速度的交换。
复旦大学优秀高中生水平测试(以下简称千分考)涉及高中范围内的十门主要学科,二百道题皆为选择,题量相当之大。
每门学科的题量分布方面,语数英等主课各占32题左右,政史地生物化等加试科目各占16题左右,计算机占8题左右。
其中既有基础知识的考察、综合能力的运用,也不乏偏、怪、难的题目。
而其独特的计分方式(做对得5分、不做不得分、做错扣2分)以及标准分折算方法(即正态分布原则)也让很多同学有些望而却步。
1.语文:1) 综论:复旦水平测试语文试题共32题。
可以说复旦测试的语文题目比较活,经常会有变化,难度不低。
例如08年侧重美学。
09年许多学生读了朱光潜却发现美学的比重大幅下降。
而10年更是突然出现了各种有关繁体字的题目。
由于语文覆盖的是我们的方方面面,所以这一块基本上只能依靠平时的积累,无从下手准备。
2) 难度系数:★★★★3) 时间安排:建议先做比较容易的、可以快速选出答案的题目,然后做其他科目,最后如果有时间再看剩下的语文题。
4) 复习重点:语文基本知识、文学常识和美学的基本常识5) 复习范围:文言文基础知识,包括文言文中实词、虚词、句子的解释和辨析;现代文基础知识,包括成语意义理解、句子成分的划分、标点符号的正确使用、病句的判断、错别字辨析、词语使用的辨析、成语结构。
这部分内容较多,而且上海语文高考不直接考查这些项目,加上同学们平时积累较少,所以构成了这部分有一定难度。
文学文化常识,笔者总结为古今中外,千分考对知识面是一个很大考验,文学文化常识涉及古今中外,是知识面的一个重要体现,所以大家要重视这方面的复习积累。
10年盛行的繁体字就是包含于这一快的。
美学系列6) 技巧:可以根据作者生平、风格和绝句律诗的押韵来猜古诗,同样,也可以根据人或作品的名字来推测作者的国籍与时代。
对于一些实词虚词的用法和意义可以联系课文和现代汉语。
比如“见谅”中的“见”,“唯马首是瞻”中的“唯……是……”等。
有时会有诗歌,给上句选下句的情况。
2021年复旦大学千分考试题及答案详解1.[元]施惠《绿林寄迹》:“倚山为寨,号为拦路虎。
金银财宝,劫来如粪土。
”句中的“拦路虎”一语作________。
A.补语B.状语C.动宾短语的宾语D.宾语【解答】D号:自称为。
为谓语。
所以,拦路虎应该是宾语 2.下列各组词语中,没有错别字的一组是______。
A.演绎必竞绊脚石目不暇接 B.去逝耽搁爆发力举步维艰 C.斡旋戏谑白内瘴运筹帷幄 D.贸然简练纪录片舔犊情深【解答】CA毕竞B去世D舐犊情深3.鲁迅《月界旅行》七回:“那麦思敦更觉气色傲然,或饮或食,忽厢忽歌,大有,此间乐不思蜀‘之意。
”与句中“乐不思蜀”构成反向意义的是_______。
A.留连忘返B.饮水思源C.乐而忘返D.乐不可支【解答】B乐不思蜀,是形容人因为处在悠闲自在的环境中而忘本,所以反义应该是饮水思源4.[明]归庄《万古愁》:“有几个狼奔豕突的燕和赵,有几个狗屠驴贩奴和盗。
”与句中“狼奔豕突”近义的是_________。
A.鱼贯丽行B.狼吞虎咽C.狼狈不堪D.抱头鼠串【解答】D像狼那样奔跑,像猪那样冲撞.形容成群的坏人乱冲乱撞,到处骚扰.比喻敌人奔逃时,惊慌状态.也比喻敌人乱冲乱窜,所以D符合5.张洁《爱,是不能忘记的》:“有人就会说你的神经出了毛病,或是你有什么见不得人的隐私,或是你政治上出了什么问题,或是你刁钻古怪,看不起凡人,不尊重千百年来的社会习惯,你准是个离经叛道的邪人。
”句中“离经叛道,”的结构属于__。
A.主谓式B.并列式C.偏正式D.连动式【解答】B并列结构.离经:背离经典;叛道:违反教条,二者并列 6.下列各句中,标点符号使用正确的一句是_C____。
A.“学好语文的关键是什么?”他顿了一顿,郑重地说,“就是要注意日常积累和在课堂上认真听讲。
”B.“福娃妮妮”的造型创意来源于北京传统的沙燕风筝,“燕”还代表燕京,(古代北京的称谓)妮妮在体操比赛中登场,代表奥林匹克五环中绿色的一环。
2010年复旦大学自主招生考试数学试题一.选择题:(每题5分,共155分,答对得5分,答错扣2分,不答得0分)1.设函数()1x y f x e ==+,则其反函数()1x f y -=在坐标系xOy 中的大致图像是 ( )2.设()f x 是区间[],a b 上的函数,如果对任意满足a x y b <≤≤的x 、y 都有()()f x f y ≤,那么称()f x 是[],a b 上的递增函数,()f x 是[],a b 上的非递增函数应满足( )(A)存在满足x y <的x 、y ∈[],a b ,使得()()f x f y >; (B)不存在x 、y ∈[],a b 满足x y <,且()()f x f y ≤; (C)对任意满足x y <的x 、y ∈[],a b ,都有()()f x f y >; (D)存在满足x y <的x 、y ∈[],a b ,使得()()f x f y ≤.3.设α、β∈,22ππ⎡⎤-⎢⎥⎣⎦,且满足sin cos sin cos 1αββα+=,则sin sin αβ+的取值范围是( )(A)2,2⎡-⎣; (B)2⎡-⎣; (C)2⎡⎣; (D)2⎡⎣.4.设实数0,x y ≥≥0,且满足25x y +=,则函数()2,22f x y x xy x y =+++的最大值是( )(A)978; (B)19516; (C);494 (D)252.5.设一个多面体从前面、后面、左面、右面、上面看到的图形(其中正方形边长为1)分别为则该多面体的体积为( )(A)23; (B)34; (C);45(D)56.6.在一个底面半径为12,高为1的圆柱内放入一个直径为1的实心球后,再圆柱内空余的地方放入与实心球、圆柱的侧面以及两个底面之一都相切的小球,最多可以放入这样的小球的个数是 ( ) (A)32个; (B) 30个; (C)28个l ; (D) 26个.7.给定平面向量(1,1),那么平面向量1313-+⎝⎭是将向量(1,1) ( )(A)顺时针旋转60°所得; (B)顺时针旋转120°所得;(C)逆时针旋转60°所得; (D)逆时针旋转120°所得.8.在直角坐标系Oxy 中,已知点()12313131,0,,,22A A A ⎛⎛- ⎝⎭⎝⎭()41,0A -,513,22A ⎛-- ⎝⎭,613,22A ⎛- ⎝⎭,那么在向量(),1,2,3,4,5,6,i j A A i j i j =≠中,不同向量的个数有( )(A)9个; (B)15个; (C) 18个; (D) 30个 9.对函数[][]:0,10,1f →,定义()()()()()11,,n n f x f x f x ff x -=⋅⋅⋅=,1,2,3,,n =⋅⋅⋅满足()n f x x =的点x ∈[]0,1称为f 的一个n -周期点.现设()12,0;2122,1,2x x f x x x ⎧⎪⎪=⎨⎪-⎪⎩≤≤≤≤则f 的一个n -周期点的个数是( )(A) 2n 个; (B) 22n 个; (C)2n个; (D) ()221n-个. 10.已知复数1213,33z i z i ==-,则复数12z z 的一个辐角是 ( ) (A)1312π; (B)1112π; (C)4π-; (D)712π-.11.设复数cos sin ,sin cos z i i αβωαβ=+=+,满足3z ω=,则()sin βα-=( ) (A)33或12-; (C)12±; (D)12或312.已知常数1k ,2k 满足12120,1k k k k <<=.设1C 和2C 分别是以()111y k x =±-+和()211y k x =±-+为渐近线且通过原点的双曲线,则1C 和2C 的离心率之比12e e 等于( );; (C)1; (D)12k k . 13.参数方程()()()sin 01cos x a t t a y a t =-⎧⎪>⎨=-⎪⎩所表示的函数()y f x =( ) (A)图像关于原点对称; (B)图像关于直线x π=对称;(C)是周期为2a π的周期函数; (D)是周期为2π的周期函数.14.将同时满足不等式20x ky --≤,2360x y +-≥,()61000x y k +->≤的点组成的集合D 称为可行域,将函数1y x+称为目标函数.所谓规划问题就是求解可行域中的点(),x y 使目标函数达到在可行域上的最小值,如果这个规划问题有无穷多个解(),x y ,那么k 的取值为( )(A)1k ≥; (B)2k ≤; (C)2k =; (D)1k = .15.某校有一个班级,设变量x 是该班同学的姓名,变量y 是该班同学的学号,变量z 是该班同学的身高,变量ω是该班同学某一门课程的考试成绩.则下列选项中正确的是 ( ) (A) y 是x 的函数; (B) z 是y 的函数;(C) ω是z 的函数; (D) ω是x 的函数. 16.对下于原命题“单调函数小不是周期函数”,下列陈述正确的是 ( ) (A)逆命题为“周期函数不是单调函数”; (B)否命题为“单调函数是周期函数”; (C)逆否命题为“周期函数是单调函数”; (D)以上三者都不正确. 17.设集合(){}(){},loglog 0,,aa A x y x y B x y x y a =+>=+<,如果A ∩B =∅,那么a 的取值范围是( )(A)∅; (B)0a >,且1a ≠; (C)02a <≤,且1a ≠; (D) 12a <≤.18.设集合x 是实数集R 的子集,如果点0x ∈R 满足:对任意0a >,都存在x ∈X ,使得00x x a <-<,那么称0x 为集合X 的聚点,用Z 表示整数集,则在下列集合 (1)Z,01n n n n ⎧⎫⎨⎬+⎩⎭∈≥,(2){}\0R ,(3)1,0n Z n n ⎧⎫⎨⎬⎩⎭∈≥,(4)整数集Z 中,以0为聚点的集合有 ( ) (A)(2)、(3); (B)(1)、(4);(C)(1)、(3); (D)(1)、(2)、(4) .19.已知点()()()2,0,1,0,0,1A B C -,如果直线y kx =将△ABC 分割为两个部分,那么当k 等于多少时,这两个部分的面积之积最大? ( ) (A)32-; (B)34-; (C)43-; (D)23-.20.已知()2sin cos f x x x x =,定义域()7,1212D f ππ⎡⎤=⎢⎥⎣⎦,则其反函数()1f x -=( )(A) 1arccos 212x π⎛+ ⎝⎭;(B)1arccos 26x π⎛- ⎝⎭;(C) 1arcsin 212x π⎛-+ ⎝⎭;(D)1arcsin 226x π⎛⎫-- ⎪ ⎪⎝⎭. 21.设1l ,2l 是两条异面直线,则直线l 与1l ,2l 都垂直的必要非充分条件是( )(A) l 是过点1P ∈1l 和点2P ∈2l 的直线,这里12PP 等于直线1l 和2l 间的距离;(B) l 上每一点到1l 和2l 的距离都相等; (C)垂直于l 的平面平行1l 和2l ;(D)存在与1l 和2l 都相交的直线与l 平行或重合.22.设ABC A B C '''-是正三棱柱,其底面边长和高都为1,P 是侧面ABB A ''的中心点,则P 到侧面ACC A ''的对角线的距离是( )(A)12;.23.在一个球面上画一组三个互不相交的圆,称为球面上的一个三圆组.如果可以在球面上通过移动和缩放将一个三圆组移动到另外一个三圆组,并且在移动过程中三个圆保持互不相交,那么称这两个三圆组有相同的位置关系,否则就称有不同的位置关系,球面上具有不同的位置关系的三圆组有( ) (A)2种; (B)3种; (C)4种; (D)5种. 24.设非零向量()()()123123123,,,,,,,,a a a a b b b b c c c c ===为共面向量,()123,,x x x x =是未知向量,则满足0,0,0a x b x c x ===的向量x 的个数为( )(A)1个; (B)无穷多个; (C)0个; (D)不能确定. 25.在坐标平面上Oxy 给定点()()()1,2,2,3,2,1A B C ,矩阵211k ⎛⎫⎪-⎝⎭将向量OA ,OB ,OC 分别变换成向量OA ',OB ',OC ',如果联结它们的终点A '、B '、C '构成直角三角形,且斜边为B C '',那么k =( )(A)2±; (B)2; (C)0; (D)0,2-.26.设集合A 、B 、C 、D 是全集X 的子集,A ∩B ≠∅,A ∩c ≠∅,则下列选项中正确的是 ( )(A)若D B 或D C .则D ∩A ≠∅;(B)若D A ,则XD ∩B ≠∅,XD ∩C ≠∅; (C)若DA ,则X D ∩B =∅,XD ∩C =∅;(D)上述各项都不正确.27.已知数列{}n a 满足12a =,且n a n ⎧⎫⎨⎬⎩⎭是公比为2的等比数列,则1nk k a ==∑( )(A) 122n n +-; (B)()1122n n +-+;(C)()221nn n +-; (D) ()122nn n -+. 28.复平面上圆周112z z i-=-+的圆心是 ( ) (A)3i +; (B)3i -; (C)1i +; (D)1i -.29.已知C 是以O 为圆心、r 为半径的圆周,两点P 、P *在以O 为起点的射线上,且满足2OP OP r *=,则称P 、P *关于圆周C 对称,那么,双曲线221x y -=上的点(),P x y 关于单位圆周C ':221x y +=的对称点P *所满足的方程是( )(A)2244x y x y -=+; (B)()22222x y x y -=+;(C)()22442x y x y -=+; (D)()222222x y x y-=+.30.经过坐标变换cos sin sin cos x x y y x y θθθθ'=+⎧⎨'=-+⎩,将二次曲线223560x y -+-=转化为形如22221x y a b ''±=的标准方程,则θ的值及二次曲线的类型是 ( ) (A)()6k k Z πθπ=+∈,椭圆;(B) ()26k k Z ππθ=+∈,椭圆;(C) ()6k k Z πθπ=-∈,双曲线;(D) ()26k k Z ππθ=-∈,双曲线. 31.设k 、m 、n 是整数,不定方程mx ny k +=有整数解的必要条件是( ) (A) m 、n 都整除k ; (B) m 、n 的最大公因子整除k ;(C) k 、m 、n 两两互质; (D) k 、m 、n 除1外没有其他公因子.2010年名牌大学自主招生考试试题(1)详解适用高校:复旦大学选择题(每题5分,共155分,答对得5分,答错扣2分,不答得0分) 1.[答案]A[解答]注意到反函数表达式中x 与y 没有互换,所以()1x f y -=的图像即()y f x =的图像. 2.[答案]A[解答]“任意”的否定是“存在”,“≤”的否定是“>”. 3.[答案] D[解答]依题意,()sin 1αβ+=,因为παβπ-+≤≤,所以2παβ+=.又因为,222πππβα⎡⎤=-∈-⎢⎥⎣⎦.所以0,2πα⎡⎤∈⎢⎥⎣⎦, sin sin sin cos 2sin 1,24παβααα⎛⎫⎡⎤+=+=+∈ ⎪⎣⎦⎝⎭.4.[答案]C[解答]因为520y x =-≥,所以502x ≤≤,消去y ,得()234924f x x ⎛⎫=--+ ⎪⎝⎭,当32x =时,max 494f =.5.[答案] D[解答]该几何体是一个棱长为1的正方体截去一个角所得. 6.[答案] B[解答]如图,图(1)是圆柱的轴截面,图(2)是圆柱的底面. 设小实心球的半径为r ,则12222r r +=-,解得3222r -=. 所以AB 322=-,OA =OB =21-,且∠AOB =21arcsin2-, 因为1516212arcsin<<-,所以最多可以放30个小实心球.7.[答案]C[解答]因为向量()1311,1,,22a b ⎛⎫-== ⎪ ⎪⎝⎭的夹角60θ=︒,结合图像知选(C). 8.[答案]C[解答]依题意,A 1、A 2、A 3、A 4、A 5、A 6是正六边形的6个顶点,其中模为1、2的向量各有6个,所以向量,12345,6,i j A A i j i j ≠(=,,,,)中,不同向量的个数为18. 9.[答案]C[解答]将x 写成二进制小数()1220.n a a a ⋅⋅⋅⋅⋅⋅,其中()210.111=⋅⋅⋅⋅⋅⋅,则由()f x 定义知,()()2320.n f x a a a =⋅⋅⋅⋅⋅⋅.若()1220.n x a a a =⋅⋅⋅⋅⋅⋅是()f x 的n -周期点,则()()12122220.0.n n n n a a a a a a ++⋅⋅⋅⋅⋅⋅=⋅⋅⋅⋅⋅⋅,即x 在二进制下是以n 为周期的循环小数,这样的x 共有2n个.10.[答案]A[评注]1z 的辐角主值为3π,2z 的辐角主值为34π,则12z z 的辐角主值为3133412πππ+=. 11.[答案]C .[解答]因为()()sin cos sin cos sin sin cos cos 2zwi ααββαβαβ=++-=, 所以sin cos sin cos sin sin cos cos 0ααββαβαβ⎧+=⎪⎨⎪-=⎩因为()cos0αβ+=,所以()sin 1αβ+=±.又因为sin 2sin 2αβ+=()()sin cos αββα+-= ()()1cos 2βαβα-=-=±. 12.[答案]C[解答]依题意,设()()()2212211:10y x C a b ab---=>>,()()()2222211:10x y C B A A B ---=>>因为12,C C 都过原点,所以222211111a b A B -=-=,即22221111a Bb A+=+.又因为121k k =,所以1a B b A =,即11aB bA=,所以 1111a B b A +=+,且1111a B A b-=-,解得,a A b B ==,所以12e e =. 13.[答案]C[解答]当()()()22sin 2sin 2x x a a a t t a t t ππππ'=+=+-=+-+⎡⎤⎣⎦时,相对应的()()1cos 2y a t y π'=-+=,即()()2f x a f x π+=,所以()f x 是周期为2a π的周期函数.14.[答案]C [解答]1y x+表示可行域中一点(),x y 与点()0,1-连线斜率,当规划问题有无数多个解时,点()0,1-在直线20x ky --=上,所以2k =.15.[答案]B 16.[答案] D[解答]逆命题:如果一个函数不是周期函数,那么它是单调函数; 否命题:如果一个函数不是单调函数,那么它是周期函数; 逆否命题:如果一个函数是周期函数,那么它不是单调函数. 7.[答案] D[解答]当01a <<时,(){},01,0,0A x y xy x y =<<>>,A ∩B ≠∅,当1a >时,(){},1,0,0A x y xy x y =>>>.若A ∩B =∅,则曲线1xy =与x y a +=仅有一个交点或无交点,消去y ,得210x ax -+=,所以240a -≤,解得12a <≤. 18.[答案]A [解答] {}\0R 与1,0n Z n n ⎧⎫⎨⎬⎩⎭∈≥中均存在以0为极限的非零实数列. 19.[答案] A[解答]当且仅当两部分面积相等时,这两部分的面积之积最大,此时直线y kx =过线段AC 上一点D ,且OA AD ⋅=,即34AD AC ==,所以13,24D ⎛⎫- ⎪⎝⎭,解得32k =-. 20.[答案]A[解答]因为())1sin 2cos 21sin 223f x x x x π⎛⎫=+=+= ⎪⎝⎭cos 262x π⎛⎫-+⎪⎝⎭,且[]20,6x ππ-∈,所以()11arccos 2212f x x π-⎛=-+ ⎝⎭,331,122x ⎡⎤∈-++⎢⎥⎣⎦.21.[答案]D[解答]12,l l 的公垂线与l 平行或重合. 22.[答案] C[解答]设P 在侧面ACC A ''上的射影为H ,则H 到侧面ACC A ''对角线的距离为2, 且34PH =,所以P 到侧面ACC A ''对角线的距离为14.23.[答案]A[提示]如图,不同的三圆组位置只有两种可能.24.[答案]B[解答]向量x 与a 、b 、c 都垂直,只需取x 与a 、b 、c 所在平面垂直,显然这样的x 有无穷多个. 25.[答案] B[解答]依题意,()()()22,1,43,1,4,1A k B k C k '''+++-,所以 ()()2,0,2,2A B k A C k ''''=+=--,因为A B A C ''''⊥,所以()()2200,2k k k +-+==±. 当2k =-时,A'与B'重合,不合题意舍去,所以2k =. 26.[答案]D[提示]利用文氏图构造反例. 27.[答案]B[解答]依题意,12312,222322nnn n kk a n an ===+++⋅⋅⋅+∑,且()23112222122nn n kk an n +==++⋅⋅⋅+-+∑.两式相减,得()()11231122222122n n n n k k an n ++==-+++⋅⋅⋅=-+∑.28.[答案] C[解答]设(),z x yi x y R =+∈.由11z z i -=-+,得()()()222211112x y x y ⎡⎤-+=-++⎣⎦. 化简,得()()22112x y -+-=.所以圆心为1i +.29.[答案]B[解答]设()()00,,:,,P x y OP y kx P x y *=,则 20211x k=-,()2011OP OP k x x *=+=,所以()2222111k x k +=-. 将y k x =代入上式化简,得()22222x y x y -=+. 30.[答案] B[解答]将cos sin sin cos x x y y x y θθθθ''=-⎧⎨''=+⎩代入曲线方程后,得x y ''项的系数为224sin cos θθθθ+-,所以224sin cos 0θθθθ+-=,解得()26k k Z ππθ=+∈.且2x '项系数为223cos 5sin cos θθθθ+-,2y '项系数为223sin 5cos cos θθθθ++,代入得椭圆方程,得2266x y ''+=或22326x y ''+=.31.[答案]B[解答]设()(),,,,m n d m ad n bd a b N *===∈,则()mx ny ax by d k +=+=, 所以d 整除k .。
复旦大学千分考文学文化常识知识试题一、文学常识填空(每小题2分,共22分)1、莎士比亚的四大悲剧是:《》、《李尔王》、《奥赛罗》和《麦克白》。
2、被誉为中国古典小说顶峰之作的长篇小说是。
3、张若虚《春江花月夜》中贯穿全篇的意象是。
4、古代的所谓“四声”包括平、上、去、四种声调。
5、古代刻在器物上用来警戒自己或者称述功德的文学形式叫“铭”。
刻在牌上,放在书案右边用以自警的铭文叫“座右铭”,如刘禹锡的《陋室铭》。
刻在石碑上,叙述死者生平,加以颂扬追思的,叫“”6、李白的诗风雄奇飘逸,杜甫的诗风。
7、孟浩然,襄阳人。
唐代第一个大量写诗的人,与齐名,世称"王孟"。
主要作品为《过故人庄》《春晓》等,结为《孟襄阳集》8、宋代词人中,最先大量写作慢词的作家是。
9、“高山流水遇知音”讲述的是春秋时期发生在钟子期和两人之间的动人故事10、祥林嫂是鲁迅的小说《》里的人物。
11、我国新文学史上第一篇短篇小说是:《》。
二、选择题(每小题2.5分,共78分)请把选择题答案写入下表:1、下列文学常识中表述不正确的一项是( )A 、《诗经》是我国第一部诗歌总集,按其内容分为"风、雅、颂"三大类,共收入诗歌三百零五篇。
《诗经》最初称《诗》,汉代儒者奉为经典,乃称《诗经》。
B 、屈原是我国历史上第一位伟大的爱国诗人,他创作了《离骚》、《九歌》、《九章》等作品。
屈原开创的楚辞,同《诗经》共同构成中国诗歌的两大源头。
C 、诸子散文,是春秋战国时期各个学派阐述自己学说的著作,是百家争鸣的产物。
诸子的思想,尤其是儒家与道家的思想影响最大。
D 、"四书五经"是儒家经典。
"四书"指《大学》、《中庸》、《论语》、《孟子》这四部书;"五经"是《诗经》、《尚书》、《礼仪》、《易经》、《春秋》的合称,其中《春秋》指的就是《左氏春秋》,也就是《左传》。
复旦大学2007年自主招生试卷1.[唐]韩愈《进学解》:“业精于勤,荒于嬉;行成于思,毁于随。
”这一句子中“于”的意A .在 B.从 C.由 D.对于2.[当]王充《论衡•量知篇》:“人之学问,知能成就,犹骨象玉石,切磋琢磨。
”其中“磋”字的准确含义是_____________ 。
A .搓弄 B.商量讨论 C.摘取 D.把象牙加工成器物3.《左传•宣公十五年》:“我无尔诈,尔无我虞。
”句中前一个“尔”的意思是_____ 。
A .如此 B.而已 C.你 D.那样4•“苦口老师归寂日知恩弟子庆生辰。
”([宋]惠洪《石门文字禅•云庵生辰》)其中“苦口” 一词的含义是A.佛口B.说话太多口变苦C. 口气沉重D.不辞烦劳、反复恳切地说5•当代小说家毕淑敏在《提醒幸福》中写道:“幸福有时会同我们开一个玩笑,乔装打扮而来。
机遇、友情、成功、团圆……它们都酷似幸福,但它们并不等同于幸福。
”与这里的“乔装打扮”一语的意思最远的一顶是A.涂脂沫粉B.改头换面C.庐山面目D.面目全非6.韩小蕙在《悠悠心会》中写道:“有的夫妻一个屋檐下厮守一辈子,有的同事一个办公室对坐几十年,就是没话,心灵始终隔膜着一片寸草不生的荒漠。
”与这里的“寸草不生”一语的意思最近的一项是______ 。
A.赤地千里B. 天府之国C. 鱼M之乡D.山穷水尽7.2004年的印度洋地震海啸令当地人民二|不及防,造成了巨大的人员伤亡和财产损失,但海啸无情人有情,通过中国国际救援队队员等多方救助后情况就得到了改善。
句中方框应填入的字是_________ 。
A.防B.措C.猝D.促8 [清]刘熙载《艺论》:“是其苦心孤诣,且不欲徇非常人意,况肯徇非常人之意乎?”句中“苦心孤诣”一语的结构属于_________ 。
A.并列式B.偏正式C.补充式D.主谓式9•蒋子龙在《乔厂长上任记》中写道:“但是,他相信生活不是命运,也不是赶机会,而是需要智慧和斗争的无情逻辑!因此他要采取大会战孤注一掷。
”这里的“孤注一掷”在句中作 _______ 。
A.补语B.状语C.宾语D.谓语10•纯洁的爱情体现着优美的____________ 。
A.对立统一性B.对立冲突性C.和谐同构性D.矛盾差异性11•耳聋之人不能欣赏马思聪的《思乡曲》是因为他气管 ________________ 。
A.后天的学习B.后天的实践C.先天的能力D.先天的灵性12. “枯藤老树昏鸦,小桥流水人家,古道西风瘦马,夕阳西下,断肠人在天涯。
”([元]马致远《天净沙•秋思》)其中的“古道西风瘦马”这一比喻表现的是___________________________________ 。
A.客观的景物描写B. 客观的必理投射C.客观景物与主观情意的交融D. 纯粹的主观情意13•泰戈尔说,翅膀坠上黄金的鸟儿将无法飞翔。
刘翔110M栏完美爆发平世纪夺冠,宣告了“刘翔时代”的到来。
但没有对手的日子是孤寂的,有名利的纠绕更加危险。
未来,他还能为世人带来多少惊喜,没人能预知,在这个巨星升起和陨落同样倏忽的年代,这的确是留给世人的一声重重的叩问。
这“重重的叩问”是指_________。
A.在巨星升起和陨落同样倏忽的年代刘翔是否趎的没有对手。
B.鲜花和名望是否会让刘翔成为一颗转瞬即逝的流星。
C.刘翔走上了偶像的神坛之后,能否经受得住世俗眼光的评判。
D.刘翔面对巨大的名利诱惑,能否继续奋斗、再创辉煌。
14•“夸父与日逐走,人日。
渴欲得饮,饮于河、渭;河渭不足,北饮大泽。
未至,道渴而死。
弃其杖,化为邓林。
”这个神话故事出自__________ 。
A.《山海经•海外北经》B.《水经注》C.《天工开物》D.《梦溪笔谈》15.“美丽地描绘一副面孔”和“一副美丽的面孔”分别指的是_ 。
A.艺术的美、自然的美B.自然的美、艺术的美C.现实的美、艺术的美D.艺术的美、社会的美16.风来似一片绿色的海,夜静如一堵坚固的墙“(张抗抗《地下森林断想》)。
这里运用联想的方式属于_________ 。
A.对比联想B.接近联想C.相似联想D•因果联想17._________________________________ 幻想中的情感体验是。
A.真实性B.虚假的C.功利性的D.超脱的18._____________________________________________ 下列名句中的空缺,正确的是。
__________________________ ,飞鸟相与还。
(陶渊明《饮酒》)A.海客谈瀛洲B.山气日夕佳C.结庐在人境D.古道接悠远19._______________________________________ 以下不具有崇高感的诗句是。
A.人闲桂花落B.飞泉挂碧峰C.海上生明月D.飞流直下三千尺20.秦观《踏莎行郴州旅舍》有“驿寄梅花,鱼传尺素”的句子,其中的“鱼”是指A.鲤鱼B.木鱼C.信函D.信笺21.在中国近代教育史上,主张“以美育代宗教”的人物是_____A.孙中山B.王国维C.梁启超D.蔡元培22.熟悉大海的人见到大海的画面,口中有了海水的咸味,这种现象属于A.想象B.联想C.通感D.理解23.对“六书”解释正确的一项是—。
A.甲骨文、金文、篆文、隶书、楷书、行书B.风、雅、颂、赋、比、兴C.《诗》、《书》、《礼》、《易》、《乐》、《春秋》D.象形、指事、会意、形声、移注、假借24.牛顿的联想随之褪色,难怪有人感到失望而责怪牛顿。
句中的“霓裳羽衣”见诸A.[唐]李白《将进酒》B.[唐]白居易《长恨歌》C.[唐]杜牧《过华清宫绝句》D.[唐]李商隐《锦瑟》25•颜之推《涉务》云:“古人欲知稼穡之艰难,斯盖贵谷务本之道也。
夫食为民天,民非食不生矣,三日不粒,父子不能相存。
”下列句中“为”的含义与“食为民天”中的“为”含义相同的一项是____ 。
A.皆信僮仆为之B. “子为谁?”曰“为仲由。
”C.秦为知之,必不救也D.今故告之,反怒为?26•东施效颦所模仿的对象是 ______ ,典出 _。
A.褒姒《荀子》B.毛嫱《管子》C.西施《庄子》D貂婵《三国演义》27.我们从有限的对象中获得无限的韵味需要对象本身具有__。
A.想象性特征B.抽象性特征C.具象性特征D.自觉性特征28 •文艺复兴以后,西方悲剧的主要对象是__________ 。
A.神B.人自身的性格C.社会D.人的灵魂29.[元]赵禹圭《折桂令•过金山寺》:“长江浩浩西来,水面云山,山上楼台。
山水查=上连,楼台相对,天与安排。
诗句成云烟动色,酒杯倾天地忘怀。
醉眼睁开,遥望蓬莱,一半儿云遮,一半儿烟霾。
”对这首元曲解说不恰当的一项是。
A.作者用“浩浩西来”的长江的动景来衬托巍峨的金山寺,显得绮丽动人。
B.这首元曲的开头没有直接写金山寺,而是描写金山寺气势不凡的背景。
C.“诗句成云烟动色,酒杯倾天地忘怀”是用狂态来表现自己沉醉在如此胜景中的豪情。
D.“山水相连,楼台相对”说的是金山寺倒映江中,山与水连在一起,楼中上下30•“上海的石库门住宅是特定历史的产物,是弄堂里的上海风情!我虽然没在那里住过,但我懂得那一种感觉。
那里所有的温煦、质朴和对待生活的韧性是我所熟识的,也是我所向往的。
这恐怕是我生长的家庭和我成长的城市所给予我的唯一不变的东西。
有一天,上海的石库门会像曾经居于其间的人一样悄然地逝云,但是他们留给这尘世的那种精神却永远不变。
”这段文字的结尾流露出作者怎样的感情?下列说法中不正确的一项是_______ 。
A.生活在现代都市,同时保有着对以往石库门生活的同情B.对上海石库门的古旧所传递的一份永远不变的精神眷恋C.上海石库门所代表的一种石库门文化让作者着迷与留恋相互映照,山在水中,水在山上,一派奇妙景象。
D.对于上海石库门住宅中的具体的旧事和故人的怀念31. They are fed up the old routine. A. with B. of C. at D. on32. He is such a(n) teacher that has devoted all his and en ergy to his stude nts. A. con scie ntious B. con scious C. academic D. scie ntific 33. We are look ing for some one with a real sense of to the job. A. committee B. commitme nt C. com munity D. commissi on34. There are fewer worki ng hours in the executive jobs, the job stress is comparatively higher. A. that B. where C. which D. what35.Since you are ______________ to the seafood, you ' d better avoid eating it. A. sen sible B. sen time ntal C. sen sitive D. sen sory 36. Duri ng the celebratio n, fireworks have bee n at the bay. ________A. set outB. set aboutC. set upD. set off37. They declared the war, for they believed that country had the weap ons of mass destruct ion.A. liberatedB. coun teredC. approvedD. proliferated 38. The jour nalist reported theof children labors who had worked many days on end.A. expa nsionB. expediti onC. exploitati onD. explorati onWhat is the thing called happ in ess? For cen turies, people were too busy purs uing it 39 much time an alyz ing it. Now a pion eeri ng band of researchers has fin ally bagged the elusive quarry or at least take n its measure. Using such sophisticated new tools 40 the five-item Life Satisfacti onScale and the seve n-po int Delighted-terrible Scale (On a scale of one to seve n, how do you feel about your life?),socialpsychologists have plumbed the heart of happ in ess.And their an swerto theage-old 41 is that it all depe nds.Happ in ess, that is, 42 what makes. you feel happy, which is why psyclhologists often call it“ subjective well-be ing. ” But from studies of various age and populati on groups in the Un ited StatesSarah Alexa nder celebrated the start of her last year at Wells College the way many other seniors before her have. She ran across the picturesque to the shores of Cayuga Lake, where she jumped into the water.So did many of her fellow seniors. But doze ns of stude nts decided to stay away, especially the relatively few n ewly arrived male stude nts. Wells College, which since 1868 had educated only wome n, bega n accept ing men this year in hopes of bolstering its dwindling enrollment. For many students and alumnae, it was a crushing decision. After the college announced last October that it would go coeducati on al, about half of the stude ntsprotested and two filed a lawsuit, which they later dropped.The students — 33 men and 383 women - campus late month Both sexes are now trying to navigate new social Iandscape. Mr. Phillips said “ Youand abroad, they have reached some44 at the top of the charts is not, as many might expect, success, youth, good looks or any 45 assets. The clear winner is relati on ship, close on es, followed by happy marriage. seem _______ 46 ________ important._______ 47 ________ happy people “ best friend. ”of those Supportive, questi ons,psychologistin timate conn ecti ons with other peopleDavid Myers found that the 48 their _Usi ng simpleare those insurvey unhappymarriages. Happiest are those who married 39. A.to spe nd B.spe nding 40. AlikeB.alikeC.as41. A.psychology B.mystery42. A.results in C.has spe ntD.have spe ntD.for in sta neeC.solutio nD.trick C.depe ndes on D.arrives at43.A.realistic 44. A.e ndlessly 45. Ae nviable 46. A.vastly 47. A.most B.leans aga inst B.idealisticB.con tradictorilyC.harm onio uslyD.con sistr ntly B.reliabeleC.i nevitableD.en durableB.treme ndouslyC.swiftlyD.basically B.best C.least D.worst C.objective D.i ndividualistic48.A.to B.withC.forD.offcan' t do guy stuff. Every time you want to sit and watch sports or a game, it turns into a movie. ” The women were “ some what nasty.” I could see the dirtylooks in their eyes, ” he said. “ But I was not going to let that stop me from coming. ”Wells was a place where women did not have to fuss over their appearanee or fight to be taken seriously by their professors. They could enjoy the camaraderie of their campus sisters and their playful traditions. Besides jumping into the lake, the women dance around the maypole each May andkiss the feet of the statue of Min erva, the Roma n goddess of wisdom, before exams.Ms. Alexander said, “ People told us we wouldn' t notice a differenee, but from the moment menarr ived on campus not could notice a differenee. Waking up early to put on makeup, and that ' s odd, ”she said.Henry Wells, a foun der of Wells Fargo and a frie nd of Corn ell ' s ben efactor, Ezra Corn ell established this col wome n were not con sidered capable of higher lear ning. “ Give her the opport uni ty, ” he wrote.Henry Wells, a foun der of Wells Fargo and a friend of Corn ell ' s ben efactor, Ezra Corn ell established this college, when were not considered capable of higher learning. “ Give her theopport uni ty, ” he wrote.The great-great-great-great granddaughter of Henry Wells, Stephanie Redmond, 18,of WashingtonState, said that earlier this year a Wells stude nt had tracked her dow n and asked her to support the protest. But Ms. Redmond said the move the moveto admit men had encouraged her to enroll at Wellsthis year as a freshma n. She pla ns on a career in engin eeri ng, a male-do min ated field, and saidattending an all- women s college might have put her at a disadvantage.49.The primary reas on for the Wells College to accept men is that . ___________A. its en rollme nt rate is decli neB.the campus is lack of vigor and vitalityC.it will face the dest iny of being closed dow nD.all- women' s college might put a woma n at a disadva ntage50. A typical behavior for seniors to do that ______A.they jog along the picturesque campusB.they switch sports programs to a movieC.they celebrate their year by jump ing into a lakeD.they swim in Cayuga Lake accompa nied by friends51.The cha nge after turning into a coed college is that ______ .A.dirty looks in women ' s eyes have disappearedB.wome n get up early to make upC.wome n are wak ing up early to studyD.wome n dance with men around the maypole52.The attitude of the author is that .A. she hares a traditi on of all-wome n schoolsB.she calls on wome n in support the protestC.she dislikes the cha nge and hopes to file a lawsuitD.she objectively describes the new and un easy coeducati on53.Which of the followi ng stateme nts is Not true?A. The en rollme nt of male stude nts caused con troversy,B.The gran dchildre n of the college foun der ben efited most.C.The curre nt preside nt of the college was also its graduate.D.The founder hoped to give women opportunities of higher education.But what is teacher quality? How can one measure it reliably?An an alysis is issued a sample of data a Texas school district. Experts argue convincin gly that teacher effect iven ess should be measured bystude nts ' gains on sta ndardized tests: Mr. iS ipiitheumably a better teacher tha n Ms. Brow n if his stude ntscon siste ntly improve their test scores more tha n hers do.Though this approach is appeali ng, there are tricky issues. For example, what if Ms. Brow n teaches in a school where stude nts score so high there is little room for improveme nt?The authors try to correct for this problem, as well as other sorts of measureme nt issues, to gen erate a measureme nt of teacher effectiveness. The paper is primarily concerned with how this measure is related to other observable teacher characteristics.The first finding is that is a large variatio n in teacher effect iven ess: some teachers con siste ntly have a larger impact on their stude nts ' achieveme nt tha n others.Second, easily observable characteristics like havi ng a master ' s degree or a passing score on the teacher certification exam are not correlated with teacher effect iven ess.The n what does matter? The most importa nt si ngle in flue nee is experie nee: first-year teachers are much less effective tha n others. The second year is significantly better, and by the fourth year, most teachers hit their stride.It is not entirely clear whether this experience effect is learning by doing (the more you teach, the more effective you become) or survival of the fittest (those who are not good at teaching tend to drop out early).From my read ing of the paper, both effects appear importa nt and there is no simple an swer. The data do suggest, however, that teacher effect iven ess is pretty clear by the end of the sec ond year, so the in formati on to make an in formed decisi on is available at that time.The authors also in vestigate the conten tious issue of racial matchi ng of stude nts and teachers. Here they find strong evidence that minority teachers tend to be more effective with minority students. Again, it is unclear whether this is because of a role model effect (stude nts resp ond better of their own race )or an empathy effect (teachers empathize better with stude nts of their own race )or someth ing else en tirely.The authors also look at teacher mobility. There is some evide nce that teachers who quit teachi ng or switch schools tend to be below average in effective ness. This is con siste nt with the survival-of-the-fittest model.54.The schoolmaster could decide wisely whether to further employ the teacher by the end of theA. the first yearB. the sec ond yearC. the third yearD. the fourth year55.The phrase" hit their stride ” most probably means “_________________________A. reach their no rmal levelB. become con fide ntC. walk with long stepsD. get bored56.The author of this passage the view that . ________A.teachers will perform better with time pass ingB.in effective teachers should leave earlier rather tha n laterC.teacher ' s effectiveness is apparenrt a fteuple of yearsD. a master ' s degree will improve teacher ' s effectiveness57.Why do black teachers tend to be more effective with black stude nts?A.Students feel secure, so they respond better.B.Teachers sympathize with stude nts of their own race.C.There are entirely some other identified reasons.D.The reas ons are far from clear and defi nite.58.Which of the follow ing may serve as the best title?A. Tenure, Turno ver and the Quality of Teachi ngB. Impact of Teacher Quality on Stude nt Lear ningC. Different Sorts of Measureme nt IssuesD. Survival-of-the-fittest Model vs. Lear nin g-by-do ing Model59.三边均为整数,且最大边长为11的三角形,共有 个。