高数证明题(1)
- 格式:pdf
- 大小:31.60 KB
- 文档页数:2
一般班高数作业(上)第一章 函数1、试判断以下每对函数是不是同样的函数,并说明原因: (2) y sin(arcsin x) 与(6) yarctan(tan x) 与 y x ;(4)y x ;(8)y x 与 y x2;y f ( x) 与 xf ( y) 。
解:判断两个函数的定义域和对应法例能否同样。
(2) y sin(arcsin x) 定义域不一样,所以两个函数不一样;(4) y x 2x ,两个函数同样;(6) y arctan(tan x) 定义域不一样,所以两个函数不一样;(8) yf (x) 与 xf ( y) 定义域和对应法例都同样,所以两个函数同样。
2、求以下函数的定义域,并用区间表示:x 211(2) yx;(7) y ex x;(3) y 2 xarcsinln 1x解:(2) x [ 2,0) ;(3) x [1 e 2 ,0) (0,1 e 2 ] ;(7) x(0, e)(e,) 。
1 。
1 ln xf (x)x 2 1, x 03、设 1x 2, x ,求 f ( x) f ( x) 。
解:按 x 0 , x 0 , x 0 时,分别计算得, f (x)0 x 0f ( x)x 。
2 04、议论以下函数的单一性(指出其单增区间和单减区间) :(2) y4xx2;(4) y x x 。
解:(2) y 4xx24 ( x 2) 2单增区间为 [0,2] ,单减区间为 [ 2,4] 。
(4) yx x2x x 0) 。
0 x ,定义域为实数集,单减区间为 ( ,5、议论以下函数的奇偶性:(2)f ( x) x x2 1 tanx ;(3)f (x) ln( x2 1 x);(6) f ( x) cosln x ;1 x, x 0 (7) f (x)x, x 0。
1解:(2)奇函数;(3)奇函数;( 6)非奇非偶函数;( 7)偶函数。
6、求以下函数的反函数及反函数的定义域:2x), D f ( ,0) ;() f ( x) 2x 1, 0 x 1()。
高等数学(一)(第一章练习题)一、 单项选择题1.设f (1-cos x )=sin 2x, 则f (x )=( A )A.x 2+2xB.x 2-2xC.-x 2+2xD.-x 2-2x2.设x 22)x (,x )x (f =ϕ=,则=ϕ)]x ([f ( D )A.2x 2B.x 2xC.x 2xD.22x3.函数y=31x1ln -的定义域是( D ) A .),0()0,(+∞⋃-∞ B .),1()0,(+∞⋃-∞ C .(0,1] D .(0,1)4.函数2x x y -=的定义域是( D )A.[)+∞,1B.(]0,∞-C.(][)+∞∞-,10,D.[0,1]5.设函数=-=)x 2(f 1x x )x 1(f ,则( A ) A.x 211- B.x 12- C.x 2)1x (2- D.x)1x (2- 6.已知f(x)=ax+b,且f(-1)=2,f(1)=-2,则f(x)=( )A.x+3B.x-3C.2xD.-2x7.设f(x+1)=x 2-3x+2,则f(x)=( B )A.x 2-6x+5B.x 2-5x+6C.x 2-5x+2D.x 2-x 8.已知f(x)的定义域是[0,3a],则f(x+a)+f(x-a)的定义域是( )A .[a,3a]B .[a,2a]C .[-a,4a]D .[0,2a]9.函数y=ln(22x 1x 1--+)的定义域是( C )A .|x|≤1B .|x|<1C .0<|x|≤1D .0<|x|<110.函数y=1-cosx 的值域是( C )A.[-1,1]B.[0,1]C.[0,2]D.(-∞,+∞) 11.设函数f(x-1)=x 2-x,则f(x)=( B )A .x(x-1)B .x(x+1)C .(x-1)2-(x-1)D .(x+1)(x-2)12.设函数f (x )的定义域为[0,4],则函数f (x 2)的定义域为( D )A.[0,2]B.[0,16]C.[-16,16]D.[-2,2]13.设f(t)=t 2+1,则f(t 2+1)=( D )A.t 2+1B.t 4+2C.t 4+t 2+1D. t 4+2t 2+2 14.设1)1(3-=-x x f ,则f (x )=( B )A .x x x 2223++B .x x x 3323++C .12223+++x x xD .13323+++x x x15.下列区间中,函数f (x)= ln (5x+1)为有界的区间是( C )A.(-1,51)B.(-51,5)C.(0,51)D.(51,+∞) 16.函数f(x)=arcsin(2x-1)的定义域是( D )A.(-1,1)B.[-1,1]C.[-1,0]D.[0,1]17.设函数y =f (x )的定义域为(1,2),则f (ax )(a <0)的定义域是( B ) A.(a a 2,1) B.(aa 1,2) C.(a ,2a) D.(a a ,2] 18.函数f (x )=2211⎪⎭⎫ ⎝⎛--x 的定义域为( B ) A .[]1,1- B .[]3,1- C .(-1,1)D .(-1,3) 19.函数f (x )=21sin 2x x++是( C )A.奇函数B.偶函数C.有界函数D.周期函数 20.函数f (x )=ln x - ln(x -1)的定义域是( C )A .(-1,+∞)B .(0,+∞)C .(1,+∞)D .(0,1) 二、填空题1.已知f (x +1)=x 2,则f (x )=________.2.设函数f(x)的定义域是[-2,2],则函数f(x+1)+f(x-1)的定义域是___________.3.函数y=x ln ln 的定义域是 .4.若f(x+1)=x+cosx 则f(1)=__________.5.函数y=1+ln(x+2)的反函数是______.6..函数y=arcsin(x-3)的定义域为___________。
习题1-41. 两个无穷小的商是否一定是无穷小?举例说明之. 解 不一定.例如, 当x →0时, α(x )=2x , β(x )=3x 都是无穷小, 但32)()(lim0=→x x x βα, )()(x x βα不是无穷小.2. 根据定义证明:(1)392+-=x xy 当x →3时为无穷小;(2)xx y 1sin =当x →0时为无穷小.证明 (1)当x ≠3时|3|39||2-=+-=x x x y . 因为∀ε>0, ∃δ=ε , 当0<|x -3|<δ时, 有 εδ=<-=+-=|3|39||2x x x y , 所以当x →3时392+-=x x y 为无穷小.(2)当x ≠0时|0||1sin |||||-≤=x xx y . 因为∀ε>0, ∃δ=ε , 当0<|x -0|<δ时, 有εδ=<-≤=|0||1sin |||||x xx y ,所以当x →0时xx y 1sin =为无穷小.3. 根据定义证明: 函数xx y 21+=为当x →0时的无穷大. 问x 应满足什么条件, 能使|y |>104?证明 分析2||11221||-≥+=+=x x x x y , 要使|y |>M , 只须M x >-2||1, 即21||+<M x .证明 因为∀M >0, ∃21+=M δ, 使当0<|x -0|<δ时, 有M x x >+21,所以当x →0时, 函数xx y 21+=是无穷大.取M =104, 则21014+=δ. 当2101|0|04+<-<x 时, |y |>104.4. 求下列极限并说明理由: (1)xx x 12lim +∞→;(2)xx x --→11lim 20. 解 (1)因为xx x 1212+=+, 而当x →∞ 时x 1是无穷小, 所以212lim =+∞→x x x .(2)因为x xx +=--1112(x ≠1), 而当x →0时x 为无穷小, 所以111lim20=--→x x x .6. 函数y =x cos x 在(-∞, +∞)内是否有界?这个函数是否为当x →+∞ 时的无穷大?为什么?解 函数y =x cos x 在(-∞, +∞)内无界.这是因为∀M >0, 在(-∞, +∞)内总能找到这样的x , 使得|y (x )|>M . 例如y (2k π)=2k π cos2k π=2k π (k =0, 1, 2, ⋅ ⋅ ⋅),当k 充分大时, 就有| y (2k π)|>M .当x →+∞ 时, 函数y =x cos x 不是无穷大.这是因为∀M >0, 找不到这样一个时刻N , 使对一切大于N 的x , 都有|y (x )|>M . 例如0)22cos()22()22(=++=+ππππππk k k y (k =0, 1, 2, ⋅ ⋅ ⋅),对任何大的N , 当k 充分大时, 总有N k x >+=22ππ, 但|y (x )|=0<M .7. 证明: 函数xx y 1sin 1=在区间(0, 1]上无界, 但这函数不是当x →0+时的无穷大.证明 函数xx y 1sin 1=在区间(0, 1]上无界. 这是因为∀M >0, 在(0, 1]中总可以找到点x k , 使y (x k )>M . 例如当221ππ+=k x k(k =0, 1, 2, ⋅ ⋅ ⋅)时, 有22)(ππ+=k x y k ,当k 充分大时, y (x k )>M .当x →0+ 时, 函数xx y 1sin 1=不是无穷大. 这是因为∀M >0, 对所有的δ>0, 总可以找到这样的点x k , 使0<x k <δ, 但y (x k )<M . 例如可取πk x k 21=(k =0, 1, 2, ⋅ ⋅ ⋅),当k 充分大时, x k <δ, 但y (x k )=2k πsin2k π=0<M .。
大一高数数列的极限证明经典例题
高数数列极限证明:
一、定义
1、定义数列:用a1,a2,a3,…an来表示,其中每个数字
ai(i=1,2,3,…,n)都是实数,n∈N。
2、定义极限:若存在一个实数L,使得对于任意的正数ε,总存在一个正整数N,使得当n>N时,就有|an–L|<ε,即an收敛于L时,就称L是数列{an}的极限。
二、证明
1、准备工作:假设an收敛于L,即存在正整数N,使得当n>N时,就有|an–L|<ε。
2、正式证明:证明L是数列{an}的极限:
(1)对于任意ε>0,
因为L是数列{an}的极限,故对于ε我们找到了N,使得当n>N时,就有|an-L|<ε。
(2)得出结论:因此,L是数列{an}的极限。
三、总结
通过上述定义和证明,高数数列的极限的证明就完成了,它的总结如下:
1、当我们假设数列{an}的极限为L,对任意正数ε>0,总存在一个正整数N,使得当n>N时,就有|an-L|<ε,即已经证明L是数列{an}的极限。
2、本题中,通过定义和证明,让我们清楚了解了高数数列的极限的概念和证明方法,也可以为下一步探讨极限打下坚实基础。
习题1.1222222222222222222.,,.3,3.3,,313 2.961,9124,31.3,93,3,3.,,.,,,,p p p q p q p q q p p k p k p k k p k k p p k k q q k q p q p a a a b p a pb b b====+=+=++=++======为互素自然数除尽必除尽否则或除将余故类似得除尽与互素矛盾.设是正的素数为互素自然数,则素证 2.证 1.2222222,,.,..,:(1)|||1| 3.\;(2)|3| 2.0,13,22,1,(1,0);01,13,13,(0,1);1,13,3/2,(1,3/2).(1,0)(0,1)p a p a a pk p k pb pk b p b a b x x x x x x x x x x x x x x x X ===+-<-<<-+-<>->--<<+-<<>+-<<=-⋃数除尽故除尽类似得除尽此与为互素自然数矛盾.解下列不等式若则若则若则3.解(1)222(1,3/2).(2)232,15,1||5,1||(1).,(1)||||||;(2)||1,|||| 1.(1)|||()|||||||||,||||||.(2)|||()||||||x x x x x a b a b a b a b a b a a b b a b b a b b a b a b a b a b b a b b ⋃-<-<<<<<<<=⋃-+≥--<<+=++-≤++-=+++≥-=+-≤+-<设为任意实数证明设证明证4.,| 1.(1)|6|0.1;(2)||.60.160.1. 5.9 6.1.(, 6.1)( 5.9,).(2)0,(,)(,);0,;0,(,).11,01,.1, 1.11x x a l x x x x X l X a l a l l x a l X a a n n a b a ++>->+>+<->-<-=-∞-⋃-+∞>=++∞⋃-∞-=≠<=-∞+∞-><<>=>-=-=解下列不等式或或若若若若证明其中为自然数若解(1)证5.:6.1200001)(1)1).(,),(,).1/10.{|}.(,),,{|},10{|}./10,(1)/10,/10(1)/101/10n n n n n n n n n n n b b n a b a b n b a mA A m A a b ABC B A x x b C A x x a B m m C b a m m --+++><-=∈⋂=∅=⋃=⋂≥=⋂≤-∈-≤-Z 设为任意一个开区间证明中必有有理数取自然数 满足考虑有理数集合= 若则中有最小数-=证7.(,),(,).1/10.|}.10n n n n a b a b mn b a A m <-=∈Z ,此与的选取矛盾. 设为任意一个开区间证明中必有无理数取自然数 满足考虑无理数集合 以下仿8题.8.证习题1.26426642642666613.(1,)1).13.(,).13||13,||1,3,11||3,(,).yy xx x xyxx x x x x x xx xx x xy y x=+∞===<>++=-∞+∞+++++≤≤>≤=++=≤∈-∞+∞证明函数内是有界函数.研究函数在内是否有界时,时证解习题1.4221.-(1)0);(2)lim;(3)lim;(4)lim cos cos.1)0,,,||.,||,|,(2)0x ax x a x a x axa x a e e x ax a x aεδεεεδδεε→→→→→>===∀>=<<<-<=-<<∀>直接用说法证明下列各极限等式:要使取则当时故证(222222,|| 1.||||||,|||||2|1|2|,1|2|)||,||.min{,1},||,1|2|1|2|||,lim(3)0,.||(1),01),1x ax a a x a x aax a x a x a x ax a x a a aa x a x a x aa ax a x ax a e e e e eeεεεεδδεεεε→---<-=+-<+≤-+<++-<-<=-<++-<=∀>>-=-<<-<<不妨设要使由于只需(取则当时故设要使即(.1,0ln1,min{,1},0,||,1|2|lim lim lim0,|cos cos|2sin sin2sin sin||,2222,|,|cos cosx aax aax a x a x ax a x a x aeex a x a e ee ae e e e e ex a x a x a x ax a x a x a x aεεεδδεεδεδ-→+→-→<+⎛⎫<-<+=<-<-<⎪+⎝⎭===+-+-∀>-==≤-=-<-取则当时故类似证故要使取则当|时...(4)2|,lim cos cos.2.lim(),(,)(,),().1,0,0|-|,|()|1,|()||()||()|||1||.(1)1(1)lim lim2x ax ax xx af x l a a a a a u f xx a f x lf x f x l l f x l l l Mxxεδδεδδ→→→→<==-⋃+==><<-<=-+≤-+<+=+-=故设证明存在的一个空心邻域使得函数在该邻域内使有界函数对于存在使得当 时从而求下列极限证3.:2002222200000221222lim(1) 1.222sin sin1cos11122(2)lim lim lim1.2222(3)0).22(4)lim.22332(5)lim22xx x xx xxxx x xxx xxxx xax xx xx xx x→→→→→→→→+=+=⎛⎫⎛⎫⎛⎫⎪ ⎪⎪-⎝⎭⎝⎭⎪====⎪⎪⎝⎭==>---=-------2.33-=-20103030300022********(23)(22)2(6)lim 1.(21)2 1.13132(8)lim lim lim 11(1)(1)(1)(1)(1)(2)lim lim (1)(1)x x x x x x x x x x x x x x x x x x x x x x x x x x x x →∞→→→-→-→-→--+==+==-+---⎛⎫-== ⎪+++-++-+⎝⎭+-==+-+214442100(2)31.(1)3244.63(1)1(1)12(10)lim lim lim .1(11)lim x x x nnnx y y x x x x n n ny y y x y n x y y→-→→→→→→→∞--==--+====-+++-+-===- 101100100101001010.(12)lim (0)./,(13)lim (0)0, , .(14)x m m m mnn n x n nmm m n nx n x x a x a x a a b b x b x b b a b m n a x a x a a b n mb xb x b m n--→--→∞→∞→∞==+++≠=+++=⎧+++⎪≠=>⎨+++⎪∞>⎩= 1.=00222220(15)()5lim(1)55lim .3(1)(16)0,l xx x x x x xx x x a →→→→=++=++==++>00imlim lim x a x a x a →+→+→+⎫=⎫=+00lim lim x a x a →+→+⎛⎫=⎛⎫==000222200000sin 14.lim 1lim 1sin sin (1)lim lim lim cos .tan sin sin(2)sin(2)2(2)lim lim lim 100323tan 3sin 2tan 3sin 2(3)lim lim lim sin 5sin 5xx x x x x x x x x x x x e x x x x x x x x x x x x xx x x x x αααββββ→→∞→→→→→→→→→⎛⎫=+= ⎪⎝⎭=====-=- 利用及求下列极限:00()1/0321.sin 5555(4)lim lim 2cos sinsin sin 22(5)lim lim cos .2(6)lim 1lim 1lim 1.(7)lim(15)x x x a x a kxxxk kk k x x x yy x x xxx a x a x a a x a x ak k k e x x x y →→+→→----→∞→∞→∞→=-===+--==--⎡⎤⎛⎫⎛⎫⎛⎫⎢⎥+=+=+= ⎪ ⎪ ⎪⎢⎥⎝⎭⎝⎭⎝⎭⎣⎦-=51/(5)50100100lim(15).111(8)lim 1lim 1lim 1.5.lim ()lim ().lim ():0,0,0|-|().lim (y y x xx x x x ax x a x y e e x x x f x f x f x A x a f x A f x δδ--→+→∞→∞→∞→→-∞→→-∞⎡⎤-=⎢⎥⎣⎦⎡⎤⎛⎫⎛⎫⎛⎫+=++= ⎪ ⎪ ⎪⎢⎥⎝⎭⎝⎭⎝⎭⎣⎦=+∞=-∞=+∞>><<>给出及的严格定义对于任意给定的存在使得当时):0,0,().A x f x A =-∞>∆><-∆<-对于任意给定的存在使得当时习题1.5222 21.(2)sin5.(1)0,|.,,|||||,0555()(2)(1)0,|sin5sin5|2|cos||sin|.22xx x axx x x xx a x ax aεδεεεδδεεε-==∀>=<≤<<=<<=+-∀>-=<试用说法证明连续在任意一点连续要使只需取则当时有连续.要使由于证000000555()2|cos||sin|5||,5||,||,225,|||sin5sin5|,sin55()()0,0||()0.(),()/2,0||(x a x ax a x a x ax a x a x x a y f x x f x x x f xf x x f x x xf xεεεδδεδδεδδ+-≤--<-<=-<-<==>>-<>=>-<只需取则当时有故在任意一点连续.2.设在处连续且证明存在使得当时由于在处连续对于存在存在使得当时证000000000000 )()|()/2,()()()/2()/20.3.()(,),|()|(,),?(,),.0,0|||()()|,||()||()|||()()|,||.f x f x f x f x f x f xf x a b f x a bx a b f x x xf x f x f x f x f x f x f xεδδεε-<>-=>∈>>-<-<-≤-<于是设在上连续证明在上也连续并且问其逆命题是否成立任取在连续任给存在使得当时此时故在连续其证0001,,(),()|11,ln(1),1,0,(1)()(2)()arccos, 1.0;lim()lim1(0),lim()(0)x x xxf x f xxax xxf x f xa x xa x xf x f f x fπ→-→→+⎧=≡⎨-⎩+≥⎧<==⎨<+≥⎩⎪⎩=====逆命题是有理数不真例如处处不连续但是|处处连续.是无理数4.适当地选取,使下列函数处处连续:解(1)11112sin2limsin31.(2)lim()lim ln(1)ln2(1),lim()lim arccos(1)ln2,ln2.5.3:(1)lim cos cos lim cos0 1.(2)lim(3)lim xx x x xx xxxxxaf x x f f x a x a fax xe eπ→→+→+→-→-→+∞→+∞→→==+====-===-=====利用初等函数的连续性及定理求下列极限sin22sin3322.(4)lim arctan arctan lim arctan1.114xxx xex xπ→∞→∞====++()()(ln ())()(5)6.lim ()0,lim (),lim)().lim)()lim)x g x b x x x x x x g x f x g x x x x x f x a g x b f x a f x e →→→→→====>====设证明证0lim [(ln ())()]ln 22.7.,,(1)()cos ([]),,(2)()sgn(sin ),,,,1,(3)()1,1/2, 1.1(4)()x x f x g x b a b e e a f x x x n f x x n n x x f x x x x f x ππ→===-∈=∈⎧≠==⎨=⎩+=Z Z 指出下列函数的间断点及其类型若是可去间断点请修改函数在该点的函数值,使之称为连续函数:间断点第一类间断点.间断点第一类间断点.间断点第一类间断点.,011,sin,12,11,01,2(5)(),12,2,1,2 3.1x x x x x x f x x x x x xπ⎧≤≤⎪=⎨<≤⎪-⎩⎧≤≤⎪-⎪=<≤=⎨⎪⎪<≤-⎩间断点第二类间断点.间断点第一类间断点.0000008.(),(),()()()()()()()()()()(()())()()()()()0,()().y f x y g x x h x f x g x x f x g x x h x f x g x x x g x f x g x f x x x f x g x x f x g x D x ϕϕ===+==+=+-=≡=R R 设在上是连续函数而在上有定义但在一点处间断.问函数及在点是否一定间断?在点一定间断.因为如果它在点连续,将在点连续,矛盾.而在点未必间断.例如解习题1.600001.:()lim (),lim (),,,,()0,()0,[,],,(,),()0.2.01,,sin ,.(x x P x P x P x A B A B P A P B P A B x A B P x y y x x f x εε→+∞→-∞=+∞=-∞<<>∈=<<∈=-R 证明任一奇数次实系数多项式至少有一实根.设是一奇数次实系数多项式,不妨设首项系数是正数,则存在在连续根据连续函数的中间值定理存在使得设证明对于任意一个方程有解且解是唯一的令证证000000000000000212121212121)sin ,(||1)||1||,(||1)||1||,[||1,||1],,[||1,||1],().,()()(sin sin )||0,.3.()(,x x f y y y y f y y y y f y y x y y f x y x x f x f x x x x x x x x x f x a b εεεεε=---=--+<-≤+≥+->≥--+∈--+=>-=---≥--->在连续由中间值定理存在设故解唯一设在1212112212121121121112212221212121212),,(,),0,0,(,)()()().()(),.()(),()()()()()()()(),[,]x x a b m m a b m f x m f x f m m f x f x x f x f x m f x m f x m f x m f x m f x m f x f x f x m m m m m m x x ξξξ∈>>∈+=+==<+++=≤≤=+++连续又设证明存在使得如果取即可设则在上利用连续函数的中间值定理证.4.()[0,1]0()1,[0,1].[0,1]().()(),(0)(0)0,(1)(1)10.,01.,,(0,1),()0,().5.()[0,2],(0)(2).y f x f x x t f t t g t f t t g f g f t t g t f t t y f x f f =≤≤∀∈∈==-=≥=-≤∈====即可设在上连续且证明在存在一点使得如果有一个等号成立取为或如果等号都不成立则由连续函数的中间值定理存在使得即设在上连续且证明证12121212[0,2],||1,()().()(1)(),[0,1].(0)(1)(0),(1)(2)(1)(0)(1)(0).(0)0,(1)(0),0, 1.(0)0,(0),(1),,(0,1)()(1x x x x f x f x g x f x f x x g f f g f f f f g g f f x x g g g g f ξξξ-===+-∈=-=-=-=-====≠∈=+在存在两点与使得且令如果则取如果则异号由连续函数的中间值定理存在使得证12)()0,, 1.f x x ξξξ-===+取第一章总练习题221.:581 2.3|58|1422.|58|6,586586,.3552(2)33,52333,015.5(3)|1||2|1(1)(2),2144,.22|2|,.2,2,4,2;2,3x x x x x x x x x x x x x x x x x y x x x y x y x y x y x y x -≥-≥-≥-≥-≤-≥≤-≤-≤-≤≤≤+≥-+≥-+≥-+≥=+-≤=+≤=->=求解下列不等式()或或设试将表示成的函数当时当时解解解2.解222312312,4,(2).32,41(2), 4.313.1.22,4(1)44,0.1,0.4.:1232(1)2.222221211,.22123222n n y x y y y x y y x x x x x x x x x x n n n n ->=--≤⎧⎪=⎨->⎪⎩<+≥-<++<++>≥-≠+++++=-+==++ 的全部用数学归纳法证明下列等式当时,2-等式成立设等式对于成立,则解证1231111121211222112312222222124(1)(1)3222,22221..1(1)(2)123(1).(1)1(11)1(1)1,(1)(1)n n n n n n n n n n n n n n n n n n n n n x nx x x nxx x x x x n x x ++++++-+++++=++++++++-+++=-+=-=-+-++++++=≠--++-===-- 即等式对于也成立故等式对于任意正整数皆成立当时证1,1212.1(1)123(1)(1)(1)n n n nnn n x nx x x nxn x n xx +--++++++++=++- 等式成立设等式对于成立,则122122112211221221(1)(1)(1)(1)1(1)(12)(1)(1)1(1)(2)(1)(1)1(1)(2)(1)(1)1(2)(1),(1)1n n n n n n n n n n n n n n n n n n n x nx x n x x n x nx x x n x x n x nx x x x n x n x nx x x x n x n x n x x n ++++++++++-+++-+=--+++-++=--+++-++=--+++-++=--+++=-+即等式对于成立.,.|2|||25.()(1)(4),(1),(2),(2);(2)();(3)0()(4)224211222422(1)(4)1,(1)2,(2)2,(2)0.41224/,2(2)()x x f x xf f f f f x x f x x f f f f x x f x +--=---→→----------==--==-====----≤-=由归纳原理等式对于所有正整数都成立设求的值将表成分段函数当时是否有极限:当时是否有极限?解00022222222;2,20;0,0.(3).lim ()2,lim ()0lim ().(4).lim ()lim (4/)2,lim ()lim 22lim (),lim () 2.6.()[14],()14(1)(0),x x x x x x x x x x x f x f x f x f x x f x f x f x f x x f x x f →-→+→-→--→--→-+→-+→--→-⎧⎪-<≤⎨⎪>⎩==≠=-======--无因为有设即是不超过的最大整数.求003,;2(2)()0?(3)()?391(1)(0)[14]14,1467.[12]12.244(2).lim ()lim[14]14(0).(3).()12,()x y x x f f f x x f x x f f f f x y f f x f x →→+⎛⎫⎪⎝⎭==⎛⎫⎡⎤⎡⎤=-=-=-=-+=-=-=- ⎪⎢⎥⎢⎥⎝⎭⎣⎦⎣⎦=-=-==-的值在处是否连续在连续因为不连续因为解111111.7.,0,,:(1)(1);(2)(1).n n n n n n a b a b n b a b a n b n a b a b a++++=-≤<--<++<--设两常数满足对一切自然数证明1111111()()(1),(1).118.1,2,3,,1,1.:{},{}..111,1,7,111n n n n n n n n n n n n nn n n n n n n b a b a b b a a b b b b n b b a b a b a n a b a n a b n n a b a b a b n nn ++--+++--+++=<+++=+--->+-⎛⎫⎛⎫==+=+ ⎪ ⎪⎝⎭⎝⎭<+=++⎛+ ⎝ 类似有对令证明序列单调上升而序列单调下降,并且令则由题中的不等式证证=11111111111(1)1,111111111(1)11(1)1111111,11111.1111(1)11n n nn n nn nn nn n n n n n n n n n n n n n n n n n n n n n +++++++⎫⎛⎫-+⎪ ⎪+⎛⎫⎭⎝⎭<++ ⎪⎝⎭-+⎛⎫⎛⎫⎛⎫+-+<++ ⎪ ⎪ ⎪++⎝⎭⎝⎭⎝⎭⎛⎫⎛⎫⎛⎫+-+<+ ⎪ ⎪ ⎪+⎝⎭⎝⎭⎝⎭⎛⎫⎛⎫+<+ ⎪ ⎪+⎝⎭⎝⎭⎛⎫+ ⎛⎫⎝⎭++< ⎪+⎝⎭111111121111111111(1)1111(1)11111111111111111.1111111.111n n nn n nn n n n n n n n n n n n n n n n n n nn n n n n +++++++⎛⎫-+⎪ ⎪+⎝⎭-+⎛⎫⎛⎫⎛⎫++<+-+ ⎪ ⎪⎪+++⎝⎭⎝⎭⎝⎭⎛⎫⎛⎫⎛⎫+<+-+ ⎪ ⎪ ⎪++⎝⎭⎝⎭⎝⎭⎛⎫⎛⎫⎛⎫+++<+ ⎪ ⎪ ⎪++⎝⎭⎝⎭⎝⎭⎛⎫++>+ ⎪++⎝⎭⇔我们证明22111211111(1)11..(1)(1)1111,1,1,11.nn n n n n n n n n n n e e e n n n n ++++>+++++⇔>++⎛⎫⎛⎫⎛⎫⎛⎫→∞+→+→+<<+ ⎪ ⎪⎪ ⎪⎝⎭⎝⎭⎝⎭⎝⎭最后不等式显然成立当时故9.求极限22222222221111lim 1111234111111112341324351111().2233442210.()lim (00, ()lim n n n n n n n n n n n n nxf x a nx ax nxf x nx a →∞→∞→∞⎛⎫⎛⎫⎛⎫⎛⎫---- ⎪⎪⎪ ⎪⎝⎭⎝⎭⎝⎭⎝⎭⎛⎫⎛⎫⎛⎫⎛⎫---- ⎪⎪⎪ ⎪⎝⎭⎝⎭⎝⎭⎝⎭++==→→∞=≠+===+ 作函数)的图形.解解0;1/,0.x x ⎧⎨≠⎩1111.?,()[,]|()|,[,].,(),[,],max{||,||}1,|()|,[,].,|()|,[,],(),[,].12.f x a b M f x M x a b M N f x N x a b M M N f x M x a b M f x M x a b M f x M x a b <∀∈≤≤∀∈=+<∀∈<∀∈-<<∀∈1在关于有界函数的定义下证明函数在区间上为有界函数的充要条件为存在一个正的常数使得设存在常数使得M 取则有反之若存在一个正的常数使得则证12121212:()()[,],()()()()[,].,,|()|,|()|,[,].|()()||()||()|,|()()||()||()|,[,].113.:()cos 0y f x y g x a b f x g x f x g x a b M M f x M g x M x a b f x g x f x g x M M f x g x f x g x M M x a b f x x x xπ==+<<∀∈+≤+<+=<∀∈==证明若函数及在上均为有界函数则及也都是上的有界函数存在证明在的任一证,0().11(,),00,,,(),1()(,)0,()(21/2)cos(21/2)0,21/20().n x f x M n n M f n M n nf x f x n n n x f x δδδδδδπ→->><>=>-=→=++=→∞+→n 邻域内都是无界的但当时不是无穷大量任取一个邻域和取正整数满足和则故在无界.但是x 故当时不是无穷大量证11111000114.lim (1)ln (0).1ln 1,ln ln(1),.lim lim 10.ln(1)ln(1)lim lim ln(1)ln lim(1)ln 1,ln (1)ln ().ln(1)15.()()nn nn n n n n y y y y y n nn n x x x xx y x y n y x n y y y y e y y xn x x n y f x g x →∞→∞→∞→→→-=>-==+==-=++=+=+==-=→→∞+证明令则注意到我们有设及在实轴上有证00002022222220000.:()(),,()lim ()lim ()().1cos 116.lim.22sin 1cos 2sin 1sin 12lim lim lim lim 1422n n n n n x x x y y f x g x x x x f x f x g x g x x x x x y y x x y y →∞→∞→→→→→→===-=⎛⎫-==== ⎪⎝⎭ 定义且连续证明若与在有理数集合处处相等,则它们在整个实轴上处处相等.任取一个无理数取有理数序列证明证证0011000000001.2ln(1)17.:(1)lim 1;(2)lim .ln(1)(1)lim lim ln(1)ln lim(1)ln 1.(1)11(2)lim lim lim lim ln(1)ln(1)lim1.1x a xa y x y y y y y x a a a x x aa ax x x y y a a y e e e y x y y y e ye e e e e y e e e y x x x y ye e +→→→→→+→→→→→=+-==+=+=+==---====++== 证明证0111018.()lim ()0,()lim ()()0.|()|,0||.0,0,0|||()|/.min{,},0||,|()()||()||()|,li x ax ay f x a f x y g x a f x g x g x M x a x a f x M x a f x g x f x g x M Mδεδδεδδδδεε→→====<<-<>><-<<=<-<=<= 设在点附近有定义且有极限又设在点附近有定义,且是有界函数.证明设对于任意存在使得当时令则时故证m ()()0.x af xg x →=19.()(,),,()()|()|() () ()(),()(,).y f x c g x f x f x c g x c f x cc f x c g x g x =-∞+∞≤⎧⎪=>⎨⎪-<-⎩-∞+∞设在中连续又设为正的常数定义如下 当当当试画出的略图并证明在上连续0000000000000|()|,0,||lim ()lim ()()().(),0,||()lim ()lim ().(),().0,,0,x x x x x x x x f x c x x g x f x f x g x f x c x x f x c g x c c g x f x c g x c c δδδδεεδ→→→→<>-<===>>-<>=====><>一若则存在当时|f(x)|<c,g(x)=f(x),若则存在当时,g(x)=c,若则对于任意不妨设存在使证()0000121212|||()|.||.(),()(),|()()||()|,(),(),|()-()|0.()()min{(),}max{(),}().max{(),()}(|()()|()())/2.min x x f x c x x f x c g x f x g x g x f x c f x c g x c g x g x g x f x c f x c f x f x f x f x f x f x f x δεδεε-<-<-<≤=-=-<>==<=+--=-++得当时设若则若 则二利用证121212123123123111123{(),()}(|()()|(()())/2.120.()[,],[()()()],3,,[,].[,],().()()(),(),.()min{(),(),()},f x f x f x f x f x f x f x a b f x f x f x x x x a b c a b f c f x f x f x f x c x f x f x f x f x f ηηη=--++=++∈∈======设在上连续又设其中证明存在一点使得若则取即可否则设证31231313000000()min{(),(),()},()(),[,],,[,],().21.()(),()g(),,.0()g()()g()x f x f x f x f x f x f x x c a b f c y f x x g x x x kf x l x x k l l kf x l x x kf x l x x ηη=<<∈==+=+≠+在连续根据连续函数的中间值定理存在一点使得设 在点连续而在点附近有定义但在不连续问是否在连续其中为常数如果在连续;如果在解,l 0,000000||()[[()lg()]()]/.22.Dirichlet ..,()1;,()0;lim (),()11(1)lim 0;(2)lim (arctan )sin 12n n n n x x x x x g x kf x x kf x l x x x x D x x x D x D x D x x x x x →→∞→+∞=+-''→→→→+⎛⎫= ⎪+⎝⎭不连续,因否则将在连续证明函数处处不连续任意取取有理数列则取无理数列则故不存在在不连续.23.求下列极限:证222001/112132100;2tan 5tan 5/5(3)lim lim 5.ln(1)sin [[ln(1)]/]sin /1lim(1).24.()[0,),0().0,(),(),,().{x x y x y n n x x x x x x x x x x x y e y f x f x x a a f a a f a a f a π→→→→+=====++++=+==+∞≤≤≥=== 设函数在内连续且满足设是一任意数并假定一般地试证明11},lim .lim ,(),().(),{}()0(1,2,),{}n n n n n n n n n n n n a a l a l f x x f l l a f a a a a f a n a →∞→∞++====≤=≥=单调递减且极限存在若则是方程的根即单调递减.又单调递减有下界,证111lim ,lim lim ()(lim )().25.()(,),:(0)1,(1),()()().()((,)).()()().()()n n n n n n n n n x n n a l a l a f a f a f l y E x E E e E x y E x E y E x e x E x x E x E x E nx E x +→∞→∞→∞→∞======-∞+∞==+==∀∈-∞+∞++== 故有极限.设则设函数在内有定义且处处连续并且满足下列条件证明用数学归纳法易得于是证11.,()(11)(1).1(0)(())()()(),().().1111,(1)()()()(),().11()()().,n n n n n n nn mmm n n n E n E E e E E n n E n E n e E n E n e E n e n E E n E n E e E E e n n n n m E E m E e e r E n n n -=++====+-=-=--======⎛⎫⎛⎫==== ⎪ ⎪⎝⎭⎝⎭设是正整数则于对于任意整数对于任意整数即对于所有有理数lim ().,,(),()lim ()lim ().nn n r x x x x n n n r e x x E x E x E x e e e e →∞→∞→∞=→====n 对于无理数取有理数列x 由的连续性的连续性习题2.1201.,.,.()2(0)(1),;(2),?(3)lim ,?x l O x x m x x x l x x m mx mx ∆→=≤≤∆∆∆∆∆∆设一物质细杆的长为其质量在横截面的分布上可以看作均匀的现取杆的左端点为坐标原点杆所在直线为轴设从左端点到细杆上任一点之间那一段的质量为给自变量一个增量求的相应增量求比值问它的物理意义是什么求极限问它的物理意义是什么2222222000(1)2()22(2)22(2).2(2)(2)2(2).(3)lim lim 2(2)4.lim x x x m x x x x x x x x x x x m x x x m x x x x x x x x m mx x x x x x∆→∆→∆→∆=+∆-=+∆+∆-=∆+∆∆∆+∆∆==+∆+∆∆∆∆∆∆=+∆=∆∆是到那段细杆的平均线密度.是细杆在点的线密度.解3330322332220002.,:(1);(2)0;(3)sin 5.()(1)lim(33)limlim (33)3.(2)lim limlim x x x xx x y ax y p y x a x x ax y xx x x x x x x a a x x x x ax x y ∆→∆→∆→∆→→→==>=+∆-'=∆+∆+∆+∆-==+∆+∆=∆'===根据定义求下列函数的导函数解00000limlim5(2)52cossin sin 5()sin 522(3)limlim55(2)552cos sin sin5(2)2222lim 5lim cos lim 5522x x x x x x x x x xx x xy xxx x x x x x x →→∆→∆→∆→∆→∆→===+∆∆+∆-'==∆∆+∆∆∆+∆==∆∆ 5cos5.2x x =00223.()(,()):(1)2,(0,1); (2)2,(3,11).(1)2ln 2,(0)ln 2,1ln 2(-0),(ln 2) 1.(2)2,(3)6,:116(3).4.2(0)(,)(0,0)x x y f x M x f x y M y x B y y y x y x y x y y x y px p M x y x y ===+''==-==+''==-=-=>>>求下列曲线在指定点处的切线方程切线方程切线方程试求抛物线上任一点处的切线斜率解,0,.2p F x ⎛⎫⎪⎝⎭,并证明:从抛物线的焦点发射光线时其反射线一定平行于轴2000,().(),.,2,.2,.p py y M PMN Y y X x yy p y x N X y X x X x x y p p FN x FM p x FN FNM FMN M PQ x PMQ FNM FMN '===-=--=-=-=-=+=====+=∠=∠∠=∠=∠过点的切线方程:切线与轴交点(,0),故过作平行于轴则证2005.2341,.224,1,6,4112564(1),4 2.:6(1),.444y x x y x y x x y k y x y x y x y x =++=-'=+====⎛⎫-=-=+-=--=-+ ⎪⎝⎭曲线上哪一点的切线与直线平行并求曲线在该点的切线和法线方程切线方程:法线方程解323226.,,;(),,, (1)():(2)();(3)().()lim ()lim,lim ()limr R r R r R r R r g r GMrr R Rg r R M G GM r R r g r r g r g r r GMr GMr R g r g r R RGM g r r →-→-→+→+⎧<⎪⎪=⎨⎪≥⎪⎩≠====离地球中心处的重力加速度是的函数其表达式为其中是地球的半径是地球的质量是引力常数.问是否为的连续函数作的草图是否是的可导函数明显地时连续.解,2lim (),()r R GMg r g r r R R→-==在连续.(2)33(3)()2(),()(),().r R g r GM GMg R g R g R g r r R R R-+-≠'''==-≠=时可导.在不可导227.(),:(1,3)(),(0)3,(2) 1.3(),()2.34111113,,3(),()3.2222P x y P x P P a b c P x ax bx c P x ax b b a b b a c a b P x x x ''===++=⎧⎪'=++=+=⎨⎪+=⎩==-=-+==-++求二次函数已知点在曲线上且解3222222222228.:(1)87,24 1.(2)(53)(62),5(62)12(53)903610.(3)(1)(1)tan (1)tan ,(2)tan (1)sec .9(92)(56)5(9)51254(4),56(56)y x x y x y x x y x x x x x y x x x x x y x x x x x x x x x x x x y y x x '=++=+'=+-=-++=+-'=+-=-=+-+++-+++'===++求下列函数的导函数22.(56)122(5)1(1),.11(1)x x y x y x x x ++'==-+≠=---23322222226(6)(1),.1(1)1(21)(1)1(7),.(8)10,1010ln1010(1ln10).sin cos sin (9)cos ,cos sin .(10)sin ,sin cos (s x x x x xx x x x x x x x x y x y x x x x x e e x x x x y y e e ey x y x x x x x xy x x y x x x x xy e x y e x e x e -'=≠=--+++-++-+-'==='==+=+-'=+=-+'==+= in cos ).x x + 00000001001100009.:()()()(),()0().()()(1)(2).()()(),()0()()()()()()(()()())()(),(m k k k k k P x P x x x g x g x x P x m x P x k x P x k k P x x x g x g x P x k x x g x x x g x x x kg x x x g x x x h x h x ---=-≠'->=-≠''=-+-'=-+-=-定义若多项式可表为则称是的重根今若已知是的重根,证明是的重根证00)()0,()(1)kg x x P x k '=≠-由定义是的重根.000000010.()(,),()(),().()(0),(0)0.()(0)()(0)()(0)(0)lim lim lim (0),(0)0.()()11.(),lim 22x x x x f x a a f x f x f x f x f f f x f f x f f x f f f f x x xf x x f x x f x x f x→→→∆→--=''=-----'''==-=-=-+∆--∆'=∆若在中有定义且满足则称为偶函数设是偶函数,且存在试证明设在处可导证明证=000000000000000000000().()()()()()()1lim lim 22()()()()1lim 2()()()()11lim lim [()22x x x x x x f x x f x x f x x f x f x x f x x x x f x x f x f x x f x x x f x x f x f x x f x f x x x ∆→∆→∆→∆→∆→+∆--∆+∆--∆-⎡⎤=-⎢⎥∆∆∆⎣⎦+∆--∆-⎡⎤=+⎢⎥∆-∆⎣⎦+∆--∆-⎡⎤'=+=+⎢⎥∆-∆⎣⎦证002()]().12.,(0/2)()((),()):.f x f x y x t t P t x t y t OP x t t π''==<<=一质点沿曲线运动且已知时刻时质点所在位置满足直线与轴的夹角恰为求时刻时质点的位置速度及加速度.222222422222()()()tan ,()tan ,()()(tan ,tan ),()(sec ,2tan sec ),()(2sec tan ,2sec 4tan sec )2sec (sec ,2tan ).y t x t x t t y t t x t x t t t v t t t t v t t t t t t t t t ===='=''=+=位置解1/1/1/1/1/000013.,0()10, 00.1111(0)lim lim 1,(0)lim lim 0.1114.()||(),()()0.().()lim xx x x x x x x x x xx f x e x x x x e e f f x e xe f x x a x x x a a f x x a f a ϕϕϕ→-→-→+→+-→⎧≠⎪=+⎨⎪=⎩=++''======++=-=≠='=求函数在的左右导数设其中在处连续且证明在不可导-+解证()()()()(),()lim ()().a x a a x x x a x a a a f a x a x aϕϕϕϕ-→---''=-==≠--+-f习题2.2()()()22221.,:sin111(2)[ln(1)],.[ln(1)](1).111(3)2.22x x xx x xx x xx x x x''=-=-='''-=-=-=---'''⎡==⎣'''⎡=+=⎣=下列各题的计算是否正确指出错误并加以改正错错错3322222()221(4)ln|2sin|(14sin)cos,.2sin1ln|2sin|(14sin cos).2sin2.(())()|.() 1.(1)(),(0),(),(sin);(2)(),(sin);(3)u g xx x x xx xx x x xx xf g x f u f x xf x f f x f xd df x f xdx dx=='⎡⎤+=+⎣⎦+'⎡⎤+=+⎣⎦+''==+''''错记现设求求[]()[][]2222223(())(())?.(1)()2,(0)0,()2,(sin)2sin.(2)()()224.(sin)(sin)(sin)2sin cos sin2.(3)(())(()),(())(())().f g x f g xf x x f f x x f x xdf x f x x x x xdxdf x f x x x x xdxf g x f g x f g x f g x g x''''''====''===''==='''''=与是否相同指出两者的关系与不同解()()()222233312232323.2236(1),.111(2)sec,(cos)(cos)(cos)(cos)(sin)tan sec.(3)sin3cos5,3cos35sin5.(4)sin cos3,3sin cos cos33sin sin33sinx xy yx x xy x y x x x x x x x y x x y x xy x x y x x x x x---'==-=----'''===-=--='=+=-'==-=求下列函数的导函数:2(cos cos3sin sin3)3sin cos4.x x x x x x x-=22222222222232222222241sin 2sin cos cos (1sin )(sin )2(5),cos cos sin 2cos 2(1sin )(sin ).cos 1(6)tan tan ,tan sec sec 13tan sec tan tan (sec 1)tan .(7)sin ,s ax ax x x x x x x x y y x x x x x x x xy x x x y x x x x x x x x x y e bx y ae +-+-'==++='=-+=-+=-=-='==5422in cos (sin cos ).(8)cos 5cos 11(9)ln tan ,sec 24224tan 2411112tan cos 2sin 24242ax ax bx be bx e a bx b bx y y x x y y x x x x ππππππ+=+'==-=⎛⎫⎛⎫'=+=+ ⎪ ⎪⎛⎫⎝⎭⎝⎭+ ⎪⎝⎭==⎛⎫⎛⎫+++ ⎪ ⎪⎝⎭⎝⎭222cos 42411sec .cos sin()211()()1(10)ln (0,),.22()x x xx x a x a x a x a y a x a y a x a a x a x a x aππ⎛⎫⎛⎫+ ⎪ ⎪⎝⎭⎝⎭===+-++--'=>≠±==+-+-2222222224.:1(1)arcsin (0),11111(2)arctan (0),.1(3)arccos (||1),2arccos 1111(4)arctan ,.111(5)ar 2xy a y aa x y a y a a a a a xx a y x x x y x x y y x x x xa y '=>=='=>==+⎛⎫+ ⎪⎝⎭'=<=--'===-++= 求下列函数的导函数csin (0),x a a>22222222(6)ln0)212(7)arcsin,1ya xy aayxy xx'=+==+=>⎛⎫'=+===≠±+22222222221.112sgn(1)2.111(8)(0).212211sec2()tan()cos()s22x xyx xxxy a bxyxx xa b a b a b a b--'===++-⎫=>≥⎪⎪⎭⎛⎫'= ⎪⎝⎭==++-++-2in21.cos(9)(1ln(1ln(1ln(1 /.(10)(11)(12)xa b xy yy yy yy yy y=+=+=+++++ '=⎡⎤'='=='==y y'==(13)ln(121(14)(ln(1)ln(31)ln(2),331211131321211.13132(15),(1).(16)xxxx e x e x x e y x y y x y x x x y y x x x y y x x x y e e y e e e e e ⎛⎫'=+===-=-+++-'-=++-+--⎡⎤'=++⎢⎥-+-⎣⎦'=+=+=+ 11112(0).ln ()ln ln ln ln .aaxa a xaaxa x a a a x a a x a ax a a x y x a a a y a x a a ax a aa aa x a aa x a a a ----=++>'=++=++222225.()1()()84,tan (),24001001()arctan ,()100110t x t t x t t t t t t t t θθθθ===='==+ 2一雷达的探测器瞄准着一枚安装在发射台上的火箭,它与发射台之间的距离是400m.设t=0时向上垂直地发射火箭,初速度为0,火箭以的匀加速度8m/s 垂直地向上运动;若雷达探测器始终瞄准着火箭.问:自火箭发射后10秒钟时,探测器的仰角的变化速率是多少?解222110,(10)0.1(/).505010101006.,2m t s θπθ'==⎛⎫⎛⎫+ ⎪ ⎪⎝⎭⎝⎭弧度在图示的装置中飞轮的半径为且以每秒旋转4圈的匀角速度按顺时针方向旋转.问:当飞轮的旋转角为=时,活塞向右移动的速率是多少?20()2cos8()16sin 811()8,,,()16.2161616m/s.x t t x t t t t t x ππππαπππ=+'=-'====-活塞向右移动的速率是解习题2.323222(1)(1).1.0,?(1)10100.1(2)2(3)(1cos )2sin ,222.:0,()().()().()()3.()()(0),()()(0).o o o x o o o x x y x x x y x xy x x x x x x x x x x x x xx x x x x x αααααβ=→=++===-=→=====→=→ 当时下列各函数是的几阶无穷小量阶.阶.阶.已知当时试证明设试证明证00(1)(1)(1)()()()(0).()()()().()()().4.(1)sin ,/4.sin cos ,1,1.444(2)(1)(0).o o o o o o o x x x x x x x x x x xx x x x y x x x y x x x y dy dx y x y ααβαβαβππππα+=→+=+=+=+=⎛⎫⎫⎫''===+=+=+ ⎪⎪⎪⎝⎭⎭⎭=+>':上述结果有时可以写成计算下列函数在指定点处的微分:是常数证122(1),(0),.5.1222(1)1,,.11(1)(1)(2),(1).(1).26.(1),3 3.001,11,(3).222.001x x x x x x y dy dx x dxy y dy x x x x y xe y e xe e x dy e x dx y x x x y y αααα-'=+==-'==-+=-=-++++'==+=+=+=≠-''=-∆=求下列各函数的微分:设计算当由变到时函数的增量和向相应的微分.22解 y =-(x-1)1222113333332220.0010.0011,.2.00127..1.162(1) 2.002.5328.:11(1)(0).0,.33(2)()()(,,).2()2()dy y x y a a xy y y x x a y b c a b c x a y b y ---=-=-==+=⎛⎫''+=>+==- ⎪⎝⎭-+-='-+-= 求下列方程所确定的隐函数的导函数为常数0,.x ay y b-'=--。
第二章习题解答参考习 题 2-11.设()=8f x x ,试按定义求(1)f '. 解 ()()()0011818(1)=limlim 8x x f x f x f x x∆→∆→+∆-+∆-'==∆∆. 2.设2()=f x ax bx c ++,其中,,a b c 为常数.按定义求()f x '. 解 ()()()0=limx f x x f x f x x∆→+∆-'∆()()()220limx a x x b x x c ax bx c x∆→+∆++∆+-++=∆()202lim 2x ax x a x b x ax b x∆→∆+∆+∆==+∆. 3.证明 (sin )=cos x x '. 证 设()sin f x x =,则()()()sin sin 2cos sin 22x x f x x f x x x x x ∆∆⎛⎫+∆-=+∆-=+ ⎪⎝⎭ ()()()002cos sin 22lim lim x x x x x f x x f x f x x x∆→∆→∆∆⎛⎫+ ⎪+∆-⎝⎭'==∆∆0sin2lim cos cos 22x xx x x x ∆→∆∆⎛⎫=+⋅= ⎪∆⎝⎭, 所以 (sin )=cos x x '.4.下列说法可否作为()f x 在0x 可导的定义 (1)000()()limh f x h f x h h→+--存在;解 不能.因为从极限式中不能判断()0f x 存在,也不能判断000()()limh f x h f x h→+-存在.例如()f x x =在0x =点不可导,但00(0)(0)limlim 0h h h h f h f h h h→→--+--==却存在.(2)000()()lim h f x h f x h +→+-和000()()lim h f x h f x h+→---存在且相等;解 可以.因为()0000()()lim h f x h f x f x h++→+-'=,()0000000()()()()lim lim h h f x h f x f x h f x f x h h+--→-→----'==--,根据导数存在的充要条件,可知()0f x '存在.5.求下列函数的导数:(1)5y x =; (2)y =; (3)y x =; (4)13log y x = ; (5)y =(6)lg y x =.解 (1)51455y x x -'==;(2)132212y x x --'⎛⎫'==-= ⎪⎝⎭(3)221577222277y x x x '⎛⎫'=== ⎪⎝⎭(4)111ln 3ln3y x x '==-; (5)25152326616y x x x +--''⎛⎫⎛⎫'==== ⎪ ⎪⎝⎭⎝⎭;(6)1ln10y x '=. 6.已知物体的运动规律为3s t =(米),求这物体在2t =(秒)时的速度. 解 因为3s t =,23dsv t dt==,所以2t =时,()223212v =⨯=. 7.如果()f x 为偶函数,且(0)f '存在,证明(0)=0f '.证 因为()()0(0)=lim x f x f f x∆→∆-'∆,而()f x 为偶函数,故()()f x f x -∆=∆,所以()()()()000(0)limlim (0)x x f x f f x f f f x x∆→∆→-∆--∆-''==-=-∆-∆, 所以(0)=0f '.8.抛物线2y x =在哪一点的切线平行于直线45y x =-在哪一点的切线垂直于直线2650x y -+=解 由2y x =,可得2y x '=,若切点为()200,x x ,则依题设024x =,即02x =时,切线平行于直线45y x =-;01213x ⋅=-,即032x =-时,切线垂直于直线2650x y -+=;所以抛物线2y x =在点()2,4的切线平行于直线45y x =-在点39,24⎛⎫- ⎪⎝⎭的切线垂直于直线2650x y -+=.9.在抛物线2y x =上取横坐标为11x =及23x =的两点,作过这两点的割线,问该抛物线上哪一点的切线平行于这条割线解 由题设可知2y x '=,所取的两点为()1,1,()3,9,连接两点的直线斜率为4k =,依题设,应有24x =,即2x =,所以所求点为()2,4.10.如果()y f x =在点()4,3处的切线过点()0,2,求()4f '. 解 依题设,曲线在点()4,3处的切线为()()344y f x '-=-,满足()()23404f '-=-,从而()144f '=.11.讨论下列函数在0x =处的连续性与可导性:(1)y = (2)21sin ,0,0,0.x x y xx ⎧≠⎪=⎨⎪=⎩ 解(1)因为()000x y →==,所以y =0x =点连续,而20031lim x x x →→==+∞,所以y =0x =点不可导;(2)因为()201lim sin 00x x y x →==,所以21sin ,0,0,0.x x y x x ⎧≠⎪=⎨⎪=⎩在0x =点连续, 又 2001sin1limlim sin 0x x x x x x x →→==,所以21sin ,0,0,0.x x y x x ⎧≠⎪=⎨⎪=⎩在0x =点可导. 12.设sin ,0()=,0x x f x ax b x <⎧⎨+≥⎩在0x =处可导,求,a b 的值.解 因为sin ,0()=,0x x f x ax b x <⎧⎨+≥⎩在0x =处可导,所以()0lim ()0x f x f →=,且()()00f f -+''=,又0lim ()0x f x -→=,0lim ()x f x b +→=,()0f b =,故0b =,()00f =, 从而()()()000sin 0lim lim 1x x f x f xf x x---→→-'===, ()()()0000lim lim x x f x f ax f a xx +++→→-'===,所以1a =. 13.已知2,0(),0x x f x x x ⎧≥=⎨-<⎩,求(0)f +',(0)f -'和(0)f '.解 因为2,0(),0x x f x x x ⎧≥=⎨-<⎩,所以()200()0(0)lim lim 0x x f x f x f x x +++→→-'===, ()00()0(0)lim lim 1x x f x f xf x x---→→--'===-,所以(0)f '不存在. 14.设函数33,0()=,0x x f x x x ⎧≥⎨-<⎩,求()f x '.解 当0x >时,2()3f x x '=,当0x <时,2()3f x x '=-,当0x =时,()()3000(0)limlim 0x x f x f x f xx +++→→-'===, ()()3000(0)lim lim 0x x f x f x f xx ---→→--'===,所以(0)0f '=,所以 223,0()=3,0x x f x x x ⎧≥'⎨-<⎩.15.设所给的函数可导,证明:(1)奇函数的导函数是偶函数;偶函数的导函数是奇函数; (2)周期函数的导函数仍是周期函数. 证 (1)设()f x 为奇函数,则()()f x f x -=-, 而()()()limh f x h f x f x h→+-'=,()()()()()0limlim h h f x h f x f x h f x f x h h→→-+----+'-== ()()0lim h f x h f x h →--=-()()()0lim h f x h f x f x h→--'==-,所以()f x '为偶函数;相似地,若()f x 为偶函数,则()()f x f x -=,于是()()()()()0limlim h h f x h f x f x h f x f x h h→→-+----'-== ()()()0limh f x h f x f x h→--'=-=--,所以()f x '为奇函数.(2)设()f x 为周期函数,则存在T ,使()()f x T f x +=,则()()()0limh f x T h f x T f x T h →++-+'+=()()()0lim h f x h f x f x h→+-'==, 所以()f x '也是以T 为周期的周期函数.16.设有一根细棒,取棒的一端作为原点,棒上任意点的坐标为x .于是分布在区间[0,]x 上细棒的质量m 是x 的函数()m m x =.应怎样确定细棒在点0x 处的线密度(对于均匀细棒来说,单位长度细棒的质量叫这细棒的线密度)解 设在0x 处的线密度为()0x ρ,给0x 以x ∆的增量, 则在区间00[,]x x x +∆上细棒的平均线密度为()()00m x x m x x+∆-∆,故()()()()00000limx m x x m x x m x xρ∆→+∆-'==∆.17.证明:双曲线2xy a =上任一点处的切线与两坐标轴构成的三角形的面积都等于22a .证 由2xy a =可得2,0a y x x =≠,于是22,0a y x x '=-≠,若切点为200,a x x ⎛⎫ ⎪⎝⎭,则该点处的切线为()220200a a y x x x x -=--,它与两坐标轴的交点分别为()02,0x ,2020,a x ⎛⎫ ⎪⎝⎭,所以所求三角形的面积为220012222a S x a x =⨯⨯=. 18.设函数()f x 在0x =处可导,试讨论函数|()|f x 在0x =处的可导性. 解 因为函数()f x 在0x =处可导,所以()()0()0lim0x f x f f x→-'=存在, 而()()()0limx x f x f f x x=→-'=,故(1)若(0)0f =,由()()0()0lim 0x f x f f x →-'=可知:()()0f x f xα'=+,其中lim 0x α→=,从而()()0f x x f α'=+⎡⎤⎣⎦,此时()()()000limlim 0x x x x f xf x f xxαα=→→'+⎡⎤⎣⎦''==⋅+, 因此|()|f x 在0x =点的左导数为()0f '-,右导数为()0f ', 所以|()|f x 在0x =处可导的充要条件是()00f '=;(2)若(0)0f ≠,设(0)0f >,则()0lim ()00x f x f →=>,由保号性定理,0δ∃>,当()0,x U δ∈时,()0f x >, 此时有()()()()0()0()0limlim0x x x f x f f x f f x f xx=→→--''===,相似地, 若(0)0f <,则()0lim ()00x f x f →=<,由保号性定理,0δ∃>,当()0,x U δ∈时,()0f x <,此时有()()()()00()0()0limlim 0x x x f x f f x f f x f x x=→→---⎡⎤⎣⎦''===-; 总之,若()f x 在0x =处可导,则当(0)0f ≠时,|()|f x 在0x =处可导;当(0)0f =时,|()|f x 在0x =处可导的充要条件是()00f '=.习 题 2-21.求下列函数的导数: (1)3cos2y x =;(2)4sin(31)y t =-;(3)32e 4cos2x y x =+; (4)5(1)y x =+;(5)43e 1x y -=+; (6)y =(7)1ln y x x=; (8)23(1)(1)y x x x =++-;(9)3e sin xy x x =;(10)322ln 3ln x x y x x +=+.解(1)()()()()3sin 223sin 226sin 2y x x x x ''=⋅-=-⋅=-; (2)()4cos(31)3112cos(31)y t t t ''=-⋅-=-;(3)()()()()332e 34sin 226e 8sin 2x x y x x x x '''=+-=-; (4)()445(1)15(1)y x x x ''=++=+; (5)()443e 4012e x x y x --''=-+=-;(6)y '==(7)()()()()2221ln ln ln 1ln ln ln x x x x x x y x x x x x x +⋅'+'=-=-=-; (8)()()3222221(1)(1)3(1)(1)522y x x x x x x x x '=+-+++⋅-=-++; (9)()23323e sin e sin e cos e 3sin sin cos x x x x y x x x x x x x x x x x x '=++=++;(10)()()()()()2234222222333ln 2ln 294ln 323ln 3ln x x x x x x x x x x x xx x y x x x x ⎛⎫⎛⎫++-++ ⎪ ⎪-+-+⎝⎭⎝⎭'==++2.证明:(1)2(cot )csc x x '=-; (2) (csc )csc cot x x x '=- .证 (1)22cos sin sin cos cos (cot )csc sin sin x x x x x x x x x '-⋅-⋅⎛⎫'===- ⎪⎝⎭; (2)21cos 1cos (csc )csc cot sin sin sin sin x x x x x x x x x '⎛⎫'==-=-⋅=- ⎪⎝⎭. 3.证明:(1)(arccos )x '= (2)21(arccot )1x x '=-+. 证 (1)设arccos y x =,则其反函数为cos x y =,,22y ππ⎡⎤∈-⎢⎥⎣⎦,由于sin x y '=-,由反函数求导法则,()1arccos sin x y '=-== (2)设arccot y x =,则其反函数为cot x y =,()0,y π∈, 由于2csc x y '=-,由反函数求导法则,()222111arccos csc 1cot 1x y y x'=-=-=-++. 4.求下列函数在给定点处的导数:(1)2cos 3sin y x x =-,求π4x y ='; (2)2233x y x =+-,求(2)f '. 解 (1)因为2sin 3cos y x x '=--,所以π4ππ2sin3cos 442x y ='=--=-; (2)因为()()()22212223333x xy x x ⋅-'=-+=+--,所以()22222103332x y =⋅'=+=-.5.写出曲线122y x x=-与x 轴交点处的切线方程. 解 令0y =,得曲线122y x x =-与x 轴交点为1,02⎛⎫ ⎪⎝⎭和1,02⎛⎫- ⎪⎝⎭, 而2122y x '=+,所以142y ⎛⎫'±= ⎪⎝⎭, 所以所求切线有两条,方程分别为42y x =+,42y x =-.6.求下列函数的导数: (1)25(23)y x =+;(2)2sin (52)y x =-;(3)2321e xx y -++=;(4)2sin ()y x =; (5)2cos y x =;(6)y =(7)()arctan x y e =; (8)2(arccos )y x =; (9)lnsin y x =;(10)3log (1)a y x =+.解 (1)242245(23)(23)20(23)y x x x x ''=⋅+⋅+=+; (2)222cos(52)(52)4cos(52)y x x x x ''=-⋅-=--; (3)()()223212321e 32162e xx x x y x x x -++-++''=⋅-++=-+;(4)222cos()()2cos()y x x x x ''=⋅=;(5)()()2cos cos 2cos sin sin 2y x x x x x ''==-=-; (6)()22y a x ''=-==(7)()()221e e 1e 1e xxxx y ''==++; (8)2(arccos )(arccos )2(arccos )y x x x ⎛⎫''=== ⎝ (9)()1cos sin cot sin sin xy x x x x''===; (10)233313(1)(1)ln (1)ln x y x x a x a''=+=++.7.求下列函数的导数:(1)arccos(12)y x =-; (2)1arcsin y x=;(3)1ln 1ln xy x-=+;(4)ln (y x =;(5)sin cos n y x nx =⋅; (6)y =(7)e y =;(8)[]ln ln(ln )y x =;(9)y =(10)1arccot tan 22x y ⎛⎫= ⎪⎝⎭.解 (1)2)y x ''=-==;(2)211y x x '⎫⎫'==-=⎪⎪⎭⎭; (3)()()()()22111ln 1ln 21ln 1ln x x x x y x x x -+--'==-++; (4)y x ''=+==;(5)()()()1sin sin cos sin sin n n y n x x nx x nx nx -'''=⋅+-()1sin cos cos sin sin n n x x nx x nx -=⋅-()1sin cos 1n n x n x -=+⎡⎤⎣⎦;(6)1sin 21sin 2x y x '-⎛⎫'=⎪+⎝⎭()()()22cos 21sin 21sin 22cos 21sin 2x x x x x -+--=+2cos 21sin 2xx-=+()2cos 2cos 21sin 2x x x =-+;(7)(1ee1y x'''===+ (8)()()()1111ln (ln )ln ln (ln )ln (ln )ln ln ln (ln )y x x x x x x x x '''==⋅=; (9)y'====;(10)211tan 2211tan 22x y x '⎛⎫'=- ⎪⎝⎭⎛⎫+ ⎪⎝⎭2241sec 2224tan 2x x x '⎛⎫=- ⎪⎝⎭⎛⎫+ ⎪⎝⎭ 222sec 1213cos 4tan 22xx x =-=-⎛⎫⎛⎫++ ⎪ ⎪⎝⎭⎝⎭. 8.设1cos ,0()ln (1)cos ,0x x f x x x x x -<⎧=⎨+-≥⎩,求()f x '.解 当0x ≠时,sin ,0()1cos sin ,01x x f x x x x x x<⎧⎪'=⎨-+>⎪+⎩,当0x =时,20002sin sin1cos 022(0)lim limlim sin 022x x x x xx x f xxx ----→→→--'===⋅=,()()100ln 1cos 0(0)lim lim ln 1cos ln 10x x x x x x f x x e x +++→→+--⎡⎤'==+-=-=⎢⎥⎣⎦, 所以()00f '=,从而sin ,0()1cos sin ,01x x f x x x x x x <⎧⎪'=⎨-+≥⎪+⎩.9.求函数cos (sin )x y x =的导函数. 解法1 因为cos cos lnsin (sin )x x x y x e ==,所以()()cos cos lnsin cos cos ln sin sin sin ln sin cos sin x x x x y e x x x x x x x ⎛⎫''=⋅=-+ ⎪⎝⎭()2cos cos sin sin ln sin sin xx x x x x ⎛⎫=-+ ⎪⎝⎭.解法2 对数求导法,由cos (sin )x y x =,得ln cos ln (sin )y x x =, 两边同时对x 求导,得cos sin ln sin cos sin y x x x x y x'=-+, 所以()2cos cos sin sin ln sin sin xx y x x x x ⎛⎫'=-+ ⎪⎝⎭.10.设()sin f x x =,3()x x ϕ=,求[()]f x ϕ',[()]f x ϕ',{[()]}f x ϕ'.解 因为()sin f x x =,3()x x ϕ=,所以()cos f x x '=,2()3x x ϕ'=, 所以()()22[()]3sin 3f x f x x ϕ'==,[]()3[()]cos ()cos f x x x ϕϕ'==,()()()()33323{[()]}sin cos 3cos f x x x x x x ϕ''⎡⎤'===⎣⎦. 11.设()f x '存在,求下列函数的导数: (1)(cos )n f x ; (2)cos [()]n f x .解 (1)[]()11(cos )(cos )(cos )(cos )(cos )cos nn n f x nf x f x nf x f x x --''''⎡⎤==⎣⎦1sin (cos )(cos )n n xf x f x -'=-;(2){}{}{}()11cos [()]cos [()]cos[()]cos [()]sin[()]n n n f x n f x f x n f x f x f x --'''==-()1sin[()]cos [()]n n f x f x f x -'=-⋅⋅.12. 求曲线()22sin sin f x x x =+所有具有水平切线的点. 解 因为()2cos 2sin cos f x x x x '=+,令()0f x '=,得()cos 1sin 0x x +=,于是cos 0x =,或sin 1x =-, 推得 ,2x k k Z ππ=+∈,或32,2x k k Z ππ=+∈, 所以所求的点为2,32k ππ⎛⎫+ ⎪⎝⎭,32,12k ππ⎛⎫+- ⎪⎝⎭,其中k Z ∈. 习 题 2-31.求下列函数的二阶导数: (1)35e x y -= ;(2)e sin t y t -= ; (3)2sin ln y x x = ;(4)tan y x = ;(5)ln(y x = ; (6)2(1)arctan y x x =+ . 解 (1)353e x y -'=,359e x y -''=;(2)()e sin e cos e cos sin t t t y t t t t ---'=-+=- ,()()e cos sin e sin cos 2e cos t t t y t t t t t ---''=--+--=-;(3)()221sin 2sin cos ln sin ln sin 2xy x x x x x x x x'=+⋅=⋅+,()()22sin 22sin cos sin ln 2cos 2x x x x xy x x x x ⋅-''=+⋅+ ()()222sin 2sin 2cos 2ln x xx x x x=+⋅-;(4)2sec y x '=,22sec sec tan 2sec tan y x x x x x ''=⋅⋅=⋅;(5)1y ⎛⎫'=+= ⎝ ()3221422y x x -''=-+⋅=;(6)2arctan 1y x x '=+,22arctan 1x y x x ⎛⎫''=+ ⎪+⎝⎭. 2.3e x y x = ,求(5)(0)y . 解 设3u x =,x v e =,则23u x '=,6u x ''=,6u '''=,()0,4n u n =∀≥;(),nx v e n N +=∀∈, 代入莱布尼兹公式,得 ()()()()5445(5)510105y u v u v u v u v u v uv ''''''''''''=+++++2310610653x x x x e xe x e x e =⋅+⋅+⋅+,所以 (5)(0)60y =.3.22e x y x =,求(20)y . 解 设2u x =,2x v e =,则2u x '=,2u ''=,()0,3n u n =∀≥;()22,nn x v e n N +=∀∈,代入莱布尼兹公式,得 ()()20(20)200n k k k k yC u v -==∑()()()181920210202020C u v C u v C uv '''=++ 182119202202202019022222x x x e C x e C x e =⋅⋅+⋅+⋅()202229520x e x x =++.4.试从d 1d x y y='导出:(1)223d d ()x y y y ''=-';(2)3235d 3()d ()x y y y y y ''''''-='.解 因为d 1d x y y =',所以()()2232d 111d x d d dx y y y dy y dx y dy y y y ''''⎛⎫⎛⎫==⋅=-⋅=- ⎪ ⎪'''''⎝⎭⎝⎭, ()()3333d d x d y d y dx y dy dx dyy y ⎛⎫⎛⎫''''=-=-⋅ ⎪ ⎪ ⎪ ⎪''⎝⎭⎝⎭ ()()()()()32265331y y y y y y y y y y y '''''''''''''''-⋅-=-⋅='''. 5.证明:函数12e e x x y C C λλ-=+(12,,C C λ是常数)满足关系式20y y λ''-=. 解 因为12e e x x y C C λλ-=+,所以()1212e e e e x x x x y C C C C λλλλλλλλ--'=+-=-,2212e e x x y C C λλλλ-''=+, 所以()22221212e e e e 0x x x x y y C C C C λλλλλλλλ--''-=+-+=. 6. 求常数λ的值,使得函数x y e λ=满足方程560y y y '''+-=.解 因为x y e λ=,所以x y e λλ'=,2x y e λλ''=,代入方程560y y y '''+-=, 得()2560x e λλλ+-=,因为0,x e x R λ≠∀∈,所以2560λλ+-=, 解得16λ=-,21λ=.7. 设()()sin f x x a =+,()sin cos g x b x c x =+,求常数,b c 的值,使得()()00f g =,且()()00f g ''=.解 因为()()sin f x x a =+,()sin cos g x b x c x =+, 所以()()cos f x x a '=+,()cos sin g x b x c x '=-,所以由()()00f g =,()()00f g ''=,可得sin c a =,且cos b a =. 8.求下列函数的n 阶导数.(1)12121n n n n n y x a x a x a x a ---=+++++L (12,,n a a a L 是常数); (2)e x y x =; (3)2sin y x =; (4)2156y x x =-+.解 (1)()()12312112n n n n y nx n a x n a x a ----'=+-+-++L ,()()()()()23412211223n n n n y n n x n n a x n n a x a ----''=-+--+--++L ,根据幂函数的导数公式特点:每求导一次,幂函数降一次幂,故()!ny n =.(2)()e e e 1x x x y x x '=+=+,()()e 1e e 2x x x y x x ''=++=+,()()e 2e e 3x x x y x x '''=++=+,由此可见,每求一次导数,增加一个e x , 所以()()e n x y x n =+,n N +∀∈; (3)()()21cos 211sin cos 2222x y x x -===-, ()2sin cos sin 2cos 22y x x x x π⎛⎫'===-+ ⎪⎝⎭,()2cos 22cos 222y x x π⎛⎫''==-+⋅ ⎪⎝⎭,()222sin 22cos 232y x x π⎛⎫'''=-=-+⋅⎡⎤ ⎪⎣⎦⎝⎭, ()()4332cos 22cos 242y x x π⎛⎫=-=-+⋅⎡⎤ ⎪⎣⎦⎝⎭, 所以()12cos 22nn y x n π-⎛⎫=-+⋅ ⎪⎝⎭,n N +∀∈.(4)因为 21115632y x x x x ==--+--, 而()2133x x -'⎛⎫=-- ⎪-⎝⎭,()()()311233x x -''⎛⎫=--- ⎪-⎝⎭, ()()()()4112333x x -'''⎛⎫=---- ⎪-⎝⎭, 可见,()()()()()()1112333n n n x x --⎛⎫=----- ⎪-⎝⎭L ()()11!3n n n x --=--,同理,()()()()()()()()11112321!22n n nn n x n x x ----⎛⎫=-----=-- ⎪-⎝⎭L ,所以()()()()()()()1111111!321!32nn n nn n n y n x x n x x ----++⎛⎫⎡⎤=----=-- ⎪⎣⎦ ⎪--⎝⎭.习 题 2-41.求由下列方程所确定的隐函数的导数d d y x: (1)e 0xy x y +-=;(2)22320x y xy y -+=;(3)e ln sin 2xy y x x +=;(4= (0a >的常数).解 (1)将方程两边同时对x 求导,得1e 0xy dy dy y x dx dx ⎛⎫+-+= ⎪⎝⎭,变形得:e 11e xy xydy y dx x -=-;(2)将方程两边同时对x 求导,得22222230dy dy dy xy x y x y y dx dx dx ⎛⎫⎛⎫+-+⋅+= ⎪ ⎪⎝⎭⎝⎭,变形整理得:2224223dy xy y dx x xy y -+=-+; (3)将方程两边同时对x 求导,得 e ln 2cos 2xy dy dy y y x x x dx dx x ⎛⎫⎛⎫+++= ⎪ ⎪⎝⎭⎝⎭,变形整理得:22cos 2e ln exyxy dy x x y xy dx x x x --=+;(4)将方程两边同时对x 求导,得0+=,变形整理得:()0dy x dx =>. 2.求曲线2520x y xy +-=在点(1,1)处的切线方程. 解 将方程两边同时对x 求导,得:42520dy dy x y y x dx dx ⎛⎫+-+= ⎪⎝⎭, 将1x =,1y =代入,解得:()1,10dydx=,所以曲线在点(1,1)处的切线方程为:1y =.3.已知sin cos()0y x x y -+=,求隐函数()y y x =在点π0,2⎛⎫⎪⎝⎭的导数值.解 将方程两边同时对x 求导,得:sin cos sin()10dy dy x y x x y dx dx ⎛⎫⎛⎫++++= ⎪ ⎪⎝⎭⎝⎭,将0x =,2y π=代入,解得:0,212dydxππ⎛⎫ ⎪⎝⎭=--.4.求下列方程所确定的隐函数的二阶导数22d d yx.(1)tan()y x y =+; (2)1e y y x =+;(3)ln y y x y =+; (4)arctan yx=. 解 (1)将方程两边同时对x 求导,得:2sec ()1dy dy x y dx dx ⎛⎫=++ ⎪⎝⎭, 解得2csc ()dyx y dx=-+, 再求导,得:()222csc()csc()cot 1d y dy x y x y x y dx dx ⎛⎫=-+-+++⎡⎤ ⎪⎣⎦⎝⎭, 将2csc ()dy x y dx=-+代入,整理得:()22322csc ()cot d y x y x y dx =-++;(2)将方程两边同时对x 求导,得:e e y ydy dyx dx dx=+, 解得:e 1e y y dy dx x =-,再求导,得:()()222e 1e e e e 1e yy y y y y dy dy x x dx dx d ydxx ⎡⎤⎛⎫---+ ⎪⎢⎥⎝⎭⎣⎦=-,将e 1e y y dy dx x =-代入,整理化简得:()()()()222332e 2e e 321e yyyy x y d y dx y x --==--; (3)将方程两边同时对x 求导,得:ln 1dy dy dyy dx dx dx+=+, 解得:1ln dy dx y =,再求导,得:()2221ln dyd yy dxdx y =-, 将1ln dy dx y =代入,整理化简得:()2321ln d y dx y y =-;(4)将方程两边同时对x 求导,得:2222221121dy dy x y x ydx dx x x y y x -+⋅=⋅+⎛⎫+ ⎪⎝⎭, 解得:dy x y dx x y +=-,再求导,得:()()()22211dy dy x y x y d y dx dx dx x y ⎛⎫⎛⎫+--+- ⎪ ⎪⎝⎭⎝⎭=-, 将dy x ydx x y +=-代入,整理化简得:()()222322x y d y dx x y +=-. 5.用对数求导法求下列函数的导数: (1)cos (sin )x y x =;(2)(tan 2)x y x =;(3)1xx y x ⎛⎫= ⎪+⎝⎭;(4)(2y x =-解 (1)两边取自然对数,得:ln cos ln(sin )y x x =, 两边同时对x 求导,得:()1cos sin ln sin cos sin dy xx x x y dx x=-+⋅, 整理化简得:()cos (sin )sin ln sin cos cot x dyx x x x x dx=-+⋅⎡⎤⎣⎦; (2)两边取自然对数,得:ln ln(tan 2)y x x =,两边同时对x 求导,得:()2sec 221ln(tan 2)tan 2x dyx x y dx x ⋅=+⋅, 整理化简得:4(tan 2)ln(tan 2)sin 4x dy x x x dx x ⎡⎤=+⎢⎥⎣⎦; (3)两边取自然对数,得:()ln ln ln ln 11x y x x x x x ⎛⎫==-+⎡⎤ ⎪⎣⎦+⎝⎭, 两边同时对x 求导,得:()111ln ln 11dy x x x y dx x x ⎛⎫=-++-⎡⎤ ⎪⎣⎦+⎝⎭整理化简得:1ln 111xdy x x dx x x x ⎛⎫⎡⎤=+ ⎪⎢⎥+++⎝⎭⎣⎦; (4)两边取自然对数,得:()111ln ln(21)ln ln(31)ln 1248y x x x x =-++++-,两边同时对x 求导,得:()121312124(31)81dy y dx x x x x =+++-+-,整理化简得:()2131(22124(31)81dy x dx x x x x ⎤=-+++⎢⎥-+-⎦6.求下列参数方程所确定的函数的导数d d yx: (1)cos sin sin cos x a bt b at y a bt b at =+⎧⎨=-⎩(,a b 为常数); (2)22221(1)1at x t a t y t ⎧=⎪⎪+⎨-⎪=⎪+⎩(a 为常数). 解 (1)因为()()sin cos dx ab bt ab at dt =-+,()()cos sin dyab bt ab at dt=+, 所以()()()()()()()()cos sin cos sin d d sin cos sin cos ab bt ab at bt at y x ab bt ab at bt at ++==-+-+; (2)因为()()()()22222221222111a t at t a t dx dt t t +-⋅-==++, ()()()22222221(1)2411at t a t t dy atdt t t -+--⋅-==++ 所以22d 22d 11y t tx t t =-=--. 7.求曲线2e 1(2)ettx t y t t --⎧=+⎪⎨=-⎪⎩在0t =处的切线方程与法线方程. 解 因为e e t t dx t dt --=-,()222e (2)e t t dy t t t dt--=---, 所以221dy t dx t +=-,02t dy dx==,又01,0t t xy====故所求切线为:()21y x =-,法线为:()112y x =--. 8.已知曲线2e 2e tx t mt n y p ⎧=++⎪⎨=-⎪⎩在0t =时过原点,且在该点处的切线与2350x y +-=平行,求常数,,m n p .解 因为2dx t m dt =+,e tdy p dt=,故e 2t dy p dx t m =+,由题设可知:00t xn ===,02e 0t yp ==-=,23t dy p dxm ===-, 所以所求常数为:0n =,2e p =,3e m =-. 注:此题的书后答案有误.9.求下列参数方程所确定的函数的二阶导数22d d yx:(1)231x t y t t⎧=-⎪⎨=-⎪⎩; (2)e cos e sin t t x t y t ⎧=⎨=⎩; (3)()2ln 1arctan x t y t t⎧=+⎪⎨=-⎪⎩; (4)()()()x f t y tf t f t '=⎧⎨'=-⎩(()f t ''存在且不为零).解 (1)因为2dx t dt =-,213dy t dt=-,所以21313222dy t t dx t t -==-+-, 于是 22223131313222224d y d t dt t t dx dt t dx t t ++⎛⎫=-+⋅==- ⎪-⎝⎭;(2)因为e cos e sin t t dx t t dt =-,e sin e cos t t dyt t dt=+, 所以e sin e cos sin cos e cos e sin cos sin t t t tdy t t t t dx t t t t++==--,于是 ()()()22222cos sin sin cos sin cos 1cos sin e cos e sin cos sin t tt t t t d y d t t dt dx dt t t dx t t t t -+++⎛⎫==⋅ ⎪--⎝⎭- ()32e cos sin tt t =-;(3)因为221dx t dt t =+,2111dy dt t =-+,所以22111221dy t t t dx t -+==+, 于是2222112241d y t t dx t t+==+; (4)因为()dx f t dt ''=,()()()()dy f t tf t f t tf t dt ''''''=+-=,所以dy t dx=,于是221()d y dx f t =''.10.将水注入深8米、上顶直径8米的正圆锥形容器中,注水速率为4吨/分钟.当水深为5米时,其表面上升的速率为多少解 如图所示,设在t 时刻容器中水面的高度为()h t (米),此时水面的半径为()r t (米),则依题意应有()()2143r t h t t π=,而()()84h t r t =, 所以()31412h t t π=,两边同时对时间t 求导, 可得()2144dh h t dt π=,当()5h t =时,可求得1625dh dt π=, 所以当水深为5米时,其表面上升的速率为16min 25m π. 11.汽车A 以50公里/小时的速度向西行驶,汽车B 以60公里/小时的速度向北行驶,两辆车都朝着两条路的交叉口行驶.当汽车A 距离交叉路口0.3公里,汽车B 距离交叉路口0.4公里时,两辆车以什么速率接近解 如图所示,设在t 时刻,汽车A 距离交叉路口()x t ,汽车B 距离交叉路口()y t ,则两车之间的直线距离为()()()22s t x t y t =+t 求导,可得()()()()22dx dy x t y t ds dt dt dtx t y t +=+50dx dt =,60dy dt =,故当()0.3x t =,()0.4y t =时,22780.30.4ds dt ==+,即当汽车A 距离交叉路口0.3公里,汽车B 距离交叉路口0.4公里时,两辆车以78/km h 的速率接近.12.一个路灯安装在15英尺高的柱子上,一个身高为6英尺的人从柱子下以5英尺/秒的速度沿直线走离柱子,当他距离柱子40英尺时,他身影的顶端以多快的速率移动解 如图所示,设在t 时刻,此人离灯柱的水平距离为()x t ,身影的顶端离灯柱的水平距离为()y t ,则依题意有:5dx dt =,()()()615y t x t y t -=,可见()()53y t x t =, 两边同时对时间t 求导,得52533dy dx dt dt ==, 所以他身影的顶端以25feet /3s 的速率移动,与他离灯柱的水平 距离无关,只与他的前进速度、身高、灯柱高有关.习 题 2-51.函数2y x =,求当1x =,而0.1x ∆=,0.01时,y ∆与d y 之差是多少 解 当1x =,0.1x ∆=时,21.110.21y ∆=-=,d 20.2y x x =∆=, 所以 0.01y dy ∆-=;当1x =,0.01x ∆=时,21.0110.0201y ∆=-=,d 20.02y x x =∆=, 所以 0.0001y dy ∆-=;2.求函数2y x x =+在3x =处,x ∆等于0.1,0.01时的增量与微分. 解 因为2y x x =+,所以()21dy x x =+∆,当3x =,0.1x ∆=时,223.1 3.1330.71y ∆=+--=,0.7dy =; 当3x =,0.01x ∆=时,223.01 3.01330.0701y ∆=+--=,0.07dy =.3.函数3y x x =-,求自变量x 由2变到1.99时在2x =处的微分. 解 因为3y x x =-,所以()231dy x x =-∆,当2x =,0.01x ∆=-时,()()23210.010.11dy =⨯-⨯-=-.4.求下列函数的微分(1)234123y x x x x =+-+;(2)2e x y x -=; (3)21xy x =- ; (4)22tan (1)y x =+; (5)ln cos 3x y = ;(6)e sin ax y bx =.解 (1)()23144dy x x x dx =+-+;(2)()()()2222222e e e e 2e 12x x x x x dy dx x d x dx x x dx x dx -----=+-=+-=-;(3)()()()()()()()222222222211121111x dx xd x x dx x x dx xdy dx x x x ------+===---;(4)2222222tan(1)tan(1)2tan(1)sec (1)(1)dy x d x x x d x =++=+++2224tan(1)sec (1)x x x dx =++;(5)()()ln cos ln cos 13ln 3ln cos 3ln 3cos cos x x dy d x d x x==⋅lncos 3ln 3tan x xdx =-⋅;(6)()()()()()()e sin e cos e sin cos ax ax ax dy d ax bx bx d bx a bx b bx dx =+=+⎡⎤⎣⎦. 5.将适当的函数填入下列括号内,使等式成立: (1)d()sin d t t ω=; (2)2d()sec 3d x x =; (3)d()x =;(4)22d d()xx a =+; (5)2d()e d x x x =;(6)ln d()d xx x=. 解 (1)()1cos t ωω-; (2)()1tan 33x ; (3; (4)1arctan x a a ; (5)21e 2x ; (6)21ln 2x .6.某扩音器的插头为圆柱形,其截面半径r 为0.15厘米,长度L 为4厘米,为了提高它的导电性能,要在圆柱的侧面镀一层厚度为0.001厘米的铜,问每个插头约需要多少克纯铜(铜的密度为8.9克/立方厘米, 3.1416π≈)解 因为圆柱形的扩音器插头的体积为2V r L π=,侧面镀层的体积约为2V dV rL r π∆≈=∆,当0.15r =,0.001r ∆=,4L =时,32 3.14160.1540.001 3.7699210V -∆≈⨯⨯⨯⨯≈⨯, 故所需铜的重量约为33.76992108.90.03355m -≈⨯⨯≈克.7.设有一凸透镜,镜面是半径为R 的球面,镜面的口径为2h ,若h 比R 小得多,试证明透镜的厚度22h D R≈.解 如下图所示,镜面半径R 、镜面口径2h 、透镜厚度D 之间有关系:()222h R D R +-=,化简得:2220h RD D -+=,得:22222441R R h h D R R --==--若h 比R 小得多,则2222112h h R R-≈-,故222221122h h h D R R R R R R R⎛⎫=--≈--= ⎪⎝⎭.8.利用微分求下列函数值的近似值(1)cos59o ;(2)tan 46o ;(3)lg11; (4) 1.01e ;(526;(63996解 (1)()00cos59cos 601cos cos sin 318033180πππππ⎛⎫⎛⎫⎛⎫⎛⎫=-=-≈-- ⎪ ⎪ ⎪⎪⎝⎭⎝⎭⎝⎭⎝⎭o130.51512180π⎫=-≈⎪⎝⎭; (2)()002tan 46tan 451tan tan sec 418044180πππππ⎛⎫⎛⎫⎛⎫=+=+≈+ ⎪ ⎪ ⎪⎝⎭⎝⎭⎝⎭o 12 1.0349180π=+⨯≈;(3)()1lg11lg 101lg101 1.043410ln10=+≈+⨯≈;(4) 1.0110.010.01 2.7455e e e e +=≈+⨯≈; (526251251 5.1225=+≈=; (6()233331996100041000100049.98673-=-≈⨯⨯-≈.9.当||x 较小时,证明下列近似公式: (1)sin x x ≈;(2)(1)1x x αα+≈+;(3)ln(1)x x +≈.解 (1)设()sin f x x =,则()cos f x x '=,当||x 较小时,()sin sin0cos0f x x x x =≈+⋅=,所以sin x x ≈;(2)设()(1)f x x α=+,则()1(1)f x x αα-'=+图2-11当||x 较小时,()()()(1)111f x x f f x x αα'=+≈+=+,所以(1)1x x αα+≈+;(3)设()ln(1)f x x =+,则()11f x x'=+, 当||x 较小时,()()()ln(1)11f x x f f x x '=+≈+=,所以ln(1)x x +≈.习 题 2-61.一飞机在离地面2000米的高度,以200公里/小时的速度飞临某目标之上空,以便进行航空摄影.试求飞机飞至该目标上方时摄影机转动的速度.解 如右图示意,A 为摄影目标,B 为其正上方的点,设t 时刻飞机离B 点的水平距离为()x t ,摄影机镜头C 与A 点连线与飞机的水平飞行方向成θ夹角,则()cot 2000x t θ=,()()20000003600x t x t =-,两边同时对时间t求导,可得()211csc 200036dx t d dt dt θθ-==-,即21sin 36d dt θθ=,当飞机飞至该目标上方时,2πθ=, 代入解得:()13605/362d rad s dt θππ=⨯=. 2.一架飞机着陆的路径如图2-11所示,并且满足下列条件: (ⅰ)降落点为原点,飞机开始降落时水平距离为l ,飞行高度为h .(ⅱ)在整个降落过程中,飞行员必须使飞机保持恒定的水平速度v .(ⅲ)垂直方向的加速度的绝对值不能超过常数k (必须比重力加速度小很多).(1) 求一个三次多项式()32P x ax bx cx d =+++,通过在开始降落和着陆的点对()P x 和()P x '施加一定的条件限制,使它满足条件(ⅰ);(2) 根据条件(ⅱ)和(ⅲ),试证明:226hv k l≤;(3) 假设一条航线不允许飞机的垂直加速度超过2860k =哩小时.如果 一架飞机的飞行高度为35000呎,速度为300哩小时,飞机应从距离飞机场多远处开始降落(4) 画出满足问题(3)中条件的航线图.解 假设从飞机开始着陆时计时,飞行时间为t ,飞机位置为(),x y . (1)如要满足条件(ⅰ),应有0t =时,,x l y h ==,0t dy dt==;t T =(T 为着陆时刻)时,0x y ==,0t Tdydt==,因为()32y P x ax bx cx d ==+++,于是()()232dy dx dxP x ax bx c dt dt dt'==++, 所以应有 32h al bl cl d =+++,2320al bl c ++=,0d =,0c =, 解得3223,,0h h a b c d l l =-===,所以()323223h h P x x x l l=-+; (2)由条件(ⅱ)和(ⅲ)可知:dxv dt =,22d y k dt ≤,由()323223h h y P x x x l l==-+,可得:23266dy h h dx x x dt l l dt ⎛⎫=-+ ⎪⎝⎭, 222223232212666d y h h dx h h d xx x x dt ll dt l l dt ⎛⎫⎛⎫⎛⎫=-++-+ ⎪⎪ ⎪⎝⎭⎝⎭⎝⎭, 所以[]0,x l ∀∈,应有232126hh x v k ll ⎛⎫-+≤ ⎪⎝⎭, 故226hv k l ≤;(3)当2860k =哩,0.62135000350000.305 6.62921000h ==⨯⨯≈呎哩,300v =哩小时,由226hv k l ≤,可解得64.52l ≥≈(哩),即飞机应从距离飞机场约64.52哩的水平距离处开始降落.(4)满足条件(3)的航线为()3232322350003350000.260625.223264.5264.52P x x x x x ⨯⨯=-+≈-+(呎)(注:式中x 的单位哩,图略).本章复习题A1、填空题(1)()f x 在点0x 可导是()f x 在点0x 连续的_____条件,()f x 在点0x 连续是()f x 在点0x 可导的______条件.解 因为()f x 在点0x 可导,则()f x 在点0x 连续,故第一个空应填“充分”,第二个空应填“必要”.(2)()f x 在点0x 可导是()f x 在点0x 可微的______条件. 解 应填“充分必要”. (3)若假定0()f x '存在,则000()()limh f x h f x h h→+--=______.解 因为()()00000000()()()()limlim h h f x h f x f x f x h f x h f x h h h→→+-+--+--= ()()00000()()lim h f x h f x f x h f x h h →+---⎡⎤=+⎢⎥-⎣⎦()02f x '=, 所以应填“()02f x '”.(4)若()(1)(2)f x x x x =++,则(0)_______f '=.解 因为()(1)(2)(2)(1)f x x x x x x x '=++++++,故(0)2f '=,应填“2”.(5)曲线231x t y t⎧=+⎨=⎩在2t =处的切线方程为________. 解 因为23322t t y dy t t dx x t '===',所以2t =时,23t dy dx ==,5x =,8y =,切线方程为()835y x -=-,即370x y --=,所以应填“370x y --=”.2、选择题(1)()f x 在点0x 的左导数0()f x -'及右导数0()f x +'都存在且相等是()f x 在点0x 可导的( ).A .充分条件B .充分必要条件C .必要条件D .既非充分条件也非必要条件 解 选B .(2)设101()n n n f x a x a x a -=+++L ,则()(0)n f =( ).A .n aB .0aC .0!n aD .0 解 选C .因为()0()!n f x n a =.(3)设函数()y f x =二阶可导,(ln )y f x =,则22d d yx等于( ).A .1(ln )f x x 'B .21[(ln )(ln )]f x f x x '''- C .21[(ln )(ln )]xf x f x x '''- D .21(ln )f x x' 解 选B .因为1(ln )(ln )f x y f x x x'''=⋅=, 则221(ln )(ln )(ln )(ln )f x x f x f x f x x y x x '''⋅⋅-'''-''==. (4)若函数()y f x =有01()2f x '=,则当0x ∆→时,该函数在0x x =处的微分d y 是( ).A .与x ∆等价的无穷小B .与x ∆同阶的无穷小C .比x ∆低阶的无穷小D .比x ∆高阶的无穷小 解 选B .因为()0012x x dyy x x x ='=∆=∆,所以001lim 2x x x dy x =∆→=∆.(5)已知方程222x y R +=确定了函数()y y x =,则22d d yx 等于( ).A .xy- B .23R y C .33R y - D .23R y -解 选D .由222x y R +=可得220x y y '+⋅=,。
高数一期末试题及答案一、选择题(每题5分,共20分)1. 下列函数中,哪一个是奇函数?A. \( y = x^2 \)B. \( y = x^3 \)C. \( y = \sin(x) \)D. \( y = \cos(x) \)答案:C2. 极限 \( \lim_{x \to 0} \frac{\sin(x)}{x} \) 的值是多少?A. 0B. 1C. \( \frac{1}{2} \)D. \( \infty \)答案:B3. 微分方程 \( y'' - y = 0 \) 的通解是:A. \( y = e^x \)B. \( y = \sin(x) + \cos(x) \)C. \( y = e^{2x} \)D. \( y = x^2 \)答案:B4. 曲线 \( y = x^3 \) 在点 \( (1,1) \) 处的切线斜率是:B. 1C. 3D. 27答案:C二、填空题(每题5分,共20分)1. 设 \( f(x) = x^2 - 4x + 4 \),则 \( f'(x) =\_\_\_\_\_\_\_\_ \)。
答案:\( 2x - 4 \)2. 函数 \( y = \ln(x) \) 的不定积分是 \( \_\_\_\_\_\_\_\_ \)。
答案:\( x\ln(x) - x + C \)3. 曲线 \( y = x^2 \) 与直线 \( y = 2x \) 的交点坐标是\( \_\_\_\_\_\_\_\_ \)。
答案:\( (0,0) \) 和 \( (2,4) \)4. 函数 \( y = e^{3x} \) 的二阶导数是 \( \_\_\_\_\_\_\_\_ \)。
答案:\( 9e^{3x} \)三、计算题(每题15分,共30分)1. 计算定积分 \( \int_{0}^{1} (3x^2 - 2x + 1) dx \)。
\[\int_{0}^{1} (3x^2 - 2x + 1) dx = \left[ x^3 - x^2 + x\right]_{0}^{1} = (1 - 1 + 1) - (0 - 0 + 0) = 1\]2. 求函数 \( y = x^3 - 6x^2 + 9x + 1 \) 的极值。
高数极限证明例题及详解以下是一道高数极限证明的例题及详解:问题:证明 $$\lim_{x \to 0} \frac{\sin(x)}{x} = 1$$解答:根据极限的定义,要证明该极限等于1,需要证明对于任意给定的正实数ε,存在一个正实数δ,使得当0 < |x - 0| < δ时,满足 |(sin(x)/x) - 1| < ε。
我们先化简一下要证明的不等式:|(sin(x)/x) - 1| = |(sin(x) - x)/x|。
观察到当x趋近于0时,sin(x)也趋近于0,并且sin(0) = 0。
因此,对于任意给定的正实数ε,存在一个正实数δ,使得当0 < |x - 0| < δ时,满足|sin(x)| < ε/2。
接下来,我们来看一下 |(sin(x) - x)/x|。
由于 |(sin(x) - x)/x| = 1 - (x/sin(x)),我们只需证明 x/sin(x) 也趋近于1即可。
考虑函数 f(x) = x/sin(x),我们知道 f(0) = 1。
那么我们需要证明对于任意给定的正实数ε,存在一个正实数δ',使得当0 < |x - 0| < δ'时,满足 |f(x) - 1| < ε。
我们可以通过对 f(x) 进行求导来研究其变化规律。
求导得到f'(x) = (sin(x) - x*cos(x))/sin^2(x)。
当x趋近于0时,sin(x)趋近于0,cos(x)趋近于1,因此f'(x)也趋近于0。
这说明在x趋近于0时,f(x)的变化趋于平缓。
也就是说,对于任意给定的正实数ε,存在一个正实数δ',使得当0 < |x - 0| < δ'时,满足|f'(x)| < ε/2。
那么我们可以设定δ' = ε/2,因为当0 < |x - 0| < ε/2时,有 |f(x) - 1| = |f(x) - f(0)| < ε/2 * |x - 0| < ε/2 * δ' = ε/2 * ε/2 = ε^2/4。
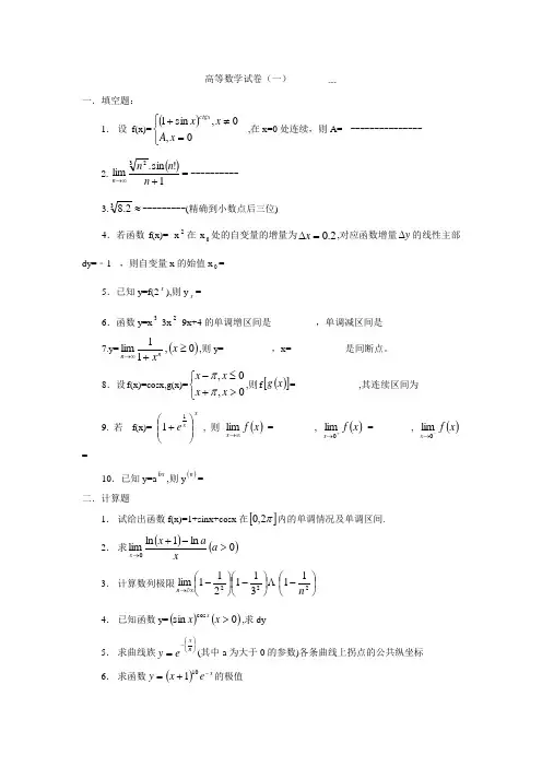
高等数学试卷(一)﹍一.填空题:1. 设 f(x)=()⎩⎨⎧=≠+0,0,sin 1x A x x ctgx ,在x=0处连续,则A=--2.()=+∞→1!sin .lim 32n n n n ---------- 3.≈32.8---------(精确到小数点后三位)4.若函数f(x)=x 2在x 0处的自变量的增量为2.0=∆x ,对应函数增量y ∆的线性主部dy=﹣1,则x 的始值x 0=---------------5.已知y=f(2x),则y x =--------------------6.函数y=x 3-3x 2-9x+4的单调增区间是--------------,单调减区间是--------------- 7.y=()0,11lim≥+∞→x x nn ,则y=---------------,x=-----------------是间断点。
8. 设f(x)=cosx,g(x)=⎩⎨⎧>+≤-0,0,x x x x ππ,则f ()[]x g =--------------------,其连续区间为-------------9.若f(x)=xx e ⎪⎪⎭⎫⎝⎛+11,则()x f x ∞→lim =-------------,()x f x +→0lim =------------,()x f x -→0lim =------------10.已知y=a bx,则y()n =-----------------二.计算题1. 试给出函数f(x)=1+sinx+cosx 在[]π2,0内的单调情况及单调区间. 2. 求()()0ln 1ln lim0>-+→a xax x3. 计算数列极限⎪⎭⎫⎝⎛-⎪⎭⎫ ⎝⎛-⎪⎭⎫ ⎝⎛-∂∞→22211311211lim n n 4. 已知函数y=()()0sin cos >x x x,求dy5. 求曲线族⎪⎭⎫⎝⎛-=n x ey (其中a 为大于0的参数)各条曲线上拐点的公共纵坐标6. 求函数()x e x y -+=101的极值7. 求()()x x x f -=1ln 的n 阶马克劳林展开式。
第一章函数、极限与连续内容概要课后习题全解习题1-1★1.求下列函数的定义域:知识点:自然定义域指实数范围内使函数表达式有意义的自变量x 的取值的集合; 思路:常见的表达式有 ① a log □,( □0>) ② /N □, ( □0≠) ③(0)≥W④ arcsin W (W[]1,1-∈)等解:(1)[)(]1,00,11100101122⋃-∈⇒⎩⎨⎧≤≤-≠⇒⎩⎨⎧≥-≠⇒--=x x x x x x x y ;(2)31121121arcsin≤≤-⇒≤-≤-⇒-=x x x y ; (3)()()3,00,030031arctan 3⋃∞-∈⇒⎩⎨⎧≠≤⇒⎩⎨⎧≠≥-⇒+-=x x x x x x x y ;(4)()()3,11,1,,1310301lg 3⋃-∞-∈⇒⎩⎨⎧-<<<⇒⎩⎨⎧-<-<⇒-=-x x or x x x x x y x;(5)()()4,22,11601110)16(log 221⋃∈⇒⎪⎩⎪⎨⎧-<-≠-<⇒-=-x x x x x y x ; ★ 2.下列各题中,函数是否相同?为什么?(1)2lg )(x x f =与x x g lg 2)(=;(2)12+=x y 与12+=y x知识点:函数相等的条件;思路:函数的两个要素是f (作用法则)及定义域D (作用范围),当两个函数作用法则f 相同(化简后代数表达式相同)且定义域相同时,两函数相同;解:(1)2lg )(x x f =的定义域D={}R x x x ∈≠,0,x x g lg )(=的定义域{},0R x x x D ∈>=,虽然作用法则相同x x lg 2lg 2=,但显然两者定义域不同,故不是同一函数;(2)12+=x y ,以x 为自变量,显然定义域为实数R ;12+=y x ,以x 为自变量,显然定义域也为实数R ;两者作用法则相同“2□1+”与自变量用何记号表示无关,故两者为同一函数;★ 3.设⎪⎪⎩⎪⎪⎨⎧≥<=3,03,sin )(ππϕx x x x ,求)2()4()4()6(--ϕπϕπϕπϕ,,,,并做出函数)(x y ϕ=的图形知识点:分段函数;思路:注意自变量的不同范围; 解:216sin)6(==ππϕ,224sin 4==⎪⎭⎫⎝⎛ππϕ,224sin 4=⎪⎭⎫⎝⎛-=⎪⎭⎫ ⎝⎛-ππϕ()02=-ϕ;如图:★ 4.试证下列各函数在指定区间内的单调性 :(1)()1,1∞--=xxy (2)x x y ln 2+=,()+∞,0 知识点:单调性定义。
习题十一1.设L 为xOy 面内直线x =a 上的一段,证明:(),d 0L P x y x =⎰其中P (x ,y )在L 上连续.证:设L 是直线x =a 上由(a ,b 1)到(a ,b 2)这一段,则 L :12x a b t b y t=⎧≤≤⎨=⎩,始点参数为t =b 1,终点参数为t =b 2故()()()221d ,d d 0d 0d b b Lb ba P x y x P a,t t P a,t t t ⎛⎫=⋅=⋅= ⎪⎝⎭⎰⎰⎰2.设L 为xOy 面内x 轴上从点(a ,0)到点(b ,0)的一段直线,证明:()(),d 0d b LaP x y x P x,x=⎰⎰,其中P (x ,y )在L 上连续.证:L :0x x a x by =⎧≤≤⎨=⎩,起点参数为x =a ,终点参数为x =b .故()(),d ,0d bL aP x y x P x x=⎰⎰3.计算下列对坐标的曲线积分:(1)()22d -⎰Lxyx ,其中L 是抛物线y =x 2上从点(0,0)到点(2,4)的一段弧;(2)d L xy x⎰ 其中L 为圆周(x -a )2+y 2=a 2(a >0)及x 轴所围成的在第一象限内的区域的整个边界(按逆时针方向绕行);(3)d d L y x x y+⎰,其中L 为圆周x =R cos t ,y =R sin t 上对应t 从0到π2的一段弧;(4)()()22d d Lx y x x y yx y+--+⎰,其中L 为圆周x 2+y 2=a 2(按逆时针方向绕行);(5)2d d d x x z y y zΓ+-⎰,其中Γ为曲线x =kθ,y =a cos θ,z =a sin θ上对应θ从0到π的一段弧;(6)()322d 3d ++-⎰x x zy x y zΓ,其中Γ是从点(3,2,1)到点(0,0,0)的一段直线;(7)d d d L x y y z-+⎰ ,其中Γ为有向闭拆线ABCA ,这里A ,B ,C 依次为点(1,0,0),(0,1,0),(0,0,1);(8)()()222d 2d Lxxy x y xy y-+-⎰,其中L 是抛物线y =x 2上从点(-1,1)到点(1,1)的段弧.解:(1)L :y =x 2,x 从0变到2,()()22222435001156d d 3515Lxyx x x x x x ⎡⎤-=-=-=-⎢⎥⎣⎦⎰⎰(2)如图11-1所示,L =L 1+L 2.其中L 1的参数方程为图11-1cos 0πsin x a a t t y a t=+⎧≤≤⎨=⎩L 2的方程为y =0(0≤x ≤2a )故()()()()()12π200π32ππ3223d d d 1+cost sin cos d 0d sin 1cos d sin d sin dsin π2LL L a xy x xy x xy xa a t a a t t xat t ta t t t ta=+'=⋅++=-+=-+=-⎰⎰⎰⎰⎰⎰⎰⎰(3)()π20π220π220d d sin sin cos cos d cos 2d 1sin 220Ly x x y R t R t R tR t tRt tR t +=-+⎡⎤⎣⎦=⎡⎤=⎢⎥⎣⎦=⎰⎰⎰(4)圆周的参数方程为:x =a cos t ,y =a sin t ,t :0→2π.故 ()()()()()()222π202π22d d 1cos sin sin cos sin cos d 1d 2πLx y x x y yx ya t a t a t a t a t a t ta a ta+--+=+---⎡⎤⎣⎦=-=-⎰⎰⎰(5)()()()2π220π322π3320332d d d sin sin cos cos d d 131ππ3xx z y y zk k a a a a kak a k a Γθθθθθθθθθθ+-=⋅+⋅--=-⎡⎤=-⎢⎥⎣⎦=-⎰⎰⎰(6)直线Γ的参数方程是32=⎧⎪=⎨⎪=⎩x ty t z t t 从1→0.故()0322103104127334292d 87d 1874874t t t t t t t t tΓ⎡⎤=⋅+⋅⋅+-⋅⎣⎦==⋅=-⎰⎰(7)AB BC CA Γ=++(如图11-2所示)图11-21:0y xAB z =-⎧⎨=⎩,x 从0→1()01d d d 112ABx y y z dx -+=--=-⎡⎤⎣⎦⎰⎰.0:1x BC y z =⎧⎨=-⎩,z 从0→1()()()101120d d d 112d 12232B Cx y y z z dzz zz z -+=--+-⎡⎤⎣⎦=-⎡⎤=-⎢⎥⎣⎦=⎰⎰⎰:1y C A z x =⎧⎨=-⎩,x 从0→1[]1d d d 1001CAx y y z dx -+=-+=⎰⎰.故()()d d d d d d 312122LAB BC C Ax y y z x y y z-+=++-+=-++=⎰⎰⎰⎰(8)()()()122421123541222d 224d 1415Lx x xxx xx x xx x xx--⎡⎤=-⋅+-⋅⋅⎣⎦=-+-=-⎰⎰4.计算()()d d L x y x y x y++-⎰,其中L 是 (1)抛物线y 2=x 上从点(1,1)到点(4,2)的一段弧; (2)从点(1,1)到点(4,2)的直线段;(3)先沿直线从(1,1)到点(1,2),然后再沿直线到点(4,2)的折线;(4)曲线x =2t 2+t +1,y =t 2+1上从点(1,1)到点(4,2)的一段弧.解:(1)L :2x y y y⎧=⎨=⎩,y :1→2,故()()()()()2221232124321d d 21d 2d 111232343Lx y x y x yy y y y y y yy y yy y y ++-⎡⎤=+⋅+-⋅⎣⎦=++⎡⎤=++⎢⎥⎣⎦=⎰⎰⎰(2)从(1,1)到(4,2)的直线段方程为x =3y -2,y :1→2故()()()()()2121221d d 32332d 104d 5411Lx y x y x yy y y y y y yy y ++-=-+⋅+-+⎡⎤⎣⎦=-⎡⎤=-⎣⎦=⎰⎰⎰(3)设从点(1,1) 到点(1,2)的线段为L 1,从点(1,2)到(4,2)的线段为L 2,则L =L 1+L 2.且 L 1:1x y y=⎧⎨=⎩,y :1→2;L 2:2x x y =⎧⎨=⎩,x :1→4;故()()()()()12122211d d 101d 1d 212L x y x y x yy y y y y y y ++-=+⋅+-⎡⎤⎣⎦⎡⎤=-=-⎢⎥⎣⎦=⎰⎰⎰()()()()()()24144211d d 220d 12d 22272L x y x y x yx x x x x x ++-=++-⋅⎡⎤⎣⎦⎡⎤=+=+⎢⎥⎣⎦=⎰⎰⎰从而()()()()()12d d d d 1271422LL L x y x y x yx y x y x y++-=+++-=+=⎰⎰⎰(4)易得起点(1,1)对应的参数t 1=0,终点(4,2)对应的参数t 2=1,故()()()()()()12213214320d d 32412d 10592d 10592432323Lx y x y x yt t t t t t ttt t tt t t t ++-⎡⎤=++++--⋅⎣⎦=+++⎡⎤=+++⎢⎥⎣⎦=⎰⎰⎰5.设质点受力作用,力的反方向指向原点,大小与质点离原点的距离成正比,若质点由(a ,0)沿椭圆移动到B (0,b ),求力所做的功.解:依题意知 F =kxi +kyj ,且L :cos sin x a t y a t =⎧⎨=⎩,t :0→π2 ()()()()π2022π20π22222d d cos sin sin cos d sin 2d 2cos 2222LW kx x ky yka t t kb t b t tk b at tk b at k b a=+=-+⋅⎡⎤⎣⎦-=--⎡⎤=⎢⎥⎣⎦-=⎰⎰⎰(其中k 为比例系数)6.计算对坐标的曲线积分: (1)d Lxyz z⎰,Γ为x 2+y 2+z 2=1与y =z 相交的圆,方向按曲线依次经过第Ⅰ、Ⅱ、Ⅲ、Ⅳ封限;(2)()()()222222d d d Lyzx zxy xyz -+-+-⎰,Γ为x 2+y 2+z 2=1在第Ⅰ封限部分的边界曲线,方向按曲线依次经过xOy 平面部分,yOz 平面部分和zOx 平面部分.解:(1)Γ:2221x y z y z ⎧++=⎨=⎩即2221x z y z ⎧+=⎨=⎩其参数方程为:cos 22x t y tz t =⎧⎪⎪⎪=⎨⎪⎪=⎪⎩ t :0→2π故:2π02π2202π202π0d cos d 222sin cos d 4sin 2d 161cos 4d 16216xyz z t t t t tt t t t t ttΓ=⋅⋅⋅==-==⎰⎰(2)如图11-3所示.图11-3Γ=Γ1+Γ2+Γ3.Γ1:cos sin 0x ty t z =⎧⎪=⎨⎪=⎩ t :0→π2,故()()()()()1222222π2220π3320π320d d d sin sin cos cos d sin cos d 2sin d 24233yzx zxy xyzt t t t tt t tt tΓ-+-+-⎡⎤=--⋅⎣⎦=-+=-=-⋅=-⎰⎰⎰⎰又根据轮换对称性知()()()()()()1222222222222d d d 3d d d 4334yzx zxy xyzyzx zxy xyzΓΓ-+-+-=-+-+-⎛⎫=⨯- ⎪⎝⎭=-⎰⎰7.应用格林公式计算下列积分:(1)()()d d 24356+-++-⎰ x yx y x y Γ, 其中L 为三顶点分别为(0,0),(3,0)和(3,2)的三角形正向边界;(2)()()222d d cos 2sin e sin 2e x xL x y x y x xy x y x x y ++--⎰,其中L 为正向星形线()2223330x ya a +=>;(3)()()3222d d 2cos 12sin 3+--+⎰L x y xy y x y x x y ,其中L 为抛物线2x =πy 2上由点(0,0)到(π2,1)的一段弧;(4)()()22d d sin Lx yxy x y --+⎰,L是圆周y =上由点(0,0)到(1,1)的一段弧;(5)()()d d esin e cos xxLx yy my y m +--⎰,其中m 为常数,L 为由点(a ,0)到(0,0)经过圆x 2+y 2=ax上半部分的路线(a 为正数).图11-4解:(1)L 所围区域D 如图11-4所示,P =2x -y +4,Q =3x +5y -6,3Qx∂=∂,1Py∂=-∂,由格林公式得()()d d 24356d d 4d d 4d d 1432212LD DDx yx y x y Q P x y x y x yx y +-++-∂∂⎛⎫-= ⎪∂∂⎝⎭===⨯⨯⨯=⎰⎰⎰⎰⎰⎰⎰(2)P =x 2y cos x +2xy sin x -y 2e x,Q =x 2sin x -2y e x ,则2cos 2sin 2exPx x x x y y∂=+-∂,2cos 2sin 2e xQx x x x y x ∂=+-∂.从而PQ yx∂∂=∂∂,由格林公式得.()()222d d cos 2sin esin 2e d d 0++--∂∂⎛⎫-=⎪∂∂⎝⎭=⎰⎰⎰ xx LD x yxy x xy x y x x y Q P x y x y(3)如图11-5所示,记O A ,AB , BO 围成的区域为D .(其中BO =-L )图11-5P =2xy 3-y 2cos x ,Q =1-2y sin x +3x 2y 2262cos P xy y xy∂=-∂,262cos Qxy y xx∂=-∂由格林公式有:d d d d 0L OA ABD Q PP x Q y x y x y -++∂∂⎛⎫-+== ⎪∂∂⎝⎭⎰⎰⎰故π21220012202d d d d d d d d ππd d 12sin 3243d 12π4π4++=+=+++⎛⎫=+-+⋅⋅ ⎪⎝⎭⎛⎫=-+ ⎪⎝⎭=⎰⎰⎰⎰⎰⎰⎰LO A ABO A ABP x Q y P x Q yP x Q y P x Q yO x y y y y y y(4)L 、AB 、BO 及D 如图11-6所示.图11-6由格林公式有d d d d ++∂∂⎛⎫-+=- ⎪∂∂⎝⎭⎰⎰⎰L AB BOD Q P P x Q y x y x y而P =x 2-y ,Q =-(x +sin 2y ).1∂=-∂P y,1∂=-∂Qx,即,∂∂-=∂∂QP xy于是()d d d d 0+++++=+=⎰⎰⎰⎰LABBOL AB BOP x Q y P x Q y从而()()()()()()()2222221122011300d d d d sin d d d d sin sin d d 1sin 131sin 232471sin 264LL BA O BP x Q y x y xy x y x y x yx y x y xy x y y x xy x y y +=--+=-+--+-+=-++⎡⎤⎡⎤=+-+⎢⎥⎢⎥⎣⎦⎣⎦=-+⎰⎰⎰⎰⎰⎰(5)L ,OA 如图11-7所示.图11-7P =e xsin y -my ,Q =e xcos y -m ,e cos xP y my∂=-∂,e cos xQyx∂=∂由格林公式得:22d d d d d d d d 1π22π8L O AD DDQ P P x Q y x y x y m x ym x y a m m a +∂∂⎛⎫-+=⎪∂∂⎝⎭==⎛⎫=⋅⋅ ⎪⎝⎭=⎰⎰⎰⎰⎰⎰⎰于是:()()[]220202πd d d d 8πd 0esin 00e cos 08π0d 8π8+=-+=-+⋅⋅-⋅⋅-=-=⎰⎰⎰⎰LO A axxa m a P x Q y P x Q ym a xm m m a xm a8.利用曲线积分,求下列曲线所围成的图形的面积: (1)星形线x =a cos 3t ,y =a sin 3t ;(2)双纽线r 2=a 2cos2θ; (3)圆x 2+y 2=2ax . 解:(1)()()()()()2π322π2π2422222π202π22π202d sin 3cos d sin 33sin cos d sin 2sin d 43d 1cos 41cos 2163d 1cos 2cos 4cos 2cos 416312π+d cos 2cos 61623π8LA y x a t a t tt a t t t at t ta tt t a tt t t t at t t a=-=-⋅-==⋅=--=--+⎡⎤=+⎢⎥⎣⎦=⎰⎰⎰⎰⎰⎰⎰(2)利用极坐标与直角坐标的关系x =r cos θ,y =r sin θ得cos x a θ=sin y a θ=从而x d y -y d x =a 2cos2θd θ.于是面积为:[]π24π4π24π4212d d 2cos 2d sin 22LA x y y xa aaθθθ--=⋅-===⎰⎰(3)圆x 2+y 2=2ax 的参数方程为cos 02πsin x a a y a θθθ=+⎧≤≤⎨=⎩故()()[]()2π22π021d d 21d a+acos sin 2d 1cos 2πcos sin LA x y y xa a a a a θθθθθθθ=-=-=+=⋅-⎰⎰⎰9.证明下列曲线积分与路径无关,并计算积分值:(1)()()()()1,10,0d d x y x y --⎰;(2)()()()()3,423221,2d d 663x yxy yx y xy +--⎰;(3)()()1,221,1d d xy x x y-⎰沿在右半平面的路径;(4)()()6,81,0⎰沿不通过原点的路径;证:(1)P =x -y ,Q =y -x .显然P ,Q 在xOy 面内有连续偏导数,且1PQ yx∂∂==-∂∂,故积分与路径无关.取L 为从(0,0)到(1,1)的直线段,则L 的方程为:y =x ,x :0→1.于是()()()()11,100,00d 0d d xx y x y ==--⎰⎰(2) P =6xy 2-y 3,Q =6x 2y -3xy 2.显然P ,Q 在xOy 面内有连续偏导数,且2123Pxy yy∂=-∂,2123Q xy yx∂=-∂,有PQy x ∂∂=∂∂,所以积分与路径无关.取L 为从(1,2)→(1,4)→(3,4)的折线,则()()()()()()[]3,423221,2432214323212d d 663d d 63966434864236x yxy yx y xy y xy y x y y x x +--=+--=+⎡⎤--⎣⎦=⎰⎰⎰(3)2y P x=,1Q x=-,P ,Q 在右半平面内有连续偏导数,且21Pyx∂=∂,21Qxx∂=∂,在右半平面内恒有PQy x ∂∂=∂∂,故在右半平面内积分与路径无关. 取L 为从(1,1)到(1,2)的直线段,则()()()21,2211,1d d d 11xy x x yy -==--⎰⎰(4) P =,Q =,且PQ yx∂∂==∂∂在除原点外恒成立,故曲线积分在不含原点的区域内与路径无关, 取L 为从(1,0)→(6,0)→(6,8)的折线,则()()686,811,081529x y=+⎡=+⎣=⎰⎰⎰10.验证下列P (x ,y )d x +Q (x ,y )d y 在整个xOy 面内是某一函数u (x ,y )的全微分,并求这样的一个函数u (x ,y ):(1)(x +2y )d x +(2x +y )d y ; (2)2xy d x +x 2d y ;(3)(3x 2y +8xy 2)d x +(x 3+8x 2y +12y e y)d y ; (4)(2x cos y +y 2cos x )d x +(2y sin x -x 2sin y )d y . 解:证:(1)P =x +2y ,Q =2x +y .2P Q yx∂∂==∂∂,所以(x +2y )d x +(2x +y )d y 是某个定义在整个xOy 面内的函数u (x ,y )的全微分.()()()()()(),0,0002222d d ,22d d 2222222x y xyyu x yx y x y x y x x yx y xy xy xyxy =+++=++⎡⎤=++⎢⎥⎣⎦=++⎰⎰⎰(2)P =2xy ,Q =x 2,2PQ xyx∂∂==∂∂,故2xy d x +x 2d y 是某个定义在整个xOy 面内的函数u (x ,y )的全微分.()()(),20,020022d d ,0d d x y xy u xy x x yx y x x yx y=+=+=⎰⎰⎰(3)P =3x 2y +8xy 2,Q =x 3+8x 2y +12y e y ,2316∂∂=+=∂∂PQx xy y x ,故(3x 2y +8xy 2)d x +(x 3+8x 2y +12y e y )d y是某个定义在整个xOy 面内函数u (x ,y )的全微分,()()()()()(),22320,03200322d ,38812e 0d d 812e412e 12e 12x y y xyyyyu x x y x y x y x x y y x yxx y y x y x y y =++++=+++=++-+⎰⎰⎰(4)P =2x cos y +y 2cos x ,Q =2y sin x -x 2sin y ,2sin 2cos Px y y xy∂=-+∂,2cos 2sin Qy x x yx∂=-∂,有PQy x ∂∂=∂∂,故(2x cos y +y 2cos x )d x +(2y sin x -x 2sin y )d y 是某一个定义在整个xOy 面内的函数u (x ,y )的全微分,()()()()()(),220,020022d d ,2cos cos 2sin sin 2d d 2sin sin sin cos x y xy u x yx y x y y x y x x y x x yy x xy y x x y=++-=+-=+⎰⎰⎰11.证明:22d d x x y yx y ++在整个xOy 平面内除y 的负半轴及原点外的开区域G 内是某个二元函数的全微分,并求出这样的一个二元函数.证:22xP x y =+,22y Q x y=+,显然G 是单连通的,P 和Q 在G 内具有一阶连续偏导数,并且.()2222∂∂-==∂∂+P Q xyyxxy,(x ,y )∈G因此22d d x x y yx y ++在开区域G 内是某个二元函数u (x ,y )的全微分.由()()22222222d d 11ln 22d x y x x y ydx y x yx y++⎡⎤==+⎢⎥++⎣⎦知()()221ln ,2u x y x y =+.12.设在半平面x >0中有力()3k F xi yj r=-+构成力场,其中k为常数,r =,证明:在此力场中场力所做的功与所取的路径无关. 证:场力沿路径L 所作的功为.33d d Lk k W x x y yrr=--⎰其中3kx P r=-,3ky Q r=-,则P 、Q 在单连通区域x >0内具有一阶连续偏导数,并且53(0)P kxy Q x yrx∂∂==>∂∂因此以上积分与路径无关,即力场中场力所做的功与路径无关. 13.当Σ为xOy 面内的一个闭区域时,曲面积分()d d ,,R x yx y z ∑⎰⎰与二重积分有什么关系?解:因为Σ:z =0,在xOy 面上的投影区域就是Σ故()()d d d d ,,,,0R x y R x yx y z x y ∑∑=±⎰⎰⎰⎰当Σ取的是上侧时为正号,Σ取的是下侧时为负号. 14.计算下列对坐标的曲面积分:(1)22d d xy z x y∑⎰⎰,其中Σ是球面x 2+y 2+z 2=R 2的下半部分的下侧;(2)d d d d d d z x y x y z y z x∑++⎰⎰,其中Σ是柱面x 2+y 2=1被平面z =0及z =3所截得的在第Ⅰ封限内的部分的前侧; (3)()()()d d 2d d d d ,,,,,,f x y z f y z x f z x y x y z x y z x y z ∑+++++⎡⎤⎡⎤⎡⎤⎣⎦⎣⎦⎣⎦⎰⎰,其中f (x ,y ,z )为连续函数,Σ是平面x -y +z =1在第Ⅳ封限部分的上侧;(4)d d d d d d xz x y xy y z yz z x∑++⎰⎰,其中Σ是平面x =0,y =0,z =0,x +y +z =1所围成的空间区域的整个边界曲面的外侧;(5)()()()d d d d d d y z z x x y y z x y z x ∑++---⎰⎰,其中Σ为曲面z =与平面z =h (h >0)所围成的立体的整个边界曲面,取外侧为正向;(6)()()22d d d d d d +++-⎰⎰y y z x z x x yy xz x z ∑,其中Σ为x =y =z =0,x =y =z =a 所围成的正方体表面,取外侧为正向;解:(1)Σ:z =Σ在xOy 面上的投影区域D xy 为:x 2+y 2≤R 2.((()()()()()()22222π4222π222222202π2200354*******d d d d d cos sin d 1sin 2d 81d d 1cos421612422π1635xyD RRRxy z x y x yx yr r rR R r r R R RR r R R R r R r ∑θθθθθθθ=-=-=-⎡⎤+--⎣⎦⎡=----⎣=-⋅-+--⎰⎰⎰⎰⎰⎰⎰⎰⎰⎰()72220772π105RR r R⎡⎤-⎢⎥⎣⎦=(2)Σ如图11-8所示,Σ在xOy 面的投影为一段弧,图11-8故d d 0z x y ∑=⎰⎰,Σ在yOz 面上的投影D yz ={(y ,z )|0≤y ≤1,0≤z ≤3},此时Σ可表示为:x =(y ,z )∈D yz,故300d d d d 3yzD x y z y zz yy∑===⎰⎰⎰⎰⎰⎰⎰Σ在xOz 面上的投影为D xz ={(x ,z )|0≤x ≤1,0≤z ≤3},此时Σ可表示为:y =(x ,z )∈D xz,故30d d d d 3xzD y z x z xz xx∑===⎰⎰⎰⎰⎰⎰⎰因此:0d d d d d d 236π643π2z x y x y z y z xx x∑++⎡⎤=⎢⎥⎣⎦==⋅=⎰⎰⎰⎰(3)Σ如图11-9所示,平面x -y +z =1上侧的法向量为 n ={1,-1,1},n 的方向余弦为cos α=cos β=,cos γ=,图11-9由两类曲面积分之间的联系可得:()()()()()()()()()d d 2d d d d ,,,,,,cos d (2)cos d ()d d cos cos d d (2)d d ()d d cos cos (2)()d d d d 1d d xyD f x y z f y z x fz x yx y z x y z x y z s f y s f z x yf x x y f y x y f z x yf x f y f z x y f x x yx y z x y x y x y ∑∑∑∑∑αβαβγγ+++++⎡⎤⎡⎤⎡⎤⎣⎦⎣⎦⎣⎦=+++++=+++++=-+++⎡⎤+⎣⎦=-+=+-⎡⎤--⎣⎦⎰⎰⎰⎰⎰⎰⎰⎰⎰⎰d d 111212xyD x y==⨯⨯=⎰⎰⎰⎰(4)如图11-10所示:图11-10Σ=Σ1+Σ2+Σ3+Σ4.其方程分别为Σ1:z =0,Σ2:x =0,Σ3:y =0,Σ4:x +y +z =1,故()()12344110d d 000d d d d 11d d 124xyD xxz x yxz x yx x yx y x x y x y ∑∑∑∑∑∑-=+++=+++=--==--⎰⎰⎰⎰⎰⎰⎰⎰⎰⎰⎰⎰⎰⎰⎰⎰由积分变元的轮换对称性可知.1d d dzd 24xy y z yz x ∑∑==⎰⎰⎰⎰因此.d d dyd d d 113248xz x y xy z yz z x∑++=⨯=⎰⎰(5)记Σ所围成的立体为Ω,由高斯公式有:()()()()()()d d d d d d d d d 0d d d 0y z z x x yy z x y z x y z x y z x x y z x y z x y z ∑ΩΩ++---∂∂⎛⎫--∂-=++ ⎪∂∂∂⎝⎭==⎰⎰⎰⎰⎰⎰⎰⎰(6)记Σ所围的立方体为Ω,P =y (x -z ),Q =x 2,R =y 2+xz . 由高斯公式有()()()()()2200000200204d d d d d d d d d d d d d d d d d d 2d 2a aa a a aa a y y z x z x x yy xz x z P Q R x y z x y z x y z x y x y zx y x a yx y y a x xy a a x ax a∑ΩΩ+++-∂∂∂⎛⎫++= ⎪∂∂∂⎝⎭=+=+=+⎡⎤=+⎢⎥⎣⎦⎡⎤=+⎢⎥⎣⎦=⎰⎰⎰⎰⎰⎰⎰⎰⎰⎰⎰⎰⎰⎰⎰15.设某流体的流速V =(k ,y ,0),求单位时间内从球面x 2+y 2+z 2=4的内部流过球面的流量. 解:设球体为Ω,球面为Σ,则流量3d d d d d d d 432d d d π2π33k y z y z x P Qx y z x y x y z ∑ΩΩΦ=+∂∂⎛⎫+= ⎪∂∂⎝⎭==⋅=⎰⎰⎰⎰⎰⎰⎰⎰ (由高斯公式)16.利用高斯公式,计算下列曲面积分:(1)222d d d d d d x y z y z x z x y∑++⎰⎰,其中Σ为平面x =0,y =0,z =0,x =a ,y =a ,z =a 所围成的立体的表面的外侧;(2)333d d d d d d x y z y z x z x y∑++⎰⎰,其中Σ为球面x 2+y 2+z 2=a 2的外侧;(3)()()2232d d d d d d 2xz y z z x x yx y z xy y z ∑++-+⎰⎰ ,其中Σ为上半球体x 2+y 2≤a 2,0z ≤≤(4)d d d d d d x y z y z x z x y∑++⎰⎰ ,其中Σ是界于z =0和z =3之间的圆柱体x 2+y 2=9的整个表面的外侧;解:(1)由高斯公式()()2224d d d d d d d 2222d 6d 6d d d 3aaaxy z y z x z x yvx y z vx y z x vx x y za∑ΩΩΩ++=++=++==⎰⎰⎰⎰⎰⎰⎰⎰⎰⎰⎰⎰⎰⎰ 对称性(2)由高斯公式:()3332222ππ45d d d d d d d 3d 3d d sin d 12π5axy z y z x z x yP QR v x y z vx y zr ra∑ΩΩθϕϕ++∂∂∂⎛⎫++=⎪∂∂∂⎝⎭=++==⎰⎰⎰⎰⎰⎰⎰⎰⎰⎰⎰(3)由高斯公式得()()()2232222π2π2220024π05d d d d d d 2d d d d sin d 2πsin d d 2π5aaxzy z z x x yx y z xy y z P QR v x y z vz x yr r rr ra∑ΩΩθϕϕϕϕ++-+∂∂∂⎛⎫++= ⎪∂∂∂⎝⎭=++=⋅==⎰⎰⎰⎰⎰⎰⎰⎰⎰⎰⎰⎰⎰(4)由高斯公式得:2d d d d d d d 3d 3π3381πx y z y z x z x yP Q R v x y z v ∑ΩΩ++∂∂∂⎛⎫++=⎪∂∂∂⎝⎭==⋅⋅⋅=⎰⎰⎰⎰⎰⎰⎰⎰17.利用斯托克斯公式,计算下列曲线积分:(1)d d d y x z y x z Γ++⎰,其中Γ为圆周x 2+y 2+z 2=a 2,x +y +z =0,若从x 轴的正向看去,这圆周是取逆时针的方向;(2)()()()222222d d d x y z y z x y z x Γ++---⎰,其中Γ是用平面32x y z ++=截立方体:0≤x ≤1,0≤y ≤1,0≤z ≤1的表面所得的截痕,若从Ox 轴的正向看去,取逆时针方向;(3)23d d d y x xz y yz zΓ++⎰,其中Γ是圆周x 2+y 2=2z ,z =2,若从z 轴正向看去,这圆周是取逆时针方向;(4)22d 3d d +-⎰y x x y z zΓ,其中Γ是圆周x 2+y 2+z 2=9,z =0,若从z 轴正向看去,这圆周是取逆时针方向.解:(1)取Σ为平面x +y +z =0被Γ所围成部分的上侧,Σ的面积为πa 2(大圆面积),Σ的单位法向量为{}cos ,cos ,cos n αβγ==. 由斯托克斯公式22d d d cos cos cos d d y x z y x zR Q Q P P Rs y z x y z x ss aaΓ∑∑∑αβγ++⎡∂∂∂∂⎤⎛⎫⎛⎫∂∂⎛⎫--=++- ⎪⎢⎥ ⎪ ⎪∂∂∂∂∂∂⎝⎭⎝⎭⎝⎭⎣⎦=-=-=-=⎰⎰⎰⎰⎰(2)记为Σ为平面32x y z ++=被Γ所围成部分的上侧,可求得Σ的面积为4(是一个边长为2的正六边形); Σ的单位法向量为{}111cos ,cos ,cos αβγ==n .由斯托克斯公式()()()(()()()222222d d d1112222d22d3d232492x y zy z x yz xy z x y sz xsx y zsΓ∑∑∑++---⎡+----=--⎢⎣=-++=-=-=-⎰⎰⎰⎰⎰⎰⎰(3)取Σ:z=2,D xy:x2+y2≤4的上侧,由斯托克斯公式得:()()()2223d d dd d0d d d d3d d35d d5π220π-+=++--+=-+=-=-⨯⨯=-⎰⎰⎰⎰⎰⎰⎰xyDy x xz y yz zy z z x x yzz xx yzx yΓ∑∑(4)圆周x2+y2+z2=9,z=0实际就是xOy面上的圆x2+y2=9,z=0,取Σ:z=0,D xy:x2+y2≤9由斯托克斯公式得:()()()222d3d dd d d d d d000032d dd dπ39π+-=++---===⋅=⎰⎰⎰⎰⎰⎰⎰xyDy x x y z zy z z x x yx yx yΓ∑∑18.把对坐标的曲线积分()()d d,,LP x Q yx y x y+⎰化成对弧长的曲线积分,其中L为:(1)在xOy面内沿直线从点(0,0)到点(1,1);(2)沿抛物线y=x2从点(0,0)到点(1,1);(3)沿上半圆周x2+y2=2x从点(0,0)到点(1,1).解:(1)L的方向余弦πcos cos cos42αβ===,故()()d d,,d,,LLP x Q yx y x yP x Qx y x ys++=⎰⎰(2)曲线y =x 2上点(x ,y )处的切向量T ={1,2x }.其方向余弦为cos α=cos β=故()()d d ,,d 2,,LLP x Q y x y x y P x xQ x y x y s++=⎰⎰(3)上半圆周上任一点处的切向量为⎧⎨⎩其方向余弦为cos α=cos 1x β=-故()()()()()d d ,,d ,,1LL P x Q yx y x y sQ x y x y x +⎤=+-⎦⎰⎰19.设Γ为曲线x =t ,y =t 2,z =t 3上相应于t 从0变到1的曲线弧,把对坐标的曲线积分d d d P x Q y R z Γ++⎰化成对弧长的曲线积分.解:由x =t ,y =t 2,z =t 3得d x =d t ,d y =2t d t =2x d t ,d z =3t 2dt =3y d t ,d s t =.故d cos d d cos d d cos d x s y s z sαβγ======因而d d d P x Q x R x sΓΓ++=⎰⎰20.把对坐标的曲面积分()()()d d d d d d ,,,,,,P y z Q z x R x y x y z x y z x y z ∑++⎰⎰化成对面积的曲面积分,其中:(1) Σ是平面326x y ++=在第Ⅰ封限的部分的上侧; (2) Σ是抛物面z =8-(x 2+y 2)在xOy 面上方的部分的上侧.解:(1)平面Σ:326x y ++=上侧的法向量为n ={3,2,,单位向量为n 0={35,25,5},即方向余弦为3cos 5α=,2cos 5β=,cos 5γ=.因此:()()()()d d d d d d ,,,,,,d cos cos cos 32d 555P y z Q z x R x yx y z x y z x y z sP Q R s P Q R ∑∑∑αβγ++=++⎛⎫=++⎪⎝⎭⎰⎰⎰⎰⎰⎰ (2)Σ:F (x ,y ,z )=z +x 2+y 2-8=0,Σ上侧的法向量n ={ F x ,F y ,F z }={ 2x ,2y ,1}其方向余弦:cos α=,cos β=,cos γ=故()()()()d d d d d d ,,,,,,d cos cos cos P y z Q z x R x yx y z x y z x y z sP Q R s∑∑∑αβγ++=++=⎰⎰⎰⎰⎰⎰。
习题1-11. 设A =(-∞, -5)⋃(5, +∞), B =[-10, 3), 写出A ⋃B , A ⋂B , A \B 及A \(A \B )的表达式.解 A ⋃B =(-∞, 3)⋃(5, +∞),A ⋂B =[-10, -5),A \B =(-∞, -10)⋃(5, +∞),A \(A \B )=[-10, -5).2. 设A 、B 是任意两个集合, 证明对偶律: (A ⋂B )C =A C ⋃B C .证明 因为x ∈(A ⋂B )C ⇔x ∉A ⋂B ⇔ x ∉A 或x ∉B ⇔ x ∈A C 或x ∈B C ⇔ x ∈A C ⋃B C , 所以 (A ⋂B )C =A C ⋃B C .3. 设映射f : X →Y , A ⊂X , B ⊂X . 证明(1)f (A ⋃B )=f (A )⋃f (B );(2)f (A ⋂B )⊂f (A )⋂f (B ).证明 因为y ∈f (A ⋃B )⇔∃x ∈A ⋃B , 使f (x )=y⇔(因为x ∈A 或x ∈B ) y ∈f (A )或y ∈f (B )⇔ y ∈f (A )⋃f (B ),所以 f (A ⋃B )=f (A )⋃f (B ).(2)因为y ∈f (A ⋂B )⇒∃x ∈A ⋂B , 使f (x )=y ⇔(因为x ∈A 且x ∈B ) y ∈f (A )且y ∈f (B )⇒ y ∈ f (A )⋂f (B ),所以 f (A ⋂B )⊂f (A )⋂f (B ).4. 设映射f : X →Y , 若存在一个映射g : Y →X , 使X I f g = , Y I g f = , 其中I X 、I Y 分别是X 、Y 上的恒等映射, 即对于每一个x ∈X , 有I X x =x ; 对于每一个y ∈Y , 有I Y y =y . 证明: f 是双射, 且g 是f 的逆映射: g =f -1.证明 因为对于任意的y ∈Y , 有x =g (y )∈X , 且f (x )=f [g (y )]=I y y =y , 即Y 中任意元素都是X 中某元素的像, 所以f 为X 到Y 的满射.又因为对于任意的x 1≠x 2, 必有f (x 1)≠f (x 2), 否则若f (x 1)=f (x 2)⇒g [ f (x 1)]=g [f (x 2)] ⇒ x 1=x 2.因此f 既是单射, 又是满射, 即f 是双射.对于映射g : Y →X , 因为对每个y ∈Y , 有g (y )=x ∈X , 且满足f (x )=f [g (y )]=I y y =y , 按逆映射的定义, g 是f 的逆映射.5. 设映射f : X →Y , A ⊂X . 证明:(1)f -1(f (A ))⊃A ;(2)当f 是单射时, 有f -1(f (A ))=A .证明 (1)因为x ∈A ⇒ f (x )=y ∈f (A ) ⇒ f -1(y )=x ∈f -1(f (A )),所以 f -1(f (A ))⊃A .(2)由(1)知f -1(f (A ))⊃A .另一方面, 对于任意的x ∈f -1(f (A ))⇒存在y ∈f (A ), 使f -1(y )=x ⇒f (x )=y . 因为y ∈f (A )且f 是单射, 所以x ∈A . 这就证明了f -1(f (A ))⊂A . 因此f -1(f (A ))=A . 6. 求下列函数的自然定义域:(1)23+=x y ;解 由3x +2≥0得32->x . 函数的定义域为) ,32[∞+-. (2)211xy -=; 解 由1-x 2≠0得x ≠±1. 函数的定义域为(-∞, -1)⋃(-1, 1)⋃(1, +∞).(3)211x xy --=; 解 由x ≠0且1-x 2≥0得函数的定义域D =[-1, 0)⋃(0, 1].(4)241x y -=; 解 由4-x 2>0得 |x |<2. 函数的定义域为(-2, 2).(5)x y sin =;解 由x ≥0得函数的定义D =[0, +∞).(6) y =tan(x +1);解 由21π≠+x (k =0, ±1, ±2, ⋅ ⋅ ⋅)得函数的定义域为 12-+≠ππk x (k =0, ±1, ±2, ⋅ ⋅ ⋅).(7) y =arcsin(x -3);解 由|x -3|≤1得函数的定义域D =[2, 4].(8)xx y 1arctan 3+-=;解 由3-x ≥0且x ≠0得函数的定义域D =(-∞, 0)⋃(0, 3).(9) y =ln(x +1);解 由x +1>0得函数的定义域D =(-1, +∞).(10)x e y 1=.解 由x ≠0得函数的定义域D =(-∞, 0)⋃(0, +∞).7. 下列各题中, 函数f (x )和g (x )是否相同?为什么?(1)f (x )=lg x 2, g (x )=2lg x ;(2) f (x )=x , g (x )=2x ;(3)334)(x x x f -=,31)(-=x x x g .(4)f (x )=1, g (x )=sec 2x -tan 2x .解 (1)不同. 因为定义域不同.(2)不同. 因为对应法则不同, x <0时, g (x )=-x .(3)相同. 因为定义域、对应法则均相相同.(4)不同. 因为定义域不同.8. 设⎪⎩⎪⎨⎧≥<=3|| 03|| |sin |)(ππϕx x x x , 求)6(πϕ, )4(πϕ, )4(πϕ-, ϕ(-2), 并作出函数y =ϕ(x )的图形.解 21|6sin |)6(==ππϕ, 22|4sin |)4(==ππϕ, 22|)4sin(|)4(=-=-ππϕ, 0)2(=-ϕ. 9. 试证下列函数在指定区间内的单调性:(1)xx y -=1, (-∞, 1); (2)y =x +ln x , (0, +∞).证明 (1)对于任意的x 1, x 2∈(-∞, 1), 有1-x 1>0, 1-x 2>0. 因为当x 1<x 2时, 0)1)(1(112121221121<---=---=-x x x x x x x x y y , 所以函数xx y -=1在区间(-∞, 1)内是单调增加的. (2)对于任意的x 1, x 2∈(0, +∞), 当x 1<x 2时, 有0ln )()ln ()ln (2121221121<+-=+-+=-x x x x x x x x y y , 所以函数y =x +ln x 在区间(0, +∞)内是单调增加的.10. 设 f (x )为定义在(-l , l )内的奇函数, 若f (x )在(0, l )内单调增加, 证明f (x )在(-l , 0)内也单调增加.证明 对于∀x 1, x 2∈(-l , 0)且x 1<x 2, 有-x 1, -x 2∈(0, l )且-x 1>-x 2.因为f (x )在(0, l )内单调增加且为奇函数, 所以f (-x 2)<f (-x 1), -f (x 2)<-f (x 1), f (x 2)>f (x 1),这就证明了对于∀x 1, x 2∈(-l , 0), 有f (x 1)< f (x 2), 所以f (x )在(-l , 0)内也单调增加. 11. 设下面所考虑的函数都是定义在对称区间(-l , l )上的, 证明:(1)两个偶函数的和是偶函数, 两个奇函数的和是奇函数;(2)两个偶函数的乘积是偶函数, 两个奇函数的乘积是偶函数, 偶函数与奇函数的乘积是奇函数.证明 (1)设F (x )=f (x )+g (x ). 如果f (x )和g (x )都是偶函数, 则F (-x )=f (-x )+g (-x )=f (x )+g (x )=F (x ),所以F (x )为偶函数, 即两个偶函数的和是偶函数.如果f (x )和g (x )都是奇函数, 则F (-x )=f (-x )+g (-x )=-f (x )-g (x )=-F (x ),所以F (x )为奇函数, 即两个奇函数的和是奇函数.(2)设F (x )=f (x )⋅g (x ). 如果f (x )和g (x )都是偶函数, 则F (-x )=f (-x )⋅g (-x )=f (x )⋅g (x )=F (x ),所以F (x )为偶函数, 即两个偶函数的积是偶函数.如果f (x )和g (x )都是奇函数, 则F (-x )=f (-x )⋅g (-x )=[-f (x )][-g (x )]=f (x )⋅g (x )=F (x ),所以F (x )为偶函数, 即两个奇函数的积是偶函数.如果f (x )是偶函数, 而g (x )是奇函数, 则F (-x )=f (-x )⋅g (-x )=f (x )[-g (x )]=-f (x )⋅g (x )=-F (x ),所以F (x )为奇函数, 即偶函数与奇函数的积是奇函数.12. 下列函数中哪些是偶函数, 哪些是奇函数, 哪些既非奇函数又非偶函数?(1)y =x 2(1-x 2);(2)y =3x 2-x 3;(3)2211xxy +-=; (4)y =x (x -1)(x +1);(5)y =sin x -cos x +1;(6)2x x a a y -+=. 解 (1)因为f (-x )=(-x )2[1-(-x )2]=x 2(1-x 2)=f (x ), 所以f (x )是偶函数.(2)由f (-x )=3(-x )2-(-x )3=3x 2+x 3可见f (x )既非奇函数又非偶函数. (3)因为())(111)(1)(2222x f x x x x x f =+-=-+--=-, 所以f (x )是偶函数. (4)因为f (-x )=(-x )(-x -1)(-x +1)=-x (x +1)(x -1)=-f (x ), 所以f (x )是奇函数.(5)由f (-x )=sin(-x )-cos(-x )+1=-sin x -cos x +1可见f (x )既非奇函数又非偶函数.(6)因为)(22)()()(x f a a a a x f x x x x =+=+=-----, 所以f (x )是偶函数. 13. 下列各函数中哪些是周期函数?对于周期函数, 指出其周期:(1)y =cos(x -2);解 是周期函数, 周期为l =2π.(2)y =cos 4x ;解 是周期函数, 周期为2π=l . (3)y =1+sin πx ;解 是周期函数, 周期为l =2.(4)y =x cos x ;解 不是周期函数.(5)y =sin 2x .解 是周期函数, 周期为l =π.14. 求下列函数的反函数:(1)31+=x y ;解 由31+=x y 得x =y 3-1, 所以31+=x y 的反函数为y =x 3-1.(2)xx y +-=11;解 由x x y +-=11得y y x +-=11, 所以x x y +-=11的反函数为xx y +-=11. (3)dcx b ax y ++=(ad -bc ≠0); 解 由d cx b ax y ++=得a cy b dy x -+-=, 所以d cx b ax y ++=的反函数为acx b dx y -+-=. (4) y =2sin3x ;解 由y =2sin 3x 得2arcsin 31y x =, 所以y =2sin3x 的反函数为2arcsin 31x y =. (5) y =1+ln(x +2);解 由y =1+ln(x +2)得x =e y -1-2, 所以y =1+ln(x +2)的反函数为y =e x -1-2.(6)122+=x x y . 解 由122+=x x y 得y y x -=1log 2, 所以122+=x x y 的反函数为xx y -=1log 2. 15. 设函数f (x )在数集X 上有定义, 试证: 函数f (x )在X 上有界的充分必要条件是它在X 上既有上界又有下界.证明 先证必要性. 设函数f (x )在X 上有界, 则存在正数M , 使|f (x )|≤M , 即-M ≤f (x )≤M . 这就证明了f (x )在X 上有下界-M 和上界M .再证充分性. 设函数f (x )在X 上有下界K 1和上界K 2, 即K 1≤f (x )≤ K 2 . 取M =max{|K 1|, |K 2|}, 则 -M ≤ K 1≤f (x )≤ K 2≤M ,即 |f (x )|≤M .这就证明了f (x )在X 上有界.16. 在下列各题中, 求由所给函数复合而成的函数, 并求这函数分别对应于给定自变量值x 1和x 2的函数值:(1) y =u 2, u =sin x , 61π=x , 32π=x ; 解 y =sin 2x , 41)21(6sin 221===πy ,43)23(3sin 222===πy . (2) y =sin u , u =2x , 81π=x ,42π=x ; 解 y =sin2x , 224sin )82sin(1==⋅=ππy ,12sin )42sin(2==⋅=ππy . (3)u y =, u =1+x 2, x 1=1, x 2= 2;解 21x y +=, 21121=+=y , 52122=+=y .(4) y =e u , u =x 2, x 1 =0, x 2=1;解 2x e y =, 1201==e y , e e y ==212.(5) y =u 2 , u =e x , x 1=1, x 2=-1.解 y =e 2x , y 1=e 2⋅1=e 2, y 2=e 2⋅(-1)=e -2.17. 设f (x )的定义域D =[0, 1], 求下列各函数的定义域:(1) f (x 2);解 由0≤x 2≤1得|x |≤1, 所以函数f (x 2)的定义域为[-1, 1].(2) f (sin x );解 由0≤sin x ≤1得2n π≤x ≤(2n +1)π (n =0, ±1, ±2⋅ ⋅ ⋅), 所以函数f (sin x )的定义域为[2n π, (2n +1)π] (n =0, ±1, ±2⋅ ⋅ ⋅) .(3) f (x +a )(a >0);解 由0≤x +a ≤1得-a ≤x ≤1-a , 所以函数f (x +a )的定义域为[-a , 1-a ].(4) f (x +a )+f (x -a )(a >0).解 由0≤x +a ≤1且0≤x -a ≤1得: 当210≤<a 时, a ≤x ≤1-a ; 当21>a 时, 无解. 因此当210≤<a 时函数的定义域为[a , 1-a ], 当21>a 时函数无意义. 18. 设⎪⎩⎪⎨⎧>-=<=1|| 11||01|| 1)(x x x x f , g (x )=e x , 求f [g (x )]和g [f (x )], 并作出这两个函数的图形.解 ⎪⎩⎪⎨⎧>-=<=1|| 11|| 01|| 1)]([x x x e e e x g f , 即⎪⎩⎪⎨⎧>-=<=0 10 00 1)]([x x x x g f .⎪⎩⎪⎨⎧>=<==-1|| 1|| e 1|| )]([101)(x e x x e e x f g x f , 即⎪⎩⎪⎨⎧>=<=-1|| 1||11|| )]([1x e x x e x f g . 19. 已知水渠的横断面为等腰梯形, 斜角ϕ=40︒(图1-37). 当过水断面ABCD 的面积为定值S 0时, 求湿周L (L =AB +BC +CD )与水深h 之间的函数关系式, 并指明其定义域.图1-37解 40sin h DC AB ==, 又从0)]40cot 2([21S h BC BC h =⋅++ 得h hS BC ⋅-= 40cot 0, 所以 h h S L40sin 40cos 20-+=. 自变量h 的取值范围应由不等式组h >0, 040cot 0>⋅-h hS 确定, 定义域为40cot 00S h <<.20. 收敛音机每台售价为90元, 成本为60元. 厂方为鼓励销售商大量采购, 决定凡是订购量超过100台以上的, 每多订购1台, 售价就降低1分, 但最低价为每台75元.(1)将每台的实际售价p 表示为订购量x 的函数;(2)将厂方所获的利润P 表示成订购量x 的函数;(3)某一商行订购了1000台, 厂方可获利润多少?解 (1)当0≤x ≤100时, p =90.令0.01(x 0-100)=90-75, 得x 0=1600. 因此当x ≥1600时, p =75.当100<x <1600时,p =90-(x -100)⨯0.01=91-0. 01x .综合上述结果得到⎪⎩⎪⎨⎧≥<<-≤≤=1600 75160010001.0911000 90x x x x p . (2)⎪⎩⎪⎨⎧≥<<-≤≤=-=1600 15160010001.0311000 30)60(2x x x x x x x x p P . (3) P =31⨯1000-0.01⨯10002=21000(元).。
高数极限基础练习题一、数列极限1. 计算下列数列的极限:(1) $\lim_{n \to \infty} \frac{1}{n}$(2) $\lim_{n \to \infty} \frac{n+1}{2n+3}$(3) $\lim_{n \to \infty} \frac{n^2 1}{n^2 + 1}$(4) $\lim_{n \to \infty} \frac{\sqrt{n^2 + n}}{n + 1}$ 2. 判断下列数列极限是否存在,若存在,求出其极限值:(1) $\lim_{n \to \infty} (1)^n$(2) $\lim_{n \to \infty} \sin(n\pi)$(3) $\lim_{n \to \infty} \frac{n!}{n^n}$二、函数极限1. 计算下列函数的极限:(1) $\lim_{x \to 0} \frac{\sin x}{x}$(2) $\lim_{x \to 1} \frac{x^2 1}{x 1}$(3) $\lim_{x \to \infty} \frac{1}{x}$(4) $\lim_{x \to 0} \frac{e^x 1}{x}$2. 判断下列函数极限是否存在,若存在,求出其极限值:(1) $\lim_{x \to 0} \frac{\sin 3x}{x}$(2) $\lim_{x \to \infty} \frac{\ln x}{x}$(3) $\lim_{x \to \infty} (1 + \frac{1}{x})^x$三、无穷小与无穷大1. 判断下列表达式是否为无穷小:(1) $\frac{1}{x^2}$ 当 $x \to \infty$(2) $\sin \frac{1}{x}$ 当 $x \to \infty$(3) $e^{x}$ 当 $x \to \infty$2. 判断下列表达式是否为无穷大:(1) $x^3$ 当 $x \to \infty$(2) $\ln x$ 当 $x \to \infty$(3) $\frac{1}{\sqrt{x}}$ 当 $x \to 0^+$四、极限运算法则1. 利用极限运算法则计算下列极限:(1) $\lim_{x \to 0} (3x^2 + 2x 1)$(2) $\lim_{x \to 1} \frac{x^3 3x^2 + 2x}{x^2 2x + 1}$(3) $\lim_{x \to \infty} (x^3 2x^2 + 3)$2. 利用极限的性质,计算下列极限:(1) $\lim_{x \to 0} \frac{\sin x}{x} \cdot\frac{1}{\cos x}$(2) $\lim_{x \to \infty} \frac{\sqrt{x^2 + 1}}{x + 1}$(3) $\lim_{x \to 0} \frac{e^x e^{x}}{2x}$五、复合函数极限1. 计算下列复合函数的极限:(1) $\lim_{x \to 0} \frac{\sin(\sqrt{x^2 + 1})}{x}$(2) $\lim_{x \to \infty} \frac{\ln(x^2 + 1)}{x}$(3) $\lim_{x \to 0} \frac{e^{x^2} 1}{x^2}$2. 判断下列复合函数极限是否存在,若存在,求出其极限值:(1) $\lim_{x \to 0} \frac{\sin(\tan x)}{x}$(2) $\lim_{x \to \infty} \frac{\ln(e^x + 1)}{x}$(3) $\lim_{x \to 0} \frac{1 \cos(\sqrt{x})}{x}$六、极限的应用1. 计算下列极限问题:(1) 设 $f(x)2. 已知函数 $f(x) = \frac{x^2 1}{x 1}$,求 $\lim_{x \to 1} f(x)$。
普通班高数作业(上)第一章 函数1、试判断下列每对函数是否是相同的函数,并说明理由: (2))sin(arcsin x y =与x y =; (4)x y =与2x y =;(6))arctan(tan x y =与x y =; (8))(x f y =与)(y f x =。
解:判断两个函数的定义域和对应法则是否相同。
(2))sin(arcsin x y =定义域不同,因此两个函数不同; (4)x x y ==2,两个函数相同;(6))arctan(tan x y =定义域不同,因此两个函数不同;(8))(x f y =与)(y f x =定义域和对应法则都相同,因此两个函数相同。
2、求下列函数的定义域,并用区间表示:(2)xx x y -+=2; (3)x y x -+=1ln arcsin 21; (7)xey xln 111-+=。
解:(2))0,2[-∈x ;(3)]1,0()0,1[22--⋃-∈e e x ; (7)),(),0(+∞⋃∈e e x 。
3、设⎪⎩⎪⎨⎧<-≥-=0,10,1)(22x x x x x f ,求)()(x f x f -+。
解:按0>x ,0=x ,0<x 时,分别计算得,⎩⎨⎧=-≠=-+0200)()(x x x f x f 。
4、讨论下列函数的单调性(指出其单增区间和单减区间): (2)24x x y -=; (4)x x y -=。
解:(2)22)2(44--=-=x x x y 单增区间为]2,0[,单减区间为]4,2[。
(4)⎩⎨⎧≥<-=-=002x x x x x y ,定义域为实数集,单减区间为),(+∞-∞。
5、讨论下列函数的奇偶性:(2)x x x x f tan 1)(2+-=; (3))1ln()(2x x x f -+=;(6)x x f ln cos )(=; (7)⎩⎨⎧≥+<-=0,10,1)(x x x x x f 。
1. 求⎰-x xx x d )(arcsin22.解:原式⎰-=x xx d 1)(arcsin 22⎰=)(arcsind )(arcsin22x xC x +=3)(arcsin 32.2、. 求微分方程 5d d tan =-y xyx的通解. 解 原方程写为x y x x ycot 5cot d d =-,是一阶线性微分方程,其通解为 )d e cot 5(e d cot d cot C x x y xx y x +⎰⎰=⎰-)d e cot 5(e sin ln sin ln C x x x x +=⎰-)d sin 1cot 5(sin C x x x x +⋅=⎰)sin 5(sin C xx +-=5sin -=x C3. 求 )arcsin(lim 2x x x x -++∞→.xx x x x ++=+∞→2arcsinlim 原式1/111arcsinlim ++=+∞→x x 21arcsin=.6π=4 设)(x y y =由03=-+y x y x 确定,求0d =x y .方程两边同时求微分得 ,0)d d (3ln 3d d =+-+y x x y y x y x解得 x x y y xyy x d 3ln 3113ln 3d --=, 当0=x 时, ,1=y .d )13ln (d 0x y x -==5. ,)1ln()(2-=x x f 求.)()(x f n(),)1ln()1ln(++-=x x x f ,1111)(++-='x x x f ()()()221111+-+--=''x x x f ,()()()()()()()33121121+--+---='''x x x f ()()()()111--=-n x fn n !()()()()⎥⎦⎤⎢⎣⎡++-n n x x 11116求.d )1(arctan 2/32⎰+x x x原式⎰=du uuu x sec tan =⎰du u u cos =⎰⎰-=du u u u u d u sin sin sin =c xx xx c u u u ++++=++2211arctan 1cos sin7、求.d 44312⎰+-x x x.原式=()()⎰⎰-+-322122dx x dx x =1222322212=+-x x8、在曲线21x y =上求一点,使该点切线被两坐标轴所截的线段最短 设切点为)1(0,0x x ,切线的斜率为 3020x y x x -='=,切线方程为 )(2103020x x x x y --=-.切线的x 截距、y 截距分别为2003,23x x ,设切线被坐标轴所截线段长度为l ,则⎪⎪⎭⎫ ⎝⎛+=⎪⎪⎭⎫ ⎝⎛+⎪⎭⎫ ⎝⎛=4020220202149323x x x x l 令2l z =,0429500=⎪⎪⎭⎫⎝⎛-='x x z ,得驻点 20±=x . 由 02021960>⎪⎪⎭⎫ ⎝⎛+=''x z ,知当20±=x ,l 取到最小值。
四、重点关注题目
1.证明:方程
40
42x t dt x 在区间(1,2)只有唯一实根。
2.设()f x 在[0,1]上连续,且()
1f x ,证明:方程0
2()1x x
f t dt 在(0,1)内只有一
个实根。
3.设()f x 在π0,
2
上连续,且
()1f x ,证明:方程
2
4
cos 1()0x t x
t f t dt
e dt 在
π0,
2
内有唯一实根。
4. 试证:当202
1x x 时,
1
21
2tan tan x x x x 5.
当0x 时,2
1arctan x
x 6.当0x
时,2(1)1x
x e x
7.证明:当10x
时,2
2ln(1
)ln (1)
2x x x
8.证明:当0x
时,(1)ln(1)arctan x x x 9.证明:当0
2
x y
时,
2
2
1tan tan 1cos cos y
x x y x
y
10. 当1x 时,试证:
111ln
1
2
2
x x x x .
11. 证明:1
1
11
1
1
2
2(1,1)
(1)
ln n n
n n a a a a a n n a
n
12.证明:当0x 时,ln(1)
1
x
x x
x 13.试证:当1,0n
b
a
时,)()
(1
1
b a na
b
a
b a nb n n
n
n .
14. 设(),()f x g x 在[,]a b 上连续,证明存在(,)a b 使得
()
()()
()b
a
f g t dt g f t dt .
15.设()f x 在[,]a b 上连续,在(,)a b 内可导,且()
()
0f a f b ,试证:
(,)a b ,使
得()
()0f kf 成立(k 为实常数).
16.设函数)(x f 在闭区间]1,0[上连续,在开区间
)1,0(内可导,且
(1)1f .证明:在
)1,0(内至少存在一点
,使得()
()20f f 成立.
18. 证明:ππ2200
sin cos n
n
xdx xdx . 19. 求证:
ππ0
π(sin )(sin )2
xf x dx
f x dx ,并计算
π2
sin 1cos x x
dx x。
20. 设20
sin n
n
I xdx ,试证2
1n
n
n I I n
,并计算6
260
sin I xdx .
21.设函数()f x 在区间[0,1]上连续,且
10
()0f x dx ,证明:
(1)1
[(1)()]0f x f x dx ;
(2)
(0,1),使得(1
)
()
0f f .
23.设(),()f x g x 在[,]a a 上连续,()g x 为偶函数,()
()
2f x f x ,
证明:
()()d 2
()d a a a
f x
g x x
g x x .
24. 设()f x 在
0x
x 处导数存在,试证:()f x 在0x
x 处连续。
25. 设函数()f x 在区间(,)a b 内处处导数存在,且()0f x ,试证:()f x 在区间(,)a b 内
是增函数。
26. 设函数()f x 在区间(,)a b 内可导,且()0f x ,试证:()f x 在区间(,)a b 内是常值函
数。
27.已知函数()f x 在[,]a b 上连续,设()
(),[,]x a
F x f t dt x a b ,试证:()
()F x f x 。
28.数()f x 在[,]a b 上连续,且()
()F x f x ,证明:
()()()b a
f x dx F b F a 。