高一数学月考试卷(一)
- 格式:doc
- 大小:446.50 KB
- 文档页数:11
2024-2025学年江苏省南通市如皋中学高一(上)月考数学试卷(一)一、单选题:本题共8小题,每小题5分,共40分。
在每小题给出的选项中,只有一项是符合题目要求的。
1.函数y=2sin(−x2+π3)的最小正周期是( )A. πB. −4πC. 4πD. 2π2.下列三角函数值为正数的是( )A. tan300°B. sin210°C. cos210°D. sin(−5π3)3.全集U=R,集合A={x|xx−4≤0},集合B={x|log2(x−1)>2},则∁U(A∪B)为( )A. (−∞,0]∪[4,5]B. (−∞,0)∪(4,5]C. (−∞,0)∪[4,5]D. (−∞,4]∪(5,+∞)4.已知幂函数f(x)=(m2−5m+7)x m+1为奇函数,则实数m的值为( )A. 4或3B. 2或3C. 3D. 25.若a=(1.1)−12,b=(0.9)−12,c=log1.10.6,则它们的大小顺序是( )A. a<b<cB. b<a<cC. c<a<bD. a<c<b6.幂函数y=x a,当a取不同的正数时,在区间[0,1]上它们的图象是一组美丽的曲线(如图),设点A(1,0),B(0,1),连结AB,线段AB恰好被其中的两个幂函数y=x a,y=x b的图象三等分,即有BM=MN=NA,那么a−1b=( )A. 0B. 1C. 12D. 27.已知a>0且a≠1,函数在区间(−∞,+∞)上既是奇函数又是增函数,则函数g(x)=log a||x|−b|的图象是( )A. B. C. D.8.已知函数其中ω>0.若f(x)= 2sin (ωx +π4),f(x)在区间(π2,3π4)上单调递增,则ω的取值范围是( )A. (0,4] B. (0,13] C. [52,3] D. (0,13]∪[52,3]二、多选题:本题共3小题,共18分。
高一年级第一次月考数学试卷一、选择题(每题5分,共60分)1. 设集合A = {xx^2 - 3x + 2 = 0},则集合A中的元素为()A. 1,2B. -1,-2C. 1,-2D. -1,22. 已知函数y = f(x)的定义域为(0, +∞),则函数y = f(x + 1)的定义域为()A. (-1, +∞)B. (0, +∞)C. (1, +∞)D. (0,1)3. 下列函数中,在区间(0,+∞)上为增函数的是()A. y=(1)/(x)B. y = -x + 1C. y=log_2xD. y = ((1)/(2))^x4. 若a = log_32,b=log_52,c = log_23,则()A. a>b>cB. b>a>cC. c>a>bD. c>b>a5. 函数y = √(x^2)-1的定义域为()A. [1, +∞)B. (-∞,-1]∪[1,+∞)C. [-1,1]D. (-∞,-1)6. 已知函数f(x)=2x + 1,g(x)=x^2,则f(g(2))的值为()A. 9B. 7C. 17D. 257. 设a = 2^0.3,b = 0.3^2,c=log_20.3,则a,b,c的大小关系是()A. a < b < cB. c < b < aC. c < a < bD. b < c < a8. 函数y = 3^x与y=log_3x的图象关于()对称。
A. x轴B. y轴C. 直线y = xD. 原点。
9. 若函数f(x)是定义在R上的奇函数,当x>0时,f(x)=x^2+1,则f(-1)等于()A. -2B. 2C. -1D. 010. 已知f(x)=x + 1,x≤slant0 x^2,x > 0,则f(f(-1))的值为()A. 0B. 1C. 2D. 411. 函数y = (1)/(x - 1)在区间[2,3]上的最大值为()A. 1B. (1)/(2)C. (1)/(3)D. (1)/(4)12. 若f(x)是偶函数,且在(0,+∞)上是减函数,f(3)=0,则不等式xf(x)>0的解集为()A. (-∞,-3)∪(0,3)B. (-3,0)∪(3,+∞)C. (-∞,-3)∪(-3,0)D. (0,3)∪(3,+∞)二、填空题(每题5分,共20分)13. 计算log_327=_ 。
吉林省吉林市第一中学2024-2025学年高一上学期第一次月考数学试卷一、单选题1.已知全集{}1,2,3,4,5U =,{}2,3A =,{}1,3,5B =,则()UA B =ð( )A .{}2,3,4B .{}2C .{}1,5D .{}1,3,4,52.下列各组函数中,()f x 与()g x 表示同一函数的是( )A .()2f x x =与()4g x =B .()2f x x =−与()242x g x x −=+ C .()f x x =与()g x =D .()21x f x x=−与()1g x x =−3.下列函数中,既是奇函数,又在区间(0,1)上为增函数的是( ) A.y =B .13y x = C .||y x =D .2y x =−4.若幂函数()2()22m f x m m x =−−在(0,+∞)单调递减,则(2)f =( ) A .8B .3C .1D .125.关于x 的不等式2210mx mx +−<恒成立的一个充分不必要条件是() A .112m −<<−B .10m −<≤C .21m −<<D .132m −<<−6.已知0.533,0.5,a b c === ) A .b a c <<B .a b c <<C .b c a <<D .c b a <<7.已知()12,1,1.2x x f x x −⎧<=≥⎩若()1f a =,则实数a 的值为( )A .1B .4C .1或4D .28.函数21()x f x x−=的图象大致为( )A .B .C .D .9.已知定义在[1,1]−上的偶函数()f x 在[0,1]上为减函数,且(1)(32)f x f x −>−,则实数x 的取值范围是( ) A .4,(2,)3⎛⎫−∞+∞ ⎪⎝⎭B .4,23⎛⎫⎪⎝⎭C .41,3⎡⎫⎪⎢⎣⎭ D .[1,2]10.已知函数()21x mf x x +=+,[]0,1x ∈,若()f x 的最小值为52,则实数m 的值为() A .32B .52C .3D .52或3二、多选题11.已知0a b >>,0c <,则下列四个不等式中,一定成立的是( )A .22a b >B .ac bc <C .22a c >D .a c b c −>−12.已知0a >,0b >,且1a b +=,则( )A .14ab ≤B .2212a b +≥C .221a b +≥D .114a b+≤13.以下命题正确的是( )A .不等式2131x x −≥+的解集是1|4x x ⎧⎫≤⎨⎬⎩⎭B .R a ∃∈,()2,0,,0,ax x f x x x ⎧<=⎨−≥⎩的值域为RC .若函数2()1f x x =+,则对12,R x x ∀∈,不等式()()121222f x f x x x f ++⎛⎫≤ ⎪⎝⎭恒成立D.若(1f x =,则函数()f x 的解析式为2()(1)f x x =−14.已知实数0a >,函数5,(,2)2()2,[2,)ax x f x a x a x x ∞∞⎧+∈−⎪⎪=⎨⎪++∈+⎪⎩在R 上是单调函数,若a 的取值集合是M ,则下列说法正确的是( )A .1M ∈B .{4,5}M ⊆C .20x x a ++>恒成立D .a M ∃∈,使得()(2)3x g x a =−⋅是指数函数三、填空题15.2103241)8+−−= . 16.0x ∃>,12x x+>的否定是 . 17.已知函数53()4f x ax bx cx =++−,(10)6f =,则(10)f −= .18.函数221()(1)x f x x x −=−的单调增区间为 .四、解答题19.已知函数()x f x a b =+(0a >,且1a ≠).(1)若函数()f x 的图象过(0,2)和(2,10)两点,求()f x 在[0,1]上的值域; (2)若01a <<,且函数()f x 在区间[2,3]上的最大值比最小值大22a,求a 的值.20.小王大学毕业后,决定利用所学专业进行自主创业.经过市场调查,生产某小型电子产品需投入年固定成本为3万元,每生产x 万件,需另投入流动成本为()W x 万元.在年产量不足8万件时,()213W x x x =+万元;在年产量不小于8万件时,()100638W x x x =+−万元,每件产品售价为5元.通过市场分析,小王生产的商品当年能全部售完.(1)写出年利润()L x 万元关于年产量x 万件的函数解析式;(注:年利润=年销售收入-固定成本-流动成本)(2)年产量为多少万件时,小王在这一商品的生产中所获利润最大?最大利润是多少? 21.已知()2af x x x=++,[1,)x ∈+∞. (1)当12a =时,用单调性定义证明函数()y f x =的单调性,并求出函数()y f x =的最小值; (2)若对任意[1,)x ∈+∞,()0f x >恒成立,试求实数a 的取值范围;22.已知函数()y f x =是定义在R 上的奇函数,当x >0时,()2f x x ax =−,其中a R ∈.(1)求函数()y f x =的解析式;(2)若函数()y f x =在区间()0,+∞不单调,求出实数a 的取值范围;(3)当0a =时,若()1,1m ∃∈−,不等式()()22330f m m f m k −+−>成立,求实数k 的取值范围.。
河南省名校联考2024-2025学年高一上学期第一次月考数学试卷学校:___________姓名:___________班级:___________考号:___________一、选择题1.下列关系式正确的是( )B. C. D.2.关于命题A.q 是存在量词命题,是真命题B.q 是存在量词命题,是假命题C.q 是全称量词命题,是真命题D.q 是全称量词命题,是假命题3.已知集合,则用列举法表示( )A. B. C. D.4.已知,,,则“”是“a ,b ,c 可以构成三角形的三条边”的( )A.充分不必要条件B.必要不充分条件C.充要条件D.既不充分也不必要条件,则的最小值为( )A.9B.6C.4D.36.已知集合,,,若C 恰有1个真子集,则实数( )A.2 B.6 C.-2或6 D.2或67.某花卉店售卖一种多肉植物,若每株多肉植物的售价为30元,则每天可卖出25株;若每株多肉植物的售价每降低1元,则日销售量增加5株.为了使这种多肉植物每天的总销售额不低于1250元,则每株这种多肉植物的最低售价为( )A.25元B.20元C.15元D.10元8.学校统计某班45名学生参加音乐、科学、体育3个兴趣小组的情况,其中有20名学生参加了音乐小组,有21名学生参加了科学小组,有22名学生参加了体育小组,有24名学生只参加了1个兴趣小组,有12名学生只参加了2个兴趣小组,则3个兴趣小组都没参加的学生有( )A .5名B .4名C .3名D .2名Q 1-∈N ⊆Z N ⊆Q R:q a ∀<31A x x ⎧⎫=∈∈⎨⎬-⎩⎭Z Z A ={}2,0,1,2,4-{}2,0,2,4-{}0,2,4{}2,40a >0b >0c >a b c +>21b+=2a b +(){}2,1A x y y xax ==++(){},23B x y y x ==-C A B = a =二、多项选择题9.下列各组对象能构成集合的有( )A.南昌大学2024级大一新生B.我国第一位获得奥运会金牌的运动员C.体型庞大的海洋生物D.唐宋八大家10.已知A. B. C. D.11.已知二次函数(a ,b ,c 为常数,且)的部分图象如图所示,则( )A.B.C.D.不等式的解集为三、填空题12.已知13.已知,,集合,则________.14.已知四、解答题15.已知全集,集合,.(1)若,求,;(2)若,求a 的取值范围.16.给出下列两个结论:①关于x 的方程无实数根;②存在,使.a b >>>2c =-1c =-1c =2c =2y ax bx c =++0a ≠0a b +>0abc >1320a b c ++>20bx ax c -->{}21x x -<<a ==a ∈R b ∈R {}{}2,,2,2,0a b a a +=()3a b -=m n <<U =R {}23A x x =-<<{}12B x a x a =-<<2a =A B U BðB A ⊆230x mx m +-+=02x ≤≤()130m x +-=(1)若结论①正确,求m 的取值范围;(2)若结论①,②中恰有一个正确,求m 的取值范围.17.已知正数a ,b ,c 满足.(1)若(2)求18.已知,函数.(1)当时,函数的图象与x 轴交于,两点,求;(2)求关于x 的不等式的解集.19.设A 是由若干个正整数组成的集合,且存在3个不同的元素a ,b ,,使得,则称A 为“等差集”.(1)若集合,,且B 是“等差集”,用列举法表示所有满足条件的B ;(2)若集合是“等差集”,求m 的值;(3)已知正整数,证明:不是“等差集”.1abc =c =+2222a b c ++a ∈R ()23223y ax a x a =++++1a =()23223y ax a x a =++++()1,0A x ()2,0B x 3312x x +1y ≥c A ∈a b b c -=-{}1,3,5,9A =B A ⊆{}21,,1A m m =-3n ≥{}23,,,,n x x x x ⋅⋅⋅参考答案1.答案:D对B :不是自然数,故B 错误;对C :整数不都是自然数,如是整数但不是自然数,故C 错误;对D :有理数都是实数,故D 正确.故选:D.2.答案:D解析:对于命题q ,是全称量词命题,当,,所以q 为全称量词命题且为假命题.故选:D.3.答案:B解析:由题意可得可为、,即x 可为0,2,-2,4,即.故选:B.4.答案:B解析:当,,,得,a ,b ,c 不能构成三角形的三边长,若a ,b ,c 是某三角形的三边长,则有,所以“”是“a ,b ,c 可以构成三角形的三条边”的必要不充分条件.故选:B.5.答案:A,则,,,所以当时,取得最小值9.故选:A1-1-3a =-2b =a <1x -1±3±{}2,0,2,4A =-5a =1b =2c =a b c +>a b c +>a b c +>21b+=12(2)1452922a b a b a b b b a a ⎛⎫+=++=+++≥+= ⎪⎝⎭=3=3b =3,3a b ==2a b +6.答案:C解析:由C 恰有1个真子集,故C 中只有一个元素,即与有且只有一个交点,将代入,有,即,解得或.故选:C.7.答案:D解析:设售价为x 元,则销售量为,销售额,整理可得,解得,所以最低售价为10元,故选:D.8.答案:B解析:设三个小组都参加的人数为x ,只参加音乐科学的人数为,只参加音乐体育的人数为,只参加体育科学的人数为,作出韦恩图,如图,由题意,,即,因为有12名学生只参加了2个兴趣小组,所以,代入解得,即三个兴趣小组都参加的有5人,所以参加兴趣小组的一共有人,21y x ax =++23y x =-23y x =-21y x ax =++()2240x a x +-+=()22160a ∆=--=6a =2a =-()255301755x x +-=-()17551250x x -≥2352500x x -+≤1025x ≤≤1y 2y 3y 12132324202122y x y y x y y x y +++++++++=++()12323632439y y y x +++=-=12312y y y ++=5x =2412541++=所以不参加所有兴趣小组的有人.故选:B9.答案:ABD解析:对于A ,因为南昌大学2024级大一新生是确定的,所以能构成集合,所以A 正确,对于B ,因为我国第一位获得奥运会金牌的运动员是确定的,所以能构成集合,所以B 正确,对于C ,因为体型庞大的海洋生物没有明确的标准,没有确定性,所以不能构成集合,所以C 错误,对于D ,因为唐宋八大家是确定的,所以能构成集合,所以D 正确.故选:ABD10.答案:AB由,故,即,即,故A 、B 正确;C 、D 错误.故选:AB.11.答案:BCD解析:由图象可知,该二次函数开口向上,故,与轴的交点为、,故,即、,对A :,故A 错误;对B :,故B 正确;对C :,故C 正确;对D :可化为,即,即,其解集为,故D 正确.故选:BCD.12.答案:解析:45414-=>1c a +>>0a b >>bc ac >()0a b c -<0c <0a >x ()1,0-()2,0()()22122y ax bx c a x x ax ax a =++=+-=--b a =-2c a =-()0a b a a +=+-=()()3220abc a a a a =⋅-⋅-=>13213480a b c a a a a ++=--=>20bx ax c -->220ax ax a --+>220x x +-<()()120x x -+<{}21x x -<<<a ===,所以.故答案为:.13.答案:8解析:由题设,若,则不满足元素的互异性,所以,显然满足题设,所以.故答案为:814.答案:解析:令,,则,.故答案为:.15.答案:(1),b===>0>+><<a b<<a={}2,2,0a211a baa aba+=⎧=⎧⎪=⇒⎨⎨=-⎩⎪≠⎩()3328a b-==1-m n x+=<0m n y-=<m==8242242x ym x y x ym n x xxyyy⋅⋅-+=-=--+-4441331y x y xx y x y⎛⎫=---=-+≤-=-⎪⎝⎭=11-{}24A B x x=-<<{}14UB x x x=≤≥或ð(2)解析:(1)当时,,则,因为,所以;(2)当时,成立,此时,解得,当时,由,得,解得综上,16.答案:(1)(2).解析:(1)若关于x 的方程无实数根,则有,即,解得;(2)若存在,使,由时,,故时有解,即有由(1)知,若结论①正确,则,故结论①,②中恰有一个正确时,.17.答案:(1)(2)8解析:(1)若,则,(2)32a ≤2a ={}14B x x =<<{}14U B x x x =≤≥或ð{}23A x x =-<<{}24A B x x =-<< B =∅B A ⊆12a a -≥1a ≤-B ≠∅B A ⊆121223a a a a -<⎧⎪-≥-⎨⎪≤⎩1a -<≤a ≤62m -<<6m -<<2≥230x mx m +-+=()2430m m ∆=--+<()()2412260m m m m +-=-+<62m -<<02x ≤≤()130m x +-=0x =()1330m x +-=-≠1m +=2x <≤1m +≥≥62m -<<6m -<<2≥1c =ab =3b +≥=====2222222882a b c a c b c ac bc ac bc +++=++++++,当且仅当、、时,即时,等号成立,故18.答案:(1)(2)见解析解析:(1)当时,.由题可知,是方程的两个实数根,则,.由,得,则.(2)由,得.当时,不等式整理为,解得,即原不等式的解集为.当时,令,得或当时,;当时,,则原不等式的解集为;当时,;当时,.19.答案:(1)答案见解析(2)(3)证明见解析8822ab bc ac bc ac bc≥=++++()828ab bc ac bc =++≥=+a c =b c =()2ab bc +=1=1a b c ===2222a b c ++50-1a =255y x x =++1x 2x 2550x x ++=125x x +=-125x x =211222550550x x x x ⎧++=⎨++=⎩32111322225555x x x x x x ⎧=--⎨=--⎩()()()233221212121212555225752550x x x x x x x x x x ⎡⎤+=-+-+=-+-+=-+=-⎣⎦1y ≥()232220ax a x a ++++≥0a =220x +≥1x ≥-{}1x x ≥-0a ≠()()()232221220ax a x a x ax a ++++=+++=1x =-x =0a >1->221a x x x a ⎧+⎫≤-≥-⎨⎬⎩⎭或20a -<<221a a +-<-221a x x a ⎧+⎫-≤≤-⎨⎬⎩⎭2a =-1-=}1-2a <-1->221a x x a ⎧+⎫-≤≤-⎨⎬⎩⎭2m =解析:(1)因为集合,,存在3个不同的元素a ,b ,,使得,则或或.(2)因为集合是“等差集”,所以或或,计算可得或或又因为m 正整数,所以.(3)假设是“等差集”,则存在m ,n ,,,成立,化简可得,因为,,所以,所以与集合的互异性矛盾,所以不是“等差集”.{}1,3,5,9A =B A ⊆c B ∈a b b c -=-{}1,3,5,9B ={}1,3,5B ={}1,5,9B ={}21,,1A m m =-221m m =+-2211m m =+-()2221m m +=-m =0=2m =m =2m ={}22,,,,n x x x x ⋅⋅⋅{}1,2,3,,q n ∈ m n q <<2n m q x x x =+2m n q n x x --=+0m n x ->*x ∈N 1q n -≥21q n x x ->≥≥1x ={}22,,,,n x x x x ⋅⋅⋅{}22,,,,n x x x x ⋅⋅⋅。
黑龙江省齐齐哈尔市第八中学校2024-2025学年高一上学期第一次月考数学试卷一、单选题1.集合{}12A x x =-≤<,{}1B x x =>,则()R A B ⋂=ð( )A .{}11x x -≤<B .{}11x x -≤≤C .{}12x x -≤<D .{}2x x <2.不等式1021x x -≥+的解集为( ) A .1,12⎛⎤- ⎥⎝⎦B .[)1,1,2⎛⎫-∞-⋃+∞ ⎪⎝⎭C .[)1,1,2⎛⎤-∞-+∞ ⎥⎝⎦UD .1,12⎡⎤-⎢⎥⎣⎦3.若0a b <<,则下列结论正确的是( )A .22b a >B .b a a b >C .2ab b >D .22ac bc > 4.下列四组函数中,()f x 与()g x 不相等的是( )A .()||f x x =与()g x =B .2()1f x x =+与2()1g t t =+C .||()x f x x =与1,0()1,0x g x x >⎧=⎨-<⎩D .()f x =()g x 5.已知{}21,2,x x x ∈-,则实数x 为( )A .0B .1C .0或1D .0或1或2 6.中国南宋大数学家秦九韶提出了“三斜求积术”,即已知三角形三边长求三角形面积的公式:设三角形的三条边长分别为a ,b ,c ,则三角形的面积S 可由公式S =p 为三角形周长的一半,这个公式也被称为海伦-秦九韶公式.现有一个三角形的边长满足6p =,8a b +=,则此三角形面积的最大值为( )A .B .C .D .7.已知关于x 的不等式2240ax bx ++<的解集为4,m m ⎛⎫ ⎪⎝⎭,其中0m <,则44b a b +的最小值为( )A .-2B .1C .2D .88.已知函数()222,02,0x x x f x x x x ⎧-+≥=⎨-<⎩,若关于x 的不等式()()()200f x af x a -<>⎡⎤⎣⎦恰有1个整数解,则实数a 的最大值( )A .3B .4C .1D .-1二、多选题9.设x R ∈,则“2210x x +->”成立的一个充分不必要条件是( )A .12x >B .1x <-或12x >C .2x <-D .1x <- 10.下列命题中正确的是( )A .任意非零实数a ,b ,都有2b a a b+≥ B .当1x >时,11x x +-的最小值是2C .当010x << 5D .若正数x ,y 满足213x y+=,则2x y +的最小值为3 11.下列说法不正确的是( )A .不等式()()2110x x --<的解集为112x x ⎧⎫<<⎨⎬⎩⎭B .若实数a ,b ,c 满足22ac bc >,则a b >C .若x ∈R ,则函数y = 2D .已知函数()213f x x x +=-,且()2f a =-,则a 的值为2或3三、填空题12.若命题2:R,21p x x x ∃∈-≥-,则p 的否定为.13.函数12y x -的定义域是(用区间表示) 14.已知正实数a ,b 满足a +b =1,则222124a b a b+++的最小值为.四、解答题15.设集合{|13}A x x =-<<,集合{|22}B x a x a =-<<+.(1)若=2a ,求A B ⋃和;A B ⋂(2)设命题:p x A ∈,命题:q x B ∈,若p 是q 成立的必要不充分条件,求实数a 的取值范围. 16.设()()212f x ax a x a =+-+-.(1)若命题“对任意实数x ,()2f x ≥-”为真命题,求实数a 的取值范围.(2)解关于x 的不等式()1(R)f x a a <-∈.17.如图,某人计划用篱笆围成一个一边靠墙(墙的长度没有限制)的矩形菜园.设菜园的长为m x ,宽为m y .(1)若菜园面积S 为272m ,则x ,y 为何值时,可使所用篱笆总长C 最小?(2)若使用的篱笆总长C 为30m ,求121z x y =++的最小值.。
天津市实验中学2024-2025学年高一上学期第一次月考数学试卷一、单选题1.下列关系中正确的是()A .1Q 2∈B RC .0+ÎND .π∈Z2.下列各式中:①{}{}00,1,2∉;②{}{}0,1,22,1,0⊆;③{}0,1,2∅⊆;④{}0∅=;⑤{}(){}0,10,1=;⑥{}00=,正确的个数是()A .1B .2C .3D .43.全集{*U x x =∈N ∣且}{}{}10,1,3,5,7,6,7,8,9x A B <==,则()U A B ⋃=ð()A .{}2B .{}2,4C .{}7D .{}2,4,74.已知命题p :1x ∃>,240x -<,则p ⌝是()A .1x ∃>,240x -≥B .1x ∃≤,240x -<C .1x ∀≤,240x -≥D .1x ∀>,240x -≥5.若集合{}1,,A a b =,集合{}2,,B a a ab =,且A B =,则()A .1a =-,0b =B .1a =,0b =C .1a =±,0b =D .不确定6.已知全集U =R ,{}31A x x =-<<,{}02B x x =≤<,则图中阴影部分表示的集合为()A .{}30x x -<<B .{}30x x -<≤C .{}32x x -<<D .{}01x x ≤<7.已知,a b ∈R ,则“1a >,1b <-”是“222a b +>”的()A .充分不必要条件B .必要不充分条件C .充要条件D .既不充分也不必要条件8.已知集合{}220|A x mx x m =-+=仅有两个子集,则实数m 的取值构成的集合为()A .{}1,1-B .{}1,0,1-C .{}0,1D .∅二、填空题9.某校学生积极参加社团活动,高一某班共有40名学生,其中参加围棋社团的学生有23名,参加合唱社团的学生有25名(并非每个学生必须参加某个社团).请问,在该班学生中,同时参加围棋社团和合唱社团的最多有名学生,最少有名学生.10.若集合{}N |12A x x =∈-<≤,{},,B x x ab a b A ==∈,则集合B 的非空真子集的个数为.11.已知集合{}25A x x =-≤≤,{}121B x m x m =+≤≤-,若B A ⊆,则实数m 的取值范围为.12.已知集合{}1,2,3,4,5,6,7=M ,对它的非空子集A ,可将A 中的每一个元素k 都乘以()1k -再求和(如{}2,3,5A =,可求得和为:()()()2352131516⋅-+⋅-+⋅-=-,则对M 的所有非空子集执行上述求和操作,则这些和的总和是.三、解答题13.(1)已知集合{}20A x x =-≤≤或{|1B x x =<-或}4>x ,全集U =R .求A B 和()()U U A B ⋂痧.(2)已知集合(){},20A x y x y =-=,(){},350B x y x y =+-=,求A B ⋂并解释它的几何意义.14.已知集合{|3},{|2A x a x a B x x =≤≤+=<-或6}x >.(1)若A B =∅ ,求a 的取值范围;(2)若“x A ∈”是“x B ∈”的充分条件,求a 的取值范围.15.设{}222{40},2(1)10A x x x B x x a x a =+==+++-=,其中R x ∈,如果A B B = ,求实数a 的取值范围.16.“1a <”是“方程2210ax x ++=(0a ≠)有一个正根和一个负根”的条件;并证明.。
重庆市2024~2025学年高一上学期第一次月考数学试题(命题人:)(答案在最后)考试说明:1.考试时间120分钟2.试题总分150分3.试卷页数2页一、单项选择题:(本大题共8小题,每小题5分,共40分.在每小题给出的四个选项中,只有一项是符合题目要求的)1.设全集U =R ,3{|ln}3x M x y x -==+,}2{|2,1xx y y N =≤≤=,如图阴影部分所表示的集合为()A.{}23x x ≤< B.{}34x x <≤C.{|2x x ≤或3}x > D.{}33x x -≤≤【答案】B 【解析】【分析】由题意知,阴影部分表示的为M N ⋂,算出集合,M N 表示的范围,根据集合的交集的运算,即可得到本题答案.【详解】全集U =R ,集合M 中函数满足303x x ->+,解得3x <-或3x >,M ={|3x x <-或3}x >,集合N 中指数函数2x y =在上单调递增,则24222=x ≤≤,}|24{y N y =≤≤,由图可得阴影部分所表示的集合为{|34}M N x x ⋂=<≤,故选:B.2.若函数()y f x =的一个正零点用二分法计算,零点附近函数值的参考数据如下:(1)2f =-,(1.25)0.984f =-,(1.375)0.260f =-,(1.40625)0.054f =-,(1.4375)0.162f =,(1.6)0.625f =,那么方程()0f x =的一个近似根(精确度0.1)为()A.1.2 B.1.3C.1.4D.1.5【答案】C【解析】【分析】由参考数据可得(1.4375)(1.375)0f f <,区间(1.375,1.4375)满足题干要求精确到0.1,结合选项可得答案.【详解】因为1.6 1.43750.16250.1-=>,所以不必考虑端点1.6;因为1.40625 1.250.156250.1-=>,所以不必考虑端点1.25和1;因为(1.4375)0f >,(1.375)0f <,所以(1.4375)(1.375)0f f <,所以函数()f x 在(1.375,1.4375)内有零点,因为1.4375 1.3750.06250.1-=<,所以满足精确度0.1;所以方程()0f x =的一个近似根(精确度0.1)是区间(1.375,1.4375)内的任意一个值(包括端点值),根据四个选项可知:1.4[1.375,1.4375]∈.故选:C.3.“1sin 2x =”是“2()6x k k Z ππ=+∈”的()A.充分不必要条件B.必要不充分条件C.充要条件D.既不充分也不必要条件【答案】B 【解析】【分析】首先根据1sin 2x =可得:2()6x k k Z ππ=+∈或52()6x k k Z ππ=+∈,再判断即可得到答案.【详解】由1sin 2x =可得:2()6x k k Z ππ=+∈或52()6x k k Z ππ=+∈,即2()6x k k Z ππ=+∈能推出1sin 2x =,但1sin 2x =推不出2()6x k k Z ππ=+∈“1sin 2x =”是“2()6x k k Z ππ=+∈”的必要不充分条件故选:B【点睛】本题主要考查必要不充分条件的判断,同时考查根据三角函数值求角,属于简单题.4.函数21π()sin 212x xf x x -⎛⎫=⋅+ ⎪+⎝⎭在区间ππ,22⎡⎤-⎢⎥⎣⎦上的图象大致为()A.B.C.D.【答案】D 【解析】【分析】先得到函数的奇偶性,再计算出当π0,2x ⎛⎫∈ ⎪⎝⎭时,()0f x >,判断出答案.【详解】化简函数()f x 解析式可得21()cos 21x x f x x -=⋅+,定义域为R ,112121212()()cos cos()cos cos 121212112xxxx x x x x f x f x x x x x------+-=⋅+-=⋅+⋅++++ 01212cos 11cos 22x x x x x x -=⋅+⋅+=+-,()f x ∴为奇函数,AC 错误;又因为当π0,2x ⎛⎫∈ ⎪⎝⎭时,21()cos 021x x f x x -=⋅>+,B 错误,D 正确.故选:D.5.已知π0,4α⎛⎫∈ ⎪⎝⎭,π,02β⎛⎫∈- ⎪⎝⎭,πsin 43α⎛⎫+= ⎪⎝⎭,πsin 423β⎛⎫-= ⎪⎝⎭,则sin 2βα⎛⎫+ ⎪⎝⎭的值为()A.9 B.69-C.9D.9【答案】A 【解析】【分析】先根据已知条件及同角三角函数基本关系求出π1cos 43α⎛⎫+= ⎪⎝⎭,π3cos 423β⎛⎫-= ⎪⎝⎭;再利用已知角π4α+和π42β-来配凑2βα+;最后利用两角差的正弦公式即可求解.【详解】π0,4α⎛⎫∈ ⎪⎝⎭ ,π,02β⎛⎫∈- ⎪⎝⎭,πππ,442α⎛⎫∴+∈ ⎪⎝⎭,πππ,4242β⎛⎫-∈ ⎪⎝⎭,πsin 43α⎛⎫+=⎪⎝⎭,πsin 423β⎛⎫-= ⎪⎝⎭,π1cos 43α⎛⎫∴+= ⎪⎝⎭,πcos 423β⎛⎫-= ⎪⎝⎭.ππsin sin 2442ββαα⎡⎤⎛⎫⎛⎫⎛⎫∴+=+-- ⎪ ⎪ ⎢⎥⎝⎭⎝⎭⎝⎭⎣⎦ππππsin cos cos sin 442442ββαα⎛⎫⎛⎫⎛⎫⎛⎫=+--+- ⎪ ⎪ ⎪ ⎪⎝⎭⎝⎭⎝⎭⎝⎭13333=⨯-⨯9=.故选:A.6.酒驾是严重危害交通安全的违法行为,为了保障安全,根据国家规定,驾驶人员每100毫升血液酒精含量大于或等于20毫克,并每100毫升血液酒精含量小于80毫克为饮酒后驾车;每100毫升血液酒精含量大于或等于80毫克为醉酒驾车.某驾驶员喝了一定量的酒后,其血液中酒精含量上升到了每毫升血液含酒精0.8毫克,如果停止饮酒后,他的血液中的酒精会以每小时25%的速度减少,那么他想要驾车至少要经过(参考数据:lg 20.301≈,lg 30.477≈)()A.3hB.4hC.5hD.7h【答案】C 【解析】【分析】先根据题意表示出经过t 小时后,该驾驶员体内的酒精含量;再列出不等式求解即可.【详解】经过t 小时后,该驾驶员体内的酒精含量为:30.8mg /ml 4t⎛⎫⨯ ⎪⎝⎭.只需30.80.24t⎛⎫⨯< ⎪⎝⎭,即3144t⎛⎫< ⎪⎝⎭,341log 43344t ⎛⎫⎛⎫< ⎪ ⎪⎝⎭⎝⎭.因为函数34x y ⎛⎫= ⎪⎝⎭在R 上为减函数,所以341lg 42lg 20.602log 4.8164lg 4lg 32lg 2lg 30.6020.477t >==≈=---,故他至少要经过5个小时后才能驾车.故选:C.7.定义在R 上的奇函数()f x 满足,当(0,2)x ∈时,()cos((1))2f x x π=-,且2x ≥时,有1()(2)2f x f x =-,则函数2()()F x x f x x =-在[2,5]-上的零点个数为A.9B.8C.7D.6【答案】B 【解析】【分析】先由奇函数性质求出函数()f x 在[]2,2-上的解析式,再利用1()(2)2f x f x =-.得到[2,5]-的图象,2()()F x x f x x =-的零点个数,等价于求1()f x x =的解的个数.根据两函数交点个数即可求解.【详解】当(0,2)x ∈时,()cos((1))cos(sin()2222f x x x x ππππ=-=-=,()f x 是奇函数,()00f ∴=,当2x ≥时,有1()(2)2f x f x =-,()()12002f f ∴==,()()14202f f ==,若()2,0x ∈-,则()0,2x -∈,则()sin()(in ()22)s x f x f x x ππ-=-=-=-,即()sin()2f x x π=,()2,0x ∈-即当22x -≤≤时,()sin()2f x x π=,当24x ≤≤时,022x ≤-≤,此时1111()(2)sin[(2)]sin()sin()2222222f x f x x x x ππππ=-=-=-=-,当45x ≤≤时,223x ≤-≤,此时1111()(2)sin[(2)]sin()sin(44)24222f x f x x x x ππππ=-=--=--=,由2()()0F x x f x x =-=,得:当0x =时,由(0)0F =,即0x =是()F x 的一个零点,当0x ≠时,由2()0f x xx -=得1()xf x =,即1()f x x=,作出函数()f x 与1()g x x=在,[2,5]-上的图象如图:由图象知两个函数在[2,5]-上共有7个交点,加上一个0x =,故函数2()()F x x f x x =-在[2,5]-上的零点个数为8个,故选:B.【点睛】本题主要考查函数与方程的应用.判断函数零点个数的方法:直接法:即直接求零点,令()0f x =,如果能求出解,则有几个不同的解就有几个零点定理法:即利用零点存在性定理,不仅要求函数的图象在区间[]a b ,上是连续不断的曲线,且()()0f a f b < ,还必须结合函数的图象与性质(如单调性、奇偶性)才能确定函数有多少个零点图象法:即利用图象交点的个数,画出函数()f x 的图象,函数()f x 的图象与x 轴交点的个数就是函数()f x 的零点个数;将函数()f x 拆成两个函数()h x 和()g x 的差,根据()0()()f x h x g x Û==,则函数f(x)的零点个数就是函数()y h x =和()y g x =的图象的交点个数性质法:即利用函数性质,若能确定函数的单调性,则其零点个数不难得到;若所考查的函数是周期函数,则只需解决在一个周期内的零点的个数.8.已知()f x 是定义在R 上的奇函数,若对任意120x x <<,均有()()2112120x f x x f x x x ->-且(3)3f =,则不等式()0f x x ->的解集为()A.(3,0)(3,)-⋃+∞B.()3,3-C.(,3)(3,)-∞-⋃+∞D.(3,0)(0,3)-⋃【答案】A 【解析】【分析】先变形得到()()1212f x f x x x <,令()()f x g x x =,得到()()f x g x x=在(0,)+∞上单调递增,结合(3)(3)13f g ==,得到3x >,再结合函数的奇偶性和单调性得到30x -<<,从而求出答案.【详解】因为120x x <<,所以()()21120x f x x f x -<,所以()()1212f x f x x x <.设函数()()f x g x x =,则函数()()f x g x x =在(0,)+∞上单调递增,且(3)(3)13f g ==.当0x >时,不等式()0f x x ->等价于()f x x >,即()1f x x>,即()(3)g x g >,解得3x >,又因为()f x 是定义在上的奇函数,所以(0)0f =,所以,当0x =时,不等式()0f x x ->无解.因为()f x 是定义在上的奇函数,所以−=−,()()f x g x x=的定义域为()(),00,∞∞-⋃+,又()()()()()f x f x f x g x g x x x x---====--,故()()f x g x x=为偶函数,且在(,0)-∞单调递减,当0x <时,不等式()0f x x ->等价于()f x x >,即()1f x x<,因为(3)(3)13f g --==-,故()(3)g x g <-,解得30x -<<,综上,不等式()0f x x ->的解集为(3,0)(3,)-⋃+∞.故选:A.二、多选题:本题共3小题,每小题6分,共18分.在每小题给出的选项中,有多项符合题目要求.全部选对的得6分,部分选对的得部分分,有选错的得0分.9.对于实数a ,b ,c ,下列说法正确的是()A.若1a b <<,则11b a< B.若22ac bc >,则a b>C.若0a b >>,0c >,则b b c a a c+<+ D.若c a b >>,a b c a c b<--【答案】ABC 【解析】【分析】AB 选项,可利用不等式性质进行判断;CD 选项,利用作差法比较出大小.【详解】A 选项,若1a b <<,则0ab >,不等式两边同除以ab 得11b a<,A 正确;B 选项,若22ac bc >,则0c ≠,故20c >,不等式两边同除以2c 得a b >,B 正确;C 选项,()()()b a cb bc ab bc ab ac a a c a a c a a c -++---==+++,因为0a b >>,0c >,所以0,0b a a c -<+>,故()()0b a c b b c a a c a a c -+-=<++,所以b b ca a c+<+,C 正确;D 选项,()()()a b c a b c a c b c a c b --=----,因为c a b >>,所以0c a ->,0c b ->,0a b ->,但c 的正负不确定,故无法判断()()()c a b c a c b ---的正负,从而无法判断a c a -与bc b-的大小关系,D 错误.故选:ABC.10.已知函数()sin()f x x ωϕ=+(0ω>,π2ϕ<)的最小正周期为π,将该函数的图象向左平移π3个单位后,得到的图象对应的函数为偶函数,则下列说法正确的是()A.函数()y f x =的图象关于直线π6x =对称B.函数()y f x =在区间5π4π,63⎛⎫⎪⎝⎭上单调递增C.1(0)2f =-D.函数()y f x =的图象关于点π,012⎛⎫⎪⎝⎭对称【答案】BCD 【解析】【分析】由三角函数的周期性与奇偶性,结合三角函数图象平移法则求得,ωϕ,再利用代入检验法与整体代入法逐一分析各选项即可得解.【详解】因为函数()sin()f x x ωϕ=+的最小正周期为2ππω=,则2ω=,故()sin(2)f x x ϕ=+,将该函数的图象向左平移π3个单位后,得到2πsin 23y x ϕ⎛⎫=++ ⎪⎝⎭的图象,因为得到的图象对应的函数2πsin 23y x ϕ⎛⎫=++ ⎪⎝⎭为偶函数,所以2πππ(Z)32k k ϕ+=+∈,即ππ(Z)6k k ϕ=-+∈,因为π2ϕ<,所以π6ϕ=-,故π()sin 26f x x ⎛⎫=- ⎪⎝⎭,对于A ,当π6x =时,则πππ1sin 6362f ⎛⎫⎛⎫=-= ⎪ ⎪⎝⎭⎝⎭,故A 错误;对于B ,令πππ2π22π262k x k -+<-<+,Z k ∈,得ππππ(Z)63k x k k -+<<+∈,当1k =时,()y f x =在区间5π4π,63⎛⎫⎪⎝⎭上单调递增,故B 正确;对于C ,π1(0)sin 62f ⎛⎫=-=- ⎪⎝⎭,故C 正确;对于D ,πππsin 01266f ⎛⎫⎛⎫=-= ⎪ ⎪⎝⎭⎝⎭,故D 正确.故选:BCD.11.设函数()()12,1log 1,1x x f x x x ⎧≤⎪=⎨->⎪⎩,若()()()()1234f x f x f x f x ===,且1234x x x x <<<,则()1243412x x x x ++++的值可以是()A.4B.5C.163D.6【答案】AB 【解析】【分析】画出函数图象,数形结合得到120x x +=,3322x ≤<,423x <≤,结合交点关系得到()12344444222111x x x x x x +++=++++-,构造函数42()2(23)11g x x x x =++<≤+-,根据函数单调性得到取值范围,求出答案.【详解】函数()f x的图象如图所示,设()()()()1234f x f x f x f x t ====,由图可知,当01t <≤时,直线y t =与函数()f x 的图象有四个交点,交点的横坐标分别为1234,,,x x x x ,且1234x x x x <<<,1x >时,令12()log (1)1f x x =-=,解得32x =或3x =.由图可知,120x x +=,3322x ≤<,423x <≤,由()()34f x f x =,可得34111x x -=-,则有34111x x =+-,所以()1233444444422221111x x x x x x x x +++=+=+++++-.令42()2(23)11g x x x x =++<≤+-,易知()g x 在(2,3]上为减函数,且16(2)3g =,(3)4g =,故()12344164213x x x x ≤+++<+,且1644,3⎡⎫∈⎪⎢⎣⎭,1654,3⎡⎫∈⎪⎢⎣⎭,AB 正确;又1616164,,64,333⎡⎫⎡⎫∉∉⎪⎪⎢⎢⎣⎭⎣⎭,CD 错误.故选:AB.【点睛】将函数零点问题或方程解的问题转化为两函数的图象交点问题,将代数问题几何化,借助图象分析,大大简化了思维难度,首先要熟悉常见的函数图象,包括指数函数,对数函数,幂函数,三角函数等,还要熟练掌握函数图象的变换,包括平移,伸缩,对称和翻折等,涉及零点之和问题,通常考虑图象的对称性进行解决.三、填空题:本题共3小题,每小题5分,共15分.12.若1()2xf x ⎛⎫= ⎪⎝⎭的反函数为1()f x -,且11()()4f a f b --+=-,则11a b +的最小值为__________.【答案】12【解析】【分析】先利用指、对数式的互化得到函数1()2xf x ⎛⎫= ⎪⎝⎭的反函数,再利用对数的运算性质化简11()()4f a f b --+=-,最后由基本不等式求得最值即可.【详解】因为x y a =和log a y x =(0a >,1a ≠)互为反函数,若1()2xf x ⎛⎫= ⎪⎝⎭,则112()log f x x -=,又因为11()()4f a f b --+=-,所以111222log log log ()4a b ab +==-,所以16ab =,且0a >,0b >,又11116162a b a b a b ab +++==≥=,当且仅当4a b ==时等号成立,所以11a b +的最小值为12.故答案为:12.13.如果函数()f x 的图象可以通过()g x 的图象平移得到,则称函数()f x 为函数()g x 的“同形函数”,下面几对函数是“同形函数”的是__________.(填上正确选项的序号即可)①()sin f x x =,()cos g x x =;②()2sin cos f x x x =,()cos 2g x x =;③44()sin cos f x x x =-,()cos 2g x x =;④()sin 2tan f x x x =⋅,()cos 2g x x =.【答案】①②③【解析】【分析】①②③,结合三角恒等变换及平移变换法则求出答案;④由两函数定义域不同,故④错误.【详解】①()cos g x x =的图象向右平移π2个单位得到()sin f x x =的图象,①正确;②π()2sin cos sin 2cos 22f x x x x x ⎛⎫===-⎪⎝⎭,故()f x 的图象可由()cos 2g x x =的图象向右平移π4个单位得到,故②正确;③()()44222222()sin cos sin cos sincos sin cos f x x x x xx x x x =-=-+=-cos 2cos(2π)x x =-=+,故()f x 的图象可由()cos 2g x x =的图象向左平移π2个单位得到,故③正确;④2sin ()sin 2tan 2sin cos 2sin 1cos 2cos(2)1co πs xf x x x x x x x x x=⋅=⋅==-=++,因为()sin 2tan f x x x =⋅的定义域不是,而()cos 2g x x =的定义域是,所以不可能由()cos 2g x x =的图象平移得到()sin 2tan 2f x x x =⋅的图象,故④错误.故答案为:①②③14.定义域为R 的函数()f x 的图象关于直线1x =对称,当[0,1]x ∈时,()f x x =,且对任意x ∈R ,有(2)()f x f x +=-,2024(),0()log (),0f x xg x x x ≥⎧=⎨--<⎩,则方程()()0g x g x --=实数根的个数为__________.【答案】2027【解析】【分析】由于题意可得函数()f x 以4为周期,分0x >,0x <,0x =三种情况讨论,把问题转化函数图象交点个数问题,作出函数图象,结合函数的周期性即可得解.【详解】对任意∈有(2)()f x f x +=-,得(4)(2)()f x f x f x +=-+=,则函数()f x 以4为周期,由于函数()f x 的图象关于直线1x =对称,则()(2)f x f x =-,又(2)()f x f x +=-,所以(2)(2)0f x f x ++-=,则函数()f x 的图象关于(2,0)对称.当0x >时,0x -<,由()()0g x g x --=得()()g x g x =-,则2024()log f x x =-,作出()y f x =与2024log y x =-的大致图象如图,令2024log 1x -=-,则2024x =,而20244506=⨯,由图可知,在第一个周期内有三个交点,后面每个周期内有两个交点,所以()y f x =与2024log y x =-的图象在(0,)+∞上有350521013+⨯=个交点;当0x <时,0x ->,由()()g x g x =-得:2024log ()()x f x --=-,令x t -=,0t >,得2024()log f t t =-,由上述可知,()y f t =与2024log y t =-的图象在(0,)+∞上有1013个交点,故()y f x =-与2024log ()y x =--的图象在(,0)-∞上有1013个交点,又0x =时,()()0g x g x --=成立,所以方程()()0g x g x --=实数根的个数为2101312027⨯+=.故答案为:2027.【点睛】思路点睛:由题分析可得函数()f x 以4为周期,图象关于(2,0)中心对称,把问题转化函数图象交点个数问题,数形结合可得解.四、解答题:本题共5小题,共77分.解答应写出文字说明、证明过程或演算步骤.15.设集合{}11ee x A x -=≤≤,若关于x 的不等式20x mx n ++≤的解集为A .(1)求函数()2f x x mx n =++的解析式;(2)求关于x 的不等式()()2322f x x λλ+>-+的解集,其中λ∈R .【答案】(1)详见解析;(2){|x x λ<-或}3x λ>-.【解析】【分析】(1)先化简集合A ,再根据关于x 的不等式20x mx n ++≤的解集为A ,利用根与系数的关系求解;(2)由(1)化简不等式为()()30x x λλ++->求解.【小问1详解】解:集合{}11ee x A x -=≤≤{}|12x x =≤≤,因为关于x 的不等式20x mx n ++≤的解集为A ,所以3,2m n =-=,则()232f x x x =-+;【小问2详解】由(1)知:关于x 的不等式()()2322f x x λλ+>-+即为:()2232322x x x λλ-++>-+,即为()222330x x λλλ+-+->,即为()()30x x λλ++->,解得:3x λ>-或x λ<-,所以不等式的解集为:{|x x λ<-或}3x λ>-.16.若函数()y f x =对任意实数x ,y 都有()()()f xy f x f y =,则称其为“保积函数”.现有一“保积函数”()f x 满足(1)1f -=-,且当01x <<时,()(0,1)f x ∈.(1)判断“保积函数”()f x 的奇偶性;(2)若“保积函数”()f x 在区间(0,)+∞上总有()0f x >成立,试证明()f x 在区间(0,)+∞上单调递增;(3)在(2)成立的条件下,若(2)2f =,求()211log sin 2f x +≤,[0,2π]x ∈的解集.【答案】(1)()f x 为奇函数(2)证明见解析(3)π3π0,,π44⎛⎤⎡⎫⎪⎥⎢⎝⎦⎣⎭【解析】【分析】(1)赋值,结合(1)1f -=-,进而得到()f x 为奇函数;(2)()f x 在(0,)+∞上单调递增,利用定义法得到函数的单调性;(3)赋值法得到1122f ⎛⎫=⎪⎝⎭,结合函数单调性得到211log sin 2x +≤,[0,2π]x ∈,数形结合,结合定义域,得到不等式,求出解集.【小问1详解】()f x 为奇函数,理由如下:根据题意,令1y =-,得()()(1)f x f x f -=-,因为(1)1f -=-,所以()()f x f x -=-,故结合定义域可知,()f x 为奇函数.【小问2详解】证明:任取1x ∀,2(0,)x ∈+∞,且12x x >,则2101x x <<,因此()()()()()2212111111x x f x f x f x f x f x f x f x x ⎛⎫⎛⎫-=-⋅=- ⎪ ⎪⎝⎭⎝⎭()2111x f x f x ⎛⎫⎛⎫=-⎪ ⎪ ⎪⎝⎭⎝⎭,因为2101x x <<,且当01x <<时,()(0,1)f x ∈,所以2110x f x ⎛⎫-> ⎪⎝⎭,因为(0,)∀∈+∞x ,()0f x >恒成立,所以()10f x >,所以()()()2121110x f x f x f x f x ⎛⎫⎛⎫-=-> ⎪ ⎪⎪⎝⎭⎝⎭,即()()12f x f x >,又因为120x x >>,所以()f x 在(0,)+∞上单调递增;【小问3详解】(1)1f -=-Q ,又()f x 为奇函数,(1)(1)1f f ∴=--=,()()()f xy f x f y = ,112(2)22f f f⎛⎫⎛⎫∴⨯= ⎪ ⎪⎝⎭⎝⎭,(2)2f = ,1122f ⎛⎫∴= ⎪⎝⎭,故原不等式等价于()211log sin 2f x f ⎛⎫+≤⎪⎝⎭,[0,2π]x ∈,()f x 在(0,)+∞上单调递增且(0,)∀∈+∞x ,()0f x >恒成立,又()f x 为奇函数,()f x ∴在上单调递增,故211log sin 2x +≤,[0,2π]x ∈,则221log sin log 22x ≤-=,[0,2π]x ∈,∴sin 0sin 2x x >⎧⎪⎨≤⎪⎩,解得π04x <≤或3ππ4x ≤<,综上,()211log sin 2f x +≤,[0,2π]x ∈的解集为π3π0,,π44⎛⎤⎡⎫⋃ ⎪⎥⎢⎝⎦⎣⎭.17.已知函数())f x x =ω+ϕ(0ω>,ππ22ϕ-≤≤)的图象关于直线π3x =对称,且图象上相邻两个最高点的距离为π.(1)求ω和ϕ的值;(2)当π0,2⎡⎤∈⎢⎥⎣⎦x 时,求函数()y f x =的最大值和最小值;(3)设()()(0)g x f cx c =>,若()g x 图象的任意一条对称轴与x 轴的交点的横坐标不属于区间(π,2π),求c 的取值范围.【答案】(1)2ω=,π6ϕ=-(22-(3)1150,,6312⎛⎤⎡⎤ ⎥⎢⎥⎝⎦⎣⎦【解析】【分析】(1)根据最小正周期求出ω,再根据对称轴求出ϕ;(2)由(1)可得()f x 解析式,再由x 的取值范围求出π26x -的范围,最后由正弦函数的性质计算可得;(3)首先得到()g x 的解析式,由12ππ22c⨯≥求出c 的大致范围,再求出()g x 图象的某一条对称轴与x 轴的交点的横坐标属于区间(π,2π)时c 的取值范围,即可得解.【小问1详解】因为()f x 的图象上相邻两个最高点的距离为π,所以()f x 的最小正周期πT =,所以2π2Tω==,又因为()f x 的图象关于直线π3x =对称,所以232ππkπϕ⨯+=+,k ∈Z ,所以ππ6k ϕ=-,k ∈Z ,又ππ22ϕ-≤≤,所以π6ϕ=-,综上可得2ω=,π6ϕ=-.【小问2详解】由(1)知π()26f x x ⎛⎫=- ⎪⎝⎭,当π0,2⎡⎤∈⎢⎥⎣⎦x 时,ππ5π2666x -≤-≤,所以当ππ262x -=(即π3x =)时,max ()f x =当ππ266x -=-(即0x =)时,min 3()2f x =-,所以函数()y f x =在π0,2⎡⎤∈⎢⎣⎦x 2-.【小问3详解】由题意π()()26g x f cx cx ⎛⎫==- ⎪⎝⎭()0c >,()g x 图象的任意一条对称轴与x 轴的交点的横坐标都不属于区间(π,2π),12ππ22c ∴⨯≥且0c >,解得102c <≤,令ππ2π62cx k -=+,k ∈Z ,解得ππ23k x c c=+,k ∈Z ,若()g x 图象的某一条对称轴与x 轴的交点的横坐标属于区间(π,2π),则πππ2π23k c c <+<,解得114623k k c +<<+,当1k =-时,112c -<且16c <-(矛盾),故解集为空集;当0k =时,1163c <<;当1k =时,55126c <<,故c 的取值范围为1150,,6312⎛⎤⎡⎤⋃ ⎥⎢⎥⎝⎦⎣⎦.18.已知函数2()43f x x x =-+,()(4)3g x a x =+-,a ∈R .(1)若[1,0]x ∃∈-,使得方程()20m f x -=有解,求实数m 的取值范围;(2)若对任意的1[1,5]x ∈-,总存在2[1,5]x ∈-,使得()()12f x g x ≤,求实数a 的取值范围;(3)设()()()h x f x g x =+,记()M a 为函数()h x 在[0,1]上的最大值,求()M a 的最小值.【答案】(1)[]2log 3,3(2){15a a ≤-或9}5a ≥-(3)3-【解析】【分析】(1)根据二次函数的单调性,结合存在性的定义、对数的单调性进行求解即可;(2)根据存在性和任意性的定义,结合函数的对称性分类讨论进行求解即可;(3)根据函数的对称性、单调性分类讨论进行求解即可.【小问1详解】[1,0]x ∃∈-,2()20243m m f x x x -=⇔=-+,因为函数2()43f x x x =-+的图象的对称轴是直线2x =,所以()y f x =在[1,0]-上为减函数,max ()(1)8f x f =-=,min ()(0)3f x f ==,故2[3,8]m ∈,所以m 的取值范围为[]2log 3,3.【小问2详解】对任意的1[1,5]x ∈-,总存在2[1,5]x ∈-,使得()()12f x g x ≤,∴即在区间[1,5]-上,()()12max max f x g x ≤,函数2()43f x x x =-+图象的对称轴是直线2x =,又[1,5]x ∈-,∴当5x =时,函数()f x 有最大值为2(5)54538f =-⨯+=,①当4a =-时,()3g x =-,不符合题意,舍去;②当4a >-时,()g x 在[1,5]-上的值域为[7,517]a a --+,5178a ∴+≥,得95a ≥-;③当4a <-时,()g x 在[1,5]-上的值域为[517,7]a a +--,78a ∴--≥,得15a ≤-,综上,a 的取值范围为{15a a ≤-或9}5a ≥-;【小问3详解】函数2()h x x ax =+图象的对称轴为2a x =-,①当2a ≤-或0a ≥时,()h x 在[0,1]上单调递增,则()(1)|1|M a f a ==+;②当20a -<<时,2()max ,(1)max ,124a a M a ff a ⎧⎫⎧⎫⎛⎫=-=+⎨⎬⎨⎬ ⎪⎝⎭⎩⎭⎩⎭,解不等式组22014a a a -<<⎧⎪⎨>+⎪⎩,得(221a -<<-,故当20a -<<,()((2,22141,210a a M a a a ⎧-<<-⎪=⎨⎪+-≤<⎩,综上,()((2,22141,221a a M a a a a ⎧-<<-⎪=⎨⎪+≤-≥-⎩或,()M a ∴在((),21∞--上单调递减,在()21,∞⎡+⎣上单调递增,(21a ∴=-时,()M a取最小值为(2113+=-.【点睛】关键点睛:本题的关键是根据函数的对称轴与所给区间的相位位置进行分类讨论.19.已知()()()sin22sin cos 8f m θθθθ=---+.(1)当1m =时,求π12f ⎛⎫⎪⎝⎭的值;(2)若()fθ的最小值为7-,求实数m 的值;(3)对任意的π,π4θ⎛⎫∈⎪⎝⎭,不等式()816sin cos m f θθθ->-恒成立.求m 的取值范围.【答案】(1)172+(2)5m =或1m =-(3)722,6⎛⎫++∞ ⎪ ⎪⎝⎭【解析】【分析】(1)利用辅助角公式,化简函数,再代入求π12f ⎛⎫⎪⎝⎭;(2)首先设sin cos t θθ=-,利用三角恒等变换,将函数表示成关于t 的二次函数,讨论对称轴,结合定义域求函数的最小值,列式求解m ;(3)根据(2)的结果,不等式参变分离为128m t t t->+-,在(t ∈恒成立,转化为判断函数的单调性,求函数的最值,即可求解m 的取值范围.【小问1详解】()()())πsin22sin cos 8sin22sin 84f m m θθθθθθ⎛⎫=---+=--+ ⎪⎝⎭,当1m =时,ππππ1ππsin 881261242124f ⎛⎫⎛⎫⎛⎫=-+=--+ ⎪ ⎪ ⎪⎝⎭⎝⎭⎝⎭1178262π+=+=;【小问2详解】设πsin cos 4t θθθ⎛⎫=-=- ⎪⎝⎭,则t ⎡∈⎣,22sin cos 1=-+t θθ,()()()229,f Q t t m t t θ⎡==---+∈⎣,其对称轴为12m t =-+,当102m-+≥,即2m ≥时,()f θ的最小值为(77Q =+=-,则5m =;当102m-+<,即2m <时,()f θ的最小值为77Q =-=-1m =-;综上,5m =或1m =-;【小问3详解】由()816sin cos m f θθθ->-,对所有π,π4θ⎛⎫∈ ⎪⎝⎭都成立.设πsin cos 4t θθθ⎛⎫=-=- ⎪⎝⎭,则(t ∈,()281629m t m t t-∴>---+,(t ∈恒成立,280t -> ,128m t t t∴-+->,在(t ∈恒成立,当(t ∈时,8t t -递减,则18t t t+-在(递增,t ∴=时18t t t +-取得最大值726得2m ->2∴>m 所以存在符合条件的实数m ,且m的取值范围为2,6∞⎛⎫++ ⎪ ⎪⎝⎭.【点睛】关键点点睛:本题的关键利用公式()22sin cos 1sin cos θθθθ=--,从而利用换元法转化为关于t 的函数问题.。
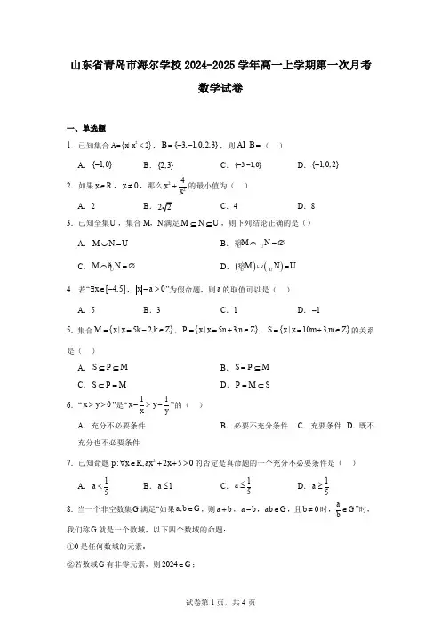
山东省青岛市海尔学校2024-2025学年高一上学期第一次月考数学试卷一、单选题1.已知集合{}22A xx =<∣,{3,1,0,2,3}B =--,则A B =I ( ) A .{1,0}- B .{2,3} C .{3,1,0}--D .{1,0,2}-2.如果R x ∈,0x ≠,那么224+x x 的最小值为( )A .2B .C .4D .83.已知全集U ,集合M ,N 满足M N U ⊆⊆,则下列结论正确的是() A .M N U ⋃= B .U U M N ⋂=∅痧 C .U M N ⋂=∅ðD .()()U U M N U ⋃=痧4.若“[]4,5x ∃∈-,0x a ->”为假命题,则a 的取值可以是( ) A .5B .3C .1D .1-5.集合{}|52,Z M x x k k ==-∈,{}|53,Z P x x n n ==+∈,{}|103,Z S x x m m ==+∈的关系是( ) A .S P M ⊆⊆ B .S P M =⊆ C .S P M ⊆= D .P M S =⊆6.“0x y >>”是“11x y x y->-”的( ) A .充分不必要条件 B .必要不充分条件 C .充要条件 D .既不充分也不必要条件7.已知命题2:R,250p x ax x ∀∈++>的否定是真命题的一个充分不必要条件是( )A .15a <B .1a ≤C .15a ≤D .15a ≥8.当一个非空数集G 满足“如果,a b G ∈,则a b +,a b -,ab G ∈,且0b ≠时,aG b∈”时,我们称G 就是一个数域,以下四个数域的命题: ①0是任何数域的元素:②若数域G 有非零元素,则2024G ∈;③集合{}3,Z P xx k k ==∈∣是一个数域 ④有理数集是一个数域 其中真命题的个数为( ) A .1B .2C .3D .4二、多选题9.已知全集{}0,1,2,3,4,5,6,7U =,集合{}5A x x =∈<N ,{}1,3,5,7B =,则图中阴影部分所表示的集合为( )A .{}0,2,4B .()B A B ⋂ðC .()U A B ⋂ðD .()()U U A B ⋂痧10.下列说法中正确的有()A .命题0:p x ∃∈R ,20220x x ++<”则命题p 的否定是2,220∀∈++≥R x x x B .“11x y>”是“x y <”的必要不充分条件 C .命题“2,0x x ∀∈>Z ”是真命题D .“0m <”是“关于x 的方程220x x m -+=有一正一负根”的充要条件 11.设正实数m n 、满足3m n +=,则下列说法正确的是( )A .3n m n+的最小值为3 B .mn 的最大值为94C 的最小值为92D .22m n +的最小值为92三、填空题12.已知集合{}21,3,A a =,{1,1}B a =+,并且A B A =U ,则实数a 的值为.13.在如图所示的锐角三角形空地中,欲建一个内接矩形花园(阴影部分),矩形花园面积最大值为2m .14.已知对任意x a >,不等式225x x a+≥-恒成立,则实数a 的最小值为.四、解答题 15.解决下列问题 (1)已知3x >,求223x x +-的最小值; (2)已知,x y 是正实数,且1x y +=,求1312x y +++的最小值. 16.已知集合{33},{1A x a x a B x x =-≤≤+=≤∣∣或4}x ≥. (1)当3a =时,求A B ⋂;(2)“x A ∈”是“R x B ∈ð”的充分不必要条件,求实数a 的取值范围.17.已知命题:p x ∃∈R ,230kx kx +-≥,命题:q x ∃∈R ,22340x kx k +++≥. (1)当命题p 为假命题时,求实数k 的取值范围;(2)若命题p 和q 中有且仅有一个是假命题,求实数k 的取值范围.18.已知不等式()2212x m x ->+.(1)若R x ∀∈,使不等式恒成立,求m 的取值范围; (2)若1x ∃>,使不等式能成立,求m 的取值范围;(3)是否存在实数x ,使不等式对11m -≤≤恒成立.若存在,求出x 取值范围;若不存在,请说明理由.19.给定正整数()3n n ≥,集合{}1,2,,n U n =L .若存在集合A ,B ,C ,同时满足下列三个条件:①n U A B C =⋃⋃,A B B C A C ⋂=⋂=⋂=∅;②集合A 中的元素都为奇数,集合B 中的元素都为偶数,所有能被3整除的数都在集合C 中(集合C 中还可以包含其它数);③集合A ,B ,C 中各元素之和分别为A S ,B S ,C S ,有A B C S S S ==; 则称集合n U 为可分集合.(1)已知n U 为可分集合,写出相应的一组满足条件的集合A ,B ,C ; (2)当2025n =时,n U 是不是可分集合?判断并说明理由; (3)已知n 为偶数,求证:“412n +是整数”是“n U 为可分集合”的必要不充分条件.。
2024-2025学年山西省太原市成成中学高一(上)月考数学试卷(一)一、单选题:本题共8小题,每小题5分,共40分。
在每小题给出的选项中,只有一项是符合题目要求的。
1.已知全集U ={−1,0,1,2},集合A ={x ∈Z|−2<x ≤1},集合B ={1,2},则(∁U A)∪B =( )A. {2}B. {1,2}C. {−1,1,2}D. {−1,0,1,2}2.命题“∀x >1,x 2−m >1”的否定是( )A. ∃x >1,x 2−m ≤1B. ∃x ≤1,x 2−m ≤1C. ∀x >1,x 2−m ≤1D. ∀x ≤1,x 2−m ≤13.已知全集U =R ,集合A ={x|x <−1或x >4},B ={x|x 2−x−6≤0},则阴影部分表示的集合为( )A. {x|−2≤x <4}B. {x|−1≤x ≤3}C. {x|x ≤3或x ≥4}D. {x|−2≤x ≤4}4.设x ,y >0且x +2y =40,则2xy 的最大值是( )A. 400B. 100C. 40D. 205.已知条件p :−1≤x <2,条件q :x >a ,若p 是q 的充分不必要条件,则a 的取值范围为( )A. {a|a >2}B. {a|a ≥2}C. {a|a <−1}D. {a|a ≤−1}6.下列命题中真命题的个数是( )①命题“∀x ∈R ,|x|+x 2≥0”的否定为“∃x ∈R ,|x|+x 2<0”;②“a 2+(b−1)2=0”是“a(b−1)=0”的充要条件;③集合A ={y|y = x 2+1},B ={x|y = x 2+1}表示同一集合.A. 0B. 1C. 2D. 37.若a >0,b >0,ab =4a +b +12,则ab 的取值范围是( )A. {x|0<x ≤18}B. {x|0<x ≤36}C. {x|x ≥18}D. {x|x ≥36}8.对于集合M ,N ,定义M−N ={x|x ∈M 且x ∉N},M ⊕N =(M−N)∪(N−M),设A ={x|x ≥−94,x ∈R},B ={x|x <0,x ∈R},则A ⊕B =( )A. {x|−94<x <0,x ∈R}B. {x|−94≤x <0,x ∈R}C. {x|x <−94或x ≥0,x ∈R}D. {x|x ≤−94或x >0,x ∈R}二、多选题:本题共3小题,共18分。
江苏省南京市第九中学2024-2025学年高一上学期第一次月考数学试卷一、单选题1.若不等式23208kx kx +-<对一切实数x 都成立,则k 的取值范围为( ) A .()3,0-B .[)3,0-C .(]3,0-D .[]3,0- 2.已知集合{N 4x M x =∈且}N 6x *∈,集合Z 24x N x ⎧⎫=∈⎨⎬⎩⎭,则( ) A .M N ∈ B .Z 12x M N x ⎧⎫⋃=∈⎨⎬⎩⎭C .M N =D .N 24x M N x *⎧⎫⋂=∈⎨⎬⎩⎭3.已知a b c >>,且0a b c ++=,则下列不等式一定成立的是( )A .22ab bc >B .22ab b c >C .()()0ab ac b c -->D .()()0ac bc a c --> 4.已知正实数,a b 满足21a b +=.则25a b a ab ++的最小值为( ) A .3 B .9 C .4 D .8二、多选题5.下列四个命题中正确的是( )A 20y +=的解集为{}2,2-B .由(),R aba b a b +∈所确定的实数集合为{}2,0,2-C .集合(){},3216,N,N x y x y x y +=∈∈可以化简为()()(){}0,8,2,5,4,2D .6N,Z 3A a a a ⎧⎫=∈∈⎨⎬-⎩⎭中含有三个元素 6.已知实数,R a b +∈,且21a b +=,则下列结论正确的是( )A .ab 的最大值为18B .22a b +的最小值为25C .11a b+的最小值为6 D .1021b a -<<- 7.下列四个命题是真命题的是( ) A .若函数()f x 的定义域为[]22-,,则函数()1f x +的定义域为[]3,1-B .函数y x =7,4⎡⎫+∞⎪⎢⎣⎭C .若函数24y x mx =++的两个零点都在区间为()1,+∞内,则实数m 的取值范围为()5,4--D .已知()()222f x x m x =-++在区间[]1,3上是单调函数,则实数m 的取值范围是][(),04,∞∞-⋃+8.已知集合{|13}A x x =-<<,集合{|1}B x x m =<+,则A B =∅I 的一个充分不必要条件是( )A .2m ≤-B .2m <-C .2m <D .43m -<<- 9.若0a b <<,且0a b +>,则( )A .1a b >-B .110a b +>C .a b <D .()()110a b --<三、填空题10.定义在R 上的函数()f x 满足11222f x f x ⎛⎫⎛⎫+=-- ⎪ ⎪⎝⎭⎝⎭,则1133784848f f f f f ⎛⎫⎛⎫⎛⎫⎛⎫⎛⎫+++⋅⋅⋅++= ⎪ ⎪ ⎪ ⎪ ⎪⎝⎭⎝⎭⎝⎭⎝⎭⎝⎭. 11.若命题“[]1,2x ∃∈-,使得250x mx m +--≥”是假命题,则m 的取值范围是. 12.已知关于x 的不等式0ax b +>的解集为()3,-+∞,则关于x 的不等式20ax bx +<的解集为.13.在ΔABC 中,角,,A B C 所对的边分别为,,a b c ,若B C ∠=∠且2227a b c ++=则ΔABC 面积的最大值为.四、解答题14.命题p :实数x 满足22430x ax a -+<(其中0a >),命题q :实数x 满足12302x x x ⎧-≤⎪⎨+≥⎪-⎩. (1)若1a =,且命题p q 、均为真命题,求实数x 的取值范围;(2)若q 是p 的充分不必要条件,求实数a 的取值范围. 15.已知函数()21x b f x x +=-是定义域()1,1-上的奇函数. (1)确定()f x 的解析式;(2)用定义证明:()f x 在区间()1,1-上是减函数; (3)解不等式()()10f t f t -+<.16.已知函数()23f x x ax =++,R a ∈(1)若函数()1y f x =的定义域为R ,求实数a 的取值范围; (2)若当[]2,2x ∈-时,函数y =a 的取值范围. (3)若函数()()()2g x f x a x a =--+,函数()y g g x =⎡⎤⎣⎦的最小值是5,求实数a 的值. 17.若,(0,)x y ∈+∞,230x y xy ++=.(1)求xy 的取值范围;(2)求x y +的取值范围.18.已知关于x 的函数212y x x =-和22416y x =-.(1)若12y y ≥,求x 的取值范围;(2)若关于x 的不等式()21222y t x t y ≥--≥(其中02t <≤)的解集[],D mn =,求证:n m -。
天津市第二南开学校2024-2025学年高一上学期第一次月考数学试卷一、单选题1.已知{|05,}U x x x =≤≤∈Z ,{1,4,5}M =,{0,3,5}N =,则()U N M ⋂=ð( ) A .{5}B .{0,3}C .{0,2,3,5}D .{0,1,3,4,5}2.设x ∈R ,则“220x x +-≥”是“21-≤x ”的( ) A .充分不必要条件 B .必要不充分条件 C .充要条件D .既不充分也不必要条件3.命题:p “(0,)x ∃∈+∞,210x -≥”,则它的否定p ⌝是( ) A .“(0,)x ∃∈+∞,210x -<” B .“(0,)x ∃∈+∞,210x -≤” C .“(0,)∀∈+∞x ,210x -<”D .“(0,)∀∈+∞x ,210x -≥”4.设a ,b ,c 为实数,且0a b >>,则下列不等式正确的是( ) A .22ac bc >B .b a a b> C .22a ab b >> D .11a b> 5.已知集合{}2|320,R A x x x x =-+=∈,{}|05,N B x x x =<<∈,则满足条件A C B ⊆⊆的集合C 的个数为( ) A .1B .2C .3D .46.不等式22530x x --≥成立的一个必要不充分条件是( ) A .0x ≥B .0x <或x >2C .12x ≤-D .12x ≤-或3x ≥7.设224M a a =-,223N a a =--,则有 A .M N < B .M N ≤ C .M N >D .M N ≥8.某同学解关于x 的不等式20(0)ax bx c a ++<≠时,因弄错了常数c 的符号,解得其解集为(,3)-∞-⋃(2,)-+∞,则不等式20bx cx a ++>的解集为( ) A .11,5⎛⎫-- ⎪⎝⎭B .1(,1),5⎛⎫-∞-⋃-+∞ ⎪⎝⎭C .1,15⎛⎫ ⎪⎝⎭D .1,(1,)5⎛⎫-∞⋃+∞ ⎪⎝⎭9.设0a >,0b >,则下列不等式中一定成立的是( )①2aba b +②111a a +≥+ ③11(2)4a ba b ⎛⎫++≥ ⎪⎝⎭④22a ba b a b +≥++A .1个B .2个C .3个D .4个二、填空题10.设全集{}*010,U x x x N =<<∈,若{}3A B =I ,{}1,5,7U A B ⋂=ð,{}9U U A B ⋂=痧,则集合A =.11.已知集合,,1y A x x ⎧⎫=⎨⎬⎩⎭,{}2,,0B x x y =+,若A B =,则x y +=.12.若1x >-,则31x x ++的最小值是.13.若不等式230ax ax a +++≥在R 上恒成立,则实数a 的取值范围是.14.设集合{}|0A x x m =+≥,{}1|5B x x =-<<,全集R U =,且()U A B ≠∅I ð,则实数m 的取值范围为;15.已知0m >,0n >,且1m n +=,则24m nm n +++的最大值为.三、解答题16.已知集合{27},{210},{5}A xx B x x C x a x a =<<=<<=-<<∣∣∣. (1)求()R ,A B A B I I ð;(2)若C B ⊆,求实数a 的取值范围. 17.求下列不等式的解集. (1)202735x x <---<; (2)1123x x +≤- 18.设R m ∈,已知集合1544A x x ⎧⎫=+<⎨⎬⎩⎭,(){}2220B x x m x m =+--<(1)当1m =时,求A B U ;(2)若“x B ∈”是“x A ∈”的必要不充分条件,求m 的取值范围. 19.已知0a >,0b >.(1)若不等式313ma b a b+≥+恒成立,求m 的最大值;(2)若228a b ab ++=,求2+a b 的最小值. 20.(1)已知3412x y +=,求xy 的最大值; (2)已知1x >-,求27101x x y x ++=+的最小值.。
天津外大附校2023-2024学年度第一学期高一年级数学学科质量检测一、选择题(共8小题,每小题5分,共40分。
在每小题给出的四个选项中只有一项是正确的)1.下列4;②;③;④,正确个数为:( )A.1B.2C.3D.42.已知集合,,,则的子集共有( )A.2个B.4个C.6个D.8个3.已知集合,则“”是“”的( )A.充分不必要条件 B.必要不充分条件C.充要条件D.既不充分也不必要条件4.命题“,”的否定是( )A., B.,C., D.,5.命题,,若命题p 是假命题,则实数a 的取值范围是( )A. B. C. D.6.已知集合为实数,且,为实数,且,则的元素个数为( )A.无数个B.3C.2D.17.如图,1为全集,M 、P 、S 是1的三个子集,则阴影部分所表示的集合是( )A. B.C. D.8.设集合,,则下列选项中,满足的实数的取值范围是( )R ∈Z Q ∈0∈∅{0}∅⊆{}0,1,2,3,4M ={}1,3,5N =P M N = P {1,},{1,2,3}A a B ==3a =A B ⊆[)0,x ∀∈+∞30x x +≥(,0)x ∀∈-∞30x x +<(,0)x ∀∈-∞30x x +≥[)0,x ∃∈+∞30x x +<[)0,x ∃∈+∞30x x +≥:p x ∃∈R 2210ax x ++={}1a a ≥{}1a a <{}1a a >{}1a a ≤{(,),A x y x y =}2y x ={(,),B x y x y =}1x y +=A B ()M P S ()M P S ()I M P C S()I M P C S{}11,A x a x a x =-<<+∈R {}15,B x x x =<<∈R A B =∅ aA. B.,或C. D.,或二、填空题(共4小题,每小题5分,共20分。
2024-2025学年河北省保定一中高一(上)第一次月考数学试卷一、单选题:本题共8小题,每小题5分,共40分。
在每小题给出的选项中,只有一项是符合题目要求的。
1.若集合A={x∈Z|4x−x2>0},则满足A⋃B={1,2,3,4,5}的集合B的个数为( )A. 2B. 4C. 8D. 162.设函数f(x)={x+2,(x<0)3x+1,(x≥0),则f[f(−2)]=( )A. 3B. 1C. 0D. 133.已知a>0,b>0,则“a+b=1”是“1a +4b≥9”的( )A. 充分不必要条件B. 必要不充分条件C. 充要条件D. 既不充分也不必要条件4.下列图象中,表示定义域、值域均为[0,1]的函数是( )A. B.C. D.5.已知a<0,−1<b<0,则有( )A. ab>ab2>aB. ab2>ab>aC. ab>a>ab2D. a>ab>ab26.已知命题p:a−4a≤0,命题q:不等式ax2+ax+1≤0的解集为⌀,则p成立是q成立的( ) A. 充分不必要条件 B. 必要不充分条件C. 充要条件D. 既不充分也不必要条件7.已知1≤a≤2,3≤b≤5,则下列结论错误的是( )A. a+b的取值范围为[4,7]B. b−a的取值范围为[2,3]C. ab的取值范围为[3,10]D. ab 的取值范围为[15,23]8.关于x的不等式x2−(a+1)x+a<0的解集中恰有2个整数,则实数a的取值范围是( )A. [−2,−1)∪(3,4]B. [−2,−1]∪[3,4]C. (−1,0)∪(2,3)D. [−1,0]∪[2,3]二、多选题:本题共3小题,共18分。
在每小题给出的选项中,有多项符合题目要求。
9.下列各组函数中,是相同函数的是( )A. f(x)=x 2,x ∈{−1,0,1}与g(x)={0,x =0,1,x =±1B. f(x)=x ⋅|x|与g(x)={x 2,x ≥0,−x 2,x <0C. f(x)=x 与g(x)= x 2D. f(x)=1x (x >0)与g(x)=x +1x 2+x (x >0)10.下列说法中正确的有( )A. 命题p :∃x 0∈R,x 20+2x 0+2<0,则命题p 的否定是∀x ∈R ,x 2+2x +2≥0B. “|x|>|y|”是“x >y ”的必要条件C. 命题“∀x ∈Z ,x 2>0”的是真命题D. “m <0”是“关于x 的方程x 2−2x +m =0有一正一负根”的充要条件11.若函数f(x)={x 2−2x,x ≥a,−x,x <a,存在最小值,则实数a 的可能取值为( )A. −1B. 1C. 2D. 3三、填空题:本题共3小题,每小题5分,共15分。
海南省海口市海南中学2024-2025学年高一上学期第一次月考数学试卷一、单选题1.已知集合{Z|||1}A x x =∈≤,*{N |12}B x x =∈-≤≤,则A B =U ( )A .{}0,1B .{}1,0,1-C .{}1,0,1,2-D .{}0,1,2 2.已知命题p :x ∀∈R ,3210x x +->,则p ⌝为( )A .0x ∃∈R ,300210x x +-≤B .0x ∃∈R ,300210x x +-< C .x ∀∈R ,3210x x +-≤D .x ∀∈R ,3210x x +-<3.“a b >”是“a b >”的条件A .充分不必要B .必要不充分C .充要D .既不充分也不必要 4.已知方程()2250x m x m ++++= 有两个正根,则实数m 的取值范围是A .2m <-B .4m ≤-C .5m >-D .54m -<≤- 5.甲、乙、丙、丁四位同学在玩一个猜数字游戏,甲、乙、丙共同写出三个集合:{02}A x x =<∆<∣,{35}B x x =-≤≤∣,203C x x ⎧⎫=<<⎨⎬⎩⎭,然后他们三人各用一句话来正确描述“∆”表示的数字,并让丁同学猜出该数字,以下是甲、乙、丙三位同学的描述,甲:此数为小于5的正整数;乙:x B ∈是x A ∈的必要不充分条件;丙:x C ∈是x A ∈的充分不必要条件.则“∆”表示的数字是( )A .3或4B .2或3C .1或2D .1或36.已知集合1,Z 44k M x x k ⎧⎫==+∈⎨⎬⎩⎭,集合1,Z 84k N x x k ⎧⎫==-∈⎨⎬⎩⎭,则( ) A .M N ⋂=∅ B .M N ⊆ C .N M ⊆ D .M N M ⋃=7.若不等式()()224230a x a x -+-+>的解集为R ,则实数a 的取值范围是( )A .1124a a ⎧⎫<<⎨⎬⎩⎭B .{2a a ≤∣或11}4a > C .{2a a <∣或11}4a > D .1124a a ⎧⎫≤<⎨⎬⎩⎭ 8.对于给定的实数a ,关于实数x 的一元二次不等式()()10a x a x -+>的解集不可能为( ) A .∅ B .{}1- C .(),1a - D .()(),1,a -∞-+∞U二、多选题9.已知16,38a b -<<<<,则下列结果正确的有( )A .123a b -<<B .214a b <+<C .42a b -<-<-D .348ab -<< 10.下列结论正确的是( )A .当0x ≥时,1121x x ++≥+ B .当0x >2≥ C .1x x+的最小值为2D2 11.在整数集Z 中,被5除所得余数为k 的所有整数组成一个“类”,记为[]k ,即[]{}5Z k n k n =+∈,0k =、1、2、3、4,给出如下四个结论,其中正确结论的是( )A .[]20211∈B .[]133-∈C .若整数a 、b 属于同一“类”,则[]0a b -∈D .若[]0a b -∈,则整数a 、b 属于同一“类”三、填空题12.已知集合{}22,2,A a a a =--,若2A ∈,则a =.13.不等式253x ≤-的解集是. 14.方程230x kx k -++=的两个根均大于2,则k 的取值范围是四、解答题15.已知非空集合{}{}2112,320()A x a x a B x x x a R =+≤≤-=++≥∈. (1)若1a =-,求()R A B ⋂ð;(2)若“x A ∈”是“x B ∈”的充分不必要条件,求a 的取值范围.16.一般认为,民用住宅的窗户面积必须小于地板面积,但窗户面积与地板面积的比应不小于10%,而且这个比值越大,采光效果越好.(1)若一所公寓窗户面积与地板面积的总和为2330m ,则这所公寓的窗户面积至少为多少平方米?(2)若同时增加相同的窗户面积和地板面积,公寓的采光效果是变好了还是变坏了? 17.已知关于x 的不等式220ax x ++<(a ∈R ).(1)若220ax x ++<的解集为{|1x x >或}x b <,求实数a ,b 的值;(2)求关于x 的不等式223ax x ax ++<+的解集.18.某企业采用新工艺,把企业生产中排放的二氧化碳转化为一种可利用的化工产品.已知该单位每月的处理量最少为400吨,最多为600吨,月处理成本y (元)与月处理量x (吨)之间的函数关系可近似的表示为21200800002y x x =-+,且每处理一吨二氧化碳得到可利用的化工产品价值为100元.(1)该单位每月处理量为多少吨时,才能使每吨的平均处理成本最低?(2)该单位每月能否获利?如果获利,求出最大利润;如果不获利,则国家至少需要补贴多少元才能使该单位不亏损?19.已知正实数集{}12,,,n A a a a =L ,定义:{}2,i j i j A a a a a A =∈称为A 的平方集.记()n A 为集合A 中的元素个数.(1)若{}1,2,3,4A =,求集合2A 和()2n A ; (2)若()22016n A =,求min ()n A ;(3)求证:()()221n A n A ≥-,并指出取等条件.。
2024-2025学年高一上学期第一次月考数学试卷(基础篇)参考答案与试题解析第I卷(选择题)一、单项选择题:本题共8小题,每小题5分,共40分,在每小题给出的四个选项中,只有一项是符合要求的。
1.(5分)(24-25高一上·河北廊坊·开学考试)下列各组对象能构成集合的是()A.2023年参加“两会”的代表B.北京冬奥会上受欢迎的运动项目C.π的近似值D.我校跑步速度快的学生【解题思路】根据集合的定义依次判断各个选项即可.【解答过程】对于A:2023年参加“两会”的代表具有确定性,能构成集合,故A正确;对于B:北京冬奥会上受欢迎的运动项目,没有明确的标准,即对象不具有确定性,不能构成集合,故B 错误;对于C:π的近似值,没有明确的标准,即对象不具有确定性,不能构成集合,故C错误;对于D:我校跑步速度快的学生,没有明确的标准,即对象不具有确定性,不能构成集合,故D错误;故选:A.2.(5分)(23-24高一上·北京·期中)命题pp:∀xx>2,xx2−1>0,则¬pp是()A.∀xx>2,xx2−1≤0B.∀xx≤2,xx2−1>0C.∃xx>2,xx2−1≤0D.∃xx≤2,xx2−1≤0【解题思路】全称量词命题的否定为存在量词命题,求解即可.【解答过程】因为命题pp:∀xx>2,xx2−1>0,所以¬pp:∃xx>2,xx2−1≤0.故选:C.3.(5分)(23-24高二下·福建龙岩·阶段练习)下列不等式中,可以作为xx<2的一个必要不充分条件的是()A.1<xx<3B.xx<3C.xx<1D.0<xx<1【解题思路】利用必要不充分条件的意义,逐项判断即得.【解答过程】对于A,1<xx<3是xx<2的不充分不必要条件,A不是;对于B,xx<3是xx<2的一个必要不充分条件,B是;对于C,xx<1是xx<2的一个充分不必要条件,C不是;对于D,0<xx<1是xx<2的一个充分不必要条件,D不是.故选:B.4.(5分)(24-25高三上·山西晋中·阶段练习)下列关系中:①0∈{0},②∅ {0},③{0,1}⊆{(0,1)},④{(aa,bb)}= {(bb,aa)}正确的个数为()A.1 B.2 C.3 D.4【解题思路】根据元素与集合、集合与集合之间的关系分析判断.【解答过程】对于①:因为0是{0}的元素,所以0∈{0},故①正确;对于②:因为空集是任何非空集合的真子集,所以∅ {0},故②正确;对于③:因为集合{0,1}的元素为0,1,集合{(0,1)}的元素为(0,1),两个集合的元素全不相同,所以{0,1},{(0,1)}之间不存在包含关系,故③错误;对于④:因为集合{(aa,bb)}的元素为(aa,bb),集合{(bb,aa)}的元素为(bb,aa),两个集合的元素不一定相同,所以{(aa,bb)},{(bb,aa)}不一定相等,故④错误;综上所述:正确的个数为2.故选:B.5.(5分)(24-25高三上·江苏南通·阶段练习)若变量x,y满足约束条件3≤2xx+yy≤9,6≤xx−yy≤9,则zz=xx+2yy的最小值为()A.-7 B.-6 C.-5 D.-4【解题思路】利用整体法,结合不等式的性质即可求解.【解答过程】设zz=xx+2yy=mm(2xx+yy)+nn(xx−yy),故2mm+nn=1且mm−nn=2,所以mm=1,nn=−1,故zz=xx+2yy=(2xx+yy)−(xx−yy),由于3≤2xx+yy≤9,6≤xx−yy≤9,所以3+(−9)≤2xx+yy−(xx−yy)≤9+(−6),−6≤xx+2yy≤3,故最小值为−6,此时xx=4,yy=−5,故选:B.6.(5分)(23-24高二下·云南曲靖·期末)已知全集UU={1,3,5,7,9},MM=�xx|xx>4且xx∈UU},NN={3,7,9},则MM∩(∁UU NN)=()A.{1,5}B.{5}C.{1,3,5}D.{3,5}【解题思路】先求出MM,∁UU NN,再求MM∩(∁UU NN),【解答过程】因为UU={1,3,5,7,9},MM=�xx|xx>4且xx∈UU},所以MM={5,7,9},因为UU={1,3,5,7,9},NN={3,7,9},所以∁UU NN={1,5},所以MM∩(∁UU NN)={5}.故选:B.7.(5分)(23-24高一上·陕西渭南·期末)已知不等式aaxx2+bbxx+2>0的解集为{xx∣xx<−2或xx>−1},则不等式2xx2+bbxx+aa<0的解集为()A.�xx�−1<xx<12�B.{xx∣xx<−1或xx>12}C.�xx�−1<xx<−12�D.{xx∣xx<−2或xx>1}【解题思路】根据给定的解集求出aa,bb,再解一元二次不等式即得.【解答过程】由不等式aaxx2+bbxx+2>0的解集为{xx∣xx<−2或xx>−1},得−2,−1是方程aaxx2+bbxx+2=0的两个根,且aa>0,因此−2+(−1)=−bb aa,且−2×(−1)=2aa,解得aa=1,bb=3,不等式2xx2+bbxx+aa<0化为:2xx2+3xx+1<0,解得−1<xx<−12,所以不等式2xx2+bbxx+aa<0为{xx|−1<xx<−12}.故选:C.8.(5分)(24-25高三上·江苏徐州·开学考试)已知aa>bb≥0且6aa+bb+2aa−bb=1,则2aa+bb的最小值为()A.12 B.8√3C.16 D.8√6【解题思路】根据题意可知2aa+bb=32(aa+bb)+12(aa−bb),根据乘1法结合基本不等式运算求解. 【解答过程】因为aa>bb≥0,则aa+bb>0,aa−bb>0,且2aa+bb=32(aa+bb)+12(aa−bb),则2aa+bb=�32(aa+bb)+12(aa−bb)��6aa+bb+2aa−bb�=10+3(aa−bb)aa+bb+3(aa+bb)aa−bb≥10+2�3(aa−bb)aa+bb⋅3(aa+bb)aa−bb=16,当且仅当3(aa−bb)aa+bb=3(aa+bb)aa−bb,即aa=8,bb=0时,等号成立,所以2aa+bb的最小值为16.故选:C.二、多项选择题:本题共3小题,每小题6分,共18分,在每小题给出的四个选项中,有多项符合题目的要求,全部选对的得6分,部分选对的得部分分,有选错的得0分。
2024-2025学年陕西省西安市高新一中高一(上)第一次月考数学试卷一、单选题:本题共8小题,每小题4分,共32分。
在每小题给出的选项中,只有一项是符合题目要求的。
1.设全集U={1,3,5,6,8},A={1,6},B={5,6,8},则(∁U A)∩B=( )A. {6}B. {5,8}C. {6,8}D. {3,5,6,8}2.已知集合M={x|x2−4<0},N={x|x−2x<0},则下列关系正确的是( )A. M=NB. M⫋NC. N⫋MD. M∩N=⌀3.命题“∃x0∈R,x3−x2+1>0”的否定是( )A. ∀x∈R,x3−x2+1≤0B. ∃x0∈R,x3−x2+1<0C. ∃x0∈R,x3−x2+1≤0D. 不存在x∈R,x3−x2+1>04.“x≥1”是“x+1x≥2”的( )A. 充分而不必要条件B. 必要而不充分条件C. 充要条件D. 既不充分又不必要条件5.在R上定义运算⊙:x⊙y=x(1−y).若不等式(x−a)⊙(x+a)<1对任意实数x成立,则( )A. −1<a<1B. 0<a<2C. −12<a<32D. −32<a<126.实数a,b满足a>0,b>0且a+b=3,则1a+1+4b+2的最小值是( )A. 1B. 53C. 43D. 327.若对任意a∈[−1,1],不等式x2+(a−3)x−3a>0恒成立,则x的取值范围是( )A. 1<x<3B. −1<x<3C. x<1或x>3D. x<−1或x>38.已知a>b,二次三项式ax2+2x+b≥0对于一切实数x恒成立,又∃x0∈R,使ax20+2x0+b=0成立,则a2+b2a−b的最小值为( )A. 1B. 2C. 2D. 22二、多选题:本题共3小题,共15分。
安平中学2024-2025学年第一学期第一次月考高一年级数学试题一、选择题:本题共8小题,每小题5分,共40分。
在每小题给出的四个选项中,只有一项是符合题目要求的。
1.已知集合,,则A .B .C .D .22.命题“”的否定是A .B .C .D .3.满足的集合的个数A .4B .8C .15D .164.已知,且,,,则取值不可能为A. B. C. D. 5.已知,,若,则A. 2 B. 1 C. D. 6.若则一定有A .B .C .D .7.命题“,”为真命题的一个充分不必要条件是A . B . C . D .8.某单位周一、周二、周三开车上班的职工人数分别是14,10,8.若这三天中至少有一天开车上班的职工人数是20,则这三天都开车上班的职工人数的最大值是A. 6B. 5C. 7D. 8二、选择题:本题共3小题,每小题6分,共18分。
在每小题给出的选项中,有多项符合题目要求。
全部选对的得6分,部分选对的得部分分,有选错的得0分。
9.下面命题正确的是{}2,1,0,1,3M =--{}32N x x =-≤≤M N ⋂={}2,1,0,1--∅{}2,1,1--0x x x ∃∈+R ,<0x x x ∃∈+R ,≤0x x x ∃∈+R ,≥0x x x ∀∈+R ,<0x x x ∀∈+R ,≥{}{}11234A ⊆⊆,,,Z a ∈{(,)|3}A x y ax y =-≤(2,1)A ∈(1,4)A -∉a 1-012{}1,,A x y ={}21,,2B x y =A B =x y -=14230,0,a b c d >><<a b c d >a b c d <a b d c >a b d c<{}21≤≤∈∀x x x 20x a -≤4a ≥5a ≥4a ≤5a ≤A .“”是“”的充分不必要条件B .“”是“二次方程有一正根一负根”的充要条件C .“且”是“”的充要条件D .设,则“”是“”的必要不充分条件10.下列四个命题中正确的是A .若,则B .若,则C .若,则D .若,则11.已知集合,,且,,则下列判断正确的是A .B .C .D .三、填空题:本题共3小题,每小题5分,共15分。
高一数学月考试卷(一)(满分:100分,考试时间:90分钟)考生注意:请把选择题、填空题答案填入答题卷(二)相应的方框内或横线上,否则不给分。
只需将答题卷(二)上交,答题卷(一)由各自保管,不必上交。
一、选择题:(本大题共20小题,每小题3分,总共60分。
在每小题给出的四个选项中,只有一项是符合要求的,请把答案填入答题卷(二)相应的方框内。
) 1、若集合}{c b a M ,,= 则有( )(A){a }M ∈ (B) M c ∈ (C)M b ⊂ (D) c ={c } 2、如果}{5>=x x M ,}{7<=x x N ,那么M ∩N = ( ) (A) }{6 (B) }{5>x x (C)}{7<x x (D)}{75<<x x 3、已知全集U=R, }{53<≤-=x x M ,则 M = ( ) (A) }{53≥-<x x x 或 (B) }{53>-≤x x x 或 (C) }{53≥-<x x x 且 (D) }{53>-≤x x x 且 4、不等式 41>-x 的解集为( )(A) }{3-<x x (B) }{53<<-x x (C) }{5>x x (D) }{53>-<x x x 或 5、以下命题是真命题的是( )(A) }{0是空集 (B) 方程032=-x x 的根为自然数 (C) }{092≤-∈x N x 是无限集 (D) 空集是任何集合的真子集6、b a > ,则 22b a > ”的逆否命题是( )(A )“若22b a >,则b a > ” (B)“若 b a ≤ ,则 22b a ≤ ” (C) “若22b a < ,则b a < ” (D)“若 22b a ≤ ,则 b a ≤ ”7、x > 1是022>-+x x 的( )(A)充分不必要条件 (B) 必要不充分条件(C) 充要条件 (D) 既不充分也不必要条件8、下列函数中哪个与 y=x 函数是同一个函数( )(A) 2)(x y = (B) xx y 2= (C) 33x y = (D)2x y =9、设函数3)(x x f =与函数,)(2-=x x f 则它们是( ) (A )同为奇函数 (B) 同为偶函数(C) 同为非奇非偶函数 (D) 一为奇函数一为偶函数10、不等式 121≤-x x 的解集是( )(A) }{1-≥x x (B)}{1-≤x x (C) }{01≤≤-x x (D)}{01>-≤x x x 或 11、函数31-=x y 是( )(A ) 是(3,+∞)上的增函数 (B)是[)+∞,3的增函数 (C ) 是(3,+∞)上的减函数 (D) 是[)+∞,3上的减函数 12、已知12)(+=x x f ,则)2(1-f 的值为( )(A) 5 (B) 21 (C) 23 (D) 5113、已知映射:f M →N ,使集合N中的元素2x y =与集合M中的元素x 对应,要使映射:f M →N 是一一映射,那么M,N可以是 ( ) (A) M=R,N=R (B) M=R,N=}{0≥y y (C) M=}{0≥x x ,N=R (D) M=}{0≥x x ,N=}{0≥y y 14、命题“若m>0,则02=-+m x x 有实根”与它的逆命题、否命题、逆否命题这四个命题中,假命题的个数有( )(A)0 (B)1 (C)2 (D)4 15、函数)1(12-≤-=x x y 的反函数是( )(A))0(12≥+=x x y (B))0(12≤+=x x y (C) )0(12≥+-=x x y (D))0(12≤+-=x x y16、函数3312-+-=x x y 是( )(A )是奇函数非偶函数 (B) 是偶函数非奇函数 (C) 是奇函数又是偶函数 (D) 是非奇非偶函数 17、若12)3(2++=-x x x f ,则=+)3(x f (A) 1682++x x (B) 242+-x x (C) 49142++x x (D) 49142+-x x18、若)(x f y =的定义域是[]8,1-则的)52(-=x f y 定义域 是( )(A) []8,1- (B) ⎥⎦⎤⎢⎣⎡-23,3 (C) ⎥⎦⎤⎢⎣⎡-213,3 (D) ⎥⎦⎤⎢⎣⎡213,219、已知函数2)1(2)(2+-+=x a x x f 在区间[)+∞,4上是增函数,则实数a 的取值范围是( )(A) 3-≥a (B) 3-≤a(C)5≤a(D)3≥a20、已知)(x f 是奇函数,当0>x 时,)1()(x x x f -=,则当0<x 时,=)(x f ( )(A) )1(-x x (B) )1(+x x (C) )1(--x x (D) )1(+-x x二、填空题:(本大题共5小题,每小题3分,总共15分。
请把答案填在答题卷(二)中相应的横线上。
) 21、设 集合A=}{92>x x ,集合B=}{1<x x 则A ∪B=___ 22、写出命题“x=0或y=0”的“非P”形式的复合命题是___ 23、(x,y )在映射f 下的象是(x+y ,x-y ),则(1,2)在f 下的原象是____ 24、函数211-+-=x x y 的定义域为______(用区间表示) 25、函数322-+=x x y 的单调递增区间是___(用区间表示)第二学期学年2003高一数学月考试答题卷(二)(满分:100分,考试时间:90分钟)一、选择题:(本大题共20小题,每小题3分,总共60分。
在每小题给出的四个选项中,只有一项是符合要求的,请把答案填入相应的方框内。
)二、填空题:(本大题共5小题,每小题3分,总共15分。
请把答案填在题中相应横线上。
)21__________22__________23_________24__________25__________三、解答题:(本大题共5小题,共25分。
解答时应写出文字说明、证明过程或演算步骤。
) 26、(满分4分)求函数)0(2≥+=x x y 的反函数)(1x f -,并判断点)1,1(P 是否在反函数)(1x f y -=的图象上?请说明理由。
27、(满分4分)定义域为}{1±≠∈x R x 的函数)(x f ,)(x g 满足条件:(1))(x f 是偶函数,)(x g 是奇函数(2)11)()(-=+x x g x f 求)(x f 和)(x g 的解析式。
28、(满分5分)用反证法证明:如果0>>b a ,那么b a >。
29(满分6分)已知函数)(-∞上是增函f是奇函数,而且在)0,(x数,那么在),0(+∞上是增函数还是减函数?试证明你的结论。
30、(满分6分)“依法纳税是每个公民应尽的义务”。
国家征收个人工资、薪金所得税是分段计算的,总收入不超过800元的,免征个人工资、薪金所得税;超过800元部分需征税,设全月纳税所得额为x,x=全月总收入Array -800元,税率见右表:(1)若交纳税额为)f,(x试用分段函数表示1~2级纳税额)f的计算公式;(x(2)某人xx年10月份工资总收入xx元,试计算出此人10月份应缴纳个人所得税为多少元?艾青中学第二学期学年2003高一数学月考试卷评分标准一、选择题:(本大题共20小题,每小题3分,总共60分。
每答对一题给3分,不对不给分。
)(本大题共5小题,每小题3分,总共15分。
每答对一题给3分,不对不给分。
)21 }{31><x x x 或 22 00≠≠y x 且 23 )21,23(-24 ),2()2,1[+∞⋃ 25 ),1[+∞三、解答题:(本大题共5小题,共25分。
解答过程按相应步骤给分。
)26、(满分4分)求函数)0(2≥+=x x y 的反函数)(1x f-,并判断点)1,1(P 是否在反函数)(1x fy -=的图象上?请说明理由。
解:由)0(2≥+=x x y 移项平方得2)2(-=y x ………1分互换y x 、位置得,原函数)0(2≥+=x x y 的反函数为)2()2()(21≥-==-x x x fy ………2分∵点)1,1(P 的横坐标为1,而 ),2[1+∞∉ ………3分 ∴点)1,1(P 不在反函数)(1x fy -=的图象上 ………4分27、(满分4分)定义域为}{1±≠∈x R x 的函数)(x f ,)(x g 满足条件: (1))(x f 是偶函数,)(x g 是奇函数(2)11)()(-=+x x g x f 求)(x f 和)(x g 的解析式。
解:∵)(x f 是偶函数,)(x g 是奇函数∴)()(x f x f =-……①,)()(x g x g -=-………② ……1分∵对任意1±≠∈x R x 且有11)()(-=+x x g x f ……③成立 ∴对任意1±≠∈-x R x 且有11)()(--=-+-x x g x f …④成立…2分将①②代入④得11)()(--=-x x g x f ……⑤ ………3分由③⑤得1)(,11)(22-=-=x xx g x x f ………4分 28、(满分5分)用反证法证明:如果0>>b a ,那么b a >。
证明:假设a 不大于b ,即b a ≤……1分∵0,0>>b a ∴0,0>>b a ∴a b a a ≤ ……①…2分∴b b b a ≤………② ………3分由①②得 b a ≤ ………4分 这与已知条件0>>b a 矛盾,∴假设不成立,即 b a > ……5分(其余解答相应给分)29(满分6分)已知函数)(x f 是R 上的奇函数,而且在)0,(-∞上是增函数,那么在),0(+∞上是增函数还是减函数?试证明你的结论。
答:函数)(x f 在),0(+∞上是增函数 ……1分 证明如下:任取21x x <,且),0(,21+∞∈x x 则12x x -<-且)0,(,21-∞∈x x , ……2分 而)(x f 在)0,(-∞上是增函数∴)()(12x f x f -<-……① 成立…3分 又∵函数)(x f 是R 上的奇函数,∴)()(11x f x f -=-,…②)()(22x f x f -=-……③ ………4分把②③代入①得 )()(12x f x f -<- ……5分∴)()(21x f x f <∴函数)(x f 在),0(+∞上是增函数……6分30、(满分6分)“依法纳税是每个公民应尽的义务”。