2011湖北重点高中高考成绩
- 格式:doc
- 大小:101.00 KB
- 文档页数:6
善慎始终求规范,彰显影响攀新高——2011年高考回眸发表单位:时间:2011-09-13 点击次数:22122008年,武汉市中考位置值的延续年;我们如履薄冰的开始了三年攀高之旅。
2011年,湖北省高考传统课程终结年;二中毫无愧怍的交出了高考辉煌之卷。
—36位奥赛保送生,绝对人数无可置疑的江岸第一,江北第一,全省第一;—21位保送生直升清华、北大,15位保送生直升中科大、浙大、复旦等七大名校,无可置疑的江岸第一,江北第一,全省第一;—高考裸考清华、北大人数,无可置疑的江岸第一,江北第一,全省前二;—高考裸考理科人均分超过600分,无可置疑的江岸第一,江北第一,全省前二;—81.1%本校理科一本率,66%的文科一本率,无可置疑的江岸第一,江北第一,全省前二;—62%的600分率,无可置疑的江岸第一,江北第一,全省前二;……这一系列的数据彰显了二中在全省绝对化的影响力,在全国最大化的影响力,在全世界扩大化的影响力。
—彰显了规范学习行为、教学行为、师生行为、反思行为、分享行为,可以改变自己,跃升新的高度;—彰显了规范师德管理、过程管理、务实管理、策效管理、优化管理,可以提升自我,开拓新的界域;—彰显了规范主体精神、登山精神、团队精神、科学精神、人本精神,可以铸造辉煌,求索新的影响。
这是2011届高三人的骄傲!这是二中人可引为之的光荣!更是所有二中人永远的荣光!一、保送清华大学(9人)翁谋毅谷嘉文杨志胡晓晓孙占杨文康涂梦纯周玥陈威北京大学(12人)陈康严煜蔡金旭薛丁川张宇辉罗园邢竹天吴嘉瑞文吉程子桐蔡振宇黄宏鸣吴比亚中国科学技术大学(4人)张晨鸥高寒李一苇杨万山浙江大学(7人)余逸尘王沈逸吴超逸陈思媛陈俊宇张健豪姚蕴津上海交通大学李昶宇邓希瓦复旦大学傅一笛中国人民大学卢韵秋二、提前批院校香港中文大学谢玉心(高考687,放弃清华、北大录取,获香港中文大学全额奖学金)中央音乐学院万幸子武汉音乐学院孟璐田鑫伟解放军电子工程学院胡钧航解放军理工大学周子健空军雷达学院姚泽鹏海军工程大学刘洋修军事交通学院王翰林张睿刘源军事经济学院肖煌彬吉曼尧向鑫三、第一批重点院校清华大学(14人)翁谋毅谷嘉文杨志胡晓晓孙占杨文康涂梦纯周玥张行程杨阳冯壮段瑞琦陈璐陈威北京大学(17人)陈康严煜蔡金旭薛丁川张宇辉罗园邢竹天吴嘉瑞文吉程子桐蔡振宇黄宏鸣吴比亚李一蕾刘菲许月怡范子矜中国科学技术大学(10人)张晨鸥高寒李一苇杨万山方正豪张昊邵雪盈王力为韩羽夏熙浙江大学(15人)余逸尘王沈逸吴超逸陈思媛陈俊宇张健豪姚蕴津熊天琪吴旋舒婷李爽范怡雄赵雁飞杨建潘柳萌上海交通大学(11人)李昶宇邓希瓦陈珂程诗音邱雨晗雷萌吴恩隆易宇驰尤佳欣刘歆怡陈致中复旦大学(6人)傅一笛柳芸秦雨舟周童张子恒邹宇翔中国人民大学(4人)卢韵秋陈雪春周谐宇陶韬香港侵会大学贾蚁蒙香港理工大学聂旎北京中医药大学黄珮闻北京化工大学张一彭切瑞北京科技大学董立夫北京理工大学姚雪雯雷融邹舸北京航空航天大学徐俊哲王瑞捷周末汪鸣晨吴晞北京邮电大学张俊喆项晓菲袁文韬中国传媒大学赵心怡王戎飞张佳俊钟雅琴刘畅顿新权华北电力大学蒋浩晨李晓璇同济大学张青天华东理工大学金鑫马一帆丁云轩华东师范大学刘欢华东交通大学杜威上海财经大学杨君实邱婧雯袁泉郑洁君詹诗源上海海事大学余捷罗斯达江南大学周倜河海大学生悦诚冯志勇陈柯兵中国药科大学胡文菁陈磊闫亚飞西交利物浦大学王钦余梦菲张广达南开大学胡逸凡程安琪张博雯天津大学何知纬天津外国语学院柳晴蔚中国民航大学刘梦琪程博森喻之畅中山大学刘娜张安格暨南大学孙奥伍悦灵重庆大学胡旭周宜喆山东大学陈昊东北大学秦皇岛分校胡笑聃大连理工大学张乔丹赵喆袁梦东北大学陈诗楠大连海事大学张波大连医科大学都孟仪吉林大学田逸飞哈尔滨工业大学汪子奇谢天桂雨洋黄志松程炀西安交通大学李徵王西米王子冠赵瑞王同舟秦迪飞周佳恒任力曾伟陈婕李桂林王钰捷邱伟豪王亦尘易倍洋汪忠健同柯西北工业大学魏科比郑一伦西北农林科技大学刘嘉伟钱思羽宁波诺丁汉大学徐海栋厦门大学马成张文典华侨大学张玉甦南昌大学曹博雅梁园长沙理工大学李曦赵诗琰西南交通大学赵睿杨鹏王放贵州大学樊春晖张云君云南大学吴思哲武汉大学(93人)徐昀泽张轸歌郭凤娇袁夏梦刘凡王彦忻陈曦尹力李哲祺周诗蕊马颖张璟周子宸邱露颖孙筱月范翔孙晓筱陈雨凡黄德凯张卓然徐坤黄靖开蔡熠阳张天浩高萌杨楫揭元翔柳毅德邵弋张圣语李颖李舒戈蔡烨彬邓奕光汪一帆姚楚君汪文琪吴雨桐李康儒李勖王磊王爽彭子凌陈容慧刘东刘志帆章飞陈顺亮凃逍羽廖依文喻涵邵曼青李乐王晨钱昆柏露彭思缘汪凯达戴大鹏熊诗琪彭天成景奇王晓川何明涛刘曦鸣李宇皓刘颖王茜李丽旻吕礼慧黄竹君王丹墨黄丛吾崔智超杨泽雷皓博刘晨岑朱郁姗骆杰轩李行之陈遥付黎俊许忱澄周谊谢霁雯胡傲周钰涵章志恒蒲坚龚婧媛田维黄晨煜刘颖华中科技大学(96人)肖寒程然何理汪行魏莱何逸加谢佩瑶杨熹鸣梁晓晨王珞邢圣婴肖洒江雨澄傅赛伦黄康立张瑞琪饶晨辛梦露陈楠姚萌杨亦力张宇嵩陈梦绮汤佩雯方乾桐龚凡黄冠刘慧龙杜杨周绍祥金琰祺雷子淦李丹琳李晶玲何晨颖刘本熙赵紫光方开俊殷威张冠一金晨曦王昊夏瑜谢楚川郭晓睿张立琨汤欣祎沈征征刘肇泽王琪鑫陈怡君詹彦娄晓彤田慧琳黎文星荣雪宁涂宇扬姚仕辉徐邦智刘坪俞诗凡李非凡叶虹刘书婷郭浩然孙焜王冉洁丁卉雨王志远夏仲姚阳阳喻越黄广喆张亚然张兆峰吴晓鸣乐澜赵心怡仲早莺潘凌卉刘畅宋欣怡袁野姚诚丰陈卓吴倩俣金晓柴秉浩李曾卓魏昕彤胡元春吴曈常荣杰肖畅叶晓东付函中南财经政法大学吴思易阳李慧菁付婷戴一航安源郑伟周赟甘辛甘雪婷彭南木子郭晨郑文慧柯心蕊马小砚张碧倩王昕卉朱兆辉姚远李梦航沈逸菲胡柳静吴丽思张思譞杨瑞琨罗忆文肖书畅王施政常欣怡蔡琦彭琪文丹妮黄薇姜柏任郑凯丁雅洁夏天黄齐刘璐孙璐包正华中农业大学周四维王伊凡尚思琪张文博张霈婧熊井然王鸣轩王凯伦刘成成唐嘉浩许珊邹靖周翊璟章伦玮汪曼婷黄雁鸣中国地质大学罗源蔡璐胡一凡曹钰琳余斌张吉廖远为杨长俊李竟成朱磊叶飞宏姚思琪余艺雯武汉理工大学肖子奇林鹰涛郎啸罗思凡李梦玉王泽君董樾常佳辰柯亮张梦晨张文嘉亓晓彤曹元康刘嘉杰鲍嘉威熊航周浩高源刘超熊啸周钰曹骏一廖欣陈卓胡嘉文刘莹邹逸丰陈嵩邓程铭饶弋贺凡吴坷陈张柳邹一麟王文英杜哲叶磊宋扬金英雷宋睿周韵陈一帆游威郑天邱奕龙周雨浓先枫彭佳斌费俊逸吴思怡徐琪郑伟鲁力鲁逸煊徐宪章朱鸿章张文昊陈靖逸李淑浩林文杰黄亦迪华中师范大学杨忻陈静娴张嫣然管欣邓蓉田甜刘凯丽杨斐然郑若辰龙令千王书凡万丝雨王琳夏威曹佳敏武汉科技大学邱添杨乐陈扬邓莫刘恒伟刘森喻文剑江玉至杨雨晗王栋阮鹏飞钱枫石昊林程骄阳於澜邓方志熊鹏飞李思琪郑华丹钟文轩湖北大学高诗涵丁媛代知广李婷婷花鑫王梓吉美妍杨一鑫许振王斯琦朱宇轩陈圆圆覃勉敬温琦刘郡胡立婷中南民族大学代亚兰高斯洁陈亮州刘畅山思龙爽张震寰杨致翔三峡大学(一本专业)段志豪吴继尧阳昕晓洪靖昌潘子君付宇豪乐晟武汉工程大学(一本专业)余靖远罗晓郑斯罗家麒丁佳张力李许元居西子乔筱芸张雄杰吴欢章贝奇卢方祺周巡程元堃彭泉柏隽刘畅何方舟孙维金嘉盛于娜李陈时轩吴悠钟骁曹庆聪杨蕾胡凌子余毅湖北中医药大学樊昱杉蔡峤张超颖吴冰欧阳妍雪左文彪陈万博王冠怡。
湖北2011年高考录取分数线公布讯湖北2011年高考录取分数线公布。
分数线已经公布了,你觉得这个分数线是高还是低呢?谈谈你的看法…… [我要评论]
湖北2011年高考成绩查询
你觉得2011年湖北高考分数线高还是
低?
4878 高1501 低
湖北省2010年普通高校招生各批次录取控制分数
线>>详细
科类/批次一本二本三本高职高专(1) 高
职
高
专(2
)
提
前
批
军
事
院
校
本
科
理工557 506 400 360 24 2
文史530 488 413 380 24 2
湖北省2009年普通高校招生各批次录取控制分数线
科类/批
次一
本
二本
(1)
二本
(2)
三
本
高职高专
(1)
高职高专
(2)
提前批军事院校本
科
理工540 506 495 406 382 262。
全国各省高考状元河南省2011年高考状元出炉!】理科状元为固始慈济高中应届毕业生谢远航,总分720分。
文科状元为开封高中毕业生王盼,总分680分。
【湖北省2011年高考状元出炉!】武汉市外国语学校高三(9)班肖钰同学高考成绩为646分,获得湖北省文科状元;襄阳五中王震霆高考成绩为707分,勇夺湖北省高考理科状元!【福建2011年高考状元出炉!】理科原始分状元是厦门外国语学校谢若嫣,总分721;文科原始分状元为漳州一中杨帆,总分668分。
【2011年海南高考状元揭晓】海南中学高三一班刘奕君(女)获得理科状元,文科状元落户文昌中学,名叫王星焘(男),文昌中学高三(8)班学生。
【西安省2011年高考状元出炉!】高新一中的范孟辰同学以687分夺得陕西省高考文科状元;汉中勉县一中李宁宁以709分的好成绩夺得陕西省高考理科状元。
高新一中的高宇婷同学以708分名列陕西省理科第二名。
【陕西省2011年高考状元出炉!】高新一中的范孟辰同学以687分夺得陕西省高考文科状元;汉中勉县一中李宁宁以709分的好成绩夺得陕西省高考理科状元。
高新一中的高宇婷同学以708分名列陕西省理科第二名。
【江苏省2011年高考状元出炉!】理科刘诗雨426分文科孙曦414分【湖南省2011年文科高考状元出炉】湖南高考文科状元来自四大名校之一的长沙一中,何一帆,2011年高考提档分675分,卷面分655,因通过体育类武术特长考试,享受20分的加分政策。
文综252,语文127,数学137,英语147【2011湖南理科状元】长沙同升湖实验学校的杨倩同学,成绩为717分【河北2011文科状元】高媛各科分数:语文126 数学147 英语144 文综合238总分660(含5分少数民族加分)【河北2011理科状元】王亚玉各科分数:语文129 数学150 英语(论坛) 145 理综合289总分:713【浙江省2011年高考状元出炉!】理科状元温州中学施朝(738) 语文121 数学148 英语126 理综289 自选54文科状元杭二中,王子君,687分;舟山中学,朱娴静,687分满分810【2011河北省高考状元】王亚玉衡水中学 713分河北省高考理科状元;高媛衡水中学 660分河北省高考文科状元【北京2011理科状元】人大附中梁思齐各科成绩为:语文123,数学145,英语141,理科综合288,总分697。
武汉市十大名校2011年高考上重点线(一本线)数据
备注:
1、理工第一批本科571分,文史第一批本科547分,高水平运动员本科理工517分、文史507分,艺术本科(一)文化课330分,体育类本科文化课380分。
2、保送、高水平运动员、单招、艺术、体育和飞行员按照一比一计入分析,以湖北招生信息网公示为准,以湖北招生网实际录取为准,按高等学校所在批次计入统计。
3、出国留学生不计入国内高考各批次。
4、大区裸考理科一本,江岸区619人,比率25.1%;江汉区314人,比率20.6%;硚口区313人,比率16.5%;汉阳区299人,比率22.6%;武昌区1165人,比率30.1%;青山区365人,比率20.9%;洪山区63人,比率6.1%;新洲区754人,比率14.1%;黄陂区282人,比率7.9%。
全市合计4641人,比率16.3%。
5、大区裸考文科一本,江岸区101人,比率7.3%;江汉区86人,比率7.9%;硚口区56人,比率4.7%;汉阳区39人,比率4.8%;武昌区260人,比率12.4%;青山区47人,比率6.8%;洪山区28人,比率2.9%;新洲区72人,比率3.0%;黄陂区92人,比率4.7%。
全市合计841人,比率5.2%。
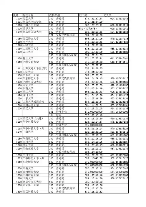
2011年湖北省普通高考成绩一分一段表(理工)对应的相关大学录取表
2011年湖北省普通高考成绩一分一段表(理工)
来源:湖北省教育考试院日期:2011-6-25
湖北省2011年普通高校招生各批次录取控制分数线
科类/批次一本二本三本高职高专(1) 高职高专(2)
理工571 517 410 348 235
文史547 507 430 388 235
一本是第一批次录取的本科大学,多是全国重点大学,有很多是211工程院校。
学校一般要好于二本。
3.2万
二本是指第二批次录取的本科大学,大多数是一般的综合性大学。
4.9万
三本是指第三批次录取的本科大学,大多数是一些大学自主自办的二级学院等,收费比较高。
8万
2011年普通高考文科考生18.5384万人,比去年增加1455人,增长0.8%;理科考生27.6671万人,比去年减少1.2916万人,下降4.5%。
应届生40.9021万人,占总人数的84.4%;往届生7.5747万人,占总人数的15.6%。
湖北2011年高考状元出炉我校高三(9)班肖钰同学以646分获得湖北省文科状元;我校高三(1)班李健同学以706分获得武汉市理科状元(全省第二名,与第一名仅差1分);我校高三(10)班毕然同学以637分获得湖北省文科第三名;全市理科前十,我校占四席(第一、第四、第七、第八);全市文科前十,我校占五席(第一、第二、第四、第七、第十)武汉外国语学校再次囊括文理双状元!热烈祝贺襄阳五中新校区首届高三毕业生2011年高考喜迎“开门红”:王震霆同学以707分的成绩勇夺全省理科状元,史翔坤以629分的成绩摘取全市文科桂冠,全市文理科高考状元再次同时花落五中!2011年湖北高考文科状元:努力争取挑战自我湖北省和武汉市的双料文科状元肖钰姓名:肖钰生日:1993年1月8日母校:武汉外国语学校高考总分:646分各科成绩:语文136数学138英语140文综232爱好:上网、看书、打羽毛球座右铭:无在见到肖钰的时候他正处于一大群记者之间接受采访,在簇拥之下肖钰显得从容大方并有着比同龄人更多的成熟和自信。
今年肖钰以646分的优异成绩成为今年湖北省和武汉市的双料文科状元。
从不培优,挑战自我肖钰是个充满自信的学生,在问及他的学习方法时,他的回答很简单:“我没什么学习方法,我不喜欢培优,也不喜欢加班加点的去加强哪一方面的能力。
之前我父母还在说高考是很辛苦的,但是既然是自己选择了,就去努力争取,挑战自我。
所以能获得这样的成绩既意外,也在意料之中”。
“对得起自己,努力去争取。
为自己拼一把。
最主要的是不想给自己留下任何遗憾。
”从肖钰脱口而出的自信,我们可以看到他的努力,他的自我价值证明,获得了回报。
向往北大,敢于追求肖钰的父母都在从事法律行业,他们都希望肖钰能够去学习法律,但是肖钰不太喜欢,所以他还是坚持自己的选择,目光投向了北大光华,“我的第一志愿就是北大,所以直接就是去北大了,这个是我自己的选择而且我也达到了。
”肖钰说。
“还是那句话,不要留给自己遗憾,这点我的父母都很支持我,我的老师也很支持我,所以我非常感谢他们。
2011年武昌区省重点高中中考录取分数线与全口径高考成绩对比
武汉中考网:2008~2012年武汉中考报考人数及普高录取人数。
注明:以上普高中招录取人数包含省级示范中学及市级示范中学录取人数。
武汉市第一中学 2007~2011年中考录取分数线:
武汉市第六中学近5年中考录取分数线进出口数据分析对比武汉市第六中学 2007~2011年中考录取分数线:
根据武汉六中2007~2011中考录取分数指令线数据分析,我们可以看到,武汉六高近5年入口生源相与同一区武汉二中近5年入口生源相比较差,高考成绩出口近些年较为平稳,每年一本上线率达到总中考人数的三分之一左右。
武汉市第二中学2007~2011年中考录取分数线:
武汉市第二中学2007~2011年中考招生人数:
武汉市第十二中学 2007~2011年中考录取分数线:
武汉市第十二中学 2007~2011年中考招生人数:
2011年武昌区省重点高中中考录取分数线与全口径高考成绩对比
武昌区省级示范高中2011年高考各批次进出口统计
(数据包括保送、艺术特长、高水平运动员、飞行员)
“进口人数”说明:各校高考质量分析坚持“从进口看出口,由起点看变化”的原则。
进口统计方法是:将全市本届高考各批次上线人数平移,对照分析本届学生当年(2008年)中考成绩划定对应的“有效位置值”,其值为:第一批:14,第二批:18.1,第三批26.1。
各校进口人数即为该校学生进校时达到该位置值的人数。
数据来源:《武汉市2011届高考质量分析册》
武汉市第二中学2007~2011年中考录取分数线:。
2011湖北高考分数线一本理科571分文科547分
鄂招委[2011]6号
各市、州、县(市、区)招生委员会,各普通高等学校:
经湖北省高等学校招生委员会研究,湖北省2011年普通高校招生各批次录取控制分数线已经确定,现通知如下:
一、理工、文史类
1.第一批本科:理工571分,文史547分;
2.第二批本科:理工517分,文史507分;
3.第三批本科:理工410分,文史430分;
4.第四批高职高专(一):理工348分,文史388分;
5.第四批高职高专(二):理工235分,文史235分。
二、艺术类
1.艺术本科(一)和艺术本科(二):文化330分;
2.艺术本科(三):文化280分;
3.艺术高职高专:文化200分。
三、体育类
1.本科:文化380分,专业素质测试350分;
2.高职高专:文化200分,专业素质测试330分。
四、招收参加高职统考的中职毕业生的院校
1.本科:460分;
2.高职高专(一):405分;
3.高职高专(二):200分;
4.试行统一技能操作考试、文化单独命题的机械类专业:技能考试D等以上,文化50分。
五、高水平运动员
本科:理工517分、文史507(专业测试成绩特别优秀的考生理
工336分、文史330分)。
六、艺术特长生
本科文化成绩执行招生院校所在批次录取控制分数线。
华师一附中我校2011届高三年级高考全面丰收,高分率、重点率、名校率各项指标创造新高,继续保持全省遥遥领先。
★600分以上人数达532人,占参考人数的1/2以上,全校已有38名学生保送清华、北大等一流名校。
★平行班理科600分以上445人,均分610.41分,600分以上人数占参考人数的65.63%;★国际部600分以上人数占参考人数的1/3以上。
★ 理科实验班A班平均分656.26分,全班学生都在609分以上。
理科实验班B班参考人数13人,平均分644.71分(该班另有22人已被保送清华、北大)。
湖北省黄冈中学2011年高考成绩揭晓,我校取得新成绩,实现新跨越,600分以上人数、过重点线人数均创历史新高:1、600分以上人数达400人,创历史新高。
其中,理科394人(含保送到北大、清华等重点高校学生13人),文科6人。
2、普通文理科高考过重点线778人,创历史新高。
其中理科654人(含保送到北大、清华等重点高校学生13人),文科124人。
3、高分层人数多:理科670人以上14人,680分以上4人,这4人均进入全省理科前50名;文科600分以上6人。
4、学生辛南亿以629分夺得市文科状元,进入文科全省前十名。
理科最高分为688分,理科4人进入市前十名,文科4人进入市前十名。
黄梅一中二○一一年高考情况简表春风桃李年年艳状元花开黄梅天春风桃李年年艳,状元花开黄梅天。
腾龙舞凤奏凯歌,明珠园里战旗妍。
值此二○一一年高考成绩揭晓之际,黄梅一中感谢县委、县人大、县政府、县政协的悉心关怀,县教育局的正确指导,社会各界的大力支持,特向全县人民报喜:二○一一年高考,我校过600分333人,过重点线大文大理769人,过二批本科线1642人。
高三(9)班学生王黄铭以全省第11名692分的成绩获得黄冈市理科状元、石润南以全省第19名689分的成绩获黄冈市第二名,高三(9)班游逸、高三(2)班骆名治、高三(10)班朱戈分别以676分、675分、674分获全县第三名、第四名、第五名,均有望被清华、北大录取;高三(22)班刘成以612分获全县文科状元。
2011年和2012年湖北高考成绩一分一段统计表(理工类)暨对应的录取院校投档线目录1、湖北省2012年普通高校招生各批次录取控制分数线2、湖北省2012年各批次录取时间3、湖北省2012年高考考生报考情况4、湖北省2011年普通高校招生各批次录取控制分数线5、2011年和2012年湖北省高考总分成绩一分一段统计表(理工类)暨对应的录取院校投档线6、二本传统名校2011年和2012年投档线7、投档建议正文1、湖北省2012年普通高校招生各批次录取控制分数线已经确定,现通知如下:一、理工、文史类1.第一批本科:理工551分,文史561分;2.第二批本科:理工494分,文史515分;3.第三批本科:理工400分,文史448分;4.第四批高职高专(一):理工320分,文史382分;5.第四批高职高专(二):理工235分,文史235分。
二、艺术类1. 艺术本科(一)和艺术本科(二):文化335分;2. 艺术本科(三):文化280分;3. 艺术高职高专:文化200分。
三、体育类1. 本科:文化363分,专业素质测试350分;2. 高职高专:文化200分,专业素质测试300分。
四、招收参加高职统考的中职毕业生1. 本科:477分;2. 高职高专(一):414分;3. 高职高专(二):200分;4. 艺术高职高专:200分。
五、招收参加技能高考的中职毕业生1. 本科:技能考试D等以上,机械类文化166分,电子类文化170 分,计算机类文化173分;2. 高职高专:技能考试D等以上,文化50分。
六、高水平运动员本科:理工494分、文史515分(专业测试成绩特别优秀的考生理工321分、文史335分)。
七、艺术特长生本科文化成绩执行招生院校所在批次录取控制分数线。
2、湖北省2012年各批次录取时间湖北省常规录取工作时间为7月11日到8月20日。
高职高专补录时间为9月22日到9月29日。
7月11日-14日录取:提前批文理类本科专业、艺术本科(一)。
湖北2011年高考状元————————————————————————————————作者:————————————————————————————————日期:ﻩ湖北2011年高考状元出炉我校高三(9)班肖钰同学以646分获得湖北省文科状元;我校高三(1)班李健同学以706分获得武汉市理科状元(全省第二名,与第一名仅差1分);我校高三(10)班毕然同学以637分获得湖北省文科第三名;全市理科前十,我校占四席(第一、第四、第七、第八);全市文科前十,我校占五席(第一、第二、第四、第七、第十)武汉外国语学校再次囊括文理双状元!热烈祝贺襄阳五中新校区首届高三毕业生2011年高考喜迎“开门红”:王震霆同学以707分的成绩勇夺全省理科状元,史翔坤以629分的成绩摘取全市文科桂冠,全市文理科高考状元再次同时花落五中!2011年湖北高考文科状元:努力争取挑战自我湖北省和武汉市的双料文科状元肖钰姓名:肖钰生日:1993年1月8日母校:武汉外国语学校高考总分:646分各科成绩:语文136数学138英语140文综232爱好:上网、看书、打羽毛球座右铭:无在见到肖钰的时候他正处于一大群记者之间接受采访,在簇拥之下肖钰显得从容大方并有着比同龄人更多的成熟和自信。
今年肖钰以646分的优异成绩成为今年湖北省和武汉市的双料文科状元。
从不培优,挑战自我肖钰是个充满自信的学生,在问及他的学习方法时,他的回答很简单:“我没什么学习方法,我不喜欢培优,也不喜欢加班加点的去加强哪一方面的能力。
之前我父母还在说高考是很辛苦的,但是既然是自己选择了,就去努力争取,挑战自我。
所以能获得这样的成绩既意外,也在意料之中”。
“对得起自己,努力去争取。
为自己拼一把。
最主要的是不想给自己留下任何遗憾。
”从肖钰脱口而出的自信,我们可以看到他的努力,他的自我价值证明,获得了回报。
向往北大,敢于追求肖钰的父母都在从事法律行业,他们都希望肖钰能够去学习法律,但是肖钰不太喜欢,所以他还是坚持自己的选择,目光投向了北大光华,“我的第一志愿就是北大,所以直接就是去北大了,这个是我自己的选择而且我也达到了。
荆州市北门中学2011年高考录取榜课改名校荆州市北门中学2011届高考再创新高,领跑全市同类学校!全校810人参考,最高分641分,过600分6人;一本上线296人(其中,文理科上一本重点线63人,艺术生上一本重点线233人),上线率37%;上二本线471人,上三本线690人,本科上线率85.2%。
姓名录取学校宋飞中国人民大学徐辉中国美术学院张磊中国美术学院张倩云中国美术学院田灿空军航空大学(招收飞行员)熊亚枫中国民用航空飞行学院别志华中国民用航空飞行学院曾意中国民用航空飞行学院喻学孚华中科技大学张武林中国矿业大学高霜雪中国矿业大学黄卓越中国地质大学(武汉)李田甜中国地质大学(武汉)郑书云中国地质大学(武汉)刘雪姣中国地质大学(武汉)陆梦华中师范大学冉上华中师范大学徐淑华华中师范大学崔芷君华中师范大学张子健华中师范大学吴杰华中师范大学王梅华重庆大学李玄子重庆大学叶金旻重庆大学郭玉琦华中农业大学陈莹中南民族大学曾欢中南民族大学王丹宁中南民族大学张鼎中南财经政法大学李成涛中南财经政法大学汪盼中国民航大学曹碧君四川美术学院候震宇四川美术学院胡波四川美术学院陈静四川大学舒焱瑞四川大学朱圆圆四川大学文小军咸宁学院侯宗佑武汉体育学院体育科技学院叶俊亚武汉体育学院体育科技学院陈乔诚武汉体育学院李程武汉科技大学张睿逸集美大学谭文文湖北大学沈杰防化指挥工程学院夏雨郑州轻工业学院周佳颖郑州轻工业学院吴荆陵浙江理工大学朱美玲云南艺术学院周榕云南艺术学院刘刚云南艺术学院梅晓萌扬州大学陈博浩湘潭大学洪磊厦门大学王珊西南交通大学廖玲玲西北大学何鹏西北大学宋小杰西安理工大学邓杰西安工程大学吴娟西安工程大学李根武汉音乐学院郑锴武汉音乐学院段丙伟武汉音乐学院张静怡武汉音乐学院龚雪武汉音乐学院谢盛盛武汉音乐学院刘亦宁武汉音乐学院陈心武汉体育学院毛杭武汉体育学院鲁康武汉体育学院李松林武汉纺织大学陈慧娟武汉纺织大学吕品武汉纺织大学陈瑞莲武汉纺织大学戴滨武汉纺织大学张梦雅武汉纺织大学姜安琪太原理工大学邓梦妮四川音乐学院江兴石家庄铁道大学韩康上海大学王斯斯山东工艺美术学院问梦梅山东工艺美术学院肖依依宁波大学彭萌南京信息工程大学黄潇玲南京林业大学李昭颖南京林业大学秦月南京林业大学粟丹丹南京林业大学汪东山南昌大学刘玉婷兰州理工大学王剑飞江西财经大学张桥吉林艺术学院冉姣姣吉林艺术学院邹乔吉林艺术学院汪莉玲湖北美术学院李佩佩湖北美术学院李栋湖北美术学院孙圳湖北美术学院严奉宇湖北美术学院余青青湖北美术学院许奥君湖北美术学院张璇湖北美术学院齐洋湖北工业大学黄政湖北工业大学汪艳玉湖北工业大学刘明玉广州大学胡婧琪广州大学张睿广西艺术学院吕峰广西艺术学院王瑞广西艺术学院李琳福州大学李永强福建师范大学段梅子东南大学张刚林大连工业大学王远远长沙理工大学曾思沛长沙理工大学简勇武汉理工大学周媛武汉科技大学段浩武汉科技大学黄文文武汉科技大学付煜荣武汉科技大学杨刚武汉科技大学李明武汉科技大学李明东武汉科技大学肖尧成武汉科技大学杨金登武汉科技大学朱志林武汉科技大学周文武汉科技大学杨宇豪太原理工大学王林四川大学张仲深圳大学陈傲上海理工大学余明哲青海大学屈小雪南昌大学袁艺江南大学王林湖南大学杨敏湖北大学余仕诚湖北大学邓飞湖北大学侯前迎湖北大学严霜湖北大学卢方芳湖北大学舒晗湖北大学马顺合肥工业大学吴松凌海南大学张昂广州中医药大学闵小明广州中医药大学李玲艳东华大学刘小康东北林业大学张成宇长江大学黄强遵义医学院李苏闫重庆科技学院王豪杰中南林业科技大学王雨晴中南林业科技大学朱文樟中北大学董强郑州轻工业学院张明亚云南财经大学徐点玉溪师范学院王根根烟台大学贺彩云信阳师范学院张珊珊孝感学院彭于东孝感学院伍立志孝感学院曾青山孝感学院许小龙孝感学院张方宇襄樊学院黄清芝襄樊学院廖兆国咸宁学院张雪咸宁学院宋伟伟西南民族大学朱佳西南林业大学胡宇西南科技大学沈亚西北师范大学杜佳西安邮电学院胡志远武汉体育学院邹卫武汉工业学院祝卓武汉工业学院罗进武汉工业学院涂紫君武汉工业学院罗少君武汉工业学院吴守春武汉工业学院李洋武汉工业学院朱仪婷武汉工程大学董力维武汉工程大学刘爽武汉工程大学李绍俊武汉工程大学田维西武汉工程大学文武强武汉工程大学王亚龙武汉工程大学文天柱武汉工程大学李方超武汉工程大学文峰武汉工程大学周正根武汉工程大学高飞武汉工程大学庄元武汉工程大学陈琦武汉纺织大学张伶俐武汉纺织大学朱芳琴武汉纺织大学戴猛武汉纺织大学严冲冲武汉纺织大学郭娅萍武汉纺织大学刘海武汉纺织大学李格武汉纺织大学宋冰娥武汉纺织大学张文武汉纺织大学王子令潍坊学院张宇太原科技大学黄梦欣首都体育学院杨瑞琪邵阳学院李梦娟商洛学院吴桃方陕西理工学院毛雯雯琼州学院徐刘阳南通大学郭江临沂大学王沣兰州城市学院肖可蒙凯里学院代宇九江学院吴铜铃荆楚理工学院陈念江西师范大学黄川琳江汉大学龚秀吉林化工学院黄菲菲黄石理工学院钟力明黄石理工学院温胜男黄石理工学院金爽子黄石理工学院姚巧梅黄石理工学院李亚兰黄石理工学院郑梦洁黄冈师范学院唐波黄冈师范学院杨谌黄冈师范学院贾丽湖南文理学院雷莎莎湖南科技大学张念湖南科技大学贾超湖南科技大学王玮湖南工业大学袁强湖南工业大学刘琦湖北中医药大学秦金霞湖北中医药大学钟昊湖北中医药大学雷磊湖北中医药大学王红湖北中医药大学周清莲湖北中医药大学田成湖北中医药大学熊寒玲湖北师范学院周先定湖北师范学院王微湖北师范学院张小月湖北师范学院朱雅琴湖北师范学院张紫云湖北汽车工业学院刘佳敏湖北汽车工业学院朱莹颖湖北汽车工业学院欧阳晓慧湖北民族学院刘傲湖北民族学院王亚湖北民族学院屈勇湖北民族学院陆畅湖北民族学院周正湖北警官学院张佳丹湖北警官学院刘常庆湖北经济学院王雨薇湖北经济学院张楚秋湖北经济学院吴娅婷湖北经济学院刘荣湖北经济学院谢清湖北经济学院龚雨竹湖北经济学院王凯迪湖北经济学院赵爱媛湖北工业大学林奕欣湖北工业大学万晓威湖北第二师范学院侯宏河西学院宋腾河南理工大学余美丽河北医科大学文晨林河北师范大学唐亚河北联合大学潘金洲河北经贸大学李昌冉海南师范大学王昌志桂林理工大学张崇佩贵阳中医学院张祖画广西师范大学吴嫚丽广西民族大学朱阳阳福建农林大学谢静静长江大学陈雪姣长江大学潘迪长江大学李奥临长江大学张科锋长江大学陈圣杰长江大学索海长江大学王道常长江大学谢高强长江大学刘巩长江大学熊小强长江大学随国强长江大学彭程长春工业大学向志杰长春大学张明毕节学院高文婷白城师范学院彭勇安徽工程大学邓刚刚安徽工程大学毛林重庆交通大学李萍仲恺农业工程学院许媛媛云南财经大学王珩襄樊学院段路遥襄樊学院陈坷襄樊学院张娜襄樊学院黄怡咸宁学院张曼咸宁学院李丹丹咸宁学院李春林咸宁学院胡胜咸宁学院谢段宇咸宁学院邵蓓咸宁学院刘度咸宁学院施念咸宁学院王智达武汉工程大学朱伟武汉工程大学邓芷怡武汉工程大学上官永健武汉工程大学冯志伟武汉工程大学宋谨武汉工程大学李虎武汉工程大学刘雪梁文山学院邹享佚四川师范大学曾信商丘师范学院朱健山西农业大学谢恒山西大学周俊婕三峡大学张丙冲三峡大学曹羌临沂大学李兰兰辽宁师范大学余维敏昆明学院张宇昆明理工大学方世超荆楚理工学院吴聪聪荆楚理工学院冯振荆楚理工学院胡月荆楚理工学院匡仕凡荆楚理工学院杨念齐荆楚理工学院尹浩荆楚理工学院李爽荆楚理工学院张琨江汉大学谢美仙江汉大学田慧子江汉大学段程程佳木斯大学余佳洳黄石理工学院胡刚黄石理工学院熊梦迪黄石理工学院朱仕珍黄冈师范学院马晶晶黄冈师范学院周姗姗湖南女子学院刘倩格湖南女子学院刘帅湖南第一师范学院陈烈阳湖北师范学院王思琪湖北师范学院仄亚东湖北师范学院张文成湖北师范学院陈红豆湖北师范学院田沅禾湖北师范学院黄骋湖北汽车工业学院娄林琪湖北汽车工业学院伍凤娥湖北经济学院陈文雯湖北经济学院邹上海湖北经济学院郑小莎湖北第二师范学院李洁妮湖北第二师范学院田小莉呼伦贝尔学院舒小康呼伦贝尔学院吴存衡水学院雷颖衡水学院曾令恒黑河学院左小虎黑河学院汪亚亚广西工学院冯睿宇楚雄师范学院肖格林长江大学张倩长江大学施康长江大学何应龙长江大学黄潇长江大学周婷长江大学杨馨长江大学周曼妮长江大学李珂长江大学吴晨晨长江大学夏枫翔宝鸡文理学院廖安园宝鸡文理学院李灿辉宝鸡文理学院吴叮叮宝鸡文理学院吴天柱宝鸡文理学院胡圣兵宝鸡文理学院危佳宝鸡文理学院马姗鞍山师范学院曹雅兰鞍山师范学院陈亚男中南财经政法大学武汉学院陈凌涵中南财经政法大学武汉学院刘梅中南财经政法大学武汉学院朱新柳中南财经政法大学武汉学院袁旺中南财经政法大学武汉学院张豪中国地质大学江城学院刘帅中国地质大学江城学院刘露延安大学西安创新学院马姗厦门大学嘉庚学院胡耀飞武汉生物工程学院文磊武汉理工大学华夏学院刘高扬武汉理工大学华夏学院郑全武汉理工大学华夏学院袁敏武汉工业学院工商学院刘继张武汉工程大学邮电与信息工程学院杨康武汉工程大学邮电与信息工程学院李雪琴武汉工程大学邮电与信息工程学院董蔓蔓武汉工程大学邮电与信息工程学院张凯武汉工程大学邮电与信息工程学院王崇岭武汉工程大学邮电与信息工程学院李露武汉东湖学院车梦梦武汉东湖学院张周熠武汉东湖学院李亭武汉大学珞珈学院段志翔武汉大学珞珈学院王肖琦武汉长江工商学院陈思奇武汉长江工商学院曾苏梅武昌理工学院张梦武昌理工学院李晨露武昌理工学院刘凤鸣武昌理工学院姜文静无锡太湖学院雷雅琪四川外语学院重庆南方翻译学院彭新星三峡大学科技学院王飞三峡大学科技学院郭林江汉大学文理学院任伟吉林财经大学信息经济学院盛泽娅华中农业大学楚天学院余思宇华中农业大学楚天学院付远翔华中农业大学楚天学院孔玉娇华中科技大学武昌分校金雨童华中科技大学武昌分校万龙华中科技大学武昌分校黎明华中科技大学武昌分校张丽娟华中科技大学文华学院刘华荣华中科技大学文华学院梁文华中科技大学文华学院曹礼鹏华中科技大学文华学院谢旭华中科技大学文华学院刘杰华中科技大学文华学院曹绪成华中科技大学文华学院张乐宇华中科技大学文华学院周芳湖南涉外经济学院罗洁湖北医药学院药护学院滕艳湖北师范学院文理学院杨情缘湖北师范学院文理学院王凤娇湖北经济学院法商学院王林湖北经济学院法商学院王梦霞湖北经济学院法商学院张玲湖北工业大学商贸学院樊俊杰湖北工业大学商贸学院彭晓霞湖北工业大学工程技术学院王婷湖北大学知行学院许豆豆湖北大学知行学院王帆湖北大学知行学院范姗姗湖北大学知行学院李秋菊湖北大学知行学院刘雪琪汉口学院陈思思汉口学院章明汉口学院张自敏海南大学三亚学院刘明月广州大学松田学院黄芸广西中医学院赛恩斯新医药学院古浪成都东软学院谢昱长沙理工大学城南学院孙倩芸长江大学文理学院李承雨长江大学文理学院屈双长江大学文理学院曾令君长江大学文理学院范小友长江大学文理学院刘美玲长江大学文理学院薛升萍长江大学文理学院周晓欣长江大学文理学院雷星长江大学文理学院舒武秘长江大学文理学院张沁长江大学工程技术学院马志俊长江大学工程技术学院李冬冬长江大学工程技术学院王威长江大学工程技术学院张俊长江大学工程技术学院李群峰安徽工程大学机电学院万莉中南财经政法大学武汉学院李青中南财经政法大学武汉学院王岑中南财经政法大学武汉学院邬俊杰中国地质大学江城学院邓博文云南大学滇池学院王晗西安欧亚学院张弦武汉体育学院体育科技学院谭梦玲武汉体育学院体育科技学院谭梦露武汉理工大学华夏学院郝佳奇武汉理工大学华夏学院乔祥慧武汉科技大学城市学院何秋雨武汉工业学院工商学院索明星武汉东湖学院付珊天津商业大学宝德学院刘晨三峡大学科技学院葛威江西理工大学应用科学学院肖雪华中师范大学武汉传媒学院鄢然华中师范大学武汉传媒学院杨依涵华中师范大学武汉传媒学院索俊华中师范大学武汉传媒学院朱明华中师范大学武汉传媒学院王馨华中师范大学武汉传媒学院刘承安华中师范大学武汉传媒学院张小青华中师范大学武汉传媒学院王诗隽华中农业大学楚天学院谭梦蝶华中农业大学楚天学院朱依依华中农业大学楚天学院罗刚华中农业大学楚天学院张颖华中农业大学楚天学院衡鑫华中科技大学武昌分校杨爽华中科技大学武昌分校万昌皓华中科技大学武昌分校何东璠华中科技大学武昌分校陈双华中科技大学文华学院张龙华中科技大学文华学院罗雅思湖北经济学院法商学院李东海湖北工业大学商贸学院刘晓光湖北工业大学商贸学院刘金莲湖北工业大学商贸学院陈娅娅湖北工业大学商贸学院刘衎湖北工业大学工程技术学院张凯云湖北工业大学工程技术学院杨娇湖北大学知行学院廖冰玥汉口学院张嫣汉口学院赵君汉口学院郭清宇汉口学院苗青汉口学院谢家禹汉口学院肖思宇汉口学院谭茜茜海南大学三亚学院王晶大连艺术学院潘晨长江大学文理学院李静妮中国地质大学江城学院张文龙中国地质大学江城学院鄢雨情中国地质大学江城学院尹安中国地质大学江城学院熊强武汉职业技术学院李娟娟武汉职业技术学院张凯武汉职业技术学院李娟武汉语言文化职业学院刘聪武汉体育学院体育科技学院熊露华武汉商业服务学院陈露武汉科技大学职业技术学院吕姗姗武汉科技大学城市学院夏梦娇武汉工程大学杨亚兰武昌理工学院吴飞武昌理工学院朱言莉深圳职业技术学院肖大伟昆明艺术职业学院朱兰兰荆州职业技术学院马志文江西服装学院李雅丽江汉艺术职业学院李静华中师范大学武汉传媒学院肖海华中农业大学楚天学院杨清铃华中农业大学楚天学院竺雨秋湖北艺术职业学院庄怡湖北艺术职业学院陈倩湖北艺术职业学院张恒湖北科技职业学院何浩然湖北科技职业学院张维康湖北科技职业学院卢齐湖北国土资源职业学院李倜湖北工业大学工程技术学院余粟娟成都东软学院向强长江职业学院廖庆锋长江职业学院姚瑶重庆三峡医药高等专科学校袁梦琴浙江医药高等专科学校王金龙咸宁学院孙召玉武汉职业技术学院韩宇武汉职业技术学院马玲武汉职业技术学院蔡小丽武汉商业服务学院韩笑武汉软件工程职业学院许小峰武汉软件工程职业学院余伍蓉武汉交通职业学院阮云武汉交通职业学院王洋武汉工程大学朱小庆武汉工程大学刘玲玲武汉东湖学院何又飞武汉东湖学院屈萌萌武汉船舶职业技术学院张小平武汉船舶职业技术学院张中元武汉船舶职业技术学院吴志强武汉船舶职业技术学院陈进石家庄邮电职业技术学院张旋上海工程技术大学胡素华三峡大学职业技术学院侯琦三峡大学职业技术学院曾玲黄石理工学院李凤玲黄石理工学院涂伟华中科技大学武昌分校刘贞君华中科技大学武昌分校吴亚萍华中科技大学高等技术学院易姝寒湖北职业技术学院陈燚湖北职业技术学院刘江莉湖北工业大学职业技术学院兰雅莉湖北第二师范学院刘凤娥湖北大学职业技术学院项维湖北财税职业学院杨威湖北财经高等专科学校涂晶城桂林理工大学吴振元桂林理工大学刘小磊桂林理工大学鄢严林桂林电子科技大学金可可楚雄医药高等专科学校张修然长春工业大学胡晓红北京农业职业学院王万春白城医学高等专科学校张曼丽重庆工商职业学院杨慧中南财经政法大学武汉学院王书娟郑州经贸职业学院邹灿浙江商业职业技术学院王能仙桃职业学院杜沙武汉语言文化职业学院黄倩倩武汉语言文化职业学院徐奕武汉信息传播职业技术学院缪志兰武汉外语外事职业学院王蕊武汉外语外事职业学院董云洁武汉外语外事职业学院朱磊武汉生物工程学院周明威武汉商业服务学院张方军武汉商贸职业学院刘黎武汉科技大学城市学院陈倩武汉科技大学城市学院李涛武汉科技大学城市学院李默武汉科技大学城市学院张健武汉警官职业学院余萌武汉警官职业学院江露露武汉警官职业学院谢小芸武汉工业职业技术学院胡晶莲武汉工业学院工商学院刘健武汉工业学院工商学院罗娟娟武汉工业学院工商学院张梦娟武汉工业学院工商学院尹帅武汉工业学院工商学院陈李鹏武汉工业学院陈格格武汉工贸职业学院周洪强武汉工程职业技术学院徐洋洋武汉工程大学邮电与信息工程学院易会琳武汉工程大学朱志操武汉长江工商学院向彩云武昌理工学院朱葛婧媛武昌理工学院谢罗青武昌理工学院李倩四川国际标榜职业学院孙海旋十堰职业技术学院马虹雨三峡旅游职业技术学院姜梦婷三峡旅游职业技术学院黄雅婷荆州职业技术学院贾楚星荆州职业技术学院王荣荆州职业技术学院王可荆州职业技术学院刘东昊荆州职业技术学院张华龙荆州职业技术学院陈天文荆州理工职业学院李雅正荆州理工职业学院凡勇江西城市职业学院齐力江汉大学文理学院熊柳黄冈职业技术学院申梦柔黄冈职业技术学院梁艳丽华中师范大学武汉传媒学院徐芳华中师范大学武汉传媒学院刘飞华中师范大学武汉传媒学院杨桓华中师范大学武汉传媒学院叶顺华中师范大学武汉传媒学院王念湖北中医药高等专科学校李思琪湖北中医药高等专科学校胡小雨湖北职业技术学院乔柳杨湖北职业技术学院王欣湖北职业技术学院王陈志湖北艺术职业学院胡煊湖北水利水电职业技术学院李春红湖北生物科技职业学院万伶俐湖北生物科技职业学院周显萍湖北生物科技职业学院周祥梦湖北生物科技职业学院索灵湖北生物科技职业学院谭震宇湖北生物科技职业学院尹雷湖北生态工程职业技术学院董锋湖北生态工程职业技术学院尤简洁湖北三峡职业技术学院严开湖北轻工职业技术学院孙明强湖北科技职业学院赵飞湖北科技职业学院张超超湖北科技职业学院陈燕湖北科技职业学院陈佩佩湖北开放职业学院丁立湖北经济学院法商学院李国琼湖北经济学院法商学院赵上海湖北交通职业技术学院邓雨蒙湖北国土资源职业学院胡远骏湖北工业大学谭阳湖北大学知行学院李娜湖北大学知行学院罗伊璇湖北大学知行学院马平山湖北大学知行学院彭雨亭湖北大学知行学院金维湖北大学褚新桥湖北大学程凡凡湖北城市建设职业技术学院胡晓珍湖北财税职业学院何晗湖北财税职业学院李武灿湖北财税职业学院冯晓运汉口学院刘玉成广东水利电力职业技术学院张文广东纺织职业技术学院张玮琪长江职业学院王珊长江大学文理学院李君长江大学文理学院田涛长江大学文理学院刘政佐长江大学工程技术学院陈文鑫长江大学工程技术学院姚羊长江大学工程技术学院范荆沙长江大学李茜茜长江大学艾道诗赋长江大学熊瑛安徽职业技术学院百度文库财富值。
湖北2011高考分数线
湖北2011年高考分数线
湖北省于2011年举行的高考分数线如下:
文科一本线:549分
文科二本线:428分
理科一本线:537分
理科二本线:414分
根据分数线的不同,学生被分为不同的批次录取。
一本线以上的学生可以报考一本批次的大学,二本线以上的学生可以报考二本批次的大学。
需要注意的是,分数线只是大致的参考线,最终录取结果还需根据专业设置和考生的综合素质进行综合评定。
每年的分数线会因各因素的变化而有所调整,具体的分数线以当年招生部门的公告为准。
希望以上信息对你有所帮助!。
2011湖北高考状元省市文科状元肖钰646分语文:136分、数学:138分、外语:140分、文综:232分省理科状元王震霆:707分语文131分数学144分英语143分理科综合289分2011年黄冈中学高考成绩1、600分以上人数达400人,创历史新高。
其中,理科394人(含保送到北大、清华等著名高校学生13人),文科6人。
2、普通文理科高考过一本线人数达771人,创历史新高。
其中理科650人(含保送到北大、清华等著名高校学生13人),文科121人。
3、高分层人数可观,理科670分以上14人,680分以上4人均进入全省理科前50名,文科600分以上6人。
4、学生辛南亿以629分夺得市文科状元,进入文科全省前十名。
理科4人进入市前十名,文科4人进入市前十名。
一、理工、文史类1.第一批本科:理工571分,文史547分;2.第二批本科:理工517分,文史507分;3.第三批本科:理工410分,文史430分;4.第四批高职高专(一):理工348分,文史388分;5.第四批高职高专(二):理工235分,文史235分。
二、艺术类1。
艺术本科(一)、(二):文化330分;2。
艺术本科(三):文化280分;3。
艺术高职高专:文化200分。
三、体育类1。
本科:文化380分,专业素质测试350分;2。
高职高专:文化200分,专业素质测试330分。
四、招收参加高职统考的中职毕业生的院校1。
本科:460分;2。
高职高专(一):405分;3。
高职高专(二):200分;4。
试行统一技能操作考试、文化单独命题的机械类专业:技能考试D等以上,文化50分。
五、高水平运动员本科:理工517分、文史507分(专业测试成绩特别优秀的考生理工336分、文史330分)。
2011年黄石高考状元:大冶一中黄彩云:总分624。
黄石二中王阳:王阳是大冶市保安镇先锋村人,3年前,他以615分取得大冶市中考第一名。
高中三年,自己在学校没有拿过一次第一名。
华师一附中
我校2011届高三年级高考全面丰收,高分率、重点率、名校率各项指标创造新高,继续保持全省遥遥领先。
★600分以上人数达532人,占参考人数的1/2以上,全校已有38名学生保送清华、北大等一流名校。
★平行班理科600分以上445人,均分610.41分,600分以上人数占参考人数的65.63%;
★国际部600分以上人数占参考人数的1/3以上。
★ 理科实验班A班平均分656.26分,全班学生都在609分以上。
理科实验班B班参考人数13人,平均分644.71分(该班另有22人已被保送清华、北大)。
湖北省黄冈中学
2011年高考成绩揭晓,我校取得新成绩,实现新跨越,600分以上人数、过重点线人数均创历史新高:
1、600分以上人数达400人,创历史新高。
其中,理科394人(含保送到北大、清华等重点高校学生13人),文科6人。
2、普通文理科高考过重点线778人,创历史新高。
其中理科654人(含保送到北大、清华等重点高校学生13人),文科124人。
3、高分层人数多:理科670人以上14人,680分以上4人,这4人均进入全省理科前50名;文科600分以上6人。
4、学生辛南亿以629分夺得市文科状元,进入文科全省前十名。
理科最高分为688分,理科4人进入市前十名,文科4人进入市前十名。
黄梅一中二○一一年高考情况简表
春风桃李年年艳状元花开黄梅天
春风桃李年年艳,状元花开黄梅天。
腾龙舞凤奏凯歌,明珠园里战旗妍。
值此二○一一年高考成绩揭晓之际,黄梅一中感谢县委、县人大、县政府、县政协的悉心关怀,县教育局的正确指导,社会各界的大力支持,特向全县人民报喜:
二○一一年高考,我校过600分333人,过重点线大文大理769人,过二批本科线1642人。
高三(9)班学生王黄铭以全省第11名692分的成绩获得黄冈市理科状元、石润南以全省第19名689
分的成绩获黄冈市第二名,高三(9)班游逸、高三(2)班骆名治、高三(10)班朱戈分别以676分、675分、674分获全县第三名、第四名、第五名,均有望被清华、北大录取;高三(22)班刘成以612分获全县文科状元。
更引以为荣的是,600分以上人数和过重点大学人数均创历史新高,遥遥领先于黄冈市各县市重点中学,名列湖北省重点中学前茅。
以上成绩的取得,是县委、县政府实施科教兴县战略,重视一中、关心教育的结果,是各级教育行政部门正确指导的结果,是全县百万父老乡亲关心支持的结果,也是一中全体师生卓越工作、刻苦
磨砺的结果。
借此机会,再次向全县人民致以衷心的感谢!
“物华天宝,人杰地灵”,欣欣向荣的黄梅一中必将与时俱进,科学发展,不断跨越,创造更加优异的成绩!
黄梅一中二○一一年高考情况简表
说明:以上数据不含体育生、艺术生术科过线人数,体育生、艺术生以高校录取时实际录取人数为准。
二○一一年六月二十六日
我省高考理科600分以上考生超13000人
根据表格数据,今年高分段人数比去年明显增多,2010年,理科600分以上的7244人,但今年高达13668人,是去年的2倍;去年,文科600分以上的未作统计,只统计了593分以上的88人,但今年600分以上的考生达到210人,593分以上的考生更是多达380人,是去年的4倍多。
对此,有关专家称,今年是我省实施新课改前的最后一届高考,故而试题难度大大降低,高分考生也就自然出现翻番的局面。
不过,因为考生总体分数提高,在报考志愿时,一定要分析此“一分一段表”,根据自己的排位合理科学填报,且不可犯“经验主义错误”,拿往年的分数做对比。
记者“手绘”高分华师一附中超半数考生总分过600
本报讯(记者周锐陈玲翁晓波)昨日,记者从我市部分高中学校了解到今年高考各校600分以上的考生人数,特作统计如下(如有出入,以教育部门公布的数据为准)。
华师一附中:532人,占参考人数的1/2以上。
武汉外校:108人,219人参加高考。
武汉二中:理科 301人。
武钢三中:600分以上的153人,另外保送生24人。
武汉十一中:130人。
参考人数约500人。
武汉一中:全校理科最高分704分,获得全市第二名、全省第三名。
文科最高分628分,获全省十二名。
武汉三中:146人
省实验:142人,527人参考。
武汉六中:85人,不含复读、保送。
洪山高中:29人,一个阳光班50人中过一本线38人,其中过600分12人。
新洲一中:341人,1660人参加高考。
育才高中:5人
黄陂一中:139人,1181人参考。
武汉市二十三高中:18人
水果湖高中:17人,600人参考。
武汉中学:27人,500人左右参考。
武汉十四中:18个,500人左右参考。
东湖中学:1人,450人左右参考。
湖大附中:1人,450人左右参考。
四十九中: 23人
江夏一中:65人
汉阳一中:52人
吴家山中学:28人
汉南一中:20人
华科大附中:28人
武汉经济开发区一中:18人
――摘自《武汉晚报》2011-6-26
武汉部分高中高分人数统计
昨日,本报记者经过多方收集,将武汉市部分高中600分以上考生人数作了一个粗略统计,供大家参考。
准确数据,以武汉市招考办发布的为准。
华师一附中:一本上线率86%
675分以上59人,600分以上人数532人,一本上线率86%。
全校已有38名学生保送清华、北大等一流名校。
其中,平行班理科600分以上人数占参考人数的65.63%;国际部600分以上人数占
参考人数的1/3以上。
武汉二中:两个“全省第二”
理科450人参加高考,600分以上301人(含保送生36人,其中21人被保送清华、北大,15人保送复旦、交大、浙大和中科大),高分率62%,理科重点率81.1%,文科重点率66%。
600分以上的高分率和理科重点批上线率双双占据全省第二。
湖北省黄石市第二中学
在学校的正确领导下,在高三全体师生共同努力下,2011年黄石二中高考再创辉煌:
一、夺得黄石市理科状元、市区文科状元。
高三(11)班王阳高考绝对分683分,夺得全市理科状元,高三(17)班郭慧珊也以697分夺得优惠加分后的理科状元,高三(20)班柯然以611分获得黄石市区文科状元。
二、600分以上达203人,上一类重点线607人,创历史新高。
三、理科实验班取得优异成绩,其中高三(11)班除夺得全市理科状元外,还在竞赛中刷新学校历史新纪录。
高三(17)班全部考生过一类重点线,其中600分人数57人,人均考分628分,创造了实验班高分段新纪录。
四、阳光班高三(2)班超额完成省市指标任务,上一本重点线达90%,600以上26人。
五、平行班取得均衡发展,理科几乎每个班级均有600分以上的高分,全市文科过600分只有5人,有3人在我校。
六、保送清华、北大等名校和考取法国、新加坡等公费留学超过20人。
2011年6月25日
热烈祝贺襄阳五中新校区首届高三毕业生2011年高考喜迎“开门红”:王震霆同学以707分的成绩勇夺全省理科状元,史翔坤以629分的成绩摘取全市文科桂冠,全市文理科高考状元再次同时花落
五中!
襄阳五中2011年高考成绩通报
分享到:QQ空间腾讯微博腾讯朋友
出师表
两汉:诸葛亮
先帝创业未半而中道崩殂,今天下三分,益州疲弊,此诚危急存亡之秋也。
然侍卫之臣不懈于内,忠志之士忘身于外者,盖追先帝之殊遇,欲报之于陛下也。
诚宜开张圣听,以光先帝遗德,恢弘志士之气,不宜妄自菲薄,引喻失义,以塞忠谏之路也。
宫中府中,俱为一体;陟罚臧否,不宜异同。
若有作奸犯科及为忠善者,宜付有司论其刑赏,以昭陛下平明之理;不宜偏私,使内外异法也。
侍中、侍郎郭攸之、费祎、董允等,此皆良实,志虑忠纯,是以先帝简拔以遗陛下:愚以为宫中之事,事无大小,悉以咨之,然后施行,必能裨补阙漏,有所广益。
将军向宠,性行淑均,晓畅军事,试用于昔日,先帝称之曰“能”,是以众议举宠为督:愚以为营中之事,悉以咨之,必能使行阵和睦,优劣得所。
亲贤臣,远小人,此先汉所以兴隆也;亲小人,远贤臣,此后汉所以倾颓也。
先帝在时,每与臣论此事,未尝不叹息痛恨于桓、灵也。
侍中、尚书、长史、参军,此悉贞良死节之臣,愿陛下亲之、信之,则汉室之隆,可计日而待也。
臣本布衣,躬耕于南阳,苟全性命于乱世,不求闻达于诸侯。
先帝不以臣卑鄙,猥自枉屈,三顾臣于草庐之中,咨臣以当世之事,由是感激,遂许先帝以驱驰。
后值倾覆,受任于败军之际,奉命于危难之间,尔来二十有一年矣。
先帝知臣谨慎,故临崩寄臣以大事也。
受命以来,夙夜忧叹,恐托付不效,以伤先帝之明;故五月渡泸,深入不毛。
今南方已定,兵甲已足,当奖率三军,北定中原,庶竭驽钝,攘除奸凶,兴复汉室,还于旧都。
此臣所以报先帝而忠陛下之职分也。
至于斟酌损益,进尽忠言,则攸之、祎、允之任也。
愿陛下托臣以讨贼兴复之效,不效,则治臣之罪,以告先帝之灵。
若无兴德之言,则责攸之、祎、允等之慢,以彰其咎;陛下亦宜自谋,以咨诹善道,察纳雅言,深追先帝遗诏。
臣不胜受恩感激。
今当远离,临表涕零,不知所言。