仪器科学与光电工程学院2018届硕士研究生答辩公示(一)
- 格式:pdf
- 大小:149.31 KB
- 文档页数:3
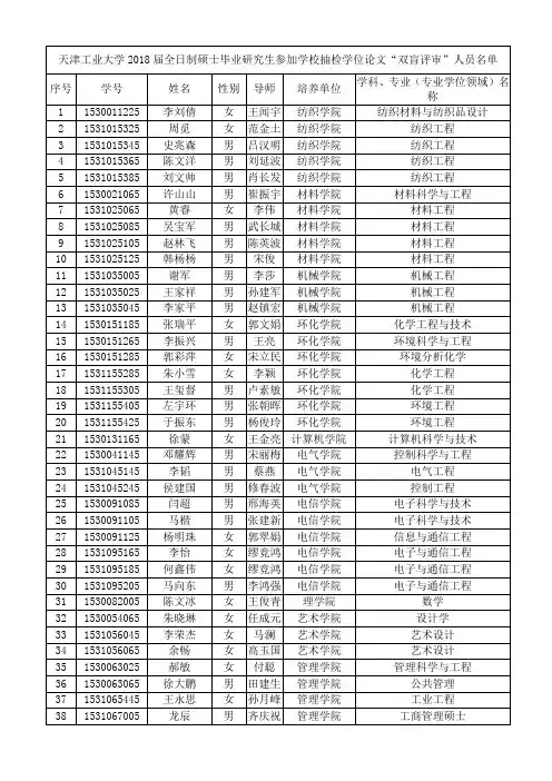
天津工业大学2018届全日制硕士毕业研究生参加学校抽检学位论文“双盲评审”人员名单序号学号姓名性别导师培养单位学科、专业(专业学位领域)名称1 1530011225 李刘倩女王闻宇纺织学院纺织材料与纺织品设计2 1531015325 周觅女范金土纺织学院纺织工程3 1531015345 史兆森男吕汉明纺织学院纺织工程4 1531015365 陈文洋男刘延波纺织学院纺织工程5 1531015385 刘文帅男肖长发纺织学院纺织工程6 1530021065 许山山男崔振宇材料学院材料科学与工程7 1531025065 黄睿女李伟材料学院材料工程8 1531025085 吴宝军男武长城材料学院材料工程9 1531025105 赵林飞男陈英波材料学院材料工程10 1531025125 韩杨杨男宋俊材料学院材料工程11 1531035005 谢军男李莎机械学院机械工程12 1531035025 王家祥男孙建军机械学院机械工程13 1531035045 李家平男赵镇宏机械学院机械工程14 1530151185 张瑞平女郭文娟环化学院化学工程与技术15 1530151265 李振兴男王亮环化学院环境科学与工程16 1530151285 郭彩萍女宋立民环化学院环境分析化学17 1531155285 朱小雪女李颖环化学院化学工程18 1531155305 王玺督男卢素敏环化学院化学工程19 1531155405 左宇环男张朝晖环化学院环境工程20 1531155425 于振东男杨俊玲环化学院环境工程21 1530131165 徐蒙女王金亮计算机学院计算机科学与技术22 1530041145 邓耀辉男宋丽梅电气学院控制科学与工程23 1531045145 李韬男蔡燕电气学院电气工程24 1531045245 侯建国男修春波电气学院控制工程25 1530091085 闫超男邢海英电信学院电子科学与技术26 1530091105 马楷男张建新电信学院电子科学与技术27 1530091125 杨明珠女郭翠娟电信学院信息与通信工程28 1531095165 李怡女缪竟鸿电信学院电子与通信工程29 1531095185 何鑫伟女缪竟鸿电信学院电子与通信工程30 1531095205 马向东男李鸿强电信学院电子与通信工程31 1530082005 陈文冰女王俊青理学院数学32 1530054065 朱晓琳女任成元艺术学院设计学33 1531056045 李荣杰女马澜艺术学院艺术设计34 1531056065 余畅女高玉国艺术学院艺术设计35 1530063025 郝敏女付聪管理学院管理科学与工程36 1530063065 徐大鹏男田建生管理学院公共管理37 1531065445 王永思女孙月峰管理学院工业工程38 1531067005 龙辰男齐庆祝管理学院工商管理硕士39 1530234045 张维强男韩海涛图书馆图书馆学40 1525122005 孙志桓男马涛经济学院应用经济学41 1530113005 于小桐女尹艳冰经济学院应用经济学42 1531116005 陶鹏男李树生经济学院金融硕士43 1530104005 李华敏女王者洁文法学院经济法学44 1531106025 张瑞峰男王乃华文法学院电影45 1530174025 张亚丽女王立荣马克思学院思想政治教育备注:学校抽检的学位论文“双盲评审”工作由研究生院组织实施。
北京航空航天大学保研—北航仪器科学与光电工程学院保研(推荐免试接收外校推免研究生的相关规定北京航空航天大学仪器科学与光电工程学院简介:北京航空航天大学仪器科学与光电工程学院(简称仪器学院是由自动化学院测控技术与仪器系、宇航学院航天导航控制系和宇航学院光电技术研究所组建而成。
现设有党政办公室、测控与信息技术系(简称测控系、惯性北京航空航天大学仪器科学与光电工程学院技术与导航仪器系(简称导航系、光电工程系暨光电技术研究所(简称光电系和一个教学实验中心。
北航仪器科学与光电工程学院保研(推荐免试一、北航仪器科学与光电工程学院保研(推荐免试申请条件1.热爱祖国,热爱共产党,身心健康,遵纪守法,品行端正;2. 具有推荐免试资格的高校优秀应届本科毕业生。
其中, 申请推免直接攻读博士学位或学术型硕士研究生的学生, 必须已取得本科就读学校给予的学术型推免生资格;3.申请推免直接攻读博士学位研究生的学生,本科所在学校若为研究生院高校,一般要求成绩排名在前 10%;本科所在学校若为 211学校(不含研究生院高校,一般要求成绩排名在前 5%。
申请攻读硕士学位研究生的学生,本科所在学校若为研究生院高校,一般要求本科前三学年成绩在学院本专业年级排名前 25%;本科所在学校若为 211高校(不含研究生院高校,一般要求本科前三学年成绩在学院本专业年级排名前 10%。
对于特别优秀和具有发展潜力的学生,该要求可以适当放宽;4.身体健康状况符合《普通高等学校招生体检工作指导意见》要求。
二、北航仪器科学与光电工程学院保研(推荐免试申请者需提供的材料1. 完整、真实填写《北京航空航天大学接收推荐免试攻读 2014年研究生申请表》(见附件一一式两份;2. 对申请有参考价值的本人自述(限 1000字以内一份;3. 提交加盖所在学校教务处公章的本人历年在校学习成绩单一份;4. 若有本人具有代表性的学术论文、出版物或科技成果,请提交复印件一份;5. 若有本人在学期间学科竞赛、科技活动或其它获奖的证明,请提交复印件一份;6. 身份证的正反面复印件 1份,正反面需复印在 A4纸的同一页面上;7. 提交由二级甲等以上(含二级甲等医疗机构出具的体格检查表(样式见附件二。
北京航空航天大学仪器科学与光电工程学院2016年硕士研究生招生复试流程及要求一、总原则1、坚持公平、公正、公开的原则。
2、实行差额方式进行复试。
3、研究生与指导教师双向选择确定指导教师。
二、复试资格基本线说明:第一志愿报考我学院上述专业,满足相应学科分数线的全国统考考生、强军计划考生,退役大学生计划考生可来我学院参加复试。
三、拟录取人数四、组织结构仪器科学与光电工程学院硕士研究生招生领导小组由以下成员组成:组长:房建成副组长:赵慧洁、徐立军成员:魏振忠、李钢、金靖、袁艳、宋凝芳、刘刚五、复试规定1、考生复试以“仪器科学与技术----精密仪器及机械方向”、“仪器科学与技术----测试计量技术及仪器方向”、“仪器科学与技术----光电探测技术及仪器方向”、“光学工程(学术型)”、“摄影测量与遥感”、“仪器仪表工程----精密仪器及机械方向”、“仪器仪表工程----测试计量技术及仪器方向”、“仪器仪表工程----光电探测技术及仪器方向”、“光学工程(全日制专业学位)”9个专业为单位进行。
2、复试总成绩300分,方式为综合面试,每名考生综合面试时间不得少于20分钟。
综合面试1)专业能力——专业基础知识及专业综合能力;2)外语能力——专业外语和口语;3)逻辑分析;4)创新精神和创新能力;5)综合素质——语言表达、逻辑思维;学习能力、参与科研与社会实践情况;事业心、责任感、纪律性、协作性;文学素养,举止、应变能力及文明礼仪等;3、参加我学院复试考生均需进行复试资格审查,未通过资格审查的考生不能参加学科的复试。
复试资格审核内容及要求见附件1;4、总成绩=初试成绩+复试成绩,按总成绩进行高低分排队,择优录取;5、复试成绩不及格者(低于180分)不予录取;6、面试程序1)面试小组会议,情况通报;2)考生自我介绍;个人情况简介(包括姓名、本科院校及专业、学习经历、对科研工作的认识、攻读研究生的目的等等);3)面试组成员提问;4)面试组成员打分;5)综合排序(拟录取顺序);六、调剂原则1、一志愿优先录取。
光电学院2020年5月17日复试待录取名单公布序号考生编号姓名专业代码专业名称研究方向标注专项计划1102520210000587贾晨鑫85400电子信息仪器仪表工程无2102520210001595张磊85400电子信息仪器仪表工程无3102520210001423袁赛杰85400电子信息仪器仪表工程无4102520210009171郦姝伊85400电子信息仪器仪表工程无5102520210003215金焱85400电子信息仪器仪表工程无6102520210003041刘鑫85400电子信息仪器仪表工程无7102520210007015马明宇85400电子信息仪器仪表工程无8102520210002152陆萍85400电子信息仪器仪表工程无9102520210010246张宏博85400电子信息仪器仪表工程无10102520210007047胡景申85400电子信息仪器仪表工程无11102520210008250郑文迪85400电子信息仪器仪表工程无12102520210001597王煊85400电子信息仪器仪表工程无13102520210010250王新跟85400电子信息仪器仪表工程无14102520210000094赵婷85400电子信息仪器仪表工程无15102520210003656陆宇升85400电子信息仪器仪表工程无16102520210002247黄凯雯85400电子信息仪器仪表工程无17102520210002153翟慧慧85400电子信息仪器仪表工程无18102520210005185王昊85400电子信息仪器仪表工程无19102520210004565王明金85400电子信息仪器仪表工程无20102520210003223王怡沁85400电子信息仪器仪表工程无21102520210003654李园85400电子信息仪器仪表工程无22102520210004824张翔宇85400电子信息仪器仪表工程无23102520210001426颜超85400电子信息仪器仪表工程无24102520210000646谢春85400电子信息仪器仪表工程无25102520210004671汪芳85400电子信息仪器仪表工程无26102520210000525张杰85400电子信息仪器仪表工程无27102520210005402王玲玉85400电子信息仪器仪表工程无28102520210008015张骞85400电子信息仪器仪表工程无29102520210000589聂小栋85400电子信息仪器仪表工程无30102520210009068王晨85400电子信息仪器仪表工程无31102520210009069任昱瑄85400电子信息仪器仪表工程无32102520210005537毕铭成85400电子信息仪器仪表工程无33102520210002043陈奇85400电子信息仪器仪表工程无34102520210004566郑和庆85400电子信息仪器仪表工程无35102520210004803叶端胜85400电子信息仪器仪表工程无36102520210004148刘毅85400电子信息仪器仪表工程无37102520210008021朱小勇85400电子信息仪器仪表工程无38102520210010424杨舟浩85400电子信息仪器仪表工程无39102520210001424江斌85400电子信息仪器仪表工程无40102520210003789丁然85400电子信息仪器仪表工程无41102520210003655丁状状85400电子信息仪器仪表工程无42102520210003502曹友港85400电子信息仪器仪表工程无43102520210002944金柯85400电子信息仪器仪表工程无44102520210007200杨万利85400电子信息仪器仪表工程无45102520210000192郭慧茹85400电子信息仪器仪表工程无46102520210002154蒋思凡85400电子信息仪器仪表工程无47102520210007026赵子峰85400电子信息仪器仪表工程无48102520210006083宋智超85400电子信息仪器仪表工程无49102520210001422王怀志85400电子信息仪器仪表工程无50102520210005618王原85400电子信息仪器仪表工程无51102520210000588李广林85400电子信息仪器仪表工程无52102520210000093刘虎85400电子信息仪器仪表工程无53102520210001007王小铸85400电子信息仪器仪表工程无54102520210002658何飞85400电子信息仪器仪表工程无55102520210008638胡天浩85400电子信息仪器仪表工程无56102520210002534朱鑫磊85400电子信息仪器仪表工程无57102520210003720侯雨85400电子信息仪器仪表工程无58102520210010515吴章浩85400电子信息仪器仪表工程无59102520210003821胡攀85400电子信息仪器仪表工程无60102520210001425范贵明85400电子信息仪器仪表工程无61102520210005102项澜85400电子信息仪器仪表工程无62102520210003724戴健威85400电子信息仪器仪表工程无63102520210006925游国达85400电子信息仪器仪表工程无64102520210008787熊成81000信息与通信工程无65102520210009804顾俊卿81000信息与通信工程无66102520210004114王闻娟81000信息与通信工程无67102520210005882陈晨81000信息与通信工程无68102520210003438茅丽文81000信息与通信工程无69102520210009813付文凤81000信息与通信工程无70102520210008788杜小双81000信息与通信工程无71102520210002864赵葛剑81000信息与通信工程无72102520210002114张韬81000信息与通信工程无73102520210002291徐文成81000信息与通信工程无74102520210009814李蓉受81000信息与通信工程无75102520210002113潘超81000信息与通信工程无76102520210004544窦启燕81000信息与通信工程无77102520210001195刘建兵81000信息与通信工程无78102520210002292尹涛81000信息与通信工程无79102520210008071李涵81000信息与通信工程无80102520210006548安移81000信息与通信工程无81102520210003098许远航81000信息与通信工程无82102520210003168齐浩彬80400仪器科学与技术无83102520210008391齐先豪80400仪器科学与技术无84102520210003549程俊80400仪器科学与技术无85102520210004347冯婷80400仪器科学与技术无86102520210001832沈无双80400仪器科学与技术无87102520210003012钱祖建80400仪器科学与技术无88102520210004348张祥虎80400仪器科学与技术无89102520210001022黄崇渝80400仪器科学与技术无90102520210003093曹焱80400仪器科学与技术无91102520210000418闫云浩80400仪器科学与技术无92102520210003437童海泉80300光学工程无93102520210001822温毅权80300光学工程无94102520210007136贺瑜80300光学工程无95102520210009740章振荣80300光学工程无96102520210006694董永乐80300光学工程无97102520210002098王俊杰80300光学工程无98102520210002408郑金虎80300光学工程无99102520210001130王楠80300光学工程无100102520210003594欧少忠80300光学工程无101102520210000375颜佳翱80300光学工程无102102520210001307施昊松80300光学工程无103102520210000196张志文80300光学工程无104102520210007791王傲80300光学工程无105102520210005880张光彩80300光学工程无106102520210000458南博洋80300光学工程无107102520210001817朱倩80300光学工程无108102520210001665辛玮80300光学工程无109102520210008611石宇泽80300光学工程无110102520210001816倪天成80300光学工程无111102520210009741吴先钰80300光学工程无112102520210001818刘颖80300光学工程无113102520210009552杨丽80300光学工程无114102520210008081姜嘉威80300光学工程无115102520210001103孙博文80300光学工程无116102520210008158李勇80300光学工程无117102520210000417张波80300光学工程无118102520210005493姜去寒80300光学工程无119102520210004212占浩80300光学工程无120102520210004757孙璨80300光学工程无121102520210002278王全全80300光学工程无122102520210008612张世杰80300光学工程无123102520210004262梅金城80300光学工程无124102520210004111黄磊80300光学工程无125102520210000929胡海林80300光学工程无126102520210000654李冠良80300光学工程无127102520210009732葛楠80300光学工程无128102520210002769刘琦80300光学工程无129102520210000636余越80300光学工程无130102520210004112洪亮80300光学工程无131102520210009549陈昌80300光学工程无132102520210004214张兰亚80300光学工程无133102520210004540彭瑞杰80300光学工程无134102520210008750李智80300光学工程无135102520210002371樊程祥85400电子信息光学工程无136102520210010656宋瑞昕85400电子信息光学工程无137102520210005848牟彦霏85400电子信息光学工程无138102520210010658周文杰85400电子信息光学工程无139102520210001757刘煜85400电子信息光学工程无140102520210001578倪璐璐85400电子信息光学工程无141102520210005052孙阳85400电子信息光学工程无142102520210002813沈李正一85400电子信息光学工程无143102520210002370范学仕85400电子信息光学工程无144102520210010660史肖阳85400电子信息光学工程无145102520210005199胡翰文85400电子信息光学工程无146102520210005573杨沛钢85400电子信息光学工程无147102520210001762张岭85400电子信息光学工程无148102520210004276颜宗强85400电子信息光学工程无149102520210001143胡晓楠85400电子信息光学工程无150102520210002368高阳85400电子信息光学工程无151102520210000684刘建钊85400电子信息光学工程无152102520210009141何康85400电子信息光学工程无153102520210005767张昊85400电子信息光学工程无154102520210004594徐静静85400电子信息光学工程无155102520210001756单晓85400电子信息光学工程无156102520210006940黄乾坤85400电子信息光学工程无157102520210008287栾广瑞85400电子信息光学工程无158102520210000858孙凯85400电子信息光学工程无159102520210002241葛委南85400电子信息光学工程无160102520210000622王金凤85400电子信息光学工程无164102520210001244闫韶健85400电子信息光学工程无165102520210001759陈龙85400电子信息光学工程无166102520210003419朱银飞85400电子信息光学工程无167102520210004409刘稳稳85400电子信息光学工程无168102520210003526张浩85400电子信息光学工程无169102520210004410李辩85400电子信息光学工程无170102520210003933贾潜伟85400电子信息光学工程无171102520210004439赵姗姗85400电子信息光学工程无172102520210005050孙伟85400电子信息光学工程无173102520210005053董雯雯85400电子信息光学工程无174102520210005451张广威85400电子信息光学工程无175102520210005051葛宇晨85400电子信息光学工程无176102520210005850季秉煜85400电子信息光学工程无177102520210002243谢周宇85400电子信息光学工程无178102520210004327陈元亮85400电子信息光学工程无179102520210002829周回85400电子信息光学工程无180102520210008039熊虎85400电子信息光学工程无181102520210005574陈文彬85400电子信息光学工程无182102520210004842郑增荣85400电子信息光学工程无183102520210006576朱非凡85400电子信息光学工程无184102520210007818陈迎港85400电子信息光学工程无185102520210004675安静85400电子信息光学工程无186102520210003073钱峻85400电子信息光学工程无187102520210005200李绍鑫85400电子信息光学工程无188102520210008022舒坦85400电子信息光学工程无189102520210005908董朝淼85400电子信息光学工程无190102520210001953陈嘉宁85400电子信息光学工程无191102520210007851陈益姝85400电子信息光学工程无192102520210002372张文星85400电子信息光学工程无193102520210006175龙耀强85400电子信息光学工程无194102520210004274强铭85400电子信息光学工程无195102520210001153罗娜85400电子信息光学工程无196102520210002528卢彬彬85400电子信息光学工程无197102520210007949李佳颖85400电子信息光学工程无198102520210009136王宜菲85400电子信息光学工程无199102520210001581刘峥85400电子信息光学工程无200102520210001688庄嘉庆85400电子信息光学工程无201102520210005223陈聪85400电子信息光学工程无202102520210001579汤成85400电子信息光学工程无203102520210004673朱迪85400电子信息光学工程无204102520210008040闵新港85400电子信息光学工程无205102520210002827蒯思羽85400电子信息光学工程无206102520210004237唐剑85400电子信息光学工程无207102520210005453王肖阳85400电子信息光学工程无208102520210008205刘树婷85400电子信息光学工程无209102520210004593方之强85400电子信息光学工程无210102520210009211钟艺85400电子信息光学工程无211102520210001580郭彩蓉85400电子信息光学工程无212102520210010423郁子恩85400电子信息光学工程无213102520210001015徐达85400电子信息光学工程无214102520210004864梅海城85400电子信息光学工程无218102520210004892林燕妮85400电子信息光学工程无219102520210002828杨涵85400电子信息光学工程无220102520210005450赵倩阳85400电子信息光学工程无221102520210004328陈玲玲85400电子信息光学工程无222102520210010427吴佳伟85400电子信息光学工程无223102520210006799李润泽85400电子信息光学工程无224102520210008090赵斌85400电子信息光学工程无225102520210001572周智轩85400电子信息光学工程无226102520210010430王梓屹85400电子信息光学工程无227102520210003525周力85400电子信息光学工程无228102520210001584范威宇85400电子信息光学工程无229102520210004275王奋靖85400电子信息光学工程无230102520210010653闫俊屹85400电子信息光学工程无231102520210005222郭松85400电子信息光学工程无232102520210010433李党党85400电子信息光学工程无233102520210001142刘博文85400电子信息光学工程无234102520210002958周天85400电子信息光学工程无235102520210004835郑杭85400电子信息光学工程无236102520210001141胡松岩85400电子信息光学工程无237102520210009585诸葛禹阳81200计算机科学与技术无238102520210002578陈毅超81200计算机科学与技术无239102520210001246李迦楠81200计算机科学与技术无240102520210009606李昂81200计算机科学与技术无241102520210008034唐伟明81200计算机科学与技术无242102520210006557白高磊81200计算机科学与技术无243102520210003002朱嘉辉81200计算机科学与技术无244102520210000877李啟铜81200计算机科学与技术无245102520210000282王智81200计算机科学与技术无246102520210009630戴兴龙81200计算机科学与技术无247102520210003005夏文宗81200计算机科学与技术无248102520210004734荀鹏81200计算机科学与技术无249102520210007943王怡81200计算机科学与技术无250102520210007428安芷楠81200计算机科学与技术无251102520210009064刘山林81200计算机科学与技术无252102520210004206赵旭81200计算机科学与技术无253102520210008566何涛81200计算机科学与技术无254102520210003959王丹81200计算机科学与技术无255102520210006693梁树勋81200计算机科学与技术无256102520210007451张文双81200计算机科学与技术无257102520210007842董彪81200计算机科学与技术无258102520210007894刘丹81200计算机科学与技术无259102520210005917李顺凤81200计算机科学与技术无260102520210003004洪星琦81200计算机科学与技术无261102520210009576姚佳浩81200计算机科学与技术无262102520210006210董亚鑫81200计算机科学与技术无263102520210003569陶挺81200计算机科学与技术无264102520210009873陈佳钦83500软件工程无265102520210009898张宝兴83500软件工程无266102520210006283李天娇83500软件工程无267102520210001720宗旭83500软件工程无268102520210009876韩俊杰83500软件工程无269102520210002118岳彩梦83500软件工程无270102520210008588张永生83500软件工程无271102520210003184王君然83500软件工程无272102520210001328曹杰83500软件工程无273102520210001333张欣怡83500软件工程无274102520210009907沈思宇83500软件工程无275102520210003101孙煜83500软件工程无276102520210007266吴远航83500软件工程无277102520210007795周萍83500软件工程无278102520210004941项紫晨83500软件工程无279102520210003778许志华83500软件工程无280102520210009896高炳涛83500软件工程无281102520210004843郑孝劲83500软件工程无282102520210007897楼泽瑶83500软件工程无283102520210004217祝胜泉83500软件工程无284102520210002122刘采玥83500软件工程无285102520210008701韩建功83500软件工程无286102520210001330郭东升83500软件工程无287102520210009889王锁成83500软件工程无288102520210000867董明83500软件工程无289102520210008628罗洁83500软件工程无290102520210005756王誉熹85400电子信息计算机技术无291102520210003991胡焱兵85400电子信息计算机技术无292102520210010507洪伟彬85400电子信息计算机技术无293102520210001749姜勇85400电子信息计算机技术无294102520210010465陈胤杰85400电子信息计算机技术无295102520210003313吴航85400电子信息计算机技术无296102520210010480周率85400电子信息计算机技术无297102520210007102张硕85400电子信息计算机技术无298102520210005022杨中金85400电子信息计算机技术无299102520210003921王文明85400电子信息计算机技术无300102520210003807赵迎志85400电子信息计算机技术无301102520210002352胡汝博85400电子信息计算机技术无302102520210002703陈钟军85400电子信息计算机技术无303102520210001534邢家熠85400电子信息计算机技术无304102520210000148冯泽坤85400电子信息计算机技术无305102520210003060童林85400电子信息计算机技术无306102520210001683李睿85400电子信息计算机技术无307102520210008170罗琦85400电子信息计算机技术无308102520210001535俞璎时85400电子信息计算机技术无309102520210006197张淑淑85400电子信息计算机技术无310102520210008168胡清丰85400电子信息计算机技术无311102520210001552丁亚飞85400电子信息计算机技术无312102520210007409潘杰忠85400电子信息计算机技术无313102520210003449顾登华85400电子信息计算机技术无314102520210010488陶雨棚85400电子信息计算机技术无315102520210005964李明浩85400电子信息计算机技术无316102520210000449李文楷85400电子信息计算机技术无317102520210004189李德云85400电子信息计算机技术无318102520210001921刘冰清85400电子信息计算机技术无319102520210001927蒯新晨85400电子信息计算机技术无320102520210005220付建平85400电子信息计算机技术无321102520210010481林明洁85400电子信息计算机技术无322102520210001923宋婷婷85400电子信息计算机技术无323102520210010493李昌辉85400电子信息计算机技术无324102520210007051李欣歌85400电子信息计算机技术无325102520210000299李玮嘉85400电子信息计算机技术无326102520210008800武金伟85400电子信息计算机技术无327102520210004143林杰85400电子信息计算机技术无328102520210000528尤晨璐85400电子信息计算机技术无329102520210005965崔卓栋85400电子信息计算机技术无330102520210001746杨凡舟85400电子信息计算机技术无331102520210010504姜云杰85400电子信息计算机技术无332102520210007806丁冬冬85400电子信息计算机技术无333102520210007057李乐阳85400电子信息计算机技术无334102520210003810吴明明85400电子信息计算机技术无335102520210010496陈锋85400电子信息计算机技术退役士兵计划336102520210001546曹伟85400电子信息计算机技术无337102520210000472董田荣85400电子信息计算机技术无338102520210008136刁昕85400电子信息计算机技术无339102520210004665胡琪85400电子信息计算机技术无340102520210007155范志浩85400电子信息计算机技术无341102520210001833杨世伟81100控制科学与工程无342102520210009782吴冰源81100控制科学与工程无343102520210009776刘铭81100控制科学与工程无344102520210009800胡文凯81100控制科学与工程无345102520210003013熊娟81100控制科学与工程无346102520210004034夏强强81100控制科学与工程无347102520210009754焦传扬81100控制科学与工程无348102520210003498周明君81100控制科学与工程无349102520210002104张慧81100控制科学与工程无350102520210002107瞿广辉81100控制科学与工程无351102520210007995何文81100控制科学与工程无352102520210009760上官天钧81100控制科学与工程无353102520210007996蔡书琛81100控制科学与工程无354102520210008295冯卓儒81100控制科学与工程无355102520210001831崔文杰81100控制科学与工程无356102520210005323南娇81100控制科学与工程无357102520210004695杨晨81100控制科学与工程无358102520210001825蔡贤杰81100控制科学与工程无359102520210009758徐星源81100控制科学与工程无360102520210004927孙林81100控制科学与工程无361102520210009763张磊81100控制科学与工程无362102520210006441司轲81100控制科学与工程无363102520210004359高文强81100控制科学与工程无364102520210001712赵星81100控制科学与工程无365102520210000711王勋81100控制科学与工程无366102520210009784覃俞璋81100控制科学与工程无367102520210002860秦佳林81100控制科学与工程无368102520210004789谭岩杰81100控制科学与工程无369102520210002287蔡先航81100控制科学与工程无370102520210009762杨昊川81100控制科学与工程无371102520210009794李世港81100控制科学与工程无372102520210007997姜喜胜81100控制科学与工程无373102520210006734徐坤81100控制科学与工程无374102520210003965李想81100控制科学与工程无375102520210003964陶宇81100控制科学与工程无376102520210002106邬婷婷81100控制科学与工程无377102520210003011谢熙君81100控制科学与工程无378102520210009226王哲81100控制科学与工程无379102520210007793向鑫81100控制科学与工程无380102520210002112臧莎莎81100控制科学与工程无381102520210004460黄玫81100控制科学与工程无382102520210009770郭颖81100控制科学与工程无383102520210006260许超杰81100控制科学与工程无384102520210003967徐国骏81100控制科学与工程无385102520210002289孙存81100控制科学与工程无386102520210006150阚亚亚81100控制科学与工程无387102520210007575郑鹏营81100控制科学与工程无388102520210001828梁陈烨81100控制科学与工程无389102520210005682王茂栋81100控制科学与工程无390102520210008272张育榕81100控制科学与工程无391102520210002770张甜甜81100控制科学与工程无392102520210001310纪张逸凡81100控制科学与工程无393102520210004788孔文翔81100控制科学与工程无394102520210002858丁哲琪81100控制科学与工程无395102520210002253林旭85400电子信息控制工程无396102520210003820何志强85400电子信息控制工程无397102520210008900王睿忠85400电子信息控制工程无398102520210004443汪伟85400电子信息控制工程无399102520210001602胡栋楠85400电子信息控制工程无400102520210003231楼家祺85400电子信息控制工程无401102520210002736赵宇85400电子信息控制工程无402102520210010689邱凌峰85400电子信息控制工程无403102520210002248于智洪85400电子信息控制工程无404102520210010709李元昊85400电子信息控制工程无405102520210001600梁志远85400电子信息控制工程无406102520210005577尚朝辉85400电子信息控制工程无407102520210004095潘文哲85400电子信息控制工程无408102520210001107涂俊85400电子信息控制工程无409102520210001963张葛85400电子信息控制工程无410102520210005770韩瀛昊85400电子信息控制工程无411102520210004809赵强85400电子信息控制工程无412102520210003359林衍照85400电子信息控制工程无413102520210006427李皓秋85400电子信息控制工程无414102520210005054傅双杰85400电子信息控制工程无415102520210002057陈奕帆85400电子信息控制工程无416102520210000768张之江85400电子信息控制工程无417102520210002255高鹏程85400电子信息控制工程无418102520210004622忻腾浩85400电子信息控制工程无419102520210003422王晓锋85400电子信息控制工程无420102520210010710李玉明85400电子信息控制工程无421102520210002726陈佳佳85400电子信息控制工程无422102520210003230柴淞威85400电子信息控制工程无423102520210001592陆鑫85400电子信息控制工程无424102520210008541任子豪85400电子信息控制工程无425102520210002249郑玉恒85400电子信息控制工程无426102520210010694金涛85400电子信息控制工程无427102520210008542吴启标85400电子信息控制工程无428102520210010680吴旭明85400电子信息控制工程无429102520210001965周志85400电子信息控制工程无430102520210006680密豪坤85400电子信息控制工程无431102520210005856步同杰85400电子信息控制工程无432102520210002530蔡靖85400电子信息控制工程无433102520210001689周筱雨85400电子信息控制工程无434102520210004002张明杨85400电子信息控制工程无435102520210003727张忠85400电子信息控制工程无436102520210007868陈旭85400电子信息控制工程无437102520210002378周徐虎85400电子信息控制工程无438102520210001958范忠强85400电子信息控制工程无439102520210002246袁巫凯85400电子信息控制工程无440102520210002728朱梦念85400电子信息控制工程无441102520210001587李杰85400电子信息控制工程无442102520210002831徐磊85400电子信息控制工程无443102520210003819王鹏85400电子信息控制工程无444102520210006516张容祥85400电子信息控制工程无445102520210002830陈学谦85400电子信息控制工程无446102520210001594沈祥飞85400电子信息控制工程无447102520210007919孙思昊85400电子信息控制工程无448102520210001217李浩85400电子信息控制工程无449102520210005056谢苏85400电子信息控制工程无450102520210010707汤玉春85400电子信息控制工程无451102520210002257黄学雷85400电子信息控制工程无452102520210002538陆禹85400电子信息控制工程无453102520210008025庞江飞85400电子信息控制工程无454102520210006964陈颖85400电子信息控制工程无455102520210001960卢坤杰85400电子信息控制工程无456102520210005455赵国承85400电子信息控制工程无457102520210002254马文杰85400电子信息控制工程无458102520210004193王超锋85400电子信息控制工程无459102520210003155徐硕85400电子信息控制工程退役士兵计划460102520210000765孙曦85400电子信息控制工程无。
题目:厄密高斯关联光束的时空特性研究
硕士研究生:汪芳(指导教师:蔡阳健教授)
题目:部分相干光的相干度调节及其频谱变化
硕士研究生:吴腾飞(指导教师:蔡阳健教授)
题目:多高斯关联矢量光束的紧聚焦特性研究
硕士研究生:平成城(指导教师:蔡阳健教授)
答辩委员会
主席:宋瑛林教授(苏州大学物理与光电·能源学部)委员:王雪峰教授(苏州大学物理与光电·能源学部)王飞副教授(苏州大学物理与光电·能源学部)秘书:刘琳博士(苏州大学物理与光电·能源学部)
答辩时间:2018年5月20日上午9:00 开始
答辩地点:物理科技楼105 室(中)
欢迎各位老师、研究生参加!
题目:二甲氨基-甲醛衍生物的超快激发态非线性光学特性研究
硕士研究生:金桐兴(指导教师:宋瑛林教授)
答辩委员会
主席:王雪峰教授(苏州大学物理与光电·能源学部)委员:蔡阳健教授(苏州大学物理与光电·能源学部)王飞副教授(苏州大学物理与光电·能源学部)秘书:刘琳博士(苏州大学物理与光电·能源学部)
答辩时间:2018年5月20日上午10:30 开始
答辩地点:物理科技楼105 室(中)
欢迎各位老师、研究生参加!。