周礼知识试题
- 格式:doc
- 大小:38.00 KB
- 文档页数:2
一、判断题(共12道小题,共60.0分)1.西方文明主张人性本恶,中华文明主张人性本善。
A.正确B.错误知识点: 礼之义理学生答案: [A;]标准答案:A得分: [5] 试题分值:5.0提示:2.儒家认为所有人都不应该听“音”,应强制听“乐”。
A.正确B.错误知识点: 礼之义理学生答案: [B;]标准答案:B得分: [5] 试题分值:5.0提示:3.敬是讲实用的,对于在世的人应该敬,对于过世的人或历史人物则不需要。
A.正确B.错误知识点: 礼之义理学生答案: [B;]标准答案:B得分: [5] 试题分值:5.0提示:4.书信的正文结束后,要先落款,再写祝愿语。
A.正确B.错误知识点: 修身待人学生答案: [B;]标准答案:B得分: [5] 试题分值:5.0提示:5.(错误)“唐太宗”是李世民的庙号。
A.正确B.错误知识点: 修身待人学生答案: [B;]标准答案:A得分: [0] 试题分值:5.0提示:6.交谈时,可以偶尔将视线调整至对方眼睛以下、胸部以上的区域,这样既可以避免目光时时接触的紧张,也表明仍然在关注对方。
A.正确B.错误知识点: 修身待人学生答案: [A;]标准答案:A得分: [5] 试题分值:5.0提示:7.《中庸》和《大学》是《礼记》中最著名的两篇,被朱熹选为四书之列。
A.正确B.错误知识点: 礼之初探学生答案: [A;]标准答案:A得分: [5] 试题分值:5.0提示:8.《周礼》原名《周官》,内容为官制,没有涉及礼的其他内容。
A.正确B.错误知识点: 礼之初探学生答案: [A;]标准答案:A得分: [5] 试题分值:5.0提示:9.(错误)人类心性的发展与体质的发展是同步的。
A.正确B.错误知识点: 礼之初探学生答案: [A;]标准答案:B得分: [0] 试题分值:5.0提示:10.人类文明史可以理解为,人类从体质到心性不断脱离动物界的过程。
A.正确B.错误知识点: 礼之初探学生答案: [A;]标准答案:A得分: [5] 试题分值:5.0提示:11.(错误)“古今家训,以此为祖”指的是《颜氏家训》。
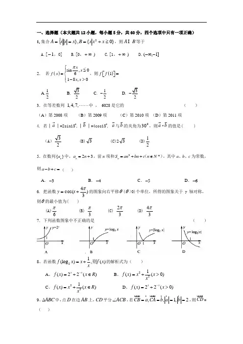
一、选择题(本大题共12小题,每小题5分,共60分,四个选项中只有一项正确)1.集合{}0{},2≥+===x x x B x x x A ,则B A 等于A.[1-,0]B.[0,∞+)C.[1,∞+)D.]1,(--∞2. 若()sin,0618,0xx f x x x π⎧≤⎪=⎨⎪->⎩,则()1f f ⎡⎤=⎣⎦A.12B. C. 12-D.3.在等差数列 1,4,7,⋅⋅⋅⋅⋅⋅中 , 6028是它的 ( ) (A )第2008项 (B )第2009项(C )第2010项 (D )第2011项4. 若││=2sin150,││=4cos150, 与的夹角为030,则•的值是( ) (A )23(B)3 (C)23 (D)215.在数列{}n a 中,23n a n =+,前n 项和2*n S an bn c n N =++∈(),其中a 、b 、c 为常数,则a b c -+=( ) A .3-B .4-C .5-D .6-6. 把函数)34cos(π+=x y 的图象向右平移θ(θ>0)个单位,所得的图象关于y 轴对称,则θ的最小值为( )(A)6π (B) 3π (C) 32π (D) 34π7.下列函数图象中不正确的是( )8、若函数21(log ),()f x x f x x=+则的解析式为( ) A 、()22()xxf x x R -=+∈ B 、221()(0)f x x x x =+> C 、221()()f x x x R x =+∈D 、()22(0)xxf x x -=+>9、ABC ∆中,点D 在边AB 上,CD 平分ACB ∠,若,,1,2CB aC A b a b ====,则CD =( )12433421 (33555533)A a bB a bC a bD a b ++++ 10.函数10()82sin(),03kx x f x x x πωϕ+≤<⎧⎪=⎨+≤≤⎪⎩ -3 的图象如图所示,则,,k ωϕ分别是( )A .11,,326k πωϕ===B .11,,323k πωϕ===C .3,2,6k πϖϕ===D .3,2,3k πϖϕ===11、已知向量a ,b 满足||2||0=≠a b ,且关于x 的函数3211()||32f x x x x =++⋅a a b 在R 上有极值,则向量a,b 的夹角θ的取值范围为( ) A. [0,)6πB. (,]6ππC. (,]3ππD. 2(,]33ππ12、从4名男生和3名女生中选出3人,分别从事三项不同的工作,若这3人中至少有一名女生,则选派方案共有( )种A. 108B. 186C. 216D. 270二、填空题:本大题共4小题,每小题4分,共16分,把答案填在答题卡上。
第一课夏商西周的政治制度1、周代分封制下,各封国贵族按“周礼”行事,学说统一的“雅言”,促进了各地文化的整合。
周代的“雅言”最早应起于现在的A.河南 B.河北 C.陕西 D.山东2、为避免出现“废嫡而更立诸弟子,弟子或争相代立”的混乱情形,周朝开始确立A.禅让制 B.嫡长子继承制 C.分封制 D.王位世袭制3、“岱宗夫如何?齐鲁青未了。
”杜甫诗中以“齐鲁”称谓山东是源于A.分封制B.宗法制 C.郡县制 D.行省制4、《孟子·告子》载:“天子适诸侯,曰巡狩诸侯朝于天子,曰述职,一不朝,则贬其爵,再不朝,则削其地,三不朝,则六师移(讨伐)。
”这段材料反映了()A.西周初年的分封制 B.西周末年周王室的衰落C.春秋时期的诸侯争霸D.战国时期的群雄并立5、“亲情是缘,相聚是缘”,这是自古以来就深存于每一个中国人心底的情结。
追根溯源,下列制度中与这种珍惜亲情、渴望相聚情结形成有密切关系的是()A.井田制 B.宗法制 C.分封制 D.郡县制6、历史典故“烽火戏诸侯”中,诸侯因义务所在,蜂拥而至勤王。
这一典故是下列哪一政治制度的反映()A.宗法制 B. 郡县制 C. 分封制 D. 王位世袭制7、斯塔夫里阿诺斯在《全球通史》中说:“中国人的姓总是位于个人的名字之前,而不像西方那样,位于个人的名字之后。
”中国人强调姓所反映的是A. 男尊女卑思想严重B. 家族宗法观念浓厚C. 个人观念淡漠D. 专制王权强大8、香港中学历史教材描述西周:“在封建制度下周天子具有‘一尊’的统治地位,诸侯必须服从天子的命令。
”书中的“封建制度”在内地中学历史教材的提法是A.分封制 B.封建社会 C.君主专制 D.中央集权制度9、福建土楼已被列入世界文化遗产名录,在著名的承启楼前有一幅楹联:“一本所生,亲疏无多,何须待分你我;共楼居住,出入相见,最易结重人伦”。
该联所体现的文化内涵源于下列哪一种制度A.郡县制 B.分封制 C.宗法制D.内外服制10、宗法制的核心内容是嫡长子继承制,即“立嫡以长不以贤,立子以贵不以长”。
第01课中华文明的起源与早期国家练习题学校:___________姓名:___________班级:___________考号:___________一、单选题1.周公参酌殷礼,制定了田制、官制、禄制、乐制、法制、谥制、谶服制、嫡长子继承制等,称为“周礼”,以此为后人所称道.这反映了西周A.继承了商朝的礼乐制度B.形成了完备的典章制度C.建立了理性的礼制社会D.完善了官僚行政体制2.西周分封制在中国历史上影响深远。
下列省、自治区中,其简称源自西周封国国名的是A.河南、河北B.湖南、湖北C.山东、山西D.广东、广西3.分封制也叫封建制,即狭义的“封建”,由共主或中央王朝给王室成员、贵族和功臣分封领地。
下列选项与西周分封制没有内在联系的是A.“裂都会而为之郡邑”B.“诸侯朝于天子,曰述职”C.“周公…立七十一国”D.山东素有“齐鲁大地”之称4.周的政治体制中实权下放、虚权保留的模式,在彼此矛盾激化、亲情疏远的情况下,自然不再温情脉脉,春秋时代也便有且只有僭越频发的可能。
材料中评价的政治体制为A.分封制B.宗法制C.郡县制D.礼乐制度5.商朝信仰天帝的权威,《礼记》则有“君天下曰天子”的记载,唐代经学家孔颖达对此的注释“是上天之子,又为天所命子养下民”。
由此可见周朝“礼”的文化()A.有效维护了分封制和宗法制B.为周取代商提供了社会基础C.为强化王权提供了理论依据D.使神权王权的结合更为密切6.国学大师钱穆认为,中国古代史“前一段落为秦以前的封建政治,后一段落为秦以后之郡县政治”。
以下对这两大“政治”的理解正确的是( )A.都是地方制度,加强了中央集权B.都顺应了历史潮流,维护了封建统治C.都以血缘为纽带,实现了权力的高度集中D.前者是贵族政治,后者是官僚政治7.“人们一说起中国发现的远古人类,没有不首先提到北京人的。
”下列关于北京人的叙述,错误的是A.是我国境内目前已确认的最早的古人类B.依然保留着某些猿的特征但能直立行走C.已经会用火烧烤食物和长时间保存火种D.能够使用粗糙的打制石器并过群居生活8.能够较典型地反映我国原始农耕生活的是①北京人②元谋人③河姆渡人④半坡人A.①②B.③④C.①④D.②③9.中国农业起源于距今(2021年)10000年左右的新石器时代早期,农业生产有着悠久的历史。
礼记》二则综合测试题答案解析1.正确答案为A。
注音完全正确。
2.正确答案为C。
选贤举能书写正确。
3.正确答案为D。
知困然后能自强也的节奏划分正确。
4.正确答案为C。
选贤与能,讲信修睦不含通假字。
5.正确答案为A。
其①其此之谓乎和货恶其弃于地也意义和用法相同。
6.正确答案为C。
讲信修睦的意义与现代汉语相同。
7.正确答案为D。
故外户而不闭不属于词类活用。
8.正确答案为C。
力恶其不出于身也不是特殊句式。
9.正确答案为B。
《大道之行也》并未从“货尽其用”这一方面来说明大同社会的特征。
D.《大道之行也》阐明了儒家理想中的“大同”社会的基本特征,表达了作者对这个理想社会的向往。
XXX所描绘的世外桃源与课文中所描绘的大同社会则是另一番景象。
在课文中,“天下为公”、“选贤与能”、“夜不闭户”是治理“大同”社会的三个最高纲领。
这些思想表达了儒家理想中的“大同”社会的基本特征,即人人平等、和谐共处、互相帮助。
XXX所描绘的世外桃源则是一个与世隔绝的理想之地,那里的人们过着自给自足的生活,没有纷争和烦恼。
两者虽然不同,但都表达了对理想社会的向往。
⑴《礼记》,又叫《周礼》,是汉至秦汉间儒家论著的汇编,相传是西汉经学家XXX编纂的,共三十篇。
⑵《大学》是《礼记》中的一篇,是中国教育史上,也是世界教育史上第一部教育学的专著。
3)儒家经典著作是“四书”“五经”。
“五经”是《诗经》《尚书》《礼记》《周易》《春秋》。
4)《虽有嘉肴》中的成语是“虽千万人,吾往矣”,《大道之行也》中有两个成语,它们分别是“止于至善”和“物善则必移”。
17、根据理解默写一个空1分,错字不给分,共9分⑴《虽有佳肴》中,说明研究和教学之后能让人知道自身不足的句子是:“虽千万人,吾往矣”,“不知其旨也”。
⑵《虽有佳肴》中一文中重视实践,要求把明白的道理付诸行动,通过行动来证明道理是否正确的句子是:“知之者不如行之,行之者不如足以知之”,“博学而笃志,切问而近思,仁在其中矣”。
考点Ol夏、商、西周的政治制度【新题速递】1.(2020年新课标全国卷I , 24,4分)据《史记》记载,春秋时期,楚国国君熊通要求提升爵位等级,遭到周桓王拒绝。
熊通怒称现在周边地区都归附了楚国,"而王不加位,我自尊耳""乃自立,为(楚)武王”。
这表明当时周朝A.礼乐制度不复存在B.王位世袭制度消亡C.宗法制度开始解体D.分封制度受到挑战【答案】D【解析】礼乐制度是强化分封制、宗法制中的等级部分,要求贵族在衣、食、住、行等方而都要符合自己的等级、身份,题「信息与礼乐制度没有直接关系:另外,题千信息只有楚国国君熊通自立为王的一个事例,不能得出“礼乐制度不复存在“的普遍结论,排除A。
题「信息没有涉及王位世袭制度:另外,王位世袭制度当时也没有消亡,不合史实,排除B。
宗法制度主要内容是嫡长子继承、小宗服从大宗等,题干信息没有涉及宗法制度,C不正确。
根据所学内容可知,分封制下诸侯获得封位都要得到周天子的认可,根据“而王不加位,我自尊耳''可知楚王自立为王的做法是对分封制的破坏,说明当时分封制度受到挑战,故选D.2.(2020年天津卷,3, 3分)有学者认为,在中国古代社会,官府对县以下的乡村管辖,基本限于征徭课税和维护治安,对乡村的其他事务并不过多干涉,乡村基本实行自治,这种自治社会也是一种自律社会。
可以作为这一观点依据的是A.国家政权的长期稳泄B.宗法教化形成的文化认同C.法律制度的健全完备D.乡村社会脱离政府的管控【答案】B【解析】依据所学知识可知,中国古代地方宗族内部注重社会教化和乡规里约,在此基础上形成了文化认同,因此古代乡村基本实行自治,故B正确:国家政权的长期稳泄不是乡村实行自治的必然原因,故A错误;中国古代的法律制度远未达到健全完备的地步,故C错误;"官府对县以下的乡村管辖,基本限于征徭课税和维护治安”说明乡村依然受政府的管控,故D错误。
周礼中学高2017届高一上物理半期试题班级: 姓名:一、选择题(本题包括10小题,共40分。
在每小题给出的四个选项中,有的小题只有一个选项正确,有的小题有多个选项正确。
全部选对的得满分,选不全的得一半分数,有选错或不答的得0分。
)1.下列关于质点的说法正确的是( ) A .只要是小的物体,就可以看作质点B .当物体的大小和形状对研究的问题没有影响或影响可以忽略时, 可用质点来代替物体C .裁判跳水运动员的成绩,可以将其视为质点D .研究足球的运动轨迹可将其视为质点2.氢气球升到离地面80m 高空时从上掉下一个物体,物体又上升了10m 高后开始下落,若取向上为正,则物体从掉落开始至地面时位移和经过的路程分别为( ) A .80m 100m B .-80m 100m C .90m 180m D .-90m 180m 3.以下关于力的说法正确的是( )A .力可以没有施力物体,但不能离开受力物体B .只有直接接触的物体间才有力C .自然界只有三种基本相互作用,分别是电磁相互作用、强相互作用、弱相互作用D .物体各部分都受到重力,可将物体的重力等效集中在一点,这一点叫物体的重心 4.物体甲的v-t 图象和物体乙的x-t 间图象分别如图所示,则这两个物体的运动情况是( )A .甲在0-4s 内有来回运动,通过的路程为12mB .甲在0-4s 内运动方向一直不变,通过的位移大小为6mC .乙在0-4s 内有来回运动,通过的路程为12mD .乙在0-4s 内运动方向一直不变,通过的位移大小为6m5.一个物体从某一高度做自由落体运动, 已知它第一秒内的位移恰为它最后一秒内位移的一半, g 取10m/s 2, 则它开始下落时距地面的高度为( )A.5mB. 11.25mC. 20mD. 31.25m6.如图所示,竖直放置的轻弹簧一端固定在地面上,另—端与斜面体P 连接,P 与斜放的固定挡板MN 接触且处于静止状态,弹簧处于竖直方向,则斜面体P 此刻受到外力个数可能为 ( )A. 2个B. 3个C.4个D. 5个7.用水平方向的力F 将重为G 的木块压在竖直墙壁上静止不动, 如图所示,当力F 增大到2F 时墙对木块的摩擦力( ) A .是原来的2倍 B .与原来的相等C .是原来的3倍D .是原来的21倍8.一个实验小组在“探究弹力和弹簧伸长的关系”的实验中,使用两条不同的轻质弹簧a 和b ,得到弹力与弹簧长度的图象如右图所示.下列表述正确的是( ) A .a 的原长比b 的长 B .a 的劲度系数比b 的大 C .a 的劲度系数比b 的小D .在弹性限度内测得的弹力与弹簧的长度成正比9.甲、乙两物体先后从同一地点出发,沿一条直线运动,它们的v-t 图象如图所示,由图可知( )A .甲比乙运动快,且早出发,所以乙追不上甲B .t=20s 时,乙追上了甲C .在t=20s 之前,甲比乙运动的快,t=20s 之后乙比甲运动快D .由于乙在t=10s 时才开始运动,所以t=10s 时,甲在乙前面, 10.下列物体的受力分析图正确的是( )二.实验题(共16分,11题10分,12题6分)11.①(3分)使用电火花打点计时器来分析物体运动情况的实验中,有如下基本步骤: A 、把电火花打点计时器固定在桌子上 B 、安好纸带C 、松开纸带让物体带着纸带运动D 、接通220V 交流电源 这些步骤正确的排列顺序为____________。
周礼中学九年级上半期前物理模拟试题一、选择题(每小题只有一个选项正确,将正确答案的字母填在机读卡上,多选、错选或不选均不得分,每小题3分,共30分)1.清晨,小岚摇动荷叶上的露珠,她发现两颗露珠相互接触时能自动结合成一颗较大的露珠。
这一事实说明( )A .分子间有间隙B .物质间有扩散现象C .分子间有斥力D .分子间有引力 2. 将一铁块投入到装有水的烧杯中,它们之间没有发生热传递,这是因为( ) A .它们具有相同的热量 B .它们具有相同的内能 C .它们具有相同的温度 D .它们具有相同的比热容3. 四句话中都有一个“热”字,其中哪一句话中的“热”字表示温度( ) A .热传递 B .物体吸热温度升高 C .摩擦生 D .今天天气很热 3. 水和煤油吸收的热量相等,水的比热是煤油的2倍,水升高的温度是煤油的1/3倍,则它们的质量之比m水:m 油是 ( )A. 3:2B. 2:3C. 1:6D.6:1 4.下列流程图是用来说明单缸四冲程汽油机的一个工作循环及涉及到的主要能量转化情况.关于对图中①②③④的补充正确的是( )A .①做功冲程 ②内能转化为机械能 ③压缩冲程 ④机械能转化为内能B .①压缩冲程 ②内能转化为机械能 ③做功冲程 ④机械能转化为内能C .①压缩冲程 ②机械能转化为内能 ③做功冲程 ④内能转化为机械能D .①做功冲程 ②机械能转化为内能 ③压缩冲程 ④内能转化为机械能4.在密闭的房间里有一个开着门的电冰箱,给电冰箱通电,过一段时间后,房间的温度会( )A .升高B .降低 c .不变 D .无法确定 5.验电器可用来检测( )A .电流做功的多少B .电路中电流的大小C .物体是否带电D .电路两端的电压 6.下列情况中一定有电流通过的是 ( )A .带有电荷的物体B .有电荷运动的导体C .两端有电压的电路D .正有消耗电能的用电器 7.下面的几种叙述中,哪一种是并联电路的特征?( )A .电路中每一处的电流都相等B .电路中任何一处断开都会引起断路C .各条支路上的电压都相等D .电路上各部分电压之和等于总电压 8.下列四个电路图中,当开关闭合时,两个灯泡组成并联电路的是( )A B C D9.如图所示,电源电压保持不变,当电键S 闭合,滑动变阻器的滑片P 向右滑动时,下列说法正确的是( ) A .V 1示数减小,V 2的示数增大 B .V 1示数增大,V 2的示数增大 C .V 1示数减小,V 2的示数减小 D .V 1示数增大,V 2的示数减小10.如图所示,为一电阻箱结构示意图,下面关于此电阻箱接入电路电阻值大小的说法正确的是( )A .只拔出铜塞a 、b ,接入电路电阻为7欧姆B .只拔出铜塞c 、d ,接入电路电阻为7欧姆C .要使接入电路电阻为7欧姆,只有拔出铜塞c 、d 才行D .将铜塞a 、b 、c 、d 全拔出,接入电路的电阻最小二、实验与作图(4+3+2+2+7,共18分)11.为了研究物质的某种特性,某小组的同学先做如下实验:他们在甲、乙两只完全相同的烧杯中分别放人100g 和200g 的温水,实验时,让它们自然冷却,并利用温度计和计时器测量水的温度随时间的变化情况。
高中历史周礼试题分析及答案一、选择题1. 周代的礼制中,关于尊卑等级的划分,以下哪一项是正确的?A. 诸侯高于大夫B. 诸侯与大夫平等C. 大夫高于士D. 士高于庶人答案:A2. 周礼中“五礼”指的是哪五种礼仪?A. 冠礼、婚礼、丧礼、祭礼、宾礼B. 冠礼、婚礼、丧礼、祭礼、乡礼C. 冠礼、婚礼、丧礼、军礼、宾礼D. 冠礼、婚礼、丧礼、军礼、乡礼答案:A二、填空题1. 周礼中的“三纲”指的是______、______、______。
答案:君为臣纲,父为子纲,夫为妻纲。
2. 周代的“九畴”是指______、______、______、______、______、______、______、______、______。
答案:天、地、人、物、事、时、位、数、名。
三、简答题1. 简述周礼对后世的影响。
答案:周礼作为中国古代社会的一种重要礼制,对后世产生了深远的影响。
它不仅规范了社会成员的行为,维护了社会秩序,而且对后世的法律制度、伦理道德以及文化传统都产生了重要影响。
周礼中的许多原则和规范,如尊卑有序、礼教为先等,成为中国传统文化的重要组成部分。
四、论述题1. 论述周礼在维护社会秩序中的作用。
答案:周礼在维护社会秩序中发挥了重要作用。
首先,周礼通过严格的等级制度和礼仪规范,明确了不同社会成员的地位和权利,从而保证了社会结构的稳定。
其次,周礼强调尊卑有序,通过礼仪的实施,使人们在日常生活中自觉遵守社会规范,维护了社会秩序。
此外,周礼还通过祭祀等活动,强化了人们对祖先和神灵的敬畏,增强了社会的凝聚力。
总之,周礼是中国古代社会秩序的重要保障。
结束语:通过对高中历史周礼试题的分析和答案的提供,我们可以看到周礼在中国古代社会中的重要地位和作用。
它不仅是一种文化现象,更是一种社会制度,对维护社会秩序、传承文化传统具有不可替代的作用。
希望同学们能够通过这次试题的学习和分析,更加深入地理解周礼的内涵和价值。
周礼中学初2013级初三上(1-3章)测试题时间:70分钟,总分:70分班级: 姓名:一、 选择题:(3X8=24分)1.一块铁块的质量会发生变化的情况是( ) A .将它熔化成铁水 B .磨掉铁块一个角 C .把它轧成薄铁片 D .从地球运到月球2. 图1是在探究甲、乙两种物质质量跟体积关系时作出的图像。
以下分析正确的是( )A.不同物质的质量跟体积的比值是不同的B.甲物质的质量跟体积的比值比乙物质小C.若V 甲= V 乙则m 甲<m 乙。
D.若m 甲=m 乙,则V 甲>V 乙。
3.下列说法中正确的是()A .原子是由原子核和核外电子组成的B .在天文学中,用“光年”作为时间单位C .太阳是宇宙的中心,地球是太阳的一颗行星D .原子结构与太阳系十分相似,它的中心是电子4.物理就在我们身边,自行车的设计者运用了很多物理知识,下列说法中错误的是( ) A .螺母下面垫一个垫圈,是为了减小压力 B .车轴上装有滚动轴承是为了减小摩擦 C .车轮的外胎做有凹凸花纹是为了增大摩擦D.尾灯可以将从不同方向射向它的光反射,让后面的人看到 5.如图所示,使用中属于费力杠杆的工具是( )6.下列说法中正确的是( )A .人推桌子未动,是因为人的推力小于地面对桌子的摩擦力V /cm 3图1B .在平直的公路上匀速行驶的汽车,受平衡力作用C .物体受平衡力的作用,一定保持静止状态D .运动的物体有惯性,静止的物体无惯性7.物理知识渗透于我们生活的方方面面,以下的安全警示语中涉及到惯性知识的是( ) A.输电铁塔下挂有“严禁攀爬” B.汽车的尾部标有“保持车距”C.商场走廊过道标有“小心碰头”D.景区水池边立有“水深危险”8.以下说法正确的是( )二、 填空作图题:(20分)1、建筑工人常用重垂线来检查墙壁是否竖直,这是利用了的道理;用重垂线检查窗台是否水平,要看重垂线与窗台是否________.2、下图是世界上最长的跨海大桥——我国杭州湾跨海大桥的一部分。
周礼文化知识试题一、选择题1. 周礼是中国古代哪个朝代的重要法律法规?A. 春秋时期B. 战国时期C. 春秋战国时期D. 商周时期2. 周礼是经典著作《周易》的其中一部分吗?A. 是B. 不是3. 下列关于周礼的论述,哪一个是正确的?A. 周礼是孔子的著作B. 周礼是春秋时期与战国时期学者们创作的C. 周礼是孔子传承的礼制经典D. 周礼是法律法规,并非关于礼仪的著作4. 周礼中的“礼”主要指的是什么?A. 礼仪B. 法律C. 文化D. 历史5. 周礼对中国古代社会有何重要意义?A. 规范社会秩序B. 促进文化繁荣C. 继承了商代礼制D. 预示了封建制度的兴起二、填空题1. 周礼是中国古代文化中非常重要的一部分,它具有_________的作用。
2. 周礼中记载了丰富的礼仪和_____________。
3. 周礼对后世礼制的_________和发展产生了深远的影响。
4. 周礼是中国古代社会文化的重要_____________。
5. 周礼中关于仪式、乐曲等方面的内容,对当时社会的___________起到了重要的作用。
三、简答题1. 请简要描述一下周礼的主要内容。
2. 周礼在中国古代社会的法律制度中扮演着什么样的角色?3. 周礼对中国古代文化和社会的影响有哪些?四、论述题请论述周礼对中国古代社会的重要意义,并结合具体例子进行论述。
五、解答题请解释周礼在中国古代社会的儒家思想中的地位和作用。
六、判断题判断下列说法是否正确:1. 周礼是孔子创作的。
2. 周礼是一部法律法规的著作。
3. 周礼对中国古代社会的发展没有任何影响。
4. 周礼中的礼指的是法律。
以上为周礼文化知识试题,请根据题目要求自行回答。
骨科护理知识试题目录单选:P1 多选:P41 是非题:P63第一章A型题单选题单选题:1.《周礼.天官》所记载医事制度中,除医师外还兼有护理职能的专职人员是(D)A.士B.府C.史D.徒E.卒2.闭合性骨折转运前最重要的是:(D)A.使用止痛药B.抬高患肢C.伤肢固定D.保持肢体功能位3.急性血源性骨髓炎的好发部位是:(E)A.骨髓腔B.骨皮质C.骨膜下D.骨E.干4.骨折与脱位都会出现的体征是:(A)A.畸形B.弹性固定C.异常活动D.骨擦音E.关节部位空虚5.稳定性骨折是:(A)A.横断骨折B.斜形骨折C.螺旋形骨折D.粉碎性骨折E.撕脱性骨折6.骨恶性肿瘤最多见的是:(D)A.骨瘤B.骨软骨瘤C.骨血管瘤D.骨肉瘤7.骨折牵引术的作用不包括:(C)A.骨折复位作用B.骨折固定作用C.防止骨质脱钙D.矫正畸形E.解除肌肉痉挛8.病人诉石膏型内肢体疼痛,错误的处理是:(A)A.向疼痛处填塞棉花B.抬高肢体C.调整肢体体位D疼痛处石膏型开窗 E.可更换石膏9.经过正确的治疗和护理,成人骨折达到骨性愈合一般需要:(D)A.1周B.2-3周C.4-8周D.8-12周E.12-16周10.骨关节结核时,让病人双手抱紧健侧膝部,骨盆平置,则患髋与膝呈屈曲状态,此时为:(C)A.杜家试验阳性B.拾物试验阳性C.托马斯试验阳性D.浮髌试验阳性E.直腿抬高试验阳性11.下列骨折哪项属于不完全骨折:(A)A.青枝骨折B.粉碎性骨折C.螺旋形骨折D.嵌插性骨折12.女性,65岁,因股骨颈骨折行皮牵引,应采取的体位:(A)A.外展中立位B.内收中立位C.外展外旋位D.内收内旋位E.双腿并拢功能位13.男性,33岁,车祸造成左股骨干开放性骨折,接诊时首先应注意的并发症是:(C)A.神经损伤B.伤口感染C.失血性休克D.损伤性骨化E.缺血性骨坏死14.早期急性骨髓炎典型的临床征象是:(A)A.高热、近关节处压痛B.高热及骨干中部有压痛C.高热及关节处有压痛D.低热、轻度压痛E.高热、关节积液15.骨折患者功能锻炼,晚期运动的重点是:(C)A.患肢肌肉收缩锻炼B.患肢骨折近端关节运动为主C.以重点关节为主的全身锻炼D.患肢骨折远端关节运动为主E.所有关节禁止活动16.12岁少年,1年来在一般性活动中反复发生右肩关节前脱位4次,其主要原因是:(C)A.缺少自我保护意识B.年龄较小C.初次脱位未行固定D.体质较差E.右侧肩关节习惯性脱位17.女性28岁,因脊柱结核致截瘫1年,粪便秘结,妹3-4日排便一次,有尿失禁现象,双下肢肌力明显减退,浅感觉麻木,其截瘫指数应计为:(D)A.1B.2C.3D.4E.518.稳定性骨折是:(A)A.横断骨折B.斜行骨折C.螺旋形骨折D.粉碎性骨折E.撕脱性骨折19.女性60岁,跌倒致右股骨颈骨折,现给予皮肤牵引处理,该病人最易发生的并发症是(D)A.休克B.右坐骨神经损伤C.髋关节创伤性关节炎D.右股骨头缺血性坏死E.骨化性肌炎20.某病人跌倒时右手掌撑地,当时右腕剧痛,渐肿胀,活动障碍,局部呈餐叉畸形,可能发生了(A)A.桡骨远端伸直型骨折B.桡骨远端屈曲型骨折C.腕骨骨折D.掌骨骨折E.腕关节损伤21.男性,25岁,外伤后出现肘部关节肿胀,可以帮助鉴别肱骨髁上骨折和肘关节后脱位的表现是:(D)A.手臂功能障碍B.肘部剧烈疼痛C.是否可摸到尺骨鹰嘴D.肘后三点失去正常关系E.跌倒后因手掌撑地而受伤22.杜加征阳性的临床意义是:(D)A.肱骨上端骨折B.锁骨肩峰骨折C.髋关节后脱位D.肩关节前脱位E.肘关节后脱位23.膝部手术后膝关节应屈曲:(A)A.15°B.30°C.45°D.60°E.90°24.甲沟炎形成甲下肿时应采用:(E)A.热敷B.外敷药物C.切开引流D.穿刺抽脓E.拔甲术25.罗先生,男,34岁,因蹦极外伤致截瘫,卧床已3个月,病人一般状况差,骶尾部可见一面积为2cm-4cm、较深的创面,有脓液渗出,创面周围可见少量黑色坏死组织,以下护理措施最恰当的是:(E)A.用50%酒精按摩创面及周围皮肤B.用厚层滑石粉包扎C.用生理盐水冲洗后,自然干燥D.仅用红外线照射即可E.剪去坏死组织,用0.02%呋喃西林冲洗后,外敷药物26.断离肢体的保存方法是:(D)A.无菌单包裹后室温保存B.无菌单包裹后冷冻保存C.浸泡于2-4℃的无菌溶液中D.无菌单包裹于外套塑料袋干冻冷藏E.无菌单包裹浸泡于2-4℃的生理盐水中27.下列不属于骨折专有体征的是:(A)A.功能障碍B.骨擦音C.骨擦感D.反常运动E.畸形28.开放性骨折伴活动性出血,处理应首先:(C)A.快速输液,补足血容量B.药物止痛C.止血D.固定骨折E.包扎伤口29.石膏绷带包扎,错误的方法是:(E)A.患肢保持功能位B. 包扎处用手指扶托肢体C. 动作敏捷,用力均匀D.边缘部分应予修齐E.伤口部位在未干涸前开窗30.截瘫病人的护理措施中不正确的是:(D)A.做好心理护理B.保持截瘫肢体功能位C.防止褥疮发生D.早期使用留置导尿E.预防便秘31.压缩性骨折常见于:(C)A.股骨干骨折B.肱骨干骨折C.椎体骨折D.桡骨骨折E.肋骨骨折32.急性血源性骨髓炎的护理措施不包括:(D)A.观察并发症的发生B.患肢固定于功能位C.加强全身支持疗法D.体温正常后即可停用抗生素E.炎症控制后指导功能锻炼33.腰椎间盘突出症最常发生于(D)A.腰1-2椎B.腰2-3椎C.腰3-4椎D.腰4-5椎E.腰5-骶134.一般骨折病人的首选的检查项目是:(A)A.X线检查B.CT检查C.B超检查D.血液一般检查E.磁共振成像35.骨折晚期并发症有:(C)A.血管损伤B.骨筋膜室综合症C.关节僵硬D.脂肪栓塞E.神经损伤36.骨折现场抢救,错误的是:(B)A.重点检查有无内脏损伤B.开放性骨折应现场复位C.取清洁布类包扎伤口D.就地取材,固定伤肢E.平托法搬移脊柱骨折病人37.跌倒时手掌撑地不可能造成的损伤有:(E)A.肱骨髁上骨折B.肩关节骨折C.肘关节骨折D.伸直型桡骨远端骨折E.屈曲型桡骨远端骨折38.下列哪项是骨折早期的并发症:(A)A.血管神经损伤B.关节僵硬C.创伤性关节炎D.缺血性肌挛缩E.延迟愈合39.骨科病人的护理诊断:(E)A.焦虑B.躯体移动障碍C.排便异常D.有感染的危险E.以上都是40.肢体长时间只有固定,而没有知道功能锻炼易导致的并发症是:(E)A.缺血性肌挛缩B.创伤性关节炎C.骨折延迟愈合D.骨化性肌炎E.关节僵硬41.张先生,28岁,车祸致小腿胫腓骨骨折,行石膏管型固定后4小时病人诉患肢剧痛,体格检查:肢端苍白,触之发凉,足趾活动受限,应考虑:(A)A.血管受压B.骨折断端移位C.病人卧位不当D.伤口疼痛E.继发感染42.护理截瘫病人以下哪项不妥:(D)A.鼓励咳嗽排痰B.预防褥疮和肺炎C.预防泌尿道感染D.避免截瘫肢体活动E.鼓励多饮水43.男性17岁,从高处坠落,臀部着地致12、腰1椎体压缩性骨折,导致骨折的原因是:(B)A.直接暴力B.间接暴力C.肌肉牵拉D.骨骼劳损E.骨骼疾病44.脊柱骨折患者急救运送方法,正确的是:(B)A.用软担架运送B.三人平托于硬板运送C.二人抱持运送D.一人抱持运送E.一人背负运送45.骨折牵引时,预防过度牵引的措施是:(C)A.加强患肢的锻炼B.尽可能减轻牵引重量C.定时测量肢体长度D.防止牵引针左右移动E.定时放松牵引装置46.闭合性骨折在运送前最重要的是:(C)A.使用止痛剂B.做好手法复位C.伤肢固定D.抬高患肢E.保持肢体功能位47.骨折长期卧床患者放置足部保护架的主要目的:(C)A.有利于擦浴B.易于观察血运C.避免足背长期受压D.便于功能锻炼E.方便床褥整理48.关于石膏固定患者护理的叙述正确的是:(B)A.若石膏上有血迹,应立即打开石膏检查B.搬运石膏未干的肢体时,要用手掌托扶C.石膏被污染时,可用清水冲洗D.包裹石膏的患肢疼痛时,可自行服用止痛剂E.加速石膏干固,烘烤石膏的温度过高越好49.腰椎间盘突出症引起坐骨神经痛,向下肢放射的典型部位是:(E)A.髂部以下整个腿痛B.大腿后侧和小腿内侧痛.大腿前侧、小腿内侧和足背内侧痛D.小腿后侧和足底部痛E.从下腰部向臀、下肢、足背或足外侧放射50.截瘫患者长期卧床所致的主要并发症:(C)A.缺血性挛缩、神经受压症状B.肌肉萎缩、关节强直C.坠积性肺炎、尿路感染、褥疮D.皮肤过敏、水疱、糜烂E.消化道出血、腹痛、腹胀51.骨折现场急救正确的是:(D)A骨折都应初步复位后再临时固定B对骨折端外漏者应先复位后固定,以免继续感染C只是怀疑骨折可不必固定,注意妥当搬运D一般应将骨折肢体在原位做临时固定E绷带包扎即可,不用夹板,以免触动伤肢后加重损伤52.缺血性肌挛缩常继发的损伤是:(D)A肱骨干骨折B桡骨下段骨折C肘关节脱位D肱骨髁上骨折E 肩关节脱位53.患者男性,20岁。
周公考试题及答案一、单项选择题(每题2分,共20分)1. 周公旦是周朝的哪位重要人物?A. 周文王B. 周武王C. 周公旦D. 周成王答案:C2. 周公旦的主要贡献是什么?A. 统一六国B. 建立汉朝C. 制定周礼D. 创立道教答案:C3. 周公旦辅佐的周朝君主是谁?A. 周文王B. 周武王C. 周成王D. 周幽王答案:C4. 周公旦在位期间,推行了哪些重要的政治改革?A. 废除井田制B. 实行分封制C. 推行郡县制D. 实行科举制答案:B5. 周公旦在位期间,对周朝的军事有何贡献?A. 统一六国B. 建立汉朝C. 建立周朝D. 抵御外敌入侵答案:D6. 周公旦在位期间,对周朝的经济有何贡献?A. 发展农业B. 发展手工业C. 发展商业D. 发展科技答案:A7. 周公旦在位期间,对周朝的文化有何贡献?A. 创立儒家学派B. 创立道家学派C. 创立法家学派D. 创立墨家学派答案:A8. 周公旦在位期间,对周朝的教育有何贡献?A. 创立私塾B. 创立官学C. 创立书院D. 创立科举制答案:B9. 周公旦在位期间,对周朝的法律有何贡献?A. 创立《周礼》B. 创立《礼记》C. 创立《春秋》D. 创立《诗经》答案:A10. 周公旦在位期间,对周朝的宗教有何贡献?A. 创立佛教B. 创立道教C. 创立儒教D. 创立基督教答案:C二、多项选择题(每题3分,共15分)11. 周公旦的主要政治改革包括哪些?()A. 实行分封制B. 实行郡县制C. 推行井田制D. 推行科举制答案:A12. 周公旦的主要军事贡献包括哪些?()A. 统一六国B. 建立汉朝C. 建立周朝D. 抵御外敌入侵答案:D13. 周公旦的主要经济贡献包括哪些?()A. 发展农业B. 发展手工业C. 发展商业D. 发展科技答案:A14. 周公旦的主要文化贡献包括哪些?()A. 创立儒家学派B. 创立道家学派C. 创立法家学派D. 创立墨家学派答案:A15. 周公旦的主要教育贡献包括哪些?()A. 创立私塾B. 创立官学C. 创立书院D. 创立科举制答案:B三、判断题(每题2分,共20分)16. 周公旦是周文王的儿子。
周礼文化知识试题
单位:姓名:成绩:
一、概念释义(每题3分,共12分)
1.周礼:
2.周公制礼:
3.礼仪:
4.周礼文化:
二、填空(每空0.5分,共44分)
5.我国历来是“()之邦”,()不仅是思想道德的重要组成部分,也是反映精神文明建设的重要形式;()不仅反映一个人的精神面貌,更能折射出一个单位、一个地区乃至整个社会的道德风尚。
6.“周礼”是周文化的()内容之一。
7.在周文化的礼乐思想体系中,贯穿了以()为先的价值原则,确立了以()为贵的社会行为准则。
8.周礼的根本原则是亲亲(),基本精神在于一个()字。
9.礼仪的特征有四方面,即()性、()性、()性和()性。
10.礼仪的功能表现在四个方面,即()的功能、()的功能、()的功能、()的功能。
11.古人说:“人无()则不立、事无()则不成、国无()则不宁。
”
12.周礼文化蕴含着讲仁爱、重()、守()、崇()、尚()、求大同的精神内涵,是社会主义核心价值观的传统文化()。
13.周文化的核心概括起来主要有四个方面,即以()为本,以()治国、以()立序、以()致和。
14.桐叶封弟这一典故渗透着()为本的意识,其主人公是()和弟弟()。
15.西周的青铜器是西周文明的重要()部分,也是西周()文化的载体。
16.()、()、()、散氏盘被誉为晚清四大国宝,是西周青铜器艺术的典型代表。
17.西周青铜器中用于祭祀和宴饮的器物,被赋予特殊的意义,成为礼制的体现,这类器物叫做(),简称“礼器”。
18.通行于西周时期,铸在青铜器上的文字,后世称其为()文,也叫钟鼎文。
19.周人所提倡的()是调节西周社会内部秩序的重要手段,()礼具体表现为生则养、没则丧、丧毕则祭。
养则观其顺也,丧则观其哀也,祭则观其敬而时也。
20.武王克商之后,周公最重要的政治贡献之一就是建立()制度,这些制度后来被儒家统称为()或“周公之典”。
21.哲学泰斗张岱年曾称:“博大精深的()是中华民族文化的源头”。
22.市委十一届十次全委会议提出,要“大力弘扬社会主义核心价值观,以传承优秀()文化为载体,推进()宝鸡建设。
”
23.钱引安指出,探索周礼的时代价值,就是要从()层面、()层面和()层面,找准()文化与社会主义()的结合点。
周礼文化中,求真务实作风和改革创新精神,有助于“()、()、()、()”国家的建设;周礼文化中,坚定的理想信念和勇于担当的精神,有助于“()、()、()、()”社会的构建;周礼文化中,忧乐天下的爱国情怀和仁爱友善的美德诉求,有助于“()、()、()、()”品德的形成。
24.钱引安曾强调,要努力提升()文化在全国的美誉度、影响力,要抓住()文化的精华亮点,把握社会主义核心价值观的主旨要义,在人们一举一动、一言一行等日常宣教中传播引导,用具体道德行为规范,在全社会形成讲()、懂()、守()的良好氛围,精心打造()。
25.2016年7月25日,宝鸡市委常委会议审议通过了岐山县委《关于传承()弘扬()价值观的意见》,将岐山县作为传承弘扬工作的试点县,要求探索总结,打造“()模式”。
26.传承弘扬周礼文化应遵循()、()、()和()等礼仪的基本原则。
27.传承优秀周礼文化,最主要的是要传承其()的传统美德,()的高洁品质,()的道德风范。
28.宝鸡市在传承周礼优秀文化、弘扬社会主义核心价值观工作中重点实施的八大工程是:()工程、()工程、()工程、()工程、()工程、()工程、()工程、()工程。
29.岐山是()肇基之地,()之乡,2015年2月岐山县被中国民间文艺家协会命名为“中国()之乡”,并建立了“中国周礼文化研究基地”。
三、判断题(每题2分,共8分)
30.所谓“民无信不立”、“一言既出驷马难追”、“千金一诺”等熟语,无不在强调宽容品德的高尚。
()
31.传承优秀周礼文化,创建文明和谐的社会生活,需要我们每个公民“知礼”、“明礼”、“习礼”,进而“达礼”。
()
32.周文化是周礼文化的核心内容之一。
()
33.“甘棠遗爱”的故事流传千古,其主人公为周公。
()
四、选择题(每题2分,共10分)
34.下列有关西周宗法制的说法,正确的是()。
A、它由分封制演变而来
B、周王自称“余一人”
C、王位传递体现传嫡不传贤
D、宗法制在秦朝建立后瓦解
35.周代官僚制度中,中央“三公”是()。
A、太师太保太尉
B、太师太傅太保
C、太师太保太宰
D、太师太傅太史
36.中华礼仪文化包含着强烈的人文精神,自周朝就将人置于中心地位,古时就有“民之所欲,天必从之”、“天视自我民视,天听自我民听”等言论,这些言论来自于()。
A、《诗经》
B、《易经》
C、《礼记》
D、《尚书》
37.孔子在《论语》中称其为“至德”之人的是先周时期的()。
A、召公
B、仲雍
C、太伯
D、姜太公
38.古籍《周易》的作者传说是我国先周时期的()。
A、姜太公
B、周文王
C、周公
D、季历五、问答题(共计26分)
39.周礼是由哪些内容构成的?(5分)
40.周礼是如何起源的?(5分)
41.周礼的价值影响有哪些?(8分)
42.传承优秀周礼文化的意义有哪些?(8分)。