清华大学高等数值分析作业李津1——矩阵基础
- 格式:docx
- 大小:117.11 KB
- 文档页数:4
高中数学(矩阵行列式)综合练习含解析1.定义运算⎥⎦⎤⎢⎣⎡++=⎥⎦⎤⎢⎣⎡⋅⎥⎦⎤⎢⎣⎡df ce bf ae f e d c b a ,如⎥⎦⎤⎢⎣⎡=⎥⎦⎤⎢⎣⎡⋅⎥⎦⎤⎢⎣⎡1514543021.已知πβα=+,2πβα=-,则=⎥⎦⎤⎢⎣⎡⋅⎥⎦⎤⎢⎣⎡ββααααsin cos sin cos cos sin ( ).A. 00⎡⎤⎢⎥⎣⎦B. 01⎡⎤⎢⎥⎣⎦C. 10⎡⎤⎢⎥⎣⎦D. 11⎡⎤⎢⎥⎣⎦2.定义运算a b ad bc c d =-,则符合条件120121z ii i +=--的复数z 对应的点在( )A.第四象限B.第三象限C.第二象限D.第一象限 3.矩阵E =⎪⎪⎭⎫⎝⎛1001的特征值为( ) A. 1 B. 2 C. 3 D. 任意实数4. 若行列式212410139xx =-,则=x .5.若2021310x y -⎛⎫⎛⎫⎛⎫= ⎪⎪ ⎪-⎝⎭⎝⎭⎝⎭,则x y += .6.已知一个关于y x ,的二元一次方程组的增广矩阵为112012-⎛⎫ ⎪⎝⎭,则x y -=_______. 7.矩阵1141⎡⎤⎢⎥⎣⎦的特征值为 . 8.已知变换100M b ⎡⎤=⎢⎥⎣⎦,点(2,1)A -在变换M 下变换为点(,1)A a ',则a b += 9.配制某种注射用药剂,每瓶需要加入葡萄糖的量在10ml 到110ml 之间,用0.618法寻找最佳加入量时,若第一试点是差点,第二试点是好点,则第三次试验时葡萄糖的加入量可以是 ; 10.已知,,则y= .11.若2211x xx y y y=--,则______x y +=12.计算矩阵的乘积=⎪⎪⎭⎫⎝⎛-⎪⎪⎭⎫⎝⎛0110n m y x ______________ 13.已知矩阵A -1 =⎪⎪⎭⎫ ⎝⎛1201,B -1 =⎪⎪⎭⎫ ⎝⎛1011,则 (AB)-1 = ;七、解答题14.已知矩阵1252M x -⎡⎤⎢⎥=⎢⎥⎣⎦的一个特征值为2-,求2M . 15.已知直线1=+y x l :在矩阵⎥⎦⎤⎢⎣⎡=10n m A 对应的变换作用下变为直线1=-'y x l :,求矩阵A .16.[选修4—2:矩阵与变换]已知矩阵1214A ⎡⎤=⎢⎥-⎣⎦,求矩阵A 的特征值和特征向量. 17.已知二阶矩阵M 有特征值λ=3及对应的一个特征向量111⎡⎤=⎢⎥⎣⎦e ,并且矩阵M 对应的变换将点(-1,2)变换成(9,15),求矩阵M .18.(选修4—2:矩阵与变换)设矩阵02 1a ⎡⎤=⎢⎥⎣⎦M 的一个特征值为2,若曲线C 在矩阵M 变换下的方程为221x y +=,求曲线C 的方程.19.已知矩阵A =⎣⎢⎢⎡⎦⎥⎥⎤ 3 3 c d ,若矩阵A 属于特征值6的一个特征向量为α1=⎣⎢⎢⎡⎦⎥⎥⎤11,属于特征值1的一个特征向量为α2=⎣⎢⎢⎡⎦⎥⎥⎤3-2.求矩阵A ,并写出A 的逆矩阵.20.选修42:矩阵与变换已知矩阵M =12b c ⎡⎤⎢⎥⎣⎦有特征值λ1=4及对应的一个特征向量e 1=23⎡⎤⎢⎥⎣⎦.(1)求矩阵M ;(2)求曲线5x 2+8xy +4y 2=1在M 的作用下的新曲线的方程.21.求直线x +y =5在矩阵0011⎡⎤⎢⎥⎣⎦对应的变换作用下得到的图形.22.已知变换T 是将平面内图形投影到直线y =2x 上的变换,求它所对应的矩阵. 23.求点A(2,0)在矩阵1002⎡⎤⎢⎥-⎣⎦对应的变换作用下得到的点的坐标. 24.已知N=0110-⎛⎫ ⎪⎝⎭,计算N 2.25.已知矩阵M =1234⎡⎤⎢⎥⎣⎦,N =0113-⎡⎤⎢⎥⎣⎦. (1)求矩阵MN ;(2)若点P 在矩阵MN 对应的变换作用下得到Q(0,1),求点P 的坐标. 26.已知矩阵20 01⎡⎤=⎢⎥⎣⎦A ,1125-⎡⎤=⎢⎥⎣⎦B ,求矩阵1-A B 27.已知矩阵A =10-⎡⎢⎣ 02⎤⎥⎦,B =01⎡⎢⎣ 26⎤⎥⎦,求矩阵1A B -.28.求使等式 2 4 2 03 50 1M ⎡⎤⎡⎤=⎢⎥⎢⎥⎣⎦⎣⎦成立的矩阵M . 29.已知矩阵A =⎪⎭⎫ ⎝⎛b a 12有一个属于特征值1的特征向量⎪⎪⎭⎫ ⎝⎛-=12α. (Ⅰ) 求矩阵A ; (Ⅱ) 若矩阵B =⎪⎭⎫⎝⎛-1011,求直线10x y ++=先在矩阵A ,再在矩阵B 的对应变换作用下的像的方程.30.已知矩阵A 的逆矩阵113441122-⎡⎤-⎢⎥=⎢⎥⎢⎥-⎢⎥⎣⎦A ,求矩阵A 的特征值.参考答案1.A【来源】2012-2013学年湖南省浏阳一中高一6月阶段性考试理科数学试题(带解析) 【解析】试题分析:根据题意,由于根据新定义可知⎥⎦⎤⎢⎣⎡++=⎥⎦⎤⎢⎣⎡⋅⎥⎦⎤⎢⎣⎡df ce bf ae f e d c b a ,那么由2πβα=-,πβα=+sin cos cos sin cos cos sin s ()cos sin sin cos cos sin sin cos()in ααβαβαβαβααβαβαβαβ++⎡⎤⎡⎤⎡⎤⎡⎤⋅==⎢⎥⎢⎥⎢⎥⎢⎥+-⎣⎦⎣⎦⎣⎦⎣⎦=00⎡⎤⎢⎥⎣⎦,故选A. 考点:矩阵的乘法点评:此题主要考查矩阵的乘法及矩阵变换的性质在图形变化中的应用,属于基础题.考查知识点比较多有一定的计算量 2.D【来源】2012-2013学年河北省邢台一中高二下学期第二次月考理科数学试题(带解析) 【解析】 试题分析:按照所给法则直接进行运算,利用复数相等,可求得复数对应点所在象限.根据题意,由于120121z ii i +=--,即可知z (1-i )-(1-2i )(1+2i )=0,∴z (1-i )=5 设z=x+yi ,∴z (1-i )=(x+yi )(1-i )=5,(x+y )+(y-x )i=5,x+y=5,y-x=0,那么考点:复数点评:主要是考查了复数的基本概念和代数形式的混合运算,是高考常考点,也是创新题,属于基础题。
基础矩阵及其求法同一三维场景在两个不同视点处得到的两幅二维图像之间的几何关系——极几何以及极几何的代数表示——基础矩阵。
两幅图像可以是由两个摄像机在不同位置同时采集的,也可以是同一摄像机顺序采集的,例如摄像机相对场景移动。
对于这两种情况,几何上认为是相等的。
一般地,同一世界坐标系下的同一物体的图像间存在一种几何上的对极约束关系。
在立体视觉中,可以利用图像点的匹配来恢复这种几何关系,反过来,也可以利用这种几何关系来约束匹配,使得对应点的搜索范围由二维平面降低到对应一维极线,使得匹配的鲁棒性、精度都得到很大提高。
对极几何关系在数学上可以用基础矩阵F 来表示,因此,对极几何问题就转化为对基础矩阵F 的估计问题。
精确地计算F 对于标定、寻找精确匹配和三维重建都有重要意义。
2.1 基础矩阵假设在一个立体视觉系统中,有两个摄像机,如图2.1所示,设C和C’分别为两个摄像机的光心,两个摄像机获得的图像分别为I和I’,M为三维空间中任意一点,m和m’是点M 在两个图像上的像点(投影点),称m和m’为一对对应点。
连接光心C和C’的直线称为基线。
空间点M和两个光心C和C’共面,设它们所在的平面为π,该面称为极平面。
极平面与图像平面的交线l和l’称为极线。
因为m(m’)也同时在平面π和像平面I(I’)上。
从这里可以看出,寻找m(m’)的对应点m(m’)时,不必在I(I’)整幅图像中寻找,只需在m(m’)在I(I’)的极线上寻找即可。
这就提供了一个重要的极线约束,将对应点的搜索空间从二维降到了一维。
当三维空间点M移动时,产生的对所有极线都穿过极点e(e’),极点是极线与图像平面的交点。
图2.1两幅图像间的对极几何2.1.1 参考坐标系为了描述基础矩阵,首先需要定义四个参考坐标系:图像坐标系、成像平面坐标系、摄像机坐标系和世界坐标系。
摄像机采集的数字图像在计算机内可以存储为数组,数组中的每一个元素(称为像素,pixel)的值即是图像点的亮度。
第四章矩阵习题参考答案一、判断题1. 对于任意n阶矩阵A,B,有 A B A B .错.2. 如果A2 0, 则 A 0.11错. 如 A ,A20,但A 0.113. 如果 A A2E ,则 A 为可逆矩阵.正确. A A2 E A(E A) E,因此A可逆,且 A 1A E.4. 设A,B都是n阶非零矩阵,且AB 0,则A, B的秩一个等于n ,一个小于n.错.由AB 0可得r(A) r(B) n .若一个秩等于n ,则该矩阵可逆,另一个秩为零,与两个都是非零矩阵矛盾. 只可能两个秩都小于n.5.A, B,C为n阶方阵,若AB AC, 则 B C.1 12 13 2错.如A1 1,B2 1,C3 2,有AB AC,但B C.1 12 13 26.A为m n矩阵,若r(A) s,则存在m阶可逆矩阵P及n阶可逆矩阵Q,使I s 0PAQ s.00正确. 右边为矩阵A的等价标准形,矩阵A等价于其标准形.7.n阶矩阵A可逆,则A* 也可逆.1 正确.由A可逆可得|A| 0,又AA* A*A |A |E .因此A*也可逆,且(A*) 1 1A.|A| 8.设A, B为n阶可逆矩阵,则(AB)* B* A*.正确. (AB )( AB)* | AB|E |A||B|E.又(AB)(B* A*) A(BB*) A* A|B|EA* |B|AA* |A||B|E .因此( AB)( AB)* ( AB)(B * A*) .由A, B为n阶可逆矩阵可得AB可逆,两边同时左乘式AB的逆选择题1.设A是n阶对称矩阵,B是n阶反对称矩阵(B T B) ,则下列矩阵中为反对称矩阵的是( B ) .(A) AB BA (B) AB BA (C) (AB)2(D) BAB(A) (D) 为对称矩阵,(B)为反对称矩阵, (C)当A, B可交换时为对称矩阵.2. 设A是任意一个n阶矩阵,那么( A )是对称矩阵.(A) A T A (B) A A T(C) A2(D) A T A3.以下结论不正确的是( C ).(A) 如果A是上三角矩阵,则A2也是上三角矩阵;(B) 如果A是对称矩阵,则A2也是对称矩阵;(C) 如果A是反对称矩阵,则A2也是反对称矩阵;(D) 如果A是对角阵,则A2也是对角阵.4.A是m k矩阵, B是k t矩阵, 若B的第j 列元素全为零,则下列结论正确的是 (B ) (A) AB 的第j 行元素全等于零;( B) AB 的第j列元素全等于零;( C) BA 的第j 行元素全等于零;( D) BA 的第j列元素全等于零;5 .设A,B为n阶方阵,E为n阶单位阵,则以下命题中正确的是( D )(A) (A B)2A2 2AB B2(B) A2B2 (A B)(A B)(C) (AB)2A2B2(D) A2 E2 (A E)(A E)6.下列命题正确的是( B ) .(A) 若AB AC ,则 B C(B) 若AB AC ,且 A 0 ,则 B C(C) 若AB AC,且 A 0,则 B C(D) 若AB AC,且 B 0,C 0 ,则 B C7. A 是 m n 矩阵, B 是 n m 矩阵,则( B ) (A) 当 m n时, 必有行列式 AB 0; (B) 当 m n时, 必有行列式AB 0 (C)当n m时, 必有行列式 AB 0;(D)当n m 时, 必有行列式 AB 0.AB 为m 阶方阵,当 m n 时, r(A) n,r(B) n,因此 r(AB) n m ,所以 AB 0. 8.以下结论正确的是( C )(A) 如果矩阵 A 的行列式 A 0,则 A 0; (B) 如果矩阵 A 满足 A 2 0 ,则 A 0;(C) n 阶数量阵与任何一个 n 阶矩阵都是可交换的; (D)对任意方阵 A,B ,有 (A B)(A B) A 2 B 2C ).由(B) A 主对角线上的元素全为零11 . n 阶矩阵 A 是可逆矩阵的充分必要条件是9.设1234是非零的四维列向量, A1234), A* 为 A 的伴随矩阵,已知Ax 0的基础解系为 (1,0, 2,0) T ,则方程组 A* x 0 的基础解系为( C ).A ) 123B )C )234D )44由 Ax 0的基础解系为 (1,0, 2,0) T 可得 (4) 10 2 00,230.因此( A ),( B )中向量组均为线性相关的,D ) 显然为线性相关的,因此答案为可得4均为 A* x 0的解 .10. 设 A 是 n 阶矩阵, A 适合下列条件( C 时,A 必是可逆矩阵(A) A nA (B)A 是可逆矩阵(C)A n 0(A) A 1 (B) A 0 (C) A A T(D) A 012 .A,B,C均是n阶矩阵,下列命题正确的是( A )(A) 若A是可逆矩阵,则从AB AC 可推出BA CA(B) 若 A 是可逆矩阵,则必有AB BA(C) 若 A 0 ,则从AB AC 可推出 B C(D) 若 B C ,则必有AB AC13.A,B,C均是n阶矩阵,E为n阶单位矩阵,若ABC E,则有( C )(A) ACB E ( B) BAC E (C) BCA E (D) CBA E14.A是n阶方阵,A*是其伴随矩阵,则下列结论错误的是( D )(A) 若A是可逆矩阵,则A*也是可逆矩阵;(B) 若A是不可逆矩阵,则A*也是不可逆矩阵;(C) 若A*0,则A是可逆矩阵; (D) AA*A.15.设A是5 阶方阵,且 A 0,则A*( D )(A) A (B) A 2(C) A3(D) A416.设A*是 A (a ij )n n的伴随阵,则A*A中位于(i,j)的元素为(B ) n n n n(A)a jk A ki (B)a kj A ki (C)a jk A ik D a ki A kjk 1 k 1 k 1 k 1(A) A是B的伴随(B) B是A的伴随(C) B是A 的伴随应为A的第i列元素的代数余子式与A的第j 列元素对应乘积和a11L a1n A11L A1n17.设 A L L L, B L L L , 其中A ij 是a ij 的代数余子式,则( C )a n1L a nn A n1L A nnD 以上结论都不对A018.设A,B为方阵,分块对角阵 C 0A B0,则C*( C)利用 CC* |C | E 验证.19.已知 A4 6 ,B1 3 5 ,下列运算可行的是( C )1 2 2 4 6(A ) A B (B ) A B (C ) AB (D ) AB BA20.设 A, B 是两个 m n 矩阵, C 是n 阶矩阵,那么( D )21.对任意一个 n 阶矩阵 A ,若 n 阶矩阵 B 能满足 AB BA ,那么 B 是一个( C )(A ) 对称阵 (B ) 对角阵 (C ) 数量矩阵 (D ) A 的逆矩阵与任意一个 n 阶矩阵均可交换的矩阵为数量矩阵 .22.设 A 是一个上三角阵,且 A 0 ,那么 A 的主对角线上的元素(C )(A ) 全为零( B )只有一个为零(C ) 至少有一个为零( D )可能有零,也可能没有零1323.设 A 1 3,则 A 1 ( D )2011 11(A)2(B )3(C )3(D )2 11 1 1 11 1136362636a 1b 1c 1a 1 c 1 2b 124. 设 A a 2b2c 2,若 AP a2c 22b 2 ,则 P ( B )a 3b 3c 3a 3 c 32b 3100100012 0 0(A)001 ( B ) 0 0 2(C )020 (D ) 0 0 1020011000 1 0(A)B *(B)(C)BAAB(D)A B A *B B *0 * A B B *A 与单位矩阵等价 A 可以表示为一系列初等矩阵的乘积1 a a L aa 1 a L a25.设 n(n 3) 阶矩阵 A a a1 L a ,若矩阵 A 的秩为 1,则a 必为( A )L L L L Laa a L1(A) 1(B )-1(C ) 11( D ) 21 nn1矩阵 A 的任意两行成比例26. 设 A,B 为两个 n 阶矩阵 ,现有四个命题 :①若 A, B 为等价矩阵 , 则 A,B 的行向量组等价 ; ②若 A, B 的行列式相等 ,即|A| |B|,则 A, B 为等价矩阵 ; ③若 Ax 0与Bx 0均只有零解 ,则A, B 为等价矩阵 ;④若 A, B 为相似矩阵 ,则 Ax 0与 Bx 0解空间的维数相同 . 以上命题中正确的是 ( D )(A) ①, ③.(B)②, ④. (C) ②, ③. (D) ③, ④.当B P 1AP 时, A, B 为相似矩阵。
高等数值计算实践题目一1. 实践目的本次计算实践主要是在掌握共轭梯度法,Lanczos 算法与MINRES 算法的基础上,进一步探讨这3种算法的数值性质,主要研究特征值特征向量对算法收敛性的影响。
2. 实践过程(一)生成矩阵(1)作5个100阶对角阵i D 如下:1D 对角元:1,1,...,20,1+0.1(-20),21,...,100j j d j d j j ====2D 对角元:1,1,...,20,1+(-20),21,...,100j j d j d j j ==== 3D 对角元:,1,...,80,81,81,...,100j j d j j d j ====4D 对角元:,1,...,40,41,41,...,60,41+(60),61,...,100j j j d j j d j d j j =====-= 5D 对角元:,1,...,100j d j j ==记i D 的最大模特征值和最小模特征值分别为1iλ和in λ,则i D 特征值分布有如下特点:1D 的特征值有较多接近于i n λ,并且1/i i n λλ较小,2D 的特征值有较多接近于i n λ,并且1/i i n λλ较大, 3D 的特征值有较多接近于1i λ,并且1/i i n λλ较大,4D 的特征值有较多接近于中间模特征值,并且1/i i n λλ较大, 5D 的特征值均匀分布,并且1/i i n λλ较大(2)随机生成10个100阶矩阵j M :(100(100))j M fix rand =g并作它们的QR 分解,得j Q 和j R ,这样可得50个对称的矩阵Tij j i j A Q DQ =,其中i D 的对角元就是ij A 的特征值,若它们都大于0,则ij A 正定,j Q 的列就是相应的特征向量。
结合(1)可知,ij A 都是对称正定阵。
(二)计算结果以下计算,均选定精确解(100,1)exact x ones =,初值0(100,1)x zeros =由ij exact kA x b =计算得到k b (算法中要求解的精度为10e -)。
数值分析上机作业第 1 章1.1计算积分,n=9。
(要求计算结果具有6位有效数字)程序:n=1:19;I=zeros(1,19);I(19)=1/2*((exp(-1)/20)+(1/20));I(18)=1/2*((exp(-1)/19)+(1/19));for i=2:10I(19-i)=1/(20-i)*(1-I(20-i));endformat longdisp(I(1:19))结果截图及分析:在MATLAB中运行以上代码,得到结果如下图所示:当计算到数列的第10项时,所得的结果即为n=9时的准确积分值。
取6位有效数字可得.1.2分别将区间[-10.10]分为100,200,400等份,利用mesh或surf命令画出二元函数z=的三维图形。
程序:>> x = -10:0.1:10;y = -10:0.1:10;[X,Y] = meshgrid(x,y);Z = exp(-abs(X))+cos(X+Y)+1./(X.^2+Y.^2+1);subplot(2,2,1);mesh(X,Y,Z);title('步长0.1')>> x = -10:0.2:10;y = -10:0.2:10;[X,Y] = meshgrid(x,y);Z = exp(-abs(X))+cos(X+Y)+1./(X.^2+Y.^2+1);subplot(2,2,1);mesh(X,Y,Z);title('步长 0.2')>>x = -10:0.05:10;y = -10:0.05:10;[X,Y] = meshgrid(x,y);Z = exp(-abs(X))+cos(X+Y)+1./(X.^2+Y.^2+1);subplot(2,2,1);mesh(X,Y,Z);title('步长0.05')结果截图及分析:由图可知,步长越小时,绘得的图形越精确。
高等数值分析第三章作业参考答案1.考虑线性方程组Ax=b,其中A是对称正定矩阵.用Galerkin原理求解方程K=L=Span(v),这里v是一个固定的向量.e0=x∗−x0,e1=x∗−x1证明(e1,Ae1)=(e0,Ae0)−(r,v)2/(Av,v),(∗)其中r=b−Ax0.v应当取哪个向量在某种意义上是最佳的?证明.令x1=x0+αv,那么r1=r−αAv,e1=e0−αv.由Galerkin原理,有(r1,v)=0,因此α=(r,v)/(Av,v).注意到r1=Ae1,r=Ae,有(Ae1,v)=0.于是(e1,Ae1)=(e0−αv,Ae1)=(e0,Ae1)=(e0,Ae0)−α(e0,Av)=(e0,Ae0)−α(r,v)即(∗)式成立.由(∗)式知当v=e0时, e1 A=0最小,即近似解与精确解的误差在A范数意义下最小,算法一步收敛(但是实际中这个v不能精确找到);在最速下降意义下v=r时最佳.2.求证:考虑线性方程组Ax=b,其中A是对称正定矩阵.取K=L=Span(r,Ar).用Galerkin方法求解,其中r是上一步的残余向量.(a)用r和满足(r,Ap)=0的p向量构成K中的一组基.给出计算p的公式.解.设p=r+αAr,(r,Ap)=0等价于(Ar,p)=0.解得α=−(Ar,r)/(Ar,Ar).(b)写出从x0到x1的计算公式.解.设x1=x0+β1r+β2p,那么r1=r−β1Ar−β2Ap,再由Galerkin原理,有(r1,r)=(r1,p)=0,解得β1=(r,r)/(Ar,r),β2=(r,p)/(Ap,p).(c)该算法收敛吗?解.该算法可描述为:(1)选初始x0∈R n,计算初始残差r0=b−Ax0,ε>0为停机准则;(2)对k=0,1,2,...直到 r k <εαk=−(r k,Ar k) (Ar k,Ar k);p k=r k+αAr k;βk=(r k,r k) (Ar k,r k);γk=(r k,p k) (Ap k,p k);r k+1=r k−βk Ar k−γk Ap k;x k+1=x k+βk r k+γk p k.此算法本质上是由CG迭代一步就重启得到的,所以是收敛的,下面给出证法.设用此算法得到的x k+1=x k+¯p1(A)r k,那么e k+1 A=minp1∈P1e k+p1(A)r k A≤ e k+¯p1(A)r k A= e k−¯p1(A)Ae k A≤max1≤i≤n|˜p(λi)| e k A其中0<λ1≤...≤λn为A的特征值,˜p(t)=1−t¯p1(t)是过(0,1)点的二次多项式.当˜p满足˜p(λ1)=˜p(λn)=−˜p(λ1+λn2)时可使max1≤i≤n|˜p(λi)|达到最小.经计算可得min ˜p max1≤i≤n|˜p(λi)|≤(λ1−λn)2(λ1−λn)2+8λ1λn<1故若令κ=λ1/λn,则e k+1 A≤(κ−1)2κ2+6κ+1e k A,方法收敛.3.考虑方程组D1−F−E−D2x1x2=b1b2,其中D1,D2是m×m的非奇异矩阵.取L1=K1=Span{e1,e2,···,e m},L2= K2=Span{e m+1,e m+2,···,e n}.依次用(L1,K1),(L2,K2)按讲义46和47页公式Az∗=r0r0−Az m⊥LW T AV y m=W T r0x m=x0+V(W T AV)−1W T r0各进行一步计算.写出一个程序不断按这个方法计算下去,并验证算法收敛性.用L i=AK i重复上述各步骤.解.对任意给定x0=x(0)1x(0)2,令r=b−Ax0,V1=[e1,e2,...,e m],V2=[e m,e m+1,...,e n].对L i=K i情形,依次用(L1,K1),(L2,K2)各进行一步计算:(L1,K1)(L2,K2)z(1) 1=V1y1z(2)1=V2y2r0−Az(1)1⊥L1r0−Az(2)1⊥L2(V T1AV1)y1=V T1r0,D1y1=V T1r0(V T2AV2)y2=V T2r0,−D2y2=V T2r0x(1)1=x(1)+V1D−11V T1r0x(2)1=x(2)−V2D−12V T2r0得如下算法:(1)选初始x0∈R n,计算初始残差r0=b−Ax0,ε>0为停机准则;(2)对k=1,2,...直到 r k <ε求解D1y1=r k−1(1:m);求解−D2y2=r k−1(m+1:n);x k=x k−1+V1y1+V2y2;r k=r k−1−AV1y1−AV2y2.收敛性:r k=r k−1−AD−11−D−12rk−1=0−F D−12ED−11rk−1Br k−1算法收敛⇔ρ(B)<1⇔ρ(ED−11F D−12)<1.对L i=AK i情形,依次用(L1,K1),(L2,K2)各进行一步计算:(L1,K1)(L2,K2)z(1) 1=V1y1∈K1z(2)1=V2y2∈K2r0−Az(1)1⊥L1=AK1r0−Az(2)1⊥L2=AK2(V T1A T AV1)y1=V T1A T r0(V T2A T AV2)y2=V T2A T r0(D T1D1+E T E)y1=V T1A T r0(D T2D2+F T F)y2=V T2A T r0x(1) 1=x(1)+(D T1D1+E T E)−1V T1A T r0x(2)1=x(2)+(D T2D2+F T F)−1V T2A T r0得如下算法:(1)选初始x0∈R n,计算初始残差r0=b−Ax0,ε>0为停机准则;(2)对k=1,2,...直到 r k <ε求解(D T1D1+E T E)y1=(A T r k−1)(1:m);求解(D T2D2+F T F)y2=(A T r k−1)(m+1:n);x k=x k−1+V1y1+V2y2;r k=r k−1−AV1y1−AV2y2.收敛性:r k=r k−1−A(D T1D1+E T E)−1(D T2D2+F T F)−1A T rk−1(I−B)r k−1算法收敛⇔ρ(I−B)<1⇔0<λ(B)<2.4.令A=3−2−13−2...............−2−13,b=1...2用Galerkin原理求解Ax=b.取x0=0,V m=W m=(e1,e2,···,e m).对不同的m,观察 b−Ax m 和 x m−x∗ 的变化,其中x∗为方程的精确解.解.对于 b−Ax m 和 x m−x∗ ,都是前n−1步下降趋势微乎其微,到第n步突然收敛。
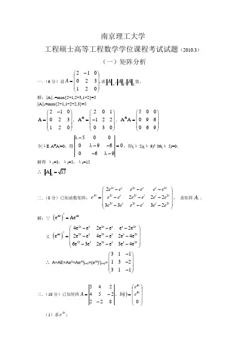
南京理工大学工程硕士高等工程数学学位课程考试试题(2010.3)(一)矩阵分析一.(6分)设,021320012⎪⎪⎪⎭⎫⎝⎛-=A 求21,,A A A ∞值。
解:||A||∞=max{2+1,2+3,1+2}=5 ||A||1=max{2+1,1+2+2,3}=5210A 023120-⎛⎫ ⎪= ⎪ ⎪⎝⎭,H201A 122030⎛⎫ ⎪=- ⎪⎪⎝⎭,H500A A 096069⎛⎫⎪= ⎪ ⎪⎝⎭令|λE-A H A|=0,得5000960069λ-λ--=-λ-,即(λ-5)(λ-9)2-36(λ-5)=0,解得 λ1=3,λ2=5,λ3=15 ∴2A =二.(8分)已知函数矩阵:22222222222223332t tt t t tA tt t ttt t t t ttt t e e eee eee e e e e e e e eee e ⎛⎫--- ⎪=--- ⎪ ⎪---⎝⎭, 求矩阵.A 。
解:∵ ()AtAteAe'=又 ()2t t2t t t 2t At 2t t 2t t t 2t 2t t 2ttt2t4e e 2e e e 2ee 2e e 4e e 2e 4e 6e 3e 2ee3e 4e⎛⎫--- ⎪'=--- ⎪ ⎪---⎝⎭∴ A=AE=Ae 0=Ae At |t =0=(e At )’|t=0=311132311-⎛⎫⎪- ⎪ ⎪-⎝⎭三.(10分)已知矩阵822254245--=A ,()⎪⎪⎪⎭⎫⎝⎛=099tte e t b (1)求Ate;(2)求解微分方程()()()()()⎪⎩⎪⎨⎧=+=T x t b t Ax dt t dx 2,0,10。
解:(1) 111(8)5422E A 452452228542⎛⎫--λ- ⎪λ---⎛⎫⎪⎪λ-=-λ-→-λ- ⎪ ⎪⎪ ⎪-λ-λ---⎝⎭ ⎪⎝⎭2111(8)100209218092(9)1109(1336)09(4)(9)22⎛⎫⎛⎫--λ- ⎪ ⎪ ⎪⎪→λ--λ+→λ--λ- ⎪ ⎪ ⎪ ⎪λ-λ-λ+λ-λ-λ- ⎪ ⎪⎝⎭⎝⎭100100092(9)090100(9)00(9)2⎛⎫⎪⎛⎫ ⎪⎪→λ--λ-→λ- ⎪ ⎪⎪ ⎪λλ-⎝⎭λλ- ⎪⎝⎭设f(z)=e zt (z 为自变量,t 为固定字母),T(λ)=a λ2+b λ+c ,则f ’(z)=te zt ,T ’(λ)=2a λ+b 令T (0)f (0)T (9)f (9)T '(9)f '(9)=⎧⎪=⎨⎪=⎩ 得9t 9t c 181a 9b c e 18a b te =⎧⎪++=⎨⎪+=⎩解得9t 9tt 11a ()e 9818122b (t)e 99c 1⎧=-+⎪⎪⎪=--⎨⎪=⎪⎪⎩∴ T(λ)=a λ2+b λ+c=9t29tt 1122[()e][(t)e]19818199-+λ+--λ+∴ e AT =f(A)=T(A)=aA 2+bA+cE=9t9t4536185421t 1122[()e]364518[(t)e ]452198181991818722281⎛⎫⎛⎫⎛⎫⎪ ⎪ ⎪-+-+---+ ⎪ ⎪ ⎪ ⎪ ⎪ ⎪--⎝⎭⎝⎭⎝⎭=9t9t9t9t 9t9t 9t9t9t 544422e e e999999445422e ee 999999222281eee 999999⎛⎫+--⎪⎪⎪-+-+ ⎪⎪⎪--++ ⎪⎝⎭ (2) X=X(t)=t At A (t )0e X (0)e b()d -τ+ττ⎰=t At A 0e [X (0)e b()d ]-τ+ττ⎰=tAt01e [X (0)1d ]0⎛⎫ ⎪+τ ⎪ ⎪⎝⎭⎰=At 1t e [0t ]20⎛⎫⎛⎫⎪ ⎪+ ⎪ ⎪ ⎪ ⎪⎝⎭⎝⎭=9t9t9t9t 9t9t 9t9t9t 544422e e e999999t 1445422e ee t 9999992222281eee 999999⎛⎫+--⎪+⎛⎫ ⎪ ⎪⎪-+-+ ⎪ ⎪ ⎪ ⎪⎝⎭ ⎪--++ ⎪⎝⎭=9t 9t9t (t 1)ete 2e ⎛⎫+ ⎪ ⎪ ⎪⎝⎭四.(10分)给定3R 的两个基()Tx 1,0,11= ()Tx 0,1,22= ()Tx 1,1,13=()Ty 1,2,11-= ()Ty 1,2,22-= ()Ty 1,1,23--=定义线性变换:i i y Tx = ()3,2,1=i(1)写出由基321,,x x x 到基321,,y y y 的过渡矩阵; (2)写出T 在基321,,x x x 下的矩阵; (3)写出T 在基321,,y y y 下的矩阵。
第一套试题答案一(10分)、证明:(1)设11k x +22k x +33k x =0, ①用σ作用式①两端,有111k x λ+222k x λ+333k x λ=0 ②1λ⨯①-②,有21223133()()0k x k x λλλλ-+-= ③再用σ作用式③两端,有2122231333()()0k x k x λλλλλλ-+-= ④ ③⨯2λ-④,有313233()()0k x λλλλ--=。
由于123,,λλλ互不相等,30x ≠,因此30k =,将其代入④,有20k =,利用①,有10k =。
故1x ,2x ,3x 是线性无关的。
(2)用反证法。
假设1x +2x +3x 是σ的属于特征值λ的特征向量,于是有123123()()x x x x x x σλ++=++即112223123()x x x x x x λλλλ++=++112223()()()0x x x λλλλλλ-+-+-=由于1x ,2x ,3x 线性无关,因此123λλλλ===,这与123,,λλλ互不相等矛盾。
所以,1x +2x +3x 不是σ的特征向量。
二(10分)、解:2312321232()()1;()(2);()(2)()1;()(2);()(2)1()(2)(2)A D D D d d d A λλλλλλλλλλλλλλλλλλλλ==-=-==-=-⎛⎫⎪- ⎪ ⎪-⎝⎭的行列式因子分别为,不变因子分别为,于是的Smith 标准形为.三(10分)、解:11121634E A λλλλ+⎛⎫ ⎪-= ⎪ ⎪---⎝⎭210001000(1)λλ⎛⎫ ⎪≅- ⎪ ⎪-⎝⎭A λλ2矩阵的初等因子为: -1, (-1),100:011001J ⎛⎫⎪= ⎪ ⎪⎝⎭故约当标准形为。
四(12分)、解:令()()()1120,E A λλλλ-=-++=得特征值123112λλλ==-=-,,,解齐次方程组()0,E A x -=()2;Tii α=1得基础解系解齐次方程组()0,E A x --=()101;Tα=-2得基础解系解齐次方程组()20,E A x --=()1;T ii α=-3得基础解系αααααα123123由于,,已两两正交,将,,单位化得()()()11121011623T T Tp i i p p i i --123=,=,= ()1,(2)1.3H U p p p U AU ⎛⎫⎪==- ⎪ ⎪⎝⎭123令分,则五(10分)、解:(){}11(1),01,()TAx o i N A span ξξ===解齐次方程组得基础解系,,;又(){}{}()232323010,,,,100,,00H H R A span o span A o i ξξξξξξ⎛⎫⎪===-= ⎪ ⎪-⎝⎭这里,; 显然(),0,iji j ξξ=≠当时;()().HN A R A ⊥故有()()()()()()()()()333(2)dim dim dim 3dim ,Q H H H H N A R A C N A R A N A R A C N A R A C ++=+==+=是的子空间且故。
20130917题目求证:在矩阵的LU 分解中,111n n Tn ij i j j i j L I e e α-==+⎛⎫=- ⎪⎝⎭∑∑证明:在高斯消去过程中,假设0jj a ≠ ,若a=0,可以通过列变换使得前面的条件成立,这里不考虑这种情况。
对矩阵A 进行LU 分解,()()()()()1111111L M n M M M n ---=-=∙∙-………… ,其中()1n Tn ij i j i j M j I e e α=+⎛⎫=+ ⎪⎝⎭∑ ,i e 、j e 为n 维线性空间的自然基。
()M j 是通过对单位阵进行初等变换得到,通过逆向的变换则可以得到单位阵,由此很容易得到()M j 的逆矩阵为1n Tn ij i j i j I e e α=+⎛⎫- ⎪⎝⎭∑。
故111n n T n ij i j n j i j L I e e I α-==+⎛⎫⎛⎫=- ⎪ ⎪ ⎪⎝⎭⎝⎭∏∑上式中的每一项均是初等变换,从右向左乘,则每乘一次相当于对右边的矩阵进行一次向下乘法叠加的初等变换。
由于最初的矩阵为单位阵,变换从右向左展开,因而每一次变换不改变已经更新的数据,既该变换是从右向左一列一列更新数据,故11nn Tn ij i j j i j L I e e α==+⎛⎫=- ⎪⎝⎭∑∑。
数学证明:1nTi j i ji j ee α=+⎛⎫ ⎪⎝⎭∑具有,000n j jA -⎛⎫ ⎪⎝⎭ 和1,1000n j n j B -+-+⎛⎫⎪⎝⎭ 的形式,且有+1,-11,10000=000n j j n j n j AB --+-+⎛⎫⎛⎫⎪⎪⎝⎭⎝⎭ 而11n n T ij i j j k i j e e α-==+⎛⎫ ⎪⎝⎭∑∑具有1,1000n k n k B -+-+⎛⎫⎪⎝⎭的形式,因此:1311111211121==n n n n n n T T T n ij i j n ij i j n ik i k j i j j i j k n i k n n T n i i n ik i i i k L I e e I e e I e e I e e I e ααααα---==+==+=-=+==+⎡⎤⎛⎫⎛⎫⎛⎫⎛⎫⎛⎫⎛⎫=---⎢⎥ ⎪ ⎪ ⎪ ⎪ ⎪⎪ ⎪ ⎪⎝⎭⎝⎭⎢⎥⎝⎭⎝⎭⎝⎭⎝⎭⎣⎦⎛⎫⎛⎫⎛⎫=-- ⎪ ⎪ ⎝⎭⎝⎝⎭∏∑∏∑∑∑∑∑……11211n n n T Tk n ik i kk k i k e I e e α--===+⎛⎫⎛⎫=- ⎪⎪ ⎪⎭⎝⎭⎝⎭∑∑∑#20130924题目一问:能否用逐次householder 相似变换变实矩阵A 为上三角矩阵,为什么?解:不能用逐次householder 相似变换变A 为上三角矩阵,原因如下:A 记作:()12=,,n A a a a ……, ,存在householder 阵1H s.t. 1111H a e α= ,则()()()111111111111111111111,,,0T Th H AH H a A H e H A H e H A H h H A H ααα⎛⎫'''=== ⎪⎪'⎝⎭⎛⎫''=+ ⎪ ⎪⎝⎭11H A H ''第一列的元素不能保证为1e 的倍数,故无法通过householder 变换实现上三角化。
北航数值分析大作业一————————————————————————————————作者: ————————————————————————————————日期:ﻩ《数值分析B》大作业一SY1103120 朱舜杰一.算法设计方案:1.矩阵A的存储与检索将带状线性矩阵A[501][501]转存为一个矩阵MatrixC[5][501] . 由于C语言中数组角标都是从0开始的,所以在数组MatrixC[5][501]中检索A的带内元素a ij的方法是:A的带内元素aij=C中的元素ci-j+2,j2.求解λ1,λ501,λs①首先分别使用幂法和反幂法迭代求出矩阵按摸最大和最小的特征值λmax和λmin。
λmin即为λs;如果λmax>0,则λ501=λmax;如果λmax<0,则λ1=λmax。
②使用带原点平移的幂法(mifa()函数),令平移量p=λmax,求出对应的按摸最大的特征值λ,max,如果λmax>0,则λ1=λ,max+p;如果λmax<0,则λ501=λ,max+p。
3.求解A的与数μk=λ1+k(λ501-λ1)/40的最接近的特征值λik(k=1,2,…,39)。
使用带原点平移的反幂法,令平移量p=μk,即可求出与μk最接近的特征值λik。
4.求解A的(谱范数)条件数cond(A)2和行列式detA。
①cond(A)2=|λ1/λn|,其中λ1和λn分别是矩阵A的模最大和最小特征值。
②矩阵A的行列式可先对矩阵A进行LU分解后,detA等于U所有对角线上元素的乘积。
二.源程序#include<stdio.h>#include<iostream.h>#include<stdlib.h>#include<math.h>#include<float.h>#include<iomanip.h>#include<time.h>#define E 1.0e-12/*定义全局变量相对误差限*/int max2(inta,intb)ﻩ/*求两个整型数最大值的子程序*/{ﻩif(a>b)return a;elsereturn b;}int min2(int a,intb) /*求两个整型数最小值的子程序*/{if(a>b)return b;elsereturn a;}int max3(int a,int b,intc)/*求三整型数最大值的子程序*/{int t;ﻩif(a>b)ﻩt=a;ﻩelset=b;ﻩif(t<c) t=c;return(t);}voidassignment(double array[5][501]) /*将矩阵A转存为数组C[5][501]*/{int i,j,k;//所有元素归零for(i=0;i<=4;){for(j=0;j<=500;){array[i][j]=0;ﻩj++;}ﻩ i++;}//第0,4行赋值for(j=2;j<=500;){ﻩk=500-j;array[0][j]=-0.064;array[4][k]=-0.064;ﻩj++;}//第1,3行赋值for(j=1;j<=500;){ﻩﻩk=500-j;array[1][j]=0.16;array[3][k]=0.16;ﻩ j++;}//第2行赋值for(j=0;j<=500;){k=j;ﻩﻩj++;array[2][k]=(1.64-0.024*j)*sin((double)(0.2*j))-0.64*exp((do uble)(0.1/j));}}doublemifa(double u[501],double array[5][501],double p) /*带原点平移的幂法*/{int i,j; /* u[501]为初始迭代向量*/double a,b,c=0; /* array[5][501]为矩阵A的转存矩阵*/ﻩdouble y[501]; /*p为平移量*/ﻩfor(;;){a=0;ﻩb=0;/*选用第一种迭代格式*///求ηk-1for(i=0;i<=500;i++){ﻩa=a+u[i]*u[i];ﻩ}a=sqrt(a);//求y k-1for(i=0;i<=500;i++){ﻩﻩy[i]=u[i]/a;}//求u kfor(i=0;i<=500;i++)ﻩ{ﻩu[i]=0;for(j=max2(i-2,0);j<=min2(i+2,500);j++)ﻩ{u[i]+=array[i-j+2][j]*y[j];ﻩ}ﻩu[i]=u[i]-p*y[i]; /*引入平移量*/ﻩ}//求βkﻩfor(i=0;i<=500;i++)ﻩ{ﻩﻩb+=y[i]*u[i];ﻩ}ﻩif(fabs((b-c)/b)<=E) /*达到精度水平,迭代终止*/ ﻩbreak;c=b;ﻩ}return(b+p);/*直接返回A的特征值*/}voidchuzhi(double a[]) /*用随机数为初始迭代向量赋值*/{inti;srand((int)time(0));for(i=0;i<=500;i++)ﻩ{ﻩﻩa[i]=(10.0*rand()/RAND_MAX);/*生成0~10的随机数*/ }}void chuzhi2(double a[],int j)/*令初始迭代向量为e i*/{int i;ﻩfor(i=0;i<=500;i++)ﻩ{a[i]=0;ﻩ}a[j]=1;}void LU(double array[5][501]) /*对矩阵A进行Doolittle分解*/{/*矩阵A转存在C[5][501]中*/ﻩint j,k,t;/*分解结果L,U分别存在C[5][501]的上半部与下半部*/ﻩfor(k=0;k<=500;k++)ﻩ{ﻩﻩfor(j=k;j<=min2((k+2),500);j++)ﻩﻩ{ﻩﻩfor(t=max3(0,k-2,j-2);t<=(k-1);t++)ﻩ{ﻩﻩarray[k-j+2][j]-=array[k-t+2][t]*array[t-j+2][j]; ﻩﻩ}ﻩ}ﻩif(k<500)ﻩfor(j=k+1;j<=min2((k+2),500);j++){ﻩﻩfor(t=max3(0,k-2,j-2);t<=(k-1);t++){ﻩﻩarray[j-k+2][k]-=array[j-t+2][t]*array[t-k+2][k];ﻩﻩ}array[j-k+2][k]=array[j-k+2][k]/array[2][k];}ﻩ}}double fmifa(double u[501],double array[5][501],double p){ /*带原点平移的反幂法*/ﻩinti,j;ﻩdoublea,b,c=0;ﻩdoubley[501];//引入平移量for(i=0;i<=500;i++)ﻩ{array[2][i]-=p;ﻩ}//先将矩阵Doolittle分解LU(array);ﻩfor(;;){a=0;b=0;//求ηk-1for(i=0;i<=500;i++){ﻩﻩa=a+u[i]*u[i];}a=sqrt(a);//求yk-1ﻩfor(i=0;i<=500;i++)ﻩ{y[i]=u[i]/a;ﻩ}//回带过程,求解u kfor(i=0;i<=500;i++)ﻩ{ﻩu[i]=y[i];ﻩ}for(i=1;i<=500;i++)ﻩ{ﻩfor(j=max2(0,(i-2));j<=(i-1);j++)ﻩ{ﻩﻩu[i]-=array[i-j+2][j]*u[j];ﻩ}ﻩﻩ}ﻩu[500]=u[500]/array[2][500];for(i=499;i>=0;i--)ﻩ{for(j=i+1;j<=min2((i+2),500);j++)ﻩﻩ{ﻩﻩu[i]-=array[i-j+2][j]*u[j];ﻩ}ﻩﻩu[i]=u[i]/array[2][i];ﻩ}//求βkfor(i=0;i<=500;i++){ﻩﻩb+=y[i]*u[i];}if(fabs((b-c)/b)<=E) /*达到精度要求,迭代终止*/break;ﻩc=b;}return(p+(1/b)); /*直接返回距离原点P最接近的A的特征值*/}//主函数main(){ int i;double d1,d501,ds,d,a;ﻩdouble u[501];ﻩdoubleMatrixC[5][501];printf(" 《数值分析》计算实习题目第一题\n");ﻩprintf("SY1103120朱舜杰\n");//将矩阵A转存为MatrixCassignment(MatrixC);//用带原点平移的幂法求解λ1,λ501chuzhi(u);ﻩd=mifa(u,MatrixC,0);chuzhi(u);ﻩa=mifa(u,MatrixC,d);ﻩif(d<0)ﻩ{ﻩﻩd1=d;ﻩd501=a;ﻩ}elseﻩ{ﻩﻩﻩd501=d;ﻩﻩd1=a;ﻩ}printf("λ1=%.12e\n",d1);ﻩprintf("λ501=%.12e\n",d501);//用反幂法求λschuzhi(u);ds=fmifa(u,MatrixC,0);printf("λs=%.12e\n",ds);//用带原点平移的反幂法求λikfor(i=1;i<=39;i++){ﻩa=d1+(i*(d501-d1))/40;ﻩﻩassignment(MatrixC);ﻩchuzhi(u);ﻩﻩd=fmifa(u,MatrixC,a);ﻩﻩprintf("与μ%02d=%+.12e最接近的特征值λi%02d=%+.12e\n",i,a,i,d); ﻩ}//求A的条件数d=fabs((d1/ds));ﻩprintf("A的(谱范数)条件数cond<A>2=%.12e\n",d);//求detAﻩassignment(MatrixC);LU(MatrixC);ﻩa=1;for(i=0;i<=500;i++){a*=MatrixC[2][i];}printf("行列式detA=%.12e\n",a);//测试不同迭代初始向量对λ1计算结果的影响。
填空题1、H=[1,0;1,2] 求H的2范数,1条件数2、A为一个三阶矩阵,含参数a,求A对称正定是a的范围;给定一个a,求LL(T)分解。
3、cos(πX),给X=0;0.25;0.5,利用2阶拉格朗日差值多项式,求X=0.4时的值4、求一个多步法的误差主项,y(n+2)-1/2y(n+1)-1//2y(n)=h(f(n+2)-1/4f(n+1)+3/4f(n))5、x在(0,h)间的定积分,求高斯法代数精度,af(0)+b*f(h/3)+1/4*f(h),并求a、b6、拉格朗日差值,x乘以插值基函数的求和7、A=[2,-1,0;-1,2,a;0,-1,2],b=[1,0,-1],AX=b,求BJ和J法收敛时a的范围8、f(x)=1/x-a,求牛顿迭代公式的收敛阶9、求一个以x为权函数的,2次正交多项式大题一、A=[10,a,0;c,10,c;0,a,5],b=(10,7,14),1、求J法收敛的充要条件2、a=c=1时,sor法收敛的充要条件,并写出w=1时,sor分量形式3、a=2,c=0时x=x+a(Ax-b),收敛时a的范围,a=?时收敛最快二、给x0,用牛顿求积公式求x1;证明一个全局收敛三、单步法展开,求误差主项和收敛阶,绝对稳定性区间(老师上课讲过例题)四、A和A-B都是非奇异的,证明||inv(A-B)||《1/(1/||inv(A)||-||B||)填空5*9,大题18+14+17+6最后一题好像是矩阵A和A-B可逆,求证norm(A-B)<=1/(norm(A^-1)^-1-norm(B))1、填空:a、有效数字,3.1425926近似pi——小心,从小数点后第三位就不一样了b、均差f=x^3+x-1求f[1,1,1],f[0,1,2,3],f[0,1,2,3,4]c、simpson公式代数精度——3d、Newton-Cotes积分系数Ck的和——这个就是1啦,呵呵e、A=[1,2;0,1],求普半径,1,2,无穷条件数f、x^2的最佳一次平方逼近和一致逼近g、拉格朗日插值基函数lk(x)xk^(n+1)从0到n求和2、高斯积分x^2f(x)=Af(x0)+Bf(x1)+Af(x2).积分限[-1,1]3、LU分解求方程组的解4、求Householder阵P使得PAP为三对角阵用第一种QR位移迭代算一步,求A25、证明严格对角占优矩阵A可逆,且A^(-1)的无穷范数小于1/[min|aii|-除对角线外的|aij|]6、第九章的作业题P480T6(《数值分析基础》高等教育出版社关治、陆金甫)填空:1。
第1章绪论内容提要#〜误差度量1数值分析研究两类误差:舍入误差和截断误差,由于计算机字长的有限性,对相关数据进行存储表示时便产生舍入误差,计算机必须在有限的时间内得到运行结果,于是无穷的运算过程必须截断为有限过程,由此产生截断误差,2,误差的度量分式有:绝对误差(限)、相对误差(限〗和有效数字,设?是真值工的一个近似,绝对误差为一:!相对误差为& ,绝对误差限〉和相对误X X差限6^ 〉分别是〉 |和^(:^ ^|的上限,3^对于非零近似值^的如下规格化标准形式X^ ^ 10^ X0#!1X2'&X&,&!' ?X I ^0 〈1. 1〉如果存在尽可能大的&,使得〉| & ^乂10"-",则称?有"位有效数字.进而当&^》时,称X,是有效数.4,有效数字和相对误差的关系定理1. 1 如果形如式〈1. V的有&位有效数字,则定理1.2如果形如式〈1. 0的:^的相对误差满足^|《"二" X化1-"则纟^至少有&位有效数字,二、浮点数系统对于5+ ^ + 2位的浮点数系0表示二进制阶码数值的二进制位数〃表示尾数的二进制位数,其他两位表示阶码和尾数的符号〉,机器数绝对值的范围是2-21〜22'-、实数表示的相对舍入误差限是2-'.当数据的绝对值大于22'-1时,计算机非正常停机,称之为上溢,当非零数据的绝对值小于2-2',用机器零表示,精度损失,称之为下溢,、误差传播如果在运算过程中舍入误差能够得到控制,或者舍入误差的增长不影响产生可靠的结果则纟称该算法是数值稳定的,函数值绝对误差传播公式如下^/(^" 丫) ## /(;:)〉 1 2〉^(/(^" ^-^:》#亡"";二…、^ 〉(丄门)!.^^")〉#| /'(?) |〈1.4〉、数值稳定性不同的教材对数值方法稳定性的定义有所不同,有的要求随计算过程的深入误差不增长,有的则要求误差增长速度不能太快^只要不影响产生具有有效数字的近似值即认为是稳定的,读者应注意教材中的定义.随着学习的深入,会针对各种具体算法给出稳定性的确切定义,^ 2 ^典型例题与解题技巧【例1】求!&的近似值,使其绝对误差限精确到1乂1。
20130917题目
求证:在矩阵的LU 分解中,1
11n n T
n ij i j j i j L I e e α-==+⎛⎫=- ⎪⎝⎭
∑∑
证明:
在高斯消去过程中,假设0jj a ≠ ,若a=0,可以通过列变换使得前面的条件成立,这里不考虑这种情况。
对矩阵A 进行LU 分解,()()
()
()()1
11
1111L M n M M M n ---=-=••-………… ,
其中()1n T
n ij i j i j M j I e e α=+⎛⎫=+ ⎪⎝⎭
∑ ,i e 、j e 为n 维线性空间的自然基。
()M j 是通过对单位阵进行初等变换得到,
通过逆向的变换则可以得到单位阵,由此很容易得到()M j 的逆矩阵为1n T n ij i j i j I e e α=+⎛⎫- ⎪⎝⎭∑。
故111n n T n ij i j n j i j L I e e I α-==+⎛⎫
⎛⎫=- ⎪ ⎪ ⎪⎝⎭⎝⎭
∏∑
上式中的每一项均是初等变换,从右向左乘,则每乘一次相当于对右边的矩阵进行一次
向下乘法叠加的初等变换。
由于最初的矩阵为单位阵,变换从右向左展开,因而每一次变换不改变已经更新的数据,既该变换是从右向左一列一列更新数据,故
11n
n T
n ij i j j i j L I e e α==+⎛⎫=- ⎪⎝⎭
∑∑。
数学证明:1n T
ij i j i j e e α=+⎛⎫ ⎪⎝⎭∑具有
,0
00n j j A -⎛⎫ ⎪⎝⎭ 和1,1000n j n j B -+-+⎛⎫
⎪⎝
⎭ 的形式,且有
+1,-11,10000=000n j j n j n j A B --+-+⎛⎫⎛⎫
⎪⎪⎝⎭⎝
⎭
而1
1n n T ij i j j k i j e e α-==+⎛⎫ ⎪⎝⎭
∑∑具有1,1000n k n k B -+-+⎛⎫
⎪⎝⎭的形式,因此: 1
311111211121==n n n n n n T T T n ij i j n ij i j n ik i k j i j j i j k n i k n n T n i i n ik i i i k L I e e I e e I e e I e e I e ααααα---==+==+=-=+==+⎡⎤⎛⎫⎛⎫⎛⎫⎛⎫⎛⎫⎛⎫=---⎢⎥ ⎪ ⎪ ⎪ ⎪ ⎪
⎪ ⎪ ⎪⎝⎭⎝⎭⎢⎥⎝⎭⎝⎭⎝⎭⎝⎭⎣⎦⎛⎫⎛⎫⎛⎫=-- ⎪ ⎪ ⎝⎭⎝⎝⎭∏∑∏∑∑∑∑∑……11211n n n T T
k n ik i k
k k i k e I e e α--===+⎛⎫⎛⎫=- ⎪⎪ ⎪⎭⎝⎭⎝⎭
∑∑∑#
20130924题目一
问:能否用逐次householder 相似变换变实矩阵A 为上三角矩阵,为什么?
解:
不能用逐次householder 相似变换变A 为上三角矩阵,原因如下:
A 记作:()
12=,,n A a a a ……, ,存在householder 阵1H s.t. 1111H a e α= ,则
()()()
111111111111111111111,,,0T T
h H AH H a A H e H A H e H A H h H A H ααα⎛⎫'''=== ⎪
⎪'⎝⎭
⎛⎫
''=+ ⎪ ⎪⎝
⎭
11H A H ''第一列的元素不能保证为1e 的倍数,故无法通过householder 变换实现上三
角化。
20130924题目二
问:能否用逐次householder 相似变换变实矩阵A 为上Hessenberg 矩阵,怎么做?
解:
可以用逐次householder 相似变换变A 为上Hessenberg 矩阵,方式如下: 记
0011
12
00021
22A A A a A ⎛⎫=
⎪ ⎪⎝⎭
,其中0
21a 为n-1维向量。
设()1110=0H H ω⎛⎫
⎪
⎝⎭
,其中()0
12111=H a e ωα ,则()()()
()()0
000
111211
1211101
001111122121221111
12
1121
221
010=00T T T T A A A A H A H A H H H e H A H a A A
A a A ωωωαωω⎛⎫⎛⎫
⎛⎫⎛⎫== ⎪ ⎪ ⎪ ⎪ ⎪ ⎪⎝⎭⎝⎭⎝
⎭
⎝⎭⎛⎫= ⎪ ⎪⎝⎭
其中1
21a 为n-2×2阶阵,除最右一列以外都为0。
若11
12
21
22k k k k k A A A a A ⎛⎫=
⎪ ⎪⎝⎭
中,21k
a 为(n-k-1)×(k+1)矩阵,且除最右一列外都为0,设1()k H ω+ 是对21k
a 做householder 变换对应的householder 阵,则
()()1
1
11121112
1
1111111121
2221
220
=0
k
k
k k k k k k k k k
k k k k k A A A A I I A H A H H H a A a A ωω+++++++++++⎛⎫⎛⎫⎛⎫⎛⎫== ⎪ ⎪
⎪ ⎪ ⎪ ⎪⎝⎭⎝⎭⎝⎭⎝⎭
如此,A n-2就是上Hessenberg 矩阵,即
()()22310231=n n n n n H A H H H A H H H QAQ -----==………… ,整个过程是通过
householder 变换得来,Q 是householder 阵的乘积,故是单位正交矩阵。
#
“高等数值分析”第三次书面作业
20130926题目
问:若对算子范数
,n n
R
⨯∆∈ ,s.t.1∆< ,证明:①n I +∆ 可逆;②
()
1
1
1n I -+∆≤
-∆
证明:
① 对于方程()0n I x +∆= ,移项得x x ∆=- ,两边取范数得x x x ∆=-=
而 x x ∆≤∆ ,故x x ≤∆,而01<∆<,所以,等号成立当且仅当
0x = ,即0x =,这就说明方程()0n I x +∆=只有0解,故n I +∆ 可逆;
② ()()
()()1
11
n n n n n n I I I I I I ---+∆+∆=⇒+∆=-∆+∆
()
()
()
1
1
1
n n n n n I I I I I ---+∆=-∆+∆≤+∆
+∆
()
1
1
11n n I I -+∆≤
=
-∆
-∆
#
事实上,更一般的结论是n I ±∆可逆,且()1
1
1n I -±∆≤
-∆
(本资料素材和资料部分来自网络,仅供参考。
请预览后才下载,期待您的好评与关注!)。