[工学]南昌大学材料热力学答案
- 格式:doc
- 大小:952.00 KB
- 文档页数:37
热力学习题答案Document serial number【NL89WT-NY98YT-NC8CB-NNUUT-NUT108】第9章热力学基础一. 基本要求1. 理解平衡态、准静态过程的概念。
2. 掌握内能、功和热量的概念。
3. 掌握热力学第一定律,能熟练地分析、计算理想气体在各等值过程中及绝热过程中的功、热量和内能的改变量。
4. 掌握循环及卡诺循环的概念,能熟练地计算循环及卡诺循环的效率。
5. 了解可逆过程与不可逆过程的概念。
6. 解热力学第二定律的两种表述,了解两种表述的等价性。
7. 理解熵的概念,了解热力学第二定律的统计意义及无序性。
二. 内容提要1. 内能功热量内能从热力学观点来看,内能是系统的态函数,它由系统的态参量单值决定。
对于理想气体,其内能E仅为温度T的函数,即当温度变化ΔT时,内能的变化功热学中的功与力学中的功在概念上没有差别,但热学中的作功过程必有系统边界的移动。
在热学中,功是过程量,在过程初、末状态相同的情况下,过程不同,系统作的功A也不相同。
系统膨胀作功的一般算式为在p—V图上,系统对外作的功与过程曲线下方的面积等值。
热量热量是系统在热传递过程中传递能量的量度。
热量也是过程量,其大小不仅与过程、的初、末状态有关,而且也与系统所经历的过程有关。
2. 热力学第一定律系统从外界吸收的热量,一部分用于增加内能,一部分用于对外作功,即热力学第一定律的微分式为3. 热力学第一定律的应用——几种过程的A、Q、ΔE的计算公式(1)等体过程体积不变的过程,其特征是体积V =常量;其过程方程为在等体过程中,系统不对外作功,即0A。
等体过程中系统吸收的热量与系统内V能的增量相等,即(2) 等压过程压强不变的过程,其特点是压强p =常量;过程方程为在等压过程中,系统对外做的功系统吸收的热量 )(12T T C M MQ P mol P -=式中R C C V P +=为等压摩尔热容。
(3)等温过程 温度不变的过程,其特点是温度T =常量;其过程方程为pV =常量在等温过程中,系统内能无变化,即(4)绝热过程 不与外界交换热量的过程,其特点是dQ=0,其过程方程pV γ=常量在绝热过程中,系统对外做的功等于系统内能的减少,即7. 循环过程 系统从某一状态出发,经过一系列状态变化后又回到了初始状态的整个变化过程。
1、At 300K, 1 mole ideal gas expands from p =10⨯pΘ to p= pΘ isothermally and reversibly calculate (1) Calculate the q, w, ∆H m, ∆U m, ∆G m, ∆F m and ∆S m; (2) If the gas expands isothermally to a vacuum until the pressure reaches p= pΘ, calculate q, w, ∆H m, ∆U m, ∆G m, ∆F m and ∆S m.2. Calculate the equilibrium vapour pressure (atm) of sodium for an aluminum melt containing 0.005 mol% sodium(Na). The activity coefficient of sodium in aluminum is 320 and the vapor pressure of pure sodium at 750 °C is 0.23 atm.3、At 413.15K,the vapor pressure of pure C6H5Cl and C6H5Br are 125.238kPa and 66.104kPa. Given that the two pure liquids are mixed and form ideal solution. If a solution formed by the two pure liquids boils at 413.15K、101.325kPa, please calculate the composition of the solution and the vapor above it.4、Given that when a specie A in a binary solution, its vapor pressure varies with its concentration in the pattern illustrated below. Make a table to indicate the activity, activity coefficient and chemical potential of A in different concentration sections I 、II and III,using its pure substance as standard state.III III5、At 300K, the vapor pressure of liquid A and liquid B are 37.33kPa and 22.66kPa.When 2 moles of A and 2 moles of B are mixed to form a solution, the vapor pressure above the solution is 50.66kPa, and the molar fraction of A in the vapor is 0.60. Given that vapors can be taken as ideal gases. ①Calculate a A( R )and a B( R) in the solution, ②γA and γB , ③∆mix G , ④ If the solution is an ideal solution, what is the value of ∆mix G id ? ⑤ What is the value of ∆mix G ex of this solution?6、The variation, with composition, of G E for Fe-Mn alloys at 1863K is listedbelow:X Mn 0.1 0.20.30.40.50.60.7 0.80.9G m E , Joules395703 925 1054 1100 1054 925 703 395a 、Is the process to form Fe-Mn alloy at 1863K an exothermic one or an endothermic one ?b. Does the system exhibit regular solution behavior?c. Calculate E Fe μ and E Mn μ at X Mn = 0.6;d. Calculate m mix G ∆ at X Mn = 0.4;e. Calculate the partial pressures of Mn and Fe exerted by the alloy of X Mn = 0.27、Melts in the system Pb-Sn exhibit regular solution behavior. At 473︒C, a Pb =0.055 in a liquid solution of X Pb = 0.1. Calculate the value of PbSn ωfor the system and calculate the activity of Sn in the liquid solution of X Sn = 0.5 at 500︒C.93.23ln 27.145390)(ln *+--=T Tatm p Fe68.37ln 02.333440)(ln *+--=T Tatm p Mn8、With respect to the Ellingham diagram, answer the following questions:a) Explain the slope changes for the reaction 2Mg + O 2 = 2MgO; b) You want to heat up and a piece of silicon metal to 1600︒C, decide on a suitable crucible material;c) What is the value of ∆H Θ of formation of TiO 2 ? d) Find ∆G Θfor the reaction Fe + 0.5O 2 =FeO at 1200 ︒C;e) Find ∆G Θ for the reaction 3Mg + AlO 3 = 3MgO + 2A1 at 1500 ︒C; f) What is the equilibrium oxygen pressure when metallic titanium is in equilibrium with TiO 2 at 1000 ︒C?g) If you want to reduce pure TiO 2 to pure metallic titanium at 1000︒C using a CO/CO 2 gas mixture, what is the minimum CO/CO 2 ratio that can achieve such a reduction.9、Answer the following questions according to Ellingham diagram:① At what temperature(s) C can reduce SnO 2(s)、Cr 2O 3(s) and SiO 2(s) ? ② At what temperature, the decomposition pressure of CuO reaches 1.01325⨯105 Pa ?③ The temperature(s) at which Fe 3O 4 can be reduced to FeO by H 2 ? ④ ∆G Θ when Mg reduces Al 2O 3 at 1000︒C, ⑤ Atwhattemperature,forthereaction)(322)(3234S S O Cr O Cr =+,Pa 1019'2-(平)is p O ? ⑥ Calculate the ∆G when Fe reacts with O 2 at 10-5Pa and 10-10Pa respectivelyat1000︒C, and '(2平)O p as well.⑦ Calculate the equilibrium constant of reaction 2)()(CO Mn CO MnO s s +=+ at 1100︒C (CO CO p p K /2=)⑧ At what temperature, for reaction )(2)(2)(g s s O H Mn H MnO +=+, the (平))/(22O H H is 104/1 ? 10、The standard Gibbs free energy change for reaction I:Ni (s ) + 1/2 O2 == NiO (s )is -244560 + 98.53TlnT J/ mol , question: a) How much is the standard Gibbs free energy change for reaction II : 2Ni (s ) + O2 == 2 NiO (s )b) Calculate the equilibrium constants for reaction I and reaction II respectively at 1000︒ C.c) At 1000︒ C, when oxygen pressure is maintained at 10-4 atm, how much is theGibbs free energy change for reaction I ? Can reaction I proceed forward ? Is Ni stable under this condition ? Is NiO stable under this condition ? d) At 1000︒ C, how much should be the oxygen pressure if we want the Gibbs free energy change for reaction I to be 0, and how much should be the oxygen pressure if we want a Ni-NiO-O 2 system to be at equilibrium ?e) At 1000 C, what is the condition to prevent Ni from being oxidized ? and whatis the condition to reduce NiO ?11、Liquid FeO is reduced to metallic iron at 1600 °C with CO(gas) accordingto the following reaction:FeO(liquid) + CO(g) = Fe(liquid) + CO 2 a) Calculate ∆G Θ at 1600 °C for this reactionb) Detennine the minimum CO/C02 ratio required to reduce pure liquid FeO to pure metallic iron at 1600 °C.c) Determine the minimum CO/CO2 ratio required to reduce FeO dissolved in a liquid slag to metallic iron at 1600 °C. The metallic iron formed has a purity of 96 mole % iron. The activity of FeO in the liquid slag is 0.3.CO(g) at 1600 °C: ∆GΘ= -274.9 kJ/molCO2(g) at 1600 °C: ∆GΘ = -396.3 kJ/molFeO at 1600 °C: ∆GΘ = -144.6 kJ/molR= 8.314 J/ mol.K= 1.987 ca1/mol.K12、In an experiment, it was found that the Ar was not pure enough. So a setup was devised in an attempt to purify the Ar, as illustrated below. Ar which was at 2 atm was let to flow through a glass tube and the Cu powder pile in it. Given that the temperature in the glass tube is 600︒C and gas pressure is constant at 2 atm.. Calculate the purity of the outgoing Ar in percentage.Ellingham Diagram补充习题参考答案(魏)1.ΔS m =19.1J/mol.K, ΔG m = -5740 J/mol, ΔF m = -5740 J/molIsothermally expands to a vacuum: w = 0, ΔH m =0 , ΔU m = 0,ΔS m =19.1J/mol.K, ΔG m = -5740 J/mol, ΔF m = -5740 J/mol2. 3.68 × 10-3 atm3、Pa x x Br H C Cl H C 406.0;594.05556==Pa p Pa p Br H C Cl H C 26838;744445556==4.5、 JG J G J G a a ex mix id mix mix B A R B R A 5302)5(;6912)4(;1610)3(;788.1;62.1)2(;894.0;81.0)1()()(=∆-=∆-=∆====γγ 6. a endothermic one; b. Yes; c J J EMn E Fe 704;1584==μμd ;/9363mol J G m m ix -=∆e Pa p Pa p Fe Mn 4;1198==7. J S n P b 4578-=ω; 418.0=Sn a Pure Substance as Standard Statepq(b )I 、II 、IIIIII:AA AA x RT T p RT T T ln )(ln)()(**+=+=μμμk A8. a) Mg boils and which makes o S ∆more negative, so the slope changes for larger; b) Firstly, we should avoid using metallic material for this purpose since the melting points of metals are mostly too low. Ceramic materials, usually composed of oxides and having high melting points can be chosen The material should not be reduced by pure silicon at 1600ºC. By examing Ellingham diagram, crucibles (坩埚) made of Al 2O 3 .c ) -890kJ /molO2;d ) -170kJ /molFeO; e) -30kJ; f) Pa 2110-; g)721063.0/⨯=pco p CO 9、⑨ 650ºC ,1220 ºC and 1520 ºC ; ⑩ 1480 ºC ;⑪ When the temperature is equal to or higher that 710 ºC ; ⑫ 2/100molO kJ G o -=∆ ⑬ 900 ºC; ⑭0,102/112,1010'25'2=∆=-=∆=--G Pa P molO kJ G Pa P O O , Pa p e O 10')(210-= ⑮ 510-=K ;⑯ 1220ºC10、a) -489120+197.06TlnT J/mol; b) 2.89×10-54 ; c)J G 749429=∆; Ni is stable under this condition,and NiO is not stable; d) Pa p e o 58')(21046.3⨯= e) from the calculation, we found that at 1000ºC, Pa p e o 58')(21046.3⨯=. So at 1000ºC, when theoxygen pressure is less than 3.46×1058Pa, Ni is stable and can not be oxidized, and NiO will be reduced to Ni under this condition. 11. a)mol kJ G o /2.23=∆;b)43.42=⎪⎭⎫ ⎝⎛e CO CO p p . This is the minimumCO/CO2 ratio required to reduce pure FeO to Fe at 1600ºC. c)2.142=⎪⎭⎫ ⎝⎛eCO CO p p . This is the minimum CO/CO2 ratio required to reduce FeO in a slag( 炉渣) to Fe in a metallic iron melt under the given conditions at 1600ºC.12.%100)1015.3%10⨯⨯-=(Ar。
一、常压时纯Al 的密度为ρ=2.7g/cm 3,熔点T m =660.28℃,熔化时体积增加5%。
用理查得规则和克-克方程估计一下,当压力增加1Gpa 时其熔点大约是多少? 解:由理查德规则RTm Hm R Tm Hm Sm ≈∆⇒≈∆=∆ …①由克-克方程VT H dT dP ∆∆=…② 温度变化对ΔH m 影响较小,可以忽略,①代入②得V T H dT dP ∆∆=dT T 1V Tm R dp V T Tm R ∆≈⇒∆≈…③ 对③积分 dT T1V T Tm R p d T Tm Tm pp p ⎰⎰∆+∆+∆= 整理 ⎪⎭⎫ ⎝⎛∆+∆=∆Tm T 1ln V Tm R p V T R V Tm R Tm T ∆∆=∆⨯∆≈ Al 的摩尔体积 V m =m/ρ=10cm 3=1×10-5m 3Al 体积增加 ΔV=5%V m =0.05×10-5m 3K 14.60314.810510R V p T 79=⨯⨯=∆∆=∆- Tm ’=Tm+T ∆=660.28+273.15+60.14=993.57K二、热力学平衡包含哪些内容,如何判断热力学平衡。
内容:(1)热平衡,体系的各部分温度相等;(2)质平衡:体系与环境所含有的质量不变;(3)力平衡:体系各部分所受的力平衡,即在不考虑重力的前提下,体系内部各处所受的压力相等;(4)化学平衡:体系的组成不随时间而改变。
热力学平衡的判据:(1)熵判据:由熵的定义知dS Q T δ≥不可逆可逆对于孤立体系,有0Q =δ,因此有dS 可逆不可逆0≥,由于可逆过程由无限多个平衡态组成,因此对于孤立体系有dS 可逆不可逆0≥,对于封闭体系,可将体系和环境一并作为整个孤立体系来考虑熵的变化,即平衡自发环境体系总0S S S ≥∆+∆=∆(2)自由能判据 若当体系不作非体积功时,在等温等容下,有()0d ,≤V T F 平衡状态自发过程上式表明,体系在等温等容不作非体积功时,任其自然,自发变化总是向自由能减小的方向进行,直至自由能减小到最低值,体系达到平衡为止。
“材料热力学”补充习题参考答案教材各章习题参考答案 (魏)3.2 ΔG = -108.9 J/mol; ΔS = -21.42 J/(mol.K) 3.6 (a )22.09/(.)S J mol K ?=;(b) At 0?C, ?G =0;(c) ?H = 5841.9 J;(d) ?S =21.39J /(mol.K),?G = 109.38 J/mol4.1 (a ) 2898.28J/mol; ( b ) No; ( c ) 345 J/mol; ( d ) 14939 atm; ( e )4921 J/mol 4.2 ( a ) 272.8K; ( b ) Pa P 610345?≈? ; ( c ) 249.46K4.3 1202K4.4 P=5.73?10-6 atm 4.5 0.16P 4.708.10430685ln +-=TP4.8 ( a ) 1180K; ( b ) 695.3K; ( c ) 114.4kJ/mol; ( d ) 7123 J/mol; ( e )4.2J/mol4.9 In the initial state: 4.06 mol %; in the final state:5.3 mol% 4.10 ( a )348 kJ; ( b ) 2.3×10-3Pa ;( c ) “ solution not possible ”; (d ) “solution not possible ”5.1atmp H 0005.0=5.2、atmp o 1221007.1-?=If the error in enthalpy is 500cal, the uncertainty in the pressure calculated is 28.6%, and if the error in enthalpy is -500cal, the uncertainty is -22.1%5.3、(a) T =462K; (b) T = 420K 5.4 (a)atmP O 2621014.1-?=, (b) P O2 =2.28?10-10 atm., (c) The equilibriumoxygen pressure remains the same when the total pressure increases, which means a higher purity level of N 2 .5.5 (a) 略; (b) Pa atm P H 8.181013056.1800019.0)('2=?==; (c) 21.5L Ar is needed to be bubbled into the melt.5.6(a )0.880.900.920.940.960.981.00 1.02 1.04 1.06 1.087.27.47.67.88.08.28.48.6l n K a1/T , 10-31/K=-=?ooG kJ H1000;50- 66.6kJ(b) Ja = 3 < Ka, the reaction will proceed from left to right, and theatmosphere will not oxidize Ni. 5.7 略5.8. (a) P SiO = 8.1?10-8 (atm) (b) ?H o = 639500J; ?So =334.9J/K(c ) PO2 =10-30 atm 5.9 5.10.JH o72250=?,the reaction is an endothermic one.5.11. (a),166528J Ho=?the reaction is an endothermic one.;(b) At 1168K, the equilibrium pressure of CO2 equals one atmosphere. 5.12 (a) 略, (b) MgCO P P =; (c) T = 2037 K5.13 (a) 略; (b) 13109.2?=K ; (c) ppm 186.05.14 (a) 略; (b) kJ H 52.267=?; (c) K T 1592=5.15 (a) )(106.13atm -?≈; (b) )(1028.210)(2atm P g O H -?=5.16 (a)97.9=K ; (b) atm x 14.4=; (c) if the temperature is increased,the fraction of water reacted will increase since the equilibria constant increases with increasing temperature.6.2 (a )1.287V;(b) When the water impure, the voltage will go higher; (c)1.219V 6.4 (a) 145.3kJ;(b) The maximum work that could be derived is 702.36kJ; (c) In this case, the maximum work that could be derived is 696.56kJ.)(106.08)(atm Pg u -?=6.5 (a) -6252J/mol; (b) 370.0)(=II Cda ; (c) )(42.3mmHg P Cd =;6.67.87?10-4 V 6.7 (a))(22g Cl Mg MgCl+=(b)Pa P Cl 21'1086.82-?=;(c) 2.485V6.8 (a) PaP O 11'2105.5-?=;(b) Anode: e Ni Ni 2+→Cathode: -→+2222/1Oe O ;(c) 0.757V; (d) 0.261V6.10 (a) )(509.3V E o=;(b) 0.074kJ;(c) 4.1?106J;(d) Y es. In this case, the open circuit voltage is 3.648V;(e) In this case, to keep the temperature constant, 3.92?106J heatshould be removed from the battery per hour. 6.11(a)TGCOAl C O Al o26.3211008.12/322/36232-?=+=+Δ(b) The minimum voltage at which the electrolysis may be carriedout at 1250K is 1.172V .7.1 0.117 atm 7.5 ( a ) ,82.52.52.5BA BA BB T PV V V x x x x x ??=+=-- ?,102.5 2.5 2.5A B A A B A T PV V V x x x x x ??=+=-- ?( b) B A Mx x V5.2=7.72)1(736.0ln Sn Snx --=γ7.8 The maximum solubility of MgF2 in liquid MgCl at 900?Cis 19mol% .7.9 ( a ) 1121K; ( b ) 1. 8 cal/K 9.69.8 Solution:(a) 90 mol%B is the composition of the first solid to form;10 mol % is the composition of the last liquid drop.(b) solid (60 mol%B is the composition) is about 77% ; liquid(15 mol%B is the composition) is 23%9.9 (a) 2900℃, α(12%) (b) 2300℃, liq(95%) (c) 8.2%α(compositionis 24% )+91.8%β(85%)补充习题参考答案(魏)1.ΔS m =19.1J/mol.K, ΔG m = -5740 J/mol, ΔF m = -5740 J/molIsothermally expan ds to a vacuum: w = 0, ΔH m =0 , ΔU m =0,ΔS m =19.1J/mol.K, ΔG m = -5740 J/mol, ΔF m = -5740 J/mol2. 3.68 × 10-3 atm3、x x Br H C Cl H C 406.0;594.05556==Pa p Pa p Br H C Cl H C 26838;744445556==4.5、JGJ GJ G a a exmix idmix mix B A R B R A 5302)5(;6912)4(;1610)3(;788.1;62.1)2(;894.0;81.0)1()()(=?-=?-=?====γγ6. a endothermic one; b. Y es; c JJ EMn EFe 704;1584==μμd;/9363mol J G m mix -=?ePap Pa p Fe Mn 4;1198==S n P b4578-=ω;418.0=Sn a8. a) Mg boils and which makes oS ?more negative, so the slope changes for larger; b) Firstly, we should avoid using metallic material for this purpose since the melting points of metals are mostly too low. Ceramic materials, usually composed of oxides and having high melting points can be chosenThe material should not be reduced by pure silicon at 1600oC. By examing Ellingham diagram, crucibles (坩埚) made of Al 2O 3 .c ) -890kJ /molO2;d ) -170kJ /molFeO; e) -30kJ; f) Pa2110-;g)721063.0/?=pco p COPure Substance as Standard Statepq(b )I 、II 、IIIIII:AA x RT T p RT T T ln )(ln)()(**+=+=μμμk A9、① 650oC ,1220 oC and 1520 oC ; ② 1480 oC ;③ When the temperature is equal to or higher that 710 oC ;④ 2/100molO kJ G o-=?⑤ 900 oC; ⑥,102/112,1010'25'2=?=-=?=--G Pa PmolO kJ G Pa P O O ,Pap e O 10')(210-=⑦ 510-=K;⑧ 1220oC10、a) -489120+197.06TlnT J/mol; b) 2.89×10-54 ; c)JG 749429=?; Ni is stable under thiscondition, and NiO is not stable; d)p e o 58')(21046.3?= e) fromthe calculation, we found that at 1000oC,Pap e o 58')(21046.3?=. Soat 1000oC, when the oxygen pressure is less than 3.46×1058Pa, Ni is stable and can not be oxidized, and NiO will be reduced to Ni under this condition. 11. a)molkJ G o/2.23=?; b)43.42=eCO CO p p . This is theminimum CO/CO2 ratio required to reduce pure FeO to Fe at 1600oC. c)2.142=eCO CO p p . This is the minimum CO/CO2ratio required to reduce FeO in a slag( 炉渣) to Fe in a metallic iron melt under the given conditions at 1600oC.12.%10?-Ar .3 15 % 100 ) 10。
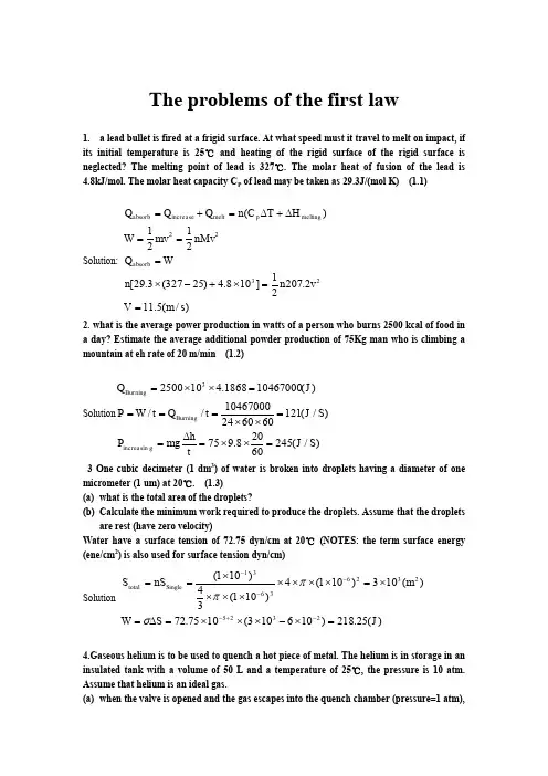
The problems of the first law1.1 a lead bullet is fired at a frigid surface. At what speed must it travel to melt on impact, if its initial temperature is 25℃ and heating of the rigid surface of the rigid surface is neglected? The melting point of lead is 327℃. The molar heat of fusion of the lead is 4.8kJ/mol. The molar heat capacity C P of lead may be taken as 29.3J/(mol K)Solution: )/(363102.20721]108.4)25327(3.29[2121)(23322s m V v n n WQ nMv mv W H T C n Q Q Q absorb melting p melt increase absorb =⨯=⨯+-⨯===∆+∆=+=-1.2 what is the average power production in watts of a person who burns 2500 kcal of food in a day? Estimate the average additional powder production of 75Kg man who is climbing a mountain at the rate of 20 m/minSolution )/(24560208.975)/(12160602410467000//)(104670001868.4102500sin 3S J t h mg P S J t Q t W PJ Q gincrea Burning Burning =⨯⨯=∆==⨯⨯====⨯⨯=1.3 One cubic decimeter (1 dm 3) of water is broken into droplets having a diameter of one micrometer (1 um) at 20℃.(a) what is the total area of the droplets?(b) Calculate the minimum work required to produce the droplets. Assume that the droplets are rest (have zerovelocity)Water have a surface tension of 72.75 dyn/cm at 20℃ (NOTES: the term surface energy (ene/cm 2) is also used for surface tension dyn/cm)Solution)(6.436)106103(1075.72)(106)105.0(4)105.0(34)101(232523263631J S W m nS S Single total =⨯-⨯⨯⨯=∆=⨯=⨯⨯⨯⨯⨯⨯⨯⨯==-+----σππ1.4 Gaseous helium is to be used to quench a hot piece of metal. The helium is in storage in an insulated tank with a volume of 50 L and a temperature of 25℃, the pressure is 10 atm. Assume that helium is an ideal gas.(a) when the valve is opened and the gas escapes into the quench chamber (pressure=1 atm), what will be thetemperature of the first gas to hit the specimen?(b) As the helium flows, the pressure in the tank drops. What will be the temperature of the helium entering thequench chamber when the pressure in the tank has fallen to 1 atm?Solution: )(180118298)(1185.229810101325501010101325)5500(1)()(118)101(298)()(0334.0/00K T T T K RR nC W T b K T P P T T Adiabatica p CR P=-=∆-==⨯⨯⨯⨯⨯⨯⨯-⨯==∆=⨯==--1.5 An evacuated (P=0), insulted tank is surrounded by a very large volume (assume infinite volume) of an ideal gas at a temperature T 0. The valve on the tank is oðened and the surrounding gas is allowed to flow suickly into t(e tank until the pressure insi`e the tank is equals the pressure outside. Assume that no heat flow takes place. What is the0final tempeture kf t èe gaS in the tank? The heat cap!city mf the gas, C p and C v each íay be(assumed to be c/nsuant over thå temperature rang!spanNed by the døperiment. You answer may be meft in terms of C p and S vM hint: one way to approach the xroblem is to define the system as the gas ends up in the tank. hint: one way to approach the xroblem is to define the system as the gas ends up in the tank.solution 0/000/00)()(T P P T T P PT T Adiabatic PPC R C R ≈-==1.6 Calculate the heat of reaction of methane with oxygen at 298K, assuming that the products of reaction are CO 2 and CH 4 (gas)[This heat of reaction is also called the low calorific power of methane] convert the answer into unites of Btu/1000 SCF of methane. SCF means standard cubic feet, taken at 298 and 1atm NOTE: this value is a good approximation for the low calorific powder of natural gasDATA: )()()(224g O H g CO g CH FOR80.5705.9489.17]/[0298---∙∆mol g Kcal Hsolution)1000/(9.2610252103048.01101076.191)/(76.191)89.1780.57205.94()2(22333332982982224422SCF Btu mol g Kcal H H H H H OH CO O CH CH O H CO =⨯⨯⨯⨯⨯=∙=∆+⨯---=∆-∆+∆-=∆+=+- 1.7Methane is delivered at 298 K to a glass factory, which operates a melting furnace at 1600 K. The fuel is mixed with a quantity of air, also at 298 K, which is 10% in excess of the amount theoretically needed for complete combustion (air is approximately 21% O 2 and 79% N 2)(a) Assuming complete combustion, what is the composition of the flue gas (the gas following combustion)? (b) What is the temperature of the gas, assuming no heat loss?(c) The furnace processes 2000kg of glass hourly, and its heat losses to the surroundings average 400000 kJ/h.calculate the fuel consumption at STP (in m 3/h) assuming that for gas H 1600-H 298=1200KJ/KG(d) A heat exchanger is installed to transfer some of the sensible heat of the flue gas to the combustion air.Calculate the decrease in fuel consumption if the combustion air is heated to 800K DATA STP means T=298K, P=1atm22224O N O H CO CH for2.82.89.117.1316)/(C mol cal C P ∙Solution)(210448.1125.9100076.191298)/(25.9)]87.012.72(2.843.179.1171.87.13[01.0)(%87.0%%12.72%%43.17%2%%71.8)11.1(221791.1231%22)(0,,222222224K T T T C mol cal X C C b O N CO O H CO O H CO O CH a i i p p p =⨯⨯+=∆+=∙=+⨯+⨯+⨯=======-⨯+⨯⨯+=+=+∑)/(1644)0224.011868.448.11)8001600(48.1125.9189570(102800000)/(189570)298800)](48.1187.8)48.1125.9[(100076.191)()/(87.848.11/]211002.22.816[)()/(3214)0224.011868.448.11)2981600(48.1125.9100076.191(102800000)/(280000040000020001200)(33min ,,,,298,,33min h m V mol g cal dTn C n C H H C mol cal X C C d h m V h KJ P C gConsu i i r p i i p p i i p r p g Consu =⨯⨯-⨯-⨯=∙=-⨯-⨯-⨯=--∆=∆∙=⨯⨯+===⨯⨯-⨯-⨯⨯==+⨯=⎰∑∑∑1.8 In an investigation of the thermodynamic properties of a-manganese, the following heat contents were determined:H 700-H 298=12113 J/(g atom) H 1000-H 298=22803 J/(g atom)Find a suitable equation for H T -H 298 and also for C P as a function of temperature in the form (a+bT) Assume that no structure transformation takes place in the given tempeture rang.Solution )298(0055.0)298(62.35011.062.35011.062.3522803)2981000(2)2981000(12113)298700(2)298700(]2[2229822222982---=∆-=-===-+-=-+-+=+==∆⎰⎰T T H TC b a ba ba T baT bTdT a dT C H T P T P1.9 A fuel gas containing 40% CO, 10% CO 2, and the rest N 2 (by volume) is burnt completely with air in a furnace. The incoming and ongoing temperatures of the gases in the furnace are 773K and 1250K,respectively. Calculate (a) the maximum flame temperature and (b) heat supplied to the furnace per cu. ft of exhaust gasmolJ Hmol J H CO f CO f /393296/1104580,298,0,298,2-=∆-=∆)/(10184.403.29)/(1067.11010.492.19)/(1037.81020.935.44)/(1042.01097.345.283,253,253,253,222molK J T C molK J T T C molK J T T C molK J T T C N P O P CO P CO P -------⨯+=⨯-⨯+=⨯-⨯+=⨯-⨯+= Solution?0)499.0321.018.1()1067.01019.277.28(28.282831067.01038.477.289.0)1019.01058.528.33(2.0282838)()/(1019.01058.528.33722.0278.0)/(1067.01038.477.281.065.005.02.0)()/(282838110458393296%2.72%8.27%10%65%5%20)4/(1122298127332981523733253253298,,,,298,253,,,,,253,,,,,,,0,298,0,298,298,22222222222222==+--⨯+⨯++⨯=⨯-⨯++⨯⨯-⨯+-⨯=--∆=∆⨯-⨯+=+==⨯-⨯+=+++===-=∆-∆=∆========+-----------⎰⎰⎰∑∑⎰∑∑∑∑T T T T T T T dTT T dTT T dTn C n C n H H molK J T T C C n C C molK J T T C C C C n C C a mol J n Hn H H N CO production O N CO CO reation then O N air mole need fuel mole when CO O CO T TT i i r p i i p p i i N P CO P i i p p r p O P N P CO P CO P i i p p r p i pf i rf idTT T Q dT T T Q b T T T T T T T dTT T dTT T dT n C n C n H H T TT i i r p i i p p i i 9.0)1019.01058.528.33(2.02828389.0)1019.01058.528.33(2.0282838)(0)499.0321.018.1()1067.01019.277.28(28.282831067.01038.477.289.0)1019.01058.528.33(2.0282838)(253125029812502982531250298125029829812125029815231250253253298,,,,298,⨯⨯-⨯++⨯-=⨯⨯-⨯++⨯-===+--⨯+⨯++⨯=⨯-⨯++⨯⨯-⨯+-⨯=--∆=∆-----------⎰⎰⎰⎰⎰∑∑⎰1.10 (a) for the reaction2221CO O CO →+,what is the enthalpy of reaction (0H ∆) at 298 K ?(b) a fuel gas, with composition 50% CO, 50% N 2 is burned using the stoichiometric amount of air. What is the composition of the flue gas?(c) If the fuel gas and the air enter there burner at 298 K, what is the highest temperature the flame may attain(adiabatic flame temperature)? DATA :standard heats of formationfH ∆ at 298 K)/(393000)/(1100002mol J CO mol J CO -=-=Heat capacities [J/(mol K)] to be used for this problem N 2=33, O 2=33, CO=34, CO 2=57Solution )(21100)298)(39889.0(222.02830000)/(3975.03325.057)/(33111.034222.033666.033)(%,75%%,251.111002.22%%1.11%%,6.66%%,2.222.0/25.015.0%)()/(283000393000110000)(,0,,,,,,22220,298,0,298,0K T T dT C n H H K mol J X C C K mol J X C C C N CO product O N CO fuel b mol J n H n H H a P p p i P r i P r i P p i P p i P f i r f ==-⨯-⨯=-∆=∆∙=⨯+⨯==∙=⨯+⨯+⨯====-====+==+-=∆-∆=∆⎰∑∑∑∑1.11 a particular blast furnace gas has the following composition by (volume): N 2=60%, H 2=4, CO=12%, CO 2=24%(a) if the gas at 298K is burned with the stochiometric amount of dry air at 298 K, what is the composition of the flue gas? What is the adiabatic flame temperature?(b) repeat the calculation for 30% excess combustion air at 298K(C)what is the adiabatic flame temperature when the blast furnace gas is preheated to 700K (the dry air is at 298K) (d) suppose the combustion air is not dry ( has partial pressure of water 15 mm Hg and a total pressure of 760 mm Hg) how will thE dlaMe temperature be affected?DaTA(k J?mol)2CO CO FOR513.393523.110)/(--∆m o l kJ H f2222,)(O N g O H CO CO FOR?? 34505733]/[K mol J C P ∙SolutionOH O H CO O CO a 222222121)(→+→+ 416.0)(104.0)(:22==N n O n Air6.0)(04.0)(24.0)(12.0)(:222====N n H n CO n CO n Fuel 32.0)(08.0)(:22==N n O n Air 92.0)(04.0)(36.0)(:222===N n O H n CO n Flue)(98.1108)(8108.53106308.43)/(8.533492.05004.05736.092.004.036.06308.43)08.241(04.0)523.11051.393(12.03,,222222K T K T K J C C C n CKJH H H N O H CO ii r P O H H CO CO ==⨯=∆=⨯+⨯+⨯=++==-⨯+-⨯=∆+∆=∆∑--(b)repeat the calculation for 30% excess0combustion air at 298K6.0)(04.0)(24.0)(12.0)(:222====N n H n CO n CO n Fuel416.0)(104.0)(:22==N n O n Air 024.0)(016.1)(04.0)(36.0)(:2222====O n N n O H n CO n Flue July 16, 2019(C)what is the adiabatic flame temperature when the blasp furnace gas is preheated to 700K (the dry air is at 298K)6.0)(04.0)(24.0)(12.0)(:222====N n H n CO n CO n Fuel 32.0)(08.0)(:22==N n O n Air 92.0)(04.0)(36.0)(:222===N n O H n CO n Flue)(6.1401)(6.11038.5310373.59)/(8.533492.05004.05736.096.004.036.0373.59)346.02804.05724.03312.0()298700()08.241(04.0)523.11051.393(12.03,,298700222222K T K T K J C C C n CKJH H H H N O H CO ii r P fuel O H H CO CO ==⨯=∆=⨯+⨯+⨯=++==⨯+⨯+⨯+⨯⨯-+-⨯+-⨯=∆+∆+∆=∆∑---(d) suppose the combustion air is not dry ( has partial pressure of water 15 mm Hg and a total pressure of 760 mm Hg) how will the flame temperature be affected?)(8.1051)(8.75388.57106308.43)/(88.5734024.034016.15004.05736.0024.0016.104.036.06308.43)08.241(04.0)523.11051.393(12.03,,2222222K T K T K J C C C C n CKJH H H O N O H CO ii r P O H H CO CO ==⨯=∆=⨯+⨯+⨯+⨯=+++==-⨯+-⨯=∆+∆=∆∑--6.0)(04.0)(24.0)(12.0)(:222====N n H n CO n CO n Fuel 008.04.01576015)(32.0)(08.0)(:222=-===O H n N n O n Air 92.0)(048.0)(36.0)(:222===N n O H n CO n Flue)(1103)(8052.54106308.43)/(2.543492.050048.05736.092.0048.036.06308.43)08.241(04.0)523.11051.393(12.03,,222222K T K T K J C C C n CKJH H H N O H CO ii r P OH H CO CO ==⨯=∆=⨯+⨯+⨯=++==-⨯+-⨯=∆+∆=∆∑--1.12 A bath of molten copper is super cooled to 5℃ below its true melting point. Nucleation of solid copper then takes place, and the solidification proceeds under adiabatic conditions. What percentage of the bath solidifies? DATA: Heat of fusion for copper is 3100 cal/mol at 1803℃(the melting point of copper) C P,L =7.5(cal/mol ℃), C P,S =5.41+(1.5*10-3T )(cal/mol ℃) Solution)/(310355.75.0)17981803(105.1541.5310002231798,1798,17981803,18031798,1803,mol cal HH dT C dT C H LS SL L P S P L S =⨯-⨯-⨯+⨯+==+++-⎰⎰1.13 Cuprous oxide (Cu 2O) is being reduced by hydrogen in a furnace at 1000K, (a)write the chemical reaction for the reduced one mole of Cu 2O(b)how much heat is release or absorbed per mole reacted? Given the quantity of heat and state whether heat is evolved (exothermic reaction) or absorbed (endothermic reaction)DATA: heat of formation of 1000K in cal/mol Cu 2O=-41900 H 2O=-59210 solution)/(173104190059210222mol cal H OH Cu H O Cu =-=∆+=+,exothermic reaction1.14(a) what is the enthalpy of pure, liquid aluminum at 1000K?(b) an electric resistance furnace is used to melt pure aluminum at the rate of 100kg/h. the furnace is fed with solid aluminum at 298K. The liquid aluminum leaves the furnace at 1000K. what is the minimum electric powder rating (kW) of furnace.DATA : For aluminum : atomic weight=27g/mol, C p,s =26(J/molK), C p,L =29(J/molK), Melting point=932K, Heat of fusion=10700J/mol Solution)(28.0)(7.2793600110002727184)/(2718410700)9321000(29)298932(261000932,932298,1000,kW W P mol J H dT C dT C H SLL P S P l ==⨯⨯==+-⨯+-⨯=++=⎰⎰1.15 A waste material (dross from the melting of aluminum) is found to contain 1 wt% metallic aluminum. The rest may be assumed to aluminum oxide. The aluminum is finely divided and dispersed in the aluminum oxide; that is the two material are thermally connected.If the waster material is stored at 298K. what is the maximum temperature to which it may rise if all the metallic aluminum is oxidized by air/ the entire mass may be assumed to rise to the same temperature. Data : atomic weight Al=27g/mol, O=16g/mol, C p,s,Al =26(J/molK), C p,s, Al2O3=104J/mol, heat formation of Al 2O 3=-1676000J/molSolution;)(600)(3021041029927275.116122711676000K T K T T ==∆∆⨯⨯++⨯⨯=⨯⨯1.16 Metals exhibit some interesting properties when they are rapidly solidified from the liquid state. An apparatus for the rapid solidification of copper is cooled by water. In the apparatus, liquid copper at its melting point (1356K) is sprayed on a cooling surface, where it solidified and cools to 400K. The copper is supplied to the apparatus at the rate of one kilogram per minute. Cooling water is available at 20℃, and is not allowed to raise above 80℃. What is the minimum flow rate of water in the apparatus, in cubic meters per minute? DATA; for water: C p =4.184J/g k, Density=1g/cm 3; for copper: molecular weight=63.54g/mol C p =7cal/mol k, heat of fusion=3120 cal/molSolution:min)/(10573.2)2080(1min /min54.631000)]4001356(73120[min /33m V VQQ WaterCopper -⨯=-=⨯⨯-⨯+=1.17 water flowing through an insulated pipe at the rate of 5L/min is to be heated from 20℃ to 60℃ b an electrical resistance heater. Calculate the minimum power rating of the resistance heater in watts. Specify the system and basis for you calculation. DA TA; For water C p =4.184J/g k, Density=1g/cm 3 Solution:)(139476010005)2060(184.4W W =⨯⨯-⨯=1.18 The heat of evaporation of water at 100℃ and 1 atm is 2261J/mol (a) what percentage of that energy is used as work done by the vapor?(b)if the density of water vapor at 100℃ and 1 atm is 0.597kg/m 3 what is the internal energy change for the evaporation of water?Solution:)/(375971822613101%6.71822613101%)/(31010224.0273373101325mol J Q W U mol J V P =⨯+-=+=∆=⨯==⨯⨯=∆1.19 water is the minimum amount of steam (at 100℃ and 1 atm pressure) required to melt a kilogram of ice (at 0℃)? Use data for problem 1.20 Solution)(125,3341000)10018.42261(g m m =⨯=⨯+1.20 in certain parts of the world pressurized water from beneath the surface of the earth is available as a source of thermal energy. To make steam, the geothermal water at 180℃ is passed through a flash evaporator that operates at 1atm pressure. Two streams come out of the evaporator, liquid water and water vapor. How much water vapor is formed per kilogram of geothermal water? Is the process reversible? Assume that water is incompressible. The vapor pressure of water at 180℃ is 1.0021 Mpa( about 10 atm) Data: C P,L =4.18J/(g k), C P ,v =2.00J/(g k), △H V =2261J/g, △H m =334 J/g Solution:leirreversib g x x x )(138),1000(8018.4)8018.48022261(=-⨯⨯=⨯-⨯+The problems of the second law2.1 The solar energy flux is about 4J cm 2/min. in no focusing collector the surface temperature can reach a value of about 900℃. If we operate a heat engine using the collector as the heat source and a low temperature reservoir at 25℃, calculate the area of collector needed if the heat engine is to produce 1 horse power. Assume the engine operates at maximum efficiency.Solution)(25.6)(7466010427390)2590(24m S W tWP StQ T T T W H H L H ===⨯⨯+-=-=2.2 A refrigerator is operated by 0.25 hp motor. If the interior of the box is to be maintained at -20℃ ganister a maximum exterior temperature of 35℃, what the maximum heat leak (in watts) into the box that can be tolerated if the motor runs continuously? Assume the coefficient of performance is 75% of the value for a reversible engine.Solution:)(64374625.02035202734375.0W P P T T T P Q T T T W L LL LH HHLH =⨯⨯+-⨯=-=-=2.3 suppose an electrical motor supplies the work to operate a Carnot refrigerator. The interior of the refrigerator is at 0℃. Liquid water is taken in at 0℃ and converted to ice at 0℃. To convert 1 g of ice to 1 g liquid. △H=334J/g is required. If the temperature outside the box is 20℃, what mass of ice can be produced in one minute by a 0.25 hp motor running continuously? Assume that the refrigerator is perfectly insulated and that the efficiencies involved have their largest possible value.Solution:)(4576033474625.020273g m M m P P T T T P L LLLH ===⨯⨯=-=2.4 under 1 atm pressure, helium boils at 4.126K. The heat of vaporization is 84 J/mol what size motor (in hp) is needed to run a refrigerator that must condense 2 mol of gaseous helium at 4.126k to liquid at the same temperature in one minute? Assume that the ambient temperature is 300K and that the coefficient of performance of the refrigerator is 50% of the maximum possible.Solution:)(52.0)(393'60284216.4216.4300'5.0%50hp W P P T T T P P Q T T T W L L L H LLLH ==⨯⨯-=-==-=2.5 if a fossil fuel power plant operating between 540 and 50℃ provides the electrical power to run a heat pump that works between 25 and 5℃, what is the amount of heat pumped into the house per unit amount of heat extracted from the power plant boiler.(a) assume that the efficiencies are equal to the theoretical maximum values(b) assume the power plant efficiency is 70% of maximum and that coefficient of performance of the heat pumpis 10% of maximum(c) if a furnace can use 80% of the energy in fossil foe to heat the house would it be more economical in terms ofoverall fissile fuel consumption to use a heat pump or a furnace ? do the calculations for cases a and b solution:1,2,2,1,212,2,2,2,21,1,1,1,198.82527352527354050540)(H H H H H H L H H H L H P P P P P P P T T T P P T T T P a =+-=+-=-=-= .,)(6286.0)(1,2,not is b ok is a c PP b H H =2.6 calculate △U and △S when 0.5 mole of liquid water at 273 K is mixed with 0.5 mol of liquid water at 373 K and the system is allowed to reach equilibrium in an adiabatic enclosure. Assume that C p is 77J /(mol K) from 273K to 373K Solution:)/(933.0)273323ln(5.0)373323ln(5.0)ln()ln()(02211K J C C T T C n T T C n S J U P P E P E P =+=+=∆=∆2.7 A modern coal burning power plant operates with a steam out let from the boiler at 540℃ and a condensate temperature of 30℃.(a) what is the maximum electrical work that can be produced by the plant per joule of heat provided to theboiler?(b) How many metric tons (1000kg) of coal per hour is required if the plant out put is to be 500MW (megawatts).Assume the maximum efficiency for the plant. The heat of combustion of coal is 29.0 MJ/k g(c) Electricity is used to heat a home at 25℃ when the out door temperature is 10℃ by passing a currentthrough resistors. What is the maximum amount of heat that can be added to the home per kilowatt-hour of electrical energy supplied?Solution:)(3.69)(6937136005000.29)()(89.013054030540)(ton kg m T T T mb J Q T T T W a LH LH H L H ==⨯=-=+-=-=)(9.191102525273)(J Q Q T T T W c H HHLH =-+=-=2.8 an electrical resistor is immersed in water at the boiling temperature of water (100℃) the electrical energy input into the resistor is at the rate of one kilowatt(a) calculate the rate of evaporation of the water in grams per second if the water container is insulated that is noheat is allowed to flow to or from the water except for that provided by the resistor(b) at what rate could water could be evaporated if electrical energy were supplied at the rate of 1 kw to a heatpump operating between 25 and 100℃data for water enthalpy of evaporation is 40000 J/mol at 100℃; molecular weight is 18g/mol; density is 1g/cm 3solution:)(23.2,2510027310010004000018)()(45.0,10004000018)(g m m b g m ma =-+===2.9 some aluminum parts are being quenched (cooled rapidly ) from 480℃ to -20℃ by immersing them in abrine , which is maintained at -20℃ by a refrigerator. The aluminum is being fed into the brine at a rate of one kilogram per minute. The refrigerator operates in an environment at 30℃; that is the refrigerator may reject heat at 30℃. what is them minus power rating in kilowatts, of motor required to operate the refrigerator?Data for aluminum heat capacity is 28J/mol K; Molecular weight 27g/mol Solution:)(5.102)(102474202732030)20480(28271000kW W P P T T T P P L L L L H W L ==---=-=--⨯=2.10 an electric power generating plant has a rated output of 100MW. The boiler of the plant operates at 300℃. The condenser operates at 40℃(a) at what rate (joules per hour) must heat be supplied to the boiler?(b) The condenser is cooled by water, which may under go a temperature rise of no more than 10℃. Whatvolume of cooling water in cubic meters per hour, is require to operate the plant?(c) The boiler tempeture is to be raised to 540℃,but the condensed temperature and electric output will remainthe same. Will the cooling water requirement be increased, decreased, or remain the same?Data heat capacity 4.184, density 1g/cm 3 Solution: )(109.7)(102.21040300273300)(1188J t P Q W P T T T P a H H L H H H ⨯==⨯=-+=-= )(1003.1184.41010)(103.4)(34611m V Q V J Q b LL ⨯==⨯⨯⨯⨯= noW P T T T P c L H H H )(10626.11040540273540)(88⨯=-+=-= 2.11 (a) Heat engines convert heat that is available at different temperature to work. They have been several proposals to generate electricity y using a heat engine that operate on the temperature differences available at different depths in the oceans. Assume that surface water is at 20℃, that water at a great depth is at 4℃, and that both may be considered to be infinite in extent. How many joules of electrical energy may be generated for each joule of energy absorbed from surface water? (b) the hydroelectric generation of electricity use the drop height of water as the energy source. in a particular region the level of river drops from 100m above sea level to 70m above the sea level . what fraction of the potential energy change between those two levels may be converted into electrical energy? how much electrical energy ,in kilowatt-hours, may be generated per cubic meter of water that undergoes such a drop? Solution: )/(1006.136001000)()(055.0127320420)(6h kW h mg P b J Q T T T W a H H L H ⨯=⨯∆==+-=-=2.12 a sports facility has both an ice rink and a swimming pool. to keep the ice frozen during the summer requires the removal form the rink of 105 KJ of thermal energy per hour. It has been suggested that this task be performed by a thermodynamic machine, which would be use the swimming pool as the high temperature reservoir. The ice in the rink is to be maintain at a temperature of –15℃, and the swimming pool operates at 20℃, (a) what is the theoretical minimum power, in kilowatts, required to run the machine? (b) how much heat , in joule per hour , would be supplied t the pool by this machine?Solution: )(1014.1101527320273)()(77.33600/10152731520)(555kJ Q b kW P T T T P a H L L L H ⨯=-+==-+=-=2.13solution:)/(81.6810ln 314.877.45277.6282.4)/(152940)()/(67.4977.45277.6282.4)()/(152940)(22)(2molK cal S mol cal H d molK cal S c mol cal H b AlNN Al a -=+-⨯-⨯=∆=∆-=-⨯-⨯=∆=∆=+ 2.14 solution:)/(2257412000)27340273ln 184.4273336263273ln1.2()(400,010,K J dT T C T H dT T C m S WATER P m m ICE P =+++=+∆+=∆⎰⎰-2.15)(70428)(2896100077773002J W J Q T T T W L L L H ==-=-= 2.16)(4.3719))2.4300(314.85.13.83(3002.4300)(7.58663.832.42.4300J Q T T T W J Q T T T W H H L H L L L H =-⨯+-=-==-=-=2.17 yes d Q c K J P P nR S b J pdV n W Q OU T a )(0)()/(1.1910ln 314.81ln)()(570410ln 298314.810)(0==⨯⨯==∆=⨯⨯=-=-==∆=∆⎰ 2.18)(1222335273020********g m m m T T T L L H =-=-=⨯ Property Relations 1. At -5︒C, the vapor pressure of ice is 3.012mmHg and that of supercooled liquid water is 3.163mmHg. The latent heat of fusion of ice is 5.85kJ/mol at -5︒C. Calculate ∆G and ∆S per mole for the transition of from water to ice at -5︒C. (3.2, 94) Solution: mol J P P RT G waterO H iceO H /9.1089523.0ln 268314.8163.3012.3ln )5273(314.8ln ,,22-=⨯⨯=-⨯==∆mol J H /1085.53⨯=∆)/(23.22268)9.108(5850K mol J T G H S S T H G ⋅=--=∆-∆=∆∴∆-∆=∆ 2. (1) A container of liquid lead is to be used as a calorimeter to determine the heat of mixing of two metals, A andB. It has been determined by experiment that the “heat capacity ” of the bath is 100cal/︒C at 300︒C. With the bath originally at 300︒C, the following experiments are performed;(2) A mechanical mixture of 1g of A and 1g of B is dropped into the calorimeter. A and B were originally at 25︒C. When the two have dissolved, the temperature of the bath is found to have increased 0.20︒C. 2. Two grams of a 50:50(wt.%) A-B alloy at 25︒C is dropped similarly into the calorimeter. The temperature decreases 0.40︒C. (a) What is the heat of mixing of the 50:50 A-B alloy (per gram of alloy)? (b) To what temperature does it apply ? (3.5, 94)Solution: mol J K cal C bath P /418/100,==(a) g cal T C Q bath P /102/2.01002/,=⨯=∆=This is the heat of mixing.(b) The heat capacity of C P, alloy : )/(072.06.27424.0100)254.0300(2,,K g cal TC C bath P alloy P ⋅=⨯⨯=--⨯∆⨯=Assuming that the calorimeter can be applied to the maximum of T ︒C, the for mixing to form 1 gram of alloy:10)'300(,1+-=T C Q bath P , )'(,2T T C Q alloy P -⋅=, 21Q Q =)'(10)'300(,,T T C T C alloy P bath P -=+-3. The equilibrium freezing point of water is 0︒C. At that temperature the latent heat of fusion of ice (the heat required to melt the ice) is 6063J/mol. (a) What is the entropy of fusion of ice at 0︒C ? (b) What is the change of Gibbs free energy for ice →water at 0︒C?(c) What is the heat of fusion of ice at -5︒C ? C P(ice) = 0.5 cal/(g. ︒C); C P(water) = 1.0 cal/(g. ︒C). (d) Repeat parts a and b at -5︒C. (3.6, p94)Solution: (a) At 0︒C, ∆G =0, ∴ T m ∆S = ∆H)./(09.222736030K mol J T H S m ==∆=∆(b) At 0︒C, ∆G =0© )./(62.37)./(1818.45.0)./(5.0,K mol J K mol J K g cal C ice P =⨯⨯==)./(24.75)./(1818.40.1)./(0.1,K mol J K mol J K g cal C water P =⨯⨯==a reversible process can be designed as follows to do the calculation:。
单项选择题:第 1 章 原子结构与键合1. 高分子材料中的 C-H 化学键属于。
(A )氢键 (B )离子键 ( C )共价键2. 属于物理键的是 。
( A )共价键 (B )范德华力 ( C )离子键3. 化学键中通过共用电子对形成的是。
( A )共价键 (B )离子键 ( C )金属键第 2章固体结构4. 以下不具有多晶型性的金属是。
(A )铜 (B )锰 (C )铁5. fcc 、bcc 、hcp 三种单晶材料中,形变时各向异性行为最显著的是 。
( A )fcc (B )bcc (C )hcp6. 与过渡金属最容易形成间隙化合物的元素是。
(A )氮 (B )碳 (C )硼7. 面心立方晶体的孪晶面是。
( A ){112} (B ){110} ( C ) {111} 8. 以下属于正常价化合物的是( 。
( A )Mg 2( B )5 C ) 3PbCu Sn Fe C第 3章晶体缺陷9. 在晶体中形成空位的同时又产生间隙原子,这样的缺陷称为 。
( A )肖特基缺陷 (B )弗仑克尔缺陷 (C )线缺陷10. 原子迁移到间隙中形成空位 -间隙对的点缺陷称为 。
( A )肖脱基缺陷 (B ) Frank 缺陷 (C )堆垛层错11. 刃型位错的滑移方向与位错线之间的几何关系是? (A )垂直 (B )平行 (C )交叉 12. 能进行攀移的位错必然是 。
( A )刃型位错 (B )螺型位错(C )混合位错13. 以下材料中既存在晶界、又存在相界的是 ( A )孪晶铜 (B )中碳钢 (C )亚共晶铝硅合金 14. 大角度晶界具有 ____________个自由度。
(A )3 (B )4 (C )5 第 4 章 固体中原子及分子的运动15. 菲克第一定律描述了稳态扩散的特征,即浓度不随 变化。
(A )距离 (B )时间 (C )温度 16. 在置换型固溶体中,原子扩散的方式一般为 。
( A )原子互换机制 ( B )间隙机制 (C )空位机制17. 固体中原子和分子迁移运动的各种机制中,得到实验充分验证的是( A )间隙机制(B )空位机制(C )交换机制18. 原子扩散的驱动力是。
《材料热力学》复习思考题解答3. 在1560℃时,C 在液态铁中的活度系数和偏摩尔超额焓由下列式表示: 2l n 0.37711.7c C C X X γ=-++25.415.017.25E C C C H X X =++(K Cal) 其标准态为纯石墨,计算1560℃时液相与石墨平衡的相线的斜率。
解:以石墨为标准态时,C 在液态铁中的化学位为:l n (1)LC CC R T a μμ=+ 石墨 当液相与石墨平衡时,L C Cμμ=石墨。
即ln 0C α=。
又ln ln ln C C C X αγ=+ln ln 0(2)C C X γ∴+=由(2)式得:平衡时0.2067C X =两边取微分得:(ln )(ln )1[](1/)[]0(1/)C C C X T C C C C d T dX dX T X X γγ∂∂++=∂∂ (ln )[](1/)ln ln 1(1/)[()]1()CC X EC C C C C T C TC C CdX H X T d T R X X X X γγγ∂-∂∴==⋅∂∂-++∂∂2(5.415.017.25) 4.1810000.20678.311(723.4)278.6C C CC X X X X ++⨯⨯=-⋅++=- 2C dX T dT=-CdX 又d(1/T)5221278.68.310(1560273)C dX dT T -∴=-==⨯+C dX d(1/T) 1()K - 4. 在1000K 时,A-B 二元溶液中,当0.01B X =时,0.1B a =。
在盛有大量A 的量热计中加入少量的B 组元时,测得吸热7000Cal/mol ,假定2ln ln B A B X γγ=。
求1500K 时,当0.02B X =时,B 组元的活度。
解:在1000K 时,当0.01B X =时,0.1B a =0.1100.01B γ∴== 又022ln ln10ln 2.3490.99B B A X γγ=== 又ln [](1/)ii P H R T γ∂∆=∂15001500010001000l n (1/)BBH d d T Rγ∆∴=⎰⎰1500100011[ln ][ln ]()15001000B B B H R γγ∆∴=+-7000 4.18112.349()8.31150010001.175⨯=+-= 202l n (l n )0.981.175B A B X γγ∴==⨯ 1.128= l n 3.09B γ∴= 3.090.020.0B B B a X γ==⨯=7. 若A-B 二元合金系在液、固态两组元均能无限互溶,且均为理想溶液。
工程材料学学期期末考试试题(A)及详解答案共5 页第1 页5. 杠杆定律只适用于两相区。
( )6. 金属晶体中,原子排列最紧密的晶面间的距离最小,结合力大,所以这些晶面间难以发生滑移。
( )7. 共析转变时温度不变,且三相的成分也是确定的。
( )8. 热加工与冷加工的主要区别在于是否对变形金属加热。
( )9. 过共析钢为消除网状渗碳体应进行正火处理。
( ) 10. 可锻铸铁能够进行锻造。
( ) 四、简答题(每小题5分,共20分)1. 在图1中分别画出纯铁的)011(、)111(晶面和]011[、]111[晶向。
并指出在室温下对纯铁进行拉伸试验时,滑移将沿以上的哪个晶面及晶向进行?图12.为什么钳工锯 T10,T12 等钢料时比锯 10,20 钢费力,锯条容易磨钝?3.奥氏体不锈钢的晶间腐蚀是怎样产生的?如何防止?4.低碳钢渗碳表面化学热处理的温度范围是多少?温度选择的主要理由是什么?五、请用直线将下列材料牌号与典型应用零件及热处理工艺连接起来。
(每小题2分,共10分)材料牌号应用零件热处理工艺HT250 弹簧调质+氮化Cr12MoV 飞机起落架固溶+时效7A04(LC9)机车曲轴自然时效(退火)65Mn 冷冲模淬火+中温回火38CrMoAl 机床床身淬火+低温回火六、某工厂仓库积压了许多退火状态的碳钢,由于钢材混杂,不知道钢的化学成分,现找出其中一根,经金相分析后,发现其组织为珠光体+铁素体,其中铁素体占80% ,回答以下问题:(每小题4分,共12分)①求该钢的含碳量;②计算该钢组织中各相组分的相对百分含量;10.硅(Si),锰(Mn);磷(P),硫(S)。
11.回火索氏体(或S回),索氏体(或S)。
12.20CrMnT,T10。
13.强化铁素体;提高淬透性。
14.灰口铸铁;最低抗拉强度300MPa,珠光体。
15.硬铝合金,α+β型钛合金三、判断题:(每小题1分,共10分)1.×, 2.√, 3.×, 4.×, 5.√, 6.×, 7.√, 8.×, 9.√, 10.×。
The problems of the first law1. a lead bullet is fired at a frigid surface. At what speed must it travel to melt on impact, if its initial temperature is 25℃ and heating of the rigid surface of the rigid surface is neglected? The melting point of lead is 327℃. The molar heat of fusion of the lead is 4.8kJ/mol. The molar heat capacity C P of lead may be taken as 29.3J/(mol K) (1.1)Solution: )/(5.112.20721]108.4)25327(3.29[2121)(2322s m V v n n WQ nMv mv W H T C n Q Q Q absorb melting p melt increase absorb ==⨯+-⨯===∆+∆=+=2. what is the average power production in watts of a person who burns 2500 kcal of food in a day? Estimate the average additional powder production of 75Kg man who is climbing a mountain at eh rate of 20 m/min (1.2)Solution )/(24560208.975)/(12160602410467000//)(104670001868.4102500sin 3S J t h mg P S J t Q t W P J Q gincrea Burning Burning =⨯⨯=∆==⨯⨯====⨯⨯=3 One cubic decimeter (1 dm 3) of water is broken into droplets having a diameter of onemicrometer (1 um) at 20℃. (1.3)(a) what is the total area of the droplets?(b) Calculate the minimum work required to produce the droplets. Assume that the dropletsare rest (have zero velocity)Water have a surface tension of 72.75 dyn/cm at 20℃ (NOTES: the term surface energy (ene/cm 2) is also used for surface tension dyn/cm)Solution)(25.218)106103(1075.72)(103)101(4)101(34)101(232523263631J S W m nS S Single total =⨯-⨯⨯⨯=∆=⨯=⨯⨯⨯⨯⨯⨯⨯⨯==-+----σππ4.Gaseous helium is to be used to quench a hot piece of metal. The helium is in storage in an insulated tank with a volume of 50 L and a temperature of 25℃, the pressure is 10 atm. Assume that helium is an ideal gas.(a) when the valve is opened and the gas escapes into the quench chamber (pressure=1 atm),what will be the temperature of the first gas to hit the specimen?(b) As the helium flows, the pressure in the tank drops. What will be the temperature of thehelium entering the quench chamber when the pressure in the tank has fallen to 1 atm? (1.4)Solution: )(180118298)(1185.229810101325501010101325)5500(1)()(118)101(298)()(0334.0/00K T T T K RR nC W T b K T P PT T Adiabatic a p C R P=-=∆-==⨯⨯⨯⨯⨯⨯⨯-⨯==∆=⨯==--5 An evacuated (P=0), insulted tank is surrounded by a very large volume (assume infinite volume) of an ideal gas at a temperature T 0. The valve on the tank is opened and the surrounding gas is allowed to flow quickly into the tank until the pressure inside the tank is equals the pressure outside. Assume that no heat flow takes place. What is the final tempeture of the gas in the tank? The heat capacity of the gas, C p and C v each may be assumed to be constant over the temperature rang spanned by the experiment. You answer may be left in terms of C p and C vhint: one way to approach the problem is to define the system as the gas ends up in the tank. (1.5)solution 0/000/00)()(T P P T T P PT T Adiabatic PPC R C R ≈-==6. Calculate the heat of reaction of methane with oxygen at 298K, assuming that the products of reaction are CO 2 and CH 4 (gas)[This heat of reaction is also called the low calorific power of methane] convert the answer into unites of Btu/1000 SCF of methane. SCF means standard cubic feet, taken at 298 and 1atmNOTE: this value is a good approximation for the low calorific powder of natural gas (1.6)DA TA:)()()(224g O H g CO g CH FOR80.5705.9489.17]/[0298---∙∆mol g Kcal Hsolution)1000/(9.2610252103048.01101076.191)/(76.191)89.1780.57205.94()2(22333332982982224422SCF Btu mol g Kcal H H H H H OH CO O CH CH O H CO =⨯⨯⨯⨯⨯=∙=∆+⨯---=∆-∆+∆-=∆+=+-7. Methane is delivered at 298 K to a glass factory, which operates a melting furnace at 1600 K. The fuel is mixed with a quantity of air, also at 298 K, which is 10% in excess of the amount theoretically needed for complete combustion (air is approximately 21% O 2 and 79% N 2) (1.7)(a) Assuming complete combustion, what is the composition of the flue gas (the gasfollowing combustion)?(b) What is the temperature of the gas, assuming no heat loss?(c) The furnace processes 2000kg of glass hourly, and its heat losses to the surroundingsaverage 400000 kJ/h. calculate the fuel consumption at STP (in m 3/h) assuming that for gas H 1600-H 298=1200KJ/KG(d) A heat exchanger is installed to transfer some of the sensible heat of the flue gas to thecombustion air. Calculate the decrease in fuel consumption if the combustion air is heated to 800KDA TA STP means T=298K, P=1atm22224O N O H CO CH for 2.82.89.117.1316)/(C mol cal C P ∙Solution)(210448.1125.9100076.191298)/(25.9)]87.012.72(2.843.179.1171.87.13[01.0)(%87.0%%12.72%%43.17%2%%71.8)11.1(221791.1231%22)(0,,222222224K T T T C mol cal X C C b O N CO O H CO O H CO O CH a i i p p p =⨯⨯+=∆+=∙=+⨯+⨯+⨯=======-⨯+⨯⨯+=+=+∑)/(1644)0224.011868.448.11)8001600(48.1125.9189570(102800000)/(189570)298800)](48.1187.8)48.1125.9[(100076.191)()/(87.848.11/]211002.22.816[)()/(3214)0224.011868.448.11)2981600(48.1125.9100076.191(102800000)/(280000040000020001200)(33min ,,,,298,,33min h m V mol g cal dTn C n C H H C mol cal X C C d h m V h KJ P C gConsu i i r p i i p p i i p r p g Consu =⨯⨯-⨯-⨯=∙=-⨯-⨯-⨯=--∆=∆∙=⨯⨯+===⨯⨯-⨯-⨯⨯==+⨯=⎰∑∑∑8.In an investigation of the thermodynamic properties of a-manganese, the following heat contents were determined: H 700-H 298=12113 J/(g atom) H 1000-H 298=22803 J/(g atom)Find a suitable equation for H T -H 298 and also for C P as a function of temperature in the form (a+bT) Assume that no structure transformation takes place in the given tempeture rang. (1.8)Solution )298(0055.0)298(62.35011.062.35011.062.3522803)2981000(2)2981000(12113)298700(2)298700(]2[2229822222982---=∆-=-===-+-=-+-+=+==∆⎰⎰T T H TC b a ba ba T baT bTdT a dT C H TP T P9.A fuel gas containing 40% CO, 10% CO 2, and the rest N 2 (by volume) is burnt completely with air in a furnace. The incoming and ongoing temperatures of the gases in the furnace are 773K and 1250K,respectively. Calculate (a) the maximum flame temperature and (b) heat supplied to the furnace per cu. ft of exhaust gas (1.9)molJ Hmol J H CO f CO f /393296/1104580,298,0,298,2-=∆-=∆)/(10184.403.29)/(1067.11010.492.19)/(1037.81020.935.44)/(1042.01097.345.283,253,253,253,222molK J T C molK J T T C molK J T T C molK J T T C N P O P CO P CO P -------⨯+=⨯-⨯+=⨯-⨯+=⨯-⨯+=Solution?0)499.0321.018.1()1067.01019.277.28(28.282831067.01038.477.289.0)1019.01058.528.33(2.0282838)()/(1019.01058.528.33722.0278.0)/(1067.01038.477.281.065.005.02.0)()/(282838110458393296%2.72%8.27%10%65%5%20)4/(1122298127332981523733253253298,,,,298,253,,,,,253,,,,,,,0,298,0,298,298,22222222222222==+--⨯+⨯++⨯=⨯-⨯++⨯⨯-⨯+-⨯=--∆=∆⨯-⨯+=+==⨯-⨯+=+++===-=∆-∆=∆========+-----------⎰⎰⎰∑∑⎰∑∑∑∑T T T T T T T dT T T dTT T dT n C n C n H H molK J T T C C n C C molK J T T C C C C n C C a mol J n Hn H H N CO production O N CO CO reation then O N air mole need fuel mole when CO O CO T TT i i r p i i p p i i N P CO P i i p p r p O P N P CO P CO P i i p p r p i pf i rf idTT T Q dT T T Q b T T T T T T T dT T T dTT T dT n C n C n H H T TT i i r p i i p p i i 9.0)1019.01058.528.33(2.02828389.0)1019.01058.528.33(2.0282838)(0)499.0321.018.1()1067.01019.277.28(28.282831067.01038.477.289.0)1019.01058.528.33(2.0282838)(253125029812502982531250298125029829812125029815231250253253298,,,,298,⨯⨯-⨯++⨯-=⨯⨯-⨯++⨯-===+--⨯+⨯++⨯=⨯-⨯++⨯⨯-⨯+-⨯=--∆=∆-----------⎰⎰⎰⎰⎰∑∑⎰10. (a) for the reaction 2221CO O CO →+,what is the enthalpy of reaction (0H ∆) at 298 K ?(b) a fuel gas, with composition 50% CO, 50% N 2 is burned using the stoichiometric amount of air. What is the composition of the flue gas?(c) If the fuel gas and the air enter there burner at 298 K, what is the highest temperaturethe flame may attain (adiabatic flame temperature)? DA TA :standard heats of formation f H ∆ at 298 K (1.10))/(393000)/(1100002mol J CO mol J CO -=-=Heat capacities [J/(mol K)] to be used for this problem N 2=33, O 2=33, CO=34, CO 2=57 Solution)(21100)298)(39889.0(222.02830000)/(3975.03325.057)/(33111.034222.033666.033)(%,75%%,251.111002.22%%1.11%%,6.66%%,2.222.0/25.015.0%)()/(283000393000110000)(,0,,,,,,22220,298,0,298,0K T T dT C n H H K mol J X C C K mol J X C C C N CO product O N CO fuel b mol J n H n H H a P p p i P r i P r i P p i P p i P f i r f ==-⨯-⨯=-∆=∆∙=⨯+⨯==∙=⨯+⨯+⨯====-====+==+-=∆-∆=∆⎰∑∑∑∑11.a particular blast furnace gas has the following composition by (volume): N 2=60%, H 2=4, CO=12%, CO 2=24%(a) if the gas at 298K is burned with the stochiometric amount of dry air at 298 K, what is the composition of the flue gas? What is the adiabatic flame temperature? (b) repeat the calculation for 30% excess combustion air at 298K(C)what is the adiabatic flame temperature when the blast furnace gas is preheated to 700K (the dry air is at 298K)(d) suppose the combustion air is not dry ( has partial pressure of water 15 mm Hg and a total pressure of 760 mm Hg) how will the flame temperature be affected? DA TA(k J/mol) (1.11)2CO CO FOR513.393523.110)/(--∆m o lkJ H f 2222,)(O N g O H CO CO FOR34505733]/[K mol J C P ∙Solution)(1052)(75438286370])295.03450(241604[026.0])335.03457(110523393513[079.0])([%8.66%%,8.6%%,6.2%%,8.15%%,9.72.0/83.110012%)()(1122)(82538313430])295.03450(241604[029.0])335.03457(110523393513[086.0])([%7.65%%,7.5%%,9.2%%,1.17%%,6.82.0/810012%2121)(,,,,,,,02222,,,,,,,0222222222K T K T T n C T T X C dT n C n C H x H N O H CO CO b K T K T T n C T T X C dT n C n C H x H N O H CO CO OH O H CO O CO a i i r P ii P i i r P i i p P i i i i r P ii P i i r P i i p P i i ===∆=∆-∆-⨯--+∆-⨯---=+--∆=∆=====⨯+====∆=∆-∆-⨯--+∆-⨯---=+--∆=∆=====+=→+→+∑∑∑⎰∑∑∑∑∑⎰∑∑)(1419),(11213842594034286.0)402(2.39714.0])295.03450(241604[029.0])335.03457(110523393513[086.0)3(K T K T T T T T H ===∆=∆⨯--∆⨯-∆-⨯--+∆-⨯---=∆12.A bath of molten copper is super cooled to 5℃ below its true melting point. Nucleation of solid copper then takes place, and the solidification proceeds under adiabatic conditions. What percentage of the bath solidifies?DATA: Heat of fusion for copper is 3100 cal/mol at 1803℃(the melting point of copper) C P,L =7.5(cal/mol ℃), C P,S =5.41+(1.5*10-3T )(cal/mol ℃) (1.12) Solution)/(310355.75.0)17981803(105.1541.5310002231798,1798,17981803,18031798,1803,mol cal H H dT C dT C HL S SL L P S P LS =⨯-⨯-⨯+⨯+==+++-⎰⎰13.Cuprous oxide (Cu 2O) is being reduced by hydrogen in a furnace at 1000K, (a)write the chemical reaction for the reduced one mole of Cu 2O(b)how much heat is release or absorbed per mole reacted? Given the quantity of heat and state whether heat is evolved (exothermic reaction) or absorbed (endothermic reaction) DATA: heat of formation of 1000K in cal/mol Cu 2O=-41900 H 2O=-59210 (1.13) solution)/(173104190059210222mol cal H OH Cu H O Cu =-=∆+=+,exothermic reaction14. (a) what is the enthalpy of pure, liquid aluminum at 1000K?(b) an electric resistance furnace is used to melt pure aluminum at the rate of 100kg/h. the furnace is fed with solid aluminum at 298K. The liquid aluminum leaves the furnace at 1000K. what is the minimum electric powder rating (kW) of furnace.DATA : For aluminum : atomic weight=27g/mol, C p,s =26(J/molK), C p,L =29(J/molK), Melting point=932K, Heat of fusion=10700J/mol (1.14)Solution )(28.0)(7.2793600110002727184)/(2718410700)9321000(29)298932(261000932,932298,1000,kW W P mol J H dT C dT C H SLL P S P l ==⨯⨯==+-⨯+-⨯=++=⎰⎰15 A waste material (dross from the melting of aluminum) is found to contain 1 wt% metallic aluminum. The rest may be assumed to aluminum oxide. The aluminum is finely divided and dispersed in the aluminum oxide; that is the two material are thermally connected.If the waster material is stored at 298K. what is the maximum temperature to which it may rise if all the metallic aluminum is oxidized by air/ the entire mass may be assumed to rise to the same temperature. Data : atomic weight Al=27g/mol, O=16g/mol, C p,s,Al =26(J/molK), C p,s,Al2O3=104J/mol, heat formation of Al 2O 3=-1676000J/mol(1.15)Solution;)(600)(3021041029927275.116122711676000K T K T T ==∆∆⨯⨯++⨯⨯=⨯⨯16 Metals exhibit some interesting properties when they are rapidly solidified from the liquid state. An apparatus for the rapid solidification of copper is cooled by water. In the apparatus, liquid copper at its melting point (1356K) is sprayed on a cooling surface, where it solidified and cools to 400K. The copper is supplied to the apparatus at the rate of one kilogram per minute. Cooling water is available at 20℃, and is not allowed to raise above 80℃. What is the minimum flow rate of water in the apparatus, in cubic meters per minute? DATA; for water: C p =4.184J/g k, Density=1g/cm 3; for copper: molecular weight=63.54g/mol C p =7cal/mol k, heat of fusion=3120 cal/mol (1.16)Solution:min)/(10573.2)2080(1min /min54.631000)]4001356(73120[min /33m V VQ Q Water Copper -⨯=-=⨯⨯-⨯+=17 water flowing through an insulated pipe at the rate of 5L/min is to be heated from 20℃ to 60℃ b an electrical resistance heater. Calculate the minimum power rating of the resistance heater in watts. Specify the system and basis for you calculation. DATA; For water C p =4.184J/g k, Density=1g/cm 3 (1.17) Solution: )(139476010005)2060(184.4W W =⨯⨯-⨯=18 The heat of evaporation of water at 100℃ and 1 atm is 2261J/mol (a) what percentage of that energy is used as work done by the vapor?(b)if the density of water vapor at 100℃ and 1 atm is 0.597kg/m 3 what is the internal energy change for the evaporation of water? (1.18)Solution: )/(375971822613101%6.71822613101%)/(31010224.0273373101325mol J Q W U mol J V P =⨯+-=+=∆=⨯==⨯⨯=∆19 water is the minimum amount of steam (at 100℃ and 1 atm pressure) required to melt a kilogram of ice (at 0℃)? Use data for problem 1.20 (1.19) Solution )(125,3341000)10018.42261(g m m =⨯=⨯+20 in certain parts of the world pressurized water from beneath the surface of the earth is available as a source of thermal energy. To make steam, the geothermal water at 180℃ is passed through a flash evaporator that operates at 1atm pressure. Two streams come out of the evaporator, liquid water and water vapor. How much water vapor is formed per kilogram of geothermal water? Is the process reversible? Assume that water is incompressible. The vapor pressure of water at 180℃ is 1.0021 Mpa( about 10 atm) Data: C P,L =4.18J/(g k), C P,v =2.00J/(g k), △H V =2261J/g, △H m =334 J/g (1.20) Solution:leirreversib g x x x )(138),1000(8018.4)8018.48022261(=-⨯⨯=⨯-⨯+The problems of the second law1 The solar energy flux is about 4J cm 2/min. in no focusing collector the surface temperature can reach a value of about 900℃. If we operate a heat engine using the collector as the heat source and a low temperature reservoir at 25℃, calculate the area of collector needed if the heat engine is to produce 1 horse power. Assume the engine operates at maximum efficiency. (2.1)Solution )(664.0)(74660104273900)25900(24m S W tWP StQ T T T W H H L H ===⨯⨯+-=-=2 A refrigerator is operated by 0.25 hp motor. If the interior of the box is to be maintained at -20℃ ganister a maximum exterior temperature of 35℃, what the maximum heat leak (in watts) into the box that can be tolerated if the motor runs continuously? Assume the coefficient of performance is 75% of the value for a reversible engine. (2.2)Solution:)(114474625.02035202733475.0%75W P P T T T P Q T T T W L LLLH HHLH =⨯⨯+-⨯=-=-=3 suppose an electrical motor supplies the work to operate a Carnot refrigerator. The interior of the refrigerator is at 0℃. Liquid water is taken in at 0℃ and converted to ice at 0℃. To convert 1 g of ice to 1 g liquid. △H=334J/g is required. If the temperature outside the box is 20℃, what mass of ice can be produced in one minute by a 0.25 hp motor runningcontinuously? Assume that the refrigerator is perfectly insulated and that the efficiencies involved have their largest possible value. (2.3)Solution: )(4576033474625.020273g m M m P P T T T P L LLLH ===⨯⨯=-=4 under 1 atm pressure, helium boils at 4.126K. The heat of vaporization is 84 J/mol what size motor (in hp) is needed to run a refrigerator that must condense 2 mol of gaseous helium at 4.126k to liquid at the same temperature in one minute? Assume that the ambient temperature is 300K and that the coefficient of performance of the refrigerator is 50% of the maximum possible. (2.4)Solution: )(52.0)(393'60284216.4216.4300'5.0%50hp W P P T T T P P Q T T T W L L L H LLLH ==⨯⨯-=-==-= 5 if a fossil fuel power plant operating between 540 and 50℃ provides the electrical powerto run a heat pump that works between 25 and 5℃, what is the amount of heat pumped into the house per unit amount of heat extracted from the power plant boiler. (a) assume that the efficiencies are equal to the theoretical maximum values(b) assume the power plant efficiency is 70% of maximum and that coefficient ofperformance of the heat pump is 10% of maximum(c) if a furnace can use 80% of the energy in fossil foe to heat the house would it be moreeconomical in terms of overall fissile fuel consumption to use a heat pump or a furnace ? do the calculations for cases a and b (2.5)solution:1,2,2,1,212,2,2,2,21,1,1,1,198.82527352527354050540)(H H H H H H L H H H L H P P P P P P P T T T P P T T T P a =+-=+-=-=-=.,)(6286.0)(1,2,not is b ok is a c P P b H H =6 calculate △U and △S when 0.5 mole of liquid water at 273 K is mixed with 0.5 mol of liquid water at 373 K and the system is allowed to reach equilibrium in an adiabaticenclosure. Assume that C p is 77J /(mol K) from 273K to 373K (2.6) Solution:)/(933.0)273323ln(5.0)373323ln(5.0)ln()ln()(02211K J C C T T C n T T C n S J U P P E P E P =+=+=∆=∆ 7 A modern coal burning power plant operates with a steam out let from the boiler at 540℃and a condensate temperature of 30℃.(a) what is the maximum electrical work that can be produced by the plant per joule of heatprovided to the boiler?(b) How many metric tons (1000kg) of coal per hour is required if the plant out put is to be500MW (megawatts). Assume the maximum efficiency for the plant. The heat of combustion of coal is 29.0 MJ/k g(c) Electricity is used to heat a home at 25℃ when the out door temperature is 10℃ bypassing a current through resistors. What is the maximum amount of heat that can be added to the home per kilowatt-hour of electrical energy supplied? (2.7)Solution:)(3.69)(6937136005000.29)()(89.013054030540)(ton kg m T T T mb J Q T T T W a LH LH H L H ==⨯=-=+-=-=)(9.191102525273)(J Q Q T T T W c H HHLH =-+=-=8 an electrical resistor is immersed in water at the boiling temperature of water (100℃) the electrical energy input into the resistor is at the rate of one kilowatt(a) calculate the rate of evaporation of the water in grams per second if the water containeris insulated that is no heat is allowed to flow to or from the water except for that provided by the resistor(b) at what rate could water could be evaporated if electrical energy were supplied at therate of 1 kw to a heat pump operating between 25 and 100℃data for water enthalpy of evaporation is 40000 J/mol at 100℃; molecular weight is 18g/mol; density is 1g/cm 3 (2.8)solution:)(23.2,2510027310010004000018)()(45.0,10004000018)(g m m b g m ma =-+===9 some aluminum parts are being quenched (cooled rapidly ) from 480℃ to -20℃ byimmersing them in a brine , which is maintained at -20℃ by a refrigerator. The aluminum is being fed into the brine at a rate of one kilogram per minute. The refrigerator operates in an environment at 30℃; that is the refrigerator may reject heat at 30℃. what is them minuspower rating in kilowatts, of motor required to operate the refrigerator? Data for aluminum heat capacity is 28J/mol K; Molecular weight 27g/mol (2.9)Solution:)(5.102)(102474202732030)20480(28271000kW W P P T T T P P L L L L H W L ==---=-=--⨯=10 an electric power generating plant has a rated output of 100MW. The boiler of the plantoperates at 300℃. The condenser operates at 40℃(a) at what rate (joules per hour) must heat be supplied to the boiler?(b) The condenser is cooled by water, which may under go a temperature rise of no morethan 10℃. What volume of cooling water in cubic meters per hour, is require to operate the plant?(c) The boiler tempeture is to be raised to 540℃,but the condensed temperature and electricoutput will remain the same. Will the cooling water requirement be increased, decreased, or remain the same?Data heat capacity 4.184, density 1g/cm 3 (2.10)Solution: )(109.7)(102.21040300273300)(1188J t P Q W P T T T P a H H L H H H ⨯==⨯=-+=-=)(1003.1184.41010)(103.4)(34611m V Q V J Q b L L ⨯==⨯⨯⨯⨯=noW P T T T P c L H H H )(10626.11040540273540)(88⨯=-+=-=11 (a) Heat engines convert heat that is available at different temperature to work. Theyhave been several proposals to generate electricity y using a heat engine that operate on the temperature differences available at different depths in the oceans. Assume that surface water is at 20℃, that water at a great depth is at 4℃, and that both may be considered to be infinite in extent. How many joules of electrical energy may be generated for each joule of energy absorbed from surface water? (b) the hydroelectric generation of electricity use the drop height of water as the energy source. in a particular region the level of river drops from 100m above sea level to 70m above the sea level . what fraction of the potential energy change between those two levels may be converted into electrical energy? how much electrical energy ,in kilowatt-hours, may be generated per cubic meter of water that undergoes such a drop? (2.11)Solution:)/(1006.136001000)()(055.0127320420)(6h kW hmg P b J Q T T T W a H H L H ⨯=⨯∆==+-=-=12 a sports facility has both an ice rink and a swimming pool. to keep the ice frozen during the summer requires the removal form the rink of 105 KJ of thermal energy per hour. It has been suggested that this task be performed by a thermodynamic machine, which would be use the swimming pool as the high temperature reservoir. The ice in the rink is to be maintain at a temperature of –15℃, and the swimming pool operates at 20℃, (a) what is the theoretical minimum power, in kilowatts, required to run the machine? (b) how much heat , in joule per hour , would be supplied t the pool by this machine? (2.12)Solution:)(1014.1101527320273)()(77.33600/10152731520)(555kJ Q b kW P T T T P a H L L L H ⨯=-+==-+=-=13solution:)/(81.6810ln 314.877.45277.6282.4)/(152940)()/(67.4977.45277.6282.4)()/(152940)(22)(2molK cal S mol cal H d molK cal S c mol cal H b AlNN Al a -=+-⨯-⨯=∆=∆-=-⨯-⨯=∆=∆=+14solution:)/(2257412000)27340273ln 184.4273336263273ln1.2()(40,010,K J dT T C T H dT T C m S WATER P m mICE P =+++=+∆+=∆⎰⎰- 15)(70428)(2896100077773002J W J Q T T T W L L L H ==-=-=16)(4.3719))2.4300(314.85.13.83(3002.4300)(7.58663.832.42.4300J Q T T T W J Q T T T W H H L H L L L H =-⨯+-=-==-=-=17yesd Q c K J PPnR S b J pdV n W Q OU T a )(0)()/(1.1910ln 314.81ln )()(570410ln 298314.810)(0==⨯⨯==∆=⨯⨯=-=-==∆=∆⎰18)(122233527302033560500g m m m T T T L L H =-=-=⨯教材各章习题参考答案 (魏)3.2 ΔG = -108.9 J/mol; ΔS = -21.42 J/(mol.K)3.6 (a ) 22.09/(.)S J mol K ∆=;(b) At 0︒C, ∆G =0; (c) ∆H = 5841.9 J;(d) ∆S =21.39J /(mol.K),∆G = 109.38 J/mol4.1 (a ) 2898.28J/mol; ( b ) No; ( c ) 345 J/mol; ( d ) 14939 atm; ( e )4921 J/mol4.2 ( a ) 272.8K; ( b ) Pa P 610345⨯≈∆ ; ( c ) 249.46K 4.3 1202K4.4 P=5.73⨯10-6 atm 4.5 0.16P4.7 08.10430685ln +-=TP 4.8 ( a ) 1180K; ( b ) 695.3K; ( c ) 114.4kJ/mol; ( d ) 7123 J/mol; ( e )4.2J/mol4.9 In the initial state: 4.06 mol %; in the final state:5.3 mol% 4.10 ( a )348 kJ; ( b ) 2.3×10-3Pa ;( c ) “ solution not possible ”; (d ) “solution not possible ”5.1 atm p H 0005.0= 5.2、atmp o 1221007.1-⨯=If the error in enthalpy is 500cal, the uncertainty in the pressure calculated is 28.6%, and if the error in enthalpy is -500cal, the uncertainty is -22.1%5.3、(a) T =462K; (b) T = 420K5.4 (a) atm P O 2621014.1-⨯=, (b) P O2 =2.28⨯10-10 atm., (c) The equilibriumoxygen pressure remains the same when the total pressure increases, which means a higher purity level of N 2 .5.5 (a) 略; (b) Pa atm P H 8.181013056.1800019.0)('2=⨯==; (c) 21.5L Ar isneeded to be bubbled into the melt.5.6(a )l n K a1/T, 10-31/K=∆-=∆o o G kJ H 1000;50- 66.6kJ(b) Ja = 3 < Ka, the reaction will proceed from left to right, and theatmosphere will not oxidize Ni. 5.7 略5.8. (a) P SiO = 8.1⨯10-8 (atm) (b) ∆H o = 639500J; ∆So =334.9J/K (c ) PO2 =10-30 atm 5.9 5.10.J H o72250=∆,the reaction is an endothermic one.5.11. (a),166528J H o =∆ the reaction is an endothermic one.; (b) At 1168K, the equilibrium pressure of CO2 equals one atmosphere.)(106.08)(atm Pg u -⨯=5.12 (a) 略 , (b) Mg CO P P =; (c) T = 2037 K 5.13 (a) 略; (b) 13109.2⨯=K ; (c) ppm 186.0 5.14 (a) 略; (b) kJ H 52.267=∆; (c) K T 1592= 5.15 (a) )(106.13atm -⨯≈; (b) )(1028.210)(2atm P g O H -⨯=5.16 (a) 97.9=K ; (b) atm x 14.4=; (c) if the temperature is increased, the fraction of water reacted will increase since the equilibria constant increases with increasing temperature.6.2 (a )1.287V;(b) When the water impure, the voltage will go higher; (c) 1.219V 6.4 (a) 145.3kJ;(b) The maximum work that could be derived is 702.36kJ; (c) In this case, the maximum work that could be derived is696.56kJ.6.5 (a) -6252J/mol; (b) 370.0)(=II Cd a ; (c) )(42.3mmHg P Cd =; 6.67.87⨯10-4 V 6.7 (a))(22g Cl Mg MgCl +=(b) Pa P Cl 21'1086.82-⨯=;(c) 2.485V6.8 (a) Pa P O 11'2105.5-⨯=;(b) Anode: e Ni Ni 2+→Cathode: -→+2222/1O e O ;(c) 0.757V; (d) 0.261V6.10 (a) )(509.3V E o=;(b) 0.074kJ;(c) 4.1⨯106J;(d) Yes. In this case, the open circuit voltage is 3.648V;(e) In this case, to keep the temperature constant, 3.92⨯106J heatshould be removed from the battery per hour. 6.11(a) TG CO Al C O Al o 26.3211008.12/322/36232-⨯=+=+Δ(b) The minimum voltage at which the electrolysis may be carriedout at 1250K is 1.172V .7.1 0.117 atm 7.5 ( a ) ,82.5 2.5 2.5B A BA BB T PV V V x x x x x ⎛⎫∂=+=--⎪∂⎝⎭ ,102.5 2.5 2.5A B A A B A T PV V V x x x x x ⎛⎫∂=+=-- ⎪∂⎝⎭( b) B A M x x V 5.2=7.7 2)1(736.0ln Sn Sn x --=γ7.8 The maximum solubility of MgF2 in liquid MgCl at 900︒C is 19。
材料热力学习题1、阐述焓H 、内能U 、自由能F 以及吉布斯自由能G 之间的关系,并推导麦克斯韦方程之一:T P PST V )()(∂∂-=∂∂。
答: H=U+PV F=U-TS G=H-TS U=Q+W dU=δQ+δWdS=δQ/T, δW=-PdV dU=TdS-PdVdH=dU+PdV+VdP=TdS+VdP dG=VdP-SdTdG 是全微分,因此有:TP P TP ST V ,PT G T P G ,T V P G T P T G P S T G P T P G )()()()()()(2222∂∂-=∂∂∂∂∂=∂∂∂∂∂=∂∂∂∂=∂∂∂∂∂-=∂∂∂∂=∂∂∂因此有又而2、论述: 试绘出由吉布斯自由能—成分曲线建立匀晶相图的过程示意图,并加以说明。
(假设两固相具有相同的晶体结构)。
由吉布斯自由能曲线建立匀晶相图如上所示,在高温T 1时,对于所有成分,液相的自由能都是最低;在温度T 2时,α和L 两相的自由能曲线有公切线,切点成分为x1和x2,由温度T 2线和两个切点成分在相图上可以确定一个液相线点和一个固相线点。
根据不同温度下自由能成分曲线,可以确定多个液相线点和固相线点,这些点连接起来就成为了液相线和固相线。
在低温T 3,固相α的自由能总是比液相L 的低,因此意味着此时相图上进入了固相区间。
3、论述:通过吉布斯自由能成分曲线阐述脱溶分解中由母相析出第二相的过程。
第二相析出:从过饱和固溶体α中(x0)析出另一种结构的β相(xβ),母相的浓度变为xα. 即:α→β+ α1α→β+ α1 的相变驱动力ΔGm的计算为ΔGm=Gm(D)-Gm(C),即图b中的CD段。
图b中EF是指在母相中出现较大为xβ的成分起伏时,由母相α析出第二相的驱动力。
4、根据Boltzman方程S=kLnW,计算高熵合金FeCoNiCuCrAl和FeCoNiCuCrAlTi0.1(即FeCoNiCuCrAl各为1mol,Ti为0.1mol)的摩尔组态熵。
目录第一章 (1)第二章 (18)第三章 (258)第一章 温 度1-1 在什么温度下,下列一对温标给出相同的读数:(1)华氏温标和摄氏温标;(2)华氏温标和热力学温标;(3)摄氏温标和热力学温标? 解:(1)Q 9325F t t =+∴当F t t =时,即可由9325t t =+,解得325404t ⨯=-=- 故在40c -o 时 F t t =(2)又Q 273.15T t =+ ∴当F T t =时 则即9273.15325t t +=+ 解得:241.155301.444t ⨯== ∴273.15301.44574.59T K =+= 故在574.59T K =时,F T t =(3)Q 273.15T t =+ ∴若T t = 则有273.15t t += 显而易见此方程无解,因此不存在T t =的情况。
1-2 定容气体温度计的测温泡浸在水的三相点槽内时,其中气体的压强为50mmHg 。
(1)用温度计测量300K 的温度时,气体的压强是多少? (2)当气体的压强为68mmHg 时,待测温度是多少? 解:对于定容气体温度计可知:()273.15trPT P K P = (1) 115030055273.16273.16tr P T P mmHg ⨯===(2) 2268273.16273.1637250tr P T KK K P === 1-3 用定容气体温度计测得冰点的理想气体温度为273.15K ,试求温度计内的气体在冰点时的压强与水的三相点时压强之比的极限值。
题1-4图解:根据00lim ()273.16limtr tr P P trP T T P K P →→==已知 冰点273.15T K =你∴0273.15lim0.99996273.16273.16tr P trP T KP K K →==。
1-4 用定容气体温度计测量某种物质的沸点。
原来测温泡在水的三相点时,其中气体的压强500tr P mmHg =;当测温泡浸入待测物质中时,测得的压强值为734P mmHg =,当从测温泡中抽出一些气体,使tr P 减为200mmHg 时,重新测得293.4P mmHg =,当再抽出一些气体使tr P 减为100mmHg 时,测得146.68P mmHg =.试确定待测沸点的理想气体温度.解:根据273.16trPT K P =333146.68273.16273.16400.67100tr P T KK K P === 从理想气体温标的定义:0273.16limtr P trPT K P →=依以上两次所测数据,作T-P 图看趋势得出0tr P →时,T 约为400.5K 亦即沸点为400.5K. 1-5 铂电阻温度计的测量泡浸在水的三相点槽内时,铂电阻的阻值为90.35欧姆。
⼯程热⼒学试卷A答案南昌⼤学2009~2010 学年第⼆学期期末考试试卷试卷编号:(A)卷课程编号:课程名称:⼯程热⼒学考试形式:闭卷适⽤班级:热能081,082 姓名:学号:班级:学院:机电⼯程专业:热能与动⼒⼯程考试⽇期:1 6如有⽴即举⼿报告以便更换。
2、考试结束后,考⽣不得将试卷、答题纸和草稿纸带出考场。
⼀、判断题(每题1分,共10分。
正确的打“√”,错误的打“×” )1、理想⽓体任意两个参数确定后,⽓体的状态就⼀定确定了。
(×)2、热⼒系统放热后,系统的熵⼀定减少。
(×)3、循环净功越⼤,则循环热效率越⼤。
(×)4、⼯质经任何⼀种循环,其熵变为零。
(√)5、⽔蒸⽓绝热膨胀过程中的技术功w t h c p T 。
(×)6、容器内⽔蒸⽓的压⼒为1.0 ×105Pa,测得温度为110℃,可断定容器⾥为过热蒸汽。
(√)7、已知饱和湿空⽓的温度和压⼒,不能确定其他状态参数。
(√)8、湿空⽓的相对湿度越⼤,空⽓中⽔蒸⽓的含量就越⼤。
(×)9、绝热节流后流体焓不变,所以,节流过程并不造成能量品质下降。
(×)10、理想⽓体混合⽓体c p c v的差值等于其折合⽓体常数R g混。
(√)选择题(每题3分,共30分。
每个题⽬只有⼀个选项最符合题意,请将其序号填在括号内)9. 有位发明家声称他设计了⼀种机器,当这台机器完成⼀个循环时,吸收了1000KJ的功,同时向单⼀热源排出了1000KJ 的热,这台机器(D) A.违反了热⼒学第⼀定律B. 违反了热⼒学第⼆定律C. 违反了热⼒学第⼀定律和热⼒学第⼆定律D. 即不违反热⼒学第⼀定律也不违反热⼒学第⼆定律10. 定量某种理想⽓体经历某种可逆过程,过程中不可能同时发⽣:(B)A.吸热、升温⼜对外做正功B.吸热、降温⼜对外做负功C.吸热、升温⼜对外做负功D.吸热、降温⼜对外做正功三、简答及作图题(每题10分,共20 分)得评阅分⼈1. 1-2,请在图上⽤⾯积表⽰所耗过程功w t答:过点2 做等压线,过点1 做等温线。
solution:)/(81.6810ln 314.877.45277.6282.4)/(152940)()/(67.4977.45277.6282.4)()/(152940)(22)(2m olK cal S m ol cal H d m olK cal S c m ol cal H b AlNN Al a -=+-⨯-⨯=∆=∆-=-⨯-⨯=∆=∆=+Solution :)/(173104190059210222mol cal H OH Cu H O Cu =-=∆+=+,exothermic reactionFor the reaction :)()(212g H g H → 035.33121314.823212,)(,-=⨯-⨯=-=∆H P g H P p C C CJC H dT C H H P oP oo 2128241702035.3217990)2982000(29820002982982000=⨯-=-⨯∆+∆=∆+∆=∆⎰JC H dT C H H P oP oo 2128241702035.3217990)2982000(29820002982982000=⨯-=-⨯∆+∆=∆+∆=∆⎰J C S dT C S S P oP oo 57.432982000ln035.335.492982000ln29820002982982000=⨯-=⨯∆+∆=∆+∆=∆⎰J S T H G 12568457.432000212824020000200002000=⨯-=∆-∆=∆56.72000314.8125684ln125684lnln lnln )(2/1)(2/1)(2/12/1)(20002222=⨯=→==-=-=∆g H H g H H g H H H g H o P P P P RT P P RT P P RT K RT GatmP P P P P H g H H g H g H 0005.0562.71ln1,1)(2)(2)(2=→=≈=+Solution: (a) When the equilibrium is reached,0P ln 21ln 2=∆=+∆=∆O o o RT G J RT G G -RT T P O 21)06.1539850(18.4ln 2+-⨯=T = 500︒C = 773KatmP P O O 26221014.169.36773314.821)77306.1539850(18.4ln -⨯=-=⨯⨯⨯+-⨯=(a) at T=300︒C=573K,Although the equilibrium P O2 is very low, kinetically the reaction isnot favoured and reaction speed is very slow. So 300︒C is not suitable atAt T=800︒C=1073K, lnP O2 =-22.2, P O2 =2.28⨯10-10 atm. At 800︒C, if the equilibrium is reached, nitrogen can be of high purity level. However, at this high temperature , particles of Cu will weld together to reduce effective work surface. So it is not suitable to use this high temperature in purification either.(c ) The equilibrium oxygen pressure remains the same when the total pressure increases, which means a higher purity level of N 2 .Solution: N 2 =2N, H 2 = 2H[]21221,N N a P K N = , [],21221,H H a P K H =For N2 dissolving :For H2 dissolving :2/1'2'2/12)(][][H HP H P H =(a )For dissolving N2, P N2 = 1 atm, [N]=35cm 3/100g melt,melt g cm P N P N N N 100/75.24)5.0(35][)(][32/12/122/1'2=⨯==‘similarly: [H]’ =24.75cm 3/100g melttotal gas : [H]'+[N]' = 49.5 cm 3/100g melt (b) [H]' =24.75 cm 3/100g melt (c ) [H]'+[N]' =2/1'2'2/12)(][][N N P N P N = [N](0.33)1/2 /1+[H](0.33)1/2/1=20.10+20.10 = 40.2cm 3/100g meltSolution : (1)0.2H∆ (2)G∆=max W (3)56KJ.696}{0.21P P P P RTlnG KTlnk G G 23O OH CH CO 20H 2322=+∆=+∆=∆)()()()(θθSolution:(a)molJF Z -6252EG =-=∆θθ(b)0.370a ln RT G Cd==∆ (c))(3.42P PPCdmmHg ==θSolution:(b)PaP P g Cl g Cl 21)()(10*86.8-RT ln G 125.4T -605000G 22-==∆=∆θθ(c)-2.485VZF-GE =∆=答案更正为:Temperat ure Phase CompositionFraction1300 Liquid 60 61.5α8 38.5β99 0 1000+ Liquid 70 50.8α9 49.2β98 0 1000- Liquid _ 0α7 63.7β98 36.3Solution: )/(363102.20721]108.4)25327(3.29[2121)(23322s m V v n n WQ nMv m v W H T C n Q Q Q absorb melting p melt increase absorb =⨯=⨯+-⨯===∆+∆=+=-Solution )/(24560208.975)/(12160602410467000//)(104670001868.4102500sin 3S J t h m g P S J t Q t W P J Q g increa Burning Burning =⨯⨯=∆==⨯⨯====⨯⨯=Solution :)(6.436)106103(1075.72)(106)105.0(4)105.0(34)101(232523263631J S W m nS S Single total =⨯-⨯⨯⨯=∆=⨯=⨯⨯⨯⨯⨯⨯⨯⨯==-+----σππSolution)(25.6)(7466010427390)2590(24m S W tWP StQ T T T W H H L H ===⨯⨯+-=-=Solution:)(64374625.02035202734375.0W P P T T T P Q T T T W L LLLH HHLH =⨯⨯+-⨯=-=-=solution:1,2,2,1,212,2,2,2,21,1,1,1,198.82527352527354050540)(H H H H H H L H H H L H P P P P P P P T T T P P T T T P a =+-=+-=-=-=.,)(6286.0)(1,2,not is b ok is a c P P b H H =Solution:molJ P P RT G waterO H ice O H /9.1089523.0ln 268314.8163.3012.3ln)5273(314.8ln,,22-=⨯⨯=-⨯==∆mol J H /1085.53⨯=∆)/(23.22268)9.108(5850K mol J T G H S ST H G ⋅=--=∆-∆=∆∴∆-∆=∆Solution: (a) At 0︒C, ∆G =0, ∴ T m ∆S = ∆H)./(09.222736030K mol J T H S m ==∆=∆ (b) At 0︒C, ∆G =0 ©)./(62.37)./(1818.45.0)./(5.0,K mol J K mol J K g cal C ice P =⨯⨯==./(1818.40.1)./(0.1,Kmol J K g cal C water P ⨯⨯==a reversible process can be designed as follows to do the calculation:molJ HdT C C dTC H dT C H H H Hwater P ice p water p ice p fu/9.584160305)24.7562.37()(273268,,268273,273268,)3()2()1(=+⨯-=∆+-=+∆+=∆+∆+∆=∆⎰⎰⎰(d ))./(39.2109.22268273ln )24.7562.37()(3273268,,268273,273268,)3()2()1()4(K m ol J SdT TC C dTTC S dT TC S S S water P ice p waterp icep =+⨯-=∆+-=+∆+=∆+∆+∆=∆⎰⎰⎰38.10939.212689.5841)4()4()4(=⨯-=∆-∆=∆S T H GIce, 0︒Cwater, 0︒Cwater, -5︒Cice, -5︒C(1)(2)(3)(4)Solution: (a)diam ondgr aphite C C =mol kJ H H H ographite f o diam ond f /1897,,=∆-∆=∆)./(36.338.274.5,,K molJ S S S o graphite f o diam ond f -=+-=∆-∆=∆molJ S T H G /28.2898)36.3(2981897=-⨯-=∆-∆=∆(b) No, diamond is not thermodynamically stable relative to graphite at 298K. (c )molJ P V G diamand /29.34101309951.310126=⨯⨯⨯=∆=∆-(c ) Assuming N atm , ∆G = 0, reversible processes as following can be designed to realize this,(4)graphite, 298K, N atmdiamond, 298K, N atm)(14939028.2898194.028.28981013051.3101225.2101228.289810130)1)(V V ()(V 28.2898V 66)3()2()1()4(atm N N N N P P G G G G diamond graphite diamond graphite ==+-=+⨯⎪⎪⎭⎫ ⎝⎛⨯-⨯-=+⨯--=∆-++∆∆∆∆∆--=++=,0,0''=∆=∆=∆⎰⎰dT TC dT C C T Tp T T p pmol J H H /1897298900=∆=∆K mol J S S ./36.3298900-=∆=∆molJ S T H G /492136.39001897=⨯+=∆-∆=∆Solution: (a) Ag 2O = 1/2O 2 + 2Ag30514/7300,==∆-=∆mol cal H H o AgO f o K m ol J S S S S O Ag O Ag o ./044.661.2949212.102212298,2298,2298,=-⨯+⨯=∆-∆+∆=∆TS T S T H G o o o o 044.663051430514-=∆-=∆-∆=∆when Ag2O begins to decompose,ln 044.66305140ln 2=+-=+∆=∆O o P RT T ie J RT G G(a) i n pure oxygen at 1 atm, RTlnP O2 = 030514-66.044T = 0 T = 462K(b) i n air at P total = =1 atm , P O2 =0.21ie. 30514- 66.044T + RTln0.21 = 0 T = 386KSolution: (a))1(ln Td R H K d o a ∆-= Plot T K a /1~ln0.880.900.920.940.960.981.001.02 1.04 1.06 1.087.27.47.67.88.08.28.48.6lnK a =2.01+6003(1/T)l n K a1/T, 10-3KduishuLinear Fit of Data1_Kduishu.J R H RH dT K d o oa 4990960036003ln -=⨯-=∆→=∆-=At T=1000K, lnK a =8.01, K a = 3010kJ J K RT G a o 6.666660001.81000314.8ln 1000==⨯⨯-=-=∆(b)aaa o K J K J RT J RT K RT J RT G G <===+-=+∆=∆3%5%15lnln ln lnSo the atmosphere will oxidize Ni.Solution:(-3)10^*3.680.32*0.00005*320PNa==BrH C B Cl H C X AA 5656A *::A P P =325.101)1(P P 325.101P P B *A *B *A *=-=++A A B A X X X Xk P aP k P a P X X B A B A 71.2659.74404.00.5956====Solution:(1)894.0814.0396.3033.37*30.396kPa 50.66*0.6P )()()(=====R B R A R A A a a a同理得(2)788.162.12222)(='=''=+⨯'=B AAA R A r r r r a 同理得(3)JmixG G mix mixG a RT a RT G mix R B R A 16102ln ln )()(-=∆∆=∆+=∆(4)m olJm ixG G m ix m ixGX RT X RT G m ix id ididBA id 69152ln ln -=∆∆=∆+=∆(5)J mixG mixG mixG id ex 5305=∆-∆=∆c.molJWXmolJWXX W X WX FeMn E MnFeE Mn BA M E 87.71846.16176.094.4492a 22=======μμ时, d.m olJX X X X RT X X RT M EMn Mn Fe Fe MEi i M 9370G )ln ln (G )ln (mixG -=∆++=∆+=∆∑ e.Solution:The standard Gibbs free energy change for reaction I: a.[]298.53TlnT244560-G ⨯+=∆θ b.5422711031074.1ln G --⨯=⨯==∆K K KRT 同理可得θ c.JJ RT G 5107ln G ⨯=+∆=∆θ ; Ni is stable under this condition,and NiO is not stable;d.Paatm P J RT G O 5853103.3103.3ln G 2⨯=⨯=+∆=∆θe 。
《工程材料力学性能》(第二版)课后答案第一章材料单向静拉伸载荷下的力学性能一、解释下列名词滞弹性:在外加载荷作用下,应变落后于应力现象。
静力韧度:材料在静拉伸时单位体积材科从变形到断裂所消耗的功。
弹性极限:试样加载后再卸裁,以不出现残留的永久变形为标准,材料能够完全弹性恢复的最高应力。
比例极限:应力—应变曲线上符合线性关系的最高应力。
包申格效应:指原先经过少量塑性变形,卸载后同向加载,弹性极限(ζP)或屈服强度(ζS)增加;反向加载时弹性极限(ζP)或屈服强度(ζS)降低的现象。
解理断裂:沿一定的晶体学平面产生的快速穿晶断裂。
晶体学平面--解理面,一般是低指数,表面能低的晶面。
解理面:在解理断裂中具有低指数,表面能低的晶体学平面。
韧脆转变:材料力学性能从韧性状态转变到脆性状态的现象(冲击吸收功明显下降,断裂机理由微孔聚集型转变微穿晶断裂,断口特征由纤维状转变为结晶状)。
静力韧度:材料在静拉伸时单位体积材料从变形到断裂所消耗的功叫做静力韧度。
是一个强度与塑性的综合指标,是表示静载下材料强度与塑性的最佳配合。
二、金属的弹性模量主要取决于什么?为什么说它是一个对结构不敏感的力学姓能?答案:金属的弹性模量主要取决于金属键的本性和原子间的结合力,而材料的成分和组织对它的影响不大,所以说它是一个对组织不敏感的性能指标,这是弹性模量在性能上的主要特点。
改变材料的成分和组织会对材料的强度(如屈服强度、抗拉强度)有显著影响,但对材料的刚度影响不大。
三、什么是包辛格效应,如何解释,它有什么实际意义?答案:包辛格效应就是指原先经过变形,然后在反向加载时弹性极限或屈服强度降低的现象。
特别是弹性极限在反向加载时几乎下降到零,这说明在反向加载时塑性变形立即开始了。
包辛格效应可以用位错理论解释。
第一,在原先加载变形时,位错源在滑移面上产生的位错遇到障碍,塞积后便产生了背应力,这背应力反作用于位错源,当背应力(取决于塞积时产生的应力集中)足够大时,可使位错源停止开动。
Gibbs-Thomson effect:1.The Gibbs–Thomson Effect, in common physics usage, refers to variations in vaporpressure or chemical potential across a curved surface or interface. The existence of a positive interfacial energy will increase the energy required to form small particles with high curvature, and these particles will exhibit an increased vapor pressure.See Ostwald–Freundlich equation.2.More specifically, the Gibbs–Thomson effect refers to the observation that small crystalsare in equilibrium with their liquid melt at a lower temperature than large crystals. In cases of confined geometry, such as liquids contained within porous media, this leads to a depression in the freezing point / melting point that is inversely proportional to the pore size, as given by the Gibbs–Thomson equation.Why at a relatively lower temperature solute transport tends to become more effective via grain boundary than through the lattice or through dislocation? Please have an example material to clear.(为什么在一个相对较低的温度,溶质趋向于通过晶界的运输比晶格和位错运输更有效?请举一种材料作为例子详述)答:在多晶体中的扩散除了再晶粒点阵内部进行之外,还会沿表面、晶界、位错等缺陷部位进行。
The problems of the first law1.1 a lead bullet is fired at a frigid surface. At what speed must it travel to melt on impact, if its initial temperature is 25℃ and heating of the rigid surface of the rigid surface is neglected? The melting point of lead is 327℃. The molar heat of fusion of the lead is 4.8kJ/mol. The molar heat capacity C P of lead may be taken as 29.3J/(mol K)Solution: )/(363102.20721]108.4)25327(3.29[2121)(23322s m V v n n WQ nMv mv W H T C n Q Q Q absorb melting p melt increase absorb =⨯=⨯+-⨯===∆+∆=+=-1.2 what is the average power production in watts of a person who burns 2500 kcal of food in a day? Estimate the average additional powder production of 75Kg man who is climbing a mountain at the rate of 20 m/minSolution )/(24560208.975)/(12160602410467000//)(104670001868.4102500sin 3S J t h mg P S J t Q t W PJ Q gincrea Burning Burning =⨯⨯=∆==⨯⨯====⨯⨯=1.3 One cubic decimeter (1 dm 3) of water is broken into droplets having a diameter of one micrometer (1 um) at 20℃.(a) what is the total area of the droplets?(b) Calculate the minimum work required to produce the droplets. Assume that the droplets are rest (have zerovelocity)Water have a surface tension of 72.75 dyn/cm at 20℃ (NOTES: the term surface energy (ene/cm 2) is also used for surface tension dyn/cm)Solution)(6.436)106103(1075.72)(106)105.0(4)105.0(34)101(232523263631J S W m nS S Single total =⨯-⨯⨯⨯=∆=⨯=⨯⨯⨯⨯⨯⨯⨯⨯==-+----σππ1.4 Gaseous helium is to be used to quench a hot piece of metal. The helium is in storage in an insulated tank with a volume of 50 L and a temperature of 25℃, the pressure is 10 atm. Assume that helium is an ideal gas.(a) when the valve is opened and the gas escapes into the quench chamber (pressure=1 atm), what will be thetemperature of the first gas to hit the specimen?(b) As the helium flows, the pressure in the tank drops. What will be the temperature of the helium entering thequench chamber when the pressure in the tank has fallen to 1 atm?Solution: )(180118298)(1185.229810101325501010101325)5500(1)()(118)101(298)()(0334.0/00K T T T K RR nC W T b K T P P T T Adiabatica p CR P=-=∆-==⨯⨯⨯⨯⨯⨯⨯-⨯==∆=⨯==--1.5 An evacuated (P=0), insulted tank is surrounded by a very large volume (assume infinite volume) of an ideal gas at a temperature T 0. The valve on the tank is oðened and the surrounding gas is allowed to flow suickly into t(e tank until the pressure insi`e the tank is equals the pressure outside. Assume that no heat flow takes place. What is the0final tempeture kf t èe gaS in the tank? The heat cap!city mf the gas, C p and C v each íay be(assumed to be c/nsuant over thå temperature rang!spanNed by the døperiment. You answer may be meft in terms of C p and S v hint: one way to approach the xroblem is to define the system as the gas ends up in the tank.solution 0/000/00)0()(T P P T T P PT T Adiabatic PPC R C R ≈-==1.6 Calculate the heat of reaction of methane with oxygen at 298K, assuming that the products of reaction are CO 2 and CH 4 (gas)[This heat of reaction is also called the low calorific power of methane] convert the answer into unites of Btu/1000 SCF of methane. SCF means standard cubic feet, taken at 298 and 1atm NOTE: this value is a good approximation for the low calorific powder of natural gasDATA: )()()(224g O H g CO g CH FOR80.5705.9489.17]/[0298---•∆mol g Kcal Hsolution)1000/(9.2610252103048.01101076.191)/(76.191)89.1780.57205.94()2(22333332982982224422SCF Btu mol g Kcal H H H H H OH CO O CH CH O H CO =⨯⨯⨯⨯⨯=•=∆+⨯---=∆-∆+∆-=∆+=+- 1.7Methane is delivered at 298 K to a glass factory, which operates a melting furnace at 1600 K. The fuel is mixed with a quantity of air, also at 298 K, which is 10% in excess of the amount theoretically needed for complete combustion (air is approximately 21% O 2 and 79% N 2)(a) Assuming complete combustion, what is the composition of the flue gas (the gas following combustion)? (b) What is the temperature of the gas, assuming no heat loss?(c) The furnace processes 2000kg of glass hourly, and its heat losses to the surroundings average 400000 kJ/h.calculate the fuel consumption at STP (in m 3/h) assuming that for gas H 1600-H 298=1200KJ/KG(d) A heat exchanger is installed to transfer some of the sensible heat of the flue gas to the combustion air.Calculate the decrease in fuel consumption if the combustion air is heated to 800K DATA STP means T=298K, P=1atm22224O N O H CO CH for2.82.89.117.1316)/(C mol cal C P •Solution)(210448.1125.9100076.191298)/(25.9)]87.012.72(2.843.179.1171.87.13[01.0)(%87.0%%12.72%%43.17%2%%71.8)11.1(221791.1231%22)(0,,222222224K T T T C mol cal X C C b O N CO O H CO O H CO O CH a i i p p p =⨯⨯+=∆+=•=+⨯+⨯+⨯=======-⨯+⨯⨯+=+=+∑)/(1644)0224.011868.448.11)8001600(48.1125.9189570(102800000)/(189570)298800)](48.1187.8)48.1125.9[(100076.191)()/(87.848.11/]211002.22.816[)()/(3214)0224.011868.448.11)2981600(48.1125.9100076.191(102800000)/(280000040000020001200)(33min ,,,,298,,33min h m V mol g cal dTn C n C H H C mol cal X C C d h m V h KJ P C gConsu i i r p i i p p i i p r p g Consu =⨯⨯-⨯-⨯=•=-⨯-⨯-⨯=--∆=∆•=⨯⨯+===⨯⨯-⨯-⨯⨯==+⨯=⎰∑∑∑1.8 In an investigation of the thermodynamic properties of a-manganese, the following heat contents were determined:H 700-H 298=12113 J/(g atom) H 1000-H 298=22803 J/(g atom)Find a suitable equation for H T -H 298 and also for C P as a function of temperature in the form (a+bT) Assume that no structure transformation takes place in the given tempeture rang.Solution )298(0055.0)298(62.35011.062.35011.062.3522803)2981000(2)2981000(12113)298700(2)298700(]2[2229822222982---=∆-=-===-+-=-+-+=+==∆⎰⎰T T H TC b a ba ba T baT bTdT a dT C H T P T P1.9 A fuel gas containing 40% CO, 10% CO 2, and the rest N 2 (by volume) is burnt completely with air in a furnace. The incoming and ongoing temperatures of the gases in the furnace are 773K and 1250K,respectively. Calculate (a) the maximum flame temperature and (b) heat supplied to the furnace per cu. ft of exhaust gasmolJ Hmol J H CO f CO f /393296/1104580,298,0,298,2-=∆-=∆)/(10184.403.29)/(1067.11010.492.19)/(1037.81020.935.44)/(1042.01097.345.283,253,253,253,222molK J T C molK J T T C molK J T T C molK J T T C N P O P CO P CO P -------⨯+=⨯-⨯+=⨯-⨯+=⨯-⨯+= Solution?0)499.0321.018.1()1067.01019.277.28(28.282831067.01038.477.289.0)1019.01058.528.33(2.0282838)()/(1019.01058.528.33722.0278.0)/(1067.01038.477.281.065.005.02.0)()/(282838110458393296%2.72%8.27%10%65%5%20)4/(1122298127332981523733253253298,,,,298,253,,,,,253,,,,,,,0,298,0,298,298,22222222222222==+--⨯+⨯++⨯=⨯-⨯++⨯⨯-⨯+-⨯=--∆=∆⨯-⨯+=+==⨯-⨯+=+++===-=∆-∆=∆========+-----------⎰⎰⎰∑∑⎰∑∑∑∑T T T T T T T dTT T dTT T dTn C n C n H H molK J T T C C n C C molK J T T C C C C n C C a mol J n Hn H H N CO production O N CO CO reation then O N air mole need fuel mole when CO O CO T TT i i r p i i p p i i N P CO P i i p p r p O P N P CO P CO P i i p p r p i pf i rf idTT T Q dT T T Q b T T T T T T T dTT T dTT T dT n C n C n H H T TT i i r p i i p p i i 9.0)1019.01058.528.33(2.02828389.0)1019.01058.528.33(2.0282838)(0)499.0321.018.1()1067.01019.277.28(28.282831067.01038.477.289.0)1019.01058.528.33(2.0282838)(253125029812502982531250298125029829812125029815231250253253298,,,,298,⨯⨯-⨯++⨯-=⨯⨯-⨯++⨯-===+--⨯+⨯++⨯=⨯-⨯++⨯⨯-⨯+-⨯=--∆=∆-----------⎰⎰⎰⎰⎰∑∑⎰1.10 (a) for the reaction2221CO O CO →+,what is the enthalpy of reaction (0H ∆) at 298 K ?(b) a fuel gas, with composition 50% CO, 50% N 2 is burned using the stoichiometric amount of air. What is the composition of the flue gas?(c) If the fuel gas and the air enter there burner at 298 K, what is the highest temperature the flame may attain(adiabatic flame temperature)? DATA :standard heats of formationfH ∆ at 298 K)/(393000)/(1100002mol J CO mol J CO -=-=Heat capacities [J/(mol K)] to be used for this problem N 2=33, O 2=33, CO=34, CO 2=57Solution )(21100)298)(39889.0(222.02830000)/(3975.03325.057)/(33111.034222.033666.033)(%,75%%,251.111002.22%%1.11%%,6.66%%,2.222.0/25.015.0%)()/(283000393000110000)(,0,,,,,,22220,298,0,298,0K T T dT C n H H K mol J X C C K mol J X C C C N CO product O N CO fuel b mol J n H n H H a P p p i P r i P r i P p i P p i P f i r f ==-⨯-⨯=-∆=∆•=⨯+⨯==•=⨯+⨯+⨯====-====+==+-=∆-∆=∆⎰∑∑∑∑1.11 a particular blast furnace gas has the following composition by (volume): N 2=60%, H 2=4, CO=12%, CO 2=24%(a) if the gas at 298K is burned with the stochiometric amount of dry air at 298 K, what is the composition of the flue gas? What is the adiabatic flame temperature?(b) repeat the calculation for 30% excess combustion air at 298K(C)what is the adiabatic flame temperature when the blast furnace gas is preheated to 700K (the dry air is at 298K) (d) suppose the combustion air is not dry ( has partial pressure of water 15 mm Hg and a total pressure of 760 mm Hg) how will thE dlaMe temperature be affected?DaTA(k J?mol)2CO CO FOR513.393523.110)/(--∆mol kJ H f2222,)(O N g O H CO CO FOR ?? 34505733]/[K mol J C P •SolutionOH O H CO O CO a 222222121)(→+→+ 416.0)(104.0)(:22==N n O n Air6.0)(04.0)(24.0)(12.0)(:222====N n H n CO n CO n Fuel 32.0)(08.0)(:22==N n O n Air 92.0)(04.0)(36.0)(:222===N n O H n CO n Flue)(98.1108)(8108.53106308.43)/(8.533492.05004.05736.092.004.036.06308.43)08.241(04.0)523.11051.393(12.03,,222222K T K T K J C C C n CKJH H H N O H CO ii r P O H H CO CO ==⨯=∆=⨯+⨯+⨯=++==-⨯+-⨯=∆+∆=∆∑--(b)repeat the calculation for 30% excess0combustion air at 298K6.0)(04.0)(24.0)(12.0)(:222====N n H n CO n CO n Fuel024.0)(016.1)(04.0)(36.0)(:2222====O n N n O H n CO n Flue December 13, 2020(C)what is the adiabatic flame temperature when the blasp furnace gas is preheated to 700K (the dry air is at 298K)6.0)(04.0)(24.0)(12.0)(:222====N n H n CO n CO n Fuel 32.0)(08.0)(:22==N n O n Air 92.0)(04.0)(36.0)(:222===N n O H n CO n Flue)(6.1401)(6.11038.5310373.59)/(8.533492.05004.05736.096.004.036.0373.59)346.02804.05724.03312.0()298700()08.241(04.0)523.11051.393(12.03,,298700222222K T K T K J C C C n CKJH H H H N O H CO ii r P fuel O H H CO CO ==⨯=∆=⨯+⨯+⨯=++==⨯+⨯+⨯+⨯⨯-+-⨯+-⨯=∆+∆+∆=∆∑---(d) suppose the combustion air is not dry ( has partial pressure of water 15 mm Hg and a total pressure of 760 mm Hg) how will the flame temperature be affected?)(8.1051)(8.75388.57106308.43)/(88.5734024.034016.15004.05736.0024.0016.104.036.06308.43)08.241(04.0)523.11051.393(12.03,,2222222K T K T K J C C C C n CKJH H H O N O H CO ii r P O H H CO CO ==⨯=∆=⨯+⨯+⨯+⨯=+++==-⨯+-⨯=∆+∆=∆∑--6.0)(04.0)(24.0)(12.0)(:222====N n H n CO n CO n Fuel 008.04.01576015)(32.0)(08.0)(:222=-===O H n N n O n Air 92.0)(048.0)(36.0)(:222===N n O H n CO n Flue)(1103)(8052.54106308.43)/(2.543492.050048.05736.092.0048.036.06308.43)08.241(04.0)523.11051.393(12.03,,222222K T K T K J C C C n CKJH H H N O H CO ii r P OH H CO CO ==⨯=∆=⨯+⨯+⨯=++==-⨯+-⨯=∆+∆=∆∑--1.12 A bath of molten copper is super cooled to 5℃ below its true melting point. Nucleation of solid copper then takes place, and the solidification proceeds under adiabatic conditions. What percentage of the bath solidifies? DATA: Heat of fusion for copper is 3100 cal/mol at 1803℃(the melting point of copper) C P,L =7.5(cal/mol ℃), C P,S =5.41+(1.5*10-3T )(cal/mol ℃) Solution)/(310355.75.0)17981803(105.1541.5310002231798,1798,17981803,18031798,1803,mol cal HH dT C dT C H LS SL L P S P L S =⨯-⨯-⨯+⨯+==+++-⎰⎰1.13 Cuprous oxide (Cu 2O) is being reduced by hydrogen in a furnace at 1000K, (a)write the chemical reaction for the reduced one mole of Cu 2O(b)how much heat is release or absorbed per mole reacted? Given the quantity of heat and state whether heat is evolved (exothermic reaction) or absorbed (endothermic reaction)DATA: heat of formation of 1000K in cal/mol Cu 2O=-41900 H 2O=-59210 solution)/(173104190059210222mol cal H OH Cu H O Cu =-=∆+=+,exothermic reaction1.14(a) what is the enthalpy of pure, liquid aluminum at 1000K?(b) an electric resistance furnace is used to melt pure aluminum at the rate of 100kg/h. the furnace is fed with solid aluminum at 298K. The liquid aluminum leaves the furnace at 1000K. what is the minimum electric powder rating (kW) of furnace.DATA : For aluminum : atomic weight=27g/mol, C p,s =26(J/molK), C p,L =29(J/molK), Melting point=932K, Heat of fusion=10700J/mol Solution)(28.0)(7.2793600110002727184)/(2718410700)9321000(29)298932(261000932,932298,1000,kW W P mol J H dT C dT C H SLL P S P l ==⨯⨯==+-⨯+-⨯=++=⎰⎰1.15 A waste material (dross from the melting of aluminum) is found to contain 1 wt% metallic aluminum. The rest may be assumed to aluminum oxide. The aluminum is finely divided and dispersed in the aluminum oxide; that is the two material are thermally connected.If the waster material is stored at 298K. what is the maximum temperature to which it may rise if all the metallic aluminum is oxidized by air/ the entire mass may be assumed to rise to the same temperature. Data : atomic weight Al=27g/mol, O=16g/mol, C p,s,Al =26(J/molK), C p,s, Al2O3=104J/mol, heat formation of Al 2O 3=-1676000J/molSolution;)(600)(3021041029927275.116122711676000K T K T T ==∆∆⨯⨯++⨯⨯=⨯⨯1.16 Metals exhibit some interesting properties when they are rapidly solidified from the liquid state. An apparatus for the rapid solidification of copper is cooled by water. In the apparatus, liquid copper at its melting point (1356K) is sprayed on a cooling surface, where it solidified and cools to 400K. The copper is supplied to the apparatus at the rate of one kilogram per minute. Cooling water is available at 20℃, and is not allowed to raise above 80℃. What is the minimum flow rate of water in the apparatus, in cubic meters per minute? DATA; for water: C p =4.184J/g k, Density=1g/cm 3; for copper: molecular weight=63.54g/mol C p =7cal/mol k, heat of fusion=3120 cal/molSolution:min)/(10573.2)2080(1min /min54.631000)]4001356(73120[min /33m V VQQ WaterCopper -⨯=-=⨯⨯-⨯+=1.17 water flowing through an insulated pipe at the rate of 5L/min is to be heated from 20℃ to 60℃ b an electrical resistance heater. Calculate the minimum power rating of the resistance heater in watts. Specify the system and basis for you calculation. DA TA; For water C p =4.184J/g k, Density=1g/cm 3 Solution:)(139476010005)2060(184.4W W =⨯⨯-⨯=1.18 The heat of evaporation of water at 100℃ and 1 atm is 2261J/mol (a) what percentage of that energy is used as work done by the vapor?(b)if the density of water vapor at 100℃ and 1 atm is 0.597kg/m 3 what is the internal energy change for the evaporation of water?Solution:)/(375971822613101%6.71822613101%)/(31010224.0273373101325mol J Q W U mol J V P =⨯+-=+=∆=⨯==⨯⨯=∆1.19 water is the minimum amount of steam (at 100℃ and 1 atm pressure) required to melt a kilogram of ice (at 0℃)? Use data for problem 1.20 Solution)(125,3341000)10018.42261(g m m =⨯=⨯+1.20 in certain parts of the world pressurized water from beneath the surface of the earth is available as a source of thermal energy. To make steam, the geothermal water at 180℃ is passed through a flash evaporator that operates at 1atm pressure. Two streams come out of the evaporator, liquid water and water vapor. How much water vapor is formed per kilogram of geothermal water? Is the process reversible? Assume that water is incompressible. The vapor pressure of water at 180℃ is 1.0021 Mpa( about 10 atm) Data: C P,L =4.18J/(g k), C P ,v =2.00J/(g k), △H V =2261J/g, △H m =334 J/g Solution:leirreversib g x x x )(138),1000(8018.4)8018.48022261(=-⨯⨯=⨯-⨯+The problems of the second law2.1 The solar energy flux is about 4J cm 2/min. in no focusing collector the surface temperature can reach a value of about 900℃. If we operate a heat engine using the collector as the heat source and a low temperature reservoir at 25℃, calculate the area of collector needed if the heat engine is to produce 1 horse power. Assume the engine operates at maximum efficiency.Solution)(25.6)(7466010427390)2590(24m S W tWP StQ T T T W H H L H ===⨯⨯+-=-=2.2 A refrigerator is operated by 0.25 hp motor. If the interior of the box is to be maintained at -20℃ ganister a maximum exterior temperature of 35℃, what the maximum heat leak (in watts) into the box that can be tolerated if the motor runs continuously? Assume the coefficient of performance is 75% of the value for a reversible engine.Solution:)(64374625.02035202734375.0W P P T T T P Q T T T W L LL LH HHLH =⨯⨯+-⨯=-=-=2.3 suppose an electrical motor supplies the work to operate a Carnot refrigerator. The interior of the refrigerator is at 0℃. Liquid water is taken in at 0℃ and converted to ice at 0℃. To convert 1 g of ice to 1 g liquid. △H=334J/g is required. If the temperature outside the box is 20℃, what mass of ice can be produced in one minute by a 0.25 hp motor running continuously? Assume that the refrigerator is perfectly insulated and that the efficiencies involved have their largest possible value.Solution:)(4576033474625.020273g m M m P P T T T P L LLLH ===⨯⨯=-=2.4 under 1 atm pressure, helium boils at 4.126K. The heat of vaporization is 84 J/mol what size motor (in hp) is needed to run a refrigerator that must condense 2 mol of gaseous helium at 4.126k to liquid at the same temperature in one minute? Assume that the ambient temperature is 300K and that the coefficient of performance of the refrigerator is 50% of the maximum possible.Solution:)(52.0)(393'60284216.4216.4300'5.0%50hp W P P T T T P P Q T T T W L L L H LLLH ==⨯⨯-=-==-=2.5 if a fossil fuel power plant operating between 540 and 50℃ provides the electrical power to run a heat pump that works between 25 and 5℃, what is the amount of heat pumped into the house per unit amount of heat extracted from the power plant boiler.(a) assume that the efficiencies are equal to the theoretical maximum values(b) assume the power plant efficiency is 70% of maximum and that coefficient of performance of the heat pumpis 10% of maximum(c) if a furnace can use 80% of the energy in fossil foe to heat the house would it be more economical in terms ofoverall fissile fuel consumption to use a heat pump or a furnace ? do the calculations for cases a and b solution:1,2,2,1,212,2,2,2,21,1,1,1,198.82527352527354050540)(H H H H H H L H H H L H P P P P P P P T T T P P T T T P a =+-=+-=-=-= .,)(6286.0)(1,2,not is b ok is a c PP b H H =2.6 calculate △U and △S when 0.5 mole of liquid water at 273 K is mixed with 0.5 mol of liquid water at 373 K and the system is allowed to reach equilibrium in an adiabatic enclosure. Assume that C p is 77J /(mol K) from 273K to 373K Solution:)/(933.0)273323ln(5.0)373323ln(5.0)ln()ln()(02211K J C C T T C n T T C n S J U P P E P E P =+=+=∆=∆2.7 A modern coal burning power plant operates with a steam out let from the boiler at 540℃ and a condensate temperature of 30℃.(a) what is the maximum electrical work that can be produced by the plant per joule of heat provided to theboiler?(b) How many metric tons (1000kg) of coal per hour is required if the plant out put is to be 500MW (megawatts).Assume the maximum efficiency for the plant. The heat of combustion of coal is 29.0 MJ/k g(c) Electricity is used to heat a home at 25℃ when the out door temperature is 10℃ by passing a currentthrough resistors. What is the maximum amount of heat that can be added to the home per kilowatt-hour of electrical energy supplied?Solution:)(3.69)(6937136005000.29)()(89.013054030540)(ton kg m T T T mb J Q T T T W a LH LH H L H ==⨯=-=+-=-= )(9.191102525273)(J Q Q T T T W c H HHLH =-+=-=2.8 an electrical resistor is immersed in water at the boiling temperature of water (100℃) the electrical energy input into the resistor is at the rate of one kilowatt(a) calculate the rate of evaporation of the water in grams per second if the water container is insulated that is noheat is allowed to flow to or from the water except for that provided by the resistor(b) at what rate could water could be evaporated if electrical energy were supplied at the rate of 1 kw to a heatpump operating between 25 and 100℃data for water enthalpy of evaporation is 40000 J/mol at 100℃; molecular weight is 18g/mol; density is 1g/cm 3solution:)(23.2,2510027310010004000018)()(45.0,10004000018)(g m m b g m ma =-+===2.9 some aluminum parts are being quenched (cooled rapidly ) from 480℃ to -20℃ by immersing them in abrine , which is maintained at -20℃ by a refrigerator. The aluminum is being fed into the brine at a rate of one kilogram per minute. The refrigerator operates in an environment at 30℃; that is the refrigerator may reject heat at 30℃. what is them minus power rating in kilowatts, of motor required to operate the refrigerator?Data for aluminum heat capacity is 28J/mol K; Molecular weight 27g/mol Solution:)(5.102)(102474202732030)20480(28271000kW W P P T T T P P L L L L H W L ==---=-=--⨯=2.10 an electric power generating plant has a rated output of 100MW. The boiler of the plant operates at 300℃. The condenser operates at 40℃(a) at what rate (joules per hour) must heat be supplied to the boiler?(b) The condenser is cooled by water, which may under go a temperature rise of no more than 10℃. Whatvolume of cooling water in cubic meters per hour, is require to operate the plant?(c) The boiler tempeture is to be raised to 540℃,but the condensed temperature and electric output will remainthe same. Will the cooling water requirement be increased, decreased, or remain the same?Data heat capacity 4.184, density 1g/cm 3 Solution: )(109.7)(102.21040300273300)(1188J t P Q W P T T T P a H H L H H H ⨯==⨯=-+=-= )(1003.1184.41010)(103.4)(34611m V Q V J Q b LL ⨯==⨯⨯⨯⨯= noW P T T T P c L H H H )(10626.11040540273540)(88⨯=-+=-= 2.11 (a) Heat engines convert heat that is available at different temperature to work. They have been several proposals to generate electricity y using a heat engine that operate on the temperature differences available at different depths in the oceans. Assume that surface water is at 20℃, that water at a great depth is at 4℃, and that both may be considered to be infinite in extent. How many joules of electrical energy may be generated for each joule of energy absorbed from surface water? (b) the hydroelectric generation of electricity use the drop height of water as the energy source. in a particular region the level of river drops from 100m above sea level to 70m above the sea level . what fraction of the potential energy change between those two levels may be converted into electrical energy? how much electrical energy ,in kilowatt-hours, may be generated per cubic meter of water that undergoes such a drop? Solution: )/(1006.136001000)()(055.0127320420)(6h kW h mg P b J Q T T T W a H H L H ⨯=⨯∆==+-=-=2.12 a sports facility has both an ice rink and a swimming pool. to keep the ice frozen during the summer requires the removal form the rink of 105 KJ of thermal energy per hour. It has been suggested that this task be performed by a thermodynamic machine, which would be use the swimming pool as the high temperature reservoir. The ice in the rink is to be maintain at a temperature of –15℃, and the swimming pool operates at 20℃, (a) what is the theoretical minimum power, in kilowatts, required to run the machine? (b) how much heat , in joule per hour , would be supplied t the pool by this machine?Solution: )(1014.1101527320273)()(77.33600/10152731520)(555kJ Q b kW P T T T P a H L L L H ⨯=-+==-+=-=2.13solution:)/(81.6810ln 314.877.45277.6282.4)/(152940)()/(67.4977.45277.6282.4)()/(152940)(22)(2molK cal S mol cal H d molK cal S c mol cal H b AlNN Al a -=+-⨯-⨯=∆=∆-=-⨯-⨯=∆=∆=+ 2.14 solution:)/(2257412000)27340273ln 184.4273336263273ln1.2()(400,010,K J dT T C T H dT T C m S WATER P m m ICE P =+++=+∆+=∆⎰⎰-2.15)(70428)(2896100077773002J W J Q T T T W L L L H ==-=-= 2.16)(4.3719))2.4300(314.85.13.83(3002.4300)(7.58663.832.42.4300J Q T T T W J Q T T T W H H L H L L L H =-⨯+-=-==-=-=2.17 yes d Q c K J P P nR S b J pdV n W Q OU T a )(0)()/(1.1910ln 314.81ln)()(570410ln 298314.810)(0==⨯⨯==∆=⨯⨯=-=-==∆=∆⎰ 2.18)(1222335273020********g m m m T T T L L H =-=-=⨯ Property Relations 1. At -5︒C, the vapor pressure of ice is 3.012mmHg and that of supercooled liquid water is 3.163mmHg. The latent heat of fusion of ice is 5.85kJ/mol at -5︒C. Calculate ∆G and ∆S per mole for the transition of from water to ice at -5︒C. (3.2, 94) Solution: mol J P P RT G waterO H iceO H /9.1089523.0ln 268314.8163.3012.3ln )5273(314.8ln ,,22-=⨯⨯=-⨯==∆mol J H /1085.53⨯=∆)/(23.22268)9.108(5850K mol J T G H S S T H G ⋅=--=∆-∆=∆∴∆-∆=∆ 2. (1) A container of liquid lead is to be used as a calorimeter to determine the heat of mixing of two metals, A andB. It has been determined by experiment that the “heat capacity ” of the bath is 100cal/︒C at 300︒C. With the bath originally at 300︒C, the following experiments are performed;(2) A mechanical mixture of 1g of A and 1g of B is dropped into the calorimeter. A and B were originally at 25︒C. When the two have dissolved, the temperature of the bath is found to have increased 0.20︒C. 2. Two grams of a 50:50(wt.%) A-B alloy at 25︒C is dropped similarly into the calorimeter. The temperature decreases 0.40︒C. (a) What is the heat of mixing of the 50:50 A-B alloy (per gram of alloy)? (b) To what temperature does it apply ? (3.5, 94)Solution: mol J K cal C bath P /418/100,==(a) g cal T C Q bath P /102/2.01002/,=⨯=∆=This is the heat of mixing.(b) The heat capacity of C P, alloy : )/(072.06.27424.0100)254.0300(2,,K g cal TC C bath P alloy P ⋅=⨯⨯=--⨯∆⨯=Assuming that the calorimeter can be applied to the maximum of T ︒C, the for mixing to form 1 gram of alloy:10)'300(,1+-=T C Q bath P , )'(,2T T C Q alloy P -⋅=, 21Q Q =)'(10)'300(,,T T C T C alloy P bath P -=+-3. The equilibrium freezing point of water is 0︒C. At that temperature the latent heat of fusion of ice (the heat required to melt the ice) is 6063J/mol. (a) What is the entropy of fusion of ice at 0︒C ? (b) What is the change of Gibbs free energy for ice →water at 0︒C?(c) What is the heat of fusion of ice at -5︒C ? C P(ice) = 0.5 cal/(g. ︒C); C P(water) = 1.0 cal/(g. ︒C). (d) Repeat parts a and b at -5︒C. (3.6, p94)Solution: (a) At 0︒C, ∆G =0, ∴ T m ∆S = ∆H)./(09.222736030K mol J T H S m ==∆=∆(b) At 0︒C, ∆G =0© )./(62.37)./(1818.45.0)./(5.0,K mol J K mol J K g cal C ice P =⨯⨯==)./(24.75)./(1818.40.1)./(0.1,K mol J K mol J K g cal C water P =⨯⨯==a reversible process can be designed as follows to do the calculation:。