平面向量典型例题
- 格式:doc
- 大小:245.00 KB
- 文档页数:13
平面向量练习题及答案一、选择题1. 设向量a和向量b是两个不共线的向量,若向量c=2向量a-3向量b,向量d=向量a+4向量b,那么向量c和向量d的夹角的余弦值是()A. 1/2B. -1/2C. 0D. 12. 若向量a和向量b的模长分别为3和4,且它们的夹角为60°,则向量a和向量b的点积是()A. 6B. 12C. 15D. 183. 已知向量a=(1,2),向量b=(3,4),则向量a和向量b的向量积的大小是()A. 5B. 6C. 7D. 8二、填空题4. 若向量a=(x,y),向量b=(2,-1),且向量a与向量b共线,则x=______,y=______。
5. 向量a=(3,4),向量b=(-1,2),则向量a和向量b的夹角的正弦值是______。
三、计算题6. 已知向量a=(2,3),向量b=(4,-1),求向量a和向量b的点积。
7. 已知向量a=(-1,3),向量b=(2,-4),求向量a和向量b的向量积。
8. 已知向量a=(1,0),向量b=(2,3),求向量a在向量b上的投影。
四、解答题9. 设向量a=(1,-1),向量b=(2,3),求证向量a和向量b不共线。
10. 已知向量a=(x,y),向量b=(1,1),若向量a和向量b的点积为6,求x和y的值。
答案:1. B2. C3. B4. 2,-15. 根号下((3+4)的平方-(3*(-1)+4*2)的平方)除以(5*根号下2)6. 向量a和向量b的点积为:2*4+3*(-1)=57. 向量a和向量b的向量积为:(3*(-4)-4*2)i-(2*3-1*4)j=-20i+2j8. 向量a在向量b上的投影为:(向量a·向量b)/向量b的模长^2 * 向量b = (1*2+0*3)/(2^2+3^2) * 向量b = (2/13) * (2,3)9. 证:假设向量a和向量b共线,则存在实数k使得向量a=k向量b。
平面向量专题练习(带答案详解) 平面向量专题练(附答案详解)一、单选题1.已知向量 $a=(-1,2)$,$b=(1,1)$,则 $a\cdot b$ 等于()A。
3 B。
2 C。
1 D。
02.已知向量 $a=(1,-2)$,$b=(2,x)$,若 $a//b$,则 $x$ 的值是()A。
-4 B。
-1 C。
1 D。
43.已知向量 $a=(1,1,0)$,$b=(-1,0,2)$,且 $ka+b$ 与 $2a-b$ 互相垂直,则 $k$ 的值是()A。
1 B。
5/3 C。
3/5 D。
7/54.等腰直角三角形 $ABC$ 中,$\angle ACB=\frac{\pi}{2}$,$AC=BC=2$,点 $P$ 是斜边 $AB$ 上一点,且 $BP=2PA$,那么 $CP\cdot CA+CP\cdot CB$ 等于()A。
-4 B。
-2 C。
2 D。
45.设 $a,b$ 是非零向量,则 $a=2b$ 是成立的()A。
充分必要条件 B。
必要不充分条件 C。
充分不必要条件 D。
既不充分也不必要条件6.在 $\triangle ABC$ 中 $A=\frac{\pi}{3}$,$b+c=4$,$E,F$ 为边 $BC$ 的三等分点,则 $AE\cdot AF$ 的最小值为()A。
$\frac{8}{3}$ B。
$\frac{26}{9}$ C。
$\frac{2}{3}$ D。
$3$7.若 $a=2$,$b=2$,且 $a-b\perp a$,则 $a$ 与 $b$ 的夹角是()A。
$\frac{\pi}{6}$ B。
$\frac{\pi}{4}$ C。
$\frac{\pi}{3}$ D。
$\frac{\pi}{2}$8.已知非零向量 $a,b$ 满足 $|a|=6|b|$,$a,b$ 的夹角的余弦值为 $\frac{1}{3}$,且 $a\perp (a-kb)$,则实数 $k$ 的值为()A。
18 B。
第13讲平面向量十大题型总结【题型目录】题型一:平面向量线性运算题型二:平面向量共线问题题型三:平面向量垂直问题题型四:平面向量的夹角问题题型五:平面向量数量积的计算题型六:平面向量的模问题题型七:平面向量的投影问题题型八:万能建系法解决向量问题题型九:平面向量中的最值范围问题题型十:平面向量中多选题【典型例题】题型一:平面向量线性运算【例1】在ABC △中,D 是AB 边上的中点,则CB =()A .2CD CA+ B .2CD CA- C .2CD CA- D .2CD CA+ 【答案】C【解析】:CA CD AC CD CD AC CD AD CD DB CD CB -=+=++=+=+=22【例2】在△ABC 中,AD 为BC 边上的中线,E 为AD 的中点,则EB =A .3144AB AC-B .1344AB AC-C .3144+AB AC D .1344+AB AC 【答案】A【解析】根据向量的运算法则,可得()111111222424BE BA BD BA BC BA BA AC=+=+=++ 1113124444BA BA AC BA AC=++=+,所以3144EB AB AC =-,故选A.【例3】在ABC 中,点P 为AC 中点,点D 在BC 上,且3BD DC = ,则DP =()A .1144AB AC+B .1144AB AC--C .1144AB AC-D .1144AB AC-+【答案】B【解析】∵点P 为AC 中点,∴12AP AC = ,∵3BD DC =,()3AD AB AC AD ∴-=- ,∴1344AD AB AC =+ ,∴113244DP AP AD AC AB AC =-=-- =1144AB AC --,故选:B.【例4】在ABC 中,AD 为BC 边上的中线,E 为AD 的中点,且EB AB AC λμ=+,则λ=________,μ=_________.【答案】3414-【解析】如下图所示:D Q 为BC 的中点,则()()111222AD AB BD AB BC AB AC AB AB AC =+=+=+-=+,E 为AD 的中点,所以,()1124AE AD AB AC ==+,因此,()131444EB AB AE AB AB AC AB AC =-=-+=- ,即34λ=,14μ=-.故答案为:34;14-.【例5】如图,等腰梯形ABCD 中,3AB BC CD AD ===,点E 为线段CD 中点,点F 为线段BC 的中点,则FE =()A .2136AB AC+B .2136AB AC-+C .1263AB AC+D .1263AB AC-+点F 为线段BC 的中点,13BD BA AD BA BC BA =+=+=+ 又2BD FE = ,2136FE AB AC ∴=-+.【题型专练】1.设,,D E F 分别为ABC 的三边BC,CA,AB 的中点,则EB FC +=()A .ADB .12ADC .12BCD .BC【答案】A【解析】111()()()222EB FC BA BC CA CB AB AC AD +=-+-+=+=,故选:A2.设D为△ABC所在平面内的一点,若3,AD BD CD CA CBλμ==+,则μλ=_____.【答案】3-【解析】如图所示:3CD CA AD CA BD=+=+,CA=+3(CD CB-),即有CD=﹣1322CA CB+,因为CD CA CBλμ=+,所以λ=﹣12,μ=32,则μλ=﹣3,故答案为:﹣3.3.在ABC中,4AC AD=,P为BD上一点,若13AP AB ACλ=+,则实数λ的值()A.18B.316C.16D.38【答案】C【解析】4AC AD=,14AD AC∴=,则14BD AD AB AC AB=-=-,1233BP AP AB AB AC AB AC ABλλ⎛⎫=-=+-=-⎪⎝⎭,由于P为BD上一点,则//BP BD,设BP k BD=,则21344kAC AB k AC AB AC k ABλ⎛⎫-=-=-⎪⎝⎭,所以423kkλ⎧=⎪⎪⎨⎪=⎪⎩,解得16λ=.4.在ABC 中,2AB =,4BC =,60ABC ∠=︒,AD 为BC 边上的高,O 为AD 的中点,若AO AB BC λμ=+,则λμ+=()A .13B .23C .38D .58【答案】D【解析】AD 是BC 边上的高,∴90ADB ∠=︒,在ADB △中,1cos 22BD BD ABD AB ∠===,解得1BD =, 4BC =,∴14BD BC =,∴14AD AB BD AB BC =+=+, O 为AD 中点,∴1111122428AO AD AB BC AB BC ⎛⎫==+=+ ⎪⎝⎭ , AO AB BC λμ=+ ,∴1128AB BC AB BC λμ+=+ ,∴12λ=,18μ=,∴115288λμ+=+=.5.已知O 是ABC 所在平面内一点,D 为BC 边中点,且20OA OB OC ++=,那么()A .AO OD =B .2AO OD=C .3AO OD=D .4AO OD =【答案】A【解析】D 为BC 边中点,∴2OB OC OD +=,∵20OA OB OC ++=,∴0OA OD =+,即AO OD =.6.设D 为ABC 所在平面内一点,且满足3CD BD =,则()A .3122AD AB AC =-B .3122=+AD AB ACC .4133AD AB AC =-D .4133AD AB AC=+ ∴2CB BD =,即12BD CB = .()12123122AD AB BD ABCBAB AB ACAB AC ∴=+=+=+-=- 故选:A.题型二:平面向量共线问题【例1】已知向量()1,2a =- ,()sin ,cos b αα= ,若//a b,则tan α=()A .12-B .2-C .12D .2【例2】与模长为13的向量()12,5d =平行的单位向量为()A .1251313⎛⎫ ⎪⎝⎭,B .1251313⎛⎫-- ⎪⎝⎭,C .1251313⎛⎫ ⎪,或1251313⎛⎫-- ⎪,D .1251313⎛⎫- ⎪,或1251313⎛⎫- ⎪,【例3】已知向量()1,2AB =,(),7BC m =,()3,1CD =-,若A ,B ,D 三点共线,则m =________.【例4】设向量,a b 不平行,向量λ+a b 与2+a b 平行,则实数λ=___.【答案】21【解析】因向量λ+a b 与2+a b 平行,所以()b a b a ba μμμλ22+=+=+,所以⎩⎨⎧==μμλ21,解得⎪⎩⎪⎨⎧==2121μλ【例5】在ABC ∆中,点P 满足3BP PC = ,过点P 的直线与AB 、AC 所在的直线分别交于点M 、N ,若AM AB λ= ,()0,0AN AC μλμ=>>,则λμ+的最小值为()A .212+B .12+C .32D .52【答案】B【解析】如下图所示:3BP PC = ,即()3AP AB AC AP -=- ,1344AP AB AC∴=+ ,AM AB λ= ,()0,0AN AC μλμ=>> ,1AB AM λ∴=,1AC ANμ= ,1344AP AM ANλμ∴=+ ,M 、P 、N 三点共线,则13144λμ+=.()133********λμλμλμλμμλ⎛⎫∴+=++=++≥=+ ⎪⎝⎭,当且仅当μ=时,等号成立,因此,λμ+的最小值为312+,故选:B.【题型专练】1.已知非零向量a ,b ,c ,若(1)a x = ,,(41)b =- ,,且//a c ,//b c则x =()A .4B .4-C .14D .14-【答案】D【解析】:因非零向量c b a ,,,且//a c ,//b c ,所以a 与b 共线,所以()x 411=-⨯,所以41-=x 2.已知向量的(7,6)AB =,(3,)BC m =- ,(1,2)AD m =- ,若A ,C ,D 三点共线,则m =______.3.已知向量a ,b 是两个不共线的向量,且35OA a b =+,47OB a b =+,OC a mb =+,若A ,B ,C 三点共线,则m =()A .1B .1-C .2D .2-【答案】A【解析】法一:b a b a b a OB AO AB 27453+=++--=+=,()b m a b m a b a OC BO BC 7374-+-=++--=+=,因A ,B ,C 三点共线,所以AB 与BC 共线,所以()[]()b m a b m a b a 73732-+-=-+-=+λλλ,所以()⎩⎨⎧-=-=7231m λλ,解得⎪⎩⎪⎨⎧=-=131m λ法二:由,,A B C 三点共线,得(1)(4)(72)OC xOA x OB x a x b =+-=-+-,故41,72,x x m -=⎧⎨-=⎩解得1m =.4.设12e e,是两个不共线的向量,若向量12m e ke =-+(k ∈R )与向量212n e e =-共线,则A .0k =B .1k =C .2k =D .12k =【答案】D【解析】因为向量12=-+ m e ke (k ∈R )与向量212=-n e e 共线,所以存在实数λ,使得λ=m n ,所以有2211(2)λ-+=- e ke e e ,因此12k λλ=⎧⎨-=-⎩,解得12k =.5.如图,在ABC 中,点O 是BC 的中点,过点O 的直线分别交直线AB ,AC 于不同的两点M N ,,若AB mAM = ,AC nAN =,则m n +=()A .1B .32C .2D .3【答案】C【解析】连接AO ,由O 为BC 中点可得,1()222m n AO AB AC AM AN =+=+,M 、O 、N 三点共线,122m n∴+=,2m n ∴+=.故选:C.6.已知M 为ABC 的边AB 的中点,N 为ABC 内一点,且13AN AM BC =+ ,则AMNBCNS S =△△()A .16B .13C .12D .23【答案】B【解析】因为13AN AM BC =+,所以13MN BC = ,所以MN ∥BC ,又因为M 为边AB 的中点,所以点A 到MN 的距离等于点N 到BC 的距离,所以13AMNBCNMN S S BC== △△,题型三:平面向量垂直问题【例1】已知向量(1)(32)m =-,,=,a b ,且()+⊥a b b ,则m =()A .8-B .6-C .6D .8【答案】D【解析】:()()()2,42,3,1-=-+=+m m b a ,因()b b a ⊥+,所以()0=⋅+b b a ,即()()()022122,32,4=--=--m m ,所以8=m 【例2】已知单位向量a ,b 的夹角为45°,ka –b 与a 垂直,则k =__________.【答案】22【解析】由题意可得:11cos 452a b →→⋅=⨯⨯=,由向量垂直的充分必要条件可得:0k a b a →→→⎛⎫-⋅= ⎪⎝⎭,即:202k a a b k →→→⨯-⋅=-=,解得:22k =.【例3】已知单位向量,a b 的夹角为60°,则在下列向量中,与b 垂直的是()A .b a 2+B .ba +2C .ba 2-D .ba -2【答案】D【思路导引】根据平面向量数量积的定义、运算性质,结合两平面向量垂直数量积为零这一性质逐一判断即可.【解析】由已知可得:11cos 601122⋅=︒=⨯⨯=a b a b .A :∵215(2)221022+⋅=⋅+=+⨯=≠a b b a b b ,∴本选项不符合题意;B :∵21(2)221202+⋅=⋅+=⨯+=≠a b b a b b ,∴本选项不符合题意;C :∵213(2)221022-⋅=⋅-=-⨯=-≠a b b a b b ,∴本选项不符合题意;D :∵21(2)22102-⋅=⋅-=⨯-=b b b a b b ,∴本选项符合题意.故选D .【例4】已知向量(2,1),(3,)a b m →→=-=,且()a b a →→→+⊥,则实数m =___________.【答案】1【分析】先求出+=(1,1)a b m →→+,再解方程1(2)1(1)0m ⨯-+⨯+=即得解.【详解】解:由题得+=(1,1)a b m →→+,因为()a b a →→→+⊥,所以()=0a b a →→→+g ,所以1(2)1(1)0,1m m ⨯-+⨯+=∴=.故答案为:1【例5】已知非零向量m,n 满足4|3|=m |n |,1cos ,3<>=m n .若()t ⊥+n m n ,则实数t 的值为()A .4B .–4C .94D .–94【答案】B 【解析】由()t ⊥+n m n 可得()0t ⋅+=n m n ,即20t ⋅+=m n n ,所以2221|cos |3||t |||<,>|||=-=-=-⋅⋅⨯⨯n n n m n m n m n m n ||4334||3=-=-⨯=-n m .故选B .【例6】已知向量AB 与AC 的夹角120,且|AB |=3,|AC |=2,若AP AB AC λ=+ ,且AP BC ⊥ ,则实数λ的值为_____.【答案】712【解析】向量与的夹角为,且所以.由得,,即,所以,即,解得.【题型专练】1.ΑΒC ∆是边长为2的等边三角形,已知向量a ,b 满足2ΑΒ= a ,2ΑC =+a b ,则下列结论正确的是()A .1=b B .⊥a bC .1⋅=a b D .()4ΒC-⊥a b 【答案】D【解析】如图由题意,(2)2BC AC AB a b a b =-=+-= ,故||2b = ,故A 错误;|2|2||2a a ==,所以||1a = ,又22(2)4||222cos 602AB AC a a b a ab ⋅=⋅+=+=⨯=,所以1a b ⋅=- ,故,B C 错误;设,B C 中点为D ,则2AB AC AD += ,且AD BC ⊥ ,所以()4C a b +⊥B ,故选D .2.已知1e ,2e 12-e 与12λ+e e 的夹角为60 ,则实数λ的值是.【答案】33【解析】解法一:因1e ,2e 11==,021=⋅e e所以221212112122)()λλλ-⋅+=+⋅-⋅-=-e e e e e e e e ,12|2-=e ,12||λ+===e e ,2cos60λ==,解得:33λ=.解法二:建立坐标系,设()()1,0,0,121==e e ()()λλ,1,1,3212=+-=-e e e ,所以()()2221213λ+=+=-+=)()λλ-=+-3212e e e所以由数量积的定义得︒⨯+⨯=-60cos 1232λλ,解得:33λ=.3.已知向量()(),2,1,1a m b ==,若()a b b +⊥ ,则m =__________.【答案】4-【分析】根据向量的坐标运算即可求解.【详解】由题意可得()1,3a b m +=+,则130m ++=,解得4m =-.故答案为:4-4.已知向量(,2),(2,4)m a a n a =+=- ,且()n m n ⊥-,则实数=a _____________.【答案】2【分析】根据向量坐标运算及向量垂直的坐标表示即得.【详解】因为(,2)(2,4)(2,2)m n a a a a -=+--=-,又()n m n ⊥- ,所以2(2)(2)40a a ⨯-+-⨯=,解得2a =.故答案为:2.5.在ABC 中,()1,2,3A k -,()2,1,0B -,()2,3,1C -,若ABC 为直角三角形,则k 的值为()A .23B .83C .-1D .325-题型四:平面向量的夹角问题【例1】已知平面向量a ,b满足||4,||1== a b ,()a b b -⊥ ,则cos ,a b 〈〉= ()A .14B .4C.4D .4【例2】已知(2,0)a = ,1,22b ⎛= ⎝⎭r ,则a b - 与12a b + 的夹角等于()A .150°B .90°C .60°D .30°【例3】已知向量a=(2,1),()3,1b =- ,则()A.若c =-⎝⎭ ,则a c ⊥B .向量a 在向量b 上的投影向量为12b-C .a 与a b -D .()//a b a+【例4】若向量a ,b 满足||a = ,(2,1)b =-,5a b ⋅=- ,则a 与b 的夹角为_________.【例5】已知向量a b ,满足566a b a b ==⋅=-,,,则cos ,a a b +=()A .3135-B .1935-C .1735D .1935【例6】若非零向量,a b 满足32a b a b ==+,则a 与b 夹角的余弦值为________.【例7】设向量(68)=-,a ,(34)=,b ,t =+c a b,t ∈R ,若c 平分a与b 的夹角,则t 的值为.【答案】2【解析】解法一:()t t b t a c 48,36++-=+=,所以()()t t t c a 14100488366+=+++--=⋅;()()1425484363+=+++-=⋅t t t c b 510==因c 平分a 与b 的夹角,所以=c b c a ==,所以()1425214100+=+t t ,解得2=t解法二:因c 平分a 与b的夹角,所以()()⎪⎭⎫⎝⎛=⎪⎭⎫ ⎝⎛+-=⎫⎛=58,054,3108,6λλλb a c ,又因()t t b t a c 48,36++-=+=,所以()()t t 3658480+-=+⨯,解得2=t 【例8】已知A B C △的三个顶点分别为(3(60)(5A B C ,,,,,求ACB ∠的大小.【答案】C【解析】()()3,1,0,2=-=CB CA()()()2312022222=+==+-=所以21223012cos -=⨯⨯+⨯-==∠CB CA ACB ,所以︒=∠120ACB 【题型专练】1.设非零向量、ab满足||2||,||||a b a b b =+= ,则向量a 与b的夹角为()A .30°B .60︒C .120︒D .150︒2.已知(2,1)a =-,||b =,且()10a b a +⋅= ,则,a b 〈〉= ___________.3.已知向量,a b 满足||1a =,||a b =+1)b =- ,则,a b 的夹角等于___________.4.若两个非零向量a 、b 满足2a b a b a +=-=,则a b - 与b 的夹角___________.5.已知单位向量a ,b 满足0a b ⋅=,若向量c =+,则sin ,a c =()A B C D6.已知向量,a b 满足()()3,4,·28a b a b a b ==+-=,则向量a 与b 所成的夹角为()A .π6B .π3C .π2D .2π37.已知向量a ,b 满足||2||2b a == ,|2|2a b -= ,则向量a ,b 的夹角为()A .30°B .45︒C .60︒D .90︒8.已知向量()PA =,(1,PB =,则APB ∠=A .30︒B .60︒C .120︒D .150︒【答案】D【解析】根据题意,可以求得2,2PA PB ===,所以333cos 222PA PB APB PA PB⋅∠===-⋅,结合向量所成角的范围,可以求得150APB ∠=︒,故选D .9.非零向量a ,b 满足:-=a b a ,()0⋅-=a a b ,则-a b 与b 夹角的大小为A .135︒B .120︒C .60︒D .45︒【答案】A【解析】 非零向量a ,b 满足()0⋅-=a a b ,∴2=⋅a a b,由-=a b a 可得2222-⋅+=a a b b a,解得=b ,()22cos 2θ-⋅⋅-∴===--a b ba b b a b ba b,θ为-a b 与b 的夹角,135θ∴= ,故选A .10.已知a ,b 为单位向量,且a ·b =0,若2=c a ,则cos,=a c ___________.【答案】23【解析】因为2=c a,0⋅=a b ,所以22⋅=⋅a c a b 2=,222||4||5||9=-⋅+=c a b b ,所以||3=c ,所以cos ,=a c 22133⋅==⨯⋅a c a c .11.已知向量(4,3),(1,2)a b =-=-,,a b的夹角为θ,则sin θ=__________.【答案】55【解析】依题意[]0,πθ∈,所以255cos ,sin 55||||a b a b θθ⋅===-== .故答案为.12.已知向量,a b 满足5,6,6==⋅=-a b a b ,则cos ,+=a a b ()A .3531-B .3519-C .3517D .3519【答案】D【思路导引】计算出()a ab ⋅+ 、a b + 的值,利用平面向量数量积可计算出cos ,a a b <+>的值.【解析】5a = ,6b = ,6a b ⋅=- ,()225619a a b a a b ∴⋅+=+⋅=-= .7a b +== ,因此()1919cos ,5735a ab a a b a a b ⋅+<+>===⨯⋅+ .故选D .题型五:平面向量数量积的计算【例1】(2021新高考2卷)已知向量0,||1,||||2,a b c a b c a b b c c a ++====⋅+⋅+⋅=_______.【答案】29-【解析】方法一:因为0=++c b a ,所以()02=++cb a ,即0222222=+++++c b c a b a c b a所以0222441=+++++c b c a b a ,所以9222-=++c b c a b a ,所以29-=++c b c a b a 方法二:因为0=++c b a ,所以c b a -=+,所以()()22c b a -=+,即2222cb a b a=++所以4241=++b a ,所以21-=b a ,同理b c a -=+,所以()()22b ca -=+,即2222b c a c a =++,所以4241=++c a ,所以21-=c a ,同理a c b -=+,所以()()22a c b -=+,即2222a c b c b =++,所以1244=++c b ,所以27-=⋅c b ,所以29-=++c b c a b a 【例2】在△ABC 中,6,AB O =为△ABC 的外心,则AO AB ⋅等于A B .6C .12D .18【答案】D【解析】试题分析:如图,过点O 作OD AB ⊥于D ,则()36018AO AB AD DO AB AD AB DO AB ⋅=+⋅=⋅+⋅=⨯+=,应选D.【例3】已知边长为3的正2ABC BD DC = ,,则AB AD ⋅=()A .3B .9C .152D .6【例4】已知ABC 为等边三角形,AB =2,设点P ,Q 满足AP AB λ=,(1)AQ AC λ=-,R λ∈,若2BQ CP ⋅=-,则λ=()A .12B .12C .12±D故选:A.【例5】在ABC 中,6A π=,||AB =||4AC =,3BD BC =,则AB AD ⋅=______.【答案】24-【分析】利用基底,AB AC 3AD AB BD AB BC =+=+ ,BC AC = 23AD AB AC ∴=-+ ,∴()232AB A AB AD AB AB C =⋅-+=-⋅ 【题型专练】1.如图,在△ABC 中,AD ⊥AB ,BC =,1AD = ,则AC AD ⋅=()A .B CD .3-2.在ABC 中,3AB AC ==,DC BD 2=﹒若4AD BC ⋅=,则AB AC ⋅=______.3.ABC 中,90C ∠=︒,2AC =,P 为线段BC 上任一点,则AP AC ⋅=()A .8B .4C .2D .64.已知ABC 为等边三角形,D 为BC 的中点,3AB AD ⋅=,则BC =()A BC .2D .45.如图,在ABC 中,3BAC ∠=,2AD DB =,P 为CD 上一点,且满足2AP mAC AB =+,若||3AC =,||4AB =,则AP CD ⋅的值为()A .-3B .1312-C .1312D .1126.在平行四边形ABCD 中,AC =6,AB AD ⋅=5,则BD =____________.【详解】AC AB BC AB AD =+=+ ,则2AC AB = 236226AD AB AD +=-⋅=,AD AB - ,则222BD AD AB AD =-⋅+ 7.已知在ABC 中,90C ∠=︒,4CA =,3CB =,D 为BC 的中点,2AE EB =,CE 交AD 于F ,则CE AD ⋅=_______【答案】73-##123-题型六:平面向量的模问题【例1】已知(1)t =,a ,(6)t =-,b ,则|2|+a b 的最小值为________.【答案】52【解析】:()()()40205362444462262,2222222+-=+-+++=-++=-+=+t t t t t t t t t t a对称轴2=t ,所以当2=t 时,524040202=+-=a 【例2】(2021新高考1卷)已知O 为坐标原点,点1(cos ,sin )P αα,2(cos ,sin )P ββ-,3(cos(),sin())P αβαβ++,(1,0)A ,则:A .12||||OP OP = B .12||||AP AP =C .312OA OP OP OP ⋅=⋅D .123OA OP OP OP ⋅=⋅ 【答案】AC 【解析】【详解】A :1(cos ,sin )OP αα=,2(cos ,sin )OP ββ=- ,所以1||1OP == ,2||1OP == ,故12||||OP OP = ,正确;B :1(cos 1,sin )AP αα=- ,2(cos 1,sin )AP ββ=-- ,所以1||2|sin |2AP α===== ,同理2||2|sin |2AP β== ,故12||,||AP AP 不一定相等,错误;C :由题意得:31cos()0sin()cos()OA OP αβαβαβ⋅=⨯++⨯+=+,12cos cos sin (sin )cos()OP OP αβαβαβ⋅=⋅+⋅-=+ ,正确;D :由题意得:11cos 0sin cos OA OP ααα⋅=⨯+⨯= ,23cos cos()(sin )sin()OP OP βαββαβ⋅=⨯++-⨯+()()()cos βαβcos α2β=++=+,故一般来说123OA OP OP OP ⋅≠⋅故错误;故选:AC【例3】已知向量a ,b 的夹角为60°,||2=a ,||1=b ,则|2|+a b =.【答案】324211244+⨯⨯⨯+====+3212==【例4】已知a 与b 均为单位向量,其中夹角为θ,有下列四个命题1p :||1+>a b ⇔θ∈[0,23π)2p :||1+>a b ⇔θ∈(23π,π]3p :||1->a b ⇔θ∈[0,3π)4p :||1->a b ⇔θ∈(3π,π]其中真命题是(A )1p ,4p (B)1p ,3p (C)2p ,3p (D)3p ,4p 【答案】A【解析】由||1+>a b 得,221∙>a +2a b +b ,即∙a b >12-,即cos θ=||||∙a b a b >12-,∵θ∈[0,π],∴θ∈[0,23π),由||1->a b 得,22-1∙>a 2a b +b ,即∙a b <12,即cos θ=||||∙a b a b <12,∵θ∈[0,π],∴θ∈(3π,π],故选A .【例5】设a ,b 是两个非零向量A .若||||||+=-a b a b ,则⊥a bB .若⊥a b ,则||||||+=-a b a b C .若||||||+=-a b a b ,则存在实数λ,使得λ=b a D .若存在实数λ,使得λ=b a ,则||||||+=-a b a b 【答案】C【解析】对于A b b a a2222-=⇒+-=+⋅+⇒=θ,所以1cos -=θ,所以︒=180θ,所以A 错,B 错;C 对,D 有可能为︒0【题型专练】1.设向量(10),a =,22()22=-b ,若t =+c a b (t ∈R),则||c 的最小值为A B .1C .2D .12【答案】C【解析】()⎪⎪⎭⎫ ⎝⎛-+=⎪⎪⎭⎫ ⎝⎛-+=+=t t t b t a c 22,22122,220,12222221⎪⎪⎭⎫ ⎝⎛-+⎪⎪⎭⎫ ⎝⎛+=t t 222122122121212222≥+⎪⎪⎭⎫ ⎝⎛+=++=+++=t t t t t t 2.已知向量(1,2)a =- ,(21,1)b m =- ,且a b ⊥,则|2|a b -= ()A .5B .4C .3D .23.已知向量a ,b满足1a =,2b =,a b -=,则2a b +=()A .B .C D4.已知[02π)αβ∈、,,(cos ,sin )a αα=r,(cos(),sin())b αβαβ=++,且23a b -=,则β可能为()A .π3B .2π3C .πD .4π3【答案】BD【分析】根据向量模的运算列方程,化简求得cos β的值,进而求得正确答案.5.平面向量a 与b 的夹角为60︒,(3,4),||1==a b ,则|2|a b += _____________.6.已知向量,a b 满足||2,(2,2)a b == ,且|2|6a b += ,则||a b += __________.7.设,a b 为单位向量,且||1+=a b ,则||a b -=______________.【解析】因为,a b为单位向量,所以1a b ==r r所以1a b +==,解得:21a b ⋅=-所以a b -==8.设a ,b 均为单位向量,则“33-=+a b a b ”是“a ⊥b ”的A .充分而不必要条件B .必要而不充分条件C .充分必要条件D .既不充分也不必要条件【答案】C【解析】∵33-=+a b a b ,∴22(3)(3)-=+a b a b ,∴2269-⋅+=a ab b 2296+⋅+a a b b ,又||||1==a b ,∴0⋅=a b ,∴⊥a b ;反之也成立,故选C .9.已知向量a ,b 夹角为045,且|a |=1,|2-a b |b |=.【答案】.【解析】∵|2-a b |=平方得224410-= a a b +b ,即260--=|b |b |,解得|b |=(舍)题型七:平面向量的投影问题【例1】已知向量(2,1),(1,1)a b =-= ,则a 在b上的投影向量的模为()A B .12C .2D .1【例2】已知6a =,3b =,向量a 在b 方向上投影向量是4e ,则a b ⋅ 为()A .12B .8C .-8D .2【例3】已知平面向量a ,b ,满足2a =,1b =,a 与b 的夹角为23π,2b 在a 方向上的投影向量为()A .1-B .12aC .12a - D .1【例4】已知平面向量a ,b 满足2=a ,()1,1b =,a b +=r r a 在b 上的投影向量的坐标为()A .22⎛ ⎝⎭B .()1,1C .()1,1--D .⎛ ⎝⎭【例5】已知O 为正三角形ABC 的中心,则向量OA 在向量AB 上的投影向量为()A .ABB C .12AB-D .12AB故选:C【例6】设向量a 在向量b 上的投影向量为m ,则下列等式一定成立的是()A .||a b m bb ⋅=⋅ B .2||a b m bb ⋅=⋅ C .m b a b⋅=⋅ D .ma b a⋅=⋅【题型专练】1.已知()1,2a = ,()1,2b =- ,则a 在b上的投影向量为()A .36,55⎛⎫- ⎪B .36,55⎛⎫- ⎪C .36,55⎛⎫-- ⎪D .36,55⎛⎫ ⎪2.如图,在平面四边形ABCD 中,120ABC BCD ∠=∠= ,AB CD =,则向量CD 在向量AB 上的投影向量为()A .2AB -B .12AB -C .12AB D .2AB 【答案】B【分析】根据图形求出向量AB 与CD的夹角,再根据投影向量的公式进行求解即可.【详解】延长AB ,DC 交于点E ,如图所示,3.已知向量()1,3a =,()2,4b =-,则下列结论正确的是()A .()a b a+⊥r r r B .2a b +=C .向量a 与向量b 的夹角为34πD .b 在a的投影向量是()1,34.已知()3,1a =-,()1,2b =,下列结论正确的是()A .与b同向共线的单位向量是⎝⎭B .a 与bC .向量a在向量b 上的投影向量为12,55⎛⎫ ⎪⎝⎭D .15a b b⎛⎫-⊥ ⎪ 5.关于平面向量,有下列四个命题,其中说法正确的是()A .若1,,120a b a b ===︒,则()2a b a+⊥r r r B .点()()1,1,3,2M N --,与向量MN同方向的单位向量为43,55⎛⎫- ⎪⎝⎭C .若20a b a b a +=-=≠ ,则+r r a b 与a b - 的夹角为60°D .若向量()()2,1,6,2a b =-= ,则向量b 在向量a 上的投影向量为2a-同方向的单位向量为6.己知空间向量||3,||2a b ==,且2a b ⋅=,则b 在a 上的投影向量为________.【答案】29a ##29a7.已知1a =,2b =,且()a ab ⊥+,则a 在b 上的投影向量为()A .b -B .bC .14b- D .14b【答案】C 【详解】因为()a a b ⊥+ ,所以()0a a b ⋅+= ,即220,0a a b a a b +⋅=+⋅= ,又因为1a = ,设,a b 的夹角为θ,所以1a b ⋅=-,a 在b 上的投影为:cos b a b a θ⋅=⋅ ,所以a 在b 上的投影向量为214cos b a b b b ba b θ⋅⋅=⋅=⋅- .故选:C8.已知点(1,1)A -、(1,2)B 、(2,1)C --、(3,4)D ,则向量AB 在CD 方向上的投影为ABC.D.【答案】A【解析】AB =(2,1),CD =(5,5),则向量AB 在向量CD方向上的射影为22325515255)5,5()1,2(cos 22=⨯+⨯=+⋅==CD AB AB θ9.若向量,a b满足22a a b =+= ,则a 在b 方向上投影的最大值是AB.CD.【答案】B【详解】由题意2,22a a b =+= ,所以2||4164b a b +⋅+=,设,a b 的夹角为θ,则2||8cos 120b b θ++= ,所以212cos 8b bθ+=- ,所以a 在b 方向上投影为2123cos 2()(48b b a bb θ+=⨯-=-+,因为3b b +≥cos a θ≤ ,故选B.题型八:万能建系法解决向量问题边长为a 的等边三角形已知夹角的任意三角形正方形矩形平行四边形直角梯形等腰梯形圆建系必备(1)三角函数知识cos ,sin x r y r q q ==;(2)向量三点共线知识(1)OC OB OAl l =+-(对面女孩看过来).【例1】如图,在等腰梯形ABCD 中,2,3,4AB BC CD BC BE ==== ,则CA DE ⋅=()A .43B .154-C .558-D .6516-3315,0,,0,1,D C A ⎛⎛⎫⎛⎫【例2】如图,正八边形ABCDEFGH 中,若AE AC AF λμ=+()R λμ∈,,则λμ+的值为________.正八边形的中心【详解】、HD BF 所在的直线分别为x y 、轴建立平面直角坐标系,正八边形的中心M 点,3608⎛∠=∠=∠=∠= ⎝AOB COB AOH EOD 18045135-= ,所以22.5∠= BAC ,13522.5112.5∠-∠=-= HAB CAB ,所以∠HAC y 轴,、AOM MOC 为等腰直角三角形,2,则2=====OD OF OE OA OC ,()0,2F ,2===OM MC ,所以()2,2--A ,(2,-C【点睛】本题主要考查了平面向量坐标法解决几何问题,建立坐标系是解题的关键,还考查了向量的加法运算,考查方程思想及转化思想,属于中档题.【题型专练】1.如图,在梯形ABCD 中,//AB DC ,10AB =,7BC =,2CD =,5AD =,则AC BD ⋅=___________.则5,02A ⎛⎫- ⎪⎝⎭,532,2C ⎛⎫ ⎪ ⎪⎝⎭,15,02B ⎛⎫ ⎪⎝⎭,530,2D ⎛ ⎝953,22AC ⎛⎫∴= ⎪ ⎪⎝⎭ ,1553,22BD ⎛⎫=- ⎪ ⎪⎝⎭,AC BD ∴⋅ 故答案为:15-.2.已知正方形ABCD 的边长为2,点P 满足1()2AP AB AC =+ ,则||PD = _________;PB PD ⋅=_________.【答案】(1).(2).1-【解析】以点A 为坐标原点,AB 、AD 所在直线分别为x 、y 轴建立如下图所示的平面直角坐标系,则点()0,0A 、()2,0B 、()2,2C 、()0,2D ,()()()()1112,02,22,1222AP AB AC =+=+= ,则点()2,1P ,()2,1PD ∴=-,()0,1PB =- ,因此,PD == ()021(1)1PB PD ⋅=⨯-+⨯-=-.题型九:平面向量中的最值范围问题【例1】如下图,在平面四边形ABCD 中,AB BC ⊥,AD CD ⊥,3BCD π∠=,CB CD ==M 为边BC 上的动点,则AM DM ⋅的最小值为()A .83B .214C .114-D .133-【例2】ABC 是边长为4的等边三角形,点D 、E 分别在边AC 、BC 上,且DE BC ⊥,则DA DE ⋅的最小值为()AB .C .3D .-3则(0,0),(2,23),(4,0)C A B【例3】四边形ABCD 中,4AB =,60A B ∠=∠=︒,150D ∠=︒,则DA DC ⋅的最小值为()AB .C .3D .-3∴90,60DCB E ∠=︒∠= ,设CE x =,则3,DC x DA =∴()423cos150DA DC x x ⋅=-⋅⋅ 所以当1x =时,DA DC ⋅的最小值为【例4】如图,在梯形ABCD 中,//AD BC ,2AD =,9BC =,5AB =,cos 5B =,若M ,N 是线段BC上的动点,且1MN = ,则DM DN ⋅的最小值为()A .134B .132C .634D .352//AD BC ,32AD =,9BC =,5AB =(9,0)C ∴,∴3cos 5A xB AB ==,3,4A A x y ==9(3,4),(,4)2A D ∴,【例5】已知边长为2的菱形ABCD 中,点F 为BD 上一动点,点E 满足2BE EC =,3AE BD ⋅=-,则AF BE⋅的最小值为()A .0B .23C .43D .2【例6】已知向量a,b,c共面,且均为单位向量,0a b⋅=,则ab c++的最大值是()A B C1D1【例7】骑自行车是一种能有效改善心肺功能的耐力性有氧运动,深受大众喜爱,如图是某一自行车的平面结构示意图,已知图中的圆A (前轮),圆DABE △,BEC △,ECD 均是边长为4的等边三角形.设点P 为后轮上的一点,则在骑动该自行车的过程中,AC BP ⋅的最小值为()A .12B .24C .36D .18故选:A【例8】已知AB AC ⊥ ,1AB t = ,AC t = ,若点P 是ABC ∆所在平面内一点,且4AB AC AP AB AC=+ ,则PB PC ⋅的最大值等于()A .13B .15C .19D .21【答案】A【解析】以题意,以点A 为坐标原点,以AB 所在的直线为x 轴,AC 所在的直线为y 轴建立如图所示的平面直角坐标系,所以点(1,4)P ,1(,0)B t,(0,)C t ,所以11(1,4)(1,4)(1)(1)4(4)PB PC t t t t ⋅=----=-⨯--⨯- =1174t t --17-≤=13(当且仅当14t t =,即12t =时取等号),所以PB PC ⋅ 的最大值为13.故选A .【题型专练】1.已知梯形ABCD 中,3B π∠=,2AB =,4BC =,1AD =,点P ,Q 在线段BC 上移动,且1PQ =,则DP DQ ⋅的最小值为()A .1B .112C .132D .1142.在ABC 中,902A AB AC ∠=== ,,点M 为边AB 的中点,点P 在边BC 上运动,则AP MP ⋅的最小值为___________.【答案】78【分析】建立平面直角坐标系,利用数量积的坐标运算求出3.ABC 为等边三角形,且边长为2,则AB 与BC 的夹角大小为120,若1BD =,CE EA =,则AD BE ⋅的。
平面向量高考试题精选(一)一.选择题(共14小题)1.(2015•XX)设D为△ABC所在平面内一点,,则()A.B.C.D.2.(2015•XX)已知,若P点是△ABC所在平面内一点,且,则的最大值等于()A.13 B.15 C.19 D.213.(2015•XX)设四边形ABCD为平行四边形,||=6,||=4,若点M、N满足,,则=()A.20 B.15 C.9 D.64.(2015•XX)△ABC是边长为2的等边三角形,已知向量,满足=2,=2+,则下列结论正确的是()A.||=1 B.⊥C.•=1 D.(4+)⊥5.(2015•XX)对任意向量、,下列关系式中不恒成立的是()A.||≤|||| B.||≤|||﹣|||C.()2=||2D.()•()=2﹣26.(2015•XX)若非零向量,满足||=||,且(﹣)⊥(3+2),则与的夹角为()A.B.C.D.π7.(2015•XX)已知非零向量满足||=4||,且⊥()则的夹角为()A.B.C.D.8.(2014•XX)在平面直角坐标系中,O为原点,A(﹣1,0),B(0,),C(3,0),动点D满足||=1,则|++|的取值X围是()A.[4,6]B.[﹣1,+1]C.[2,2]D.[﹣1,+1] 9.(2014•桃城区校级模拟)设向量,满足,,<>=60°,则||的最大值等于()A.2 B.C.D.110.(2014•XX)已知菱形ABCD的边长为2,∠BAD=120°,点E、F分别在边BC、DC上,=λ,=μ,若•=1,•=﹣,则λ+μ=()A.B.C.D.11.(2014•XX)设,为非零向量,||=2||,两组向量,,,和,,,,均由2个和2个排列而成,若•+•+•+•所有可能取值中的最小值为4||2,则与的夹角为()A.B.C.D.012.(2014•XX)平面向量=(1,2),=(4,2),=m+(m∈R),且与的夹角等于与的夹角,则m=()A.﹣2 B.﹣1 C.1 D.213.(2014•新课标I)设D,E,F分别为△ABC的三边BC,CA,AB的中点,则+=()A.B. C.D.14.(2014•XX)设M为平行四边形ABCD对角线的交点,O为平行四边形ABCD所在平面内任意一点,则等于()A.B.2C.3D.4二.选择题(共8小题)15.(2013•XX)设、为单位向量,非零向量=x+y,x、y∈R.若、的夹角为30°,则的最大值等于.16.(2013•)已知点A(1,﹣1),B(3,0),C(2,1).若平面区域D由所有满足(1≤λ≤2,0≤μ≤1)的点P组成,则D的面积为.17.(2012•XX)如图,在平行四边形ABCD中,AP⊥BD,垂足为P,且AP=3,则=.18.(2012•)己知正方形ABCD的边长为1,点E是AB边上的动点.则的值为.19.(2011•XX)已知直角梯形ABCD中,AD∥BC,∠ADC=90°,AD=2,BC=1,P是腰DC上的动点,则的最小值为.20.(2010•XX)已知平面向量满足,且与的夹角为120°,则||的取值X围是.21.(2010•XX)如图,在△ABC中,AD⊥AB,,,则=.22.(2009•XX)若等边△ABC的边长为,平面内一点M满足=+,则=.三.选择题(共2小题)23.(2012•XX)定义向量=(a,b)的“相伴函数”为f(x)=asinx+bcosx,函数f(x)=asinx+bcosx 的“相伴向量”为=(a,b)(其中O为坐标原点).记平面内所有向量的“相伴函数”构成的集合为S.(1)设g(x)=3sin(x+)+4sinx,求证:g(x)∈S;(2)已知h(x)=cos(x+α)+2cosx,且h(x)∈S,求其“相伴向量”的模;(3)已知M(a,b)(b≠0)为圆C:(x﹣2)2+y2=1上一点,向量的“相伴函数”f(x)在x=x0处取得最大值.当点M在圆C上运动时,求tan2x0的取值X围.24.(2007•XX)设F1、F2分别是椭圆=1的左、右焦点.(Ⅰ)若P是第一象限内该椭圆上的一点,且,求点P的作标;(Ⅱ)设过定点M(0,2)的直线l与椭圆交于不同的两点A、B,且∠AOB为锐角(其中O为坐标原点),求直线l的斜率k的取值X围.平面向量高考试题精选(一)参考答案与试题解析一.选择题(共14小题)1.(2015•XX)设D为△ABC所在平面内一点,,则()A.B.C.D.解:由已知得到如图由===;故选:A.2.(2015•XX)已知,若P点是△ABC所在平面内一点,且,则的最大值等于()A.13 B.15 C.19 D.21解:由题意建立如图所示的坐标系,可得A(0,0),B(,0),C(0,t),∵,∴P(1,4),∴=(﹣1,﹣4),=(﹣1,t﹣4),∴=﹣(﹣1)﹣4(t﹣4)=17﹣(+4t),由基本不等式可得+4t≥2=4,∴17﹣(+4t)≤17﹣4=13,当且仅当=4t即t=时取等号,∴的最大值为13,故选:A.3.(2015•XX)设四边形ABCD为平行四边形,||=6,||=4,若点M、N满足,,则=()A.20 B.15 C.9 D.6解:∵四边形ABCD为平行四边形,点M、N满足,,∴根据图形可得:=+=,==,∴=,∵=•()=2﹣,2=22,=22,||=6,||=4,∴=22=12﹣3=9故选:C4.(2015•XX)△ABC是边长为2的等边三角形,已知向量,满足=2,=2+,则下列结论正确的是()A.||=1 B.⊥C.•=1 D.(4+)⊥解:因为已知三角形ABC的等边三角形,,满足=2,=2+,又,所以,,所以=2,=1×2×cos120°=﹣1,4=4×1×2×cos120°=﹣4,=4,所以=0,即(4)=0,即=0,所以;故选D.5.(2015•XX)对任意向量、,下列关系式中不恒成立的是()A.||≤|||| B.||≤|||﹣|||C.()2=||2D.()•()=2﹣2解:选项A正确,∵||=|||||cos<,>|,又|cos<,>|≤1,∴||≤||||恒成立;选项B错误,由三角形的三边关系和向量的几何意义可得||≥|||﹣|||;选项C正确,由向量数量积的运算可得()2=||2;选项D正确,由向量数量积的运算可得()•()=2﹣2.故选:B6.(2015•XX)若非零向量,满足||=||,且(﹣)⊥(3+2),则与的夹角为()A.B.C.D.π解:∵(﹣)⊥(3+2),∴(﹣)•(3+2)=0,即32﹣22﹣•=0,即•=32﹣22=2,∴cos<,>===,即<,>=,故选:A7.(2015•XX)已知非零向量满足||=4||,且⊥()则的夹角为()A.B.C.D.解:由已知非零向量满足||=4||,且⊥(),设两个非零向量的夹角为θ,所以•()=0,即2=0,所以cosθ=,θ∈[0,π],所以;故选C.8.(2014•XX)在平面直角坐标系中,O为原点,A(﹣1,0),B(0,),C(3,0),动点D满足||=1,则|++|的取值X围是()A.[4,6]B.[﹣1,+1]C.[2,2]D.[﹣1,+1]】解:∵动点D满足||=1,C(3,0),∴可设D(3+cosθ,sinθ)(θ∈[0,2π)).又A(﹣1,0),B(0,),∴++=.∴|++|===,(其中sinφ=,cosφ=)∵﹣1≤sin(θ+φ)≤1,∴=sin(θ+φ)≤=,∴|++|的取值X围是.故选:D.9.(2014•桃城区校级模拟)设向量,满足,,<>=60°,则||的最大值等于()A.2 B.C.D.1解:∵,∴的夹角为120°,设,则;=如图所示则∠AOB=120°;∠ACB=60°∴∠AOB+∠ACB=180°∴A,O,B,C四点共圆∵∴∴由三角形的正弦定理得外接圆的直径2R=当OC为直径时,模最大,最大为2故选A10.(2014•XX)已知菱形ABCD的边长为2,∠BAD=120°,点E、F分别在边BC、DC上,=λ,=μ,若•=1,•=﹣,则λ+μ=()A.B.C.D.解:由题意可得若•=(+)•(+)=+++=2×2×cos120°++λ•+λ•μ=﹣2+4μ+4λ+λμ×2×2×cos120°=4λ+4μ﹣2λμ﹣2=1,∴4λ+4μ﹣2λμ=3 ①.•=﹣•(﹣)==(1﹣λ)•(1﹣μ)=(1﹣λ)•(1﹣μ)=(1﹣λ)(1﹣μ)×2×2×cos120°=(1﹣λ﹣μ+λμ)(﹣2)=﹣,即﹣λ﹣μ+λμ=﹣②.由①②求得λ+μ=,故答案为:.11.(2014•XX)设,为非零向量,||=2||,两组向量,,,和,,,,均由2个和2个排列而成,若•+•+•+•所有可能取值中的最小值为4||2,则与的夹角为()A.B.C.D.0解:由题意,设与的夹角为α,分类讨论可得①•+•+•+•=•+•+•+•=10||2,不满足②•+•+•+•=•+•+•+•=5||2+4||2cosα,不满足;③•+•+•+•=4•=8||2cosα=4||2,满足题意,此时cosα=∴与的夹角为.故选:B.12.(2014•XX)平面向量=(1,2),=(4,2),=m+(m∈R),且与的夹角等于与的夹角,则m=()A.﹣2 B.﹣1 C.1 D.2解:∵向量=(1,2),=(4,2),∴=m+=(m+4,2m+2),又∵与的夹角等于与的夹角,∴=,∴=,∴=,解得m=2,故选:D13.(2014•新课标I)设D,E,F分别为△ABC的三边BC,CA,AB的中点,则+=()A.B. C.D.【解答】解:∵D,E,F分别为△ABC的三边BC,CA,AB的中点,∴+=(+)+(+)=+=(+)=,故选:A14.(2014•XX)设M为平行四边形ABCD对角线的交点,O为平行四边形ABCD所在平面内任意一点,则等于()A.B.2C.3D.4解:∵O为任意一点,不妨把A点看成O点,则=,∵M是平行四边形ABCD的对角线的交点,∴=2=4故选:D.二.选择题(共8小题)15.(2013•XX)设、为单位向量,非零向量=x+y,x、y∈R.若、的夹角为30°,则的最大值等于2.解:∵、为单位向量,和的夹角等于30°,∴=1×1×cos30°=.∵非零向量=x+y,∴||===,∴====,故当=﹣时,取得最大值为2,故答案为2.16.(2013•)已知点A(1,﹣1),B(3,0),C(2,1).若平面区域D由所有满足(1≤λ≤2,0≤μ≤1)的点P组成,则D的面积为3.解:设P的坐标为(x,y),则=(2,1),=(1,2),=(x﹣1,y+1),∵,∴,解之得∵1≤λ≤2,0≤μ≤1,∴点P坐标满足不等式组作出不等式组对应的平面区域,得到如图的平行四边形CDEF与其内部其中C(4,2),D(6,3),E(5,1),F(3,0)∵|CF|==,点E(5,1)到直线CF:2x﹣y﹣6=0的距离为d==∴平行四边形CDEF的面积为S=|CF|×d=×=3,即动点P构成的平面区域D的面积为3故答案为:317.(2012•XX)如图,在平行四边形ABCD中,AP⊥BD,垂足为P,且AP=3,则= 18.【解答】解:设AC与BD交于点O,则AC=2AO∵AP⊥BD,AP=3,在Rt△APO中,AOcos∠OAP=AP=3∴||cos∠OAP=2||×cos∠OAP=2||=6,由向量的数量积的定义可知,=||||cos∠PAO=3×6=18故答案为:1818.(2012•)己知正方形ABCD的边长为1,点E是AB边上的动点.则的值为1.【解答】解:因为====1.故答案为:119.(2011•XX)已知直角梯形ABCD中,AD∥BC,∠ADC=90°,AD=2,BC=1,P是腰DC上的动点,则的最小值为5.解:如图,以直线DA,DC分别为x,y轴建立平面直角坐标系,则A(2,0),B(1,a),C(0,a),D(0,0)设P(0,b)(0≤b≤a)则=(2,﹣b),=(1,a﹣b),∴=(5,3a﹣4b)∴=≥5.故答案为5.20.(2010•XX)已知平面向量满足,且与的夹角为120°,则||的取值X围是(0,].解:令用=、=,如下图所示:则由=,又∵与的夹角为120°,∴∠ABC=60°又由AC=由正弦定理得:||=≤∴||∈(0,]故||的取值X围是(0,]故答案:(0,]21.(2010•XX)如图,在△ABC中,AD⊥AB,,,则=.【解答】解:,∵,∴,∵,∴cos∠DAC=sin∠BAC,,在△ABC中,由正弦定理得变形得|AC|sin∠BAC=|BC|sinB,,=|BC|sinB==,故答案为.22.(2009•XX)若等边△ABC的边长为,平面内一点M满足=+,则=﹣2.解:以C点为原点,以AC所在直线为x轴建立直角坐标系,可得,∴,,∵=+=,∴M,∴,,=(,)•(,)=﹣2.故答案为:﹣2.三.选择题(共2小题)23.(2012•XX)定义向量=(a,b)的“相伴函数”为f(x)=asinx+bcosx,函数f(x)=asinx+bcosx 的“相伴向量”为=(a,b)(其中O为坐标原点).记平面内所有向量的“相伴函数”构成的集合为S.(1)设g(x)=3sin(x+)+4sinx,求证:g(x)∈S;(2)已知h(x)=cos(x+α)+2cosx,且h(x)∈S,求其“相伴向量”的模;(3)已知M(a,b)(b≠0)为圆C:(x﹣2)2+y2=1上一点,向量的“相伴函数”f(x)在x=x0处取得最大值.当点M在圆C上运动时,求tan2x0的取值X围.【解答】解:(1)g(x)=3sin(x+)+4sinx=4sinx+3cosx,其‘相伴向量’=(4,3),g(x)∈S.(2)h(x)=cos(x+α)+2cosx=(cosxcosα﹣sinxsinα)+2cosx=﹣sinαsinx+(cosα+2)cosx∴函数h(x)的‘相伴向量’=(﹣sinα,cosα+2).则||==.(3)的‘相伴函数’f(x)=asinx+bcosx=sin(x+φ),其中cosφ=,sinφ=.当x+φ=2kπ+,k∈Z时,f(x)取到最大值,故x0=2kπ+﹣φ,k∈Z.∴tanx0=tan(2kπ+﹣φ)=cotφ=,tan2x0===.为直线OM的斜率,由几何意义知:∈[﹣,0)∪(0,].令m=,则tan2x0=,m∈[﹣,0)∪(0,}.当﹣≤m<0时,函数tan2x0=单调递减,∴0<tan2x0≤;当0<m≤时,函数tan2x0=单调递减,∴﹣≤tan2x0<0.综上所述,tan2x0∈[﹣,0)∪(0,].24.(2007•XX)设F1、F2分别是椭圆=1的左、右焦点.(Ⅰ)若P是第一象限内该椭圆上的一点,且,求点P的作标;(Ⅱ)设过定点M(0,2)的直线l与椭圆交于不同的两点A、B,且∠AOB为锐角(其中O为坐标原点),求直线l的斜率k的取值X围.】解:(Ⅰ)易知a=2,b=1,.∴,.设P(x,y)(x>0,y>0).则,又,联立,解得,.(Ⅱ)显然x=0不满足题设条件.可设l的方程为y=kx+2,设A(x1,y1),B(x2,y2).联立∴,由△=(16k)2﹣4•(1+4k2)•12>016k2﹣3(1+4k2)>0,4k2﹣3>0,得.①又∠AOB为锐角,∴又y1y2=(kx1+2)(kx2+2)=k2x1x2+2k(x1+x2)+4∴x1x2+y1y2=(1+k2)x1x2+2k(x1+x2)+4===∴.②综①②可知,∴k的取值X围是.。
平面向量的练习题及答案平面向量的练习题及答案典例精析题型一向量的有关概念下列命题:①向量AB的长度与BA的长度相等;②向量a与向量b平行,则a与b的方向相同或相反;③两个有共同起点的单位向量,其终点必相同;④向量AB与向量CD是共线向量,则A、B、C、D必在同一直线上.其中真命题的序号是.①对;零向量与任一向量是平行向量,但零向量的方向任意,故②错;③显然错;AB与CD是共线向量,则A、B、C、D可在同一直线上,也可共面但不在同一直线上,故④错.故是真命题的只有①.正确理解向量的有关概念是解决本题的关键,注意到特殊情况,否定某个命题只要举出一个反例即可.下列各式:①|a|=a?a;② ?c=a? ;③OA-OB=BA;④在任意四边形ABCD中,M为AD的中点,N为BC的中点,则AB+=2;⑤a=,b=,且a与b不共线,则⊥.其中正确的个数为A.1B.C.D.4选D.| a|=a?a正确;?c≠a? ; OA-OB=BA正确;如下图所示,MN=++且MN=++,两式相加可得2MN=AB+DC,即命题④正确;因为a,b不共线,且|a|=|b|=1,所以a+b,a-b 为菱形的两条对角线,即得⊥.所以命题①③④⑤正确.题型二与向量线性运算有关的问题如图,ABCD是平行四边形,AC、BD交于点O,点M在线段DO上,且=,点N在线段OC上,且=,设=a, =b,试用a、b 表示,,1313.在?ABCD中,AC,BD交于点O, 111所以==a-b),22=2=2=2.11又=,=,31所以=AD+=b+1115=b=a,266111=+=+4412==a+b). 323所以=-1511=-+)=a.6626向量的线性运算的一个重要作用就是可以将平面内任一向量由平面内两个不共线的向量表示,即平面向量基本定理的应用,在运用向量解决问题时,经常需要进行这样的变形.O是平面α上一点,A、B、C是平面α上不共线的三点,平面α内的动点P满足OP=1OA+λ,若λ=2时,则PA?的值为 .由已知得-=λ,11即AP=λ,当λ=时,得AP=,2所以2AP=AB+AC,即AP -AB=AC-AP,所以BP=PC,所以PB+PC=PB +BP=0,所以? =?0=0,故填0.题型三向量共线问题设两个非零向量a与b不共线.若=a+b,=2a+8b,=3,求证:A,B,D三点共线;试确定实数k,使ka+b和a+kb共线. 1证明:因为=a+b,=2a+8b,=3,所以BD=BC +CD=2a+8b+3=5=5AB,所以AB, BD共线.又因为它们有公共点B,所以A,B,D三点共线.因为ka+b和a+kb共线,所以存在实数λ,使ka+b=λ,所以a=b.因为a与b是不共线的两个非零向量,所以k-λ=λk-1=0,所以k2-1=0,所以k=±1.向量共线的充要条件中,要注意当两向量共线时,通常只有非零向量才能表示与之共线的其他向量,要注意待定系数法的运用和方程思想.证明三点共线问题,可用向量共线来解决,但应注意向量共线与三点共线的区别与联系,当两向量共线且有公共点时,才能得出三点共线.已知O是正三角形BAC内部一点,+2+3=0,则△OAC的面积与△OAB的面积之比是如图,在三角形ABC中, OA+2OB+3OC=0,整理可得OA+OC+2=0.1令三角形ABC中AC边的中点为E,BC边的中点为F,则点O 在点F与点E连线的处,即OE=2OF.1hh1设三角形ABC中AB边上的高为h,则S△OAC=S△OAE+S△OEC?OE? 的情形,而向量平行则包括共线的情形.2.判断两非零向量是否平行,实际上就是找出一个实数,使这个实数能够和其中一个向量把另外一个向量表示出来.3.当向量a与b共线同向时,|a+b|=|a|+|b|;当向量a与b共线反向时,|a+b|=||a|-|b||;当向量a与b不共线时,|a+b|<|a|+|b|.典例精析题型一平面向量基本定理的应用如图?ABCD中,M,N分别是DC,BC中点.已知AM=a,=b,试用a,b表示,AD与AC易知AM=AD+DM 1=+,1AN=AB+BN=AB2AD, 1a,??2即? ??1?b.?2?22所以=b-a),=2a-b).32所以=+=a+b).运用平面向量基本定理及线性运算,平面内任何向量都可以用基底来表示.此处方程思想的运用值得仔细领悟.已知D为△ABC的边BC上的中点,△ABC所在平面内有一点P,满足++=0等于 1B.C.1 D.1A.由于D为BC边上的中点,因此由向量加法的平行四边形法则,易知PB+PC=2PD,因此结合PA+BP+CP=0即得PA=2PD,因此易得P,A,D三点共线且D是PA=1,即选C.题型二向量的坐标运算已知a=,b=,u=a+2b,v=2a-b.若u=3v,求x;若u∥v,求x.因为a=,b=,所以u=+2=+=,v=2-=.u=3v?=3=,所以2x+1=6-3x,解得x=1.u∥v ?=λ2x?1??,-3=0?x=1.对用坐标表示的向量来说,向量相等即坐标相等,这一点在解题中很重要,应引起重视.nπnπ已知向量an=sinn∈N*),|b|=1.则函数y=|a1+b|2+|a2+b|2+|a3+b|2+ (77)+|a141+b|2的最大值为.π设b=,所以y=|a1+b|2+|a2+b|2+|a3+b|2+…+|a141+b|2=2+b2+2+…+2+b2+2=282+2cos,所以y的最大7777 值为284.题型三平行向量的坐标运算已知△ABC的角A,B,C所对的边分别是a,b,c,设向量m=,n=,p=.若m∥n,求证:△ABC为等腰三角形;π若m⊥p,边长c=2,角CABC的面积.证明:因为m∥n,所以asin A=bsin B.由正弦定理,得a2=b2,即a=b.所以△ABC为等腰三角形.因为m⊥p,所以m·p=0,即a+b=0,所以a+b=ab.由余弦定理,得4=a2+b2-ab=2-3ab,所以2-3ab-4=0.所以ab=4或ab=-1.113所以S△ABC=absin C3.22设m=,n=,则①m∥n?x1y2=x2y1;②m⊥n?x1x2+y1y2=0.已知a,b,c分别为△ABC的三个内角A,B,C的对边,向量m =,n=.若m⊥n,且a+b=10,则△ABC周长的最小值为A.10-3C.10-23B.10+5D.10+231由m⊥n得2cos2C-3cos C-2=0,解得cos C=-cos C=2,所以c2=a2+b2-2abcos例题讲解1、下列命题中,正确的是A.若a?b,则a与b的方向相同或相反B.若a?b,b?c,则a?cC.若两个单位向量互相平行,则这两个单位向量相等D.若a=b,b=c,则a=c.122、已知平面内不共线的四点0,A,B,C满足OB?OA?OC,则33|AB|:|BC|?A.3:1B.1:C.2:1D.1:23、已知向量a= ,b= ,若2a–b与b共线,则实数n的值是 A.6B. C.3?23D3?234、向量AB?按向量a?平移后得向量A?B?,则A?B?的坐标为A. B.C. D.、如图,在△ABC中,D是BC的中点,E是DC的中点,F是EC的中点,若AB?a,AC?b,则AF? A.14a?34b B.14a?34b C.18a?78bD.18a?78b6、若函数f?cos2x?1的图象按向量a平移后,得到的图象关于原点对称,则向量a可以是A. B. C.424二、填空题:共3小题7、设a,b是两个不共线的非零向量,若向量ka?2b与8a?kb的方向相反,则k?8、若a?b?c,化简3?2?2?、已知正△ABC的边长为 1 ,则BC?2CA?3AB等于检测题1、已知非零向量a,b满足a=?b,b=?a,则?= A.?1B.?1C.0D.02、设a,b是非零向量,则下列不等式中不恒成立的是A.a?b??B.abC.a?b?a?bD.a?a?b、已知a=,b=,?,则实数k的值是A.53B.2511C.?12D.?174、已知平面向量a?,b?,则向量a?b. A.平行于第一、三象限的角平分线B.平行于y轴 C.平行于第二、四象限的角平分线D.平行于x轴5、将二次函数y?x2的图象按向量a平移后,得到的图象与一次函数y?2x?5的图象只有一个公共点,则向量a?A. B. C. D.6. 如图,在正六边形ABCDEF中,已知AC?c,AD?d,则AE? .巩固练习1. 若e1,e2是夹角为的单位向量,且a?2e1?e2,b??3e1?2e2,则a?b?377A.1B. ?4C. ?D.222. 设a?,b?,c?则?c? A. B.0C.?3D.?11 答案 C3. 在?ABC中,已知向量AB?,BC?,则?ABC的面积等于 A.22B.24C.32D.2答案A4. 在?ABC中,a?5,b?8,C?60?,则BC?CA的值为A.10 B.20C.-10D.205. 已知下列命题中:若k?R,且kb?0,则k?0或b?0,若a?b?0,则a?0或b?0若不平行的两个非零向量a,b,满足|a|?|b|,则??0 ??若a与b平行,则a?b?|a|?|b|p2?q2?2其中真命题的个数是A.0B.1C.2D.36. 已知点O为△ABC外接圆的圆心,且OA?OB?CO?0,则△ABC的内角A等于 A.30?B.60? C.90?D.120?. 在平行四边形ABCD中,AC与BD交于点O,E是线段OD的中点,AE线与CD交于点F.若AC?a,BD?b,则AF?的延长bD.a?3123bA.14a?12b B.23a?13b C.12a?14答案 B8. 已知a?1,b?6,a??2,则向量a与向量b的夹角是 A.6B.4C.3D.2答案 C9. 在平行四边形ABCD中,若BC?BA?BC?AB,则必有A.ABCD是菱形B.ABCD是矩形C.ABCD是正方形D.以上皆错10.已知向量a?,向量b?则|2a?b|的最大值,最小值分别是A.42,0B.4,42C.16,0D.4,0 二.填空题11. 已知Rt△ABC的斜边BC=5,则AB?BC?BC?CA?CA?AB 的值等于 . 答案-2512. 设p = ,q = ,若p与q的夹角??[0,2),则x的取值范围是13. 若平面向量a,b满足??1,a?b平行于x轴,b?,则a?答案-=解析 a?b?或,则a 或a.14. 在?ABC中,O为中线AM上一个动点,若AM=2,则OA?的最小值是________。
平面向量经典例题30道一、选择题1.已知|→a| = 3, |→b| = 2, 向量→a 和→b 的夹角为π/3,则→a · →b= A. 3 B. √3 C. -3 D. -√32.已知|→a| = 1, |→b| = 2, →a 与→b 的夹角为π/2,若→a - →b 与→a垂直,则→a 与→b 的夹角为 A. π/6 B. π/4 C. π/3 D. π/23.已知|→a| = 1, |→b| = 2, →a 与→b 的夹角为π/4,若→a - λ→b 与→a +→b 共线,则实数λ 的值为A. -1/2 B. 1/2 C. -√2/4 D. √2/44.已知|→a| = 1, |→b| = 2, 向量→a 与→b 的夹角为π/4,若(→a +→b) · (→a - λ→b) = 0,则实数λ 的值为A. -1 B. 1 C. -√2 D. √25.已知|→a| = 1, |→b| = 2, 向量→a 与→b 的夹角为π/3,若(→a +→b) · (→a - →b) = 0,则实数λ 的值为A. -1 B. 1 C. -√2 D.√26.已知向量a = (-2, 3),b = (1, -1),若a 与b 的夹角为钝角,则a · b 等于( ) A. -4 B. -2 C. 0 D. 27.若平面向量a,b 满足|a| = 1,|b| = 2,且向量a,b 的夹角为π/4,若 a - λb 与 b 垂直,则实数λ 的值为( ) A. -1/2 B. 1/2 C. -√2/4 D.√2/48.已知F1,F2 是椭圆C:(x^2)/9 + (y^2)/4 = 1 的两个焦点,P 是C 上一点,且与F1,F2 在同一直线上,若|PF1| × |PF2| = 12,则P 到椭圆C 的两个焦点的距离之和为( ) A. 8 B. 9 C. 10 D. 129.已知a = ,b = (-1, 1),若a 与b 的夹角为锐角,则实数k 的取值范围是( ) A. (0, +∞) B. (0, 1) ∪ (1, +∞) C. (-∞, 0) ∪ (0, +∞) D. (-∞, 0) ∪(1, +∞)10.已知向量a = (-2, 4),b = (-1, 2),若向量a - λb 与b 共线,则实数λ 的值为_______.11.已知向量a = (-2, 3),b = (λ, 2),若a 与b 的夹角为锐角,则λ 的取值范围是_______.12.已知向量a = (-2, 3),b = (-4, 1),若a 与b 的夹角为锐角,则实数m的取值范围是_______.13.已知向量a = (-2, 1),b = (λ, 2),若a 与b 的夹角为锐角,则λ 的取值范围是_______.14.在△ABC中,AB = (-1, 1),AC = (2, 3),则∠BAC = _______(用反三角函数的值表示)15.在△ABC中,AB = (-4, 3),AC = (1, 2),则BC = _______16.在△ABC中,AB = (-4, 3),AC = (-1, 2),且AB⊥AC,则BC = _______17.在△ABC中,AB = (2, -1),AC = (-4, 3),则BC = _______18.在△ABC中,AB = (3, -4),AC = (-2, 3),则BC = _______19.若点P 在直线l₁:x - 2y - 3 = 0 和直线l₂:3x + y - 1 = 0 的夹角平分线上,则点P 到直线l₃:x + 2y - 5 = 0 的距离为_______.20.已知等差数列{an} 中,a₁ = -1,且a₁,a₂,a₃ 三项及格率为5/4,若an= λ(n为正整数),则实数λ 的取值集合为_______.二、填空题21.已知|→a| = 3, |→b| = 4, 向量→a 与→b 的夹角为π/4,则→a · _______ = 9√2.22.已知|→a| = 2, |→b| = 4, 向量→a 与→b 的夹角为π/6,则_______ =(√3 + 1)/4.23.已知|→a| = 1, |→b| = 2, 向量→a 与→b 的夹角为π/4,若_______ =(-√5)/5,则实数λ 的值为_______.24.若|→a| = 1, |→b| = 2, 向量→a 与→b 的夹角为π/4,则_______ =_______.25.若|→a| = 1, |→b| = 2, 向量→a 与→b 的夹角为π/4,则_______ =_______.三、解答题26.若|→a| = 3, |→b| = 5, 向量→a 与→b 的夹角为π/6,求向量→a 在向量→b 上的投影.27.若|→a| = 1, |→b| = 2, 向量→a 与→b 的夹角为π/3,求(→a +→b) · (→a - λ→b).28.若|→a| = 1, |→b| = 2, 向量→a 与→b 的夹角为π/4,求(→a +λ→b) · (→a - λ→b).29.若|→a| = 1, |→b| = 2, 向量→a 与→b 的夹角为π/6,求(→a +λ→b) · (→a - λ→b).30.已知|a| = 1, |b| = 2, a与b的夹角为π/3, 若a - λb与b垂直,求实数λ的值.31.在△ABC中,AD为BC边上的中线,G为AD上靠近D的三等分点,若(1/2AB) · (AC - GC) = 0 ( ·表示向量的数量积),求AG与BC边的夹角.32.在△ABC中,AB = AC = 2, 点D在BC上,且BD = DC, E,F分别是AB,AC上的点,且AE/EB = AF/FC = 1/2, AD与EF交于点G, 求向量EF ·向量AD 的值.33.若点A(x,y)在圆x²+y²=4上运动时,点B(x-3,y-4)也在圆上运动,求线段AB中点M的轨迹方程.34.在△ABC中,D是BC的中点,E、F分别在AB、AC上,且EF平行于BC,AD与EF交于点M,BD=CD=1,AD=3,求向量EF ·向量BC.。
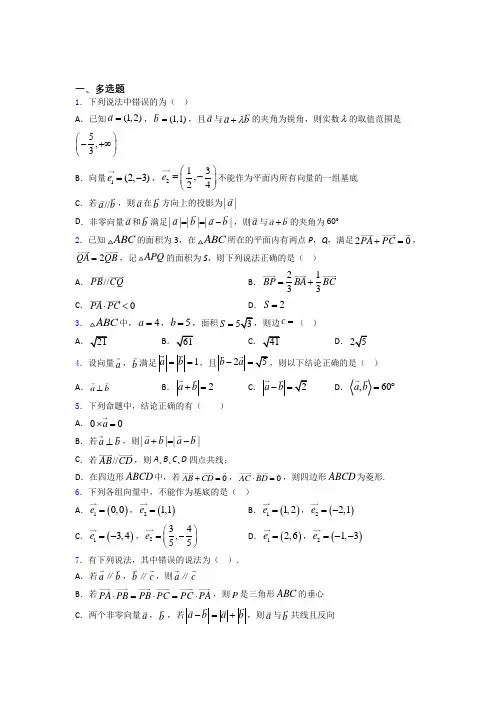
一、多选题1.下列说法中错误的为( )A .已知(1,2)a =,(1,1)b =,且a 与a b λ+的夹角为锐角,则实数λ的取值范围是5,3⎛⎫-+∞ ⎪⎝⎭B .向量1(2,3)e =-,213,24e ⎛⎫=- ⎪⎝⎭不能作为平面内所有向量的一组基底 C .若//a b ,则a 在b 方向上的投影为||aD .非零向量a 和b 满足||||||a b a b ==-,则a 与a b +的夹角为60°2.已知ABC 的面积为3,在ABC 所在的平面内有两点P ,Q ,满足20PA PC +=,2QA QB =,记APQ 的面积为S ,则下列说法正确的是( )A .//PB CQB .2133BP BA BC =+ C .0PA PC ⋅<D .2S =3.ABC 中,4a =,5b =,面积S =c =( )A B .61 C .41D .4.设向量a ,b 满足1a b ==,且25b a -=,则以下结论正确的是( ) A .a b ⊥ B .2a b += C .2a b -= D .,60a b =︒5.下列命题中,结论正确的有( )A .00a ⨯=B .若a b ⊥,则||||a b a b +=-C .若//AB CD ,则A 、B 、C 、D 四点共线;D .在四边形ABCD 中,若0AB CD +=,0AC BD ⋅=,则四边形ABCD 为菱形.6.下列各组向量中,不能作为基底的是( )A .()10,0e =,()21,1=eB .()11,2e =,()22,1e =-C .()13,4e =-,234,55⎛⎫=- ⎪⎝⎭e D .()12,6=e ,()21,3=--e7.有下列说法,其中错误的说法为( ). A .若a ∥b ,b ∥c ,则a ∥c B .若PA PB PB PC PC PA ⋅=⋅=⋅,则P 是三角形ABC 的垂心C .两个非零向量a ,b ,若a b a b -=+,则a 与b 共线且反向D .若a ∥b ,则存在唯一实数λ使得a b λ=8.下列命题中,正确的是( )A .在ABC ∆中,AB >,sin sin A B ∴>B .在锐角ABC ∆中,不等式sin cos A B >恒成立C .在ABC ∆中,若cos cos a A b B =,则ABC ∆必是等腰直角三角形D .在ABC ∆中,若060B =,2b ac =,则ABC ∆必是等边三角形9.(多选题)下列命题中,正确的是( )A .对于任意向量,a b ,有||||||a b a b +≤+;B .若0a b ⋅=,则00a b ==或;C .对于任意向量,a b ,有||||||a b a b ⋅≤D .若,a b 共线,则||||a b a b ⋅=±10.已知实数m ,n 和向量a ,b ,下列说法中正确的是( )A .()m a b ma mb -=-B .()m n a ma na -=-C .若ma mb =,则a b =D .若()0ma na a =≠,则m n = 11.下列命题中,正确的有( )A .向量AB 与CD 是共线向量,则点A 、B 、C 、D 必在同一条直线上B .若sin tan 0αα⋅>且cos tan 0αα⋅<,则角2α为第二或第四象限角 C .函数1cos 2y x =+是周期函数,最小正周期是2π D .ABC ∆中,若tan tan 1A B ⋅<,则ABC ∆为钝角三角形12.对于ABC ∆,有如下判断,其中正确的判断是( )A .若sin 2sin 2AB =,则ABC ∆为等腰三角形B .若A B >,则sin sin A B >C .若8a =,10c =,60B ︒=,则符合条件的ABC ∆有两个D .若222sin sin sin A B C +<,则ABC ∆是钝角三角形13.设,a b 是两个非零向量,则下列描述正确的有( )A .若||||||a b a b +=-,则存在实数λ使得a b λ=B .若a b ⊥,则||||a b a b +=-C .若||||||a b a b +=+,则a 在b 方向上的投影为||bD .若存在实数λ使得a b λ=,则||||||a b a b +=-14.下列命题中正确的是( )A .单位向量的模都相等B .长度不等且方向相反的两个向量不一定是共线向量C .若a 与b 满足a b >,且a 与b 同向,则a b >D .两个有共同起点而且相等的向量,其终点必相同15.下列命题中正确的是( )A .对于实数m 和向量,a b ,恒有()m a b ma mb -=-B .对于实数,m n 和向量a ,恒有()m n a ma na -=-C .若()ma mb m =∈R ,则有a b =D .若(,,0)ma na m n a =∈≠R ,则m n = 二、平面向量及其应用选择题16.在ABC 中,若 cos a b C =,则ABC 的形状是( )A .直角三角形B .等腰三角形C .等腰直角三角形D .等腰或直角三角形17.在△ABC 中,内角A 、B 、C 所对边分别为a 、b 、c ,若2cosA 3cosB 5cosC a b c ==,则∠B 的大小是( )A .12πB .6πC .4πD .3π 18.已知,a b 是两个单位向量,则下列等式一定成立的是( )A .0a b -=B .1a b ⋅=C .a b =D .0a b ⋅=19.已知在四边形ABCD 中, 2, 4,53AB a b BC a b CD a b =--=+=+,则四边形ABCD 的形状是( )A .矩形B .梯形C .平行四边形D .以上都不对 20.在ABC ∆中,D 为BC 中点,且12AE ED =,若BE AB AC λμ=+,则λμ+=( )A .1B .23-C .13- D .34-21.已知ABC 的面积为30,且12cos 13A =,则AB AC ⋅等于( ) A .72 B .144 C .150 D .30022.在ABC ∆中,601ABC A b S ∆∠=︒=,,则2sin 2sin sin a b c A B C -+-+的值等于( )A .3BCD .23.ABC 中,5AB AC ==,6BC =,则此三角形的外接圆半径是( )A .4B .72C .258D .259 24.已知ABC 所在平面内的一点P 满足20PA PB PC ++=,则::PAB PAC PBC S S S =△△△( )A .1∶2∶3B .1∶2∶1C .2∶1∶1D .1∶1∶225.已知1a =,3b =,且向量a 与b 的夹角为60︒,则2a b -=( )A .7B .3C .11D .1926.题目文件丢失!27.在矩形ABCD 中,3,3,2AB BC BE EC ===,点F 在边CD 上,若AB AF 3→→=,则AE BF→→的值为( ) A .0 B .833 C .-4 D .428.若两个非零向量a ,b 满足2a b a b b +=-=,则向量a b +与a 的夹角为( ) A .3π B .23π C .56π D .6π 29.如图所示,在ABC 中,点D 是边BC 上任意一点,M 是线段AD 的中点,若存在实数λ和μ,使得BM AB AC λμ=+,则λμ+=( )A .1-B .12-C .2-D .32- 30.如图所示,设P 为ABC ∆所在平面内的一点,并且1142AP AB AC =+,则BPC ∆与ABC ∆的面积之比等于( )A .25B .35C .34D .1431.奔驰定理:已知O 是ABC ∆内的一点,BOC ∆,AOC ∆,AOB ∆的面积分别为A S ,B S ,C S ,则0A B C S OA S OB S OC ⋅+⋅+⋅=.“奔驰定理”是平面向量中一个非常优美的结论,因为这个定理对应的图形与“奔驰”轿车(Mercedes benz )的logo 很相似,故形象地称其为“奔驰定理”若O 是锐角ABC ∆内的一点,A ,B ,C 是ABC ∆的三个内角,且点O 满足OA OB OB OC OC OA ⋅=⋅=⋅,则必有( )A .sin sin sin 0A OAB OBC OC ⋅+⋅+⋅=B .cos cos cos 0A OA B OBC OC ⋅+⋅+⋅=C .tan tan tan 0A OA B OB C OC ⋅+⋅+⋅=D .sin 2sin 2sin 20A OA B OB C OC ⋅+⋅+⋅=32.已知ABC 中,1,3,30a b A ︒===,则B 等于( ) A .60°B .120°C .30°或150°D .60°或120° 33.在ABC 中,若sin 2sin cos B A C =,那么ABC 一定是( ) A .等腰直角三角形B .等腰三角形C .直角三角形D .等边三角形34.题目文件丢失!35.在ABC 中,三内角A ,B ,C 的对边分别为a ,b ,c ,面积为S ,若()22S a b c +=+,则cos A 等于( )A .45B .45-C .1517D .1517-【参考答案】***试卷处理标记,请不要删除一、多选题1.ACD【分析】由向量的数量积、向量的投影、基本定理与向量的夹角等基本知识,逐个判断即可求解.【详解】对于A ,∵,,与的夹角为锐角,∴,且(时与的夹角为0),所以且,故A 错误;对于B解析:ACD【分析】由向量的数量积、向量的投影、基本定理与向量的夹角等基本知识,逐个判断即可求解.【详解】对于A ,∵(1,2)a =,(1,1)b =,a 与a b λ+的夹角为锐角,∴()(1,2)(1,2)a a b λλλ⋅+=⋅++142350λλλ=+++=+>,且0λ≠(0λ=时a 与a b λ+的夹角为0), 所以53λ>-且0λ≠,故A 错误; 对于B ,向量12(2,3)4e e =-=,即共线,故不能作为平面内所有向量的一组基底,B 正确;对于C ,若//a b ,则a 在b 方向上的正射影的数量为||a ±,故C 错误;对于D ,因为|||a a b =-∣,两边平方得||2b a b =⋅, 则223()||||2a a b a a b a ⋅+=+⋅=, 222||()||2||3||a b a b a a b b a +=+=+⋅+=,故23||()32cos ,2||||3||a a a b a a b a a b a a ⋅+<+>===+⋅∣, 而向量的夹角范围为[]0,180︒︒,得a 与a b λ+的夹角为30°,故D 项错误.故错误的选项为ACD故选:ACD【点睛】本题考查平面向量基本定理及向量的数量积,向量的夹角等知识,对知识广度及准确度要求比较高,中档题.2.BCD【分析】本题先确定B 是的中点,P 是的一个三等分点,判断选项A 错误,选项C 正确; 再通过向量的线性运算判断选项B 正确;最后求出,故选项D 正确.【详解】解:因为,,所以B 是的中点,P 是的解析:BCD【分析】本题先确定B 是AQ 的中点,P 是AC 的一个三等分点,判断选项A 错误,选项C 正确; 再通过向量的线性运算判断选项B 正确;最后求出2APQ S =△,故选项D 正确.【详解】解:因为20PA PC +=,2QA QB =,所以B 是AQ 的中点,P 是AC 的一个三等分点,如图:故选项A 错误,选项C 正确;因为()121333BP BA AP BA BC BA BA BC =+=+-=+,故选项B 正确; 因为112223132APQABC AB h S S AB h ⨯⨯==⋅△△,所以,2APQ S =△,故选项D 正确. 故选:BCD【点睛】本题考查平面向量的线性运算、向量的数量积、三角形的面积公式,是基础题.3.AB【分析】在中,根据,,由,解得或,然后分两种情况利用余弦定理求解.【详解】中,因为,,面积,所以,所以,解得或,当时,由余弦定理得:,解得,当时,由余弦定理得:,解得所以或解析:AB【分析】在ABC 中,根据4a =,5b =,由1sin 2ABC S ab C ==60C =或120C =,然后分两种情况利用余弦定理求解.【详解】ABC 中,因为4a =,5b =,面积ABC S =所以1sin 2ABC S ab C ==所以sin C =60C =或120C =, 当60C =时,由余弦定理得:2222cos 21c a b ab C =+-=,解得c =当120C =时,由余弦定理得:2222cos 61c a b ab C =+-=,解得c =所以c =c =故选:AB【点睛】本题主要考查三角形面积公式和余弦定理的应用,还考查了运算求解的能力,属于中档题. 4.AC【分析】由已知条件结合向量数量积的性质对各个选项进行检验即可.【详解】,且,平方得,即,可得,故A 正确;,可得,故B 错误;,可得,故C 正确;由可得,故D 错误;故选:AC【点睛】解析:AC【分析】由已知条件结合向量数量积的性质对各个选项进行检验即可.【详解】1a b ==,且25b a -=,平方得22445b a a b +-⋅=,即0a b ⋅=,可得a b ⊥,故A 正确;()22222a b a b a b +=++⋅=,可得2a b +=,故B 错误; ()22222a b a b a b -=+-⋅=,可得2a b -=,故C 正确; 由0a b ⋅=可得,90a b =︒,故D 错误;故选:AC【点睛】本题考查向量数量积的性质以及向量的模的求法,属于基础题.5.BD【分析】 根据平面向量的数量积及平行向量共线定理判断可得;【详解】解:对于A ,,故A 错误;对于B ,若,则,所以,,故,即B 正确;对于C ,,则或与共线,故C 错误;对于D ,在四边形中,若 解析:BD【分析】 根据平面向量的数量积及平行向量共线定理判断可得;【详解】解:对于A ,00a ⨯=,故A 错误;对于B ,若a b ⊥,则0a b ⋅=,所以2222||2a b a b a b a b +=++⋅=+,2222||2a b a b a b a b -=+-⋅=+,故||||a b a b +=-,即B 正确;对于C ,//AB CD ,则//AB CD 或AB 与CD 共线,故C 错误;对于D ,在四边形ABCD 中,若0AB CD +=,即AB DC =,所以四边形ABCD 是平行四边形,又0AC BD ⋅=,所以AC BD ⊥,所以四边形ABCD 是菱形,故D 正确; 故选:BD【点睛】本题考查平行向量的数量积及共线定理的应用,属于基础题.6.ACD【分析】依次判断各选项中的两向量是否共线即可.【详解】A ,C ,D 中向量与共线,不能作为基底;B 中,不共线,所以可作为一组基底.【点睛】本题主要考查平面向量的基本定理及基底的定义,属解析:ACD【分析】依次判断各选项中的两向量是否共线即可.【详解】A ,C ,D 中向量1e 与2e 共线,不能作为基底;B 中1e ,2e 不共线,所以可作为一组基底.【点睛】本题主要考查平面向量的基本定理及基底的定义,属于基础题.7.AD【分析】分别对所给选项进行逐一判断即可.【详解】对于选项A ,当时,与不一定共线,故A 错误;对于选项B ,由,得,所以,,同理,,故是三角形的垂心,所以B 正确;对于选项C ,两个非零向量解析:AD【分析】分别对所给选项进行逐一判断即可.【详解】对于选项A ,当0b =时,a 与c 不一定共线,故A 错误;对于选项B ,由PA PB PB PC ⋅=⋅,得0PB CA ⋅=,所以PB CA ⊥,PB CA ⊥, 同理PA CB ⊥,PC BA ⊥,故P 是三角形ABC 的垂心,所以B 正确;对于选项C ,两个非零向量a ,b ,若a b a b -=+,则a 与b 共线且反向,故C 正确; 对于选项D ,当0b =,0a ≠时,显然有a ∥b ,但此时λ不存在,故D 错误. 故选:AD【点睛】本题考查与向量有关的命题的真假的判断,考查学生对基本概念、定理的掌握,是一道容易题.8.ABD【分析】对于选项在中,由正弦定理可得,即可判断出正误;对于选项在锐角中,由,可得,即可判断出正误;对于选项在中,由,利用正弦定理可得:,得到或即可判断出正误;对于选项在中,利用余弦定理可得解析:ABD【分析】对于选项A 在ABC ∆中,由正弦定理可得sin sin A B a b A B >⇔>⇔>,即可判断出正误;对于选项B 在锐角ABC ∆中,由022A B ππ>>->,可得sin sin()cos 2A B B π>-=,即可判断出正误;对于选项C 在ABC ∆中,由cos cos a A b B =,利用正弦定理可得:sin 2sin 2A B =,得到22A B =或222A B π=-即可判断出正误;对于选项D 在ABC ∆中,利用余弦定理可得:2222cos b a c ac B =+-,代入已知可得a c =,又60B =︒,即可得到ABC ∆的形状,即可判断出正误.【详解】对于A ,由A B >,可得:a b >,利用正弦定理可得:sin sin A B >,正确; 对于B ,在锐角ABC ∆中,A ,(0,)2B π∈,2A B π+>,∴022A B ππ>>->,sin sin()cos 2A B B π∴>-=,因此不等式sin cos A B >恒成立,正确; 对于C ,在ABC ∆中,由cos cos a A b B =,利用正弦定理可得:sin cos sin cos A A B B =,sin 2sin 2A B ∴=, A ,(0,)B π∈,22A B ∴=或222A B π=-,A B ∴=或2A B π+=, ABC ∆∴是等腰三角形或直角三角形,因此是假命题,C 错误.对于D ,由于060B =,2b ac =,由余弦定理可得:222b ac a c ac ==+-,可得2()0a c -=,解得a c =,可得60A C B ===︒,故正确.故选:ABD .【点睛】本题考查正弦定理与余弦定理及三角形边角关系,主要涉及的考点是三角形内角的诱导公式的应用,同时考查正弦定理进行边角转化,属于中等题.9.ACD【分析】利用向量数量积的定义和运算法则逐项判断后可得正确的选项.【详解】由向量加法的三角形法则可知选项A 正确;当时,,故选项B 错误;因为,故选项C 正确;当共线同向时,,当共线反解析:ACD【分析】利用向量数量积的定义和运算法则逐项判断后可得正确的选项.【详解】由向量加法的三角形法则可知选项A 正确;当a b ⊥时,0a b ⋅=,故选项B 错误; 因为||cos ||||a b a b a b θ⋅=≤,故选项C 正确;当,a b 共线同向时,||||cos 0||||a b a b a b ⋅==,当,a b 共线反向时,||||cos180||||a b a b a b ⋅=︒=-,所以选项D 正确.故选:ACD.【点睛】本题考查向量加法的性质以及对向量数量积的运算规律的辨析,注意数量积运算有交换律,但没有消去律,本题属于基础题.10.ABD【分析】根据向量数乘运算判断AB 选项的正确性,通过的特殊情况判断C 选项的正确性,根据向量运算判断D 选项的正确性.【详解】根据向量数乘的运算可知A 和B 正确;C 中,当时,,但与不一定相等, 解析:ABD 【分析】根据向量数乘运算判断AB 选项的正确性,通过m 的特殊情况判断C 选项的正确性,根据向量运算判断D 选项的正确性.【详解】根据向量数乘的运算可知A 和B 正确;C 中,当0m =时,0ma mb ==,但a 与b 不一定相等,故C 不正确;D 中,由ma na =,得()0m n a -=,因为0a ≠,所以m n =,故D 正确.故选:ABD【点睛】本小题主要考查向量数乘运算,属于基础题.11.BCD【分析】根据共线向量的定义判断A 选项的正误;根据题意判断出角的终边的位置,然后利用等分象限法可判断出角的终边的位置,进而判断B 选项的正误;利用图象法求出函数的最小正周期,可判断C 选项的正误解析:BCD【分析】根据共线向量的定义判断A 选项的正误;根据题意判断出角α的终边的位置,然后利用等分象限法可判断出角2α的终边的位置,进而判断B 选项的正误;利用图象法求出函数1cos 2y x =+的最小正周期,可判断C 选项的正误;利用切化弦思想化简不等式tan tan 1A B ⋅<得出cos cos cos 0A B C <,进而可判断出选项D 的正误.综合可得出结论.【详解】对于A 选项,向量AB 与CD 共线,则//AB CD 或点A 、B 、C 、D 在同一条直线上,A 选项错误;对于B 选项,2sin sin tan 0cos αααα⋅=>,cos tan sin 0ααα⋅=<,所以sin 0cos 0αα<⎧⎨>⎩, 则角α为第四象限角,如下图所示:则2α为第二或第四象限角,B 选项正确; 对于C 选项,作出函数1cos 2y x =+的图象如下图所示:由图象可知,函数1cos 2y x =+是周期函数,且最小正周期为2π,C 选项正确; 对于D 选项,tan tan 1A B <,()()cos cos sin sin cos cos sin sin 1tan tan 1cos cos cos cos cos cos cos cos A B C A B A B A B A B A B A B A B A B π+--∴-=-===cos 0cos cos C A B=->,cos cos cos 0A B C ∴<, 对于任意三角形,必有两个角为锐角,则ABC ∆的三个内角余弦值必有一个为负数, 则ABC ∆为钝角三角形,D 选项正确.故选:BCD.【点睛】本题考查三角函数、三角恒等变换与向量相关命题真假的判断,考查共线向量的定义、角的终边位置、三角函数的周期以及三角形形状的判断,考查推理能力,属于中等题. 12.BD【分析】对于A ,根据三角函数的倍角公式进行判断;对于B ,根据正弦定理即可判断证明;对于C ,利用余弦定理即可得解;对于D ,根据正弦定理去判断即可.【详解】在中,对于A ,若,则或,当A =解析:BD【分析】对于A ,根据三角函数的倍角公式进行判断;对于B ,根据正弦定理即可判断证明;对于C ,利用余弦定理即可得解;对于D ,根据正弦定理去判断即可.【详解】在ABC ∆中,对于A ,若sin 2sin 2A B =,则22A B =或22A B π+=,当A =B 时,△ABC 为等腰三角形; 当2A B π+=时,△ABC 为直角三角形,故A 不正确,对于B ,若A B >,则a b >,由正弦定理得sin sin a b A B=,即sin sin A B >成立.故B 正确;对于C ,由余弦定理可得:b C 错误; 对于D ,若222sin sin sin A B C +<,由正弦定理得222a b c +<,∴222cos 02a b c C ab+-=<,∴C 为钝角,∴ABC ∆是钝角三角形,故D 正确; 综上,正确的判断为选项B 和D .故选:BD .【点睛】本题只有考查了正弦定理,余弦定理,三角函数的二倍角公式在解三角形中的综合应用,考查了转化思想,属于中档题.13.AB【分析】若,则反向,从而;若,则,从而可得;若,则同向,在方向上的投影为若存在实数使得,则共线,但是不一定成立.【详解】对于选项A ,若,则反向,由共线定理可得存在实数使得;对于选解析:AB【分析】若||||||a b a b +=-,则,a b 反向,从而a b λ=;若a b ⊥,则0a b ⋅=,从而可得||||a b a b +=-;若||||||a b a b +=+,则,a b 同向,a 在b 方向上的投影为||a若存在实数λ使得a b λ=,则,a b 共线,但是||||||a b a b +=-不一定成立.【详解】对于选项A ,若||||||a b a b +=-,则,a b 反向,由共线定理可得存在实数λ使得a b λ=;对于选项B ,若a b ⊥,则0a b ⋅=,222222||2,||2a b a a b b a b a a b b +=+⋅+-=-⋅+,可得||||a b a b +=-;对于选项C ,若||||||a b a b +=+,则,a b 同向,a 在b 方向上的投影为||a ; 对于选项D ,若存在实数λ使得a b λ=,则,a b 共线,但是||||||a b a b +=-不一定成立. 故选:AB.【点睛】本题主要考查平面向量的性质及运算,明确向量的性质及运算规则是求解的关键,侧重考查逻辑推理的核心素养.14.AD【分析】利用向量的基本概念,判断各个选项是否正确,从而得出结论.【详解】单位向量的模均为1,故A 正确;向量共线包括同向和反向,故B 不正确;向量是矢量,不能比较大小,故C 不正确;根据解析:AD【分析】利用向量的基本概念,判断各个选项是否正确,从而得出结论.【详解】单位向量的模均为1,故A 正确;向量共线包括同向和反向,故B 不正确;向量是矢量,不能比较大小,故C 不正确;根据相等向量的概念知,D 正确.故选:AD【点睛】本题考查单位向量的定义、考查共线向量的定义、向量是矢量不能比较大小,属于基础题.15.ABD【详解】解:对于:对于实数和向量、,根据向量的数乘满足分配律,故恒有:,故正确.对于:对于实数,和向量,根据向量的数乘运算律,恒有,故 正确. 对于:若,当 时,无法得到,故不正确.对解析:ABD【详解】解:对于A :对于实数m 和向量a 、b ,根据向量的数乘满足分配律,故恒有:()m a b ma mb -=-,故A 正确.对于B :对于实数m ,n 和向量a ,根据向量的数乘运算律,恒有()m n a ma na -=-,故 B 正确.对于C :若()ma mb m =∈R ,当 0m =时,无法得到a b =,故C 不正确. 对于D :若(,,0)ma na m n a =∈≠R ,则m n =成立,故D 正确.故选:ABD .【点睛】本题考查相等的向量,相反的向量的定义,向量的数乘法则以及其几何意义,注意考虑零向量的情况.二、平面向量及其应用选择题16.A【分析】利用正弦定理边角互化思想化简可得cos 0B =,求得角B 的值,进而可判断出ABC 的形状.【详解】cos a b C =,由正弦定理得sin sin cos A B C =,即()sin cos sin sin cos cos sin B C B C B C B C =+=+,cos sin 0B C ∴=,0C π<<,sin 0C ∴>,则cos 0B =,0B π<<,所以,2B π=,因此,ABC 是直角三角形. 故选:A.【点睛】本题考查利用正弦定理边角互化判断三角形的形状,同时也考查了两角和的正弦公式的应用,考查计算能力,属于中等题.17.D【分析】 根据正弦定理,可得111tan tan tan 235A B C ==,令tan 2A k =,tan 3B k =,tan 5C k =,再结合公式tan tan()B A C =-+,列出关于k 的方程,解出k 后,进而可得到B 的大小.【详解】 解:∵2cosA 3cosB 5cosC a b c ==, ∴sin sin sin 2cos 3cos 5cos A B C A B C ==, 即111tan tan tan 235A B C ==, 令tan 2A k =,tan 3B k =,tan 5C k =,显然0k >, ∵tan tan tan tan()tan tan 1A C B A C A C +=-+=-,∴273101k k k =-,解得k =∴tan 3B k ==B =3π. 故选:D .【点睛】本题考查正弦定理边角互化的应用,考查两角和的正切,用k 表示tan 2A k =,tan 3B k =,tan 5C k =是本题关键18.C【分析】取,a b 夹角为3π,计算排除ABD ,得到答案. 【详解】取,a b 夹角为3π,则0a b -≠,12a b ⋅=,排除ABD ,易知1a b ==. 故选:C .【点睛】 本题考查了单位向量,意在考查学生的推断能力. 19.B【分析】计算得到BC A CD B -=,得到BCDM ,ABCM 为平行四边形,得到答案. 【详解】2, 4,53AB a b BC a b CD a b =--=+=+,则53BC AB BC B a b CD A -=+=+=. 设BC BA BM +=,故BCDM ,ABCM 为平行四边形,故ABCD 为梯形.故选:B .【点睛】本题考查了根据向量判断四边形形状,意在考查学生的综合应用能力.20.B【分析】选取向量AB ,AC 为基底,由向量线性运算,求出BE ,即可求得结果.【详解】13BE AE AB AD AB =-=-,1()2AD AB AC =+ , 5166BE AB AC AB AC λμ∴=-+=+, 56λ∴=-,16μ=,23λμ∴+=-. 故选:B.【点睛】本题考查了平面向量的线性运算,平面向量基本定理,属于基础题.21.B【分析】首先利用三角函数的平方关系得到sin A ,然后根据平面向量的数量积公式得到所求.【详解】解:因为ABC 的面积为30,且12cos 13A =,所以5sin 13A =,所以1||||sin 302AB AC A ⨯=,得到||||626AB AC ⨯=⨯, 所以12|||||cos 62614413AB AC AB AC A =⨯=⨯⨯=; 故选:B .【点睛】 本题考查了平面向量的数量积以及三角形的面积;属于中档题.22.A【解析】分析:先利用三角形的面积公式求得c 的值,进而利用余弦定理求得a ,再利用正弦定理求解即可.详解:由题意,在ABC ∆中,利用三角形的面积公式可得011sin 1sin 6022ABC S bc A c ∆==⨯⨯⨯=, 解得4c =, 又由余弦定理得22212cos 116214132a b c bc A =+-=+-⨯⨯⨯=,解得a =,由正弦定理得2sin 2sin sin sin 3a b c a A B C A -+===-+,故选A. 点睛:本题主要考查了利用正弦定理和三角函数的恒等变换求解三角形问题,对于解三角形问题,通常利用正弦定理进行“边转角”寻求角的关系,利用“角转边”寻求边的关系,利用余弦定理借助三边关系求角,利用两角和差公式及二倍角公式求三角函数值. 利用正、余弦定理解三角形问题是高考高频考点,经常利用三角形内角和定理,三角形面积公式,结合正、余弦定理解题.23.C【分析】在ABC 中,根据5AB AC ==,6BC =,由余弦定理求得7cos 25A =,再由平方关系得到sin A ,然后由正弦定理2sin BC R A=求解. 【详解】在ABC 中,5AB AC ==,6BC =, 由余弦定理得:2222225567cos 225525AB AC BC A AB AC +-+-===⋅⨯⨯,所以24sin 25A ==, 由正弦定理得:625224sin 425BC R A ===, 所以258R =, 此三角形的外接圆半径是258故选:C【点睛】 本题主要考查余弦定理,正弦定理的应用,还考查了运算求解的能力,属于中档题. 24.B【分析】延长PB 至D ,可得出点P 是ADC 的重心,再根据重心的性质可得出结论。
平面向量高考经典试题一、选择题1.(全国1文理)已知向量(5,6)a =-,(6,5)b =,则a 与bA .垂直B .不垂直也不平行C .平行且同向D .平行且反向 解.已知向量(5,6)a =-,(6,5)b =,30300a b ⋅=-+=,则a 与b 垂直,选A 。
2、(山东文5)已知向量(1)(1)n n ==-,,,a b ,若2-a b 与b 垂直,则=a ( )A .1BC .2D .4【答案】:C 【分析】:2(3,)n -a b =,由2-a b 与b 垂直可得:2(3,)(1,)30n n n n ⋅-=-+=⇒= 2=a 。
3、(广东文4理10)若向量,a b 满足||||1a b ==,,a b 的夹角为60°,则a a a b ⋅+⋅=______; 答案:32;解析:1311122a a ab ⋅+⋅=+⨯⨯=, 4、(天津理10) 设两个向量22(2,cos )a λλα=+-和(,sin ),2m b m α=+其中,,m λα2,a b =则mλ的取值范围是( )A.[6,1]-B.[4,8]C.(,1]-∞D.[1,6]-【答案】A【分析】由22(2,cos )a λλα=+-,(,sin ),2mb m α=+2,a b =可得2222cos 2sin m m λλαα+=⎧⎨-=+⎩,设k m λ=代入方程组可得22222cos 2sin km mk m m αα+=⎧⎨-=+⎩消去m 化简得2222cos 2sin 22k k k αα⎛⎫-=+ ⎪--⎝⎭,再化简得22422cos 2sin 022k k αα⎛⎫+-+-= ⎪--⎝⎭再令12t k =-代入上式得222(sin 1)(16182)0t t α-+++=可得2(16182)[0,4]t t -++∈解不等式得1[1,]8t ∈--因而11128k -≤≤--解得61k -≤≤.故选A5、(山东理11)在直角ABC ∆中,CD 是斜边AB 上的高,则下列等式不成立的是 (A )2AC AC AB =⋅ (B ) 2BC BA BC =⋅(C )2AB AC CD =⋅ (D ) 22()()AC AB BA BC CD AB⋅⨯⋅=【答案】:C.【分析】: 2()00AC AC AB AC AC AB AC BC =⋅⇔⋅-=⇔⋅=,A 是正确的,同理B 也正确,对于D 答案可变形为2222CD AB AC BC ⋅=⋅,通过等积变换判断为正确. 6、(全国2 理5)在∆ABC 中,已知D 是AB 边上一点,若AD =2DB ,CD =CB CA λ+31,则λ=(A)32(B)31(C) -31(D) -32 解.在∆ABC 中,已知D 是AB 边上一点,若AD =2DB ,CD =CB CA λ+31,则22()33CD CA AD CA AB CA CB CA =+=+=+-=1233CA CB +,4 λ=32,选A 。
平面向量习题及答案平面向量习题及答案引言:平面向量是高中数学中的重要内容之一,它在几何、代数和物理等领域中都有广泛的应用。
通过解决平面向量习题,我们可以加深对平面向量的理解,提高解题能力。
本文将介绍几个常见的平面向量习题,并给出详细的解答过程。
一、向量的加法和减法1. 已知向量a=2i+3j,b=4i-5j,求a+b和a-b。
解答:a+b=(2+4)i+(3-5)j=6i-2ja-b=(2-4)i+(3+5)j=-2i+8j2. 已知向量a=3i+2j,b=-i+4j,求2a-3b。
解答:2a-3b=2(3i+2j)-3(-i+4j)=6i+4j+3i-12j=9i-8j二、向量的数量积和向量积1. 已知向量a=2i+3j,b=-i+4j,求a·b和|a×b|。
解答:a·b=(2)(-1)+(3)(4)=-2+12=10|a×b|=|(2)(4)-(3)(-1)|=|8+3|=112. 已知向量a=3i+2j,b=4i-5j,求a×b的模长和方向角。
解答:a×b=(3)(-5)-(2)(4)=-15-8=-23|a×b|=|-23|=23设a×b与x轴正向的夹角为θ,则cosθ=(4)/√(4^2+(-23)^2)=4/√545θ≈84.3°三、向量的共线与垂直1. 已知向量a=2i+3j,b=-4i-6j,判断a和b是否共线。
解答:若a和b共线,则存在实数k,使得a=kb。
2i+3j=k(-4i-6j)2i+3j=-4ki-6kj2=-4k,3=-6k解得k=-1/2所以,a和b共线。
2. 已知向量a=2i+3j,b=-4i-6j,判断a和b是否垂直。
解答:若a和b垂直,则a·b=0。
a·b=(2)(-4)+(3)(-6)=-8-18=-26-26≠0所以,a和b不垂直。
结论:通过解答上述平面向量习题,我们可以巩固向量的加法、减法、数量积、向量积等基本概念和运算规则。
平面向量经典例题:1.已知向量a =(1,2),b =(2,0),若向量λa +b 与向量c =(1,-2)共线,则实数λ等于( ) A .-2 B .-13C .-1D .-23[答案] C[解析] λa +b =(λ,2λ)+(2,0)=(2+λ,2λ),∵λa +b 与c 共线,∴-2(2+λ)-2λ=0,∴λ=-1. 2.(文)已知向量a =(3,1),b =(0,1),c =(k ,3),若a +2b 与c 垂直,则k =( ) A .-1 B .- 3 C .-3 D .1 [答案] C[解析] a +2b =(3,1)+(0,2)=(3,3),∵a +2b 与c 垂直,∴(a +2b )·c =3k +33=0,∴k =-3.(理)已知a =(1,2),b =(3,-1),且a +b 与a -λb 互相垂直,则实数λ的值为( ) A .-611B .-116C.611D.116 [答案] C[解析] a +b =(4,1),a -λb =(1-3λ,2+λ), ∵a +b 与a -λb 垂直,∴(a +b )·(a -λb )=4(1-3λ)+1×(2+λ)=6-11λ=0,∴λ=611.3.设非零向量a 、b 、c 满足|a |=|b |=|c |,a +b =c ,则向量a 、b 间的夹角为( ) A .150° B .120° C .60° D .30°[答案] B[解析] 如图,在▱ABCD 中,∵|a |=|b |=|c |,c =a +b ,∴△ABD 为正三角形,∴∠BAD =60°,∴〈a ,b 〉=120°,故选B.(理)向量a ,b 满足|a |=1,|a -b |=32,a 与b 的夹角为60°,则|b |=( ) A.12 B.13 C.14 D.15 [答案] A [解析] ∵|a -b |=32,∴|a |2+|b |2-2a ·b =34,∵|a |=1,〈a ,b 〉=60°, 设|b |=x ,则1+x 2-x =34,∵x >0,∴x =12.4.若AB →·BC →+AB →2=0,则△ABC 必定是( ) A .锐角三角形 B .直角三角形 C .钝角三角形 D .等腰直角三角形[答案] B[解析] AB →·BC →+AB →2=AB →·(BC →+AB →)=AB →·AC →=0,∴AB →⊥AC →, ∴AB ⊥AC ,∴△ABC 为直角三角形. 5.若向量a =(1,1),b =(1,-1),c =(-2,4),则用a ,b 表示c 为( ) A .-a +3b B .a -3b C .3a -b D .-3a +b [答案] B[解析] 设c =λa +μb ,则(-2,4)=(λ+μ,λ-μ), ∴⎩⎨⎧ λ+μ=-2λ-μ=4,∴⎩⎨⎧λ=1μ=-3,∴c =a -3b ,故选B. 在平行四边形ABCD 中,AC 与BD 交于O ,E 是线段OD 的中点,AE 的延长线与CD 交于点F ,若AC →=a ,BD →=b ,则AF →等于( )A.14a +12bB.23a +13b C.12a +14b D.13a +23b [答案] B[解析] ∵E 为OD 的中点,∴BE →=3ED →, ∵DF ∥AB ,∴|AB ||DF |=|EB ||DE |,∴|DF |=13|AB |,∴|CF |=23|AB |=23|CD |,∴AF →=AC →+CF →=AC →+23CD →=a +23(OD →-OC →)=a +23(12b -12a )=23a +13b .6.若△ABC 的三边长分别为AB =7,BC =5,CA =6,则AB →·BC →的值为( ) A .19 B .14 C .-18 D .-19 [答案] D[解析] 据已知得cos B =72+52-622×7×5=1935,故AB →·BC →=|AB →|×|BC →|×(-cos B )=7×5×()-1935=-19.7.若向量a =(x -1,2),b =(4,y )相互垂直,则9x +3y 的最小值为( ) A .12 B .2 3 C .3 2 D .6[答案] D[解析] a ·b =4(x -1)+2y =0,∴2x +y =2,∴9x +3y =32x +3y ≥232x +y =6,等号在x =12,y =1时成立.8.若A ,B ,C 是直线l 上不同的三个点,若O 不在l 上,存在实数x 使得x 2OA →+xOB →+BC →=0,实数x 为( ) A .-1 B .0 C.-1+52D.1+52[答案] A[解析] x 2OA →+xOB →+OC →-OB →=0,∴x 2OA →+(x -1)OB →+OC →=0,由向量共线的充要条件及A 、B 、C 共线知,1-x -x 2=1,∴x =0或-1,当x =0时,BC →=0,与条件矛盾,∴x =-1. 9.(文)已知P 是边长为2的正△ABC 边BC 上的动点,则AP →·(AB →+AC →)( ) A .最大值为8 B .最小值为2 C .是定值6 D .与P 的位置有关[答案] C[解析] 以BC 的中点O 为原点,直线BC 为x 轴建立如图坐标系,则B (-1,0),C (1,0),A (0,3),AB →+AC →=(-1,-3)+(1,-3)=(0,-23),设P (x,0),-1≤x ≤1,则AP →=(x ,-3),∴AP →·(AB →+AC →)=(x ,-3)·(0,-23)=6,故选C.(理)在△ABC 中,D 为BC 边中点,若∠A =120°,AB →·AC →=-1,则|AD →|的最小值是( )A.12B.32C. 2D.22[答案] D[解析] ∵∠A =120°,AB →·AC →=-1,∴|AB →|·|AC →|·cos120°=-1, ∴|AB →|·|AC →|=2,∴|AB →|2+|AC →|2≥2|AB →|·|AC →|=4,∵D 为BC 边的中点,∴AD →=12(AB →+AC →),∴|AD →|2=14(|AB →|2+|AC →|2+2AB →·AC →)=14(|AB →|2+|AC →|2-2)≥14(4-2)=12,∴|AD →|≥22.10. 如图所示,点P 是函数y =2sin(ωx +φ)(x ∈R ,ω>0)的图象的最高点,M ,N 是该图象与x 轴的交点,若PM →·PN →=0,则ω的值为( ) A.π8B.π4C .4D .8[答案] B[解析] ∵PM →·PN →=0,∴PM ⊥PN ,又P 为函数图象的最高点,M 、N 是该图象与x 轴的交点,∴PM =PN ,y P =2,∴MN =4,∴T =2πω=8,∴ω=π4. 11. 如图,一直线EF 与平行四边形ABCD 的两边AB ,AD 分别交于E 、F 两点,且交其对角线于K ,其中AE →=13AB →,AF→=12AD →,AK →=λAC →,则λ的值为( )A.15B.14C.13D.12[答案] A[解析] 如图,取CD 的三等分点M 、N ,BC 的中点Q ,则EF∥DG ∥BM ∥NQ ,易知AK →=15AC →,∴λ=15.12. 已知向量a =(2,3),b =(-1,2),若m a +4b 与a -2b 共线,则m 的值为( )A.12 B .2 C .-2 D .-12[答案] C[解析] m a +4b =(2m -4,3m +8),a -2b =(4,-1), 由条件知(2m -4)·(-1)-(3m +8)×4=0,∴m =-2,故选C.13. 在△ABC 中,C =90°,且CA =CB =3,点M 满足BM →=2MA →,则CM →·CB →等于( )A .2B .3C .4D .6 [答案] B[解析] CM →·CB →=(CA →+AM →)·CB →=(CA →+13AB →)·CB →=CA →·CB →+13AB →·CB →=13|AB →|·|CB →|·cos45°=13×32×3×22=3.14. 在正三角形ABC 中,D 是BC 上的点,AB =3,BD =1,则AB →·AD →=________. [答案]152[解析] 由条件知,|AB →|=|AC →|=|BC →|=3,〈AB →,AC →〉=60°,〈AB →,CB →〉=60°,CD →=23CB →,∴AB →·AD →=AB →·(AC →+CD →)=AB →·AC →+AB →·23CB →=3×3×cos60°+23×3×3×cos60°=152.15. 已知向量a =(3,4),b =(-2,1),则a 在b 方向上的投影等于________.[答案] -255。
方法技巧专题26 平面向量解析版【一】向量的概念1.例题【例1】给出下列结论:①数轴上相等的向量,它们的坐标相等;反之,若数轴上两个向量的坐标相等,则这两个向量相等; ②对于任何一个实数,数轴上存在一个确定的点与之对应;③数轴上向量AB 的坐标是一个实数,实数的绝对值为线段AB 的长度,若起点指向终点的方向与数轴同方向,则这个实数取正数,反之取负数;④数轴上起点和终点重合的向量是零向量,它的方向不确定,它的坐标是0. 其中正确结论的个数是( ) A.1 B.2C.3D.4【答案】D【解析】①向量相等,则它们的坐标相等,坐标相等,则向量相等,①正确;②实数和数轴上的点是一一对应的关系,即有一个实数就有一个点跟它对应,有一个点也就有一个实数与它对应,②正确;③数轴用一个实数来表示向量AB ,正负决定其方向,绝对值决定其长度,③正确; ④数轴上零向量其起点和终点重合,方向不确定,大小为0,其坐标也为0,④正确. 【例2】下列命题中,正确的个数是( ) ①单位向量都相等;②模相等的两个平行向量是相等向量;③若a ,b 满足b a >且a 与b 同向,则a b >; ④若两个向量相等,则它们的起点和终点分别重合; ⑤若a b b c ∥,∥,则a c ∥. A .0个 B .1个C .2个D .3个【答案】A【解析】对于①,单位向量的大小相等,但方向不一定相同,故①错误; 对于②,模相等的两个平行向量是相等向量或相反向量,故②错误; 对于③,向量是有方向的量,不能比较大小,故③错误;对于④,向量是可以自由平移的矢量,当两个向量相等时,它们的起点和终点不一定相同,故④错误; 对于⑤,0b =时,a b b c ∥,∥,,则a 与c 不一定平行. 综上,以上正确的命题个数是0. 2.巩固提升综合练习 【练习1】给出下列命题: ①若c b b a ==,则c a=;②若A ,B ,C ,D 是不共线的四点,则DC AB =是四边形ABCD 为平行四边形的充要条件;③b a==且b a //;④若c b b a //,//,则c a //; 其中正确命题的序号是 . 【答案】①②【解析】①正确.∵a =b ,∴a ,b 的长度相等且方向相同, 又b =c ,∴b ,c 的长度相等且方向相同, ∴a ,c 的长度相等且方向相同,故a =c .②正确.∵DC AB ==且DC AB //, 又A ,B ,C ,D 是不共线的四点, ∴四边形ABCD 为平行四边形; 反之,若四边形ABCD 为平行四边形,=且DC AB //,,因此,DC AB =.③不正确.当a ∥b 且方向相反时,即使|a |=|b |,也不能得到a =b ,故|a |=|b |且a ∥b 不是a =b 的充要条件,而是必要不充分条件. ④不正确.考虑b =0这种特殊情况. 综上所述,正确命题的序号是①②.【二】平面向量的线性表示1.例题【例1】在ABC ∆中,AD 为BC 边上的中线,E 为AD 的中点,则=EB ( )A.AC AB 4143- B. AC AB 4341- C. AC AB 4143+ D. AC AB 4341+ 【解析】根据向量的运算法则,可得,所以,故选A.【例2】在梯形ABCD 中,AB →=3DC →,则BC →等于( )A .-13AB →+23AD → B .-23AB →+43AD → C.23AB →-AD → D .-23AB →+AD →【解析】 在线段AB 上取点E ,使BE =DC ,连接DE ,则四边形BCDE 为平行四边形, 则BC →=ED →=AD →-AE →=AD →-23AB →;故选D.【例3】已知A ,B ,C 为圆O 上的三点,若()12AO AB AC =+则AB 与AC 的夹角为__________. 【解析】由()12AO AB AC =+可得O 为BC 的中点,则BC 为圆O 的直径,即∠BAC =90°,故AB 与AC 的夹角为90°. 2.巩固提升综合练习【练习1】在正方形ABCD 中,E 为DC 的中点,若AE AB AC λμ=+,则λμ+的值为( ) A .12-B .12C .1-D .1【答案】B【解析】由题得1111111122222222AE AD AC BC AC AC AB AC AB AC =+=+=-+=-+, 11,1,22λμλμ∴=-=∴+=.故选:B【练习2】已知A ,B ,C 是平面上不共线的三点,O 是△ABC 的重心,动点P 满足:OP →=13⎪⎭⎫ ⎝⎛++OC OB OA 22121,则P 一定为△ABC 的( )A .重心B .AB 边中线的三等分点(非重心)C .AB 边中线的中点D .AB 边的中点【解析】如图所示:设AB 的中点是E ,△O 是三角形ABC 的重心,OP →=13⎪⎭⎫ ⎝⎛++C O B O A O 22121=13()OE →+2OC →,△2EO →=OC →, △OP →=13()4EO →+OE →=EO →,△P 在AB 边的中线上,是中线的三等分点,不是重心,故选B.【练习3】如图,在平面四边形ABCD 中,,,120,1,AB BC AD CD BAD AB AD ⊥⊥∠===若点E 为边CD 上的动点,则AE BE ⋅的最小值为 ( )A.2116B.32C.2516D.3【答案】A【解析】连接BD,取AD 中点为O,可知ABD △为等腰三角形,而,AB BC AD CD ⊥⊥,所以BCD 为等边三角形,BD =.设(01)DE tDC t =≤≤AE BE ⋅223()()()2AD DE BD DE AD BD DE AD BD DE BD DE DE =+⋅+=⋅+⋅++=+⋅+ =233322t t -+(01)t ≤≤ 所以当14t =时,上式取最小值2116,选A.【三】向量共线的应用1.例题【例1】设两个非零向量a 与b不共线.(1)若b a AB +=,b a BC 82+=,)(3b a CD-=,求证:D B A ,,三点共线;(2)试确定实数k ,使b a k +和b k a+共线.【答案】(1)见解析;(2)k =±1.【解析】(1)证明:∵AB →=a +b ,BC →=2a +8b ,CD →=3(a -b ), ∴BD →=BC →+CD →=2a +8b +3(a -b )=2a +8b +3a -3b =5(a +b )=5AB →,∴AB →,BD →共线.又∵它们有公共点B ,∴A ,B ,D 三点共线.(2)假设k a +b 与a +k b 共线,则存在实数λ,使k a +b =λ(a +k b ), 即(k -λ)a =(λk -1)b .又a ,b 是两个不共线的非零向量,∴k -λ=λk -1=0. 消去λ,得k 2-1=0,∴k =±1.【例2】已知点()3,1A ,()1,4B -,则与向量AB 的方向相反的单位向量是( ) A.43,55⎛⎫-⎪⎝⎭ B.43,55⎛⎫-⎪⎝⎭ C.34,55⎛⎫-⎪⎝⎭D.34,55⎛⎫- ⎪⎝⎭1.共线向量定理:向量a (0≠a )与b 共线,当且仅当有唯一一个实数λ,使得a b λ=2.平面向量共线定理的三个应用:3.求解向量共线问题的注意事项:(1)向量共线的充要条件中,当两向量共线时,通常只有非零向量才能表示与之共线的其他向量,注意待定系数法和方程思想的运用;(2)证明三点共线问题,可用向量共线来解决,但应注意向量共线与三点共线的区别与联系,当两向量共线且有公共点时,才能得到三点共线;(3)直线的向量式参数方程:B P A ,,三点共线OB t OA t OP +-=⇔)1((O 为平面内任一点,R t ∈).【解析】(4,3)AB =-,∴向量AB 的方向相反的单位向量为4343(,)(,)5555||AB AB --=-=-,2.巩固提升综合练习【练习1】设P 是△ABC 所在平面内的一点,且CP →=2P A →,则△P AB 与△PBC 的面积的比值是( )A.13B.12C.23D.34【解析】 因为CP →=2P A →,所以|CP →||P A →|=21,又△P AB 在边P A 上的高与△PBC 在边PC 上的高相等,所以S △P AB S △PBC =|P A →||CP →|=12.【练习2】设向量a ,b 不平行,向量a b λ+与2a b +平行,则实数λ=_________.【解析】因为向量a b λ+与2a b +平行,所以2a b k a b λ+=+(),则12,k k λ=⎧⎨=⎩,所以12λ=.【四】平面向量基本定理及应用 1.例题【例1】如图所示,矩形ABCD 的对角线相交于点O ,E 为AO 的中点,若(,)DE AB AD R λμλμ=+∈,则λμ+等于( ).A .12-B .12C .1D .1-【答案】A【解析】由平面向量基本定理,化简()11DE DA AE DA AC AD AB AD 44=+=+=-++ 13AB AD 44=-,所以13λ,μ44==-,即1λμ2+=-,【例2】在中,点满足,当点在射线(不含点)上移动时,若,则 的 取值范围为__________.【答案】【解析】因为点在射线(不含点)上,设,又,所以, 所以 , , 故的取值范围.2.巩固提升综合练习【练习1】如图,在平行四边形ABCD 中,E 和F 分别在边CD 和BC 上,且DC →=3 DE →,BC →=3 BF →,若AC →=mAE →+nAF →,其中m ,n △R ,则m +n =________.【解析】 由题设可得AE →=AD →+DE →=AD →+13DC →=AD →+13AB →,AF →=AB →+BF →=AB →+13AD →=AB →+13AD →,又AC→=mAE →+nAF →,故AC →=mAD →+13mAB →+nAB →+13nAD →=(13m +n )AB →+(m +13n )AD →,而AC →=12(AB →+AD →),故⎩⎨⎧13m +n =12m +13n =12△m +n =32. 故应填答案32.ABC ∆D 34BD BC =E AD A AE AB AC λμ=+()221λμ++()1,+∞E AD A ,0AE k AD k =<34BD BC=()()33444kk AE k AB AD k AB AC AB AB AC ⎡⎤=+=+-=+⎢⎥⎣⎦4{34kk λμ==()2222295291114168510k t k k λμ⎛⎫⎛⎫=++=++=++> ⎪ ⎪⎝⎭⎝⎭()221λμ++()1,+∞【练习2】如图,在ABC ∆中,D 是BC 的中点,E 在边AB 上,EA BE 2=,AD 与CE 交于点O .若6AB AC AO EC ⋅=⋅,则ABAC的值是_____.【解析】如图,过点D 作DF //CE ,交AB 于点F ,由BE =2EA ,D 为BC 中点,知BF =FE =EA ,AO =OD .()()()3632AO EC AD AC AE AB AC AC AE =-=+-()223131123233AB AC AC AB AB AC AB AC AB AC ⎛⎫⎛⎫=+-=-+- ⎪ ⎪⎝⎭⎝⎭22223211323322AB AC AB AC AB AC AB AC AB AC ⎛⎫=-+=-+= ⎪⎝⎭,得2213,22AB AC =即3,AB AC =故AB AC=【五】平面向量的坐标运算1.例题【例1】已知向量)3,2(=a,)2,3(=b ,则=-b a ( )A .2B .2C .52D .50【答案】A【解析】由已知,(2,3)(3,2)(1,1)-=-=-a b ,所以||-==a b故选A【例2】在平面直角坐标系中,向量n =(2,0),将向量n 绕点O 按逆时针方向旋转π3后得向量m ,若向量a满足|a -m -n |=1,则|a |的最大值是( )A .23-1B .23+1C .3 D.6+2+1 【解析】 由题意得m =(1,3).设a =(x ,y ),则a -m -n =(x -3,y -3), △|a -m -n |2=(x -3)2+(y -3)2=1,而(x ,y )表示圆心为(3,3)的圆上的点, 求|a |的最大值,即求该圆上点到原点的距离的最大值,最大值为23+1.【例3】在平面直角坐标系中,O 为原点,A (-1,0),B (0,3),C (3,0),动点D 满足|CD →|=1,则|OA →+OB →+OD →|的取值范围是( )A .[4,6]B .[19-1,19+1]C .[23,27]D .[7-1,7+1]【解析】 法一:设出点D 的坐标,利用向量的坐标运算公式及向量模的运算公式求解.设D (x ,y ),则由|CD →|=1,C (3,0),得(x -3)2+y 2=1. 又△OA →+OB →+OD →=(x -1,y +3), △|OA →+OB →+OD →|=(x -1)2+(y +3)2.△|OA →+OB →+OD →|的几何意义为点P (1,-3)与圆(x -3)2+y 2=1上点之间的距离,由|PC |=7知,|OA →+OB →+OD →|的最大值是1+7,最小值是7-1.故选D.法二:根据向量OA →+OB →的平行四边形法则及减法法则的几何意义,模的几何意义求解.如图,设M (-1,3),则OA →+OB →=OM →,取N (1,-3),△OM →=-ON →.由|CD →|=1,可知点D 在以C 为圆心,半径r =1的圆上, △OA →+OB →+OD →=OD →-ON →=ND →,△|OA →+OB →+OD →|=|ND →|,△|ND →|max =|NC →|+1=7+1,|ND →|min =7-1.2.巩固提升综合练习【练习1】在矩形ABCD 中,AB =1,AD =2,动点P 在以点C 为圆心且与BD 相切的圆上.若AP →=λAB →+μAD →,则λ+μ的最大值为( )A .3B .22C. 5D .2【解析】如图所示,建立平面直角坐标系:设A (0,1),B (0,0),C (2,0),D (2,1),P (x ,y ),根据等面积公式可得圆的半径r =25,即圆C 的方程是(x -2)2+y 2=45,AP →=(x ,y -1),AB →=(0,-1),AD →=(2,0),若满足AP →=λAB →+μAD →,即⎩⎪⎨⎪⎧x =2μy -1=-λ,μ=x 2,λ=1-y ,所以λ+μ=x 2-y +1,设z =x 2-y +1,即x 2-y +1-z=0,点P (x ,y )在圆(x -2)2+y 2=45上,所以圆心到直线的距离d ≤r ,即|2-z |14+1≤25,解得1≤z ≤3,所以z的最大值是3,即λ+μ的最大值是3.【练习2】如图,正方形ABCD 中,M ,N 分别是BC ,CD 的中点,若AC →=λAM →+μBN →,则λ+μ=( )A .2 B.83 C.65 D.85【解析】 法一 如图以AB ,AD 为坐标轴建立平面直角坐标系,设正方形边长为1, AM →=⎪⎭⎫ ⎝⎛21,1,BN →=⎪⎭⎫ ⎝⎛-1,21,AC →=(1,1).△AC →=λAM →+μBN →=λ⎪⎭⎫ ⎝⎛21,1+μ⎪⎭⎫ ⎝⎛-1,21=⎪⎭⎫ ⎝⎛+-μλμλ2,2,△⎩⎨⎧λ-12μ=1,λ2+μ=1,解之得⎩⎨⎧λ=65,μ=25,故λ+μ=85.法二 以AB →,AD →作为基底,△M ,N 分别为BC ,CD 的中点, △AM →=AB →+BM →=AB →+12AD →,BN →=BC →+CN →=AD →-12AB →,因此AC →=λAM →+μBN →=⎪⎭⎫ ⎝⎛-2μλAB →+⎪⎭⎫ ⎝⎛+μλ2AD →,又AC →=AB →+AD →,因此⎩⎨⎧λ-μ2=1,λ2+μ=1,解得λ=65且μ=25.所以λ+μ=85【例1】已知向量(1,)a m =,(,2)b m =,若//a b ,则实数m 等于( ) A.C.D.0【答案】C 【解析】.【例2】若()3,4a =-,则与a 同方向的单位向量0a =____________【答案】34,55⎛⎫- ⎪⎝⎭【解析】与a 同方向的单位向量0134(3,4)(,)555aa a ==-=-2.巩固提升综合练习【练习1】如图,在平面四边形ABCD 中,90CBA CAD ∠=∠=︒,30ACD ∠=︒,AB BC =,点E 为线段BC 的中点.若AC AD AE λμ=+(,R λμ∈),则λμ的值为_______.【解析】以A 为原点,建立如图所示的平面直角坐标系,不妨设AB =BC =2, 则有A (0,0),B (2,0),C (2,2),E (2,1),AC =, AD =,过D 作DF⊥x 轴于F ,∠DAF=180°-90°-45°=45°, DF=32=D(), AC =(2,2),AD=(3-),AE =(2,1),因为AC AD AE λμ=+,所以,(2,2)=λ(3-,3)+μ(2,1),所以,2223μλμ⎧+=⎪⎪⎨⎪+=⎪⎩,解得:43λμ⎧=⎪⎪⎨⎪=⎪⎩λμ【练习2】已知向量a =(3,1),b =(1,3),c =(k ,-2),若(a -c )△b ,则向量a 与向量c 的夹角的余弦值是( )A.55 B.15 C .-55 D .-15【解析】 △a =(3,1),b =(1,3),c =(k ,-2),△a -c =(3-k,3),△(a -c )△b , △(3-k )·3=3×1,△k =2,△a ·c =3×2+1×(-2)=4,△|a |=10,|c |=22, △cos 〈a ,b 〉=a ·c |a |·|c |=410·22=55,故选A.【一】平面向量数量积的概念 1.例题【例1】在如图的平面图形中,已知0120,2,1=∠==MON ON OM ,NA CN MA BM 2,2==则OM BC •的值为( )1.两个向量的夹角:(1)定义:已知两个非零向量a 和b ,作a =,b =,则θ=∠AOB 叫做向量a 与b 的夹角.(2)范围:向量夹角θ的范围是πθ≤≤0;a 与b 同向时,夹角θ=0°;a 与b反向时,夹角θ=180°.(3)向量垂直:如果向量a 与b 的夹角是90°,则a 与b垂直,记作b a ⊥.2.平面向量的数量积的概念:(1)已知两个非零向量a 与b ,则数量θcos b a ⋅叫做a 与b的数量积,记作b a •,即:b a •=θcos b a ⋅,其中θ是a 与b的夹角.规定:00=•a ;(2)b a •的几何意义:数量积b a•等于a 的长度a与b在a的方向上的投影θcos b的乘积. 3.数量积的运算律:(1)交换律:a b b a•=•;(2)分配律:()c b c a c b a •+•=•+;(3)对R ∈λ,()())(b a b a b aλλλ•=•=•.4.计算向量数量积的三种常用方法:(1)定义法:已知向量的模与夹角时,可直接使用数量积的定义求解,即b a •=θcos b a⋅,其中θ是a 与b的夹角.(2)基向量法:计算由基底表示的向量的数量积时,应用相应运算律,最终转化为基向量的数量积,进而求解.(3)坐标法:若向量选择坐标形式,则向量的数量积可应用坐标的运算形式进行求解.OA OBA .B .C .D .0【答案】C【解析】如图所示,连结MN , 由 可知点分别为线段上靠近点的三等分点,则,由题意可知:,,结合数量积的运算法则可得:.本题选择C 选项.【例2】已知AB =(2,3),AC =(3,t ),||BC =1,则AB BC ⋅=( ) A .-3 B .-2 C .2 D .3【答案】C【解析】由(1,3)BC AC AB t =-=-,211BC ==,得3t =,则(1,0)BC =,(2,3)(1,0)21302AB BC ==⨯+⨯=.故选C .2.巩固提升综合练习【练习1】如图,AB 是半圆O 的直径,C 、D 是弧AB 的三等分点,M ,N 是线段AB 的三等分点.若6OA =,则MD NC ⋅的值是( )A.12B.C.26D.36【答案】C 【解析】连接,OC OD ,由C 、D 是弧AB 的三等分点,得∠AOD =∠BOC =60°,()()MD NC OD OM OC ON ⋅=-⋅-OD OC OD ON OM OC OM ON =⋅-⋅-⋅+⋅66cos6062cos12026cos12022=⨯⨯-⨯⨯-⨯⨯-⨯18664=++-26=.【练习2】已知,a b 为单位向量,且a b ⋅=0,若25c a b =- ,则cos ,a c <>=___________. 【解析】因为25c a b =-,0a b ⋅=, 所以225a c a a b ⋅=-⋅2=,222||4||455||9c a a b b =-⋅+=,所以||3c =,所以cos ,a c <>= 22133a c a c ⋅==⨯⋅. 【练习3】已知两个单位向量a ,b 的夹角为60°,c =t a +(1-t )b .若b ·c =0,则t =__________.【解析】∵c =t a +(1-t )b ,∴b ·c =t a ·b +(1-t )|b |2.又∵|a |=|b |=1,且a 与b 夹角为60°,b ⊥c ,∴0=t |a ||b |cos 60°+(1-t ),0=12t +1-t .∴t =2.1.例题【例1】已知平面向量,a b不共线,且1a=,1a b⋅=,记b与2a b+的夹角是θ,则θ最大时,a b-=()A.1B C D.2【答案】C【解析】设|b|=x,则()22·22?2b a b a b b x+=+=+,22|2+|=44?8a b a a b b++=+所以()2·22cos 28b a bb a bx θ++==++易得cos 0θ>,()()()2222222222211cos 124811411222263x x x x xx θ+===+⎛⎫-++--+⎪+++⎝⎭, 当24x =时,2cos θ取得最小值,θ取得最大值, 此时22||=2?12a b a a b b --+=-=故选C.【例2】已知,a b 为单位向量,且a b ⋅=0,若25c a b =- ,则cos ,a c <>=___________. 【解析】因为25c a b =-,0a b ⋅=, 所以225a c a a b ⋅=-⋅2=,222||4||455||9c a a b b =-⋅+=,所以||3c =,所以cos ,a c <>= 22133a c a c ⋅==⨯⋅. 【例3】设向量a =(1,0),b =(−1,m ),若()a mab ⊥-,则m =_________. 【解析】(1,0),(1,)a b m ==-,(,0)(1,)(1,)ma b m m m m ∴-=--=+-,由()a ma b ⊥-得:()0a ma b ⋅-=,()10a ma b m ∴⋅-=+=,即1m =-.2.巩固提升综合练习【练习1】若两个非零向量a ,b 满足2a b a b a +=-=,则向量a b +与a b -的夹角是( ) A.6πB.2π C.23π D.56π 【解析】将2a b a b a +=-=平方得:22222224a a b b a a b b a +⋅+=-⋅+=,解得:2203a b b a⎧⋅=⎪⎨=⎪⎩ . 222()()1cos ,42||||a b a b a b a b a b a a b a b +⋅--<+->===-+-.所以向量a b +与a b -的夹角是23π.【练习2】已知非零向量a与b满足b a2=,且b b a⊥-)(,则a与b的夹角为( ) A .π6B .π3C .2π3D .5π6【解析】因为()a b b -⊥,所以2()a b b a b b -⋅=⋅-=0,所以2a b b ⋅=,所以cos θ=22||12||2a b b a b b ⋅==⋅,所以a 与b 的夹角为3π,故选B . 【练习3】已知向量a ,b 夹角为45°,且|a |=1,|2a -b |=10,则|b |=________. 【解析】由|2a -b |=10,得4 a 2-4 a ·b +b 2=10,得4-4×|b |×cos45°+|b |2=10,即-6-22|b |+|b |2=0,解得|b |=32或|b |=-2(舍去).1.例题【例1】已知e b a ,,是平面向量,e 是单位向量.若非零向量a 与e的夹角为3π,向量b 满足0342=+•-b e b ,则b a-的最小值是( )A .1-3B .13+C .2D .3-2 【答案】A 【解析】设,则由得,由得因此的最小值为圆心到直线的距离减去半径1,为选A.【例2】在ABC △,若0AB AC BC AB AC ⎛⎫ ⎪+⋅= ⎪⎝⎭,且12AB AC AB AC ⋅=,则ABC △的形状为( ) A.直角三角形 B.等腰三角形C.等边三角形D.无法判断【答案】C【解析】由题意可得:()cos cos AB BC B AC BC C AB AC BC AB AC AB AC ⎛⎫⨯⨯-⨯⨯ ⎪+⋅=+ ⎪⎝⎭()cos cos BC C B =⨯-,故()cos cos 0BC C B ⨯-=,cos cos ,B C B C ∴==,且:cos 1cos 2AB AC A AB AC A ABACAB AC⨯⨯⋅===⨯,则3A π=, 结合,3B C A π==可知△ABC 为等边三角形.【例3】如图所示,直线x =2与双曲线C :x 24-y 2=1的渐近线交于E 1,E 2两点.记OE 1→=e 1,OE 2→=e 2,任取双曲线C 上的点P ,若OP →=a e 1+b e 2(a ,b △R ),则ab 的值为( )A.14 B .1 C.12 D.18【解析】由题意易知E 1(2,1),E 2(2,-1),△e 1=(2,1),e 2=(2,-1),故OP →=a e 1+b e 2=(2a +2b ,a -b ),又点P 在双曲线上,△(2a +2b )24-(a -b )2=1,整理可得4ab =1,△ab =14.【答案】 A2.巩固提升综合练习【练习1】在平面四边形ABCD 中,o90=∠BAD ,1,2==AD AB ,若CB CA BC BA AC AB •=•+•34, 则CD CB 21+的最小值为____.【答案】【解析】如图,以的中点为坐标原点,以方向为轴正向,建立如下平面直角坐标系.则,,设,则,,因为所以,即:整理得:,所以点在以原点为圆心,半径为的圆上. 在轴上取,连接可得,所以,所以由图可得:当三点共线时,即点在图中的位置时,最小.此时最小为.【练习2】已知向量(cos ,sin ),(3,[0,π].x x x ==∈a b (1)若a ∥b ,求x 的值;(2)记()f x =⋅a b ,求()f x 的最大值和最小值以及对应的x 的值. 【答案】(1)5π6x =(2)0x =时,取得最大值,为3; 5π6x =时,取得最小值,为23-.【解析】解:(1)因为co ()s ,sin x x =a ,(3,=b ,a ∥b ,(2)π(cos ,sin )(3,3cos ())6f x x x x x x =⋅=⋅==+a b . 因为,所以ππ7π[,]666x +∈, 从而π1cos()62x -≤+≤. 于是,当ππ66x +=,即0x =时,取到最大值3; 当π6x +=π,即5π6x =时,取到最小值23-.1.已知O,A,B 是平面上的三个点,直线AB 上有一点C ,且20AC CB +=,则OC =( ) A.2OA OB - B.2OA OB -+C.2133OA OB - D.1233OA OB -+【答案】A【解析】因为20AC CB +=,所以2()()0OC OA OB OC -+-=, 所以OC =2OA OB -, 故选:A.2.已知G 是ABC ∆的重心,D 是AB 的中点 则GA GB GC +-=____________ 【答案】4GD【解析】因为D 是AB 的中点,G 是ABC ∆的重心,则2CG GD =,即2GC GD =- 又1()2GD GA GB =+,所以2GA GB GD +=, 所以2(2)4GA GB GC GD GD GD +-=--=, 故答案为:4GD .3.在平面直角坐标系中,已知点()10A -,、()20B ,,E 、F 是y 轴上的两个动点,且2EF =,则的AE BF ⋅最小值为____.【答案】-3【解析】根据题意,设E (0,a ),F (0,b ); ∴2EF a b =-=; ∴a=b+2,或b=a+2;且()()12AE a BF b ==-,,,; ∴2AE BF ab ⋅=-+;当a=b+2时,()22222AE BF b b b b ⋅=-++⋅=+-;∵b 2+2b ﹣2的最小值为8434--=-; ∴AE BF ⋅的最小值为﹣3,同理求出b=a+2时,AE BF ⋅的最小值为﹣3. 故答案为:﹣3.4.在四边形ABCD 中,AD BC ∥,AB =,5AD = ,30A ∠=︒ ,点E 在线段CB 的延长线上,且AE BE =,则BD AE ⋅=__________. 【答案】1-.【解析】建立如图所示的直角坐标系,则B ,5()22D . 因为AD ∥BC ,30BAD ∠=︒,所以150CBA ∠=︒, 因为AE BE =,所以30BAE ABE ∠=∠=︒,所以直线BE y x =-,直线AE的斜率为-y x =.由(3y x y ⎧=-⎪⎪⎨⎪=⎪⎩得x =1y =-,所以1)E -.所以35(,)(3,1)122BD AE =-=-.5.已知数列{}n a 为等差数列,且满足12107OA a OB a OC =+,若AB AC λ=(R λ∈),点O 为直线BC 外一点,则1009a =( )A . 3B . 2C . 1D .12【答案】D6.设向量a,b 满足|+|=a b ||-=a b ,则a ·b =( ).A .1B .2C .3D .5 【解析】∵|+|=a b (a +b )2=10,即a 2+b 2+2a ·b =10.①∵||-=a b ,∴(a -b )2=6,即a 2+b 2-2a ·b =6.②由①②可得a ·b =1.故选A.7.已知a =(3,2),b =(2,-1),若λa +b 与a +λb 平行,则λ=________.【解析】 △a =(3,2),b =(2,-1),△λa +b =(3λ+2,2λ-1),a +λb =(3+2λ,2-λ),△λa +b △a +λb ,△(3λ+2)(2-λ)=(2λ-1)(3+2λ), 解得λ=±18.在平行四边形ABCD 中,|AD →|=3,|AB →|=5,AE →=23AD →,BF →=13BC →,cos A =35,则|EF →|=( )A.14 B .2 5 C .4 2 D .211 【解析】如图,取AE 的中点G ,连接BG △AE →=23AD →,BF →=13BC →,△AG →=12AE →=13AD →=13BC →=BF →,△EF →=GB →,△|GB →|2=|AB →-AG |2=AB →2-2AB →·AG →+AG →2=52-2×5×1×35+1=20,△|EF →|=|GB →|=25,故选B.9.已知锐角△ABC 的外接圆的半径为1,△B =π6,则BA →·BC →的取值范围为__________.【解析】如图,设|BA →|=c ,|BC →|=a ,△ABC 的外接圆的半径为1,△B =π6.由正弦定理得a sin A =c sin C =2,△a=2sin A ,c =2sin C ,C =5π6-A ,由⎩⎨⎧0<A <π20<5π6-A <π2,得π3<A <π2,△BA →·BC →=ca cos π6=4×32sin A sin C =23sin A sin ⎪⎭⎫ ⎝⎛-A 65π =23sin A ⎪⎪⎭⎫ ⎝⎛+A A sin 23cos 21=3sin A cos A +3sin 2A=32sin2A +3(1-cos2A )2=32sin2A +32cos2A +32=3sin ⎪⎭⎫ ⎝⎛-32πA +32. △π3<A <π2,△π3<2A -π3<2π3,△32<sin ⎪⎭⎫ ⎝⎛-32πA ≤1,△3<3sin ⎪⎭⎫ ⎝⎛-32πA +32≤3+32. △BA →·BC →的取值范围为⎥⎦⎤ ⎝⎛+233,3.10.已知点O ,N ,P 在△ABC 所在的平面内,且|OA →|=|OB →|=|OC →|,NA →+NB →+NC →=0,P A →·PB →=PB →·PC →=PC →·P A →,则点O ,N ,P 依次是△ABC 的( )A .重心、外心、垂心B .重心、外心、内心C .外心、重心、垂心D .外心、重心、内心 【解析】因为|OA →|=|OB →|=|OC →|,所以点O 到三角形的三个顶点的距离相等,所以O 为△ABC 的外心;由NA →+NB →+NC →=0,得NA →+NB →=-NC →=CN →,由中线的性质可知点N 在三角形AB 边的中线上,同理可得点N 在其他边的中线上,所以点N 为△ABC 的重心;由P A →·PB →=PB →·PC →=PC →·P A →,得P A →·PB →-PB →·PC →=PB →·CA →=0,则点P 在AC 边的垂线上,同理可得点P 在其他边的垂线上,所以点P 为△ABC 的垂心. 【答案】 C11.设向量a =(a 1,a 2),b =(b 1,b 2),定义一种向量积:a △b =(a 1,a 2)△(b 1,b 2)=(a 1b 1,a 2b 2).已知向量m =⎪⎭⎫ ⎝⎛4,21,n =⎪⎭⎫⎝⎛0,6π,点P 在y =cos x 的图象上运动,点Q 在y =f (x )的图象上运动,且满足OQ →=m △OP →+n (其中O 为坐标原点),则y =f (x )在区间⎥⎦⎤⎢⎣⎡3,6ππ上的最大值是( ) A .4 B .2 C .2 2 D .23【解析】 因为点P 在y =cos x 的图象上运动,所以设点P 的坐标为(x 0,cos x 0),设Q 点的坐标为(x ,y ),则OQ →=m △OP →+n △(x ,y )=⎪⎭⎫ ⎝⎛4,21△(x 0,cos x 0)+⎪⎭⎫ ⎝⎛0,6π△(x ,y )=⎪⎭⎫ ⎝⎛+00cos 4,621x x π△⎩⎪⎨⎪⎧x =12x 0+π6,y =4cos x 0,即⎪⎩⎪⎨⎧=⎪⎭⎫ ⎝⎛-=00cos 462xy x x π△y =4cos ⎪⎭⎫ ⎝⎛-32πx , 即f (x )=4cos ⎪⎭⎫⎝⎛-32πx ,当x △⎥⎦⎤⎢⎣⎡3,6ππ时,由π6≤x ≤π3△π3≤2x ≤2π3△0≤2x -π3≤π3, 所以12≤cos ⎪⎭⎫ ⎝⎛-32πx ≤1△2≤4cos ⎪⎭⎫ ⎝⎛-32πx ≤4,所以函数y =f (x )在区间⎥⎦⎤⎢⎣⎡3,6ππ的最大值是4,故选A. 12.已知△ABC 是边长为2的等边三角形,P 为平面ABC 内一点,则P A →·(PB →+PC →)的最小是( ) A .-2 B .-32 C .-43 D .-1【解析】 以BC 为x 轴,BC 的垂直平分线AD 为y 轴,D 为坐标原点建立坐标, 则A (0,3),B (-1,0),C (1,0),设P (x ,y ),所以 P A →=(-x ,3-y ),PB →=(-1-x ,-y ),PC →=(1-x ,-y )所以PB →+PC →=(-2x ,-2y ),P A →·(PB →+PC →)=2x 2-2y (3-y )=2x 2+2223⎪⎪⎭⎫ ⎝⎛-y -32≥-32当P ⎪⎪⎭⎫ ⎝⎛23,0时,所求的最小值为-32,故选B.13.已知O 是正△ABC 的中心.若CO AB ACλμ→→→=+,其中λ, R μ∈,则λμ的值为( ) A . 14-B . 13-C . 12- D . 2 【解析】由题O 是正△ABC 的中心,延长CO 交AB 与.D 则()()221112,332333CO CD CA CB AC AB AC AB AC ⎡⎤==+=-+-=-⎢⎥⎣⎦ 即121,,.332λλμμ==-=- 故选C.。
平面向量经典练习题(含答案)1、向量a=(2,4),b=(-1,-3),则向量3a-2b的坐标是(8,22)。
2、已知向量a与b的夹角为60°,a=(3,4),|b|=1,则|a+5b|=√61.3、已知点A(1,2),B(2,1),若AP=(3,4),则BP=(-1,-1)。
4、已知A(-1,2),B(1,3),C(2,0),D(x,1),若AB与CD共线,则|BD|=2.5、向量a、b满足|a|=1,|b|=2,(a+b)⊥(2a-b),则向量a与b的夹角为30°。
6、设向量a,b满足|a+b|=10,|a-b|=6,则a·b=7.7、已知a、b是非零向量且满足(a-2b)⊥a,(b-2a)⊥b,则a与b的夹角是60°。
8、在△ABC中,D为AB边上一点,AD=2DB,CD=3CA+mCB,则m=1.9、已知非零向量a,b满足|b|=4|a|,a⊥(2a+b),则a与b的夹角是53.13°。
10、在三角形ABC中,已知A(-3,1),B(4,-2),点P(1,-1)在中线AD上,且AP=2PD,则点C的坐标是(6,-3)。
二、选择题1、设向量OA=(6,2),OB=(-2,4),向量OC垂直于向量OB,向量BC平行于OA,若OD+OA=OC,则OD坐标=(11,6)。
2、把A(3,4)按向量a(1,-2)平移到A',则点A'的坐标(4,2)。
3、已知向量a,b,若a为单位向量,且|a|=|2b|,则(2a+b)⊥(a-2b),则向量a与b的夹角是30°。
4、已知向量ab的夹角60°,|a|=2,b=(-1,√3),则|2a-3b|=13.5、在菱形ABCD中,∠DAB=60°,|2·0C+CD|=4,则|BC+CD|=2.6、略。
7、略。
8、若向量a=(3,4),向量b=(2,1),则a在b方向上的投影为2.9、略。
2023年高考数学----平面向量基本定理及其应用规律方法与典型例题讲解【规律方法】1、应用平面向量基本定理表示向量的实质是利用平行四边形法则或三角形法则进行向量的加、减或数乘运算.2、用基底表示某个向量的基本方法:(1)观察各向量的位置;(2)寻找相应的三角形或多边形;(3)运用法则找关系;(4)化简结果.【典型例题】例1.(2022·全国·模拟预测)如图,在ABC 中,点D 是边AB 上一点且2BD AD =,E 是边BC 的中点,直线AE 和直线CD 交于点F ,若BF 是ABC ∠的平分线,则BCBA =( )A .4B .3C .2D .12 【答案】C【解析】因为BF 是ABC ∠的平分线,所以存在一个实数λ使得BA BC BF BA BC λ⎛⎫ ⎪=+ ⎪⎝⎭,(根据角平分线的条件,选择合适的基底)因为E 是边BC 的中点,所以2BA BE BF BA BC λ⎛⎫ ⎪ ⎪⎝⎭=+,又点A ,E ,F 共线,所以21BA BC λλ+=①.(三点共线的应用:OA OB OC λμ=+(λ,μ为实数),若A ,B ,C 三点共线,则1λμ+=) 因为2BD AD =,所以32BD BC BF BABC λ⎛⎫ ⎪=+ ⎪ ⎪⎝⎭,又点C ,F ,D 共线,所以312BA BC λλ+=②,联立①②,得112BA BC =,则2BC BA =,即2BC BA =.故选:C . 例2.(2022·全国·模拟预测)如图,在平行四边形ABCD 中,点E 在线段BD 上,且EB mDE =(m R ∈),若AC AE AD λμ=+(λ,μ∈R )且20λμ+=,则m =( )A .13B .3C .14D .4【答案】B 【解析】方法1:在平行四边形ABCD 中,因为EB =mDE ,所以()AB AE m AE AD −=−,所以11AE AB m =++1m AD m +, 又∵AB DC AC AD ==−,∴()111m AE AC AD AD m m =−+++, ∴()()11AC m AE m AD =++−,又∵AC AE AD λμ=+,∴1m λ=+,1m μ=−,(平面向量基本定理的应用)又∵20λμ+=,∴()1210m m ++−=,解得3m =,故选:B.方法2:如图,以A 为坐标原点,AB 所在直线为x 轴建立平面直角坐标系,则()0,0A ,设(),0B a ,(),D b c ,∵AB DC = 则 (),C a b c +,又∵EB mDE =,设(),E x y ,则()()11mb a x a x m x b m y m y c mc y m ⎧+⎧=⎪⎪−=−⎪⎪+⇒⎨⎨−=−⎪⎪=⎪⎪+⎩⎩即:,11mb a mc E m m +⎛⎫ ⎪++⎝⎭∴,11mb a mc AE m m +⎛⎫= ⎪++⎝⎭,(),AC a b c =+,(),AD b c =, 又∵AC AE AD λμ=+,20λμ+=∴2AC AE AD μμ=−+∴()(),=2,,11mb a mc a b c b c m m μμ+⎛⎫+−+ ⎪++⎝⎭∴2()121a bm a b b m mc c c m μμμμ−+⎧+=+⎪⎪+⎨−⎪=+⎪+⎩①② 由②得1=1m mμ+−,将其代入①得3m =, 故选:B. 例3.(2022·北京·牛栏山一中高三期中)在平行四边形ABCD 中,E 是边CD 的中点,AE 与BD 交于点F .若AB a =,AD b =,则AF =( )A .1344a b +B .2133a b +r rC .3144a b +D .1233a b + 【答案】D【解析】12AE AD DE AD AB =+=+. 设AF AE λ=()01λ<<, 则1122BF AF AB AD AB AB AD AB λλλ⎛⎫⎛⎫=−=+−=+− ⎪ ⎪⎝⎭⎝⎭, 又BD AD AB =−,且,,B F D 三点共线,则,BF BD 共线,即R μ∃∈,使得BF BD μ=,即12AD AB AD AB λλμμ⎛⎫+−=− ⎪⎝⎭, 又,AB AD 不共线,则有12λμλμ=⎧⎪⎨−=−⎪⎩,解得2323λμ⎧=⎪⎪⎨⎪=⎪⎩,所以,22112123323333AF AE AD AB AB AD a b ⎛⎫==+=+=+ ⎪⎝⎭. 故选:D.例4.(2022·广东广州·高三期中)如图,在平行四边形ABCD 中,,M N 分别为,AB AD 上的点,且42,53AM AB AN AD ==,连接,AC MN 交于P 点,若AP AC λ=,则λ的值为( )A .35B .57C .411D .815【答案】C 【解析】设MP kMN = 则45AP AM MP AB kMN =+=+ 显然2435MN AN AM AD AB =−=− 得()42424153535k AP AB k AD AB AD k AB ⎛⎫=+−=+− ⎪⎝⎭ 显然AC AD AB =+因为AP AC λ= 所以有()()24135k AD k AB AD AB λ+−=+ 即()24135k AD k AB AD AB λλ+−=+ 根据向量的性质可知()23415k k λλ⎧=⎪⎪⎨⎪−=⎪⎩ 解得611411k λ⎧=⎪⎪⎨⎪=⎪⎩故选:C例5.(2022·安徽省舒城中学模拟预测(文))已知平面向量OA ,OB 满足2OA OB ==,2OA OB ⋅=−,点D 满足2DA OD =,E 为AOB 的外心,则OB ED ⋅的值为( )A .83− B .83 C .163− D .163 【答案】A 【解析】2OA OB ==uu r uu u r Q ,cos 4c 2os OA O OA OB B AOB AOB ⋅=−∴⋅∠=∠=uu r uu u r uu r uu u r ,1cos 2AOB ∴∠=−,23AOB π∴∠=, 以O 为原点,OA ,垂直于OA 所在直线为x ,y 轴建立平面直角坐标系,如图所示,则()0,0O ,()2,0A ,(B −,设(),0D x 又2DA OD =,知()(),022,0x x =−,解得23x =,2,03D ⎛⎫∴ ⎪⎝⎭ 又E 为AOB 的外心,123AOE AOB π∴∠=∠=,OE EA =3AOE EAO OEA π∴∠=∠=∠=,AOE ∴为等边三角形,(E ,∴1,3ED ⎛=− ⎝,∴83OB ED ⋅=−. 故选:A例6.(多选题)(2022·湖北·华中师大一附中高三期中)如图,ABC 中,13BD BC =,12AE AC =,AD 与BE 交于点F ,则下列说法正确的是( )A .1233AD AB AC =+ B .12BF BE = C .:1:3BFD AFE S S =△△D .20AF BFCF ++=【答案】BCD 【解析】为了判断下面的有关结论,先引入三点共线向量形式的充要条件,设,,A B C 三点共线,O 为线外一点,则()1OB mOC m OA =+−, 即OA 与OC 前系数和为1,证:,,A B C 三点共线,AB mAC ∴=,()OB OA m OC OA ∴−=−, ()1OB mOC m OA ∴=+−.()11213333AD AB BD AB BC AB AC AB AB AC =+=+=+−=+, 故A 错; ,,B F E 三点共线,()()112AF AB AE AB AC λλλλ−∴=+−=+, ,,A F D 三点共线,233AF AD AB AC μμμ∴==+, 23132μλμλ⎧=⎪⎪∴⎨−⎪=⎪⎩, 解得1234λμ⎧=⎪⎪⎨⎪=⎪⎩,1122AF AB AE ∴=+, ∴ F 为BE 的中点, 12BF BE ∴=,故B 对; 111443BFD ABD ABC S S S ==⨯⋅△△△, 111222AFE ABE ABC S S S ==⨯⋅△△△, :1:3BFD AFE S S ∴=△△,故C 对;取AB 中点G ,BC 中点H ,如下图,则,,G F H 三点共线,()()()()2AF BF CF AF BF BF CF FB FB F FA C ⎡⎤∴++=−++++=++⎣⎦ ()()220FG FH EA EC =−+=−+=,故D 对. 故选:BCD .例7.(2022·黑龙江·哈尔滨三中模拟预测)在ABC 中,13A A D B =,34A A E C =,BE 与DC 交于点F ,若AF AB AC λμ=+,则λμ+的值为__________. 【答案】79【解析】由已知可得,13A A D B =,34A A E C =. 因为,,,D F C 三点共线,设DF mDC =uuu r uuu r ,01m <<. 13DC AC AD AC AB =−=−uuu r uuu r uuu r uuu r uu u r ,则111333m AF AD DF AB m AC AB AB mAC −⎛⎫=+=+−=+ ⎪⎝⎭uu u r uuu r uuu r uu u r uuu r uu u r uu u r uuu r . 1233m m BF AF AB AB mAC AB AB mAC −+=−=+−=−+uu u r uu u r uu u r uu u r uuu r uu u r uu u r uuu r , 又34BE AE AB AB AC =−=−+uur uu u r uu u r uu u r uuu r ,因为,,B E F 三点共线,则存在R n ∈,使得BF nBE =uu u r uur ,即233344m n AB mAC n AB AC nAB AC +⎛⎫−+=−+=−+ ⎪⎝⎭uu u r uuu r uu u r uuu r uu u r uuu r , 因为,,AB AC 不共线,所以有2334m n n m +⎧−=−⎪⎪⎨⎪=⎪⎩,解得2389m n ⎧=⎪⎪⎨⎪=⎪⎩, 所以,1293AF AB AC =+uu u r uu u r uuu r ,即19λ=,23μ=,79λμ+=. 故答案为:79.例8.(2022·全国·高三专题练习)根据毕达哥拉斯定理,以直角三角形的三条边为边长作正方形,从斜边上作出的正方形的面积正好等于在两直角边上作出的正方形面积之和.现在对直角三角形CDE 按上述操作作图后,得如图所示的图形,若AF AB AD x y =+,则x y −=____________.【答案】12− 【解析】如图,以A 为原点,分别以,AB AD 为,x y 轴建立平面直角坐标系,设正方形ABCD 的边长为2a ,则正方形DEHI,正方形EFGC 边长为a 可知()0,0A ,()2,0B a ,()0,2D a,)1DF a =则)1cos30F x a =⋅,)1sin 302F y a a =⋅+,即F ⎫⎪⎪⎝⎭ 又AF AB AD x y =+,()()()2,00,22,2x a y a ax ay ⎫∴=+=⎪⎪⎝⎭即22ax ay ⎧=⎪⎪⎨⎪=⎪⎩,即22ax ay −=,化简得12x y −=− 故答案为:12−。
平面向量经典例题:1.已知向量a=(1,2),b=(2,0),若向量λa+b与向量c=(1,-2)共线,则实数λ等于()A.-2B.-13C.-1 D.-23[答案] C[解析]λa+b=(λ,2λ)+(2,0)=(2+λ,2λ),∵λa+b与c共线,∴-2(2+λ)-2λ=0,∴λ=-1.2.(文)已知向量a=(3,1),b=(0,1),c=(k,3),若a+2b与c垂直,则k=()A.-1 B.- 3C.-3 D.1[答案] C[解析]a+2b=(3,1)+(0,2)=(3,3),∵a+2b与c垂直,∴(a+2b)·c=3k+33=0,∴k=-3.(理)已知a=(1,2),b=(3,-1),且a+b与a-λb互相垂直,则实数λ的值为()A.-611B.-116C.611 D.116[答案] C[解析]a+b=(4,1),a-λb=(1-3λ,2+λ),∵a+b与a-λb垂直,∴(a+b)·(a-λb)=4(1-3λ)+1×(2+λ)=6-11λ=0,∴λ=6 11.3.设非零向量a、b、c满足|a|=|b|=|c|,a+b=c,则向量a、b间的夹角为()A.150°B.120°C.60°D.30°[答案] B[解析]如图,在▱ABCD中,∵|a|=|b|=|c|,c=a+b,∴△ABD为正三角形,∴∠BAD=60°,∴〈a,b〉=120°,故选B.(理)向量a,b满足|a|=1,|a-b|=32,a与b的夹角为60°,则|b|=()A.12 B.13C.14 D.15[答案] A[解析]∵|a-b|=32,∴|a|2+|b|2-2a·b=34,∵|a|=1,〈a,b〉=60°,设|b|=x,则1+x2-x=34,∵x>0,∴x=12.4.若AB →·BC →+AB →2=0,则△ABC 必定是( ) A .锐角三角形 B .直角三角形 C .钝角三角形 D .等腰直角三角形[答案] B[解析] AB →·BC →+AB →2=AB →·(BC →+AB →)=AB →·AC →=0,∴AB →⊥AC →, ∴AB ⊥AC ,∴△ABC 为直角三角形.5. 若向量a =(1,1),b =(1,-1),c =(-2,4),则用a ,b 表示c 为( ) A .-a +3b B .a -3b C .3a -b D .-3a +b[答案] B[解析] 设c =λa +μb ,则(-2,4)=(λ+μ,λ-μ), ∴⎩⎨⎧ λ+μ=-2λ-μ=4,∴⎩⎨⎧λ=1μ=-3,∴c =a -3b ,故选B. 在平行四边形ABCD 中,AC 与BD 交于O ,E 是线段OD 的中点,AE 的延长线与CD 交于点F ,若AC→=a ,BD →=b ,则AF →等于( )A.14a +12bB.23a +13b C.12a +14b D.13a +23b [答案] B[解析] ∵E 为OD 的中点,∴BE →=3ED →, ∵DF ∥AB ,∴|AB ||DF |=|EB ||DE |,∴|DF |=13|AB |,∴|CF |=23|AB |=23|CD |,∴AF →=AC →+CF →=AC →+23CD →=a +23(OD →-OC →)=a +23(12b -12a )=23a +13b .6.若△ABC 的三边长分别为AB =7,BC =5,CA =6,则AB →·BC →的值为( ) A .19 B .14 C .-18 D .-19 [答案] D[解析] 据已知得cos B =72+52-622×7×5=1935,故AB →·BC →=|AB →|×|BC →|×(-cos B )=7×5×()-1935=-19.7.若向量a =(x -1,2),b =(4,y )相互垂直,则9x +3y 的最小值为( ) A .12 B .2 3 C .3 2 D .6 [答案] D[解析] a ·b =4(x -1)+2y =0,∴2x +y =2,∴9x +3y =32x +3y ≥232x +y =6,等号在x =12,y =1时成立.8.若A ,B ,C 是直线l 上不同的三个点,若O 不在l 上,存在实数x 使得x 2OA →+xOB →+BC →=0,实数x 为( ) A .-1 B .0 C.-1+52D.1+52[答案] A[解析] x 2OA →+xOB →+OC →-OB →=0,∴x 2OA →+(x -1)OB →+OC →=0,由向量共线的充要条件及A 、B 、C 共线知,1-x -x 2=1,∴x =0或-1,当x =0时,BC →=0,与条件矛盾,∴x =-1. 9.(文)已知P 是边长为2的正△ABC 边BC 上的动点,则AP →·(AB →+AC →)( ) A .最大值为8 B .最小值为2 C .是定值6 D .与P 的位置有关[答案] C[解析] 以BC 的中点O 为原点,直线BC 为x 轴建立如图坐标系,则B (-1,0),C (1,0),A (0,3),AB →+AC →=(-1,-3)+(1,-3)=(0,-23),设P (x,0),-1≤x ≤1,则AP →=(x ,-3),∴AP →·(AB →+AC →)=(x ,-3)·(0,-23)=6,故选C.(理)在△ABC 中,D 为BC 边中点,若∠A =120°,AB →·AC →=-1,则|AD →|的最小值是( )A.12B.32C. 2D.22[答案] D[解析] ∵∠A =120°,AB →·AC →=-1,∴|AB →|·|AC →|·cos120°=-1, ∴|AB →|·|AC →|=2,∴|AB →|2+|AC →|2≥2|AB →|·|AC →|=4,∵D 为BC 边的中点,∴AD →=12(AB →+AC →),∴|AD →|2=14(|AB →|2+|AC →|2+2AB →·AC →)=14(|AB →|2+|AC →|2-2)≥14(4-2)=12,∴|AD →|≥22.10. 如图,一直线EF 与平行四边形ABCD 的两边AB ,AD 分别交于E 、F 两点,且交其对角线于K ,其中AE →=13AB →,AF→=12AD →,AK →=λAC →,则λ的值为( )A.15B.14C.13D.12[答案] A[解析] 如图,取CD 的三等分点M 、N ,BC 的中点Q ,则EF∥DG ∥BM ∥NQ ,易知AK →=15AC →,∴λ=15.11. 已知向量a =(2,3),b =(-1,2),若m a +4b 与a -2b 共线,则m 的值为( )A.12 B .2 C .-2 D .-12[答案] C[解析] m a +4b =(2m -4,3m +8),a -2b =(4,-1), 由条件知(2m -4)·(-1)-(3m +8)×4=0,∴m =-2,故选C.12. 在△ABC 中,C =90°,且CA =CB =3,点M 满足BM →=2MA →,则CM →·CB →等于( )A .2B .3C .4D .6 [答案] B[解析] CM →·CB →=(CA →+AM →)·CB →=(CA →+13AB →)·CB →=CA →·CB →+13AB →·CB →=13|AB →|·|CB →|·cos45°=13×32×3×22=3. 13. 在正三角形ABC 中,D 是BC 上的点,AB =3,BD =1,则AB →·AD →=________. [答案]152[解析] 由条件知,|AB →|=|AC →|=|BC →|=3,〈AB →,AC →〉=60°, 〈AB →,CB →〉=60°,CD →=23CB →,∴AB →·AD →=AB →·(AC →+CD →)=AB →·AC →+AB →·23CB →=3×3×cos60°+23×3×3×cos60°=152.14. 已知向量a =(3,4),b =(-2,1),则a 在b 方向上的投影等于________.[答案] -255。
平面向量及其应用(向量篇)典型例题实战(练透核心考点)练透核心考点一:平面向量的概念1.(2023·高一课时练习)给出下列命题:①两个具有公共终点的向量,一定是平行向量;②两个向量不能比较大小,但它们的模能比较大小;③(为实数),则必为零;④为实数,若,则与共线;⑤向量的大小与方向有关.其中正确的命题的个数为( )A.B.C.D.2.(2023·全国·高三专题练习)下列有关四边形的形状判断错误的是( )A.若,则四边形为平行四边形B.若,则四边形为梯形C.若,且,则四边形为菱形D.若,且,则四边形为正方形3.(2023·全国·高三专题练习)设,是两个非零向量,下列四个条件中,使成立的充分条件是( )A .且B.C.D.4.(2023·全国·高三专题练习)若O为所在平面内一点,且满足,则的形状为( )A.等腰直角三角形B.直角三角形C.等腰三角形D.等边三角形5.(2023春·河北·高二统考学业考试)下列说法中正确的是( )A.若两个向量相等,则它们的起点和终点分别重合B.模相等的两个平行向量是相等向量C.若和都是单位向量,则D.零向量与其它向量都共线练透核心考点二:平面向量的线性运算角度1:向量的加法与减法运算1.(2023·高三课时练习)如图,设D、E、F分别为的三边BC、CA、AB的中点,则( ).A.B.C.D.2.(2023·安徽淮南·统考一模)在中,,点D,E分别在线段,上,且D为中点,,若,则直线经过的( ).A.内心B.外心C.重心D.垂心3.(2023·高一课时练习)在中,D为AB的中点,E为CD的中点,设,,用、的线性组合表示为( )A.B.C.D.4.(2023秋·陕西西安·高一西北工业大学附属中学校考期末)在 中,点 满足 ,则( )A.点 不在直线 上B.点 在 的延长线上C.点 在线段 上D.点 在 的延长线上5.(2023·全国·高三专题练习)在中,,则P点( )A.在线段BC上,且B.在线段CB的延长线上,且C.在线段BC的延长线上,且D.在线段BC上,且6.(2023·高一课时练习)如图,、在线段上,且,试探求与的关系,并证明之.角度2:平面向量的数乘运算1.(2023春·湖南·高三校联考阶段练习)在平行四边形ABCD中,E是对角线AC上靠近点C的三等分点,点F在BE上,若,则( )A.B.C.D.2.(2023·广东茂名·统考一模)在中,,,若点M满足,则( )A.B.C.D.3.(2023秋·江苏南京·高三南京师范大学附属中学江宁分校校联考期末)已知平面四边形ABCD满足,平面内点E满足,CD与AE交于点M,若,则等于( )A.B.C.D.4.(2023春·河南新乡·高三校联考开学考试)在中,,设点P,Q满足.若,则( )A.B.C.D.5.(2023·高三课时练习)O是平面上一定点,A、B、C是平面上不共线的三个点,动点P满足,,则P的轨迹一定通过的( )A.外心B.内心C.重心D.垂心高频考点三:平面向量基本定理1.(2023·福建漳州·统考二模)如图,在正方形ABCD中,E,F分别为边BC、CD的中点,若,,则( )A.B.C.D.2.(2023·河南·长葛市第一高级中学统考模拟预测)在中,点为的中点,,与交于点,且满足,则的值为( )A.B.C.D.3.(2023·河南信阳·高三统考期末)已知是内部(不含边界)一点,若,,则__________.4.(2023秋·天津南开·高三天津市第九中学校考期末)如图,在中,,,,,分别是边,上的点,,且,则______,若是线段的中点,且,则______.练透核心考点四:平面向量数量积运算角度1:用定义求向量的数量积一、单选题1.(2023·陕西榆林·统考一模)在平行四边形中,,则( )A.4B.C.D.32.(2023·云南昆明·昆明一中校考模拟预测)已知的外接圆圆心为O,且,,则( )A .0B.C.1D.3.(2023·浙江·永嘉中学校联考模拟预测)已知是边长为1的正三角形,,,则( )A.B.C.D.14.(2023·全国·高三专题练习)已知M是边长为1的正六边形ABCDEF内或其边界上的一点,则的取值范围是________.5.(2023秋·重庆万州·高二重庆市万州第二高级中学校考期末)已知等边三角形ABC的边长为2,边AB的中点为D ,边BC上有两动点E,F,若,则的取值范围是______.角度2:已知数量积求模1.(2023秋·云南·高二统考期末)设,夹角为,则等于( )A.37B.13C.D.2.(2023·全国·高三专题练习)已知,且,则的值为( )A.B.C.D.3.(2023秋·河南安阳·高三校考期末)已知为单位向量,且,则__________. 4.(2023·全国·模拟预测)若平面向量,,且,则______.5.(2023春·安徽宿州·高二安徽省泗县第一中学校考开学考试)已知向量,若与垂直,则___________.角度3:已知模求参数1.(2023秋·浙江绍兴·高三统考期末)已知向量,若在方向上的投影向量模长为1,则实数的值为( )A.B.C.D.2.(2023春·山东济南·高三山东省实验中学校考开学考试)已知向量,若,则( )A.B.C.D.3.(2022秋·贵州毕节·高三校联考阶段练习)已知向量,,若,则_______ _.4.(2022·全国·高三专题练习)已知向量的夹角为,,,则的取值范围是________.5.(2023·辽宁·辽宁实验中学校考模拟预测)已知向量,,若,,则______.角度4:向量模的最值问题1.(2022秋·吉林·高三校联考阶段练习)已知向量,的夹角为,且,则的最小值是__________.2.(2022·高一单元测试)窗的运用是中式园林设计的重要组成部分,在表现方式上常常运用象征、隐喻、借景等手法,将民族文化与哲理融入其中,营造出广阔的审美意境.从窗的外形看,常见的有圆形、菱形、正六边形、正八边形等.已知圆是某窗的平面图,为圆心,点在圆的圆周上,点是圆内部一点,若,且,则的最小值是______.3.(2022春·上海奉贤·高一上海市奉贤中学校考阶段练习)已知,向量,,,、、是坐标平面上的三点,使得,,则的最大值为__.4.(2022秋·江苏宿迁·高三泗阳县实验高级中学校考阶段练习)已知向量满足:,,.(1)若,求在方向上的投影向量;(2)求的最小值.5.(2022·全国·高一专题练习)已知两个不共线的向量的夹角为,且.(1)若,求的值;(2)若为定值,点M在直线上移动,的最小值为,求的值.角度5:求向量的夹角1.(2023·四川内江·统考一模)已知向量,若与的夹角为,则( )A.B.C.D.2.(2023·高一课时练习)设向量,,若与的夹角大于,则实数的取值范围为____________.3.(2023春·河北·高二统考学业考试)已知平面向量,,其中,.(1)求与的夹角;(2)若与共线,求实数的值.4.(2023·高一课时练习)平面内有向量,,,点为直线上的一个动点.(1)当取最小值时,求的坐标;(2)当点满足(1)的条件和结论时,求的值.5.(2022秋·广东揭阳·高二普宁市华侨中学校考阶段练习)已知向量,.(1)若,求实数m的值;(2)若非零向量满足,求与的夹角.角度6:向量数量积的最值问题1.(2023·全国·高三专题练习)在平行四边形ABCD中,,边AB、AD的长分别为2、1,若M、N分别是边BC、CD上的点,且满足,则的最大值是( )A.2B.3C.4D.52.(2023·高一课时练习)如图,正六边形的边长为,记,从点、、、、、这六点中任取两点为向量的起点和终点,则的最大值为______.3.(2023·全国·高三专题练习)已知正方形ABCD的边长为1,点E是AB边上的动点,则的值是________;的最大值____________.4.(2023春·安徽阜阳·高三阜阳市第二中学校考阶段练习)已知中,,,的对边,,成等比数列,,延长至点,使.求:(1)的大小;(2)的取值范围.5.(2023·高三课时练习)已知P是边长为2的正六边形内的一点,求的取值范围.角度7:向量的投影(向量)1.(2023·全国·高三专题练习)已知向量的夹角为,且,则向量在向量方向上的投影是( )A.B.3C.D.12.(2023·全国·高三专题练习)已知,则在上的投影向量是( )A.B.C.D.3.(2023·上海黄浦·统考一模)已知四边形ABCD是平行四边形,若,,,且,则在上的数量投影为______.4.(2023·全国·模拟预测)已知,,是平面向量,满足,,,则向量在向量上的投影的数量的最小值是______.5.(2023秋·浙江·高三期末)已知向量,则在方向上的投影向量是______________.练透核心考点五:平面向量的共线(平行)问题1.(2023春·安徽马鞍山·高二马鞍山二中校考开学考试)已知空间向量,若,则( )A.B.C.D.2.(2023秋·云南曲靖·高三曲靖一中校考阶段练习)如图,已知平行四边形中,点为的中点,,,若,则( )A.2B.1C.-1D.-23.(2023·高三课时练习)已知点G为的重心.(1)求;(2)过G作直线与AB、AC两条边分别交于点M、N,设,,求的值.4.(2023·高一课时练习)已知,,,且与平行,求m的值.5.(2023·全国·高一专题练习)平面内给定三个向量,,.(1)若,求实数;(2)若满足,且,求的坐标.高频考点六:已知向量成锐角(钝角)求参数1.(2022春·重庆九龙坡·高一重庆市育才中学校考阶段练习)已知向量,若向量与向量的夹角为钝角,则的取值范围为( )A.B.C.D.2.(2023·全国·高三专题练习)已知向量=(1,2),=(-3,k).(1)若∥,求的值;(2)若⊥(+2),求实数k的值;(3)若与的夹角是钝角,求实数k的取值范围.3.(2022春·上海徐汇·高一上海市南洋模范中学校考期中)已知:、是同一平面内的两个向量,其中.(1)若且与垂直,求与的夹角;(2)若且与的夹角为锐角,求实数的取值范围.4.(2022春·上海青浦·高一上海市朱家角中学校考期中)已知,,(1)求在方向上的投影.(2)求.(3)若,求k的值.(4)若与的夹角为锐角,求的范围.练透核心考点七:平面向量的垂直问题1.(2023春·四川成都·高三成都七中校考开学考试)已知向量,,若,则实数__________.2.(2023春·河南新乡·高三校联考开学考试)已知向量,,若,则___________. 3.(2023秋·山东菏泽·高三统考期末)已知向量,,若,则t的值为______.4.(2023·高一单元测试)已知向量,,.(1)当k为何值时,与平行;(2)若向量满足,且,求.5.(2022春·上海浦东新·高一上海中学东校校考期末)已知向量,.(1)求;(2)若向量与互相垂直,求的值.练透核心考点八:三点共线的等价关系1.(2023·全国·高三专题练习)在中,点D满足,E为上一点,且,则( )A.B.C.D.2.(2023·全国·高三专题练习)在中,是边上一点.若,则的值为( )A.B.C.D.3.(2023秋·广西钦州·高三校考阶段练习)如图,在△中, ,是上的一点,若,则实数的值为A.B.C.D.4.(2022春·广西桂林·高一校考期末)在平行四边形ABCD中,,,连接CE、DF交于点M,若,则实数λ与μ的乘积为( )A.B.C.D.5.(2022·吉林·东北师大附中校考模拟预测)在中,为上一点,,为线段上任一点,若,则的最小值是( )A.B.C.6D.8练透核心考点九:向量在物理中的应用举例1.(2023·高一课时练习)已知一物体在两力、的作用下,发生位移,则所做的功是________.2.(2023·高一单元测试)一质点在力,的共同作用下,由点移动到,则、的合力对该质点所做的功为______.3.(2023·全国·高三专题练习)如图所示,一个物体被两根轻质细绳拉住,且处于平衡状态,已知两条绳上的拉力分别是F1,F2,且F1,F2与水平夹角均为45°,,则物体的重力大小为_____.4.(2023·高一课时练习)已知质点O受到三个力,,的作用,若它们的大小分别为,,,且三个力之间的夹角都是,求合力的大小和方向.5.(2023·全国·高三专题练习)平面上三个力、、作用于一点且处于平衡状态,,,与的夹角为,求:(1)的大小;(2)与夹角的大小.练透核心考点十:向量新定义题1.(2022·全国·高三校联考阶段练习)黄金分割〔〕是一种数学上的比例关系.黄金分割具有严格的比例性、艺术性、和谐性,蕴藏着丰富的美学价值.应用时一般取,就像圆周率在应用时取一样.高雅的艺术殿堂里,自然也留下了黄金数的足迹.人们还发现,一些名画、雕塑、摄影作品的主题,大多在画面的处.艺术家们认为弦乐器的琴马放在琴弦的处,能使琴声更加柔和甜美.黄金矩形的长宽之比为黄金分割率,换言之,矩形的长边为短边倍.黄金分割率和黄金矩形能够给画面带来美感,令人愉悦.在很多艺术品以及大自然中都能找到它.希腊雅典的巴特农神庙就是一个很好的例子,达芬奇的《维特鲁威人》符合黄金矩形.《蒙娜丽莎》中蒙娜丽莎的脸也符合黄金矩形,《最后的晚餐》同样也应用了该比例布局.2000多年前,古希腊雅典学派的第三大算学家欧道克萨斯首先提出黄金分割.所谓黄金分割,指的是把长为L的线段分为两部分,使其中一部分对于全部之比,等于另一部分对于该部分之比,黄金分割比为其实有关“黄金分割”,我国也有记载,虽没有古希腊的早,但它是我国数学家独立创造的.如图,在矩形中,,相交于点,,,,,,则( )A.B.C.D.2.(多选)(2023·全国·高三专题练习)重庆荣昌折扇是中国四大名扇之一,始于1551年明代嘉靖年间,明末已成为贡品人朝,产品以其精湛的工业制作而闻名于海内外.经历代艺人刻苦钻研、精工创制,荣昌折扇逐步发展成为具有独特风格的中国传统工艺品,其精雅宜士人,其华灿宜艳女,深受各阶层人民喜爱.古人曾有诗赞曰:“开合清风纸半张,随机舒卷岂寻常;金环并束龙腰细,玉栅齐编凤翅长,偏称游人携袖里,不劳侍女执花傍;宫罗旧赐休相妒,还汝团圆共夜凉”图1为荣昌折扇,其平面图为图2的扇形COD,其中,动点P在上(含端点),连接OP交扇形OAB的弧于点Q,且,则下列说法正确的是( )图1 图2A.若,则B.若,则C .D.3.(多选)(2022秋·湖北黄冈·高三统考阶段练习)折扇又名“纸扇”是一种用竹木或象牙做扇骨,韧纸或者绫绢做扇面的能折叠的扇子.如图1,其平面图是如图2的扇形,其中,,点F在弧上,且,点E在弧上运动.则下列结论正确的有( )A.B.,则C.在方向上的投影向量为D.的最小值是-34.(多选)(2022·全国·高三专题练习)古代典籍《周易》中的“八卦”思想在我国建筑中有一定影响.如图是受“八卦”的启示,设计的正八边形的八角窗,若是正八边形的中心,且,则( )A.与能构成一组基底B.C.D.5.(2023·全国·高三专题练习)著名的费马问题是法国数学家皮埃尔德费马(1601-1665)于1643年提出的平面几何极值问题:“已知一个三角形,求作一点,使其与此三角形的三个顶点的距离之和最小.”费马问题中的所求点称为费马点,已知对于每个给定的三角形,都存在唯一的费马点,当的三个内角均小于时,则使得的点即为费马点.已知点为的费马点,且,若,则实数的最小值为_________.答案解析练透核心考点一:平面向量的概念1.(2023·高一课时练习)给出下列命题:①两个具有公共终点的向量,一定是平行向量;②两个向量不能比较大小,但它们的模能比较大小;③(为实数),则必为零;④为实数,若,则与共线;⑤向量的大小与方向有关.其中正确的命题的个数为( )A.B.C.D.【答案】A【详解】对于①,两个向量具有公共终点,但两向量的起点和终点可能不共线,则两向量不是平行向量,①错误;对于②,向量有大小和方向两个维度,无法比较大小;但向量模长仅有大小一个维度,可以比较大小,②正确;对于③,当时,可以为任意实数,③错误;对于④,当时,,此时可以不共线,④错误;对于⑤,向量的大小即向量的模长,与方向无关,⑤错误.故选:A.2.(2023·全国·高三专题练习)下列有关四边形的形状判断错误的是( )A.若,则四边形为平行四边形B.若,则四边形为梯形C.若,且,则四边形为菱形D.若,且,则四边形为正方形【答案】D【详解】A选项,,则,所以四边形为平行四边形,A正确.B选项,,则,所以四边形为梯形,B正确.C选项,,则,四边形是平行四边形;由于,所以四边形是菱形,C正确.D选项,,则,所以四边形为平行四边形;由于,所以四边形为菱形,D选项错误.故选:D3.(2023·全国·高三专题练习)设,是两个非零向量,下列四个条件中,使成立的充分条件是( )A .且B.C.D.【答案】D【详解】对于选项A:且则,两个为相等向量或相反向量,当时,不成立,所以且不是成立的充分条件,故选项A不正确;对于选项B:时,,所以得不出,不是成立的充分条件,故选项B不正确;对于选项C:,若,两个向量方向相反时,得不出,所以不是成立的充分条件,故选项C不正确;对于选项D:满足,同向共线,所以的单位向量与的单位向量相等即,所以是成立的充分条件,故选项D正确;故选:D.4.(2023·全国·高三专题练习)若O为所在平面内一点,且满足,则的形状为( )A.等腰直角三角形B.直角三角形C.等腰三角形D.等边三角形【答案】B【详解】中,因与均为非零向量,则,即,是直角三角形.故选:B5.(2023春·河北·高二统考学业考试)下列说法中正确的是( )A.若两个向量相等,则它们的起点和终点分别重合B.模相等的两个平行向量是相等向量C.若和都是单位向量,则D.零向量与其它向量都共线【答案】D【详解】对于A选项,因为向量是可以移动的,两个向量相等时,它们的起点和终点不一定重合,A选项错误;对于B选项,模相等的两个平行向量,可以是相等向量,也可以是相反向量,B选项错误;对于C选项,和都是单位向量,但它们的方向不一定相同,故和不一定相等,C选项错误;对于D选项,零向量的方向是任意的,零向量与其它向量都共线,D选项正确.故选:D.练透核心考点二:平面向量的线性运算角度1:向量的加法与减法运算1.(2023·高三课时练习)如图,设D、E、F分别为的三边BC、CA、AB的中点,则( ).A.B.C.D.【答案】A【详解】由题意可知,,故选:A2.(2023·安徽淮南·统考一模)在中,,点D,E分别在线段,上,且D为中点,,若,则直线经过的( ).A.内心B.外心C.重心D.垂心【答案】A【详解】因为,且D为中点,,则,又因为,则可得四边形为菱形,即为菱形的对角线,所以平分,即直线经过的内心故选:A3.(2023·高一课时练习)在中,D为AB的中点,E为CD的中点,设,,用、的线性组合表示为( )A.B.C.D.【答案】B【详解】由已知得,.故选:B4.(2023秋·陕西西安·高一西北工业大学附属中学校考期末)在 中,点 满足 ,则( )A.点 不在直线 上B.点 在 的延长线上C.点 在线段 上D.点 在 的延长线上【答案】B【详解】因为,得,所以,所以三点共线,且点 在 的延长线上,故选:B5.(2023·全国·高三专题练习)在中,,则P点( )A.在线段BC上,且B.在线段CB的延长线上,且C.在线段BC的延长线上,且D.在线段BC上,且【答案】B【详解】由题设,,则,所以共线且在延长线上,.故选:B6.(2023·高一课时练习)如图,、在线段上,且,试探求与的关系,并证明之.【答案】相等, 证明见解析【详解】证明:由向量加法三角形法则知:,所以,因为,所以,所以角度2:平面向量的数乘运算1.(2023春·湖南·高三校联考阶段练习)在平行四边形ABCD中,E是对角线AC上靠近点C的三等分点,点F在BE上,若,则( )A.B.C.D.【答案】C【详解】由题可知,∵点F在BE上,∴,∴.∴,.∴.故选:C.2.(2023·广东茂名·统考一模)在中,,,若点M满足,则( )A.B.C.D.【答案】A【详解】由题意可得:.故选:A.3.(2023秋·江苏南京·高三南京师范大学附属中学江宁分校校联考期末)已知平面四边形ABCD满足,平面内点E满足,CD与AE交于点M,若,则等于( )A.B.C.D.【答案】B【详解】如图,因为,所以,又因为,所以,所以,又因为,所以且所以相似于相似比为,所以,,所以,故选:B.4.(2023春·河南新乡·高三校联考开学考试)在中,,设点P,Q满足.若,则( )A.B.C.D.【答案】C【详解】设,则,,,,由,得,即.故选:.5.(2023·高三课时练习)O是平面上一定点,A、B、C是平面上不共线的三个点,动点P满足,,则P的轨迹一定通过的( )A.外心B.内心C.重心D.垂心【答案】B【详解】,令,则是以为始点,向量与为邻边的菱形的对角线对应的向量,即在的平分线上,,共线,故点P的轨迹一定通过△ABC的内心,故选:B高频考点三:平面向量基本定理1.(2023·福建漳州·统考二模)如图,在正方形ABCD中,E,F分别为边BC、CD的中点,若,,则( )A.B.C.D.【答案】C【详解】,,故.故选:C2.(2023·河南·长葛市第一高级中学统考模拟预测)在中,点为的中点,,与交于点,且满足,则的值为( )A.B.C.D.【答案】B【详解】解:如图,因为点为的中点,,所以,,,所以,即,解得所以,的值为.故选:B3.(2023·河南信阳·高三统考期末)已知是内部(不含边界)一点,若,,则__________.【答案】【详解】如图,连结并延长交于点,设点到的距离为,点到的距离为,因为,所以设,设,,所以,所以,即,,所以.故答案为:4.(2023秋·天津南开·高三天津市第九中学校考期末)如图,在中,,,,,分别是边,上的点,,且,则______,若是线段的中点,且,则______.【答案】【详解】由,,所以,所以;由是的中点,所以,所以又,所以,化简可得,又,所以,所以故答案为:练透核心考点四:平面向量数量积运算角度1:用定义求向量的数量积一、单选题1.(2023·陕西榆林·统考一模)在平行四边形中,,则( )A.4B.C.D.3【答案】B【详解】如下图所示:在平行四边形中,因为,所以,因此.又,所以,故.故选:B2.(2023·云南昆明·昆明一中校考模拟预测)已知的外接圆圆心为O,且,,则( )A .0B.C.1D.【答案】C【详解】由知是边中点,因为是△的外接圆圆心,所以△为直角三角形,且,因为,所以△为等边三角形,所以,,所以,故选:C.3.(2023·浙江·永嘉中学校联考模拟预测)已知是边长为1的正三角形,,,则( )A.B.C.D.1【答案】A【详解】由,可知E为BC中点,所以,如图所示:因为,根据上图可知故选:A4.(2023·全国·高三专题练习)已知M是边长为1的正六边形ABCDEF内或其边界上的一点,则的取值范围是________.【答案】【详解】如图,作,垂足为,作于,于,则,当是锐角时,,此时,当是钝角时,,此时,取最小值,当是直角时,,综上,的取值范围是.故答案为:.5.(2023秋·重庆万州·高二重庆市万州第二高级中学校考期末)已知等边三角形ABC的边长为2,边AB的中点为D ,边BC上有两动点E,F,若,则的取值范围是______.【答案】【详解】如图,取线段EF的中点P,连DP,则有,,在正中,当点E与B重合时,, ,则,此时,即,点E从点B开始向点C移动,线段DP长逐渐增大,当点F与C重合时,,,则,则,,所以的取值范围是.故答案为:角度2:已知数量积求模1.(2023秋·云南·高二统考期末)设,夹角为,则等于( )A.37B.13C.D.【答案】D【详解】解:∵.夹角为,所以,故选:D.2.(2023·全国·高三专题练习)已知,且,则的值为( )A.B.C.D.【答案】B【详解】由已知,,,所以.故选:B.3.(2023秋·河南安阳·高三校考期末)已知为单位向量,且,则__________.【答案】【详解】已知,均为单位向量,所以.,所以.故答案为:4.(2023·全国·模拟预测)若平面向量,,且,则______.【答案】【详解】由,得,所以,得,所以,则.故答案为:.5.(2023春·安徽宿州·高二安徽省泗县第一中学校考开学考试)已知向量,若与垂直,则___________.【答案】【详解】∵与垂直,∴,则,解得,∴,则,∴,故答案为:.角度3:已知模求参数1.(2023秋·浙江绍兴·高三统考期末)已知向量,若在方向上的投影向量模长为1,则实数的值为( )A.B.C.D.【答案】B【详解】解:由题得,所以,所以在方向上的投影向量模长为,解得.故选:B2.(2023春·山东济南·高三山东省实验中学校考开学考试)已知向量,若,则( )A.B.C.D.【答案】A【详解】由,可得,又,则,即,解之得故选:A.3.(2022秋·贵州毕节·高三校联考阶段练习)已知向量,,若,则_______ _.【答案】【详解】因为,所以,所以,所以,所以,所以,解得,故答案为:.4.(2022·全国·高三专题练习)已知向量的夹角为,,,则的取值范围是____ ____.【答案】【详解】可设,.,故答案为:5.(2023·辽宁·辽宁实验中学校考模拟预测)已知向量,,若,,则______.【答案】【详解】由题意得,,,所以,所以,解得或.当时,,不符合题意;当时,.所以.故答案为:.角度4:向量模的最值问题1.(2022秋·吉林·高三校联考阶段练习)已知向量,的夹角为,且,则的最小值是__________.【答案】【详解】.因为,所以,当且仅当时取等号,所以,则的最小值是.故答案为:.2.(2022·高一单元测试)窗的运用是中式园林设计的重要组成部分,在表现方式上常常运用象征、隐喻、借景等手法,将民族文化与哲理融入其中,营造出广阔的审美意境.从窗的外形看,常见的有圆形、菱形、正六边形、正八边形等.已知圆是某窗的平面图,为圆心,点在圆的圆周上,点是圆内部一点,若,且,则的最小值是______.【答案】3【详解】因为,所以,所以,即,则.因为点是圆内部一点,所以,所以,则,当且仅当时,等号成立,故的最小值是3.故答案为:3.3.(2022春·上海奉贤·高一上海市奉贤中学校考阶段练习)已知,向量,,,、、是坐标平面上的三点,使得,,则的最大值为__.【答案】12【详解】因为,不妨设,由向量,得,所以,因为,所以,,则,所以当时,取最大值12.故答案为:12.4.(2022秋·江苏宿迁·高三泗阳县实验高级中学校考阶段练习)已知向量满足:,,.(1)若,求在方向上的投影向量;(2)求的最小值.【答案】(1)(2)(1)由数量积的定义可知:,所以在方向上的投影向量为:;(2)又,,所以令所以所以当时,取到最小值为5.(2022·全国·高一专题练习)已知两个不共线的向量的夹角为,且.(1)若,求的值;(2)若为定值,点M在直线上移动,的最小值为,求的值.【答案】(1)-6(2)或(1)解:因为,,,,所以.(2)因为点M在直线上移动,所以设,则,,,当时,的最小值为,则,故.又,所以或.角度5:求向量的夹角。
平面向量专题训练知识点回顾1.向量的三种线性运算及运算的三种形式。
向量的加减法,实数与向量的乘积,两个向量的数量积都称为向量的线性运算,前两者的结果是向量,两个向量数量积的结果是数量。
每一种运算都可以有三种表现形式:图形、符号、坐标语言。
主要内容列表如下:运 算图形语言符号语言坐标语言加法与减法→--OA +→--OB =→--OC→--OB -→--OA =→--AB记→--OA =(x 1,y 1),→--OB =(x 1,y 2) 则→--OA +→--OB =(x 1+x 2,y 1+y 2)AB OB --→=u u u r -→--OA =(x 2-x 1,y 2-y 1)→--OA +→--AB =→--OB实数与向量 的乘积→--AB =λ→aλ∈R记→a =(x,y) 则λ→a =(λx,λy)两个向量 的数量积→a ·→b =|→a ||→b | cos<→a ,→b >记→a =(x 1,y 1), →b =(x 2,y 2) 则→a ·→b =x 1x 2+y 1y 2(3)两个向量平行 :设a =(x 1,y 1),b =(x 2,y 2),则a ∥b ⇔a b λ=r r⇔x 1y 2-x 2y 1=0(4)两个向量垂直:设→a =(x 1,y 1), →b =(x 2,y 2),则→a ⊥→b⇔a 0b •=r r ⇔x 1x 2+y 1y 2=0 课堂精练一、选择题1. 已知平面向量a =,1x () ,b =2,x x (-), 则向量+a b ( )A 平行于x 轴 B.平行于第一、三象限的角平分线C.平行于y 轴D.平行于第二、四象限的角平分线2. 已知向量(1,2)=a ,(2,3)=-b .若向量c 满足()//+c a b ,()⊥+c a b ,则c =( ) A .77(,)93 B .77(,)39-- C .77(,)39 D .77(,)93--ECBA 3.已知向量(1,0),(0,1),(),a b c ka b k R d a b ===+∈=-,如果//c d 那么 ( ) A .1k =且c 与d 同向B .1k =且c 与d 反向C .1k =-且c 与d 同向D .1k =-且c 与d 反向 4已知平面向量(11)(11)==-,,,a b ,则向量1322-=a b ( ) A.(21)--, B.(21)-,C.(10)-,D.(12),5.设P 是△ABC 所在平面内的一点,2BC BA BP +=u u u r u u u r u u u r,则( )A.0PA PB +=u u u r u u u r rB.0PC PA +=u u u r u u u r rC.0PB PC +=u u u r u u u r rD.0PA PB PC ++=u u u r u u u r u u u r r6.已知向量a = (2,1),a ·b = 10,︱a + b ︱=b ︱=( ) 7.设a 、b 、c 是单位向量,且a ·b =0,则()()a c bc -•-的最小值为( )A.2-2C.1-D.18已知向量(1)(1)n n ==-,,,a b ,若2-a b 与b 垂直,则=a( )A .1BC .2D .49平面向量a 与b 的夹角为060,(2,0)a =,1b= 则2ab +=( )B.10.若向量a=(1,1),b=(-1,1),c=(4,2),则c=( )A.3a+bB. 3a-bC.-a+3bD. a+3b11.如图1, D ,E ,F 分别是∆ABC 的边AB ,BC ,CA 的中点,则 ( )A .0AD BE CF ++=u u u r u u u r u u u r rB .0BD CF DF -+=u u u r u u u r u u u r rC .0AD CE CF +-=u u u r u u u r u u u r rD .0BD BE FC --=u u u r u u u r u u u r r12.已知O 是ABC △所在平面内一点,D 为BC 边中点,且2OA OB OC ++=0u u u r u u u r u u u r,那么( )A.AO OD =u u u r u u u rB.2AO OD =u u u r u u u rC.3AO OD =u u u r u u u rD.2AO OD =u u u r u u u r13.设非零向量a 、b 、c 满足c b a c b a =+==|,|||||,则>=<b a ,( )A .150° B.120° C.60° D.30°14.已知()()3,2,1,0a b =-=-,向量a b λ+与2a b -垂直,则实数λ的值为( )A.17-B.17C.16-D.1615.已知1,6,()2==-=g a b a b a ,则向量a 与向量b 的夹角是( )A .6πB .4π C .3π D .2π16.已知向量(1,1),(2,),x ==a b 若a +b 与-4b 2a 平行,则实数x 的值是 ( ) A .-2B .0C .1D .217.在ABC △中,AB =u u u r c ,AC =u u u r b .若点D 满足2BD DC =u u u r u u u r ,则AD =u u u r ( )A .2133+b cB .5233-c bC .2133-b c D .1233+b c 18.在平行四边形ABCD 中,AC 为一条对角线,若(2,4)AB =u u u r ,(1,3)AC =u u u r ,则BD =u u u r ( )A . (-2,-4)B .(-3,-5)C .(3,5)D .(2,4)19.设)2,1(-=,)4,3(-=,)2,3(=则=⋅+)2( ( )A.(15,12)-B.0C.3-D.11- 二、填空题1.若向量a r ,b r 满足12a b ==r r ,且a r 与b r 的夹角为3π,则a b +=r r .2.设向量(12)(23)==,,,a b ,若向量λ+a b 与向量(47)=--,c 共线,则=λ3.已知向量a 与b 的夹角为120o,且4==a b ,那么(2)+gb a b 的值为4.已知平面向量(2,4)a =r ,(1,2)b =-r .若()c a a b b =-⋅r r r r r ,则||c =r____________.5.a r ,b r 的夹角为120︒,1a =r,3b =r 则5a b -=r r .6.已知向量2411()(),,,a =b =.若向量()λ⊥b a +b ,则实数λ的值是7.若向量a 、b 满足b a b a 与,1==的夹角为120°,则b a b a ··+=8.已知向量(3,1)a =r ,(1,3)b =r , (,2)c k =r ,若()a c b -⊥r r r则k = .9.已知向量(3,1)a =r ,(1,3)b =r ,(,7)c k =r ,若()a c -r r∥b r ,则k = .10.在平面直角坐标系xoy 中,四边形ABCD 的边AB ∥DC,AD ∥BC,已知点A(-2,0),B (6,8),C(8,6),则D 点的坐标为__________.平面向量专题训练答案:一选择题1 C2 D3 D 4D 5 B 6 C 7 D 8 C 9 B 10 B11 A 12 A 13 B 14 A 15 C 16 D 17 A 18 B 19 C 二 填空题2 23 0 _4 285 76 -37 -18 09 5 10_(0,-2)。
平面向量经典例题:1.已知向量a=(1,2),b=(2,0),若向量λa+b与向量c=(1,-2)共线,则实数λ等于( )A.-2B.-1 3C.-1D.-2 3[答案] C[解析] λa+b=(λ,2λ)+(2,0)=(2+λ,2λ),∵λa+b与c共线,∴-2(2+λ)-2λ=0,∴λ=-1、2.(文)已知向量a=(3,1),b=(0,1),c=(k,3),若a+2b与c垂直,则k=( )A.-1B.- 3C.-3D.1[答案] C[解析] a+2b=(3,1)+(0,2)=(3,3),∵a+2b与c垂直,∴(a+2b)·c=3k+33=0,∴k=-3、(理)已知a=(1,2),b=(3,-1),且a+b与a-λb互相垂直,则实数λ的值为( )A.-611B.-116C、611D、116[答案] C[解析] a+b=(4,1),a-λb=(1-3λ,2+λ), ∵a+b与a-λb垂直,∴(a+b)·(a-λb)=4(1-3λ)+1×(2+λ)=6-11λ=0,∴λ=6 11、3.设非零向量a、b、c满足|a|=|b|=|c|,a+b=c,则向量a、b间的夹角为( )A.150°B.120°C.60°D.30°[答案] B[解析] 如图,在▱ABCD中,∵|a|=|b|=|c|,c=a+b,∴△ABD为正三角形,∴∠BAD=60°,∴〈a ,b 〉=120°,故选B 、(理)向量a ,b 满足|a |=1,|a -b |=32,a 与b 的夹角为60°,则|b |=( )A 、12B 、13C 、14D 、15[答案] A [解析] ∵|a -b |=32,∴|a |2+|b |2-2a ·b =34,∵|a |=1,〈a ,b 〉=60°,设|b |=x ,则1+x 2-x =34,∵x >0,∴x =12、4.若AB →·BC →+AB →2=0,则△ABC 必定就是( ) A.锐角三角形 B.直角三角形 C.钝角三角形 D.等腰直角三角形[答案] B[解析] AB →·BC →+AB →2=AB →·(BC →+AB →)=AB →·AC →=0,∴AB →⊥AC →, ∴AB ⊥AC ,∴△ABC 为直角三角形. 5.若向量a =(1,1),b =(1,-1),c =(-2,4),则用a ,b 表示c 为( ) A.-a +3b B.a -3b C.3a -b D.-3a +b [答案] B[解析] 设c =λa +μb ,则(-2,4)=(λ+μ,λ-μ),∴⎩⎨⎧λ+μ=-2λ-μ=4,∴⎩⎨⎧λ=1μ=-3,∴c =a -3b ,故选B 、在平行四边形ABCD 中,AC 与BD 交于O ,E 就是线段OD 的中点,AE 的延长线与CD 交于点F ,若AC →=a ,BD →=b ,则AF →等于( )A 、14a +12bB 、23a +13bC 、12a +14bD 、13a +23b[答案] B[解析] ∵E 为OD 的中点,∴BE →=3ED →, ∵DF ∥AB ,∴|AB ||DF |=|EB ||DE |,∴|DF |=13|AB |,∴|CF |=23|AB |=23|CD |,∴AF →=AC →+CF →=AC →+23CD →=a +23(OD →-OC →)=a +23(12b -12a )=23a +13b 、6.若△ABC 的三边长分别为AB =7,BC =5,CA =6,则AB →·BC →的值为( ) A.19 B.14 C.-18 D.-19[答案] D[解析] 据已知得cos B =72+52-622×7×5=1935,故AB →·BC →=|AB →|×|BC →|×(-cos B )=7×5×⎝ ⎛⎭⎪⎫-1935=-19、7.若向量a =(x -1,2),b =(4,y )相互垂直,则9x +3y 的最小值为( ) A.12 B.2 3 C.32D.6[答案] D[解析] a ·b =4(x -1)+2y =0,∴2x +y =2,∴9x +3y =32x +3y ≥232x +y =6,等号在x =12,y =1时成立.8.若A ,B ,C 就是直线l 上不同的三个点,若O 不在l 上,存在实数x 使得x 2OA →+xOB →+BC →=0,实数x 为( ) A.-1 B.0 C 、-1+52D 、1+52[答案] A[解析] x 2OA →+xOB →+OC →-OB →=0,∴x 2OA →+(x -1)OB →+OC →=0,由向量共线的充要条件及A 、B 、C 共线知,1-x -x 2=1,∴x =0或-1,当x =0时,BC →=0,与条件矛盾,∴x =-1、 9.(文)已知P 就是边长为2的正△ABC 边BC 上的动点,则AP →·(AB →+AC →)( ) A.最大值为8B.最小值为2C.就是定值6D.与P的位置有关[答案] C[解析] 以BC的中点O为原点,直线BC为x轴建立如图坐标系,则B(-1,0),C(1,0),A(0,3),AB→+AC→=(-1,-3)+(1,-3)=(0,-23),设P(x,0),-1≤x≤1,则AP→=(x,-3),∴AP→·(AB→+AC→)=(x,-3)·(0,-23)=6,故选C、(理)在△ABC中,D为BC边中点,若∠A=120°,AB→·AC→=-1,则|AD→|的最小值就是( )A、12B、32C、 2D、2 2[答案] D[解析] ∵∠A=120°,AB→·AC→=-1,∴|AB→|·|AC→|·cos120°=-1,∴|AB→|·|AC→|=2,∴|AB→|2+|AC→|2≥2|AB→|·|AC→|=4,∵D为BC边的中点,∴AD→=12(AB→+AC→),∴|AD→|2=14(|AB→|2+|AC→|2+2AB→·AC→)=14(|AB→|2+|AC→|2-2)≥14(4-2)=12,∴|AD→|≥2 2、10.如图,一直线EF与平行四边形ABCD的两边AB,AD分别交于E、F两点,且交其对角线于K,其中AE→=13AB→,AF→=12AD→,AK→=λAC→,则λ的值为( )A、15B、14C、13D、12[答案] A[解析] 如图,取CD的三等分点M、N,BC的中点Q,则EF∥DG∥BM ∥NQ ,易知AK →=15AC →,∴λ=15、11. 已知向量a =(2,3),b =(-1,2),若m a +4b 与a -2b 共线,则m 的值为( )A 、12B.2C.-2D.-12[答案] C[解析] m a +4b =(2m -4,3m +8),a -2b =(4,-1), 由条件知(2m -4)·(-1)-(3m +8)×4=0,∴m =-2,故选C 、12. 在△ABC 中,C =90°,且CA =CB =3,点M 满足BM →=2MA →,则CM →·CB →等于( )A.2B.3C.4D.6[答案] B[解析] CM →·CB →=(CA →+AM →)·CB →=(CA →+13AB →)·CB →=CA →·CB →+13AB →·CB →=13|AB →|·|CB →|·cos45°=13×32×3×22=3、13. 在正三角形ABC 中,D 就是BC 上的点,AB =3,BD =1,则AB →·AD →=________、 [答案]152[解析] 由条件知,|AB →|=|AC →|=|BC →|=3,〈AB →,AC →〉=60°, 〈AB →,CB →〉=60°,CD →=23CB →,∴AB →·AD →=AB →·(AC →+CD →)=AB →·AC →+AB →·23CB →=3×3×cos60°+23×3×3×cos60°=152、14. 已知向量a =(3,4),b =(-2,1),则a 在b 方向上的投影等于________.[答案] -255。
[解析] a 在b 方向上的投影为a ·b |b |=-25=-255、15. 已知向量a 与b 的夹角为2π3,且|a |=1,|b |=4,若(2a +λb )⊥a ,则实数λ=________、[答案] 1[解析] ∵〈a ,b 〉=2π3,|a |=1,|b |=4,∴a ·b =|a |·|b |·cos 〈a ,b 〉=1×4×cos2π3=-2,∵(2a +λb )⊥a ,∴a ·(2a +λb )=2|a |2+λa ·b =2-2λ=0,∴λ=1、 16. 已知:|OA →|=1,|OB →|=3,OA →·OB →=0,点C 在∠AOB 内,且∠AOC =30°,设OC →=mOA →+nOB →(m ,n ∈R +),则m n=________、[答案] 3[解析] 设mOA →=OF →,nOB →=OE →,则OC →=OF →+OE →, ∵∠AOC =30°,∴|OC →|·cos30°=|OF →|=m |OA →|=m , |OC →|·sin30°=|OE →|=n |OB →|=3n ,两式相除得:m3n =|OC →|cos30°|OC →|sin30°=1tan30°=3,∴m n=3、17. (文)设i 、j 就是平面直角坐标系(坐标原点为O )内分别与x 轴、y 轴正方向相同的两个单位向量,且OA→=-2i +j ,OB →=4i +3j ,则△OAB 的面积等于________. [答案] 5[解析] 由条件知,i 2=1,j 2=1,i ·j =0,∴OA →·OB →=(-2i +j )·(4i +3j )=-8+3=-5,又OA →·OB →=|OA →|·|OB →|·cos 〈OA →,OB →〉=55cos 〈OA →,OB →〉, ∴cos 〈OA →,OB →〉=-55,∴sin 〈OA →,OB →〉=255, ∴S △OAB =12|OA →|·|OB →|·sin 〈OA →,OB →〉=12×5×5×255=5、(理)三角形ABC 中,a ,b ,c 分别就是角A ,B ,C 所对的边,能得出三角形ABC 一定就是锐角三角形的条件就是________(只写序号)①sin A +cos A =15 ②AB →·BC →<0 ③b =3,c =33,B =30° ④tan A +tan B +tan C >0、[答案] ④[解析] 若A 为锐角,则sin A +cos A >1,∵sin A +cos A =15,∴A 为钝角,∵AB →·BC →<0,∴BA →·BC →>0,∴∠B 为锐角,由∠B 为锐角得不出△ABC 为锐角三角形;由正弦定理b sin B =c sin C 得,3sin30°=33sin C ,∴sin C =32,∴C =60°或120°,∵c ·sin B =332,3<332<33,∴△ABC 有两解,故①②③都不能得出△ABC 为锐角三角形.④由tan A +tan B +tan C =tan(A +B )(1-tan A tan B )+tan C =-tan C (1-tan A tan B )+tan C =tan A tan B tan C >0,及A 、B 、C ∈(0,π),A +B +C =π知A 、B 、C 均为锐角,∴△ABC 为锐角三角形.18. 已知平面向量a =(1,x ),b =(2x +3,-x ).(1)若a ⊥b ,求x 的值. (2)若a ∥b ,求|a -b |、 [解析] (1)若a ⊥b ,则a ·b =(1,x )·(2x +3,-x )=1×(2x +3)+x (-x )=0, 整理得x 2-2x -3=0,解得x =-1或x =3、(2)若a ∥b ,则有1×(-x )-x (2x +3)=0,则x (2x +4)=0,解得x =0或x =-2, 当x =0时,a =(1,0),b =(3,0), ∴|a -b |=|(1,0)-(3,0)|=|(-2,0)|=(-2)2+02=2,当x =-2时,a =(1,-2),b =(-1,2), ∴|a -b |=|(1,-2)-(-1,2)|=|(2,-4)|=22+(-4)2=25、19. 已知向量a =(sin x ,-1),b =(3cos x ,-12),函数f (x )=(a +b )·a -2、(1)求函数f (x )的最小正周期T ;(2)将函数f (x )的图象向左平移π6上个单位后,再将所得图象上所有点的横坐标伸长为原来的3倍,得到函数g (x )的图象,求函数g (x )的解析式及其对称中心坐标.[解析](1)f (x )=(a +b )·a -2=a 2+a ·b -2=sin 2x +1+3sin x cos x +12-2=1-cos2x 2+32sin2x -12=32sin2x -12cos2x =sin(2x -π6), ∴周期T =2π2=π、(2)向左平移π6个单位得,y =sin[2(x +π6)-π6]=sin(2x +π6),横坐标伸长为原来的3倍得,g (x )=sin(23x +π6),令23x +π6=k π得对称中心为(3k π2-π4,0),k ∈Z 、 20. (文)三角形的三个内角A 、B 、C 所对边的长分别为a 、b 、c ,设向量m =(c -a ,b -a ),n =(a +b ,c ),若m ∥n 、(1)求角B 的大小;(2)若sin A +sin C 的取值范围. [解析] (1)由m ∥n 知c -aa +b=b -a c,即得b 2=a 2+c 2-ac ,据余弦定理知cos B =12,得B =π3、(2)sin A +sin C =sin A +sin(A +B )=sin A +sin(A +π3)=sin A +12sin A +32cos A =32sin A +32cos A =3sin(A +π6),∵B =π3,∴A +C =2π3,∴A ∈(0,2π3),∴A +π6∈(π6,5π6),∴sin(A +π6)∈(12,1],∴sin A +sin C 的取值范围为(32,3].(理)在钝角三角形ABC 中,a 、b 、c 分别就是角A 、B 、C 的对边,m =(2b -c ,cos C ),n =(a ,cos A ),且m∥n 、(1)求角A 的大小;(2)求函数y =2sin 2B +cos(π3-2B )的值域.[解析] (1)由m ∥n 得(2b -c )cos A -a cos C =0, 由正弦定理得2sin B cos A -sin C cos A -sin A cos C =0, ∵sin(A +C )=sin B ,∴2sin B cos A -sin B =0, ∵B 、A ∈(0,π),∴sin B ≠0,∴A =π3、(2)y =1-cos2B +12cos2B +32sin2B =1-12cos2B +32sin2B =sin(2B -π6)+1,当角B 为钝角时,角C 为锐角,则⎩⎪⎨⎪⎧π2<B <π0<2π3-B <π2⇒π2<B <2π3, ∴5π6<2B -π6<7π6,∴sin(2B -π6)∈(-12,12),∴y ∈(12,32). 当角B 为锐角时,角C 为钝角,则⎩⎪⎨⎪⎧0<B <π2π2<2π3-B <π⇒0<B <π6,∴-π6<2B -π6<π6,∴sin(2B -π6)∈(-12,12),∴y ∈(12,32),综上,所求函数的值域为(12,32).21. 设函数f (x )=a ·b ,其中向量a =(2cos x,1),b =(cos x ,3sin2x ),x ∈R 、(1)若f (x )=1-3且x ∈[-π3,π3],求x ;(2)若函数y =2sin2x 的图象按向量c =(m ,n )(|m |<π2)平移后得到函数y =f (x )的图象,求实数m 、n 的值.[解析] (1)依题设,f (x )=2cos 2x +3sin2x=1+2sin(2x +π6).由1+2sin(2x +π6)=1-3,得sin(2x +π6)=-32,∵-π3≤x ≤π3,∴-π2≤2x +π6≤5π6,∴2x +π6=-π3,即x =-π4、(2)函数y =2sin2x 的图象按向量c =(m ,n )平移后得到函数y =2sin2(x -m )+n 的图象,即函数y =f (x )的图象.由(1)得f (x )=2sin2(x +π12)+1、∵|m |<π2,∴m =-π12,n =1、 22. 已知向量OP →=(2cos x +1,cos2x -sin x +1),OQ →=(cos x ,-1),f (x )=OP →·OQ →、(1)求函数f(x)的最小正周期;(2)当x∈[0,π2]时,求函数f(x)的最大值及取得最大值时的x值. [解析] (1)∵OP→=(2cos x+1,cos2x-sin x+1),OQ→=(cos x,-1), ∴f(x)=OP→·OQ→=(2cos x+1)cos x-(cos2x-sin x+1)=2cos2x+cos x-cos2x+sin x-1=cos x+sin x=2sin(x+π4), ∴函数f(x)最小正周期T=2π、(2)∵x∈[0,π2],∴x+π4∈[π4,3π4],∴当x+π4=π2,即x=π4时,f(x)=2sin(x+π4)取到最大值2、23.△ABC的三个内角A、B、C所对的边分别为a、b、c,向量m=(-1,1),n=(cos B cos C,sin B sin C-3 2 ),且m⊥n、(1)求A的大小;(2)现在给出下列三个条件:①a=1;②2c-(3+1)b=0;③B=45°,试从中选择两个条件以确定△ABC,求出所确定的△ABC的面积.(注:只需要选择一种方案答题,如果用多种方案答题,则按第一方案给分).[解析] (1)因为m⊥n,所以-cos B cos C+sin B sin C-32=0,即cos B cos C-sin B sin C=-32,所以cos(B+C)=-32,因为A+B+C=π,所以cos(B+C)=-cos A,所以cos A=32,A=30°、(2)方案一:选择①②,可确定△ABC,因为A=30°,a=1,2c-(3+1)b=0,由余弦定理得,12=b2+(3+12b)2-2b·3+12b·32解得b=2,所以c=6+22,所以S△ABC=12bc sin A=12·2·6+22·12=3+14,方案二:选择①③,可确定△ABC,因为A =30°,a =1,B =45°,C =105°,又sin105°=sin(45°+60°)=sin45°cos60°+cos45°sin60°=6+24,由正弦定理c =a sin C sin A=1·sin105°sin30°=6+22, 所以S △ABC =12ac sin B =12·1·6+22·22=3+14、(注意:选择②③不能确定三角形)(理)如图,⊙O 方程为x 2+y 2=4,点P 在圆上,点D 在x 轴上,点M 在DP 延长线上,⊙O 交y 轴于点N ,DP→∥ON →,且DM →=32DP →、(1)求点M 的轨迹C 的方程; (2)设F 1(0,5)、F 2(0,-5),若过F 1的直线交(1)中曲线C 于A 、B 两点,求F 2A →·F 2B →的取值范围.[解析] (1)设P (x 0,y 0),M (x ,y ),∵DM →=32DP →,∴⎩⎨⎧ y =32y 0x =x,∴⎩⎨⎧y 0=23yx 0=x,代入x 20+y 20=4得,x 24+y 29=1、(2)①当直线AB 的斜率不存在时,显然F 2A →·F 2B →=-4, ②当直线AB 的斜率存在时,不妨设AB 的方程为:y =kx +5,由⎩⎨⎧y =kx +5x 24+y 29=1得,(9+4k 2)x 2+85kx -16=0,不妨设A 1(x 1,y 1),B (x 2,y 2),则⎩⎪⎨⎪⎧x 1+x 2=-85k9+4k 2x 1x 2=-169+4k2,F 2A →·F 2B →=(x 1,y 1+5)·(x 2,y 2+5)=(x 1,kx 1+25)·(x 2,kx 2+25)=(1+k 2)x 1x 2+25k (x 1+x 2)+20=-16(1+k 2)9+4k 2+-80k 29+4k 2+20=-96k 2-169+4k 2+20 =-4+2009+4k 2,∵k 2≥0,∴9+4k 2≥9,∴0<2009+4k 2≤2009,∴-4<F 2A →·F 2B →≤1649,综上所述,F 2A →·F 2B →的取值范围就是(-4,1649].24. 在平面直角坐标系内,已知两点A (-1,0)、B (1,0),若将动点P (x ,y )的横坐标保持不变,纵坐标扩大到原来的2倍后得到点Q (x ,2y ),且满足AQ →·BQ →=1、(1)求动点P 所在曲线C 的方程; (2)过点B 作斜率为-22的直线l 交曲线C 于M 、N 两点,且OM →+ON →+OH →=0,又点H 关于原点O的对称点为点G ,试问M 、G 、N 、H 四点就是否共圆?若共圆,求出圆心坐标与半径;若不共圆,请说明理由.[解析] (1)设点P 的坐标为(x ,y ),则点Q 的坐标为(x ,2y ),依据题意得,AQ →=(x +1,2y ),BQ →=(x -1,2y ).∵AQ →·BQ →=1,∴x 2-1+2y 2=1、∴动点P 所在曲线C 的方程就是x 22+y 2=1、(2)因直线l 过点B ,且斜率为k =-22,∴l :y =-22(x -1),联立方程组⎩⎪⎨⎪⎧x 22+y 2=1y =-22(x -1),消去y 得,2x 2-2x -1=0、设M (x 1,y 1)、N (x 2,y 2),∴⎩⎪⎨⎪⎧x 1+x 2=1x 1x 2=-12∴y 1+y 2=-22(x 1-1)-22(x 2-1)=-22(x 1+x 2)+2=22、由OM →+ON →+OH →=0得,OH →=(-x 1-x 2,-y 1-y 2),即H (-1,-22),而点G 与点H 关于原点对称,∴G (1,22),设线段MN 、GH 的中垂线分别为l 1与l 2,k GH =22,则有l 1:y -24=2(x -12),l 2:y =-2x 、联立方程组⎩⎪⎨⎪⎧y -24=2(x -12)y =-2x解得l 1与l 2的交点为O 1(18,-28).因此,可算得|O 1H |=(98)2+(328)2=3118, |O 1M |=(x 1-18)2+(y 1+28)2=3118、所以M 、G 、N 、H 四点共圆,且圆心坐标为O 1(18,-28),半径为3118、。