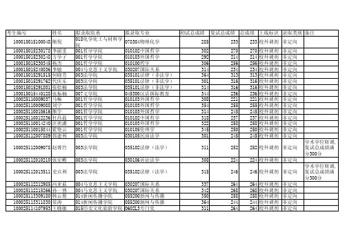
哈尔滨医科大学2015年研究生拟录取名单及分数
- 格式:xlsx
- 大小:58.44 KB
- 文档页数:24
黑龙江中医药大学2015年录取分数线黑龙江中医药大学2015年各省录取分数线生源地:重庆院校代号2311 本科第一批文史类录取人数: 14 1志愿录取最高分607.2401071 ,录取最低分587.2291171 ;生源地:重庆院校代号2311 本科第一批文史类录取人数: 1 征集志愿录取最高分595.2321031 ,录取最低分595.2321031 ;生源地:重庆院校代号2311 本科第一批理工类录取人数: 39 1志愿录取最高分617.2681061 ,录取最低分573.2171081 ;生源地:重庆院校代号2311 本科第一批理工类录取人数: 6 征集志愿录取最高分616.2491081 ,录取最低分595.2441061 ;生源地:云南二本文史录取人数: 15 录取最高分545 分,录取最低分: 476 分,原志愿最低分: 527 分;生源地:云南二本理工录取人数: 35 录取最高分508 分,录取最低分: 438 分,原志愿最低分: 447 分;生源地:云南高职专科批文史录取人数: 19 录取最高分467分,录取最低分: 411 分,原志愿最低分: 411 分;生源地:云南高职专科批理工录取人数: 23 录取最高分423 分,录取最低分: 312 分,原志愿最低分: 312 分;生源地:黑龙江农村贫困地区定向院校代码1709 理工录取最低分493生源地:黑龙江本科第一批B段院校代码1412 理工录取最低分483分征集志愿录取最低分501分生源地:黑龙江本科第二批B段院校代码2645 文史录取最低分435生源地:黑龙江本科第二批B段院校代码2645 理工录取最低分408生源地:黑龙江本科第一批A段院校代号1607 理工投档最低分: 538.121116201生源地:黑龙江本科第一批A段院校代号1607 文史投档最低分: 519.103106189生源地:黑龙江本科第二批A段院校代号2607 文史投档最低分: 469.105108153生源地:黑龙江本科第二批A段院校代号2607 理工投档最低分: 461.086109165生源地:黑龙江本科第二批A段(佳木斯校区) 院校代号2617 文史投档最低分: 433.098093162生源地:黑龙江本科第二批A段(佳木斯校区) 院校代号2617理工投档最低分: 395.097064143生源地:黑龙江高职(专科)A段(佳木斯校区) 院校代号4047 文史投档最低分: 372.092081139生源地:黑龙江高职(专科)A段(佳木斯校区) 院校代号4047 理工投档最低分: 340.066080095生源地:辽宁院校代号0537 本科第二批理科最低录取分数: 446.089110126 分;生源地:辽宁院校代号0537 本科第二批文科最低录取分数: 488.109082103 分;生源地:辽宁院校代号0537 本科第二批征集理科最低录取分数: 465.094105114 分;生源地:辽宁院校代号0537 专科高职批理科最低录取分数361.067088093 分;生源地:辽宁院校代号0537 专科高职批文科最低录取分数382.089043053 分;生源地:贵州第一批本科文史计划数5 ,录取志愿: 平行最高分: 585 分,最低分: 557 分。
(2015-9-17)统招录取人数最高分最低分统招录取人数最高分最低分统招录取人数10105伦理学43543041 40203应用心理学834430643813116 71000生物学71002动物学130730713433431 71003生理学435729573442905 71005微生物学135935923123091 71006神经生物学132932913383382 71007遗传学8374291838729511 71009细胞生物学13394291203832942571010生物化学与分子生物学435831010389292471011生物物理学135435433533271 0710J1医学实验学83100生物医学工程1100101人体解剖与组织胚胎学534129523343195100102免疫学73713071134629213 100103病原生物学535133773302902100104病理学与病理生理学103672981033829014100105法医学936130273332943 1001J1医学实验学1001J2影像学基础100201内科学573922954036029140 100202儿科学14376295632830020 100203老年医学23233047 100204神经病学10370323103642917100205精神病与精神卫生学133333313033032100206皮肤病与性病学7377326735530510中国医科大学2012-2015年统招分专业录取最中国医科大学硕士研究生分专业录取情况统计表(2012-2012012年2013年专业代码专业名称最高分最低分统招录取人数最高分最低分32632622962943723363340323242134430830837831812892892942942399326336332436329338028793832933652862436428733630943593153013011335627729529523053013352865362285335285113442913382852313311327287193332853082981737029833343071299299336285453572873322861933028532028873812973252918371299300290434029434128612350293录取最高最低分统计表2-2015)2014年2015年。