PEP小学英语课本人物(全)
- 格式:doc
- 大小:700.00 KB
- 文档页数:11
人教版小学pep英语全套介绍+高清版图片+学习建议2022年最新人教版小学pep英语全套课本介绍+高清版电子课本图片+学习建议_版本_年级_相关在确认具体版本时,你可以参考:a:版次。
例如2016年7月第1版。
这个非常重要。
因为有时版本修订,封面,书名全部一样,修订后版次不一样,课本就会有部分不一样。
如果能够确认封面,书名和版次一样,基本能够99%确认就是这个版本。
b:目录。
如果您实在要100%确认这个版本,可以再将目录比对一下。
如果书的目录一样,就是百分百是您找的版本。
c:相关的最新信息,你可以在相关出版社官网上查找相关信息,当然你也可以在搜狐号上搜索相关信息。
本页所有子课本图片来自美英桥精选文档网,由于上传图片数量限制,只有一部分,您可以在相关网站上查阅。
三:本套人教版小学(三年级起点)pep英语课本是人民教育出版社出版的,由教育部2012/2013审核通过的小学英语教材。
特别注意:本版本里面的人员的名称正在更新。
以下是课本的信息:一:2022年最新人教版小学(三年级起点)pep英语三年级上册电子课本高清版图片:二:2022年最新人教版小学(三年级起点)pep英语三年级下册电子课本高清版图片:三:2022年最新人教版小学(三年级起点)pep英语四年级上册电子课本高清版图片:四:2022年最新人教版小学(三年级起点)pep英语四年级下册电子课本高清版图片:五:2022年最新人教版小学(三年级起点)pep英语五年级上册电子课本高清版图片:六:2022年最新人教版小学(三年级起点)pep英语五年级下册电子课本高清版图片:七:2022年最新人教版小学(三年级起点)pep英语六年级上册电子课本高清版图片:八:2022年最新人教版小学(三年级起点)pep英语六年级下册电子课本高清版图片:。
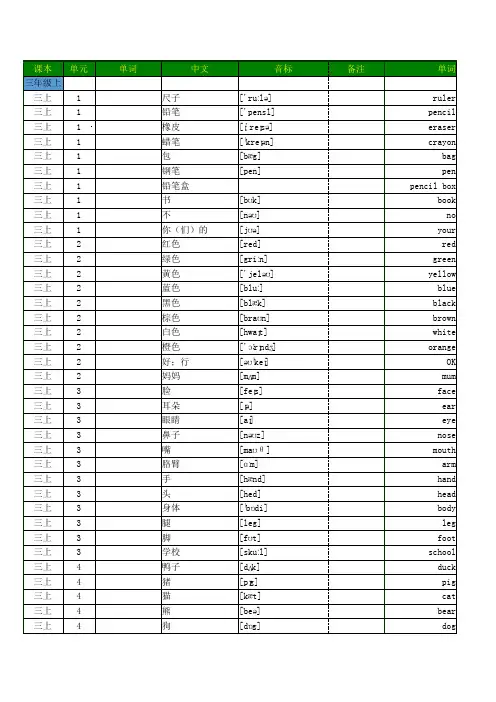
PEP英语三年级(上册)三会单词Unit 1pen 钢笔pencil 铅笔pencil-case 铅笔盒ruler 尺子eraser 橡皮crayon 蜡笔book 书bag 书包sharpener 卷笔刀school 学校Unit 2head 头face 脸nose 鼻子mouth 嘴eye 眼睛ear 耳朵arm 胳膊finger 手指leg腿foot 脚body 身体Unit3red 红色的yellow 黄色的green 绿色的brown 棕色的blue 蓝色的purple 紫色的white 白色的black 黑色的orange 橙色的pink 粉色的Unit 4cat 猫dog 狗monkey 猴子rabbit 兔子duck 鸭子pig 猪bird 鸟bear 熊squirrel 松鼠elephant 大象mouse 老鼠panda 熊猫Unit 5cake 蛋糕bread 面包hot dog 热狗hamburger 汉堡包chicken 鸡肉French fries 榨薯条potato chips 薯片Coke 可乐juice 果汁tea 茶milk 牛奶water 水coffee 咖啡Unit 6one 一two 二three 三four 四five 五six 六seven 七eight 八nine 九ten 十doll 玩具娃娃boat 小船ball 球kite 风筝balloon 气球car 小汽车plane 飞机PEP英语三年级(下册)三会单词Unit 1boy 男孩girl 女孩teacher 教师student 学生this 这个my 我的friend 朋友I’m=I am 我是nice 好、愉快的good morning 早上好good afternoon 下午好meet 遇见;碰见goodbye 再见too 也;太Unit 2father 父亲;爸爸dad 爸爸(口语)man男人mother 母亲;妈妈mom 妈妈(口语)woman 女人grandmother (外)祖母grandma (口语)(外)祖母grandfather (外)祖父grandpa (口语)(外)祖父sister 姐妹brother 兄弟let’s=let us 让我们great 太好了really 真地;确切地and 和;并且how 多么;怎么样Unit 3eleven 十一twelve 十二thirteen 十三fourteen 十四fifteen 十五sixteen 十六seventeen 十七eighteen 十八nineteen 十九twenty 二十how many 多少can 能够;可以look at 看;瞧Unit 4peach 桃pear 梨orange 橙子watermelon 西瓜apple 苹果banana 香蕉strawberry 草莓grape 葡萄like 喜欢want 想要some 一些;某些thanks 谢谢Unit 5bus 公共汽车bike 自行车taxi 出租车jeep 吉普车desk 课桌chair 椅子lamp 台灯your 你的;你们的Unit 6small 小的big 大的long 长的short 短的;矮的tall 高的giraffe 长颈鹿deer 鹿zoo 动物园PEP四年级上册四会单词词汇表Unit 1Window(窗户) board(板) black board (黑板)light(灯) picture(图片) photo(照片)door(门) floor(地板) classroom (教室) Unit 2bag(包) pencil(铅笔) pen(钢笔) book (书)ruler(尺子) pencil-box(铅笔盒) pencil-case (铅笔盒)Unit 3teacher(教师) student(学生) boy(男孩) girl(女孩) friend(朋友) Unit 4home(家) room(房间) school(学校) classroom(教室)window(窗户) desk(课桌;书桌) door(门) chair(椅子) bed(床) Unit 5rice(米饭) beef(牛肉) bread(面包) milk(牛奶) egg(蛋)water(水) chicken(鸡肉) fish(鱼)Unit 6sister(姐妹) brother(兄弟) father(父亲;爸爸) mother(母亲;妈妈) driver(司机) doctor(医生) farmer(农民) nurse(护士)PEP四年级下册四会单词词汇表Unit 1computer(计算机) fan(风扇) this(这;这个) is(是)my(我的) that(那;那个) your(你的)teacher’s desk(讲台) wall(墙) fan(扇子)Unit 2one(一) two(二) three(三) four(四) five(五) six(六) seven(七) eight(八) nine(九) ten(十) what(什么) time(时间)it’s=it is …o’clock(…点钟) math(数学) Chinese(语文) English(英语) P.E.(体育) music(音乐) for(为;给) class(课程) Unit 3jacket(夹克衫) shirt(衬衫) skirt(裙子) dress(连衣裙)T-shirt(T恤衫) red(红色的) blue(蓝色的) yellow(黄色的)green(绿色的) white(白色的) colour(颜色)Unit 4warm(暖和的) cold(寒冷的) cool(凉爽的) today(今天)jeans(牛仔裤) pants(长裤) socks(袜子) shoes(鞋子) let’s=let us play(玩;踢) football(足球) snowy(下雪的) sunny(晴朗的)Unit 5how much(多少钱) big(大的) small(小的) long(长的) short(短的) apple(苹果) banana(香蕉) pear(梨) orange(橙子)watermelon(西瓜) are(是) they 它(他、她)们Unit 6horse(马) aren’t=are not cat(猫) rabbit(兔子) pig(猪)duck(鸭子) dog(狗) eleven(十一) twelve(十二) thirteen(十三) fifteen(十五) twenty(二十) how many(多少) there(那儿;那里) PEP五年级上册四会单词词汇表Unit 1Young (年轻的)funny (滑稽可笑的)tall (高的)strong (强壮的)kind (和蔼的;亲切的)old (年老的)short (矮的)thin (瘦的)Mr (先生)like (像;喜欢)strict (严格的)smart (聪明的;巧妙的)active (积极的;活跃的)quiet (安静的;文静的)very (很;非常)but (但是)Unit 2Monday (星期一)Tuesday (星期二)Wednesday (星期三)Thursday (星期四)Friday (星期五)Saturday (星期六)Sunday (星期天)day (天;日子)have (有;吃)on (在…..时候)do homework (做作业)watch TV (看电视)read books (读书)Unit 3eggplant (茄子)fish (鱼)green beans (青豆)tofu (豆腐)potato (土豆)tomato (西红柿)lunch (中餐;午饭)we (我们)tasty (yummy好吃的)sweet (甜的)sour (酸的)fresh (新鲜的)salty (咸的)favourite (最喜爱的;特别喜爱的)they are (他们是)fruit (水果)grape (葡萄)Unit 4Cook the meals (倒垃圾)water the flowers (浇花)sweep the floor (扫地)clean the bedroom (打扫卧室)make the bed (铺床)set the table (摆饭桌)wash the clothes (洗碗碟)do the dishes (收拾衣服)use a computer (使用计算机)Unit 5curtain (空调)trash bin (垃圾箱)closet (壁橱)mirror (镜子)end table (床头柜)bedroom (卧室)kitchen (厨房)bathroom (卫生间)living room (客厅)in (在…里面)on (在…上面)under (在…下面)near (在..旁边)behind (在…后边)clothes (衣服)Unit 6river (河流)flower (花)grass (草)lake (湖泊)forest (森林)path (路)park (公园)picture (照片)house (房子)bridge (桥)tree (树)road (公路)building (建筑物)clean (干净的)PEP五年级下册四会单词词汇表Unit 1do morning exercises(晨练)eat breakfast(吃早饭)have English class(上英语课)play sports(进行体育运动)eat dinner(吃晚饭)when(什么时候)evening(夜晚;晚上)get up(起床)at(在…点钟)usually(通常;一般)noon(中午)climb mountains(爬山)go shopping(购物;买东西)play the piano(弹钢琴)visit(参观、看望)visit grandparents(看望祖父母)go hiking(去远足)weekend(周末)often(经常)sometimes(有时候)Unit 2spring(春天)summer(夏天)fall(秋天)winter(冬天)season季节)which(哪一个)best(最;极)swim(游泳)fly kites(放风筝)skate(滑冰;滑冰鞋)make a snowman(堆雪人)plant trees(种树)why(为什么)because(因为)sleep(睡觉)Unit 3Jan./January(一月)Feb./February(二月)Mar./March(三月)Apr./April(四月)May(五月)June(六月)July(七月)Aug./August(八月)Sept./September(九月)Oct./October(十月)Nov./November(十一月)Dec./December(十二月)birthday(生日)uncle(叔叔;舅舅)her(她的)date(日期)Unit 4aw pictures(画画)cook dinner(做饭)read a book(看书)answer the phone(接电话)listen to music(听音乐)clean the room(打扫房间)write a letter(写信)write an e-mail(写电子邮件)grandpa(爷爷;外公)study(书房)Unit 5fly(飞)jump(跳)walk(走)run(跑)swim(游泳)kangaroo(袋鼠)sleep(睡觉)climb(往上爬)fight(打架)swing(荡;荡秋千)drink water(喝水)Unit 6take pictures(照相)watch insects(观察昆虫)pick up leaves(采摘树叶)do an experiment(做实验)catch butterfly(捉蝴蝶)honey(蜂蜜)count insects(数昆虫)collect leaves(收集树叶)write a report(写报告)play chess(下棋)have a picnic(举行野餐)PEP六年级上册四会单词词汇表Unit 1by (经,乘) foot(脚) bike(自行车) bus(公共汽车)train(火车) how(怎样) go to school(上学)traffic(交通)traffic light(交通灯)rule(规则)traffic rule(交通规则)stop(停,停车站)wait(等待)get to(到达)Unit 2library(图书馆) post office(邮局) hospital(医院)cinema(电影院) turn(转弯) bookstore(书店)where(在哪里,到哪里) please(请) next to(与…相邻)right (右边) left(左边) straight(成直线地) then (然后)Unit 3next week(下周) this morning(今天上午)this afternoon(今天下午) this evening (今天晚上)comic book(漫画书) post card(明信片)newspaper(报纸) buy(购买)Unit 4hobby(爱好) ride a bike--riding a bike(骑自行车)dive--diving(跳水) play the violin—playing the violin(拉小提琴) make kites—making kites(制作风筝)collect stamps—collecting stamps(集邮)live–lives(居住) teach--teaches(教) go--goes(去) watch--watches(看) read--reads(读,看)does doesn’t=does notUnit 5singer(歌唱家,歌手) writer(作家) actor(男演员) actress(女演员) artist(画家) TV reporter(电视台记者) engineer(工程师) accountant(会计) policeman(男警察) salesperson(销售员)cleaner(清洁工) where(在哪里,到哪里)work(工作)Unit 6rain(雨) cloud (云) sun(太阳) stream(河,溪)come from(来自,从…来) seed(种子) soil(土壤)sprout (苗,芽) plant(植物,种植) should (应该) then(然后)PEP六年级下册四会单词词汇表Unit 1tall—taller更高的short—shorter 更矮的strong—stronger 更强壮的old—older 年龄更大的young—younger 更年轻的big—bigger 更大的heavy—heavier 更重的long—longer 更长的thin—thinner 更瘦的small—smaller (体型)更小的Unit 2have a fever 发烧have a sore throat喉咙疼have a cold感冒have a toothache 牙疼have a headache 头疼matter事情,麻烦sore 疼的hurt疼痛nose 鼻子tired疲劳的,累的excited兴奋的angry生气的happy高兴的bored无聊的,烦人的sad 忧伤的,悲伤的Unit 3watch—watched 看wash—washed 洗clean—cleaned打扫play—played玩visit—visited 看望do—didlast weekend 上一个周末go—went去和iivgo to a park—went to a park 去公园go swimming—went swimming去游泳go fishing—went fishing去钓鱼read—read 读go hiking—went hiking 去远足Unit 4learn Chinese—learned Chinese学汉语sing and dance—sang and danced 唱歌和跳舞eat good food—ate good food吃好吃的食物take pictures—took pictures 照相climb—climbed 爬have—hadbuy presents—bought presents买礼物row a boat—rowed a boat 划船see elephant—saw elephant 看大象go skiing—went skiing 去滑雪go ice-skating—went ice-skating 去滑冰how怎么,如何get—got 到达last 上一个的,仅余的,留在最后的小学英语人名翻译男:Mike(迈克)女:Chen Jie(陈洁)Wu Yifan(吴一帆)Amy(艾米)John(约翰)Sarah(萨拉)Zhang Peng(张鹏)Liu Yun(刘芸)Nick(尼克)Lisa(莉萨)Pete(皮特)Mary(玛丽)Tom(汤姆)Ann(安)Mr Black(布莱克先生)Miss White(怀特小姐)希望该资料对您的孩子在学习英语方面有所帮助!一、学习用品(school things)pen钢笔 pencil铅笔pencil-case铅笔盒 ruler尺子 book 书bag 包post card明信片 newspaper报纸 schoolbag书包eraser橡皮crayon蜡笔 sharpener卷笔刀 story-book故事书 notebook笔记本 Chinese book语文书 English book英语书 maths book数学书 magazine杂志 newspaper 报纸dictionary词典二、身体部位(body)foot脚 head头 face脸 hair头发 nose鼻子 mouth嘴 eye眼睛ear耳朵 arm手臂 hand手 finger手指 leg腿 tail尾巴三、颜色(colours)red红 blue蓝 yellow黄 green绿 white白 black黑pink粉红 purple紫 orange橙 brown棕四、动物(animals)cat猫 dog狗 pig猪 duck鸭 rabbit兔子horse马elephant大象 ant蚂蚁 fish鱼 bird鸟snake蛇mouse鼠 kangaroo袋鼠 monkey猴子 panda熊猫bear熊 lion狮tiger老虎 fox狐狸 zebra斑马giraffe长颈鹿 goose鹅 hen母鸡 turkey火鸡lamb小羊 sheep绵羊goat山羊deer鹿cow奶牛 shark鲨鱼seal海豹五、人物(people)friend朋友boy男孩 girl女孩 mother母亲 father父亲sister姐妹brother兄弟uncle叔叔man男人woman女人 Mr先生 Miss小姐lady女士 mom妈妈dad爸爸 parents父母grandma/grandmother(外)祖母 grandpa/grandfather(外)祖父 aunt阿姨cousin表兄弟姐妹son儿子baby婴儿kid小孩 classmate同学queen女王 visitor参观者 neighbour邻居 principal校长pen pal笔友 tourist旅行者people人物 robot机器人六、职业(job)teacher教师 student学生doctor医生 nurse护士driver司机 farmer农民singer歌唱家writer作家actor男演员actress女演员artist艺术家TV reporter电视台记者engineer工程师policeman(男)警察salesperson销售员cleaner清洁工baseball player棒球运动员assistant售货员七、食品(food and drink:)breakfast早餐 lunch中餐 dinner晚餐 egg鸡蛋rice米饭 cake蛋糕 bread面包 jam果酱biscuit饼干 sausage香肠 sandwich三明治dumplings 饺子 fish and chips炸鱼薯条 meat肉chicken鸡肉 mutton羊肉 beef牛肉 pork猪肉fish鱼 hamburger汉堡 hot dog热狗 noodles面条soup汤 salad沙拉 milk牛奶water水 ice-cream冰淇淋 cola可乐juice果汁tea茶 coffee咖啡fruit 水果 apple苹果 banana香蕉 pear梨orange橙 watermelon西瓜 grape葡萄cherry 樱桃 lemon 柠檬 mango 芒果coconut椰子 peach桃 strawberry草莓vegetable 蔬菜eggplant茄子green beans青豆tomato西红柿potato土豆cucumber黄瓜onion洋葱carrot胡萝卜cabbage卷心菜pumpkin 南瓜sweet potato红薯pea 豌豆八、衣服(clothes)jacket夹克衫shirt衬衫 T-shirt T恤衫skirt短裙子 dress连衣裙jeans牛仔裤pants/trousers裤子 socks袜子 shoes鞋子sweater毛衣 coat上衣 raincoat雨衣 shorts短裤sandals凉鞋 boots靴子 hat帽子 cap鸭舌帽sunglasses太阳镜 tie领带 scarf围巾 gloves手套九、交通工具(vehicles)bike自行车 bus公共汽车 train火车水 boat小船ship轮船 yacht快艇 car小汽车 taxi出租车jeep吉普车 van小货车 plane飞机subway地铁motor bike摩托车十、杂物(other things)window窗户door门 desk课桌chair椅子 bed床computer 计算机board写字板 fan风扇light灯teacher’s desk讲台picture图画photo照片 wall墙壁floor地板 mirror镜子 football足球 present/gift礼物walkman随身听 lamp台灯 phone电话sofa沙发shelf书架 fridge冰箱table桌子TV电视air-conditioner(AC)空调 key钥匙lock锁plate盘子knife刀fork叉 spoon勺子chopsticks筷子 pot锅 toy玩具 doll洋娃娃ball球balloon气球kite风筝 jigsaw puzzle拼图游戏 box盒子 umbrella伞 zipper拉链violin小提琴nest鸟窝 hole洞 toothbrush牙刷 menu菜单e-card电子卡片 e-mail电子邮件 traffic light交通灯money钱medicine药十一、地点(locations)home家room房间 bedroom卧室 bathroom卫生间 living room起居室/客厅kitchen厨房classroom教室 school学校 park公园 library图书馆 post office邮政局 hospital医院 cinema电影院bookstore书店 farm农场 zoo动物园 garden花园playground操场 canteen餐厅teacher’s office教师办公室gym体育馆washroom盥洗室 art room美术室computer room电脑房music room音乐教室flat 公寓 company公司 factory 工厂pet shop 宠物店science museum科学博物馆the Great Wall 长城supermarket超市 bank 银行country乡村 village村庄city城市十二、气象(weather)cold 冷的hot 热的warm温暖的 cool 凉爽的 snowy下雪的sunny晴朗的 rainy下雨的 windy刮风的 cloudy多云的 weather report天气预报十三、景物(nature)river河流lake湖泊 stream小溪forest森林path小路road马路house房子bridge桥building建筑物 rain雨 cloud 云sun太阳mountain大山 sky天空 rainbow彩虹 wind风 air空气十四、植物(plants)flower 花 grass草 tree 树 seed 种子plant 植物 rose玫瑰 leaf 树叶十五、星期(week)Monday 周一Tuesday周二Wednesday周三Thursday 周四Friday周五Saturday周六Sunday周日 weekend周末十六、月份(months)January一月 February二月 March三月April 四月May五月 June六月July七月 August八月 September九月October十月 November 十一月December十二月十七、季节(seasons)spring 春天summer夏天 fall/autumn 秋天winter冬天十八、方位(directions)south南 north北east东 west西 left 左right右十九、患病(illness)have a fever发高烧hurt 疼痛 have a cold 伤风have a toothache 牙疼have a headache 头疼have a sore throat喉咙疼have a stomachache 胃痛二十、数词(number)one two three four five six seven eight nine teneleven twelve thirteen fourteen fifteensixteen seventeen eighteen nineteentwenty二十thirty三十 forty四十fifty五十 sixty六十seventy七十 eighty八十 ninety九十hundred一百first第一second第二 third第三 fourth第四fifth第五 sixth第六seventh第七 eighth第八ninth第九 tenth 第十 eleventh 第十一 twelfth第十二二十一、形容词(adj.)big 大的 small 小的 long 长的 tall高的 short短的young 年轻的 old老的strong强壮的 thin瘦的 active 积极的 quiet安静的nice好的 kind 善良的strict 严格的 smart 聪明的 funny滑稽的sweet甜的 salty 咸的 sour酸的 fresh 新鲜favourite最喜欢的 clean干净的tired累的 excited(感觉)兴奋的 angry生气的happy 高兴的 bored无聊的sad 难过的 taller更高的 shorter更短的stronger更强壮的 older更老的 younger更年轻的bigger更大的 heavier更重的 longer 更长的thinner更瘦的 smaller更小的 good好的 better更好的higher更高的fine好的great棒的 heavy重的 new新的 fat胖的 right对的hungry饿的 cute可爱的little小的 lovely可爱的 beautiful漂亮的 colourful五颜六色的pretty漂亮的 cheap便宜的 expensive贵的juicy有汁的 healthy健康的 helpful有帮助的high高的 easy简单的 proud 骄傲的二十二、介词(prep.)in在……里面 on 在……上面 under在……下面 near在……附近 be hind 在……后面 next to 在……旁边 over悬在……上面 in front of 在……前面二十三、代词(pron.)I 我 we 我们 you你,你们 he 他 she她it它they 他们my我的our我们的your你的,你们的his他的 her她的二十四、动词(verb.)play 玩 swim 游泳 skate溜冰 fly 飞 jump跳walk走 run跑 climb爬 fight 打架 swing荡秋千eat 吃sleep睡觉like喜欢have有buy买take拍(照),带 live 居住 teach 教 go去 study学习learn学习 sing 唱歌 dance跳舞 row划read books读书 do homework做作业watch TV 看电视 cook the meals烧菜water the flowers浇花 sweep the floor 拖地clean the bedroom打扫房间 make the bed铺床叠被set thetable摆餐桌 wash the clothes洗衣服wash the dishes洗盘子 use acomputer 用电脑 do morning exercises 做早操eat breakfast 吃早餐eat dinner 吃晚饭 go to school去上学 have English class上英语课 play sports体育运动 get up起床 climb mountains爬山go shopping去购物 play the piano弹钢琴visit grandparents拜访祖父母 go hiking去远足fly kites放风筝 make a snowman堆雪人 plant trees植树 draw pictures画画cook dinner烧晚饭 read a book读书 answer the phone接电话listen to music听音乐 clean the room打扫房间write a letter写信 write an e-mail写电子邮件drink water喝水 take pictures拍照片pick up leaves摘树叶 write a report写报告play chess下棋 have a picnic野餐 get to到达ride a bike骑自行车 play the violin拉小提琴collect stamps集邮 meet遇见 welcome欢迎thank 谢谢work工作 drink喝 taste尝 smell闻 feed喂milk挤牛奶 look看guess猜 help帮助 pass传递 show展示,给……看use用 clean打扫 open打开 close关 put放 read读,看 write写 paint画画tell告诉 kick踢 ride骑 stop停 wait等find找 drive驾驶 fold折叠 send送,寄wash洗 shine照耀 become变成feel感觉 think想 fall掉下 leave离开 wake up醒过来put on穿上 take off 脱下 hang up挂起来wear穿 go home回家 go to bed去睡觉play computer games玩电脑游戏play chess下棋 do housework做家务empty the trash倒垃圾 put away the clothes放好衣服get off下车 take a trip去郊游read a magazine 读杂志 go to the cinema 去电影院二十五、疑问词what(什么) what colour(什么颜色)what time(几点)what day(星期几) how(怎样)how old(年龄多大、几岁)how many(多少) how much (多少钱)how tall (多高)how heavy(多重) how long(多长)how big(多大) how large(面积多大) who(谁) when(什么时候)whose (谁的) where(在哪里)why(为什么)which(哪一个)。
假设Jack 是10岁,短发,1.5m, 50kg; 而May 是12岁,长发,1.6m,45kg。
请运用学过的句型介绍和比较一下他们的特征。
Jack and May
I have two good friends. They are Jack and May. He is ten. He has
short hair. He is 50kg now. And May is a beautiful girl. She has long hair.
She is two years older than Jack. She is 12 now. She is taller than Jack.
She is 1.6m. But Jack is heavier than May. May is 45kg. They are lovely
students. I like them.
小升初英语单词分类大全一、学习用品(school things)pen钢笔pencil铅笔pencil-case铅笔盒ruler尺子book书bag包comic book漫画书post card明信片newspaper报纸schoolbag书包eraser橡皮crayon蜡笔sharpener卷笔刀story-book故事书notebook笔记本Chinese book语文书English book英语书math book数学书magazine杂志dictionary词典二、人体(body)foot脚head头face脸hair头发nose鼻子mouth嘴eye眼睛ear耳朵arm手臂hand手finger手指leg腿tail尾巴三、颜色(colours)red红blue蓝yellow黄green绿white白black黑pink粉红purple紫orange橙brown棕四、动物(animals)cat猫dog狗pig猪duck鸭rabbit兔horse 马elephant大象ant蚂蚁fish鱼bird鸟eagle鹰beaver海狸snake蛇mouse老鼠squirrel松鼠kangaroo袋鼠monkey猴panda熊猫bear熊lion狮子tiger老虎fox狐狸zebra斑马deer鹿giraffe长颈鹿goose鹅hen母鸡turkey火鸡lamb小羊sheep绵羊goat山羊cow奶牛donkey驴squid鱿鱼lobster龙虾shark鲨鱼seal海豹sperm whale抹香鲸killer whale虎鲸五、人物(people)friend朋友boy男孩girl女孩mother母亲father父亲sister姐妹brother兄弟man男人uncle叔叔;舅舅woman女人Mr.先生Miss小姐lady女士;小姐mom妈妈dad爸爸parents父母grandparents祖父母grandma/grandmother(外)祖母grandpa/grandfather(外)祖父aunt姑姑cousin堂(表)兄弟;堂(表)姐妹son儿子daughter女儿baby婴儿kid小孩classmate同学queen女王visitor参观者neighbour邻居principal校长university student大学生pen pal笔友tourist旅行者people人物robot机器人六、职业(jobs)teacher教师student学生doctor医生nurse护士driver司机farmer农民singer歌唱家writer作家actor男演员actress女演员artist画家TV reporter电视台记者engineer工程师accountant会计policeman(男)警察salesperson销售员cleaner清洁工baseball player棒球运动员assistant售货员police警察七、食品、饮料(food &drink)rice米饭bread面包beef牛肉milk牛奶water水egg蛋fish鱼tofu豆腐cake蛋糕hot dog热狗hamburger汉堡包French fries炸薯条cookie曲奇biscuit饼干jam果酱noodles面条meat肉chicken鸡肉pork猪肉mutton羊肉vegetable蔬菜salad沙拉soup汤ice冰ice-cream冰淇淋Coke可乐juice果汁tea茶coffee咖啡breakfast早餐lunch午餐meal一餐dinner/supper晚餐八、水果、蔬菜(fruit &vegetables)apple苹果banana香蕉pear梨orange橙watermelon西瓜grape葡萄eggplant茄子green beans青豆tomato西红柿potato土豆peach桃carrot胡萝卜strawberry草莓cucumber黄瓜onion洋葱cabbage卷心菜九、衣服(clothes)jacket夹克衫shirt衬衫T-shirt丅恤衫skirt短裙子dress连衣裙jeans牛仔裤pants长裤socks袜子shoes鞋子sweater毛衣coat上衣raincoat雨衣shorts短裤sneakers网球鞋slippers拖鞋sandals凉鞋boots靴子hat(有沿的)帽子cap便帽tie领带sunglasses太阳镜scarf围巾gloves手套trousers裤子cloth布十、交通工具(vehicles)bike自行车bus公共汽车train火车boat小船ship轮船yacht快艇car小汽车taxi出租车jeep吉普车van小货车;面包车plane/airplane飞机subway/underground地铁motor cycle摩托车十一、杂物(other things)window窗户door门desk课桌chair椅子bed床computer计算机board写字板fan风扇light灯teacher’s desk讲台picture图画;照片wall墙壁floor地板curtain窗帘trash bin垃圾箱closet壁橱mirror镜子end table床头柜football/soccer足球present礼物walkman随身听lamp台灯phone电话sofa沙发shelf书架fridge冰箱table桌子TV电视air-conditioner空调key钥匙lock锁photo照片chart图表plate盘子knife刀fork 叉spoon勺子chopsticks筷子pot锅gift礼物toy玩具doll洋娃娃ball球balloon气球kite风筝jigsaw puzzle拼图游戏box盒子umbrella伞zipper拉链violin小提琴yo-yo溜溜球nest鸟窝hole洞tube管子toothbrush牙刷menu菜单e-card电子卡片e-mail电子邮件traffic light交通灯money钱medicine药十二、地点(locations)home家room房间bedroom卧室bathroom卫生间living room起居室kitchen厨房classroom教室school学校park公园library图书馆post office邮局police office警察局hospital医院cinema电影院bookstore书店 farm农场zoo动物园garden花园study书房playground操场canteen食堂teacher’s office教师办公室library图书馆gym体育馆washroom卫生间art room绘画教室computer room计算机教室music room音乐教室TV room电视机房flat公寓company公司factory工厂fruit stand水果摊pet shop宠物商店nature park自然公园theme park主题公园science museum科学博物馆the Great Wall长城supermarket超市bank银行country国家village乡村city城市hometown家乡bus stop公交车站十三、课程(classes)sports体育运动science科学Moral Education思想品德课Social Studies社会课Chinese语文math数学PE体育课English英语课十四、动词(v.)进行体育运动play sports玩;踢play 打架fight游泳swim 滑冰skate爬山climb mountains放风筝fly kites跳舞dance 唱歌sing弹钢琴play the piano晨练;做广播操domorning exercises去远足go hiking堆雪人make a snowman植树plant trees pictures浇花water the flowers照相take pictures听音乐listen to music绘画paint 画画draw去旅行take a trip阅读杂志read a magazine集邮collect stamps下棋play chess驾驶drive飞fly 跳jump 走walk看look 跑run 爬climb荡swing 划row 踢kick骑ride 停stop 等wait爱love 尝taste 闻smell剪shear 放put 折fold寄send 买buy 卖sell逛商店go shopping吃eat 喝drink有;吃have 像;喜欢like帮助help 转弯turn居住live带take教teach 去go 挤奶milk猜guess 反弹bounce回家go home做家务do housework睡觉sleep上床睡觉go to bed铺床make the bed起床get up 醒来wake up穿上put on 脱掉take off挂起hang up 穿wear洗wash洗衣服wash the clothes喝水drink water洗碗do the dishes打扫clean扫地sweep the floor打扫卧室clean thebedroom打扫房间clean the room倒垃圾empty the trash收拾衣服put away theclothes摆饭桌set the table做饭cook the meals做晚饭cook dinner吃早饭eat breakfast吃晚饭eat dinner上学go to school上英语课have Englishclass 学习learn做作业do homework写信write a letter读书books看书read a book写电子邮件write ane-mail观察昆虫watch insects读read 写write看电视watch TV去看电影go to the cinema思考think使用计算机use thecomputer玩电脑游戏playcomputers 工作work接电话answer the phone看望(外)祖父母visit my grandparents研究study 见面meet欢迎welcome 谢谢thank 喂养feed 传递pass展示show 使用use打开open 关上close告诉tell 寻找find照耀shine 变成become 感觉到feel 遇见meet落下fall 离开leave下车get offplay(.ed)玩;踢swim(swam)游泳skate滑冰fight(fought)打架swing(swung)荡eat(ate)吃sleep(slept)睡觉like像,喜欢have(had)有;吃turn转弯buy(bought)买take(took)买,带live居住teach(taught)教go(went)去study(studied)学习learn学习sing(sang)唱歌dance跳舞row划do(did)做do homework做作业do housework做家务watch TV看电视read(read) books读书cook the meals做饭water the flowers浇花sweep(swept) the floor扫地clean the bedroom打扫卧室make(made) the bed铺床set(set) the table摆饭桌wash the clothes洗衣服do the dishes洗碗碟use a computer使用计算机do morning exercises晨练;做广播操eat breakfast吃早饭eat dinner吃晚饭go to school上学have English class上英语课play sports进行体育运动get(got)up起床climb mountains爬山go shopping买东西play the piano弹钢琴visit grandparents看望(外)祖父母go hiking去远足fly kites放风筝make a snowman堆雪人plant trees种树draw(drew) pictures画画cook dinner做饭read a book看书answer the phone接电话listen to music听音乐cleanthe room打扫房间write(wrote) a letter写信write an e-mail写电子邮件drink(drank) water喝水take pictures照相watch insects观察昆虫pick up leaves采摘树叶do an experiment做实验catch butterflies捉蝴蝶count insects数昆虫collect insects收集昆虫collect leaves收集树叶write a report写报告play chess下棋have a picnic举行野餐get to到达ride(rode) a bike骑自行车play the violin拉小提琴make kites制作风筝collectstamps集邮meet(met)见面welcome欢迎thank谢谢love爱work工作drink(drank)喝taste尝smell闻feed(fed)喂养shear剪milk挤奶look看guess猜help帮助pass传递show展示use使用clean打扫open打开close关上put放paint绘画tell(told)告诉kick踢bounce反弹ride(rode)骑stop(stopped)停wait等find(found)寻找到drive(drove)驾驶fold折send(sent)寄wash洗shine照耀become变成feel(felt)感觉到think(thought)思考meet(met)遇见fall(fell)落下leave(left)离开wake(woke) up醒来put on穿上take off脱掉hang up挂起wear(wore)穿go home回家go to bed上床睡觉play computer games玩电脑游戏play chess下棋empty the trash倒垃圾put away the clothes收拾衣服get off下车take a trip去旅行read a magazine阅读杂志go to the cinema去看电影go straight向前直走十五、气象(weather)cold寒冷的warm温暖的cool凉爽的snowy下雪的sunny晴朗的hot炎热的rainy下雨的windy有风的cloudy多云的weather report天气预报十六、景物(nature)river河流lake湖泊stream河,溪forest森林path小道road公路house房子bridge桥building建筑物rain雨cloud云sun太阳mountain山sky天空rainbow彩虹wind风air空气moon月亮十七、植物(plants)flower花grass草tree树seed种子sprout苗plant植物rose玫瑰leaf叶子十八、星期(week)Monday星期一Tuesday星期二Wednesday星期三Thursday星期四Friday星期五Saturday星期六Sunday星期天weekend周末十九、月份(months)Jan. (January)一月Feb.(February)二月Mar.(March)三月April四月May五月June六月July七月Aug.(August)八月Sept.(September)九月Oct.(October)十月Nov.(November)十一月Dec.(December)十二月二十、季节(seasons)spring春summer夏fall/autumn秋winter冬二十一、方位(directions)south南north北east东west西left左边right右边二十二、患病(illness)have a fever发烧hurt疼痛have a cold感冒have a toothache牙疼have a headache头疼have a sore throat喉咙疼二十三、数词(numbers)one一two二three三four四five五six六seven七eight八nine九ten十eleven十一twelve十二thirteen十三fourteen十四fifteen十五sixteen十六seventeen十七eighteen十八nineteen十九twenty二十thirty三十forty四十fifty五十sixty六十seventy七十eighty八十ninety九十forty-two四十二hundred百one/a hundred andthirty-six一百三十六first第一second第二third第三fourth第四fifth第五eighth第八ninth第九twelfth第十二twentieth第二十thirtieth第三十fortieth第四十fiftieth第五十sixtieth第六十seventieth第七十eightieth第八十ninetieth第九十fifty-sixth第五十六二十四、形容词(adj.)big大的small小的long长的tall高的short短的;矮的young年轻的old旧的;老的strong健壮的thin瘦的active积极活跃的quiet安静的nice好看的kind和蔼亲切的strict严格的smart聪明的funny滑稽可笑的tasty好吃的sweet甜的salty咸的sour酸的fresh新鲜的favourite最喜爱的clean干净的tired疲劳的excited兴奋的angry生气的happy高兴的bored无聊的sad忧愁的taller更高的shorter更矮的stronger更强壮的older年龄更大的younger更年轻的bigger更大的heavier更重的longer更长的thinner更瘦的smaller更小的good好的fine好的great很好的heavy 重的new新的fat胖的happy快乐的right对的hungry饥饿的cute逗人喜爱的little小的lovely可爱的beautiful漂亮的colourful色彩鲜艳的pretty漂亮的cheap便宜的expensive昂贵的juicy多汁的tender嫩的healthy健康的ill有病的helpful有帮助的high高的easy简单的proud骄傲的sick有病的better更好的higher更高的二十五、介词(prep.)in在…里on在…上;在…时候under在…下面near在…的旁边behind在…后边next to与…相邻over在…上面in front of在…前面二十六、代词(pron.)I我we我们you你;你们he他she她it它they他(她,它)们my我的our 我们的your你的;你们的his他的her她的二十七.疑问词what(什么)when(什么时候)why(为什么)what color(什么颜色)what time(几点)what day(星期几)how old(年龄多大,几岁)how(怎样)how many(多少)how much (多少钱)how tall (多高)how heavy(多重)how long(多长)how big(多大)how large(面积多大)where(在哪里)which(哪一个)who(谁)whose (谁的)二十八、国家、城市(countries & cities)China/PRC中国America/USA美国UK联合王国England英国Canada/CAN加拿大Australia澳大利亚New York纽约London伦敦Sydney悉尼Moscow莫斯科Cairo开罗。