山西省山大附中2020-2021学年高一第一学期期中考试含答案
- 格式:docx
- 大小:197.74 KB
- 文档页数:8
高一(上)期中语文试卷一、选择题(本大题共3小题,共9.0分)1.下列各句中加点词语的使用,全都正确的一项是()①在沉寂多年之后,文艺理论开始显露出它应有的生机与活力,勇敢地承担起文艺界激浊扬清....、拨乱反正的历史任务。
②登上了那座高山,只闻松涛阵阵,蝉鸣声声;只见楼房如点,河流似镞。
我和几位老同学谈景观,说古迹,指点江山....,大家都好象远离了尘嚣,告别了烦恼。
③根据明清史专家顾诚的考究,李自成进京后对百姓秋毫无犯....。
然后最大的过错在于对官僚阶层太狠,这也直接触犯了官僚阶级代表吴三桂。
④泰戈尔听闻此事,勃然大怒,拍案叫绝....,从退隐生活中挺身出来,公开宣告放弃英国政府赐给他的爵士称号。
⑤既然被人抓了现行,肖婉也无活可说,人为刀俎,我为鱼肉.........,任杀任剐都随他了,只求他给个痛快。
⑥这次商品博览会,聚集了全国各地各种各样的新产品,真可谓浩如烟海....,应有尽有。
A. ①②④B. ①③⑤C. ②④⑥D. ③④⑤2.下列各句中,表意明确、没有语病的一句是()A. 日前,联合国教科文组织宣布将《南京大屠杀档案》正式列入《世界记忆名录》,这标志着“南京1937”真正成为人类记忆的一部分B. 教育部近日在全国高校启动了以“阅读传统经典•品味书香生活”为主题的“礼敬中华优秀传统文化”系列活动开展得有声有色C. 地名是重要的文化形态和载体,是国家和民族的历史的见证、情感的寄托,切忌不可因长官意志或眼前经济利益而“任性”修改D. 越来越多的证据显示,如人造黄油、植物奶油等人造反式脂肪会对人体造成多种危害,尤其是显著提高罹患心血管疾病的危险3.下列各句中表达得体的一句是()A. 我们家家教很严,令尊常常告诫我们,到社会上要清清白白做人B. 为了回馈客户的长期惠顾,我店重磅推出名牌智能手机促销活动,欢迎广大新老顾客进店咨询C. 学生会经过调查研究,写出了《我校食堂服务质量调查报告》,文中提出改进意见,并责成学校领导研究落实D. 你的文章,我已经看了,对其中不妥的几处,我斗胆加以斧正二、默写(本大题共1小题,共5.0分)4.名篇名句默写(本题共1小题)(1)《山坡羊•潼关怀古》中揭示出历史是不断发展变化的,任何强大的统治者也避免不了最终的灭亡的诗句是:______,______。
高一第一学期期中考试语文试题阅读下面的文字,完成题。
2.C3.D 1.试题分析:A项,主次关系颠倒。
错在“它与广告密不可分”。
对于选项,要注意选项中范围扩缩、扭曲文意、混淆文意、胡乱组合等。
所谓范围扩缩,是指选项故意漏掉限制性词语或混淆某些范围的界限,造成概念范围的扩大或缩小。
所谓扭曲文意,是指选项故意扭曲阅读材料的意思,把考生的思维朝背离文本的方向引领。
所谓混淆时空,是指事物的发展总有先后,但不符合文意的选项故意混淆时空的先后顺序,以迷惑考生。
所谓胡乱组合,是指文章在解释某一个概念或说明某一对象时,会使用比较多的事例,选项就故意把这几个事例的内容加以组合,并且故意使组合后的信息与文本信息相左,以迷惑考生。
2.试题分析:“反作用于社会文化”不等于对俗文化的“弃”。
做这类题目要首先阅读全文,把握全文要点,然后认真阅读题干,明确答题方向,弄清题目的限制与提示,确定有效的阅读区间,将题干、材料、选项三者对照,将选项与原文对照,排除干扰项。
3.试题分析:本题考查对文章内容的准确把握,需核对选项与原文表述上的不同。
A.从文中第二段可见作者对以皇家为招牌的广告是持否定态度的,所以这种利用并不“巧”,且它虽然能对俗文化起渲染强化作用,但却不是“积极”作用;B.不构成因果关系,原文只是否定了广告歪曲俗文化的行为,并未提到“俗文化的内容是健康积极的”,事实上趋同求稳、敬官畏上等心理本身就存在消极因素; C.从第四段可知应为“俗文化的广告传播面临的主要问题”。
(二)(15 分) 阅读下面文言文,完成—8题 .(3分)A(宰:掌管,治理)些正直有节的人大都归附他,但因他吝啬于爵位和土地,人们又都离开他。
) .(6分)(1)(陈平)向魏王提出建议,魏王没有采纳,又有人说陈平的坏话,陈平逃跑了。
(大意1分,落实“或”“亡”各1分,共3分) (2)汉王赞成他的意见,就拿出四万斤黄金,交给陈平,让陈平随意使用,不过问支出情况。
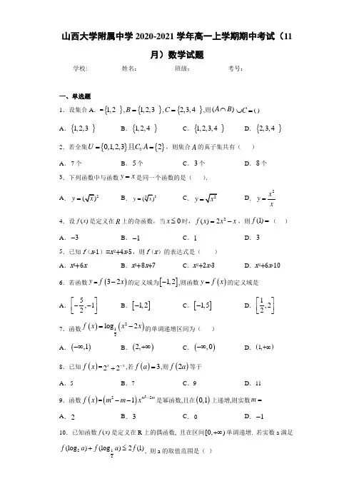
山西大学附属中学2020-2021学年高一上学期期中考试(11月)数学试题学校:___________姓名:___________班级:___________考号:___________一、单选题1.设集合A .=}{}{}{1,2,1,2,3,2,3,4B C ==,则()A B ⋂C ⋃=( ) A .}{1,2,3 B .}{1,2,4 C .}{1,2,3,4 D .}{2,3,4 2.若全集{}{}0,1,2,32U U C A ==且,则集合A 的真子集共有( )A .7个B .5个C .3个D .8个 3.下列函数中与函数y x =是同一个函数的是( ).A .2y =B .3y =C .y =D .2x y x= 4.设()f x 是定义在R 上的奇函数,当0x ≤时,2()2f x x x =-,则(1)f =( ) A .3- B .1- C .1 D .35.已知f (x -1)=x 2+4x -5,则f (x )的表达式是( )A .x 2+6xB .x 2+8x +7C .x 2+2x -3D .x 2+6x -10 6.若函数y =()32f x -的定义域为[]1,2-,则函数()y f x =的定义域是A .5,12⎡⎤--⎢⎥⎣⎦B .[]1,2-C .[]1,5-D .1,22⎡⎤⎢⎥⎣⎦ 7.函数()()212log 2f x x x =-的单调递增区间为( ) A .(),1-∞ B .()2,+∞ C .(),0-∞ D .()1,+∞ 8.已知()f x =22x x -+,若()3f a =,则()2f a 等于A .5B .7C .9D .11 9.函数()f x =()2221m m m m x ---是幂函数,且在()0,1上递增,则实数m =A .2B .3C .0D .1- 10.已知函数()f x 是定义在R 上的偶函数, 且在区间[0,)+∞单调递增. 若实数a 满足212(log )(log )2(1)f a f a f +≤, 则a 的取值范围是( )A .[1,2]B .10,2⎛⎤ ⎥⎝⎦C .1,22⎡⎤⎢⎥⎣⎦D .(0,2]11.已知函数()f x=(ln x ,若实数a,b 满足()()2f a f b +-=0,则a b += A .2B .0C .-1D .-2二、填空题 12.函数15(0x y a a -=->且1)a ≠的图象恒过定点________.13.已知集合M ={}2,0,x y y x N ==(){}2|lg 2x y x x =-,则M N ⋂=_______. 14.已知集合A ={}|1216,x x B <≤=(),a ∞-,当A B ⊆时,实数a 的取值范围是(),c ∞+,则c =________.15.已知()()314,1log ,1a a x a x f x x x ⎧-+≤=⎨>⎩是R 上的减函数,则a 的取值范围是______.三、解答题16.化简:(1)()2lg5lg2?lg50+. (2)()()1223021329.63 1.548--⎛⎫⎛⎫---+ ⎪ ⎪⎝⎭⎝⎭. 17.已知集合A ={}|13,x x x B ≤-≥或={}|16,x x C ≤≤={}|12x m x m +≤≤.(1)求A B ⋂.(2)若B C B ⋃=,求实数m 的取值范围.18.已知定义在R 上的奇函数()f x ,当0x >时,()23f x x =+.(1)求()f x 的解析式;(2)若()7f a <,求实数a 的取值范围.19.已知二次函数()2f x ax bx c =++,满足1122f x f x ⎛⎫⎛⎫+=- ⎪ ⎪⎝⎭⎝⎭,且不等式()2f x x <的解集为()1,2.(1)求函数()f x 的解析式;(2)若方程()f x x a =+在(]0,4上有解,求实数a 的取值范围.20.已知函数()()2121x x f x a a a =-->(1)求函数()f x 的值域;(2)若[]2,1x ∈-时,函数()f x 的最小值为7-,求a 的值和函数()f x 的最大值.参考答案1.C【分析】直接利用交集、并集的定义求解即可.【详解】集合{}{}1,2,1,2,3A B ==,{}1,2A B A ∴⋂==,又{}2,3,4C =,{}()1,2,3,4A B C ∴⋂⋃=故选C.【点睛】考查的是集合交、并、补的简单基本运算.属于集合简单运算问题.此类问题只要审题清晰、做题时按部就班基本上就不会出错.2.A【分析】根据集合的补集判断集合的个数,进而求得集合的真子集个数.【详解】由题可知,集合A 有三个元素.所以A 的真子集个数为:32-1=7个.选A【点睛】集合中子集的个数为2n ,真子集的个数为2n -1,非空真子集的个数为2n -23.B【分析】根据同一函数的定义,从定义域、对应关系两方面入手进行判断即可.【详解】解:y x =的定义域为R ,对应法则是“函数值与自变量相等”.选项A :2y =的定义域为[0,)+∞,定义域与y x =的定义域不同;选项B :y x ==,定义域与对应关系与y x =相同;选项C :,0,0x x y x x x ≥⎧===⎨-<⎩,而0y ≥,对应关系与y x =不同; 选项D :2x y x=的定义域为{}|0x x ≠,定义域与y x =的定义域不同. 故选:B【点睛】本题考查了同一函数的定义,求函数的定义域、判断对应关系是否一不致是解题的关键. 4.A【解析】试题分析:因为当时,2()2f x x x =-,所以. 又因为()f x 是定义在R 上的奇函数,所以. 故应选A. 考点:函数奇偶性的性质.5.A【解析】求函数解析式,可以采用换元法.设1t x =- ,则1x t =+ ,22()(1)4(1)56f t t t t t =+++-=+ ,将t 换成x ,即26x x + .故答案选A .6.C【解析】因为y =()32f x -的定义域为[]1,2-,所以1325x -≤-≤,所以函数y =()f x 的定义域是[]1,5-.选C.7.C【分析】求出函数()()212log 2f x x x =-的定义域,然后利用复合函数法可求出函数()y f x =的单调递增区间.【详解】解不等式220x x ->,解得0x <或2x >,函数()y f x =的定义域为()(),02,-∞+∞.内层函数22u x x =-在区间(),0-∞上为减函数,在区间()2,+∞上为增函数, 外层函数12log y u =在()0,∞+上为减函数, 由复合函数同增异减法可知,函数()()212log 2f x x x =-的单调递增区间为(),0-∞. 故选:C.【点睛】本题考查对数型复合函数单调区间的求解,解题时应先求出函数的定义域,考查计算能力,属于中等题.8.B【解析】因为()f x =22x x -+,所以()f a =223a a -+=,则()2f a =2222a a -+=2(22)2a a -+-=7.选B.9.D【解析】易知21m m --=1,则1m =-或m =2,当1m =-时,()f x =3x 在()0,1上递增,满足题意;当m =2时,()1f x =是常数函数,不满足题意,故答案为D.10.C【解析】试题分析:函数是定义在上的偶函数,∴,等价为),即.∵函数是定义在上的偶函数,且在区间单调递增,∴)等价为.即,∴,解得,故选项为C . 考点:(1)函数的奇偶性与单调性;(2)对数不等式.【思路点晴】本题主要考查对数的基本运算以及函数奇偶性和单调性的应用,综合考查函数性质的综合应用根据函数的奇偶数和单调性之间的关系,综合性较强.由偶函数结合对数的运算法则得:,即,结合单调性得:将不等式进行等价转化即可得到结论.11.A【解析】函数()f x 的定义域为R,因为()()f x f x -+=((ln ln x x -+=(ln 0x x ⎡⎤-+=⎢⎥⎣⎦,所以函数()f x 是奇函数, 又因为()()2f a f b +-=0,所以20a b +-=,即a+b=2.选A.点睛:利用奇偶性求值的类型及方法(1)求函数值:利用奇偶性将待求值转化到已知区间上的函数值,进而得解.(2)求参数值:在定义域关于原点对称的前提下,根据奇函数满足f(-x)=-f(x)或偶函数满足f(-x)=f(x)列等式,根据等式两侧对应相等确定参数的值.特别要注意的是:若能够确定奇函数的定义域中包含0,可以根据f(0)=0列式求解,若不能确定则不可用此法.12.(1,4)-【解析】令x =1,则y =4-,所以函数15(0x y aa -=->且1)a ≠的图象恒过定点()1,4-. 13.(1,2)【解析】M ={}2,0x y y x =={}1,y y N ={}2|lg(2x y x x =-={|02}x x <<, 所以M N ⋂={|12}x x <<.14.4【解析】因为A ={}|1216x x <≤={|04},x x B <≤=(),a ∞-,且A B ⊆时实数a 的取值范围是(),c ∞+,所以c =4.15.11[,)73【解析】因为数()f x =()()314,(1)log ,? 1a a x a x x x ⎧-+<⎪⎨≥⎪⎩在R 上是减函数,所以31001710a a a -<⎧⎪<<⎨⎪-≥⎩,求解可得1173a ≤<,故答案为11,73⎡⎫⎪⎢⎣⎭. 点睛:已知函数的单调性确定参数的值或范围要注意以下两点:(1)若函数在区间[,]a b 上单调,则该函数在此区间的任意子区间上也是单调的;(2)分段函数的单调性,除注意各段的单调性外,还要注意衔接点的取值;(3)复合函数的单调性,不仅要注意内外函数单调性对应关系,而且要注意内外函数对应自变量取值范围.16.(1)1;(2)12. 【解析】试题分析:(1)根据对数运算法则lg lg lg m n mn += 进行化简求值(2)根据指数幂运算法则0(),1m n mn a a a == 进行化简求值试题解析:(1)()2lg5lg2?lg50+=()()22lg52lg2?lg5lg2++=()2lg5lg 21+=; (2)()()1223021329.63 1.548--⎛⎫⎛⎫---+ ⎪ ⎪⎝⎭⎝⎭=1222392721483-⎛⎫⎛⎫⎛⎫--+ ⎪ ⎪ ⎪⎝⎭⎝⎭⎝⎭=223221233⎛⎫⎛⎫--+ ⎪ ⎪⎝⎭⎝⎭=12. 17.(1){}|36x x ≤≤;(2)(],3∞-.【解析】试题分析:(1)根据数轴求集合交集(2)由B C B ⋃=得C B ⊆,先考虑空集的情况,再结合数轴列对应不等式关系,最后根据并集求实数m 的取值范围.试题解析:(1)A ={}|13,x x x B ≤-≥或={}|16x x ≤≤, {}|36A B x x ∴⋂=≤≤.(2)①,B C B C B ⋃=∴⊆,当C ∅=时,12m m ∴+>即1m <.②当C ∅≠时,1211,26m m m m +≤⎧⎪∴+≥⎨⎪≤⎩13m ∴≤≤.综上所述,m 的取值范围是()[],11,3∞-⋃,即(],3∞-. 18.(1)()f x =23,00? ,023,0x x x x x +>⎧⎪=⎨⎪-<⎩;(2)2a <.【解析】试题分析:(1)根据奇函数定义将0x <转化到0x ->,代入求()f x 的解析式;(2)根据分段函数,分类解不等式()7f a <,最后求实数a 的取值范围.试题解析:(1)由题意,()00f =;令0x <,则0x ->,所以()f x -=23x -+,所以()f x =()f x --=23x -,所以()f x =23,00,023,0x x x x x +>⎧⎪=⎨⎪-<⎩,(2)()23,00,023,0x x f x x x x +>⎧⎪==⎨⎪-<⎩,当0a ≤时,()7f a <恒成立;当a >0时,()7f a <等价于237a +<,则0<a <2.综上可得,实数a 的取值范围是2a <19.(1)()22f x x x =-+;(2)110a ≤≤. 【解析】试题分析:(1)由1122f x f x ⎛⎫⎛⎫+=- ⎪ ⎪⎝⎭⎝⎭得对称轴,即122b a -=,根据不等式解集得1,2为方程()220ax b x c +-+=的根,解得112a b c =⎧⎪=-⎨⎪=⎩(2)分离变量为求函数(]222,0,4a x x x =-+∈值域,根据对称轴与定义区间位置关系可得值域,即得实数a 的取值范围.试题解析:(1)1122f x f x ⎛⎫⎛⎫+=- ⎪ ⎪⎝⎭⎝⎭, ()f x ∴的图象关于12x =对称, 122b a ∴-=,即b a =- ① 又()2f x x <即()220ax b xc +-+<的解集为()1,2.212b a -∴+=-② 12c a⨯= ③ 由①②③得11,2a b c =⎧⎪=-⎨⎪=⎩()22f x x x ∴=-+.(2)(),f x x a =+222a x x ∴=-+,令()g x =(]222,0,4x x x -+∈, 即()g x =()211,x -+ ()g x ∴的值域为[]1,10.110a ∴≤≤.20.(1)(-∞,1)(2)716【详解】(1)对称轴1(0,)t =-∉+∞221y t t ∴=--+在(0,)+∞上是减函数1y ∴<所以值域为(,1)-∞-(2)∵[]212,1,1,,x a t a a ⎡⎤∈->∴∈⎢⎥⎣⎦由211[,]t a a =-∉ 所以221y t t =--+在21[,]a a 上是减函数 22172a a a --+=-∴=或4a =-(不合题意舍去) 当2114t a ==时y 有最大值, 即2max 117()214416y =--⨯+=- 考点:本小题考查了复合函数的值域问题,同时考查了换元法.点评:解决此类复合函数问题,最好采用换元法转化为常见函数来解决.易错点是容易忽视新变量的范围.。
2024届山西省山大附中高一化学第一学期期中学业水平测试试题考生请注意:1.答题前请将考场、试室号、座位号、考生号、姓名写在试卷密封线内,不得在试卷上作任何标记。
2.第一部分选择题每小题选出答案后,需将答案写在试卷指定的括号内,第二部分非选择题答案写在试卷题目指定的位置上。
3.考生必须保证答题卡的整洁。
考试结束后,请将本试卷和答题卡一并交回。
一、选择题(共包括22个小题。
每小题均只有一个符合题意的选项)1、焰火“脚印”、“笑脸”、“五环”,让北京奥运会开幕式更加辉煌、浪漫,这与高中化学中“焰色反应”知识相关。
下列说法中正确的是()A.焰色反应是化学变化B.用稀盐酸清洗做焰色反应的铂丝(镍丝或铁丝)C.焰色反应均应透过蓝色钴玻璃观察D.利用焰色反应可区分NaCl与Na2CO3固体2、下列对离子的检验及结论一定正确的是A.加入稀盐酸有气体生成,将气体通入澄清石灰水中溶液变浑浊,则溶液中一定有CO32-B.某无色溶液滴入无色酚酞试液显红色,该溶液一定显碱性C.某溶液中滴加BaCl2溶液,生成不溶于稀硝酸的白色沉淀,该溶液中一定含SO42-D.验证烧碱溶液中是否含有Cl-,先加稀盐酸除去OH-,再加硝酸银溶液,有白色沉淀出现,证明含Cl-3、某溶液中含有Ba2+、Ag+、Cu2+三种离子,现有①NaOH溶液、②K2SO4溶液、③盐酸,将这三种离子逐一沉淀并加以分离,则加入试剂顺序正确的是()A.①②③B.②③①C.③②①D.②①③4、下列目的能达到的是( )A.将58.5gNaCl溶于1L水中可得1mol/L的NaCl溶液B.将标准状况下22.4LHCl溶于1L水中可得1mol/L盐酸C.将25.0g胆矾溶于水后配成100mL溶液所得溶液浓度为1 mol/LD.将78gNa2O2溶于水,配成1L溶液可得到浓度为1mol/L溶液5、下列实验基本操作或实验注意事项中,主要是基于实验安全考虑的是A.可燃性气体的验纯B.滴管不能交叉使用C.容量瓶在使用前进行检漏D.实验剩余的药品不能放回原试剂瓶6、同温同压下两个容积相等的储气瓶,一个装有C2H4,另一个装有C2H2和C2H6的混合气体,两瓶气体一定具有相同的()A.质量B.密度C.碳原子数D.原子总数7、下列溶液中Cl-的物质的量浓度与200mL1mol/LBaCl2溶液中Cl-的物质的量浓度相同的是A.100mL2mol/LMgCl2溶液B.200mL2mol/LNaCl溶液C.250mL1mol/LAlCl3溶液D.100mL2mol/LKClO3溶液8、下列关于古籍中的记载说法不正确的是A.《天工开物》中“凡石灰,经火焚炼为用”涉及的反应类型是分解反应B.“朝坛雾卷,曙岭烟沉”中的雾是一种胶体,能产生丁达尔效应C.“熬胆矾铁釜,久之亦化为铜”,该过程发生了氧化还原反应D.“青蒿一握,以水二升渍,绞取汁”,诗句中体现的屠呦呦对青蒿素的提取属化学变化9、下列叙述中,正确的是A.含金属元素的离子一定都是阳离子B.在氧化还原反应中,非金属单质一定是氧化剂C.某元素从化合态变为游离态时,该元素一定被还原D.金属阳离子被还原不一定得到金属单质10、下列说法中正确的是( )A.非标准状况下,1mol任何气体体积都不可能为22.4LB.H2和O2的混合气体1mol,在标准状况下的体积约为22.4LC.标准状况下,22.4L任何物质中都约含有6.02×1023个分子D.气体摩尔体积就是22.4L·mol-111、有关氧化还原反应的叙述正确的是()A.氧化还原反应的实质是有氧元素的得失B.氧化还原反应的实质是元素化合价的升降C.氧化还原反应的实质是电子的转移(得失或偏移)D.物质所含元素化合价升高的反应是还原反应12、将10 mL 5 mol/L的HCl溶液稀释到200 mL,从中取出5 mL,这5 mL溶液的物质的量浓度为()A.0.5 mol/L B.0.25 mol/L C.0.1 mol/L D.1 mol/L13、ClO2是新一代饮用水的消毒剂,许多发达国家的自来水厂采用ClO2代替Cl2来进行自来水消毒。
2020-2021学年山西大学附中高一上学期期中物理试卷一、单选题(本大题共8小题,共32.0分)1.某运动员正在进行10m跳台跳水比赛,若只研究运动员的下落过程,下列说法正确的是()A. 前一半时间内位移大,后一半时间内位移小B. 前一半位移用的时间长,后一半位移用的时间短C. 为了研究运动员的技术动作,可将正在比赛的运动员视为质点D. 运动员在下落过程中,感觉水面在匀速上升2.如图描绘了一名运动员在跳远中助跑、起跳、飞行、落坑几个瞬间的动作。
关于运动员可以看成质点的说法中,正确的是()A. 研究运动员的跳远成绩时B. 研究运动员的助跑动作时C. 研究运动员的起跳动作时D. 研究运动员的飞行动作时3.下列说法中正确的是()A. 只要两物体之间有弹力,两物体就一定接触B. 物体加速度越大,速度的增量就越大C. 弹簧上弹力的大小与弹簧的长度成正比D. 平均速度的大小叫平均速率4.甲、乙两个小物体,甲的重力是乙的5倍,它们从同一高度处同时自由下落到水平对面,不计空气阻力,则下列说法中正确的是()A. 甲先着地B. 根据牛顿第二定律,甲的加速度是乙的5倍C. 甲、乙同时着地D. 由于受各种不确定的因素影响,无法确定谁先落地5.汽车以10m/s的速度匀速行驶,突然前方出现障碍物,司机立即刹车,在刹车后5s内汽车前进了20m,以初速度方向为正,则汽车的加速度为()A. −2.4m/s2B. −2.5m/s2C. 2.4m/s2D. 2.5m/s26.将原长10cm的轻质弹簧竖直悬挂,当下端挂200g的钩码时,弹簧的长度为12cm,则此弹簧的劲度系数约为()A. 1N/mB. 10N/mC. 100N/mD. 1000N/m7.如图所示,一小车上有一个固定的水平横杆,左边有一轻杆与竖直方向成θ角与横杆固定,下端连接一小铁球,横杆右边用一根细线吊一小铁球,当小车在摩擦力作用下水平滑动时,细线保持与竖直方向成α角,则下列说法正确的是()A. 轻杆对小球的弹力方向与细线平行B. 若θ>α,小车向左加速或向右减速C. θ=α,小车向右匀速D. 当车的质量远大于小球质量时,地面的摩擦系数一定为gtanθ8.如图所示,一个物体受到1N、2N、3N、4N四个力作用而处于平衡.现保持1N、3N、4N三个力的方向和大小不变,而将2N的力绕O点旋转,此时作用在物体上的合力大小为()A.B.C.D.二、多选题(本大题共4小题,共16.0分)9.一个质点正在作匀加速直线运动,用固定在地面上的照相机对该质点进行闪光照相,闪光时间间隔为2s,分析照片得到的数据,发现质点在第2次、第3次闪光的时间间隔内移动了4m;第4次、第5次时间间隔内移动了8m;由此可以求出()A. 质点运动的加速度为1m/s2B. 质点运动的加速度为0.5m/s2C. 第1次闪光时质点的速度为1m/sD. 从第3次闪光到第4次闪光这段时间内质点的位移为6m10.某物体运动的速度时间图象如图所示,根据图象可知()A. 0~5s内的位移为7mB. 0~2s内的加速度为1m/s2C. 第1s末与第4.5s末的速度方向相反D. 第1s内与第5s内的加速度方向相同11.一物体做自由落体运动,以下说法正确的是()A. 初速度v0=0B. 物体只受重力作用C. 物体在第2s内下落的距离为20m(g=10m/s2)D. 当空气阻力远小于重力时,物体由静止下落的运动可以近似看作自由落体运动12.下列说法中正确的是()A. 绳拉物体时绳对物体拉力的方向总是沿着绳而指向绳收缩的方向B. 静止在水平路面上的汽车受到的支持力,是汽车轮胎发生了形变而产生的C. 运动的物体可以受到静摩擦力D. 由μ=F f可知,动摩擦因数μ与摩擦力F f成正比,与正压力F N成反比F N三、实验题(本大题共2小题,共12.0分)13.用图1所示的实验装置研究小车速度随时间变化的规律。
山西高校附中2021~2022学年高一第一学期期中考试语文试题考查时间:120分钟考查内容:必修一一、现代文阅读(20分)(一)论述类文本阅读(本题共3小题,9分)阅读下面的文字,完成1~3题。
当“中式训练”遇上英国土壤黄培昭英国广播公司有关中国老师在英国教学经受的纪录片本周播放了最终一部分,那些接受“中式训练”的英国同学最终在各个科目中得到很好的成果。
不过,这期间引发的各种争议值得人们再度思考。
中国老师在英国教学过程中遇到的很多尴尬,实际上是在两个文明和两套社会体系坐标下,不同训练理念、思想、模式等发生碰撞后产生的结果。
英式训练,大体可称之为“欢快训练”,其推崇的观念在于:训练的艺术,是唤醒孩童天生古怪心并在将来满足它的艺术;而古怪心本身的鲜活及好处,与内心的满足及欢快成正比。
笔者曾到英国的一些中学校采访,还参与过家长会,发觉同学们笑意盈盈的时候居多,少见眉头紧锁、满脸严峻。
中国乃至东亚的训练,格外重视和强调扎实的基础学问,讲究同学的“勤学苦练”。
最常说的就是,“天将降大任于斯人也,必先苦其心志,劳其筋骨……”学校都在这一原则指导下施教,因而基础训练水平极高。
同学们吸取了丰富的基本学问,把握了应试技能,这都是英国同学所缺乏的,英国同学的数学等基础学科水平普遍较差,甚至要低于中国一两个班级。
在英国,时常听闻有些同学遇到考试神经紧急,甚至还需要考前心理舒压。
看来,欢快也是有代价的。
不能否认的是,貌似以“玩乐”为主的英式训练,对培育同学思考力量、创新力量、实践力量以及想象力等大有裨益,这也对同学进入高等训练后进行学习、科研潜力的爆发进行了铺垫。
笔者发觉,英国中学校更留意艺术、文学等课程的设置,而不认为苦练加减乘除等计算技巧很有需求。
支持这一观念的人认为,在计算机广为普及的今日,已没必要再让人脑来做最基本的运算活动。
相反,艺术、文学能够启迪人的心智,激发同学们的潜能,唤醒他们心中的审美等,有利于同学的长远进展,使他们进入高校后,在学习力量与职业竞争力等方面,能够后来居上。
山西大学附中2020~2021学年高一第一学期期中考试英语试题考试时间:90分钟第一部分阅读理解(共两节,满分30分)第一节(共10小题;每题2分,满分20分)阅读下列短文,从每题所给的A、B、C、D四个选项中,选出最佳选项,并在答题卡上将该项涂黑。
APOETRY CHALLENGEWrite a poem about how courage, determination, and strength have helped you face challenges in your life.Prizes3 Grand Prizes: Trip to Washington, D.C. for each of three winners, a parent and one other person of the winner’s choice. Trip includes round-trip air tickets, hotel stay for two nights, and tours of the National Air and Space Museum and the office of National Geographic World.6 First Prizes: The book Sky Pioneer: A Photobiography of Amelia Earhart signed by author Corinne Szabo and pilot Linda Finch.50 Honorable Mentions: Judges will choose up to 50 honorable mention winners, who will each receive a T-shirt in memory of Earhart’s final flight.RulesFollow all rules carefully to prevent disqualification.■ Write a poem using 100 words or fewer.Your poem can be any format, any number of lines.■ Write by hand or type on a single sheet of paper. You may use both the front and back of the paper. ■ On the same sheet of paper, write or type your name, address, telephone number, and birth date. ■ Mail your entry to us by October 31 this year.1.How many people can each grand prize winner take on the free trip?A. Two.B. Three.C. Four.D. Six.2.What will each of the honorable mention winners get?A. A plane ticket.B. A book by Corinne Szabo.C. A special T-shirt.D. A photo of Amelia Earhart.3.Which of the following will result in disqualification?A. Typing your poem out.B. Writing a poem of 120 words.C. Using both sides of the paper.D. Mailing your entry on October 30.BA month before my first marathon, one of my ankles was injured and this meant not running for two weeks, leaving me only two weeks to train. Yet, I was determined to go ahead.I remember back to my 7th year in school. In my first P.E. class, the teacher required us to run laps and then hit a softball. I didn’t do either well. He later informed me that I was “not athletic”.The idea that I was “not athletic” stuck with me for years. When I started running in my 30s, I realized running was a battle against myself, not about competition or whether or not I was athletic. It was all about the battle against my own body and mind. A test of wills!The night before my marathon, I dreamt that I couldn’t even find the finish line. I woke up sweating and nervous, but ready to prove something to myself.Shortly after crossing the start line, my shoe laces (鞋带) became untied. So I stopped to readjust. Not the start I wanted!At mile 3, I passed a sign: “GO FOR IT, RUNNERS!”By mile 17, I became out of breath and the once injured ankle hurt badly. Despite the pain, I stayed the course walking a bit and then running again.By mile 21, I was starving!As I approached mile 23, I could see my wife waving a sign. She is my biggest fan. She never minded the alarm clock sounding at 4 a.m. or questioned my expenses on running.I was one of the final runners to finish. But I finished! And I got a medal. In fact, I got the same medal as the one that the guy who came in first place had.Determined to be myself, move forward, free of shame and worldly labels (世俗标签), I can now call myself a “marathon winner”.4. A month before the marathon, the author ____________.A. was well trainedB. felt scaredC. made up his mind to runD. lost hope5.Why did the author mention the P.E. class in his 7th year?A. To show he was not talented in sports.B. To amuse the readers with a funny story.C. To acknowledge the support of his teacher.D. To share a precious memory.6.How was the author’s first marathon?A. He walked to the end.B. He quit halfway.C. He got the first prize.D. He made it.7.What does the story mainly tell us?A. A man owes his success to his family support.B. A winner is one with a great effort of will.C. Failure is the mother of success.D. One is never too old to learn.CThe expression “a thirst for knowledge” may soon have a new meaning for millions of people who have no way to get clean water. Researchers have developed a book with specially treated pages that can turn dirty water into clean and drinkable water. They say their invention could improve the lives of many in the developing world.About 700 million people around the world are at risk of disease or even death because their drinking water is not clean. The water is polluted by harmful bacteria (细菌).The book contains 25 pages. Each page is about one millimeter thick. The pages contain very small particles (微粒) of silver. The pages can be used as filters (过滤器) to remove harmful microorganisms (微生物) that can pollute drinking water. The filter kills the organisms that pass through it.Pictures on the pages show the dangers of dirty water and how to use the book for those unable to read. The pages are made of filter paper. They are designed to be torn from the book. Water can be poured through the paper to be cleaned.Ms. Dankovich, the inventor, says each page can treat up to 100 liters of water. She recently presented her invention at the meeting of the American Chemical Society in Boston, Massachusetts. She was asked whether she had considered adding classic literature on the book’s pages.“The idea of classic texts —that’s of interest maybe later. We have discussed a little bit more exciting text. But we really haven’t had the time to go through that part,” she says.Teri Dankovich and another researcher tested the drinkable book in Bangladesh, Ghana andSouth Africa. The tests proved to be successful.Water for Life, a non-governmental organization, has provided financial support for the project.8.What do we learn about the book from the text?A. It sells well around the world.B. It is about environment protection.C. It has pages with several functions.D. It can treat about 100 liters of water.9.What does the underlined p hrase “that part” in Paragraph 6 refer to?A. Classic texts.B. Invention presentation.C. Exciting discussion.D. Financial support.10.What is the main idea of the passage?A. Researchers have found a way to save those being ill.B. Millions of people are in great need of drinkable water.C. Knowledge is as important as drinkable water.D. Book pages could provide safe drinking water.第二节(共5小题;每小题2分,满分10分)根据短文内容,从短文后的选项中选出能填入空白处的最佳选项。
2020-2021学年山西大学附中高一(上)期中数学试卷一、选择题(共12小题).1.已知集合A={x|x2﹣2x<0},B={x|2﹣2x>0},则A∩B=()A.(1,2)B.(﹣2,1)C.(0,1)D.(﹣1,0)2.已知a,b为实数,则“>”是“a2﹣b2>0”的()A.充分不必要条件B.必要不充分条件C.充要条件D.既不充分也不必要条件3.下列各组函数为同一个函数的是()A.f(x)=x+1,g(x)=B.f(x)=,g(x)=x2﹣1C.f(x)=x,g(x)=D.f(x)=()4+1,g(x)=x2+14.下列函数中,既是奇函数又在区间(0,+∞)上单调递增的是()A.y=x+B.y=2x C.y=x2D.y=x﹣5.函数f(x)=a x与g(x)=﹣x+a的图象大致是()A.B.C.D.6.若a>0,b>0,且a+b=4,则下列不等式恒成立的是()A.B.a2+b2≥8C.≥2D.≤17.已知函数f(x)=ax2+(b﹣1)x+3a+b是偶函数,定义域为[a﹣1,2a],则a+b=()A.B.C.D.28.已知函数f(x)=a x(a>1),则函数f(f(x))的值域是()A.(0,+∞)B.(1,+∞)C.[1,+∞)D.R9.已知函数f(x+1)的定义域为(﹣2,0),则f(2x﹣1)的定义域为()A.(﹣1,0)B.()C.(0,1)D.(﹣,0)10.恩格尔系数(记为n)是指居民的食物支出占家庭消费总支出的比重.国际上常用恩格尔系数来衡量一个国家和地区人民生活水平的状况.联合国对消费水平的规定标准如表:家庭类型贫穷温饱小康富裕最富裕n n>0.60.5<n≤0.60.4<n≤0.50.3<n≤0.4n≤0.3实施精准扶贫以来,根据对某山区贫困家庭消费支出情况(单位:万元)的抽样调查,2018年每个家庭平均消费支出总额为2万元,其中食物消费支出为1.2万元,预测2018年到2020年每个家庭平均消费支出总额每年的增长率约是30%,而食物消费支出平均每年增加0.2万元,预测该山区的家庭2020年将处于()A.贫困水平B.温饱水平C.小康水平D.富裕水平11.已知命题“∃x∈R,2x2+(a﹣1)x+≤0是假命题,则实数a的取值范围是()A.(﹣∞,﹣1)B.(﹣1,3)C.(﹣3,+∞)D.(﹣3,1)12.德国数学家狄利克雷(1805~1859)在1837年时提出:“如果对于x的每一个值,y 总有一个完全确定的值与之对应,那么y是x的函数.”这个定义较清楚地说明了函数的内涵.只要有一个法则,使得取值范围中的每一个x,有一个确定的y和它对应就行了,不管这个法则是用公式还是用图象、表格等形式表示,例如狄利克雷函数D(x),即:当自变量取有理数时,函数值为1;当自变量取无理数时,函数值为0.以下关于狄利克雷函数D(x)的性质:①D(π)=0;②D(x)的值域为{0,1};③D(x)为奇函数;④D(x+1)=D(x),其中表述正确的个数是()A.1B.2C.3D.4二、填空题(每题4分,满分16分)13.(4分)已知函数y=f(x)的对应关系如表,函数y=g(x)的图象如图所示的曲线ABC,其中A(1,3),B(2,1),C(3,2),则g[f(3)]的值为.x123 y=f(x)23214.(4分)计算:(﹣2020)0+()﹣2•(3)+=.15.(4分)函数f(x)=()的单调递增区间为.16.(4分)已知函数f(x)=﹣x2+2mx(m>0)满足:①∀x∈[0,2],f(x)≤9;②∃x0∈[0,2],f(x0)=9,则m的值为.三、解答题(本大题共4小题,每题12分,共48分)17.(12分)已知全集U=R,集合A={x|x2﹣4x﹣5≤0},B={x|1≤2x﹣2≤4}.(1)求A∩(∁U B);(2)若集合C={x|a≤x≤4a,a>0},且满足C∪A=A,C∩B=B,求实数a的取值范围.18.(12分)已知函数f(x)=是定义在R上的奇函数,且f(2)=.(1)求函数f(x)的解析式;(2)判断函数f(x)在区间(0,1)上的单调性,并用定义法证明.19.(12分)已知幂函数f(x)=(3m2﹣2m)x在(0,+∞)上单调递增,g(x)=x2﹣4x+t.(1)求实数m的值;(2)当x∈[1,9]时,记f(x),g(x)的值域分别为集合A,B,设命题p:x∈A,命题q:x∈B,若命题q是命题p的必要不充分条件,求实数t的取值范围.20.(12分)已知定义域为R的单调函数f(x)是奇函数,当x>0时,f(x)=﹣2x (Ⅰ)求f(﹣1)的值;(Ⅱ)求f(x)的解析式;(Ⅲ)若对任意的t∈R,不等式f(t2﹣2t)+f(2t2﹣k)<0恒成立,求实数k的取值范围.参考答案一、选择题(共12小题).1.已知集合A={x|x2﹣2x<0},B={x|2﹣2x>0},则A∩B=()A.(1,2)B.(﹣2,1)C.(0,1)D.(﹣1,0)解:∵集合A={x|x2﹣2x<0}={x|0<x<2},B={x|2﹣2x>0}={x|x<1},∴A∩B={x|0<x<1}=(0,1).故选:C.2.已知a,b为实数,则“>”是“a2﹣b2>0”的()A.充分不必要条件B.必要不充分条件C.充要条件D.既不充分也不必要条件解:>,解得a>b≥0⇒a2﹣b2>0,反之不成立,例如a=﹣2,b=﹣1.∴“>”是“a2﹣b2>0”的充分不必要条件.故选:A.3.下列各组函数为同一个函数的是()A.f(x)=x+1,g(x)=B.f(x)=,g(x)=x2﹣1C.f(x)=x,g(x)=D.f(x)=()4+1,g(x)=x2+1解:对于A、f(x)=x+1的定义域为R,g(x)==x+1的定义域为{x|x≠1},两函数的定义域不同,不是同一函数;对于B、f(x)==x2﹣1的定义域为R,g(x)=x2﹣1的定义域为R,两函数的定义域相同,且函数关系式也相同,是同一函数;对于C、f(x)=x的定义域为R,g(x)==|x|的定义域为R,两个函数的定义域相同,但是函数关系式不同,不是同一函数;对于D、f(x)=+1的定义域为[0,+∞),g(x)=x2+1的定义域为R,两函数的定义域不相同,不是同一函数.故选:B.4.下列函数中,既是奇函数又在区间(0,+∞)上单调递增的是()A.y=x+B.y=2x C.y=x2D.y=x﹣解:y=x+是奇函数,在区间(0,1)上单调递减,在(1,+∞)上单调递增,故A不满足条件;y=2x是非奇非偶函数,故B不满足条件.f(x)=x2是偶函数,故C不满足条件.y=x﹣是奇函数,在区间(0,+∞)上单调递增,故D满足条件.故选:D.5.函数f(x)=a x与g(x)=﹣x+a的图象大致是()A.B.C.D.解:直线g(x)=﹣x+a的斜率为﹣1,故排除C,D;对于选项A,由函数f(x)=a x知a>1,由g(x)=﹣x+a知a>1;对于选项B,由函数f(x)=a x知a>1,由g(x)=﹣x+a知0<a<1;故选:A.6.若a>0,b>0,且a+b=4,则下列不等式恒成立的是()A.B.a2+b2≥8C.≥2D.≤1解:由题意取a=1且b=3显然满足题意,但=<,故A错误;还取a=1且b=3,但有+=>1,=<2,故C、D错误;对于B,∵a>0,b>0,且a+b=4,∴b=4﹣a,∴a2+b2=a2+(4﹣a)2=2a2﹣8a+16=2(a﹣2)2+8,由二次函数可知当a=b=2时,a2+b2取最小值8,故有a2+b2≥8成立.故选:B.7.已知函数f(x)=ax2+(b﹣1)x+3a+b是偶函数,定义域为[a﹣1,2a],则a+b=()A.B.C.D.2解:∵函数f(x)=ax2+(b﹣1)x+3a+b是定义域为[a﹣1,2a]的偶函数,∴其定义域关于原点对称,故a﹣1=﹣2a,解得a=.又其奇次项系数必为0,故b=1,所以a=,b=1,∴a+b=.故选:C.8.已知函数f(x)=a x(a>1),则函数f(f(x))的值域是()A.(0,+∞)B.(1,+∞)C.[1,+∞)D.R解:设u=a x,x∈R,则u>0,∵a>1,故函数y=a x在(0,+∞)上单调递增,所以y>1,值域为(1,+∞),故选:B.9.已知函数f(x+1)的定义域为(﹣2,0),则f(2x﹣1)的定义域为()A.(﹣1,0)B.()C.(0,1)D.(﹣,0)解:∵函数f(x+1)的定义域为(﹣2,0),即﹣2<x<0,∴﹣1<x+1<1,则f(x)的定义域为(﹣1,1),由﹣1<2x﹣1<1,得0<x<1.∴f(2x﹣1)的定义域为(0,1).故选:C.10.恩格尔系数(记为n)是指居民的食物支出占家庭消费总支出的比重.国际上常用恩格尔系数来衡量一个国家和地区人民生活水平的状况.联合国对消费水平的规定标准如表:家庭类型贫穷温饱小康富裕最富裕n n>0.60.5<n≤0.60.4<n≤0.50.3<n≤0.4n≤0.3实施精准扶贫以来,根据对某山区贫困家庭消费支出情况(单位:万元)的抽样调查,2018年每个家庭平均消费支出总额为2万元,其中食物消费支出为1.2万元,预测2018年到2020年每个家庭平均消费支出总额每年的增长率约是30%,而食物消费支出平均每年增加0.2万元,预测该山区的家庭2020年将处于()A.贫困水平B.温饱水平C.小康水平D.富裕水平解:2018年每个家庭平均消费支出总额为2万元,其中食物消费支出为1.2万元,预测2018年到2020年每个家庭平均消费支出总额每年的增长率约是30%,而食物消费支出平均每年增加0.2万元,2020年,消费总额为:2×1.32万元,食物消费支出为:1.6万元;可得n=≈0.47,0.4<n≤0.5,预测该山区的家庭2020年将处于小康水平.故选:C.11.已知命题“∃x∈R,2x2+(a﹣1)x+≤0是假命题,则实数a的取值范围是()A.(﹣∞,﹣1)B.(﹣1,3)C.(﹣3,+∞)D.(﹣3,1)解:∵“∃x∈R,2x2+(a﹣1)x+≤0”的否定为“∀x∈R,2x2+(a﹣1)x+>0“∵“∃x∈R,2x2+(a﹣1)x+≤0”为假命题∴“∀x∈R,2x2+(a﹣1)x+>0“为真命题即2x2+(a﹣1)x+>0恒成立∴(a﹣1)2﹣4×2×<0解得﹣1<a<3故选:B.12.德国数学家狄利克雷(1805~1859)在1837年时提出:“如果对于x的每一个值,y 总有一个完全确定的值与之对应,那么y是x的函数.”这个定义较清楚地说明了函数的内涵.只要有一个法则,使得取值范围中的每一个x,有一个确定的y和它对应就行了,不管这个法则是用公式还是用图象、表格等形式表示,例如狄利克雷函数D(x),即:当自变量取有理数时,函数值为1;当自变量取无理数时,函数值为0.以下关于狄利克雷函数D(x)的性质:①D(π)=0;②D(x)的值域为{0,1};③D(x)为奇函数;④D(x+1)=D(x),其中表述正确的个数是()A.1B.2C.3D.4解:由题得D(x)=,则D(π)=0,①正确;容易得D(x)的值域为{0,1},②正确;因为D(﹣x)=,所以D(﹣x)=D(x),D(x)为偶函数,③不正确;因为D(x+1)=,所以D(x+1)=D(x),④正确.故选:C.二、填空题(每题4分,满分16分,将答案填在答题纸上)13.(4分)已知函数y=f(x)的对应关系如表,函数y=g(x)的图象如图所示的曲线ABC,其中A(1,3),B(2,1),C(3,2),则g[f(3)]的值为1.x123 y=f(x)232解:根据题意,由f(x)的表格可得:f(3)=2,则g(f(3))=g(2)=1,故答案为:1.14.(4分)计算:(﹣2020)0+()﹣2•(3)+=.解:原式=1+•+﹣1=+1,故答案为:+1.15.(4分)函数f(x)=()的单调递增区间为[1,+∞).解:函数f(x)的定义域为R,设u=g(x)=﹣x2+2x,其图象是开口向下的抛物线,对称轴方程为x=1,其单调减区间为[1,+∞),∵为减函数,∴要求y=f(x)的单调递增区间,需求u=g(x)的单调递减区间,故函数f(x)=()的单调递增区间为[1,+∞).故答案为:[1,+∞).16.(4分)已知函数f(x)=﹣x2+2mx(m>0)满足:①∀x∈[0,2],f(x)≤9;②∃x0∈[0,2],f(x0)=9,则m的值为.解:因为函数f(x)=﹣x2+2mx(m>0)满足:①∀x∈[0,2],f(x)≤9;②∃x0∈[0,2],f(x0)=9,即函数f(x)=﹣x2+2mx(m>0)在[0,2]上的最大值为9,因为f(x)=﹣x2+2mx=﹣(x﹣m)2+m2,对称轴是x=m,开口向下,当0<m<2时,f(x)在[0,m]上单调递增,在[m,2]上单调递减,故f(x)max=f(m)=m2=9,解得m=±3,不合题意,当m≥2时,f(x)在[0,2]上单调递增,故f(x)max=f(2)=4m﹣4=9,解得m=,符合题意.综上所述,m=.故答案为:.三、解答题(本大题共4小题,每题12分,共48分)17.(12分)已知全集U=R,集合A={x|x2﹣4x﹣5≤0},B={x|1≤2x﹣2≤4}.(1)求A∩(∁U B);(2)若集合C={x|a≤x≤4a,a>0},且满足C∪A=A,C∩B=B,求实数a的取值范围.解:(1)∵A={x|﹣1≤x≤5},B={x|2≤x≤4},∴∁U B={x|x<2或x>4},∴A∩(∁U B)={x|﹣1≤x<2或4<x≤5};(2)由C∪A=A得C⊆A,则,解得;由C∩B=B得B⊆C,则,解得1≤a≤2;∴实数a的取值范围为.18.(12分)已知函数f(x)=是定义在R上的奇函数,且f(2)=.(1)求函数f(x)的解析式;(2)判断函数f(x)在区间(0,1)上的单调性,并用定义法证明.解:(1)根据题意,函数f(x)=是定义在R上的奇函数,则f(0)==0,则n=0,又由f(2)=,则f(2)==,解可得m=1,则f(x)=,(2)由(1)的结论,f(x)=在(0,1)上为增函数,证明:0<x1<x2<1,则f(x1)﹣f(x2)=﹣=又由0<x1<x2<1,则(x1﹣x2)<0,(1﹣x1x2)>0,则有f(x1)﹣f(x2)<0,则函数f(x)在(0,1)上为增函数.19.(12分)已知幂函数f(x)=(3m2﹣2m)x在(0,+∞)上单调递增,g(x)=x2﹣4x+t.(1)求实数m的值;(2)当x∈[1,9]时,记f(x),g(x)的值域分别为集合A,B,设命题p:x∈A,命题q:x∈B,若命题q是命题p的必要不充分条件,求实数t的取值范围.解:(1)∵f(x)=(3m2﹣2m)x为幂函数,且在(0,+∞)上单调递增;∴;∴;∴m=1;(2)由(1)可得f(x)值域为:[1,3],g(x)的值域为:[t﹣4,t+45]∴A=[1,3],B=[t﹣4,t+45];∵命题p:x∈A,命题q:x∈B,且命题q是命题p的必要不充分条件;∴A⫋B,∴;∴﹣42≤t≤5.20.(12分)已知定义域为R的单调函数f(x)是奇函数,当x>0时,f(x)=﹣2x (Ⅰ)求f(﹣1)的值;(Ⅱ)求f(x)的解析式;(Ⅲ)若对任意的t∈R,不等式f(t2﹣2t)+f(2t2﹣k)<0恒成立,求实数k的取值范围.解:(I)f(﹣1)=﹣f(1)=﹣(﹣2)=;(II)∵定义域为R的函数f(x)是奇函数,∴f(0)=0,当x<0时,﹣x>0,f(﹣x)=﹣﹣2﹣x,又∵函数f(x)是奇函数,∴f(﹣x)=﹣f(x),∴f(x)=+2﹣x,综上所述f(x)=.(III)∵f(1)=﹣<f(0)=0,且f(x)在R上单调,∴f(x)在R上单调递减,由f(t2﹣2t)+f(2t2﹣k)<0,得f(t2﹣2t)<﹣f(2t2﹣k),∵f(x)是奇函数,∴f(t2﹣2t)<f(k﹣2t2),又∵f(x)是减函数,∴t2﹣2t>k﹣2t2即3t2﹣2t﹣k>0对任意t∈R恒成立,∴△=4+12k<0得k<﹣,即为所求.。
2020┄2021学年山西大学附中高一(上)期中物理试卷一、单项选择题(本题共10小题,共30分,在每小题给出的四个选项中,只有一个正确,每小题3分)1.下列几组物理量中,全部为矢量的一组是( )A.时间、位移、速度ﻩB.速度、速率、加速度C.路程、时间、速率ﻩD.速度、速度变化量、加速度2.钓鱼岛到温州的直线距离为356km.若某天我国海监船为维护我国对钓鱼岛的主权,早上7:30从温州出发去钓鱼岛巡航,航行了500km,历时8时20分到达钓鱼岛.下列说法中正确的是()A.8时20分是指时刻B.7:30是指时间间隔C.尽管海监船比较大,但还可以将它看成质点D.该海监船位移大小为500km,路程为356km3.如图所示,观察图中烟囱冒出的烟和车上的小旗,关于甲、乙两车相对于房子的运动情况,下列说法正确的是()A.甲、乙两车一定向左运动B.甲、乙两车一定向右运动C.甲车可能向左运动且速度小于风速,乙车向右运动D.甲车可能静止,乙车向左运动且速度大于风速4.甲、乙、丙三辆汽车以相同的速度同时经过某一路标,以后甲车一直做匀速直线运动,乙车先减速后加速,丙车先加速后减速,它们经过下一路标时的速度又相同则()A.甲车先通过下一个路标ﻩB.乙车先通过下一个路标C.丙车先通过下一个路标 D.三车同时通过下一个路标5.一辆公共汽车以10m/s的速度匀速运动,进站后开始刹车做匀减速直线运动,停止运动前最后1s通过的位移为1m,则刹车后6s内通过的位移是( )A.24mﻩB.25mﻩC.30m D.36m6.关于力和重力下列说法正确的是()A.力可以脱离物体而存在B.合力和分力是同时作用在物体上的力C.物体的重心就是重力的等效作用点D.物体只有重心这一点才会受到重力作用7.一个正方形木块放在光滑的水平桌面上,下列说法正确的是()A.木块受到的弹力是由于木块底部形变造成的B.木块对桌面的压力就是木块受到的重力C.木块受到桌面对它向上的力有弹力和支持力两个力作用D.木块受到的弹力是由于桌面形变造成的8.下列关于摩擦力的说法正确的是( )A.物体所受摩擦力的大小跟接触面的压力大小成正比B.静摩擦力的方向总是沿接触面的切线方向,可能跟物体运动的方向相同C.两接触物体之间存在相对运动时就一定有摩擦力D.相互接触的运动物体之间不可能产生静摩擦力9.一质点由A点静止开始沿直线AB运动,行程的第一部分是加速度大小为a1的匀加速运动,接着又以大小为a2的加速度做匀减速运动,到达B恰好停止,若AB长为s,则质点走完AB所用的时间是()A.B.C.ﻩD.10.一个从地面上竖直上抛的物体,它两次经过一个较低点A的时间间隔是5s,两次经过一个较高点B的时间间隔是3s,则AB之间的距离是(g=10m/s2)()A.80m B.40mC.20m D.初速未知,无法确定二、多项选择题(本题共6小题,每小题4分,共24分,在每小题给出的四个选项中,有多个选项正确,全部选对得4分,选对但不全得2分,有错或不答得0分)11.如图所示,竖直放置的轻弹簧一端固定在地面上,另一端与斜面体P连接,P与固定挡板MN接触且P处于静止状态.则斜面体P此时刻受到外力的个数有可能为( )A.2个B.3个 C.4个ﻩD.5个12.如图所示的是一质点做直线运动的物体速度﹣时间图象,下列说法中正确的是( )A.整个过程中,BC段与CD段的运动方向相反B.整个过程中,CD段和DE段的加速度相同C.整个过程中,D点表示的状态离出发点最远D.在0﹣8s内,质点通过的位移为16m13.一辆小汽车在一段平直的公路上做匀加速直线运动,A、B是运动过程中经过的两点.已知汽车经过A点时的速度为1m/s,经过B点时的速度为7m/s.则汽车从A到B的运动过程中,下列说法正确的是( )A.汽车经过AB中间时刻的速度是4m/sB.汽车经过AB中间时刻的速度是5m/sC.汽车经过AB位移中点时速度是4m/sD.汽车经过AB位移中点时速度是5m/s14.一物体做匀变速直线运动,某时刻速度的大小为4m/s,1s后速度的大小变为10m/s,在这1s内物体的( )A.加速度的大小可能小于4m/s2B.加速度的大小可能大于10m/s2C.位移的大小可能小于4 mD.位移的大小可能大于10m15.如图所示为在同一直线上运动的A、B两质点的x﹣t图象,由图可知以下说法正确的是( )A.t=0时,A在B的前面x1处B.B在t2时刻追上A,并在此后跑在A的前面C.A在t1到t2时间内做匀速直线运动D.t1时刻前B运动的速度比A小,但0到t2时间内B的平均速度比A大16.人站在自动扶梯的水平踏板上,随扶梯斜向上匀减速运动,如图所示.以下说法正确的是()A.人只受到重力和支持力的作用B.人受到重力、支持力和摩擦力的作用C.人受到摩擦力的作用,方向水平向右D.人受到的摩擦力的作用,方向与运动速度方向相反三、实验题(共16分)17.(10分)(2015秋•小店区校级期中)打点计时器是高中物理中重要的实验仪器,如图的甲、乙两种打点计时器是高中物理实验中常用的,请回答下面的问题:(1)图乙是(填“电磁”或“电火花”)打点计时器,电源采用的是(填“交流4﹣6V”、“交流220V”、四节干电池).(2)某同学在“探究小车速度随时间变化的规律”的实验中,用打点计时器记录了被小车拖动的纸带的运动情况,在纸带上确定出A、B、C、D、E、F、G共7个计数点,其相邻点间的距离如图丙所示,每两个相邻的计数点之间还有4个打印点未画出(交流电的频率为50Hz).试根据纸带上各个计数点间的距离计算出:(要求保留3位有效数字).①小车运动的加速度为m/s2.②小车打下B点和F点时小车的瞬时速度分别为m/s和m/s.18.一个实验小组在“探究弹力和弹簧伸长的关系”的实验中,使用两条不同的轻质弹簧a 和b,得到弹力与弹簧长度的图象如图所示.下列表述正确的是( )A.a的原长比b的长B.a的劲度系数比b的大C.a的劲度系数比b的小D.测得的弹力与弹簧的长度成正比19.如图所示,是探究某根弹簧的伸长量x与所受拉力F之间的关系图,由图可知,弹簧的劲度系数是,当弹簧受F2=800N的拉力作用时,弹簧伸长为cm当弹簧伸长为x1=20cm时,弹簧产生的拉力是F1= N四、计算题、作图题(共30分)20.重10kg的箱子,与水平地面之间的摩擦因数为0.6,受到水平向右的80N的推力而向右运动,试回答:(g=10m/s2)(1)箱子一共受到几个力的作用?(2)求出各力的大小?(3)画出箱子受力的图示?21.(10分)(2015秋•小店区校级期中)一小物体以初速度20m/s沿一足够长的光滑斜面上滑,上滑到最高点后又返回运动到出发点,经历的总时间为8s,返回出发点的速度大小仍20m/s,已知小物体在光滑斜面上做匀变速直线运动,加速度的大小和方向均保持不变,求:(1)由开始运动算起,6s末物体的速度的大小和方向?(2)由开始运动算起,6s内物体通过的位移和路程?22.(12分)(2009•安庆一模)甲、乙两车从同一地点出发同向运动,其图象如图所示.试计算:(1)从乙车开始运动多少时间后两车相遇?(2)相遇处距出发点多远?(3)相遇前两车的最大距离是多少?2020┄2021学年山西大学附中高一(上)期中物理试卷参考答案与试题解析一、单项选择题(本题共10小题,共30分,在每小题给出的四个选项中,只有一个正确,每小题3分)1.下列几组物理量中,全部为矢量的一组是( )A.时间、位移、速度B.速度、速率、加速度C.路程、时间、速率D.速度、速度变化量、加速度【考点】矢量和标量.【分析】矢量既有大小,又有方向.时间、质量、速率和路程是标量,只有大小,没有方向,而加速度、位移、速度、速度变化量既有大小,又有方向均是矢量.【解答】解:A、时间是标量,位移、速度是标量,不符合题意.故A错误.B、速度、加速度是矢量,速率是标量,不符合题意.故B错误.C、路程、时间、速率都标量.故C错误.D、速度、速度变化量、加速度都是矢量,符合题意.故D正确.故选D【点评】本题考查矢量和标量的识别能力,根据有没有方向分析,对于常见的矢量,其方向特点要抓住.2.钓鱼岛到温州的直线距离为356km.若某天我国海监船为维护我国对钓鱼岛的主权,早上7:30从温州出发去钓鱼岛巡航,航行了500km,历时8时20分到达钓鱼岛.下列说法中正确的是()A.8时20分是指时刻B.7:30是指时间间隔C.尽管海监船比较大,但还可以将它看成质点D.该海监船位移大小为500km,路程为356km【考点】时间与时刻;位移与路程.【专题】定性思想;归谬反证法;直线运动规律专题.【分析】时间间隔是指时间的长度,在时间轴上对应一段距离,时刻是指时间点,在时间轴上对应的是一个点;位移是从初位置到末位置的有向线段,路程为轨迹的实际长度;在物体的大小和形状不起作用,或者所起的作用并不显著而可以忽略不计时,我们把近似地把该物体看作是一个具有质量大小和形状可以忽略不计的理想物体,称为质点.【解答】解:A、历时8时20分,用了一段时间,为时间间隔,故A错误;B、7:30指的是一个时间点,因此为时刻,故B错误;C、该海监船在海上航行时,确定位置时其大小可以忽略不计,故可以将该海监船看成质点,故C正确;D、位移是从初位置到末位置的有向线段,为356km;路程为轨迹的实际长度,为500km,故D错误;故选:C.【点评】本题关键明确位移与路程、时间间隔与时刻、质点的概念,要掌握了时刻在时间轴上对应的是一点,而时间间隔在时间轴上对应的是一段.3.如图所示,观察图中烟囱冒出的烟和车上的小旗,关于甲、乙两车相对于房子的运动情况,下列说法正确的是()A.甲、乙两车一定向左运动B.甲、乙两车一定向右运动C.甲车可能向左运动且速度小于风速,乙车向右运动D.甲车可能静止,乙车向左运动且速度大于风速【考点】参考系和坐标系.【专题】定性思想;推理法;直线运动规律专题.【分析】参考系,是指研究物体运动时所选定的参照物体或彼此不作相对运动的物体系;参考系的选取是任意的,如何选择参照系,必须从具体情况来考虑,一般情况下我们以地面或地面上的物体作为参考系.【解答】解:从图上烟的方向可以判断风的方向是向左的,图中甲物体的小旗向左飘,我们可以判断甲物体可以静止,可以向右运动,也可以向左运动,向左的速度必须小于风速;图中乙物体的小旗向右飘,我们可以判断乙物体一定向左运动,且向左运动的速度大于风速,故ABC错误,D正确.故选:D.【点评】为了研究和描述物体的运动,我们引入了参考系,选择不同的参考系,同一物体相对于不同的参考系,运动状态可以不同,选取合适的参考系可以使运动的研究简单化.4.甲、乙、丙三辆汽车以相同的速度同时经过某一路标,以后甲车一直做匀速直线运动,乙车先减速后加速,丙车先加速后减速,它们经过下一路标时的速度又相同则()A.甲车先通过下一个路标ﻩB.乙车先通过下一个路标C.丙车先通过下一个路标ﻩD.三车同时通过下一个路标【考点】匀变速直线运动的图像;匀变速直线运动的位移与时间的关系.【专题】直线运动规律专题.【分析】我们可以定性地进行分析:因为丙先加速后减速,所以它在整个运动过程中的速度都比甲大,所以相等时间内它的位移肯定比匀速运动的甲大;而乙因先减速后加速,它在整个运动过程中都以比甲小的速度在运动,所以在相等时间内它的位移比甲小.【解答】解:由于乙因先减速后加速,它在整个运动过程中的平均速度都比甲小,所以在相等位移内它的时间比甲大.丙先加速后减速,所以它在整个运动过程中的平均速度都比甲大,经过相同的位移,它的时间肯定比匀速运动的甲小;由此可知,丙将最先到达下一个路标,乙最后一个到达下一个路标.故选:C.【点评】该题可以通过平均速度去解题,也可以通过画v﹣t图象去分析,图象与坐标轴所围成的面积即为位移.5.一辆公共汽车以10m/s的速度匀速运动,进站后开始刹车做匀减速直线运动,停止运动前最后1s通过的位移为1m,则刹车后6s内通过的位移是( )A.24mﻩB.25m C.30mD.36m【考点】匀变速直线运动的位移与时间的关系.【专题】直线运动规律专题.【分析】采用逆向思维,结合位移时间公式求出匀减速运动的加速度大小,结合速度时间公式求出汽车刹车速度减为零的时间,判断汽车是否停止,再根据位移公式求出刹车后的位移.【解答】解:采用逆向思维,有:,解得刹车的加速度大小a=,汽车速度减为零的时间,则刹车后6s内的位移等于5s内的位移,x=.故选:B.【点评】本题考查了运动学中的刹车问题,是道易错题,注意汽车速度减为零后不再运动.6.关于力和重力下列说法正确的是( )A.力可以脱离物体而存在B.合力和分力是同时作用在物体上的力C.物体的重心就是重力的等效作用点D.物体只有重心这一点才会受到重力作用【考点】重力;力的概念及其矢量性.【专题】定性思想;归谬反证法;弹力的存在及方向的判定专题.【分析】力是一个物体对另一个物体的作用;力是不能离开物体而单独存在.重力的作用点叫重心.物体各部分都会受到重力作用.【解答】解:A、由于力是一个物体对另一个物体的作用,力是不能脱离物体而单独存在,故A 错误.B、合力和分力是等效替代的关系,不能同时作用在物体上的力,故B错误.C、重力的作用点叫重心,故C正确.D、物体各部分都会受到重力作用,故D错误.故选:C【点评】本题考查的是学生对重力、重心的理解,还要了解物体的重心分布与哪些因素有关.7.一个正方形木块放在光滑的水平桌面上,下列说法正确的是()A.木块受到的弹力是由于木块底部形变造成的B.木块对桌面的压力就是木块受到的重力C.木块受到桌面对它向上的力有弹力和支持力两个力作用D.木块受到的弹力是由于桌面形变造成的【考点】物体的弹性和弹力;弹性形变和范性形变.【专题】定性思想;推理法;受力分析方法专题.【分析】物体间的弹力是由物体发生弹性形变,而要恢复原状时产生的力.平衡力是作用在同一物体上,大小相等方向相反;而作用力和反作用力分别作用在两个物体上,大小相等,方向相反.【解答】解:A、木块受到的弹力是由于桌面底部形变造成的,故A错误,D正确;B、木块对桌面的压力和木块受到的重力的施力物体和受力物体都不同,不是一个力,故B 错误;C、木块受到桌面对它向上的力有弹力和支持力是同一个力,故C错误;故选:D.【点评】要注意弹力产生的原因,及平衡力与作用力和反作用力的区别.注意本题中的压力与重力大小相等,方向相同,但不是同一个力.8.下列关于摩擦力的说法正确的是( )A.物体所受摩擦力的大小跟接触面的压力大小成正比B.静摩擦力的方向总是沿接触面的切线方向,可能跟物体运动的方向相同C.两接触物体之间存在相对运动时就一定有摩擦力D.相互接触的运动物体之间不可能产生静摩擦力【考点】摩擦力的判断与计算.【专题】摩擦力专题.【分析】滑动摩擦力的大小总是跟压力的大小成正比,与运动状态无关;静摩擦力产生条件:发生弹性形变,且接触粗糙及相对运动趋势;有摩擦力一定有弹力,而有弹力不一定有摩擦力.【解答】解:A、滑动摩擦力的大小总是跟压力的大小成正比,与运动状态无关,故A错误;B、静摩擦力的方向总是沿接触面的切线方向,但可能跟物体运动的方向相同,也可以相反,也可能不共线,故B正确;C、由摩擦力产生条件可知,接触且产生弹力的两个物体之间可能产生摩擦力,故C错误;D、接触的运动物体保持相对静止,可能产生静摩擦力,故D错误;故选:B.【点评】考查滑动摩擦力与静摩擦力的区别,理解摩擦力产生的条件,及摩擦力与弹力的关系,注意B选项不一定有摩擦力存在.9.一质点由A点静止开始沿直线AB运动,行程的第一部分是加速度大小为a1的匀加速运动,接着又以大小为a2的加速度做匀减速运动,到达B恰好停止,若AB长为s,则质点走完AB所用的时间是()A.B.C.D.【考点】匀变速直线运动规律的综合运用.【专题】直线运动规律专题.【分析】设总时间为t,加速时间为t1,则减速时间为t﹣t1;则由平均速度公式可得出位移表达式,同时可得出速度关系,联立可解得总时间.【解答】解:物体加速过程最大速度也为减速过程的最大速度,则有:a1t1=a2(t﹣t1)﹣﹣﹣﹣(1);物体在全程的平均速度为,则总位移s=t﹣﹣﹣﹣﹣(2);联立(1)、(2)可解得:t=故选:D.【点评】本题注意平均公式的应用,因加速过程平均速度等于,而减速过程同样也是,故可知全程的平均速度,即表示出总位移;平均速度公式在解题中要注意应用.10.一个从地面上竖直上抛的物体,它两次经过一个较低点A的时间间隔是5s,两次经过一个较高点B的时间间隔是3s,则AB之间的距离是(g=10m/s2)( )A.80mB.40mC.20m D.初速未知,无法确定【考点】竖直上抛运动.【分析】物体做竖直上抛运动,可以利用对称来解,可以得到物体从顶点到A的时间为,顶点到B点的时间为,从顶点出发物体做自由落体运动,根据位移公式x=gt2将其带入求解.【解答】解:小球做竖直上抛运动,根据运动时间的对称性得到物体从最高点自由下落到A点的时间为,最高点到B点的时间为,AB间距离为:h AB=g=×10×(2.52﹣1.52)m=20m故选:C.【点评】对于竖直上抛运动问题,关键要抓住对称性,知道上升和下降的时间相等,再由运动学公式即可求解.二、多项选择题(本题共6小题,每小题4分,共24分,在每小题给出的四个选项中,有多个选项正确,全部选对得4分,选对但不全得2分,有错或不答得0分)11.如图所示,竖直放置的轻弹簧一端固定在地面上,另一端与斜面体P连接,P与固定挡板MN接触且P处于静止状态.则斜面体P此时刻受到外力的个数有可能为( )A.2个ﻩB.3个ﻩC.4个D.5个【考点】力的合成与分解的运用;共点力平衡的条件及其应用.【专题】共点力作用下物体平衡专题.【分析】P静止,所以受力是平衡的,我们可以根据平衡条件来判断弹力和摩擦力的有无.【解答】解:对物体受分析如图:如果:(1)N=G的话,物体受力可以平衡,故P可能受2个力的作用.(2)N<G的话,P不可能平衡(3)如果:N>G,物体会受到挡板MN的弹力F和摩擦力f,受力分析如图:故P可能受4个力的作用.综上所述:P可能的受力个数是2个或4个故选:AC【点评】判断物体的受力个数其实就是判断相互接触的物体间有无弹力或摩擦力的作用,处理时根据平衡条件进行判断即可.12.如图所示的是一质点做直线运动的物体速度﹣时间图象,下列说法中正确的是( )A.整个过程中,BC段与CD段的运动方向相反B.整个过程中,CD段和DE段的加速度相同C.整个过程中,D点表示的状态离出发点最远D.在0﹣8s内,质点通过的位移为16m【考点】匀变速直线运动的图像;匀变速直线运动的速度与时间的关系.【专题】运动学中的图像专题.【分析】(1)v﹣t图象中,倾斜的直线表示匀变速直线运动,斜率表示加速度,倾斜角越大表示加速度越大;(2)图象与坐标轴围成的面积表示位移,在时间轴上方的位移为正,下方的面积表示位移为负.【解答】解:A、BC段与CD段的运动方向相同,故A错误;B、CD段和DE段处于一条直线上,故斜率相同,则加速度相同,故B正确;C、从静止到D点的图象与坐标轴围成的面积在时间轴的上方,位移为正,D点以后位移为负,说明此时已经反方向运动了,故D点离出发点最远,故C正确;D、从静止到D点的图象与坐标轴围成的面积在时间轴的上方,位移为正,D点以后位移为负,故前8s的位移等于前6s的位移,大小为12m.故D错误.故选:BC【点评】本题是速度﹣﹣时间图象的应用,要明确斜率的含义,知道在速度﹣﹣时间图象中图象与坐标轴围成的面积的含义,能根据图象读取有用信息,属于基础题.13.一辆小汽车在一段平直的公路上做匀加速直线运动,A、B是运动过程中经过的两点.已知汽车经过A点时的速度为1m/s,经过B点时的速度为7m/s.则汽车从A到B的运动过程中,下列说法正确的是()A.汽车经过AB中间时刻的速度是4m/sB.汽车经过AB中间时刻的速度是5m/sC.汽车经过AB位移中点时速度是4m/sD.汽车经过AB位移中点时速度是5m/s【考点】匀变速直线运动规律的综合运用.【专题】直线运动规律专题.【分析】某段时间内平均速度等于中间时刻的瞬时速度,根据匀变速直线运动的速度位移公式求出中间位置的瞬时速度.分别求出前一半位移和后一半位移内的平均速度,从而比较出运动的时间.【解答】解:AB、汽车经过中间时刻的速度=m/s=4m/s.故A正确,B错误.CD、设中间位置的速度为v,则v2﹣vA2=2ax,v B2﹣v2=2ax,联立解得v===5m/s.故C错误,D正确.故选:AD.【点评】解决本题的关键掌握匀变速直线运动的推论,某段时间内的平均速度等于中间时刻的瞬时速度.并能灵活运用.14.一物体做匀变速直线运动,某时刻速度的大小为4m/s,1s后速度的大小变为10m/s,在这1s内物体的( )A.加速度的大小可能小于4m/s2B.加速度的大小可能大于10m/s2C.位移的大小可能小于4 mD.位移的大小可能大于10m【考点】匀变速直线运动的位移与时间的关系;匀变速直线运动的速度与时间的关系.【专题】直线运动规律专题.【分析】根据加速度的定义式求出加速度的大小,根据平均速度的推论求出物体的位移.【解答】解:若1s后的速度方向与初速度方向相同,则加速度为:a=,位移为:x=.若1s后的速度方向与初速度方向相反,则加速度为:a=,位移为:x=,负号表示方向.故B、C正确,A、D错误.故选:BC.【点评】解决本题的关键掌握匀变速直线运动的运动学公式和推论,并能灵活运用,有时运用推论求解会使问题更加简捷.15.如图所示为在同一直线上运动的A、B两质点的x﹣t图象,由图可知以下说法正确的是( )A.t=0时,A在B的前面x1处B.B在t2时刻追上A,并在此后跑在A的前面C.A在t1到t2时间内做匀速直线运动D.t1时刻前B运动的速度比A小,但0到t2时间内B的平均速度比A大【考点】匀变速直线运动的图像;匀变速直线运动的位移与时间的关系.【专题】定性思想;图析法;运动学中的图像专题.【分析】位移图象可以直接读出物体的位置,根据t=0时两物体的位移,分析两者位置的关系.位移为△x=x2﹣x1.在t2时刻两物体的位移相同,B追上A.此后A处于静止状态,B做匀速直线运动跑在A的前面.根据斜率的大小判断速度的大小.平均速度等于位移与时间之比.【解答】解:A、t=0时,B在原点,A在正方向上距原点x1处,则A在B的前面x1处.故A正确.B、在t2时刻两物体的位移相同,两物体到达同一位置,说明B追上A.此后A处于静止状态,而沿原方向B做匀速直线运动,因而在此后B跑在A的前面.故B正确.C、根据斜率等于速度可知,A在t1到t2时间内静止,故C错误.D、t1时刻前B运动的速度比A小,t1时刻后A停止运动,B仍做匀速直线运动,B的速度大于A的速度,0﹣t2时间内BD的位移比A的位移大,时间相等,所以B的平均速度大.故D 正确.故选:ABD【点评】此题要抓住位移图象的斜率等于速度.根据位移图象分析物体的运动情况是基本能力,要加强训练,提高解题速度.16.人站在自动扶梯的水平踏板上,随扶梯斜向上匀减速运动,如图所示.以下说法正确的是()A.人只受到重力和支持力的作用B.人受到重力、支持力和摩擦力的作用。
山西省太原市山大附中2020┄2021学年高一上学期期中物理试卷一、单项选择题(本题共10小题,共20分,在每小题给出的四个选项中,只有一个正确,每小题2分)1.(2分)关于重力,下列说法中正确的是()A. 物体受到的重力大小和方向与物体的运动状态无关B.ﻩ抛出的石块轨迹是曲线,说明石块所受的重力方向在改变ﻩC.自由下落的石块速度越来越大,说明石块所受重力越来越大ﻩD.ﻩ物体所受的重力作用于重心处,物体的其他部分不受重力作用2.(2分)公路上向左匀速行驶的汽车如图所示,经过一棵果树附近时,恰好有一颗果子从上面自由落下,下图是果子运动的轨迹,则车中人以车为参考系看到的果子的运动轨迹是(不计阻力)()ﻩC.ﻩ D.ﻩﻩB.ﻩA.ﻩ3.(2分)下列各组物理量中,全部是矢量的有()ﻩA.ﻩ位移、速度、平均速度、速度变化率ﻩB.速度、平均速度、加速度、平均速率C. 位移、速度、加速度、平均速率D.速度、加速度、位移、路程4.(2分)一质点沿x轴运动,其位置x随时间t变化的规律为:x=10t﹣5t2(m),t的单位为s.下列关于该质点运动的说法正确的是()ﻩA. 该质点的加速度大小为5m/s2ﻩB. 物体回到x=0处时其速度大小为10m/sﻩC.ﻩt=2s时刻该质点速度为零ﻩD. 0~3s内该质点的平均速度为5m/s5.(2分)关于速度、速度的变化、速度变化率的关系,下列说法中正确的是()ﻩA.ﻩ速度的变化越大,速度变化率一定越大B.速度越大,速度的变化一定越大ﻩC.ﻩ速度变化率为零,速度一定为零ﻩD.ﻩ速度为零,速度变化率不一定为零6.(2分)如图所示:物体沿两个半径为R的圆弧由A到C,则它的位移和路程分别为()ﻩA. ,A指向C;B. ,A指向C;C.ﻩ,A指向C;D.ﻩ,C指向A;7.(2分)甲、乙两车某时刻由同一地点沿同一方向开始做直线运动,若以该时刻作为计时起点,得到两车的x﹣t图象如图所示,则下列说法正确的是()A.ﻩt1时刻两车的速度刚好相等ﻩB. t1时刻两车相距最远ﻩC.ﻩt1时刻乙车从后面追上甲车ﻩD. 0到t1时间内,乙车的平均速度大于甲车的平均速度8.(2分)四个物体运动的v﹣t图象如图所示,表示物体做竖直上抛运动的是()ﻩD.ﻩA. ﻩB. ﻩC.ﻩ9.(2分)一物体由静止开始沿直线运动,其加速度随时间变化规律如图所示,取开始运动方向为正方向,则物体运动的v﹣t图象,正确的是()ﻩA. ﻩB.C.ﻩﻩD.ﻩ10.(2分)作匀加速直线运动的物体,先后经过A、B两点时,其速度分别为v和7v,从A到B的时间为t,则不正确说法是()ﻩA.ﻩ经A、B中点时速度为5vB.ﻩ经A、B中点时速度为4vﻩC.ﻩA到B过程的中间时刻的速度为4vD.在后一半时间所通过的位移比前一半时间通过的位移多vt二、多项选择题(本题共8小题,共32分,在每小题给出的四个选项中,有多个选项正确,全部选对得4分,选对但不全得2分,有错或不答得0分).11.(4分)关于打点计时器的使用下列说法正确的是()A.ﻩ纸带上打的点越密,说明物体运动的越快B.电火花打点计时器使用的是220V交流电源C.ﻩ使用的电源频率越高,打点的时间间隔就越短ﻩD.ﻩ在“探究匀变速直线运动的规律”的实验中应先释放小车,后接通打点计时器的电源12.(4分)关于伽利略对自由落体运动的研究,下列说法中正确的是()A.在同一地点,重的物体和轻的物体下落快慢不同B.伽利略猜想运动速度与下落时间成正比,但没有直接用实验进行验证ﻩC. 伽利略通过数学推演并用小球在斜面上验证了位移与时间的平方成正比ﻩD.伽利略思想方法的核心是把实验和逻辑推理(包括数学推演)和谐地结合起来13.(4分)关于自由落体运动的加速度g,下列说法中正确的是()ﻩA.ﻩ同一地点,轻重物体的g值一样大B.ﻩ在同一纬度,g值随高度的增加而增大C. 在同一纬度,g值随高度的增加而减小D.ﻩg值在赤道处大于在北极处14.(4分)如图所示,用一把直尺可以测量神经系统的反应速度.现有甲、乙两同学,甲同学用手指拿着一把长50cm的直尺,乙同学把手放在零刻度线位置做抓尺的准备,当甲同学松开直尺,乙同学见到直尺下落时,立即用手抓住直尺,记录抓住处的数据,重复以上步骤多次.现有乙同学测定神经系统的反应速度得到以下数据(单位:cm),则下列说法正确的是(g=10m/s2)()第一次第二次第三次ﻩ304520ﻩA. 第一次测量的反应时间最短B.第一次测量的反应时间为0.2sﻩC. 第二次抓住之前的瞬间,直尺的速度约为4m/sD.ﻩ若某同学的反应时间为0.4s,则该直尺将无法测量该同学的反应时间15.(4分)如图所示是做匀变速直线运动的质点在0~6s内的位移﹣时间图象,若t=1s时,图线所对应的切线斜率为4(单位:m/s),则()A.t=1s和t=5s时,质点的位移相同B.t=1s和t=5s时,质点的速度相同ﻩC.ﻩt=3s时,质点的速度大小为6m/sﻩD.ﻩ质点运动的加速度大小为2m/s216.(4分)在同一地点,甲、乙两个物体沿同一方向作直线运动的速度一时间图象如下图所示,关于6s内甲乙的运动说法正确的是()A. 两物体相遇的时间是2s和6sB.甲物体先在前运动1s,随后5s乙一直在前方C.ﻩ两个物体相距最远的时刻是4s末ﻩD.4﹣6s内乙在甲前面17.(4分)如图所示,在水平面上固定三个完全相同的木块,一颗子弹以水平速度v射入,若子弹在木块中做匀减速直线运动,当穿透第三块木块时速度恰好为零,则子弹依次射入每个木块时的速度之比和穿过每个木块所用时间之比分别为()A.ﻩv1:v2:v3=3:2:1ﻩB.ﻩv1:v2:v3=::1ﻩC.t1:t2:t3=1::ﻩD.ﻩt1:t2:t3=(﹣):(﹣1):118.(4分)如图甲所示是一种交警测速的工作示意图,B为能发射超声波的固定小盒子,工作时小盒子B向被测物体发出短暂的超声波脉冲,脉冲被运动的物体反射后又被B盒接收,从B盒发射超声波开始计时,经时间△t0再次发射超声波脉冲,图乙是连续两次发射的超声波的位移﹣时间图象,则下列说法正确的是()ﻩA.超声波的速度为v声=B.超声波的速度为v声=C. 物体的平均速度为=ﻩD.物体的平均速度为=三、实验题(共14分,每空3分,作图5分)19.(14分)在做“研究匀变速直线运动”的实验时,某同学得到一条用电火花计时器打下的纸带如图1所示,并在其上取了A、B、C、D、E、F、G 7个计数点,每相邻两个计数点间还有4个点图中没有画出,电火花计时器接220V、50Hz交流电源.(1)设电火花计时器的周期为T,计算F点的瞬时速度v F的公式为v F=;(2)他经过测量并计算得到电火花计时器在打B、C、D、E、F各点时物体的瞬时速度如表.以A点对应的时刻为t=0,试在图2所示坐标系中合理地选择标度,作出v﹣t图象,并利用该图象求出物体的加速度a= m/s2;对应点 B C DﻩEF0.301速度(m/s)ﻩ0.141ﻩ0.180 0.218 0.262ﻩ(3)如果当时电网中交变电流的电压变成210V,而做实验的同学并不知道,那么加速度的测量值与实际值相比.(填“偏大”、“偏小”或“不变”)四、计算题(本题共4小题,共计36分,解答时请写出必要的文字说明、方程式和重要的演算步骤,只写出最后答案的不能得分.有数值计算的题,答案中必须明确写出数值和单位.)20.(8分)气球从地面由静止出发向上做匀加速运动,加速度是2m/s2,5s后从气球上落下一物体.求:(1)这物体落到地面上所用的时间;(2)这物体落到地面上的速度大小.(g=10m/s2)21.(8分)一列火车做匀加速直线运动驶来,一人在轨道旁边观察火车运动,发现在相邻的两个10s内,火车从他跟前分别驶过6节车厢和8节车厢,每节车厢长8m(连接处长度不计),求:(1)火车的加速度的大小;(2)人开始观察时火车速度的大小.22.(10分)如图是一个十字路口的示意图,每条停车线到十字路中心O的距离均为20m.一人骑电动助力车以7m/s的速度到达停车线(图中A点)时,发现左前方道路一辆轿车正以8m/s的速度驶来,车头已抵达停车线(图中B),设两车均沿道路中央作直线运动,助力车可视为质点,轿车长4.8m,宽度可不计.(1)请通过计算判断两车保持上述速度匀速运动,是否会发生相撞事故?(2)若轿车保持上述速度匀速运动,而助力车立即作匀加速直线运动,为避免发生相撞事故,助力车的加速度至少要多大?23.(10分)据报道,一儿童玩耍时不慎从45m高的阳台上无初速掉下,在他刚掉下时恰被楼下的管理人员发现,该人员迅速由静止冲向儿童下落处的正下方楼底,准备接住儿童.已知管理人员到楼底的距离为18m,为确保安全稳妥的接住儿童,管理人员将尽力节约时间,但又必须保证接儿童时没有水平方向的冲击,不计空气阻力,将儿童和管理人员都看做质点,设管理人员奔跑过程中只做匀速或匀变速运动,g取10m/s2.(1)管理人员至少要用多大的平均速度跑到楼底?(2)若管理人员在加速或减速过程中的加速度大小相等,且最大速度不超过9m/s,求管理人员奔跑时加速度需满足什么条件?山西省太原市山大附中2020┄2021学年高一上学期期中物理试卷参考答案与试题解析一、单项选择题(本题共10小题,共20分,在每小题给出的四个选项中,只有一个正确,每小题2分)1.(2分)关于重力,下列说法中正确的是()ﻩA.ﻩ物体受到的重力大小和方向与物体的运动状态无关B. 抛出的石块轨迹是曲线,说明石块所受的重力方向在改变C.ﻩ自由下落的石块速度越来越大,说明石块所受重力越来越大D.ﻩ物体所受的重力作用于重心处,物体的其他部分不受重力作用考点:ﻩ重力.分析:在地球附近,由于地球的吸引而使物体受到的力叫重力,重力的方向总是竖直向下的.地球附近的一切物体都受到重力的作用,与运动状态无关.重力的作用点叫重心,多数物体的重心在物体上,一些不规则物体或空心物体的重心不在物体上;解答:解:A、重力的方向总是竖直向下的,大小与质量及重力加速度有关,所以物体受到的重力大小和方向与物体的运动状态无关,故A正确;B、抛出的石块轨迹是曲线,重力方向总是竖直向下,故B错误;C、自由下落的石块速度越来越大,而石块所受重力却不变,因质量及重力加速度没有变,故C 错误;D、物体各部分均受到重力作用,将所受重力集中一点,即为重心,故D错误.故选:A.点评:正确理解掌握重力的三要素,是解决重力问题的关键,注意重心是等效思维,及所受重力与运动状态无关.2.(2分)公路上向左匀速行驶的汽车如图所示,经过一棵果树附近时,恰好有一颗果子从上面自由落下,下图是果子运动的轨迹,则车中人以车为参考系看到的果子的运动轨迹是(不计阻力)()ﻩA.ﻩB.ﻩ C.ﻩﻩD.ﻩ考点:ﻩ参考系和坐标系.分析: 如果物体相对于参照物的位置保持不变,则物体是静止的;如果物体相对于参照物的位置不断发生变化,物体是运动的;根据选择的参照物分析判断物体的运动状态.解答: 解:下落的物体相对于车内的乘客,一方面竖直加速下落,另一方面在水平方向上后退,在乘客看来(以乘客为参照物),物体向后做平抛运动曲;故B正确,ACD错误;故选:B.点评:ﻩ本题考查了判断物体的运动状态,有一定的难度,解题时要注意确定参照物.3.(2分)下列各组物理量中,全部是矢量的有()ﻩA.ﻩ位移、速度、平均速度、速度变化率B.速度、平均速度、加速度、平均速率ﻩC.位移、速度、加速度、平均速率D.速度、加速度、位移、路程考点:ﻩ矢量和标量.分析:矢量是既有大小又有方向的物理量,标量是只有大小没有方向的物理量.根据有无方向确定.解答:ﻩ解:A、位移、速度、平均速度、速度变化率即加速度都是矢量,故A正确.B、平均速率是标量,故B错误;C、平均速率为标量,故C错误;D、路程只有大小没有方向,因此为标量,故D错误.故选:A.点评:ﻩ本题是一个基础题目,就是看学生对矢量和标量的掌握,正确理解标量和矢量的区别即可正确解答.4.(2分)一质点沿x轴运动,其位置x随时间t变化的规律为:x=10t﹣5t2(m),t的单位为s.下列关于该质点运动的说法正确的是()A.ﻩ该质点的加速度大小为5m/s2B.ﻩ物体回到x=0处时其速度大小为10m/sC.t=2s时刻该质点速度为零D. 0~3s内该质点的平均速度为5m/s考点:ﻩ匀变速直线运动的位移与时间的关系.专题: 直线运动规律专题.分析:ﻩ根据匀变速直线运动的位移时间公式得出初速度和加速度,结合位移为零求出运动的时间,从而结合速度时间公式求出x=0时的速度.通过位移公式求出0﹣3s内的位移,结合平均速度的定义式求出平均速度的大小.解答: 解:A、根据x=v0t+at2知x=10t﹣5t2得,质点的初速度为10m/s,加速度为﹣10m/s2.故A错误.B、当x=0时,有10t﹣5t2=0,解得t=0(舍去),t=2s.则2s末的速度v=v0+at=10﹣10×2m/s=﹣10m/s,即速度的大小为10m/s.故B正确,C错误.D、0~3s内该质点的位移x=10t﹣5t2=10×3﹣5×9m=﹣15m,则平均速度===﹣5m/s,即平均速度的大小为5m/s.故D正确.故选:BD.点评:解决本题的关键掌握匀变速直线运动的位移时间公式和速度时间公式,并能灵活运用.5.(2分)关于速度、速度的变化、速度变化率的关系,下列说法中正确的是()ﻩA.ﻩ速度的变化越大,速度变化率一定越大B. 速度越大,速度的变化一定越大C.ﻩ速度变化率为零,速度一定为零ﻩD. 速度为零,速度变化率不一定为零考点:ﻩ加速度;速度.专题:直线运动规律专题.分析:ﻩ根据加速度的定义式a=可知物体的加速度等于物体的速度的变化率,加速度的方向就是物体速度变化量的方向,与物体速度无关,即物体的速度变化越快物体的加速度越大.加速度是描述速度变化快慢的物理量.解答:ﻩ解:A、根据加速度的定义式a=可知物体的加速度等于物体的速度的变化率,虽然△v大,但△t更大时,速度变化率可以很小.故A错误;B、速度越大,速度的变化可以为零,例如速度大的匀速直线运动,故B错误;C、速度变化率为零,即加速度为零,速度不一定为零,例如速度大的匀速直线运动,故C错误;D、速度为零,速度变化率不一定为零,即加速度不一定为零,例如火箭发射的瞬间,故D正确;故选:D.点评: 把握加速度的定义式a=中各个物理量的含义以及各个物理量之间的关系是解决此类问题的关键,是正确理解加速度的定义的基础.6.(2分)如图所示:物体沿两个半径为R的圆弧由A到C,则它的位移和路程分别为()A.ﻩ,A指向C;B.ﻩ,A指向C;C. ,A指向C;ﻩD.,C指向A;考点: 位移与路程.专题:ﻩ直线运动规律专题.分析:ﻩ位移是指从初位置到末位置的有向线段,位移是矢量,有大小也由方向;路程是指物体所经过的路径的长度,路程是标量,只有大小,没有方向.解答:ﻩ解:物体的位移大小为AC的长度,根据几何关系可知:,方向有A指向C,路程为一个半圆周长和一个四分之三圆周长之和,即,故ABD错误,C正确.故选C.点评:ﻩ本题就是对位移和路程的考查,掌握住位移和路程的概念就能够解决了,注意位移为矢量,路程为标量.7.(2分)甲、乙两车某时刻由同一地点沿同一方向开始做直线运动,若以该时刻作为计时起点,得到两车的x﹣t图象如图所示,则下列说法正确的是()ﻩA.ﻩt1时刻两车的速度刚好相等ﻩB.ﻩt1时刻两车相距最远ﻩC.ﻩt1时刻乙车从后面追上甲车D.0ﻩ到t1时间内,乙车的平均速度大于甲车的平均速度考点:ﻩ匀变速直线运动的图像;匀变速直线运动的位移与时间的关系.专题:运动学中的图像专题.分析:在位移﹣时间图象中,倾斜的直线表示物体做匀速直线运动,斜率表示速度;图象的交点表示位移相等,平均速度等于位移除以时间.解答:ﻩ解:A.在t1时刻两车的位移相等,但图线斜率不相等,故速度不等,乙的速度大于甲的速度,故A错误;B.由A的分析可知:在t1时刻乙车刚好从后面追上甲车,两车相遇,故B错误;C.它们在同一时刻由同一地点沿同一方向开始做直线运动,经过时间t1位移又相等,故在t1时刻乙车刚好从后面追上甲车,故C正确;D.0到t1时间内,甲乙两车位移相等,根据平均速度等于位移除以时间可知,0到t1时间内,乙车的平均速度等于甲车的平均速度,故D错误.故选:C.点评:ﻩ要求同学们能根据图象读出有用信息,知道位移﹣时间图象中,倾斜的直线表示物体做匀速直线运动,斜率表示速度,难度不大,属于基础题.8.(2分)四个物体运动的v﹣t图象如图所示,表示物体做竖直上抛运动的是()C. D.ﻩﻩA.ﻩB.ﻩ考点:ﻩ匀变速直线运动的图像.专题:ﻩ运动学中的图像专题.分析: 竖直上抛运动过程分两个阶段:上升过程物体做匀减速直线运动,下降过程物体做匀加速运动,加速度等于重力加速度,保持不变,速度图线的斜率保持不变.解答:ﻩ解:A、此图表示物体先向上做匀加速直线运动,后向上做匀减速直线运动,与竖直上抛运动情况不符.故A错误.B、此图表示物体先向上做匀加速直线运动,后向下做匀减速直线运动,但两段图线的斜率不同,加速度不同,与竖直上抛运动情况不符.故B错误.C、此图表示物体先向上做匀加速直线运动,后向下做匀减速直线运动,两段图线的斜率不相同,加速度相同,与竖直上抛运动情况相符.故C正确.D、此图表示物体做初速度为零的匀加速直线运动,与竖直上抛运动情况不符.故D错误.故选C点评:ﻩ本题是没有空气阻力的竖直上抛运动,物体的加速度一定,若有空气阻力时,上升的加速度大于下降的加速度,图象选B.9.(2分)一物体由静止开始沿直线运动,其加速度随时间变化规律如图所示,取开始运动方向为正方向,则物体运动的v﹣t图象,正确的是()A.ﻩB.ﻩC.ﻩ D.考点: 匀变速直线运动的速度与时间的关系;匀变速直线运动的图像.专题:ﻩ运动学中的图像专题.分析: 在0~1s内,物体从静止开始沿加速度方向匀加速运动,在1s~2 s内,加速度反向,速度方向与加速度方向相反,所以做匀减速运动,到2s末时速度为零.2 s~3 s内加速度变为正向,物体又从静止开始沿加速度方向匀加速运动,重复0~1s内运动情况,3s~4s内重复1s~2s内运动情况.解答:ﻩ解:在0~1s内,a1=1m/s2,物体从静止开始正向匀加速运动,速度图象是一条直线,1s末速度v1=a1t=1 m/s,在1s~2s内,a2=﹣1m/s2,物体将仍沿正方向运动,但要减速,2s末时速度v2=v1+a2t=0,2 s~3 s内重复0~1s内运动情况,3s~4s内重复1s~2 s内运动情况,故选C.点评: 根据加速度随时间变化规律的图象找出对应的加速度大小和方向,结合物体的初状态状态分析物体的运动情况.10.(2分)作匀加速直线运动的物体,先后经过A、B两点时,其速度分别为v和7v,从A 到B的时间为t,则不正确说法是()ﻩA.经A、B中点时速度为5vB.ﻩ经A、B中点时速度为4vC.A到B过程的中间时刻的速度为4vD.ﻩ在后一半时间所通过的位移比前一半时间通过的位移多vt考点: 匀变速直线运动的速度与时间的关系;匀变速直线运动的位移与时间的关系.专题:直线运动规律专题.分析:ﻩ根据匀变速直线运动的推论:时间中点的瞬时速度:;位移中点的瞬时速度,由A点和B点的速度,求出物体经过AB中间时刻的速度和中间位移的速度,再进行比较即可.解答:ﻩ解:由题意知,AB时间中点的瞬时速度为:=,物体经过AB位移中点的瞬时速度为:=所以:A、经过AB中点的瞬时速度为5v,故A正确;B、经过AB中点的瞬时速度为4v,故B错误;C、AB中间时刻的瞬时速度为4v,故C正确;D、前一半时间的平均速度为:,后一半时间的平均速度为:,所以后一半时间与前一半时间的位移差为:,故D正确.本题选择错误的,故选:B点评:掌握匀变速直线运动的几个有用推论是解决本题的关键,中间时刻和中间位移,能根据匀变速直线运动的规律证明并掌握其推论是解决本题的关键.二、多项选择题(本题共8小题,共32分,在每小题给出的四个选项中,有多个选项正确,全部选对得4分,选对但不全得2分,有错或不答得0分).11.(4分)关于打点计时器的使用下列说法正确的是()A.纸带上打的点越密,说明物体运动的越快ﻩB.电火花打点计时器使用的是220V交流电源ﻩC.使用的电源频率越高,打点的时间间隔就越短D.ﻩ在“探究匀变速直线运动的规律”的实验中应先释放小车,后接通打点计时器的电源考点:电火花计时器、电磁打点计时器.专题:ﻩ实验题.分析:ﻩ用打点计时器的工作原理和使用打点计时器的注意事项即可分析选项.解答:ﻩ解:A、纸带上打的点越密,说明相等的时间间隔位移越小,即物体运动的越慢,故A错误;B、电火花打点计时器使用的是220V交流电源,故B正确;C、使用的电源频率越高,打点的时间间隔就越短,故C正确;D、在“探究匀变速直线运动的规律”的实验中应先接通电源,再释放小车,故D错误.故选:BC.点评: 对于基本实验仪器不光要了解其工作原理,还要从实践上去了解它,自己动手去实际操作,达到熟练使用的程度.12.(4分)关于伽利略对自由落体运动的研究,下列说法中正确的是()A. 在同一地点,重的物体和轻的物体下落快慢不同B. 伽利略猜想运动速度与下落时间成正比,但没有直接用实验进行验证ﻩC. 伽利略通过数学推演并用小球在斜面上验证了位移与时间的平方成正比D.伽利略思想方法的核心是把实验和逻辑推理(包括数学推演)和谐地结合起来考点:ﻩ伽利略研究自由落体运动的实验和推理方法.分析:要了解伽利略“理想斜面实验”的内容、方法、原理以及物理意义,伽利略斜面实验的卓越之处不是实验本身,而是实验所使用的独特的方法在实验的基础上,进行理想化推理.(也称作理想化实验)它标志着物理学的真正开端.解答:ﻩ解:A、伽利略认为在同一地点重的物体和轻的物体下落快慢相同,故A错误;B、伽利略猜想自由落体的运动速度与下落时间成正比,并未直接进行验证,而是在斜面实验的基础上的理想化推理,故B正确.C、伽利略通过数学推演并用小球在斜面上验证了位移与时间的平方成正比,故C正确.D、伽利略思想方法的核心是把实验和逻辑推理(包括数学推演)和谐地结合起来,故D正确,故选:BCD.点评:ﻩ伽利略的“理想斜面实验”是建立在可靠的事实基础之上的,它来源于实践,而又高于实践,它是实践和思维的结晶.13.(4分)关于自由落体运动的加速度g,下列说法中正确的是()ﻩA.ﻩ同一地点,轻重物体的g值一样大B. 在同一纬度,g值随高度的增加而增大ﻩC.在同一纬度,g值随高度的增加而减小ﻩD.g值在赤道处大于在北极处考点:ﻩ自由落体运动.专题:自由落体运动专题.分析: 同一地点,重力加速度相同,随着纬度的升高,重力加速度增大,随着高度的升高,重力加速度减小.解答:ﻩ解:A、同一地点,轻重物体的重力加速度g一样大,故A正确.B、同一纬度,重力加速度g随着高度的增加而减小,故B错误,C正确.D、重力加速度随着纬度的升高而增大,两极处的重力加速度大于赤道处,故D错误.故选:AC.。
山西高校附中2021~2022学年高一第一学期期中考试化学试题考查时间:90分钟满分:100 考查范围:必修1第一、二章可能用到的相对原子质量:H:1 C:12 N:14 O:16 Na:23 Al:27 K:39Si:28 P:31 S:32 Cl:35.5 Cu:64 Fe:56第I卷(选择题)一、选择题(本题包括17个小题,每小题3分,共计51分。
每小题只有一个..选项符合题意)1. 下列古诗词描述的场景中发生的化学反应不属于氧化还原反应的是()A. 爆竹声中一岁除——黑火药受热爆炸B. 蜡烛成灰泪始干——石蜡的燃烧C. 炉火照天地,红星乱紫烟——铁的冶炼D. 粉身碎骨浑不怕——块状的生石灰制成供人们使用的粉末状的熟石灰2. 只用组内溶液相互混合不能..鉴别的组别是()A.H2SO4、NaOH、Ca(OH)2 、Na2CO3B. KOH 、Na2SO4、CuSO4 、MgCl2C.Na2SO4、BaCl2、KNO3、NaClD. NaOH、Na2SO4、FeCl3、MgCl23.古丝绸之路贸易中的下列商品,主要成分属于无机物的是()A.玉石B.丝绸C.香料D.中草药4.下列有关说法正确..的是(N A代表阿伏加德罗常数的值)( )A.现有NO、NO2、O3三种气体,它们分别都含有1mol氧原子,则三种气体的分子个数之比为3:2:1B.常温常压下,0.53g Na2CO3含有的Na+的个数为0.01N AC.所含原子数相等的CO与CO2的密度之比为21:22D. 2.4gMg在足量O2中燃烧,转移的电子数为0.1N A5.下列关于氧化还原反应说法不正确...的是()A.没有单质参与的化合反应也可能是氧化还原反应B.在反应中不肯定全部元素的化合价都发生变化C.在反应2KNO3+3C+S=K2S+N2↑+3CO2↑中,则被还原的元素为氮和硫D.在化学反应中某元素由化合态变为游离态,该元素肯定被还原了6. 下列试验装置与试验目的对应的是()A. 用海水制蒸馏水B. 将碘水中的碘单质与水直接分别C. 除去3)(OHFe胶体中的3FeClD. 稀释浓硫酸7.下列试验操作中正确的是()A.蒸发操作时,应使混合物中的水分完全蒸干后,才能停止加热B.蒸馏操作时,应使温度计的水银球插入蒸馏烧瓶溶液中C.分液操作时,分液漏斗中下层液体从下口放出,上层液体从上口倒出D.萃取操作时,必需选择有机萃取剂,且萃取剂的密度必需比水大8. 肼(N 2H 4)是火箭燃料,常温下为液体,其分子的球棍模型如下图所示。
山西省山西大学附中【最新】高一上学期期中数学试题 学校:___________姓名:___________班级:___________考号:___________一、单选题1.已知集合{}2|230A x x x =--≤,{}|21x B y y ==+,则AB =() A .∅ B .(]1,3C .(]0,3D .()1,+∞ 2.下列根式与分数指数幂的互化正确的是( )A.=12()(0)x x ->B .=13(0)y y < C.340)x x -=> D.130)x x -=≠ 3.已知32121=0.3log 22a b c -⎛⎫== ⎪⎝⎭,,,则a ,b ,c 的大小关系( ) A .a b c >>B .a c b >>C .c b a >>D .b a c >> 4.函数213log (32)y x x =-+的单调递减区间为( )A .()2,+∞B .3,2⎛⎫+∞ ⎪⎝⎭C .(),1-∞D .3,2⎛⎫-∞ ⎪⎝⎭5.若()f x 是偶函数,且对任意12,x x ∈(0,)+∞且12x x ≠,都有()()21210-f x f x x x -<,则下列关系式中成立的是( ) A .123()()()234f f f >-> B .132()()()243f f f >-> C .312()()()423f f f >-> D .321()()()432f f f ->> 6.若函数()31f x ax bx =++在[],m n 上的值域为[]2,4,则()32g x ax bx =+-在[],n m --上的值域为()A .[]4,2--B .[]6,3--C .[]1,1-D .[]5,3-- 7.(0x y a a -=>且1a ≠)是增函数,那么函数1()log 1a f x x =+的图象大致是( ) A . B . C .D .8.已知函数()()1,022,0xx f x f x x ⎧⎛⎫≥⎪ ⎪=⎨⎝⎭⎪+<⎩,则21log 5f ⎛⎫= ⎪⎝⎭() A .516 B .54 C .52 D .59.不等式1432160x x +-⋅->的解集为( )A .{}|3x x >B .{}|8x x >C .{8x x ,或}2x <- D .{|28}x x -<< 10.奇函数()f x 在区间(),0-∞上单调递减,且()10f -=,则不等式(1)(1)0x f x --<的解集是( )A .(,0)(2,)-∞+∞ B .(,1)(1,)-∞-+∞ C .(,0)(1,2)-∞ D .(,1)(1,2)-∞-二、填空题11.函数1()1(0x f x a a -=+>且1)a ≠的图象必经过一个定点,则这个定点的坐标是_____.12.函数()()21log 1f x x =+的定义域为__________(结果用区间表示)。
山大附中2020-2021学年高三第一学期期中考试一.单选题(每题4分,共32分)1.以下关于质点的说法正确的是()A.只有体积很小的物体才能被视为质点B.只有质量很小的物体才能被视为质点C.同一物体在不同的情况下,有时可看做质点,有时则不可看做质点D.花样滑冰比赛中的运动员可以被看成质点答案:C2.2020年新冠疫情爆发之际,全国人民总之成成,2月7日晚8时36分,装载5.18t医疗防护物资的汽车从徐州出发,历时15小时,行程1125Km,跨越3个省份途径15地和30个卡站点后,顺利抵达武汉,下列说法正确的是()A.8时36分指的是时间间隔B.1125Km指的是路程C.装载防护物资时汽车可看成质点D.汽车的平均速度是75Km/h【答案】B3.关于速度、速度的变化和加速度的关系,下列说法中正确的是( )A.速度的变化量△v越大,则加速度也越大B.做加速运动的物体,加速度减小时,物体的速度一定减小C.速度变化的方向为正方向,加速度的方向也可为负方向D.物体在某一秒时间内的平均速度是3m/s,则物体这一秒内的位移一定是3m答案:D4.某人在室内以窗户为背景拍摄照片时,恰好把从房檐落下的一个石子拍摄在照片中,石子可看成质点。
形成如图所示画面。
画面中的一条线就是石子运动痕迹。
痕迹长为0.5cm,已知曝光时间0.01s,实际长度为120cm的窗户在照片中长度为3.0cm。
请估算石子是从距窗户顶端多高的地方落下来的()A.20m B.30mC.2m D.4m【答案】A5.一个质点正在做匀加速直线运动,用固定的照相机对该质点进行闪光照相,闪光时间间隔为0.2S,分析照片得到的数据,发现质点在第1次、第2次闪光的时间间隔内移动了0.08 m;在第5次、第6次闪光的时间间隔内移动了0.32 m,由上述条可知A.质点运动的加速度是1.5 m/s2B.质点运动的加速度是2 m/s2C.第2次闪光时质点的速度是0.8m/s D.第3次闪光时质点的速度是1.2m/s【答案】A6.如图所示,质量均为m的木块A和B,用一个劲度系数为k的轻质弹簧连接,最初系统静止,现在用力缓慢拉A直到B刚好离开地面,则这一过程A上升的高度为()A.B.C.D.【答案】B7.如图所示,两个等大的水平力F分别作用在物体B、C上.物体A、B、C都处于静止状态.各接触面与水平地面平行.物体A、C间的摩擦力大小为f1,物体B、C间的摩擦力大小为f2,物体C 与地面间的摩擦力大小为f3,则( )A .f1=0,f2=0,f3=0B .f1=0,f2=F ,f3=FC .f1=F ,f2=0,f3=0D .f1=0,f2=F ,f3=0 【答案】D8.有两个大小相等的共点力F1和F2,当它们之间的夹角为90°时合力为F .当它们间的夹角为60°时,合力大小为( ) A.2F B.F 26 C. F 23 D.F 22 【答案】B二.多选题(每题4分,共16分)9.太原市开展文明出行,礼让行人的活动,不遵守“车让人”的公职人员将受到罚款、扣分的严厉处罚,还列入单位考核予以通报。
山西省山西大学附属中学2020-2021学年高一地理上学期期中试题考试时间:90分钟一、单项选择题(共40题,每小题1。
5分,共60分)2020年4月8日凌晨,今年最大的“超级月亮"现身夜空.“超级月亮”指的是月亮位于近地点附近时的满月,此时的月亮看上去更大、更圆(下图)。
据此完成1~3题。
1.“超级月亮”所处的天体系统中,级别最低的是A.地月系 B.太阳系 C.银河系 D.可观测宇宙2.此日为农历A.二月初三 B.二月二十C.三月十六 D.四月初七3.相对于地球来说,月球更易遭受陨石袭击,其原因是A.公转速度快 B.离小行星带更近C.宇宙环境不安全 D.表面无大气层北京时间2020年7月23日12时41分,我国海南文昌航天发射场成功发射首次火星探测任务的天问一号探测器,开启火星探测之旅,迈出了我国行星探测第一步。
天问一号探测器将在地火转移轨道飞行约7个月后,将到达火星附近,进行火星科学探测.请结合下面图表,完成4~6题。
4.图中表示火星的序号是A.①B.②C.③D.④5.天问一号探测器进入环火轨道后A.始终在地月系B.脱离了地月系C.脱离了太阳系D.进入了河外星系6.科学家认为火星是除地球外最有可能存在生命的天体之一.原因是火星与地球相比A.有相近的昼夜交替周期B.有相近的大气成份和卫星数C.有相近的体积和质量D.有岩石、土壤和大量液态水在德国和日本,随处可见厂房和大楼屋顶的黑色“硅板”,这就是太阳能屋顶。
风和日丽的白天,“屋顶”将太阳能转化为电能,并把富余的电能并入电网。
目前上海市正在推广“太阳能屋顶计划”,预计到2030年,上海市20%的用电将来自太阳能。
据此完成7~8题。
7.上海市的年平均太阳辐射总量高于德国和日本,是由于上海市A.地势高,空气稀薄 B.河湖众多,太阳有效辐射强C.地面裸露,比热容小 D.纬度偏低,晴天天数偏多8.下列关于上海市积极推广“太阳能屋顶计划”的主要原因的叙述,正确的是A.上海市常规能源短缺 B.上海市是我国太阳能资源最丰富的地区C.太阳能清洁、可再生、能量集中 D.上海经济发达,资金充足下图表示我国某地某日测试记录的到达地面的太阳辐射日变化。
山西省山西大学附属中学2020-2021学年高一生物上学期期中试题考试时间:90分钟满分:100分考查范围:第一至四章一、选择题(每题1.5分,共60分)1.新型冠状病毒(命名为“COVID-19)没有细胞结构,必须在宿主细胞内才能完成增殖这一生命活动,这一事实说明了()A.生物的生命活动离不开细胞B.没有细胞结构的生物也可以独立完成各种生命活动C.COVID-19病毒只有增殖这一生理活动依赖于宿主细胞,其他生命活动可自主完成D.细胞结构使COVID-19病毒的增殖免受外界因素的干扰2.校园里一棵银杏树的结构层次由小到大依次为()A.细胞→个体 B.细胞→组织→器官→系统→个体C.细胞→组织→器官→个体 D.细胞→器官→组织→个体→系统3.鲁迅的小说《药》中提及的“痨病”,它是由结核杆菌侵入肺部引起的传染病。
下列物质和结构中结核杆菌具有的是()①细胞壁②细胞核③染色体④DNA ⑤细胞质⑥核糖体⑦细胞膜A.①④⑤⑥⑦ B.①②③④⑤⑥⑦ C.④⑤⑥⑦ D.①③④⑤⑥⑦4.右图为两种细胞亚显微结构示意图,有关说法正确的是()A.两种细胞进行光合作用的场所相同B.发菜、念珠蓝细菌、小球藻等都属于蓝细菌C.蓝细菌没有核糖体,但也能合成蛋白质D.以上两种细胞都有细胞壁、细胞膜、细胞质和核糖体等结构,体现细胞的统一性5.用光学显微镜的一个目镜分别与物镜甲、乙进行组合,来观察口腔上皮细胞装片(如图)。
下列相关说法中错误的是()A.甲组合视野比乙组合的视野更亮,看到的细胞数目更多B.图1中物镜由甲转换成乙之前可使用粗准焦螺旋C.若将图2的细胞移到视野中央,应先将装片向右下方移动D.制作口腔上皮细胞装片时,应先在载玻片上滴加1滴清水,然后再盖上盖玻片6.白沙茶叶历史源远流长。
调查组调研发现,黎族人民自古有采摘五指山脉的野生大叶茶治病,如果从此算起,海南茶事已有近千年历史。
下列关于茶的说法,错误的是()A.采摘的新鲜茶叶的细胞中含量最高的化合物是H2OB.制好的成品茶化学元素含量最多的是C、O、N、HC.茶和人体所含元素种类大致相同,但含量差异很大D.新鲜茶叶的细胞中只含有机物,没有无机物7.右图是由3个圆所构成的类别关系图,其中I为大圆,Ⅱ和Ⅲ分别为大圆之内的小圆。
山西省山西大学附属中学2020-2021学年高一化学上学期期中试题考试时间:90分钟考查范围:第一章和第二章可能用到的相对原子质量:H-1 C-12 N-14 O-16 Na-23 K-39 Cl-35.5 Fe-56一、选择题(包括19小题,每小题3分,共计57分。
每小题只有一个..选项符合题意)1.己知金属钠投入水中会发生剧烈反应,并有氢气生成。
运输金属钠的包装箱应贴有的图标()A.易燃液体B.遇湿易燃物品C.氧化剂D.腐蚀品2.下列说法正确的有()①分散质直径介于1-100nm之间的分散系称为胶体②盐的组成中不可能只含非金属元素③只由一种分子组成的物质一定为纯净物,组成混合物的元素可能只一种④Na2O2固体中阳离子和阴离子个数比为1:1⑤化学变化能实现一种原子变成另一种原子⑥将氯气通入热的稀氢氧化钙溶液中可以制得以次氯酸钙为有效成分的漂白粉⑦ KNO3溶液、Cu、熔融的NaCl均能导电,所以它们都属于电解质A.①③⑥B.①②⑥⑦C.④⑤⑥D.①③3.关于胶体和溶液的叙述中错误的是()A.胶体分散质粒子直径大于溶液的分散质粒子直径B.溶液中溶质粒子能透过滤纸,胶体中分散质粒子不能通过半透膜C.将氯化铁饱和溶液滴入氢氧化钠溶液中可制得氢氧化铁胶体D.丁达尔效应可用来鉴别溶液和胶体4.下列电离方程式正确的是()A.H2SO4===H+2+SO2-4 B.K2CO3===2K++CO2-3C.Ca(OH)2===Ca2++OH2-D.Mg(NO3)2===Mg2++(NO-3)25.设N A为阿伏伽德罗常数的值,下列说法正确的是()A. 1mol FeCl3与水完全反应转化为氢氧化铁胶体后,其中胶体粒子数为N AB.1mol/L的NaCl溶液中的Cl-数目为N AC.常温常压下,11.2 L CO2所含的原子数目为1.5N AD.钠在空气中燃烧可生成多种氧化物,23g钠充分燃烧时转移电子数为N A6.已知单位体积的稀溶液中,非挥发性溶质的分子或离子数越多,该溶液的沸点就越高,下列溶液沸点最高的是()A.0.01 mol•L﹣1的蔗糖溶液 B.0.01 mol•L﹣1的CaCl2溶液C.0.02mol•L﹣1的NaCl溶液 D.0.02 mol•L﹣1的NaHSO4溶液7.有关焰色试验说法中正确的是()A.焰色试验是化学变化B.用稀盐酸清洗做焰色试验的铂丝(或铁丝)C.焰色试验均应透过蓝色钴玻璃观察D.利用焰色试验可区分NaCl与Na2CO3固体8.下列无色溶液中,各组离子一定能大量共存的是()A.Na+、OH-、Cl-、HCO3- B.NH+4、Fe3+、Cl-、NO3-C.Zn2+、Mg2+、SO42-、NO3- D.K+、Al3+、H+、ClO-9.下列方法不能用来区别固体Na2CO3和NaHCO3的是()A.两者分别加入石灰水 B.两者分别滴加少量水C.分别溶于水,比较其溶解性 D.分别加热后,比较固体质量变化10.能正确表示下列化学反应的离子方程式的是( )A. 氯气与水反应:Cl2+H2O=2H++Cl-+ClO-B.实验室制备氯气:MnO2+4HCl△Mn2+ +Cl2 +2Cl-+2H2OC.硫酸铜溶液与氢氧化钡溶液混合:Cu2++2OH- = Cu(OH)2↓D.足量二氧化碳通入澄清石灰水:CO2+OH-=HCO3-11.SO2气体与足量Fe2(SO4)3溶液完全反应后,再加入K2Cr2O7溶液,发生如下化学反应:①SO2+2Fe3++2H2O=SO42-+2Fe2++4H+;②Cr2O72-+6Fe2++14H+=2Cr3++6Fe3++7H2O。
山大附中2020-2021学年高三第一学期期中考试一.单选题(每题4分,共32分)1.以下关于质点的说法正确的是()A.只有体积很小的物体才能被视为质点B.只有质量很小的物体才能被视为质点C.同一物体在不同的情况下,有时可看做质点,有时则不可看做质点D.花样滑冰比赛中的运动员可以被看成质点答案:C2.2020年新冠疫情爆发之际,全国人民总之成成,2月7日晚8时36分,装载5.18t医疗防护物资的汽车从徐州出发,历时15小时,行程1125Km,跨越3个省份途径15地和30个卡站点后,顺利抵达武汉,下列说法正确的是()A.8时36分指的是时间间隔B.1125Km指的是路程C.装载防护物资时汽车可看成质点D.汽车的平均速度是75Km/h【答案】B3.关于速度、速度的变化和加速度的关系,下列说法中正确的是( )A.速度的变化量△v越大,则加速度也越大B.做加速运动的物体,加速度减小时,物体的速度一定减小C.速度变化的方向为正方向,加速度的方向也可为负方向D.物体在某一秒时间内的平均速度是3m/s,则物体这一秒内的位移一定是3m答案:D4.某人在室内以窗户为背景拍摄照片时,恰好把从房檐落下的一个石子拍摄在照片中,石子可看成质点。
形成如图所示画面。
画面中的一条线就是石子运动痕迹。
痕迹长为0.5cm,已知曝光时间0.01s,实际长度为120cm的窗户在照片中长度为3.0cm。
请估算石子是从距窗户顶端多高的地方落下来的()A.20m B.30mC.2m D.4m【答案】A5.一个质点正在做匀加速直线运动,用固定的照相机对该质点进行闪光照相,闪光时间间隔为0.2S,分析照片得到的数据,发现质点在第1次、第2次闪光的时间间隔内移动了0.08 m;在第5次、第6次闪光的时间间隔内移动了0.32 m,由上述条可知A.质点运动的加速度是1.5 m/s2B.质点运动的加速度是2 m/s2C.第2次闪光时质点的速度是0.8m/s D.第3次闪光时质点的速度是1.2m/s【答案】A6.如图所示,质量均为m的木块A和B,用一个劲度系数为k的轻质弹簧连接,最初系统静止,现在用力缓慢拉A直到B刚好离开地面,则这一过程A上升的高度为()A.B.C.D.【答案】B7.如图所示,两个等大的水平力F分别作用在物体B、C上.物体A、B、C都处于静止状态.各接触面与水平地面平行.物体A、C间的摩擦力大小为f1,物体B、C间的摩擦力大小为f2,物体C 与地面间的摩擦力大小为f3,则( )A .f1=0,f2=0,f3=0B .f1=0,f2=F ,f3=FC .f1=F ,f2=0,f3=0D .f1=0,f2=F ,f3=0 【答案】D8.有两个大小相等的共点力F1和F2,当它们之间的夹角为90°时合力为F .当它们间的夹角为60°时,合力大小为( ) A.2F B.F 26 C. F 23 D.F 22 【答案】B二.多选题(每题4分,共16分)9.太原市开展文明出行,礼让行人的活动,不遵守“车让人”的公职人员将受到罚款、扣分的严厉处罚,还列入单位考核予以通报。
假设一辆以54km/h 的速度匀速行驶的汽车即将通过路口,有一老人正在过人行横道,此时汽车的车头距离停车线24m ,该车减速时的加速度大小为5m/s2。
则下列说法正确的是( )A .如果驾驶员立即刹车制动,则t =3.5s 时,汽车离停车线的距离为1.5mB .如果在距停车线20m 处开始刹车制动,汽车能在停车线处停车让人C .如果驾驶员的反应时间小于0.1s ,汽车能在停车线处停车让人D .如果驾驶员的反应时间为0.2s ,汽车刚好能在停车线处停车让人 【答案】AC10.甲乙两辆玩具汽车在平直的互相平行的两条轨道上同向行驶,其v -t 图像如图所示,已知两车在t=3s 时并排行驶,则() 在t=0时,甲车在乙车前1.5m 在t=1s 时,甲车在乙车后 两车另一次并排行驶的时刻是t=2s甲乙车两次并排行驶的位置之间的距离为8m 【答案】AD11.如图,一栋高为9m 的三层楼房,每层楼高相等,且每层楼正中间有一个高为1m 的窗户,现将一石块从楼顶边沿自由释放,不计空气阻力,以下说法正确的是() 石块依次到达三个窗户上沿的时间大小之比为721:: 石块依次通过途中ABC 三点的速度之比为321:: 石块依次到达三个窗户的下沿的速度之比为8:52:: 石块依次通过三层楼房的时间之比为1:2:3 【答案】BC12.如图所示,放在粗糙水平面上的木块处于静止状态,从t=0时刻开始受到一个水平拉力作用,水平拉力F 随时间t 的变化关系是:F=F0+kt (式中F0、k 均为常数).下图中,能正确反映t0时间内,木块受到地面的摩擦力f 随时间t 变化规律的是( )A. B. C. D.【答案】B三.实验题(每题6分,共12分)13. 利用打点计时器探究小车的速度与时间变化的规律,其中交变电流的频率为50Hz 。
如图给出了该次实验中,从0点开始,每5个点取一个计数点的纸带。
其中0、1、2、3、4都为计数点,测得各计数点间的距离如图所示:(1)如果该纸带左端与小车相连,则小车的运动方向为 向左 (选填“向左”或“向右”),且小车做 匀加速 (填“匀加速”、“匀减速”或“变加速”)直线运动。
(2)在打计数点3时,小车运动的瞬时速度为=3v 0.43 m/s ,小车的加速度大小为a =0.38 2/m s (本小题计算结果数值均保留两位有效数字)14.某物理兴趣小组的同学在研究弹簧弹力的时候,测得弹力的大小F 和弹簧长度L 的关系如图1所示,则由图线可知:(1)弹簧的劲度系数为 300 N/m .(2)为了用弹簧测定两木块A 和B 间的动摩擦因数μ,两位同学分别设计了如图2所示的甲、乙两种方案.①为了用某一弹簧测力计的示数表示A 和B 之间的滑动摩擦力的大小,你认为方案 甲 更合理.①甲方案中,若A 和B 的重力分别为10.0N 和20.0N .当A 被拉动时,弹簧测力计a 的示数为6.0N ,b 的示数为11.0N ,则A 和B 间的动摩擦因数为 0.3 . 四.解答题(15题12分,16题12分,17题16分,共40分)14. 航天飞机在平直的跑道上降落,其减速过程可以简化为两个匀减速直线运动,航天飞机以水平速度s v /m 1000=着陆后,立即打开减速阻力伞,以大小为21/4s m a =的加速度做匀减速运动,一段时间后阻力伞脱离。
航天飞机以大小为22/5.2s m a =的加速度做匀减速运动直至停下,已知两个匀减速运动滑行的总路程x=1370m ,求: (1)第二个减速阶段航天飞机运动的初速度大小 (2)航天飞机降落后滑行的总时间 15. 答案(1)s m v /40= (2)s t 31=解:根据已知条件知无t 公式:222v v ax -=,设,第一段末速度v ;两段匀减速的位移分别为1x ,2x ;总位移为x ;加速度分别为21/4-s m a =,22/5.2-s m a =,22112v v x a -=,22202v x a -=,x x x =+21三式联立得:s m v /40=根据已知条件知无x 公式:atv v +=0设两段匀减速时间分别为21,t t ,总时间为t110t a v v +=,220t a v +=,21t t t +=三式联立得:s t 31=16.某校物理兴趣小组,为了了解高空坠物的危害,将一只鸡蛋从离地面高为H =20m 的高楼面上由静止释放,让其自由下落,下落途中通过一个窗口的时间为△t =0.1s ,窗口的高度为L =1.05m ,忽略空气阻力,重力加速度g 取10m/s 2,求: (1)鸡蛋落地时的速度大小v ; (2)落地前最后1s 内的位移x ;(3)高楼面离窗的上边框的高度h 。
【答案】(1)20m/s ;(2)15m ,方向竖直向下;(3)5m解:(1)由212H gt =可知鸡蛋落地所需时间为2s t 所以鸡蛋落地时的速度大小20m /s v gt ==(2)第1s 内的位移21115m 2h gt ==因此落地前最后1s 内的位移115m x H h =-= ,方向竖直向下 ;(3)从高楼面下落到窗口上边框2012h gt =从高楼面下落到窗口下边框()2012h L g t t +=+∆ 代入数据,解方程组可得5m h =17.高速公路上甲、乙两车在同一车道上同向行驶,甲车在前,乙车在后,速度均为v 0=108K m/h ,距离x 0=100m①t=0时刻甲车遇紧急情况后,甲、乙两车的加速度随时间变化的图象如图所示,取运动方向为正方向.求:①1①t=3s 时甲车的速度是多少?此时甲、乙两车间距是多少? ①2)通过计算两车在0①9s 内会不会相撞?①3)上一问中如果两车相撞,则求出相撞的时间;如果不相撞则求第9s 末两车的间距【答案】(1)55m ;(2)不会相撞.(3)第9s 末间距为55m解:(1)由图可知,前3s 内甲的加速度是-10m/s2,3s 末,甲车速度:v 甲=v 0+a 甲1t 1=0 因此前3s 内甲车一直匀减速运动,3s 末甲、乙两车间的距离:Δx =s 0+(v 0t 1+12a 甲1t 12)−v 乙t 1代入数据得:Δx =55m(2)设3s 后再经过t2时间甲、乙两车速度相等,此时两车距离最近,则a 甲2t 2=v 0+a 乙t 2,两车速度相等之前,甲车位移x 甲=v 02t 1+12a 甲2t 22 乙车位移x 乙=v 0t 1+v 0t 2+12a 乙t 22因x 乙-x 甲=90m <s0,所以甲、乙两车在0~9s 内会不会相撞。
(3)0-9s 过程,甲车位移 2321021t .2v x t a 甲甲总+=乙车的位移 23301021t .v t .v x t a 乙乙总++=9s 末的间距为:m s x S 55x 0=+-=∆乙总甲总。