两角和与差及二倍角公式知识点
- 格式:doc
- 大小:234.27 KB
- 文档页数:4
成功是必须的:两角和与差及其二倍角公式知识点及典例知识要点: 1、 两角和与差的正弦、余弦、正切公式 C( a — 3 ): cos( a — 3 )= S( a + 3 ): sin( a + 3 )=T( a + 3 ): tan( a + 3 )=2、 二倍角的正弦、余弦、正切公式 S 2 : sin2 a = C( a + 3 ): cos( a + 3 )= S( a — 3 ): T( a — 3 ): 2h例 2 设 cos a —21 9’T 2 : tan2 . asin 2 — 23,其中n 2,n0, 2,求 cos( a+ 3).sin( a — 3 )= tan( a — 3 )= C 2 : cos2 a =— — ,3、 在准确熟练地记住公式的基础上 ,要灵活运用公式解决问题:如公式的正用、逆用和变形用等。
如T( a± 3可变形为:tan a± tan 3= 考点自测: 1、已知tan A 、7 11 B、 tan 3 = 3, 7 11 变式2:已知03.ncos(— 4 435,sin( 4)—,求 sin( a + 3 )的值. 13则 tan( a C 、? 13 tan a an 3= 3)=( 13 题型3给值求角已知三角函数值求角,一般可分以下三个步骤:(1)确定角所在的范围;值(要求该三角函数应在角的范围内严格单调 );(3)求出角。
1 1例 3 已知 a, 3^ (0, n,且 tan (a — 3 ="2, tan 3=— 7 求 2 a — 3 的值.(2)求角的某一个三角函数n a — 6 +A —症A . 5 2、已知cos 3、在厶ABC 中,若 sin a= 43」 B辺B.5 4 q 5cosA = 5,cosB = 13, B 56 B.65sin 7 n a+舀的值是( C . — 4 5 则cosC 的值是( c 丄或56 C.65或65 4、若 cos2 9+ cos 0= 0,贝U sin2 0+ sin B 的值等于( )C . 0 或 3 4D ・516 65 0或土 3A . 0B . ± 3 一.卜 2cos55 — j‘3sin55、二角式 A 辽 2 题型训练 题型1给角求值 一般所给出的角都是非特殊角,利用角的关系(与特殊角的联系)化为特殊角 cos5B.o■值为( 例 1 求[2si n50 sin 10 (1 3tan10)]? 2sin 280 的值• 11变式3:已知tan a =, tan 3 =-,并且a , 3均为锐角,求a +23的值.7 3题型4辅助角公式的应用J 22asinx bcosx a b sin x (其中 角所在的象限由 a, b 的符号确定,角的值由btan —确定)在求最值、化简时起着重要作用。
3.3 两角和与差及二倍角公式(答案)3.3 两角和与差及二倍角公式一.【复习要求】1.掌握两角和与差的正弦、余弦、正切公式,了解它们的内在联.2.掌握二倍角的正弦、余弦、正切公式.2.能够利用两角和与差的公式、二倍角公式进行三角函数式的求值、化简和证明.二、【知识回顾】1.两角和与差的三角函数sin()αβ+= ;sin()αβ-= ; cos()αβ+= ;cos()αβ-= ; tan()αβ+= ;tan()αβ-= ;2.二倍角公式:在sin(),cos(),tan()αβαβαβ+++中令αβ=,可得相应的二倍角公式。
sin2α= ;cos2α= = =tan 2α= 。
3.降幂公式2sin α= ; 2cos α= .注意:二倍角公式具有“升幂缩角“作用,降幂公式具有“降幂扩角”作用4.辅助角公式证明:)sin cos x x y x x +=+=sin sin cos )x x ϕϕ+)x ϕ+其中,cos ϕ=sin ϕ=,tan baϕ=且角ϕ终边过点(,)a b 在使用时,不必死记结论,而重在这种收缩(合二为一)思想如:sin cos αα+= ;sin cos αα-= 。
5.公式的使用技巧(1)连续应用:sin()sin[()]sin()cos cos()sin αβγαβγαβγαβγ++=++=+++ (2)“1”的代换:22sin cos 1αα+=,sin 1,tan124ππ==(3)收缩代换:sin cos y x x =+=)x ϕ+,(其中,a b 不能同时为0) (4)公式的变形:tan tan tan()1tan tan αβαβαβ++=-→tan()tan tan tan()tan tan αβαβαβαβ+=+++tan tan tan()1tan tan αβαβαβ--=+→tan()tan tan tan()tan tan αβαβαβαβ-=---如:tan 95tan 3595tan 35-=oooo。
两角和与差倍角半角公式一、两角和与差公式:两角和公式可以将两个角的三角函数之和表示为一个角的三角函数。
具体来说,对于任意两个角A和B,有以下两角和公式:1. 正弦和:sin(A + B) = sin A cos B + cos A sin B2. 余弦和:cos(A + B) = cos A cos B - sin A sin B3. 正切和:tan(A + B) = (tan A + tan B) / (1 - tan A tan B)类似地,两角差公式可以将两个角的三角函数之差表示为一个角的三角函数。
具体来说,对于任意两个角A和B,有以下两角差公式:1. 正弦差:sin(A - B) = sin A cos B - cos A sin B2. 余弦差:cos(A - B) = cos A cos B + sin A sin B3. 正切差:tan(A - B) = (tan A - tan B) / (1 + tan A tan B)这些公式的推导可以通过欧拉公式和三角函数的定义推导得到。
二、倍角公式:倍角公式可以将一个角的三角函数表示为另一个角的三角函数。
具体来说,对于任意角A,有以下倍角公式:1. 正弦倍角:sin(2A) = 2sin A cos A2. 余弦倍角:cos(2A) = cos^2 A - sin^2 A = 2cos^2 A - 1 = 1 - 2sin^2 A3. 正切倍角:tan(2A) = (2tan A) / (1 - tan^2 A)倍角公式的推导可以通过两角和公式和三角函数的定义推导得到。
三、半角公式:半角公式可以将一个角的三角函数表示为另一个角的三角函数。
具体来说,对于任意角A,有以下半角公式:1. 正弦半角:sin(A/2) = ±√((1 - cos A) / 2)2. 余弦半角:cos(A/2) = ±√((1 + cos A) / 2)3. 正切半角:tan(A/2) = ±√((1 - cos A) / (1 + cos A))半角公式的推导可以通过两角和公式和三角函数的定义推导得到。
两角和与差及其二倍角公式知识点及典例1、两角和与差的正弦、余弦、正切公式C(α-β):cos(α-β)=; C(α+β):cos(α+β)=;S(α+β):sin(α+β)=; S(α-β):sin(α-β)=;T(α+β):tan(α+β)=; T(α-β):tan(α-β)=;2、二倍角的正弦、余弦、正切公式2S α:sin2α=; 2T α:tan2α=;2C α:cos2α===;2、二倍角的正弦、余弦、正切公式2S α:sin2α=; 2T α:tan2α=;2C α:cos2α===;3、在准确熟练地记住公式的基础上,要灵活运用公式解决问题:如公式的正用、逆用和变形用等。
如T(α±β)可变形为: tan α±tan β=_____________; tan αtan β= =. 1、已知tan α=4,tan β=3,则tan(α+β)=( )711A 、711B 、-713C 、713D 、-2、已知cos ⎝⎛⎭⎫α-π6+ sin α=453,则 sin ⎝⎛⎭⎫α+7π6的值是( )A .-235 B.235C .-45D.453、在△ABC 中,若cos A =45,cos B =513,则cos C 的值是( )A.1665B.5665C.1665或5665D .-16654、若cos2θ+cos θ=0,则sin2θ+sin θ的值等于( )A .0B .±3C .0或3D .0或±35、三角式2cos55°-3sin5°cos5°值为( )A.32B.3C .2 D .1例1求[2sin 50sin10(1)]︒︒︒+.变式1:化简求值:2cos10sin 20.cos 20︒︒︒-例2 设cos ⎝⎛⎭⎫α-β2=-19,sin ⎝⎛⎭⎫α2-β=23,其中α∈⎝⎛⎭⎫π2,π,β∈⎝⎛⎭⎫0,π2,求cos(α+β).变式2:π3π33π50π,cos(),sin(),4445413βααβ<<<<-=+=已知求sin(α+β)的值.例3已知α,β∈(0,π),且tan(α-β)=12,tan β=-17,求2α-β的值.变式3:已知tan α= 17,tan β= 13,并且α,β 均为锐角,求α+2β的值.例4求函数25f (x )sin xcos x x =-x R )∈的单调递增区间?变式4(1)如果()()sin 2cos()f x x x ϕϕ=+++是奇函数,则tan ϕ= ;(2)若方程sin x x c =有实数解,则c 的取值范围是___________.1、下列各式中,值为12的是 ( )A 、1515sin cosB 、221212cos sin ππ- C 、22251225tan .tan .- D 2、命题P :0tan(A B )+=,命题Q :0tan A tan B +=,则P 是Q 的 ( )A 、充要条件B 、充分不必要条件C 、必要不充分条件D 、既不充分也不必要条件3、已知3sin 5α=,tan 0α<则tan()4πα-= . 4、=︒+︒-︒20sin 6420cos 120sin 32225、2sin()2sin()cos()333x x x πππ++---=______________.6、0000cos(27)cos(18)sin(18)sin(27)x x x x +---+=7、若sin α=sin β=,αβ都为锐角,则αβ+= 8、在△ABC 中,已知tan A 、tan B 是方程3x 2+8x -1=0的两个根,则tan C 等于9、110sin - ;10、︒︒-︒70sin 20sin 10cos 2= 11、(1tan 22)(1tan 23)︒︒++=12、)20tan 10(tan 320tan 10tan ︒+︒+︒︒=13、(福建理17)在ABC △中,1tan 4A =,3tan 5B =.求角C 的大小; 14、已知0,1413)cos(,71cos 且=β-α=α<β<α<2π,(1)求α2tan 的值.(2)求β.15、如图,在平面直角坐标系xOy 中,以Ox 轴为始边作两个锐角α,β,它们的终边分别与单位圆相交于A,B 两点,已知A,B (1)求tan(α+β)的值;(2)求α+2β的值.。
, :两角和与差及其二倍角公式知识点及典例2,22 2 2知识要点:1、两角和与差的正弦、余弦、正切公式 C(α - β ): cos(α - β )= ; C(α + β ): cos(α + β )= ; S(α + β): sin(α +β )= ; S(α - β ): sin(α - β )=;T( α+ β ): tan( α + β )= ; T( α- β ): tan( α - β )=;例 2 设 cos α- β=- 1 2 9 α 2- β= 2 ,其中 α∈ 3 π 2,π, β∈ 0 π,求 cos(α+β). 2 2、二倍角的正弦、余弦、正切公式 变式 2: 已知 0π 3 ππ,cos( )3,sin( 3 π5), 求 sin( α+β ) 的值. S 2 :sin2α = ; T 2 :tan2α = ; 4 4 45 413C 2 :cos2α= ==;3、在准确熟练地记住公式的基础上 ,要灵活运用公式解决问题 :如公式的正用、逆用和变形用等。
如 T( α± β)可变形为 : tan α± tan β= ; tan αtan β==.考点自测:题型 3 给值求角已知三角函数值求角,一般可分以下三个步骤:(1) 确定角所在的范围; (2) 求角的某一个三角函数值( 要求该三角函数应在角的范围内严格单调 ) ;( 3) 求出角。
1、已知 tan α = 4,tan β= 3,则 tan( α + β) = ()例 3 已知 α, β∈(0, π),且 tan(α- β)= 1 , tan β=- 1,求 2α-β的值. 7 7C 7 72 7A 、B 、-1111、 D 、-13132、已知 cos α-π+ sin α= 43,则 sin α+7π的值是 ( ) 6 A .- 2 3 5 B.2 3 6 C .- 4D.4变式 3: 已知 tan α = 1, tan β = 1,并且 α , β 均为锐角 , 求 α +2β 的值 .5 5 55 733、在△ ABC 中,若 cosA = 4, cosB = 5,则 cosC 的值是 ( ) 5 16 56 A. B. 13 C.16或5616D .-65 65 65 65 65 题型 4 辅助角公式的应用4、若 cos2θ+ cos θ= 0,则 sin2θ+ sin θ的值等于 ( )A . 0B . ± 3C . 0 或 3D . 0 或± 3asin x bcosxa2b 2sin x(其中 角所在的象限由 a, b 的符号确定, 角的值由2cos55 -° 3sin5 °b 5、三角式 3 cos5 °值为 ( )tan确定 ) 在求最值、化简时起着重要作用。
两角和与差的正弦、余弦和正切公式及二倍角公式、知识要点:1. 两角和与差的正弦、余弦、正切公式(1) sin(:z 二I')=⑵cos(.二I )=(3) tan(.二I )=2. 二倍角的正弦、余弦、正切公式(1) sin 2:= (2) cos2:=⑶tan 2:=3. 常用的公式变形(1) tan a 土tan E =tan(a ±E)(1 干tana tan E);2 1 cos2: 21 -cos2:(2) cos : =,sin :=;2 2(3) 1 sin2:-(sin::、" cos: )2,1-sin2: - (sin : - cos: )2,sin 二里cos: = . 2sin(: —).44. 辅助角公式函数f (x) = asin x+ bcosx (a ,内常数),可以化为f (x) = l廿十^ sin( )』占+ b cos(*e 其中甲(8)可由a,b的值唯一确定.两个技巧一(1)一一一握角一、…携角技互二…(2) 一一化简技一巧二切化霎L…一一':1':一一的代换笠一.…一一【双基自测】(人教A版教材习题改编)下列各式的值为1的是()4sin 2上A.3 .右tan a =3,则-- 2—=().2 2__Q 2 tan 22.50o o2cos 衫 T B . 1 -2sin 75 C. ~-一2 & 5° D. sin15 cos152. sin 68°sin 67°—sin23°cos68°=( )A. 一岂经乎D. 1cos :■A. 2 B . 3 C . 4 D . 64 .已知sin a 2贝U cos(兀一A. D.5.1设sin(—+8)=-,贝U sin 26 =()4 3A. D.6. tan200 +tan40° + 后tan200 tan400 =r 5 , ,-.、 2 …7.右tan(—+ot)= —,则tan a =t 4 5考点一三角函数式的化简与求值[例1]求值:①cos15:-sin150;②sin50°(1 + T3tan100).cos15 sin15x 二[例2]已知函数f (x) =2sin(一一一), x 匚R .3 6,-5一:■■:: 10 6 ,(1)求f (宇)的值;⑵设a, E e件一',f (3。
§15.2 两角和、两角差与二倍角公式在诱导公式中,我们有sin(α+2π)=cos α,sin(π-α)=sin α 等等一批公式,公式中同一个三角函数符号下出现了两个角,其中一个角α可以任意,但另一个角2π,π等却是固定的.如果把另一个角改成也是可以任意的例如β,那么sin(α+β)、sin(α-β)等与α,β的三角函数之间会有联系吗?如果有联系,又是怎样的联系?一、两角和与差的余弦1、知识要点设角α的终边与单位圆的交点坐标为P (cos α,sin α),角β的终边与单位圆的交点坐标为Q (cos β,sin β).记 a=OP =(cos α,sin α),b =OQ =(cos β,sin β), 则 a b =|a|⋅|b |cos(α-β)=cos(α-β); 又应用向量数量积的坐标表示公式 a b=cos α cos β+ sin α sin β,所以cos(α-β)=cos α cos β+ sin α sin β (C α-β )(1)我们把C α-β叫做两角差的余弦公式.在C α-β 中用-β代替β,就可以得到cos(α+β)= cos [α-(-β)] =cos α cos(-β)+ sin α sin(-β)即 cos(α+β)= cos α cos β- sin α sin β. (C α+β )(2)把C α+β 叫做两角和的余弦公式. 2、例题分析例1 不查表,求cos105°及cos15°的值. 解 设法把105°,15°分解成已知三角函数值的特殊角的和或差,再应用C α-β 或C α+β .cos105°=cos(60°+45°)=cos60°cos45°-sin60°sin45°=1222⋅=462-; cos15°=cos(45°-30°)= cos45°cos30°+sin45°sin30°12+=426+. 例2 已知cos α=-54, (2π<α<π),求cos(6π-α), cos(6π+α). 解 因为cos α=--54,且2π<α<π,所以sin α=2)54(1--=53.cos(6π-α)=cos6πcos α+sin6πsin α413)525-+⋅=10343-; cos(6π+α)= cos6πcos α-sin6πsin α413)525--⋅=10343+-. 例3 利用公式C α+β 证明cos [α+(2k +1)π]=-cos α.证明 cos [α+(2k +1)π]=cos αcos(2k +1)π-sin αsin(2k +1)π=cos α(-1)-sin α⋅0=-cos α,所以原式成立. 3、课内练习1. 不查表,求下列三角函数的值: (1)cos75°; (2)cos(-15°); (3)cos80°cos20°+sin80°sin20°;β)(4)cos20°cos25°-sin20°sin25°; (5)cos22.5°cos22.5°-sin22.5°sin22.5°; (6)cos 215°-sin 215°. 2.利用公式C α+β 、C α-β 证明(1)cos(α+2π)=-sin α; (2)cos(-α)=cos α.3.已知sin α=32,α (2π,π),求cos(3π+α), cos(3π-α). 4.已知sin α=1715, cos β=135-, α, β∈(2π,π),求cos(α+β), cos(α-β)的值.二.两角和与差的正弦.1、知识要点有了C α+β 和C α-β的公式,自然会联想两角和与差的正弦公式如何?因为sin(α+β)=cos [2π-(α+β)]=cos [(2π-α)-β]=cos(2π-α)cos β+sin(2π-α)sin β=sin αcos β+cos αsin β即 sin(α+β)=sin αcos β+cos αsin β. (S α+β)(1)我们把S α+β 叫做两角和的正弦公式.在两角和的正弦公式中,用(-β)代替β就可以得到 sin(α-β)=sin(α+(-β))=sin αcos(-β)+ cos αsin(-β),即 sin(α-β)=sin αcos β-cos αsin β. (S α-β)(2)我们把S α-β 叫做两角差的正弦公式. 2、例题分析例1 不查表,求sin75︒,sin15︒的值解 sin75︒=sin (45︒+30︒)=sin45︒⋅cos30︒+cos45︒⋅sin30︒=2322⋅ +2122⋅=426+;sin15︒=sin (45︒-30︒)=sin45︒⋅cos30︒-cos45︒⋅sin30︒=2322⋅ -2122⋅=426-.例2 已知向量OP =(3,4),绕原点旋转45︒到P O '的位置(见图10-2),求点P ’的坐标(x ’,y ’). 解 设∠xOP =α.因为|OP |=2243+=5,所以cos α=53,sin α=54,x ’=5cos(α+45︒)=5(cos αcos45︒- sin αsin45︒)=5(53⨯22-54⨯22)=-22;y ’=5sin(α+45︒)=5(sin αcos45︒+ cos αsin45︒)=5(54⨯22+53⨯22)=227.所以 P ’( -22, 227).3、课内练习1. 不查表,求下列各式的值(1)sin105︒; (2)sin165︒; (3)sin(-125π); (4)sin13︒cos17︒+cos13︒sin17︒; (5)sin70︒cos25︒-sin25︒cos70︒.2. 化简(1)sin(α+β)cos β-cos(α+β)sin α; (2)sin(α-β)cos β+cos(α-β)sin β.图10-2• yxαPO•P ' 45︒3.已知sin α=1715,α∈(2π,π),求sin(3π+α), sin(3π-α).4.已知sin α=32, cos β=-43,且α, β都是第二象限的角,求sin(α+β), sin(α-β).5.向量OP =(4,3)绕原点旋转60︒, 120︒, -60︒到1OP ,2OP ,3OP 的位置,求点P 1,P 2,P 3的坐标.三.两角和与差的正切1、知识要点根据同角三角函数的关系:tan(α+β)=)cos()sin(βαβα++,得tan(α+β)=βαβαβαβαsin sin cos cos sin cos cos sin -+;分子、分母同除以cos αcos β, (cos αcos β)≠0), 则tan(α+β)=βαβαtan tan 1tan tan -+. (T α+β )(1)我们把T α+β 叫做两角和的正切.在T α+β 中用-β代替β,并用负角公式tan(-x)=-tanx ,就可以得到tan(α-β)=βαβαtan tan tan tan ⋅+-1. (T α-β )(2)我们把T α-β 叫做两角差的正切. 2、例题分析例1 不查表,求下列各式的值(1)tan75︒; (2)︒︒︒+︒34tan 71tan -134tan 71tan .解 (1) tan75︒= tan (45︒+30︒)=︒⋅︒︒+︒30tan 45tan -130tan 45tan =3333-+=2+3;(2)︒︒︒+︒34tan 71tan -134tan 71tan =tan(17︒+43︒)= tan60︒=3例2 不查表,求下列各式的值(1)151151tan tan -+; (2)tan23︒+tan22︒+tan23︒tan22︒. 解 (1)︒-︒+15tan 115tan 1=︒︒-︒+︒15tan 45tan 115tan 45tan =tan (45︒+15︒)=tan60︒=3;(2)因为tan(23︒+22︒)=︒︒+︒+︒22tan 32tan 122tan 32tan ,所以tan23︒+tan22︒=tan(23︒+22︒)(1- tan23︒tan22︒),原式=tan45︒ (1-tan23︒tan22︒)+tan23︒tan22︒=1-tan23︒ tan22︒+ tan23︒ tan22︒ =1. 3、课内练习1. 不查表,求下列各式的值:(1)tan15︒; (2)tan105︒; (3)︒︒-︒+︒33tan 21tan 133tan 21tan ; (4)3tan125tan 13tan 125tanππππ-+. 2. 已知tan x =2, tan y =51,求tan (x +y ),tan (x -y ). 3. 不查表,求下列各式的值(1)︒+︒-75tan 175tan 1; (2)tan17︒ +tan43︒+3tan17︒ tan43︒.4. 求证(1)θθtan 1tan 1+-=tan(θπ-4); (2)θθtan 1tan 1-+=tan(θπ+4). 5. 已知tan α=52,tan β=73,求tan(α+β). 6. 已知tan α=23,tan β=53,求tan(α-β).四.倍角公式1、知识要点在和角公式S α+β , C α+β , T α+β 中,取β=α,就可得出相应的二倍角的三角函数公式: (1)sin2α=2sin αcos α; (S 2α ) (2)cos2α=cos 2α-sin 2α=2 cos 2α-1=1-2 sin 2α; (C 2α )(3)t a n2α=αα2tan -12tan . (T 2α ) 2、例题分析例1 已知sin α=135, α∈(2π,π),求sin2α, cos2α, tan2α的值.解 因为sin α=135, α∈(2π,π),所以cos α=-α2sin 1-=-2)135(1-=-1312.sin2α=2sin αcos α=2⨯135⨯(-1312)=-169120;cos2α=cos 2α-sin 2α=(-1312)2-(135)2=169119; tan2α=αα2cos 2sin =-169120÷169119=-119120.例2 证明恒等式θθθθθθtan cos sin 22cos 2sin 2sin 2=+++. 证明 左边=θθθθθθθcos sin 2)sin (cos 2sin cos sin 2222++-+=)1cos 2(cos )1cos 2(sin ++θθθθ=θtan =右边.所以原式成立.例3 证明sin50︒(1+3tan10︒)=1.证明 左边=sin50︒(1+10cos 10sin 3)=sin50︒ 10cos 10sin 310cos + =2sin50︒1010102321cos sin cos +=2 sin50︒10cos 10sin 30cos 10cos 30sin + =2sin50︒ 10cos 40sin = 10cos 50cos 50sin 2=10cos 100sin =10cos 10cos =1=右边.所以原式成立. 在例10的证明过程中,使用了正弦函数的和角公式、倍角公式,两次应用了诱导公式,还使用了分子、分母同除以2的技巧,其目的是要把看似互不关联的三角函数值关联起来,应用已知公式予以简化,达到证明的目的.可见熟悉公式并灵活应用的重要性.3、课内练习1. 不查表,求下列各式的值:(1)2sin67°30cos67°30'; (2)cos 28π-sin 28π; (3)2cos 212π-1;(4)1-2sin 275°;(5)5.22tan 15.22tan 22-; (6)sin15°cos15°. 2.化简下列各式:(1)(sin α-cos α)2; (2)sin 2θcos 2θ; (3)cos 4ϕ-sin 4ϕ; (4)θθtan 11tan 11+--. 3.已知sin α=0.8,α∈(0, π),求cos2α,sin2α.4.已知cos α=1312-,α∈(2π,π),求cos2α,sin2α.5.已知tan α=21,求tan2α.6.证明下列恒等式:(1)2sin (π-α)cos (π+α)=-sin2α; (2)1+2cos 2θ-cos2θ=2; (3)αααsin 2sin 2cos 1=-; (4)ααα2tan 2cos 12cos 1=+-.五、和、差、倍角公式的综合应用1、知识要点(1)两角和与差的三角函数的简单应用应用三角函数的和差角公式和倍角公式,为许多数学问题和实际问题的解决,提供了有力的工具.(2)三角函数式的变形 三角式化简、求值及三角恒等式证明中,主要手段是对三角函数式作各种变形,使之或简单或易于求值或与另一种形式相等.三角函数的和差角公式、倍角公式本身就是一种变形,因此在上述各类问题讨论中有广泛应用.下面将通过一些例子来看一下具体问题中是如何灵活应用的.2、例题分析例1 应用三角函数的和差角公式导出三角函数诱导公式.解 只要取和差角公式中两角之一为诱导公式中的特殊角,就能导出所有的诱导公式.下面挑选几个予以证明,类似可以证明其余.(1)sin(π-α)=sin πcos α-cos πsin α=0⋅cos α-(-1)sin α=sin α; (2)cos(π-α)=cos πcos α+sin πsin α=(-1) cos α+0⋅sin α=-cos α; (3)cos(2π+α)=cos 2πcos α-sin 2πsin α0⋅cos α-1⋅sin α=-sin α.例2 求函数y =sin x +cos x 的最大值和最小值,并判断它是否是周期函数.解 y =sin x +cos x =2(21 sin x +21cos x )=2(sin x cos4π+ cos x sin 4π)=2sin(x +4π). 当x +4π=2π+2k π (k ∈Z ),即x =4π+2k π, (k ∈Z )时,y 达到最大y max =2;当x +4π=-2π+2k π(k ∈Z ),即x =-43π+2k π, (k ∈Z )时,y 达到最小y min =-2 因为sin(x +4π)是以2π为周期的周期函数,所以y =sin x +cos x 是周期是2π的周期函数.例3 如图2三个相同的正方形相接,求证α+β=4π.证明 如图2易知tan α=21, tan β=31,且α,β∈(0,2π).tan(α+β)=βαβαtan tan 1tan tan -+=312113121⨯-+=1,因为α,β∈(0,2π),所以α+β∈(0, π).在区间(0,π)内,正切值为1的角只有1个,即tan4π=1,所以α+β=4π.例4 求cos20°cos40°cos80°的值.解一 由sin2α=2sin αcos α,得cos α=ααsin 22sin .分别应用于原式中三个因子,得cos20°cos40°cos80°=︒︒20sin 240sin ⋅︒︒40sin 280sin ⋅︒︒80sin 2160sin =︒︒20sin 8160sin =81.解二 将所求式的分子分母同乘以23sin20°,逐次应用S 2α ,原式=︒︒︒︒︒20sin 280cos 40cos 20cos 20sin 233=︒︒︒︒20sin 280cos 40cos 40sin 232=︒︒︒20sin 280cos 80sin 23=︒︒20sin 8160sin =81. 例5 已知2π<β<α<43π,cos(α-β)=1312,sin(α+β)=-53,求sin2α. 分析 2α=(α-β)+(α+β), sin2α=sin [(α-β)+(α+β)]=sin(α-β)cos(α+β)+cos(α-β)sin(α+β).解 由2π<β<α<43π,知π<α+β<23π,0<α-β<4π,所以 sin(α-β)=)(cos 12βα--=2)1312(1-=135;cos(α+β)=-)(sin 12βα+-=-2)53(1--=-54, 故 sin2α= sin(α+β)cos(α-β)+ cos(α+β)sin(α-β)=-135)54(131253⨯-+⨯=6556-.例6 不查表,求︒-︒10sec 2310csc 21的值.解 原式=︒-︒10cos 2310sin 21=︒︒︒-︒10cos 10sin 210sin 310cos =︒︒-︒20sin )1030sin(2=︒︒20sin 20sin 2=2. 切割化弦(把正切、余切、正割、余割函数化为正弦或余弦函数表示),使函数名得到统一,是化简三角式中常用手段;遇到三角式a sin α+b cos α时,常用技巧是a sin α+b cos α=2222b a b a b a ++⋅+ααcos sin ,进而简化为22b a +cos(α+ϕ)或22b a +sin(α+ϕ).例7 若α, β均为锐角,且cos α=552,cos β=10103,求α+β的值. 分析 求α+β的值,一般可先求(α+β)的三角函数值.解 因为α、β均为锐角,所以图2 αβsin α=α2cos 1-=2)552(1-=55,sin β=β2cos 1-=2)10103(1-=1010,cos(α+β)=cos α cos β- sin α sin β=因为0<α+β<π,所以α+β=4π.例8 在斜∆ABC 中,求证:tan A +tan B +tan C =tan A tan B tan C .分析 因为A ,B ,C 为三角形内角,有A +B +C =π,A +B =π-C ,考虑选用两角和的正切公式. 证明 因为A ,B ,C 为三角形内角,有A +B +C =π, A +B =π-C ,且A ,B ,A +B 都不等于π,所以 tan(A +B )=tan(π-C ),即BA B A tan tan 1tan tan -+=-tan C .所以tan A +tan B +tan C =tan A tan B tan C .3、课内练习 1.不查表,求值(1)cos65°sin70°+sin65°sin20°; (2)︒-︒5.22tan 15.22tan 2; (3)1-22cos 8π; (4)sin40°(tan10°-3); (5)cos 10°cos20°cos40°.2.已知α+β=4π,求(1+tan α)(1+tan β)的值.3.已知tan(α+β)=52, tan(β-4π)=41,求tan(α+4π)的值.4.若α, β是锐角,且满足cos α=54, cos(α+β)=53,求sin β的值.5.已知sin α=53, α∈(2π,π), tan(π-β)=21,求tan(α-2β)的值.6.已知α, β是锐角,且tan α, tan β是方程6x 2-5x +1=0的两个根,求α+β的值. 7.求证:(1)sin2x (cot2x -tan 2x)=4cos 2x ; (2)2sin(2π+x )cos(2π-x )cos α+(2cos 2x -1)sin α=sin(2x +α).8.求下列函数的最小值和最大值: (1)y =x x sin cos 2123-; (2)y =2(sin x -cos x ). 9.如图在ΔABC 中,AD ⊥BC 垂足为D ,BD :DC :AD =2:3:6,求∠BAC . 10.已知等腰三角形的顶角的余弦等于257,求它底角的正弦、余弦和正切.第9题图AB§15.2 知 识 体 系一、三角化简变换:1、同角变换:①1cos sin 22=+αα, ②1cot tan =⋅αα, ③αααcos sin tan =2、负角变换:①ααsin )sin(-=-, ②ααcos )cos(=-, ③ααtan tan(-=-)3、余角变换:①ααπcos )2sin(=±, ②ααπsin )2cos( =±, ③ααπcot )2tan( =±4、平角变换:①ααπsin )sin( =±, ②ααπcos )cos(-=±, ③ααπtan )tan(±=±5、周期变换:①ααπsin )2sin(±=±,②ααπcos )2cos(±=±,③ααπtan )tan(±=± 二、两角和公式1、两角和的正弦: βαβαβαsin cos cos sin )sin(+=+;2、两角和的余弦:βαβαβαsin sin cos cos )cos(-=+;3、两角和的正切:βαβαβαtan tan 1tan tan )tan(-+=+。
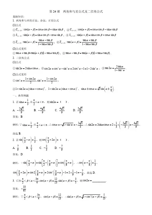
第24课两角和与差公式及二倍角公式基础知识:1.两角和与差的正弦、余弦、正切公式(1)公式①()cos cos cos :(sin sin ) C αβαβαβαβ--+=;②()cos cos cos :(sin sin ) C αβαβαβαβ-=++③():sin sin cos o n )i (c s s S αβαβαβαβ-=--;④()sin sin cos :(cos sin ) S αβαβαβαβ+=++⑤()()tan tan :tan 1tan tan T αβαβαβαβ---=+;⑥()()tan tan :tan 1tan tan T αβαβαβαβ+++=-(2)公式变形①(tan tan tan 1tan ta )()n αβαβαβ++-=;②tan tan tan 1tan t ()n )(a αβαβαβ-=-+.2.二倍角公式(1)公式①sin 22sin cos ααα=;②2222cos 2cos sin 2cos 112sin ααααα=-=-=-;③22tan tan 21tan ααα=-.(2)公式变形①221cos 21cos 2cos ,sin 22αααα+-==;②()21sin 2sin cos ααα+=+,()21sin 2sin cos ααα-=-,sin cos 4αααπ⎛⎫±=± ⎪⎝⎭.一、典型例题1.若1sin ,3α=且ππ2α<<,则sin2α=().A. B. C. D.答案:B解析:∵1sin ,3α=且ππ2α<<,∴22cos 3α==-,∴1sin22sin cos 2339ααα⎛==⨯⨯-=- ⎝⎭,故选B.2.若1sin 33απ⎛⎫-= ⎪⎝⎭,则cos 23απ⎛⎫+= ⎪⎝⎭().A.79 B.23 C.23- D.79-答案:D 解析:sin sin cos 3266αααπ⎡ππ⎤π⎛⎫⎛⎫⎛⎫-=-+=+ ⎪ ⎪ ⎪⎢⎥⎝⎭⎝⎭⎝⎭⎣⎦ ,1cos 63απ⎛⎫∴+= ⎪⎝⎭,217cos 2cos 22cos 12136699αααπππ⎛⎫⎛⎫⎛⎫+=+=+-=⨯-=- ⎪ ⎪ ⎪⎝⎭⎝⎭⎝⎭,故选D.3.已知()()π3π123,cos ,sin 24135βααβαβ<<<-=+=-,则cos2α=__________.答案:3365-解析:∵π324βαπ<<<,()12cos 13αβ-=,()5sin 13αβ∴-==,()()34sin ,cos 55αβαβ+=-∴+==- ,则()()()()()()cos 2cos cos cos sin sin ααβαβαβαβαβαβ=++-=+--+-⎡⎤⎣⎦412533351313565⎛⎫=-⨯-⨯-=- ⎪⎝⎭.二、课堂练习1.已知31tan(),tan()534αββπ+=-=,那么tan()3απ+的值为().A.318B.1323C.723 D.717答案:C解析:由31tan(),tan()534αββπ+=-=,知tan(tan[()(33ααββππ+=+--=31tan()tan(735431231tan()tan()1354αββαββπ+---==π++-+⨯,故选C.2.已知sin cos 1αβ+=,cos sin 0αβ+=,则()sin αβ+=__________.答案:12-解析:sin cos 1 αβ+=,22sin 2sin cos cos 1a a b b \++=,又cos sin 0 αβ+=,22cos 2cos sin sin 0a a b b \++=,两式相加可得22sin()1a b ++=,1sin()a b \+=-.3.记直线:210l x y -+=的倾斜角为α,则1tan2sin2αα+的值为________.答案:112-解析:∵直线:210l x y -+=的斜率为2,∴tan 2α=,∴22222sin cos 2tan 224sin2=sin cos 1tan 125ααααααα⨯===+++,222tan 224tan21tan 123ααα⨯===---,∴1541tan2sin24312αα+=-=-.三、课后作业1.若1sin 3α=,则cos2α=().A.89B.79 C.79- D.89-答案:B解析:227cos2α12sin 199α=-=-=,故选B.2.已知cos 63θπ⎛⎫+=- ⎪⎝⎭,则sin 26θπ⎛⎫-= ⎪⎝⎭().A.13 B.23 C.13- D.23-答案:C解析:由已知得221cos 22cos 116633θθ⎡π⎤π⎛⎫⎛⎫+=+-=-=- ⎪ ⎪⎢⎥⎝⎭⎝⎭⎣⎦,即1cos 233θπ⎛⎫+=- ⎪⎝⎭,1sin 2sin 2cos 262333θθθπ⎡ππ⎤π⎛⎫⎛⎫⎛⎫∴-=-+=+=- ⎪ ⎪ ⎪⎢⎥⎝⎭⎝⎭⎝⎭⎣⎦,故选C.3.已知1sin 23α=,则2cos 4απ⎛⎫-= ⎪⎝⎭().A.13 B.13- C.23 D.23-答案:C 解析:由降幂公式可得,21cos 21111124cos sin 242222233αααπ⎛⎫+- ⎪π⎛⎫⎝⎭-==+=+⨯= ⎪⎝⎭,故选C.4.已知0α<<π2β<,满足cos 5α=,sin 10β=,求αβ+的值().A.π4 B.π4或3π4 C.π2π4k + D.3π4答案:D解析:由题意得sin αβ==()cos αβ+=-,又0παβ<+<,所以3π4αβ+=,故选D.5.已知(),0,παβ∈,且()1tan 2αβ-=,1tan 5β=-,则tan2α的值为__________.答案:3356解析:()()()tan tan tan tan 1tan tan αββααββαββ-+=-+=⎡⎤⎣⎦--11325,1111125-==⎛⎫-⨯- ⎪⎝⎭22322tan 3311tan 2.1tan 563111ααα⨯===-⎛⎫- ⎪⎝⎭6.在ABC 中,已知()()212cos cos sin sin cos 22A B B A B B A C ---++=,(1)求角A ;(2)若π0,3B ⎛⎫∈ ⎪⎝⎭,且()3sin 5A B -=,求sin B .答案:(1)π3A ∠=;(2)43310-解析:(1)由题可得,()()11cos cos sin sin cos 2AB B A B B B +----=⎡⎤⎣⎦,则()()1cos cos cos sin sin cos 2B A B B A B B B +----=,则1cos 2A =,∴π3A ∠=.(2)∵π3A ∠=,π0,3B ⎛⎫∈ ⎪⎝⎭,()3sin 5A B -=,∴()4cos 5A B -=,∴()()()413sin sin sin cos cos sin B A A B A A B A A B =--=---=-⨯=⎡⎤⎣⎦。
两角和与差的公式与二倍角公式1.两角和的公式:当两角A和B的和为角C时,我们有以下公式:sin(C) = sin(A) * cos(B) + cos(A) * sin(B)cos(C) = cos(A) * cos(B) - sin(A) * sin(B)tan(C) = (tan(A) + tan(B)) / (1 - tan(A) * tan(B))这些公式可以简单地通过将三角函数的和角公式代入得到。
2.两角差的公式:当两角A和B的差为角C时,我们有以下公式:sin(C) = sin(A) * cos(B) - cos(A) * sin(B)cos(C) = cos(A) * cos(B) + sin(A) * sin(B)tan(C) = (tan(A) - tan(B)) / (1 + tan(A) * tan(B))同样,这些公式可以通过将三角函数的差角公式代入得到。
二倍角公式:1. sin(2A) = 2 * sin(A) * cos(A)这个公式表示正弦函数的两倍角,可以通过将正弦函数的和角公式中A与B都设为A得到。
sin(2A) = sin(A + A) = sin(A) * cos(A) + cos(A) * sin(A) = 2 * sin(A) * cos(A)2. cos(2A) = cos^2(A) - sin^2(A)这个公式表示余弦函数的两倍角,可以通过将余弦函数的差角公式中A与B都设为A得到。
cos(2A) = cos(A - A) = cos(A) * cos(A) + sin(A) * sin(A) = cos^2(A) - sin^2(A)3. tan(2A) = (2 * tan(A)) / (1 - tan^2(A))这个公式表示正切函数的两倍角,由正切函数的和角公式和差角公式推导而来。
我们有 tan(A + A) = (tan(A) + tan(A)) / (1 - tan(A) * tan(A))代入 tan(2A) 和进行简化得到:tan(2A) = (2 * tan(A)) / (1 - tan^2(A))这些公式在解决各种三角函数相关的问题中非常有用。
第三章 三角恒等变换一、知识点总结1、两角和与差的正弦、余弦和正切公式:⑴()cos cos cos sin sin αβαβαβ-=+;⑵()cos cos cos sin sin αβαβαβ+=-; ⑶()sin sin cos cos sin αβαβαβ-=-;⑷()sin sin cos cos sin αβαβαβ+=+; ⑸()tan tan tan 1tan tan αβαβαβ--=+ ⇒ (()()tan tan tan 1tan tan αβαβαβ-=-+);⑹()tan tan tan 1tan tan αβαβαβ++=- ⇒ (()()tan tan tan 1tan tan αβαβαβ+=+-).2、二倍角的正弦、余弦和正切公式:⑴sin22sin cos ααα=.222)cos (sin cos sin 2cos sin 2sin 1ααααααα±=±+=±⇒ ⑵2222cos2cossin 2cos 112sin ααααα=-=-=-⇒升幂公式2sin 2cos 1,2cos 2cos 122αααα=-=+⇒降幂公式2cos 21cos 2αα+=,21cos 2sin 2αα-=. ⑶22tan tan 21tan ααα=-. 3、⇒(后两个不用判断符号,更加好用)4、合一变形⇒把两个三角函数的和或差化为“一个三角函数,一个角,一次方”的 B x A y ++=)sin(ϕϖ形式。
()sin cos αααϕA +B =+,其中tan ϕB=A. 5.(1)积化和差公式sin α·cos β=21[sin(α+β)+sin(α-β)] cos α·sin β=21[sin(α+β)-sin(α-β)] cos α·cos β=21[cos(α+β)+cos(α-β)] sin α·sin β= -21[cos(α+β)-cos(α-β)](2)和差化积公式 sin α+sin β=2cos2sin2βαβα-+sin α-sin β=2sin2cos2βαβα-+ααααααα半角公式cos 1cos 12tan 2cos 12sin ;2cos 12cos :+-±=-±=+±=2tan 12tan 1 cos ;2tan 12tan2sin :222αααααα万能公式+-=+=cos α+cos β=2cos2cos2βαβα-+ cos α-cos β= -2sin2sin2βαβα-+tan α+ cot α=ααα2sin 2cos sin 1=⋅ tan α- cot α= -2cot2α 1+cos α=2cos 22α 1-cos α=2sin22α1±sin α=(2cos2sinαα±)26。
两角和与差的正弦、余弦和正切(二倍角公式)一.【学习目标】1、掌握并熟练使用两角和与差的余弦、正弦、正切进行证明、化简和求值;2、能针对不同情况进行寻找已知角之间的关系,灵活使用两角和与差的余弦、正弦、正切公式,二倍角公式进行证明、化简和求值.二.重点、难点、易错(混)点、常考点灵活使用两角和与差的余弦、正弦、正切进行证明、化简和求值三.【知识梳理】1.两角和与差的正弦、余弦、正切公式: C (),cos()αβαβ--= ; C (),cos()αβαβ++= S (),sin()αβαβ--= ; S (),sin()αβαβ++= . T (),tan()αβαβ++= 由T ()αβ+可得公式变形tan tan αβ+= T (),tan()αβαβ--=由T ()αβ-可得公式变形得:tan tan αβ-= 2. 二倍角的正弦、余弦、正切公式2:sin 2S ________________;2:tan 2T ________________。
2:cos 2C ________________=________________=________________;四.【基础题达标】 1.12cos312sinππ-=2.sin15°sin30°sin75°=__________.3.cos20°cos40°cos60°cos80° =4.),0(πθ∈,θθsin 1sin 1--+=5.313sin 253sin 223sin 163sin +的值等于 6.12cos312sinππ-=7.化简:x x sin 6cos 2-= 8.若51cos sin =+θθ,则θ2sin 的值 9.81cos sin =x x 且24ππ<<x ,则=-x x sin cos 10.),0(πθ∈,θθsin 1sin 1--+=11.函数)(2cos 21cos )(R x x x x f ∈-=的最大值为 12..若223tan 1tan 1+=-+αα,则=-αα2cos 2sin 113.50tan 10tan 350tan 10tan ++=14.化简:15tan 115tan 1-+=15.已知cos (6πα-)+sin α76)πα+的值是考点一: 运用公式求值、求角问题【例1】 (1)已知cos α=13,cos(α+β)=-13,且α,β∈⎝⎛⎭⎫0,π2,求cos(α-β)的值. (2)已知0<β<π2<α<π,且cos ⎝⎛⎭⎫α-β2=-19,sin ⎝⎛⎭⎫α2-β=23,求cos(α+β)的值; (3)已知π2<β<α<34π,sin(α-β)=1213,cos(α+β) =-35,求sin2α的值(3)已知α,β∈(0,π),且tan(α-β)=12,tan β=-17,求2α-β的值.【训练1】已知βα,是锐角且1010sin ,55sin ==βα,求βα+【训练2】(2012·江苏卷)设α为锐角,若cos ⎝⎛⎭⎫α+π6=45,则sin ⎝⎛⎭⎫2α+π12的值为________.考点二: 公式的变形应用【例2】已知:)tan(βα+=βtan 2。
三角函数两角和与差及二倍角公式一、知识梳理1.两角和与差的正弦、余弦和正切公式sin(α±β)=sin αcos β±cos αsin β; cos(α∓β)=cos αcos β±sin αsin β; tan(α±β)=tan α±tan β1∓tan αtan β.2.二倍角的正弦、余弦、正切公式sin 2α=2sin αcos α;cos 2α=cos 2α-sin 2α=2cos 2α-1=1-2sin 2α; tan 2α=2tan α1-tan 2α.3.注意:1.在使用两角和与差的余弦或正切公式时运算符号易错. 2.在(0,π)范围内,sin(α+β)=22所对应的角α+β不是唯一的. [试一试]1.sin 68°sin 67°-sin 23°cos 68°的值为( ) A .-22 B .22 C .32D .1 答案:B2.若sin α2=33,则cos α=( )A .-23B .-13C .13D .23答案:C解析:因为sin α2=33,所以cos α=1-2sin 2 α2=1-2×233⎛⎫ ⎪ ⎪⎝⎭=13二、方法归纳 1.公式的常用变形(1)tan α±tan β=tan(α±β)(1∓tan αtan β); (2)cos 2α=1+cos 2α2,sin 2α=1-cos 2α2;(3)1+sin 2α=(sin α+cos α)2,1-sin 2α=(sin α-cos α)2,sin α±cos α=2sin 4πα⎛⎫± ⎪⎝⎭2.角的变换技巧2α=(α+β)+(α-β);α=(α+β)-β;β=α+β2-α-β2;α-β2=22βααβ⎛⎫⎛⎫+-+ ⎪ ⎪⎝⎭⎝⎭3.三角公式关系[练一练]1.已知tan 6πα⎛⎫-⎪⎝⎭=37,tan 6πβ⎛⎫+ ⎪⎝⎭=25,则tan(α+β)的值为( ) A .2941 B .129 C .141 D .1答案:D2.已知sin 2α=23,则cos 24πα⎛⎫+ ⎪⎝⎭=( ) A .16 B .13 C .12 D .23答案:A解析:法一:cos 24πα⎛⎫+ ⎪⎝⎭=121cos 22πα⎡⎤⎛⎫++ ⎪⎢⎥⎝⎭⎣⎦=12(1-sin 2α)=16. 法二:cos 4πα⎛⎫+ ⎪⎝⎭=22cos α-22sin α, 所以cos 24πα⎛⎫+ ⎪⎝⎭=12(cos α-sin α)2=12(1-2sin αcos α)=12(1-sin 2α)=16 三、考点精讲考点一 三角函数公式的基本应用1.已知sin α=35,α∈,2ππ⎛⎫⎪⎝⎭,则cos 22sin 4απα⎛⎫+ ⎪⎝⎭=________. 答案:-75解析:cos 22sin 4απα⎛⎫+ ⎪⎝⎭=22cos sin 222sin cos 22αααα-⎛⎫+ ⎪⎝⎭=cos α-sin α,∵sin α=35,α∈,2ππ⎛⎫⎪⎝⎭,∴cos α=-45,∴原式=-75.2.设sin 2α=-sin α,α∈,2ππ⎛⎫⎪⎝⎭,则tan 2α的值是________. 答案: 3解析:∵sin 2α=2sin αcos α=-sin α,∴cos α=-12,又α∈,2ππ⎛⎫⎪⎝⎭,∴sin α=32,tan α=-3,∴tan 2α=2tan α1-tan 2α=()223313-=--3.已知函数f (x )=2sin 136x π⎛⎫- ⎪⎝⎭,x ∈R . (1)求f 54π⎛⎫⎪⎝⎭的值; (2)设α,β∈0,2π⎡⎤⎢⎥⎣⎦,f 32πα⎛⎫+ ⎪⎝⎭=1013,f (3β+2π)=65,求cos(α+β)的值. 解:(1)∵f (x )=2sin 136x π⎛⎫-⎪⎝⎭,∴f 54π⎛⎫⎪⎝⎭=2sin 5126ππ⎛⎫- ⎪⎝⎭=2sin π4=2. (2)∵α,β∈0,2π⎡⎤⎢⎥⎣⎦,f 32πα⎛⎫+ ⎪⎝⎭=1013,f (3β+2π)=65, ∴2sin α=1013,2sin 2πβ⎛⎫+ ⎪⎝⎭=65,即sin α=513,cos β=35.∴cos α=1213,sin β=45∴cos(α+β)=cos αcos β-sin αsin β=1213×35-513×45=1665.[解题通法]两角和与差的三角函数公式可看作是诱导公式的推广,可用α、β的三角函数表示α±β的三角函数,在使用两角和与差的三角函数公式时,特别要注意角与角之间的关系,完成统一角和角与角转换的目的.考点二 三角函数公式的逆用与变形应用(1)在△ABC 中,若tan A ·tan B =tan A +tan B +1,则cos C 的值是( ) A .-22 B .22 C .12 D .-12(2)sin 110°sin 20°cos 2155°-sin 2155°的值为( ) A .-12 B .12 C .32 D .-32答案:(1)B (2)B解析:(1)由tan A tan B =tan A +tan B +1,可得tan A +tan B1-tan A tan B=-1,即tan(A +B )=-1,所以A +B =3π4,则C =π4,cos C =22,故选B .(2)sin 110°sin 20°cos 2155°-sin 2155°=sin 70°sin 20°cos 310°=cos 20°sin 20°cos 50°=12sin 40°sin 40°=12. [解题通法]运用两角和与差的三角函数公式时,不但要熟练、准确,而且要熟悉公式的逆用及变形,如tan α+tan β=tan(α+β)·(1-tan αtan β)和二倍角的余弦公式的多种变形等. [针对训练] 1.已知sin 6πα⎛⎫+⎪⎝⎭+cos α=435,则sin 3πα⎛⎫+ ⎪⎝⎭的值为( ) A .45 B .35 C .32 D .35答案:A 解析:由条件得32sin α+32cos α=435, 即12sin α+32cos α=45,∴sin 3πα⎛⎫+ ⎪⎝⎭=45. 2.若α+β=3π4,则(1-tan α)(1-tan β)的值是________.答案:2解析:-1=tan 3π4=tan(α+β)=tan α+tan β1-tan αtan β,∴tan αtan β-1=tan α+tan β.∴1-tan α-tan β+tan αtan β=2,即(1-tan α)(1-tan β)=2. 考点三 角的变换已知α,β均为锐角,且sin α=35,tan(α-β)=-13.(1)求sin(α-β)的值; (2)求cos β的值. 解:(1)∵α,β∈0,2π⎛⎫⎪⎝⎭,从而-π2<α-β<π2 又∵tan(α-β)=-13<0,∴-π2<α-β<0.∴sin(α-β)=-1010. (2)由(1)可得,cos(α-β)=31010. ∵α为锐角,且sin α=35,∴cos α=45,∴cos β=cos[α-(α-β)] =cos αcos(α-β)+sin αsin(α-β)=45×31010+35×1010⎛⎫- ⎪ ⎪⎝⎭=91050变式练习:在本例条件下,求sin(α-2β)的值 解:∵sin(α-β)=-1010,cos(α-β)=31010, cos β=91050,sin β=131050.∴sin(α-2β)=sin[(α-β)-β]=sin(α-β)cos β-cos(α-β)sin β=-2425.[解题通法]1.当“已知角”有两个时,一般把“所求角”表示为两个“已知角”的和或差的形式; 2.当“已知角”有一个时,此时应着眼于“所求角”与“已知角”的和或差的关系,然后应用诱导公式把“所求角”变成“已知角”;3.注意角变换技巧. [针对训练]1.设tan ()α+β=25,tan 4πβ⎛⎫- ⎪⎝⎭=14,则tan 4πα⎛⎫+ ⎪⎝⎭=( )A .1318B .1322C .322D .16答案:C解析:tan 4πα⎛⎫+ ⎪⎝⎭=()tan 4παββ⎡⎤⎛⎫+-- ⎪⎢⎥⎝⎭⎣⎦=()()tan tan 34221tan tan 4παββπαββ⎛⎫+-- ⎪⎝⎭=⎛⎫++- ⎪⎝⎭2.设α为锐角,若cos 6πα⎛⎫+ ⎪⎝⎭=45,则sin 212πα⎛⎫+ ⎪⎝⎭的值为________. 答案:17250解析:因为α为锐角,cos 6πα⎛⎫+⎪⎝⎭=45, 所以sin 6πα⎛⎫+ ⎪⎝⎭=35,sin 26πα⎛⎫+ ⎪⎝⎭=2425, cos 26πα⎛⎫+⎪⎝⎭=725, 所以sin 212πα⎛⎫+⎪⎝⎭=sin 264ππα⎡⎤⎛⎫+- ⎪⎢⎥⎝⎭⎣⎦=2425×22-725×22=17250. 考点四 三角函数式的化简1.化简:2sin 22cos sin 4ααπα-⎛⎫- ⎪⎝⎭=________.答案:22cos α解析:原式=2sin αcos α-2cos 2α22α-cos α=22cos α.2.化简:42212cos 2cos 22tan sin 44x x x x ππ-+⎛⎫⎛⎫-+ ⎪ ⎪⎝⎭⎝⎭解:原式=()222221112sin cos 1sin 2cos 22222sin cos 2sin cos sin 244442cos 4x x x x x x x x x x ππππππ-+-==⎛⎫⎛⎫⎛⎫⎛⎫⎛⎫----- ⎪ ⎪ ⎪ ⎪ ⎪⎝⎭⎝⎭⎝⎭⎝⎭⎝⎭⎛⎫- ⎪⎝⎭=1cos 22x 3.化简:1tan 1tan tan 22tan 2αααα⎛⎫ ⎪⎛⎫-⋅+⋅ ⎪ ⎪⎝⎭ ⎪⎝⎭.解:1tan 1tan tan 22tan 2αααα⎛⎫⎪⎛⎫-⋅+⋅ ⎪ ⎪⎝⎭ ⎪⎝⎭=cos sin sin sin 2221cos sin cos cos222αααααααα⎛⎫⎛⎫ ⎪ ⎪-⋅+⋅⎪ ⎪ ⎪ ⎪⎝⎭⎝⎭=cos 2α2-sin 2α2sin α2cos α2⋅cos αcos α2+sin αsinα2cos αcos α2=2cos αsin α⋅cos α2cos αcosα2=2sin α[解题通法]三角函数式的化简要遵循“三看”原则(1)一看“角”,这是最重要的一环,通过看角之间的差别与联系,把角进行合理的拆分,从而正确使用公式;(2)二看“函数名称”,看函数名称之间的差异,从而确定使用的公式,常见的有“切化弦”; (3)三看“结构特征”,分析结构特征,可以帮助我们找到变形的方向,如“遇到分式要通分”等.考点五 三角函数式的求值研究三角函数式的求值,解题的关键都是找出条件中的角与结论中的角的联系,依据函数名称的变换特点,选择合适的公式求解.归纳起来常见的命题角度有:给值求值; 给角求值; 给值求角. 角度一 给值求值1.已知函数f (x )=2cos 12x π⎛⎫- ⎪⎝⎭,x ∈R . (1)求f 3π⎛⎫⎪⎝⎭的值; (2)若cos θ=35,θ∈3,22ππ⎛⎫⎪⎝⎭,求f 6πθ⎛⎫- ⎪⎝⎭. 解:(1)因为f (x )=2cos 12x π⎛⎫-⎪⎝⎭, 所以f 3π⎛⎫⎪⎝⎭=2cos 312ππ⎛⎫- ⎪⎝⎭=2cos π4=2×22=1. (2)因为θ∈3,22ππ⎛⎫⎪⎝⎭,cos θ=35, 所以2234sin 1cos 155θθ⎛⎫=--=--=- ⎪⎝⎭.所以f 6πθ⎛⎫-⎪⎝⎭=2cos 612ππθ⎛⎫--⎪⎝⎭=2cos 4πθ⎛⎫-⎪⎝⎭=2×22cos sin 22θθ⎛⎫+⎪ ⎪⎝⎭=cos θ+sin θ=35-45=-15.角度二 给角求值2.(1)4cos 50°-tan 40°=( ) A . 2 B .2+32C . 3D .22-1 答案:C解析:4cos 50°-tan 40°=4cos 50°-sin 40°cos 40°=4sin 40°·cos 40°cos 40°-sin 40°cos 40°=2sin 80°-sin 40°cos 40°=2cos 10°-sin 40°cos 40°=2cos 10°-+cos 40°=32cos 10°-32sin 10°cos 40°=330°cos 10°-cos 40°=3cos 40°cos 40°=3.(2)化简:sin 50°(1+3tan 10°)=________. 答案:1解析:sin 50°(1+3tan 10°)=sin 50°00sin1013cos10⎛⎫+ ⎪⎝⎭ =sin 50°×cos 10°+3sin 10°cos 10°=sin 50°×000132cos10sin1022cos10⎛⎫+ ⎪⎝⎭ =2sin 50°·cos 50°cos 10°=sin 100°cos 10°=cos 10°cos 10°=1.角度三 给值求角3.已知α,β为锐角,sin α=35,cos ()α+β=-45,求2α+β.解:∵sin α=35,α∈0,2π⎛⎫⎪⎝⎭,∴cos α=45,∵cos(α+β)=-45,α+β∈(0,π),∴sin(α+β)=35,∴sin(2α+β)=sin[α+(α+β)]=sin αcos(α+β)+cos αsin(α+β)=35×45⎛⎫- ⎪⎝⎭+45×35=0.又2α+β∈30,2π⎛⎫⎪⎝⎭,∴2α+β=π. 4.已知α,β∈(0,π),且tan(α-β)=12,tan β=-17,求2α-β的值.解:∵tan α=tan[(α-β)+β]=α-β+tan β1-α-ββ=12-171+12×17=13>0,∴0<α<π2,又∵tan 2α=2tan α1-tan 2α=2123113⨯⎛⎫- ⎪⎝⎭=34>0,∴0<2α<π2, ∴tan(2α-β)=tan 2α-tan β1+tan 2αtan β=34+171-34×17=1.∵tan β=-17<0,∴π2<β<π,-π<2α-β<0,∴2α-β=-3π4.[解题通法]三角函数求值有三类(1)“给角求值”:一般所给出的角都是非特殊角,从表面上来看是很难的,但仔细观察非特殊角与特殊角总有一定关系,解题时,要利用观察得到的关系,结合公式转化为特殊角并且消除非特殊角的三角函数而得解.(2)“给值求值”:给出某些角的三角函数式的值,求另外一些角的三角函数值,解题关键在于“变角”,使其角相同或具有某种关系.(3)“给值求角”:实质是转化为“给值求值”,先求角的某一函数值,再求角的范围,确定角.考点六 三角恒等变换的综合应用 已知函数f (x )=sin 6x π⎛⎫-⎪⎝⎭+cos 3x π⎛⎫-⎪⎝⎭,g (x )=2sin 2x 2. (1)若α是第一象限角,且f (α)=335,求g (α)的值; (2)求使f (x )≥g (x )成立的x 的取值集合. 解:f (x )=sin 6x π⎛⎫-⎪⎝⎭+cos 3x π⎛⎫-⎪⎝⎭=32sin x -12cos x +12cos x +32sin x =3sin x ,g (x )=2sin 2x2=1-cos x .(1)由f (α)=335得sin α=35.又α是第一象限角,所以cos α>0.从而g (α)=1-cos α=1-1-sin 2α=1-45=15.(2)f (x )≥g (x )等价于3sin x ≥1-cos x ,即3sin x +cos x ≥1,于是sin 6x π⎛⎫+ ⎪⎝⎭≥12, 从而522666k x k πππππ+≤+≤+,k ∈Z , 即2223k x k πππ≤≤+,k ∈Z . 故使f (x )≥g (x )成立的x 的取值集合为222,3x k x k k Z πππ⎧⎫≤≤+∈⎨⎬⎩⎭. [解题通法]三角变换的综合应用主要是将三角变换与三角函数的性质相结合,通过变换把函数化为y =A sin(ωx +φ)的形式再研究性质,解题时注意观察角、名、结构等特征,注意利用整体思想解决相关问题. [针对训练]设函数f (x )=sin 23x π⎛⎫+⎪⎝⎭+33sin 2x -33cos 2x . (1)求f (x )的最小正周期及其图像的对称轴方程;(2)将函数f (x )的图像向右平移π3个单位长度,得到函数g (x )的图像,求g (x )在区间,63ππ⎡⎤-⎢⎥⎣⎦上的值域.解:(1)f (x )=12sin 2x +32cos 2x -33cos 2x =12sin 2x +36cos 2x =33sin 26x π⎛⎫+ ⎪⎝⎭,所以f (x )的最小正周期为T =2π2=π. 令2x +π6=k π+π2(k ∈Z ),得对称轴方程为x =k π2+π6(k ∈Z ).(2)将函数f (x )的图像向右平移π3个单位长度,得到函数g (x )=33sin 236x ππ⎡⎤⎛⎫-+ ⎪⎢⎥⎝⎭⎣⎦=-33cos 2x 的图像. 即g (x )=-33cos 2x . 当x ∈,63ππ⎡⎤-⎢⎥⎣⎦时,2x ∈2,33ππ⎡⎤-⎢⎥⎣⎦,得cos 2x ∈1,12⎡⎤-⎢⎥⎣⎦所以-33cos 2x ∈33,36⎡⎤-⎢⎥⎣⎦,即函数g (x )在区间,63ππ⎡⎤-⎢⎥⎣⎦上的值域是33,36⎡⎤-⎢⎥⎣⎦课后作业课后练习一、选择题1.已知sin3πα⎛⎫+⎪⎝⎭+sin α=-435,则cos23πα⎛⎫+⎪⎝⎭等于()A.-45B.-35C.35D.45答案:D2.已知cos6πα⎛⎫+⎪⎝⎭-sin α=233,则sin76πα⎛⎫-⎪⎝⎭的值是()A.-233B.233C.-23D.23答案:D3.已知向量a=sin,16πα⎛⎫⎛⎫+⎪⎪⎝⎭⎝⎭,b=(4,4cos α-3),若a⊥b,则sin43πα⎛⎫+⎪⎝⎭等于() A.-34B.-14C.34D.14答案:B4.函数y=sin x+cos x图象的一条对称轴方程是()A.x=5π4B.x=3π4C.x=-π4D.x=-π2答案:A5.在△ABC中,3sin A+4cos B=6,4sin B+3cos A=1,则C的大小为()A.π6B.56πC.π6或56πD.π3或23π答案:A6.已知0<α<π,3sin 2α=sin α,则cos(α-π)等于()A.13B.-13C.16D.-16答案:D解析:∵0<α<π,3sin 2α=sin α,∴6sin αcos α=sin α,又∵sin α≠0,∴cos α=16,cos(α-π)=cos(π-α)=-cos α=-167.已知tan(α+β)=25,tan4πβ⎛⎫-⎪⎝⎭=14,那么tan4πα⎛⎫+⎪⎝⎭等于()A .1318B .1322C .322D .16答案:C解析:因为α+π4+β-π4=α+β,所以α+π4=(α+β)-4πβ⎛⎫- ⎪⎝⎭.所以tan 4πα⎛⎫+ ⎪⎝⎭=tan ()()()tan tan 344221tan tan 4παββπαββπαββ⎛⎫+-- ⎪⎡⎤⎛⎫⎝⎭+--== ⎪⎢⎥⎛⎫⎝⎭⎣⎦++- ⎪⎝⎭8.已知cos 2α=12 (其中α∈,04π⎛⎫- ⎪⎝⎭),则sin α的值为 ( )A .12B .-12C .32D .-32答案:B解析:∵12=cos 2α=1-2sin 2α,∴sin 2α=14.又∵α∈,04π⎛⎫- ⎪⎝⎭,∴sin α=-129.若f (x )=2tan x -2sin 2x2-1sin x 2cosx2,则f 12π⎛⎫⎪⎝⎭的值为 ( )A .-433B .8C .4 3D .-4 3 答案:B解析:f (x )=2tan x +1-2sin 2x212sin x =2tan x +2cos x sin x =2sin x cos x =4sin 2x∴f 12π⎛⎫⎪⎝⎭=4sinπ6=8 10.在△ABC 中,若cos 2B +3cos(A +C )+2=0,则sin B 的值是 ( ) A .12B .22C .32D .1答案:C解析:由cos 2B +3cos(A +C )+2=0化简变形,得2cos 2B -3cos B +1=0,∴cos B =12或cos B =1(舍).∴sin B =32二、填空题 1.如图,图中的实线是由三段圆弧连接而成的一条封闭曲线C ,各段弧所在的圆经过同一点P (点P 不在C 上)且半径相等.设第i 段弧所对的圆心角为αi (i =1,2,3),则cos α13cos α2+α33- sinα13·sin α2+α33=________ 答案:-122.设sin α=352παπ⎛⎫<< ⎪⎝⎭,tan(π-β)=12,则tan(α-β)=________答案:-2113.已知tan α、tan β是方程x 2+33x +4=0的两根,且α、β∈,22ππ⎛⎫- ⎪⎝⎭,则tan(α+β)=__________,α+β的值为________. 答案:3 -23π4.已知α为第二象限的角,且sin α=35,则tan 2α=________.答案:-247解析:因为α为第二象限的角,又sin α=35,所以cos α=-45,tan α=sin αcos α=-34,所以tan 2α=2tan α1-tan 2α=-247. 5.函数y =2cos 2x +sin 2x 的最小值是________. 答案:1- 2解析:∵y =2cos 2x +sin 2x =sin 2x +1+cos 2x=sin 2x +cos 2x +1=2sin 24x π⎛⎫+⎪⎝⎭+1, ∴当sin(2x +π4)=-1时,函数取得最小值1- 26.若cos 2sin 4απα⎛⎫- ⎪⎝⎭=-22,则cos α+sin α的值为________.答案:12解析:∵cos 2sin 4απα⎛⎫- ⎪⎝⎭=cos 2α-sin 2α22α-cos α=-2(sin α+cos α)=-22,∴cos α+sin α=12.三、解答题 1.(1)已知α∈0,2π⎛⎫⎪⎝⎭,β∈,2ππ⎛⎫⎪⎝⎭且sin(α+β)=3365,cos β=-513.求sin α; (2)已知α,β∈(0,π),且tan(α-β)=12,tan β=-17,求2α-β的值.解:(1)∵β∈,2ππ⎛⎫⎪⎝⎭,cos β=-513,∴sin β=1213又∵0<α<π2,π2<β<π,∴π2<α+β<3π2,又sin(α+β)=3365,∴cos(α+β)=-1-sin 2α+β=233165⎛⎫-- ⎪⎝⎭=-5665 ∴sin α=sin[(α+β)-β]=sin(α+β)cos β-cos(α+β)sin β =33556123651365135⎛⎫⎛⎫⋅---⋅= ⎪ ⎪⎝⎭⎝⎭ (2)∵tan α=tan[(α-β)+β]=α-β+tan β1-α-ββ=12-171+12×17=13∴tan(2α-β)=tan[α+(α-β)]=tan α+α-β1-tan αα-β=13+121-13×12=1∵α,β∈(0,π),tan α=13<1,tan β=-17<0,∴0<α<π4,π2<β<π,∴-π<2α-β<0,∴2α-β=-3π42.(1)①证明两角和的余弦公式C (α+β):cos(α+β)=cos αcos β-sin αsin β; ②由C (α+β)推导两角和的正弦公式S (α+β):sin(α+β)=sin αcos β+cos αsin β. (2)已知△ABC 的面积S =12,AB →·AC →=3,且cos B =35,求cos C解:(1)①证明:如上图,在直角坐标系xOy 内作单位圆O ,并作出角α、β与-β,使角α的始边为Ox ,交⊙O 于点P 1,终边交⊙O 于点P 2;角β的始边为OP 2,终边交⊙O 于点P 3;角-β的始边为OP 1,终边交⊙O 于点P 4.则P 1(1,0),P 2(cos α,sin α),P 3(cos(α+β),sin(α+β)),P 4(cos(-β),sin(-β)), 由|P 1P 3|=|P 2P 4|及两点间的距离公式,得[cos(α+β)-1]2+sin 2(α+β)=[cos(-β)-cos α]2+[sin(-β)-sin α]2, 展开并整理得:2-2cos(α+β)=2-2(cos αcos β-sin αsin β), ∴cos(α+β)=cos αcos β-sin αsin β ②解 由①易得,cos 2πα⎛⎫- ⎪⎝⎭=sin α, sin 2πα⎛⎫-⎪⎝⎭=cos α. sin(α+β)=cos ()2παβ⎡⎤-+⎢⎥⎣⎦=cos ()2παβ⎡⎤⎛⎫-+- ⎪⎢⎥⎝⎭⎣⎦=cos 2πα⎛⎫-⎪⎝⎭cos(-β)-sin 2πα⎛⎫- ⎪⎝⎭sin(-β) =sin αcos β+cos αsin β. ∴sin(α+β)=sin αcos β+cos αsin β(2)解:由题意,设△ABC 的角B 、C 的对边分别为b 、c . 则S =12bc sin A =12,AB →·AC →=bc cos A =3>0,∴A ∈0,2π⎛⎫⎪⎝⎭,cos A =3sin A ,又sin 2A +cos 2A =1, ∴sin A =1010,cos A =31010, 由cos B =35,得sin B =45,∴cos(A +B )=cos A cos B -sin A sin B =1010.故cos C =cos[π-(A +B )]=-cos(A +B )=-10103.设函数f (x )=a·b ,其中向量a =(2cos x,1),b =(cos x ,3sin 2x ),x ∈R .(1)若函数f (x )=1-3,且x ∈,33ππ⎡⎤-⎢⎥⎣⎦,求x ; (2)求函数y =f (x )的单调增区间,并在给出的坐标系中画出y =f (x )在区间[0,π]上的图象.解:(1)依题设得f (x )=2cos 2x +3sin 2x =1+cos 2x +3sin 2x =2sin 26x π⎛⎫+⎪⎝⎭+1. 由2sin 26x π⎛⎫+ ⎪⎝⎭+1=1-3, 得sin 26x π⎛⎫+⎪⎝⎭=-32∵-π3≤x ≤π3,∴-π2≤2x +π6≤5π6.∴2x +π6=-π3,即x =-π4(2)-π2+2k π≤2x +π6≤π2+2k π (k ∈Z ),即36k x k ππππ-+≤≤+ (k ∈Z ),得函数单调增区间为,36k k ππππ⎡⎤-++⎢⎥⎣⎦(k ∈Z ). 列表:x 0 π6 π3 π2 2π3 5π6 π y232-12描点连线,得函数图象如图所示:4.设函数f (x )=3sin x cos x -cos x sin 2x π⎛⎫+ ⎪⎝⎭-12. (1)求f (x )的最小正周期; (2)当x ∈0,2π⎡⎤⎢⎥⎣⎦时,求函数f (x )的最大值和最小值. 解:f (x )=3sin x cos x -cos x sin 2x π⎛⎫+⎪⎝⎭-12 =32sin 2x -12cos 2x -1 =sin 26x π⎛⎫-⎪⎝⎭-1 (1)T =2π2=π,故f (x )的最小正周期为π(2)因为0≤x ≤π2,所以-π6≤2x -π6≤5π6.所以当2x -π6=π2,即x =π3时,f (x )有最大值0,当2x -π6=-π6,即x =0时,f (x )有最小值-32.6.已知函数f (x )=2cos 2x +sin 2x -4cos x . (1)求f (π3)的值;(2)求f (x )的最大值和最小值.解:(1)f (π3)=2cos 2π3+sin 2π3-4cos π3=-1+34-2=-94(2)f (x )=2(2cos 2x -1)+(1-cos 2x )-4cos x =3cos 2x -4cos x -1 =3(cos x -23)2-73,x ∈R因为cos x ∈[-1,1],所以,当cos x =-1时,f (x )取得最大值6; 当cos x =23时,f (x )取得最小值-73.。
个性化教学辅导教案
姓名
年级 高二 性别
教学课题
教学 目标
掌握记忆公式的的方法,技巧,会熟练运用公式。
重点 难点
教学重点:掌握公式的特征,准确记忆公式。
教学难点:公式的符号特征,名称变化。
课前检查 作业完成情况:优□ 良□ 中□ 差□ 建议__________________________________________
课 堂 教 学 过 程
三角函数公式
三角函数的符号
α Ⅰ Ⅱ Ⅲ Ⅳ sin α
cos α
tan α
特殊角的三角函数值
α 0 30
45
60
90
180
270
sin α
cos α
tan α
两个周期内三角函数的图象(标出特殊角及其三角函数值)
sin y x =
最值正周期: ;最大值: ;最小值: ;对称轴: ;
对称中心: ;增区间: ;减区间: ;
cos y x =
最值正周期: ;最大值: ;最小值: ;对称轴: ;
对称中心: ;增区间: ;减区间: ; 同角三角函数的基本关系
sin tan cos α
αα=
22sin cos 1αα+= 1sec cos αα=
1
csc sin αα= 221tan sec αα+=
两角和与差的三角函数
sin()sin cos cos sin αβαβαβ+=+ sin()sin cos cos sin αβαβαβ-=- cos()cos cos sin sin αβαβαβ+=- cos()cos cos sin sin αβαβαβ-=+ tan tan tan()1tan tan αβαβαβ++=
- tan tan tan()1tan tan αβ
αβαβ
--=+
二倍角公式
sin 22sin cos ααα= 22cos 2cos sin ααα=-22cos 1α=-212sin α=-
2
2tan tan 21tan α
αα
=
- 降幂公式
1sin cos sin 22ααα= 21cos 2cos 2αα+= 21cos 2sin 2
α
α-=
诱导公式 公式一:
sin(2)sin k παα+= cos(2)cos k παα+= tan(2)tan k παα+=
公式二:
sin()sin παα+=- cos()cos παα+=- tan()tan παα+=
公式三:
sin()sin αα-=- cos()cos αα-= tan()tan αα-=-
公式四:
sin()sin παα-= cos()cos παα-=- tan()tan παα-=-
公式五:
sin()cos 2παα-= cos()sin 2
π
αα-=
公式六:
sin()cos 2παα+= cos()sin 2
π
αα+=- 辅助角公式
22sin cos sin()224πααα+=+ 22sin cos sin()224πααα-=- 22cos sin sin()224
πααα-=-- 31sin cos sin()226πααα+=+ 31sin cos sin()226πααα-=- 31cos sin sin()223πααα+=+ 31cos sin sin()223
πααα-=-- sin cos 2sin()4π
ααα+=+
sin cos 2sin()4π
ααα-=-
cos sin 2sin()4
π
ααα-=--
3sin cos 2sin()6πααα+=+
3sin cos 2sin()6π
ααα-=-
3cos sin 2sin()3
π
ααα+=+
3cos sin 2sin()3
π
ααα-=--
课堂检测听课及知识掌握情况反馈_________________________________________________________。
测试题(累计不超过20分钟)_______道;成绩_______;教学需:加快□;保持□;放慢□;增加内容□
课后巩固
签字教学组长签字:学习管理师:
老师课后赏识评价老师最欣赏的地方:老师想知道的事情:老师的建议:。