模拟通信中调频系统的抗噪声性能分析资料
- 格式:doc
- 大小:381.18 KB
- 文档页数:16
模拟通信中调频系统的抗噪声性能分析作者:指导老师:摘要:在通信系统中调制扮演着不可或缺的作用,通过调制可以把基带信号频率搬移到合适的频率上,从而达到提高发射效率的作用,也可以通过调制把多个基带信号分别搬移到不同的载频处,提高信道利用率。
还有扩展信号带宽提高抗干扰能力等。
本文主要通过对模拟通信中正弦波的频率调制(即频率调制FM)过程进行分析,并通过计算在大信噪比下的解调器制度增益然后与调幅系统的作比较来分析调频系统的抗噪声性能(因为相干解调只适用于窄带调频所以暂不分析)。
还有小信噪比下的门限效应以及通过预加重和去加重技术来提高调频系统的抗噪声性能。
最后运用MATLAB软件对模拟通信中调频系统进行仿真设计,并分析和总结仿真结果。
关键字:模拟通信;调频系统; 解调器;门限效应;制度增益;仿真设计。
引言进入21世纪以来,随着国民经济的飞速提升,中国通信行业也得到了快速发展,对通信的技术要求也逐渐提高。
从模拟通信到数字通信,从无线电广播到卫星,光纤通信等等。
而频率调制在通信发展的进程上都占据着重要的作用,比如FM广泛应用于高保真音乐广播,电视伴音信号的传输,卫星通信和蜂窝系统。
频率调制(FM)在电子音乐合成技术中,是最有效的合成技术之一,还有有线频率在多领域应用。
研究模拟通信中调频系统的抗噪声性能能够从理论上认识调频系统的噪声来源和如何改善系统的抗噪声性能。
第一章:调频系统的简介1.1 模拟通信和调频系统的概述在实际的通信中,由于通信业务的多样性,消息的来源也是多种多样的,但基本可以分为两大类:连续的和离散的。
连续的消息如话音,声波振动的幅度也是随时间连续变化的。
若把它转换为随时间连续变化的电压信号,信号幅度也是时间连续函数。
这样的信号称作模拟信号,传输模拟信号的通信就称作模拟通信。
调频定义:幅度不变,载波信号的频率随调试信号幅度变化位变化的调制方式叫着调频。
就是载频的频率不是一个常数,是随调制信号而在一定围变化,其幅值则是一个常数。
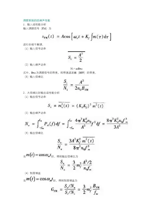
调频系统的抗噪声性能1.输入端性能分析输入调频信号(FM)为进行非相干解调。
(1)输入信号功率(2)输入噪声功率N i=n0B FM式中,B FM为调频信号的带宽,即带通滤波器(BPF)的带宽。
(3)输入信噪比2.大信噪比时输出端性能分析(1)输出信号功率(2)输出噪声功率(3)输出信噪比当时,得到输出信噪比为(4)制度增益当时,得到制度增益为在宽带调频时,制度增益为当m f>>1时,制度增益近似为则加大调制指数m f时,可使调频系统的抗噪声性能迅速改善。
(5)调频系统与调幅系统的比较①输出信噪比在大信噪比情况下,调频系统与调幅系统的输出信噪比关系为若系统接收端的输入A和n0相同,则宽带调频系统解调器的输出信噪比是调幅系统的倍。
调频方式是以带宽换取信噪比的。
②带宽WBFM信号的传输带宽B FM与AM信号的传输带宽B AM之间的一般关系为当m f>>1时,上式近似为B FM≈m f B AM3.小信噪比时的门限效应(1)门限效应的定义门限效应是当S i/N i低于一定数值时,解调器的输出信噪比S o/N o急剧恶化的现象。
(2)门限效应的参量门限值:出现门限效应时所对应的输入信噪比值,记为(S i/N i)b。
(3)门限效应的原理①原理图调频解调器的输出信噪比与输入信噪比的关系曲线如图5-25所示。
图5-25 输出信噪比与输入信噪比的关系曲线②图形分析a.门限值与调制指数m f有关,m f越大,门限值越高。
b.在门限值以上时,(S o/N o)FM与(S i/N i)FM呈线性关系,m f越大,输出信噪比的改善越明显。
c.在门限值以下时,(S o/N o)FM随(S i/N i)FM的下降而急剧下降,m f越大,输出信噪比下降越快。
4.预加重和去加重(1)加重的原因针对鉴频器输出噪声呈抛物线形状的特点,采用加重技术来改善调频解调器的输出信噪比。
(2)加重的设计思想预加重和去加重的设计思想是保持输出信号不变,有效降低输出噪声,以达到提高输出信噪比的目的。
第四章模拟调制4.1学习指导4.1.1要点模拟调制的要点主要包括幅度调制、频率调制和相位调制的工作原理。
1.幅度调制幅度调制是用调制信号去控制载波信号的幅度,使之随调制信号作线性变化的过程。
在时域上,已调信号的振幅随基带信号的规律成正比变化;在频谱结构上,它的频谱是基带信号频谱在频域内的简单平移。
由于这种平移是线性的,因此,振幅调制通常又被称为线性调制。
但是,这里的“线性”并不是已调信号与调制信号之间符合线性变换关系。
事实上,任何调制过程都是一种非线性的变换过程。
幅度调制包括标准调幅(简称调幅)、双边带调幅、单边带调幅和残留边带调幅。
如果调制信号m(t)的直流分量为0,则将其与一个直流量A0相叠加后,再与载波信号相乘,就得到了调幅信号,其时域表达式为stAmttAtmttAM()0()cosc0cosc()cosc(4-1)如果调制信号m(t)的频谱为M(ω),则调幅信号的频谱为1S()πA()()M()M()(4-2)AM0cccc2调幅信号的频谱包括载波份量和上下两个边带。
上边带的频谱结构与原调制信号的频谱结构相同,下边带是上边带的镜像。
由波形可以看出,当满足条件|m(t)|A0(4-3)时,其包络与调制信号波形相同,因此可以用包络检波法很容易恢复出原始调制信号。
否则,出现“过调幅”现象。
这时用包络检波将发生失真,可以采用其他的解调方法,如同步检波。
调幅信号的一个重要参数是调幅度m,其定义为m A m(t)Am(t)0max0minAm(t)Am(t)0max0min(4-4)AM信号带宽B AM是基带信号最高频率分量f H的两倍。
AM信号可以采用相干解调方法实现解调。
当调幅度不大于1时,也可以采用非相干解调方法,即包络检波,实现解调。
双边带信号的时域表达式为stmttDSB()()cosc(4-5)其中,调制信号m(t)中没有直流分量。
如果调制信号m(t)的频谱为M(ω),双边带信号的频谱为1S()M()M()(4-6)DSBcc2与AM信号相比,双边带信号中不含载波分量,全部功率都用于传输用用信号,调制效率达到100%。
2ASK 系统的抗噪声性能分析作者:XX 指导老师:XXX摘要:2ASK 是利用载波的幅度变化来传递数字信息的,而其频率和初始相位保持不变。
在2ASK 中,载波的幅度只有两种变化状态,分别对应二进制信息“0”或“1”。
有载波输出时表示发送“1”,无载波输出时表示发送“0”。
2ASK 信号解调的常用方法主要有包络检波法和相干检测法。
虽然2ASK 信号中确实存在着载波分量,原则上可以通过窄带滤波器或锁相环来提取同步载波,但这会给接收设备增加复杂性。
因此,实际中很少采用相干解调法来解调2ASK 信号。
但是,包络检波法存在门限效应,相干检测法无门限效应。
所以,一般而言,对2ASK 系统,大信噪比条件下使用包络检测,即非相干解调,而小信噪比条件下使用相干解调。
关键字:2ASK,数字调制,system view1 引言 通信就是克服距离上的障碍, 从一地向另一地传递和交换消息。
消息有模拟消息 (如 语音、图像等)以及数字消息(如数据、文字等)之分。
所有消息必须在转换成电信号 (通常简称为信号)后才能在通信系统中传输。
相应的信号可分为模拟信号和数字信号, 模拟信号的自变量可以是连续的或离散的;但幅度是连续的,如电话机、电视摄像机输 出的信号就是模拟信号。
数字信号的自变量可以是连续的或离散的,但幅度是离散的, 如电船传机、计算机等各种数字终端设备输出的信号就是数字信号。
通信系统可分为数字通信系统和模拟通信系统。
数字通信系统是利用数字信号来传 递消息的通信系统。
数字通信系统较模拟通信系统而言, 具有抗干扰能力强、 便于加密、 易于实现集成化、便于与计算机连接等优点。
因而,数字通信更能适应对通信技术的越 来越高的要求。
近二十年来,数字通信发展十分迅速,在整个通信领域中所占比重日益 增长,在大多数通信系统中已代替模拟通信,成为当代通信系统的主流。
本文主要分析2ASK 数字通信的工作原理,并给出同步检测法和包络检波法的分析模型及系统性能分析。
4.5 调频系统的抗噪性能分析一、概 述调频信号的解调大多采用鉴频器方法。
F M 接收机:n (t )~均值为零,单边功率谱密度为n 0的高斯白噪声 n i (t )~ 经带通后,变成带限高斯噪声 带通滤波器带宽B 应保证调频信号通过, 窄带调频时,B ≈2f Ω宽调频时,B ≈2(m f +1)f Ω,可达n 十~n 百KH Z 带宽限幅器输入()()t n t s i FM +的合成波,其幅度相位均受到噪声影响,通过限幅器后,可消除幅度影响,因此只考虑噪声对相位影响。
鉴频器微分器输出为调频调幅波,包络检出后,通过低通滤波器取出调制信号()t m 0。
由于噪声对相位有影响,又经鉴频器的非线性作用,计算机分析很复杂。
因此也和AM 信号分析一样,考虑两种极端情况,即大信号噪比,和小信噪情况。
使分析简化,以便得到一些有用的结论。
也和调幅一样主要讨论输入,输出信噪比和调制增益。
二、抗噪性能分析(大信噪比情况下)⑴ 解调器输入信号功率i S 和输入噪声功率i N()()[]⎰+ω=dt t m K t A t s F c FM cos 注释:()12212+α=αcos cos()()()[]Ω+=====f m n B n t n N At S S f i i FMi 122100222比较大。
所以输入噪声功率>一定时,当i AM FM N B B n ,0s ()t ()tBn A B n A N S i i 0202221==/ ⑵ 输出信号功率0S 和输出噪声功率0N调频信号的产生和解调都是非线性作用,计算信号功率时要考虑噪声的影响,计算噪声时要考虑信号的影响。
大噪声比情况下,信号和噪声相互影响可以忽略不计,即计算输出信号时,可假设信号为零。
鉴频器输出信号:()()t m K K t m f d d = 故鉴频器输出信号平均功率:()()()t m K K t m s F d d d 222==其次,假设调制信号()0=t m ,来计算输出噪声功率0N ()0=t m()[]t t n t n t Ac ω-ω+ω∴sin cos cos 高斯噪声之和:输入的未调载波与窄带化成极坐标形式:()[]()()()[]t t t R t t n t t n A c c s c c ϕ+ω=ω-ω+cos sin cos()()[]()()()()t n A t n t t n t n A t R c s s c +=ψ++=arctan2我们只对相位感兴趣。
模拟通信中调频系统的抗噪声性能分析作者姓名:指导老师:摘要:在通信系统中调制扮演着不可或缺的作用,通过调制可以把基带信号频率搬移到合适的频率上,从而达到提高发射效率的作用,也可以通过调制把多个基带信号分别搬移到不同的载频处,提高信道利用率。
还有扩展信号带宽提高抗干扰能力等。
本文主要通过对模拟通信中正弦波的频率调制(即频率调制FM)过程进行分析,并通过计算在大信噪比下的解调器制度增益然后与调幅系统的作比较来分析调频系统的抗噪声性能(因为相干解调只适用于窄带调频所以暂不分析)。
还有小信噪比下的门限效应以及通过预加重和去加重技术来提高调频系统的抗噪声性能。
最后运用MATLAB软件对模拟通信中调频系统进行仿真设计,并分析和总结仿真结果。
关键字:模拟通信;调频系统; 解调器;门限效应;制度增益;仿真设计。
引言进入21世纪以来,随着国民经济的飞速提升,中国通信行业也得到了快速发展,对通信的技术要求也逐渐提高。
从模拟通信到数字通信,从无线电广播到卫星,光纤通信等等。
而频率调制在通信发展的进程上都占据着重要的作用,比如FM广泛应用于高保真音乐广播,电视伴音信号的传输,卫星通信和蜂窝电话系统。
频率调制(FM)在电子音乐合成技术中,是最有效的合成技术之一,还有有线频率在多领域应用。
研究模拟通信中调频系统的抗噪声性能能够从理论上认识调频系统的噪声来源和如何改善系统的抗噪声性能。
第一章:调频系统的简介1.1 模拟通信和调频系统的概述在实际的通信中,由于通信业务的多样性,消息的来源也是多种多样的,但基本可以分为两大类:连续的和离散的。
连续的消息如话音,声波振动的幅度也是随时间连续变化的。
若把它转换为随时间连续变化的电压信号,信号幅度也是时间连续函数。
这样的信号称作模拟信号,传输模拟信号的通信就称作模拟通信。
调频定义:幅度不变,载波信号的频率随调试信号幅度变化位变化的调制方式叫着调频。
就是载频的频率不是一个常数,是随调制信号而在一定范围内变化,其幅值则是一个常数。
与其对应的,调幅就是载频的频率是不变的,其幅值随调制信号而变。
已调波频率变化的大小由调制信号的大小决定,变化的周期由调制信号的频率决定。
已调波的振幅保持不变。
调频波的波形,就像是个被压缩得不均匀的弹簧,调频波用英文字母FM表示。
一般干扰信号总是叠加在信号上,改变其幅值。
所以调频波虽然受到干扰后幅度上也会有变化,但在接收端可以用限幅器将信号幅度上的变化削去,所以调频波的抗干扰性极好,用收音机接收调频广播,基本上听不到杂音。
其次频率调制又称作非线性调制,因为已调信号频谱不再是原调制信号的线性搬移,而是频谱的非线性变换,会产生与频谱搬移不同的新的频率成分。
故又称作非线性调制。
与幅度调制相比,频率调制最突出的优势是其较高的抗噪声性能,但是付出了更宽的带宽代价。
1.2调频技术的发展历史上世纪初,美国科学界出现了一股发明热,继爱迪生发明了电灯和留声机、福雷斯特发明了三极管、贝尔发明了电话之后,阿姆斯特朗也加入了伟大的发明行列。
他一口气发明了负反馈、再生、超再生、超外差电路,奠定了现代无线电接收机的基础。
1933年他又发明了宽带调频,并建造起50千瓦的私人试验电台。
1935年4月,他在纽约帝国大厦同时发射调频信号和调幅信号,在新泽西州哈顿菲尔德自己的实验室里作接收对比。
结果表明,调幅信号已被噪声淹没,而调频信号却仍然十分清晰。
美国对调频技术非常重视。
1941年元旦,25家调频电台在美国各地同时开业,开创了世界上最早的调频广播。
1958年,美国工程师赖纳德·康研制出立体声广播系统,1960年,蒙特利尔广播站首次应用赖纳德·康的系统进行立体声FM 广播。
60年代中期调频立体声得到飞速的发展。
从70年代后期开始,有些国家开始研究四声道全景环绕声广播,但由于接收条件要求苛刻,昙花一现宣告失败。
我国的调频广播是1959年元旦在北京开始试播的,频段是64.5~73MHz ,我国的调频立体声广播是1979年在哈尔滨开始的,80年代中期调频广播在全国普及。
从此,中国人迎来了不受天电噪声干扰,且具有高保真度的无线电广播新时代。
在调幅长波、中波、短波、短波单边带、调频这些模拟广播制式中,调频是唯一能提供高传真广播的媒介,广播内容以音乐为主,被誉为欢乐调频。
调频不但给我们的生活带来快乐,在广播文化、技术探秘、音质评价、器材收藏方面也充满魅力。
1.3 频率调制的应用领域历史上首先注意这种现象的是17世纪的惠更斯,偶然因素使他发现家中挂同一木板墙壁上的两个挂钟因为相互影响而同步的现象,在现在的电子示波器中,人们利用这一原理将波形锁定在屏幕上。
频率调制是一种以载波的瞬时频率变化来表示信息的调制方式,通过利用载波的不同频率来表达不同的信息。
现代先进雷达已经能通过这种技术来减少杂波,抑或通过将一个集中的雷达脉冲波束散射,达到不被发现的功能,成为低截获概率技术(电子侦察系统会查找狭小波段范围内的电磁波,如果不这样,将会被无穷的背景电磁辐射扰乱)另外频率调制(FM )在电子音乐合成技术中,是最有效的合成技术之一,它最早由美国斯坦福大学约翰.卓宁(JohnChowning )博士提出。
20世纪60年代,卓宁在斯坦福大学开始尝试使用不同类型的颤音,他发现当调制信号的频率增加并超过某个点的时候,颤音效果就在调制过的声音里消失了,取而代之的是一个新的更复杂的声音。
卓宁当时只是在完成无线电广播发射中最常用的调频技术(也就是FM 广播)。
但卓宁的偶然发现,却使这种传统的调频技术在声音合成方面有了新的用武之地。
当卓宁领悟了FM 调制的基本原理后,他立即开始着手研究FM 理论合成技术,并在1966年成为使用FM 技术制作音乐的第一人。
第二章:调频信号的调制与解调2.1 调频信号的概念角度调制信号的一般表达式为)]([Acos t S m t t c ϕω+=)((2.1.1)频率调制(FM ),就是指瞬时频率偏移随调制信号m (t )成比例变化,也就是)(t m )(t S FM )(t m )()(t m dt t d f κϕ= (2.1.2)式中:Kf 为调频灵敏度(rad/(s·V))。
所以相位偏移为:ττκϕd m f ⎰=)(t )( (2.1.3) 因此调频信号为:])(cos[ττωd m K t A S f c FM ⎰+= (2.1.4) 由此可见FM 是相位偏移m (t )的积分呈线性变化,一般情况研究模拟通信中调频系统的模型都是单音调制FM ,因为这可以简化公式且不影响变化结果。
设调制信号是单一频率的正弦波:t f A t m m m πω2cos cos A t m m ==)( (2.1.5) 当对它载波进行频率调制时可得FM 信号:]sin m t [A ]cos [Acos t S FM t COS d A k t m f C m m f c ωωττωω+=⎰+=)( (2.1.6)下面也简单介绍下相位调制,因为相位和频率之间存在积分与微分的关系。
相位调制是指瞬时相位偏移随调制信号m (t )作线性变化, 即:)(m t p t κϕ=)( (2.1.7)因此调相信号可表示为: )](cos[)(S PM t m t A t p c κω+= (2.1.8) 所以从公式可以看出FM 和PM 之间是可以相互转换,FM 可以通过间接调频和直接调频方式获得。
如图2-1所示:直接调频 间接调频图 2-1 调频信号的产生方式2.2 窄带调频如果FM 信号的最大信号瞬相位偏移符合:)5.0(6)(或者πττ≤⎰d m k f ( 2.2.1)则FM 信号的频谱宽度比较窄,所以被称作窄带调频(NBFM )。
从2.1.4式可知FM 信号的一般表达式: FM 调制器积分器 PM调制器 )(t S FM])(sin[sin ])(cos[cos ])(cos[ττωττωττω⎰-⎰=⎰+=d m k t A d m k t A d m k t A S f c f c f c FM(2.2.2)当满足条件时有: 1])(cos[≈⎰ττd m k f (2.2.3)⎰≈⎰ττττd m k d m k f f )(])(sin[ (2.2.4)所以窄带调频信号可以简写为: t d m AK t A S c f c NBFM ωττωsin ])([cos ⎰-≈ (2.2.5) 利用傅里叶变换公式可以得到NBFM 的频域表达式为: ])()([2)]()([)(cc c c f c c NBFM M M AK A S ωωωωωωωωωωδωωδπω++---+-++= (2.2.6)所以下面以单音调制为例,设调制信号为:t A t m m ωcos )(m = (2.2.7) 则NBFM 信号表达式为:])cos()[cos(2cos sin sin 1cos sin ])([t cos c t t K AA t A t t K AA t A td m AK A S m c m c mf m c c m m f m c c f NBFM ωωωωωωωωωωωττω--++=-=⎰-≈(2.2.8) 2.3宽带调频当不满足公式: )5.0(6)(或者πττ≤⎰d m k f (2.3.1) 调频信号时域表达式不能简化,所以给宽带调频的频谱分析带来了困难。
为了是问题简化我们一般只研究单音调制的情况,然后把结果推广到多音制的情况。
由式(2.2.7)可推出单音制FM 信号的时域表达式为:]sin cos[)(t m t A t S m f c FM ωω+= (2.3.2) 利用三角公式展开和上式可得:)sin sin(sin )sin cos(cos t m t A t m t A S m f c m f c FM ∙-=ωωω (2.3.3)再把上式中两个因子分别展开成如下傅里叶级数:tn m J t m tn m J m J t m m n f n m f m n f n f m f ωωωω∑∑∞=-∞=-=+=112120)12sin()(2)sin sin(2cos )(2)()sin cos( (2.3.4)再利用三角公式和贝塞尔函数性质并通过傅里叶变换可以得到FM 频域表达式:]])[()++(+)--(=∑∞∞-m c m c f n FM n n m J A S ωωωδωωωδπ (2.3.5)由此可见,FM 信号的频谱由载波分量ωc 和无数多对边频ωc ±n ωm 组成,其带宽在理论上趋于无穷大,但实际上,边频幅度Jn(mf)将随n 的增大而逐渐减小,工程上通常保留的上,下边频分量共有2n=2(mf+1)个,又由于相似边频之间的频率间隔为fm ,所以FM 信号的带宽近似为:)(2)1(2m m f FM f f f m B +∆=+= (2.3.6)所以可以得出以下结论:mf<<1时,BFM ≈2fm 这是窄带调频的情况,其中fm 是调制频率mf>>1时,BFM ≈2Δf 这是宽带调频的情况,其中Δf=mf ·fm 为调频波的最大频偏。