材料热力学2014试卷及答案
- 格式:doc
- 大小:1.26 MB
- 文档页数:6
2010年---2014年全国卷热学题目汇聚1、(2010全国)(1)关于晶体和非晶体,下列说法正确的是_________(填入正确选项前的字母)A.金刚石、食盐、玻璃和水晶都是晶体B.晶体的分子(或原子、离子)排列是有规则的C.单晶体和多晶体有固定的熔点,非晶体没有固定的熔点D.单晶体和多晶体的物理性质是各向异性的,非晶体是各向同性的(2)如图所示,一开口气缸内盛有密度为ρ的某种液体;一长为l的粗细均匀的小平底朝上漂浮在液体中,平衡时小瓶露出液面的部分和进入小瓶中液柱的长度均为.现用活塞将气缸封闭(图中未画出),使活塞缓慢向下运动,各部分气体的温度均保持不变.当小瓶的底部恰好与液面相平时,进入小瓶中的液柱长度为,求此时气缸内气体的压强.大气压强为ρ0,重力加速度为g.2、(2011全)【物理——选修3-3】(15分)(1)(6分)对于一定量的理想气体,下列说法正确的是______。
(选对一个给3分,选对两个给4分,选对3个给6分。
每选错一个扣3分,最低得分为0分)A 若气体的压强和体积都不变,其内能也一定不变B 若气体的内能不变,其状态也一定不变C 若气体的温度随时间不段升高,其压强也一定不断增大D 气体温度每升高1K所吸收的热量与气体经历的过程有关E当气体温度升高时,气体的内能一定增大(2)(9分)如图,一上端开口,下端封闭的细长玻璃管,下部有长l1=66cm的水银柱,中间封有长l2=6.6cm的空气柱,上部有长l3=44cm的水银柱,此时水银面恰好与管口平齐。
已知大气压强为P o=76cmHg。
如果使玻璃管绕低端在竖直平面内缓慢地转动一周,求在开口向下和转回到原来位置时管中空气柱的长度。
封入的气体可视为理想气体,在转动过程中没有发生漏气。
3.[2012全国1](15分)(1)(6分)关于热力学定律,下列说法正确的是________(填入正确选项前的字母,选对1个给3分,选对2个给4分,选对3个给6分,每选错1个扣3分,最低得分为0分)。
1、由5个粒子所组成的体系,其能级分别为0、ε、2ε及3ε,体系的总能量为3ε。
试分析5个粒子可能出现的分布方式;求出各种分布方式的微观状态数及总微观状态数。
2、有6个可别粒子,分布在4个不同的能级上(ε、2ε、3ε及4ε),总能量为10ε,各能级的简并度分别为2、2、2、1,计算各类分布的Ωj 及Ω总。
3、振动频率为ν的双原子分子的简谐振动服从量子化的能级规律。
有N 个分子组成玻耳兹曼分布的体系。
求在温度T 时,最低能级上分子数的计算式。
4、气体N 2的转动惯量I =1.394⨯10-46kg ⋅m 2,计算300K 时的Z J 。
5、已知NO 分子的Θυ=2696K ,试求300K 时的Z υ。
~J υ7、计算300K 时,1molHI 振动时对内能和熵的贡献。
8、在298K 及101.3kPa 条件下,1molN 2的Z t 等于多少?9、在300K 时,计算CO 按转动能级的分布,并画出分子在转动能级间的分布曲线。
10、计算H 2及CO 在1000K 时按振动能级的分布,并画出分子在振动能间的分布曲线;再求出分子占基态振动能级的几率。
11、已知HCl 在基态时的平均核间距为1.264⨯10-10m ,振动波数ν~=2990m -1。
计算298K 时的Θm S 。
12、证明1mol 理想气体在101.3kPa 压力下Z t =bLM 3/2(T /K )5/2 (b 为常数)13、计算1molO 2在25︒C 及101.3kPa 条件下的Θm G 、Θm S 及Θm H 。
设Θ0U 等于零。
14、已知300K 时金刚石的定容摩尔热容C V ,m =5.65J ⋅mol -1⋅K -1,求ΘE 及ν。
15.已知300K 时硼的定容摩尔热容C V ,m =10.46J ⋅mol -1⋅K -1,求(1) ΘD ;(2) 温度分别为30K 、50K 、100K 、700K 、1000K 时的C V ,m 值;(3) 作C V ,m 值− T 图形。
H 单元 热学分子动理论10.【选修3-3】(2)(6分)题10图为一种减震垫,上面布满了圆柱状薄膜气泡,每个气泡内充满体积为V 0、压强为p 0的气体,当平板状物品平放在气泡上时,气泡被压缩,若气泡内气体可视为理想气体,其温度保持不变,当体积压缩到V 时气泡与物品接触面的面积为S ,求此时每个气泡内气体对接触面处薄膜的压力.题10图10.[答案] (2)V 0Vp 0S 本题第一问考查分子动理论、内能的相关知识,第二问考查理想气体状态方程和受力分析.[解析] (2)设压力为F ,压缩后每个气泡内的气体压强为p .由p 0V 0=pV 和F =pS得F =V 0Vp 0S 29.[2014·福建卷Ⅰ] (1)如图,横坐标v 表示分子速率,纵坐标f (v )表示各等间隔速率区间的分子数占总分子数的百分比.图中曲线能正确表示某一温度下气体分子麦克斯韦速率分布规律的是________.(填选项前的字母)A .曲线①B .曲线②C .曲线③D .曲线④29.[答案] (1)D[解析] (1)速率较大或较小的分子占少数,接近平均速率的分子占多数,分子速率不可能为0,也不可能为无穷大,因此只有曲线④符合要求.13.[2014·北京卷] 下列说法中正确的是( )A .物体温度降低,其分子热运动的平均动能增大B.物体温度升高,其分子热运动的平均动能增大C.物体温度降低,其内能一定增大D.物体温度不变,其内能一定不变13.B 本题考查分子动理论、内能相关知识.温度是分子平均动能的宏观标志.物体温度降低,其分子热运动的平均动能减小,反之,其分子热运动的平均动能增大,A错,B 对;改变内能的两种方式是做功和热传递,由ΔU=W+Q知,温度降低,分子平均动能减小,但是做功情况不确定,故内能不确定,C、D错.1.(2014·云南文登二模)分子动理论较好地解释了物质的宏观热学性质.据此可判断下列说法中正确的是( )A.布朗运动是指液体分子的无规则运动B.分子间的相互作用力随着分子间距离的增大,一定先减小后增大C.一定质量的气体温度不变时,体积减小,压强增大,说明每秒撞击单位面积器壁的分子数增多D.气体从外界吸收热量,气体的内能一定增大1.C [解析] 布朗运动是悬浮颗粒的无规则运动,选项A错误;分子间的相互作用力随着分子间距离的增大,一定先减小后增大再减小,选项B错误;一定质量的气体温度不变时,单个分子撞击器壁的平均作用力一定,体积减小,单位体积分子的个数增多,每秒撞击单位面积器壁的分子数增多,选项C正确;气体从外界吸收热量,做功情况不明,气体的内能变化无法确定,选项D错误.3.(2014·北京朝阳区模拟)给一定质量的温度为0 ℃的水加热,在水的温度由0 ℃上升到4 ℃的过程中,水的体积随着温度的升高反而减小,我们称之为“反常膨胀”.某研究小组通过查阅资料知道:水分子之间存在着一种结合力,这种结合力可以形成多分子结构,在这种结构中,水分子之间也存在着相互作用的势能.在水反常膨胀的过程中,体积减小是由于水分子之间的结构发生了变化,但所有水分子间的总势能是增大的.关于这个问题,下列说法中正确的是( )A.水分子的平均动能减小,吸收的热量一部分用于分子间的结合力做正功B.水分子的平均动能减小,吸收的热量一部分用于克服分子间的结合力做功C.水分子的平均动能增大,吸收的热量一部分用于分子间的结合力做正功D.水分子的平均动能增大,吸收的热量一部分用于克服分子间的结合力做功3.D [解析] 温度升高,水分子的平均动能增大,体积减小,分子间的结合力做负功,水分子间的总势能增大,选项D正确.5.(2014·上海嘉定区一模)图X252中能正确地反映分子间的作用力f和分子势能E p随分子间的距离r变化的图像是( )图X2525.B [解析] 分子间的作用力f=0的位置对应分子势能E p最小的位置,能正确反映分子间的作用力f和分子势能E p随分子间的距离r变化的图像是图B.固体、液体、气体的性质33.[物理——选修3-3][2014·新课标全国卷Ⅰ] (1)一定量的理想气体从状态a开始,经历三个过程ab、bc、ca回到原状态.其p-T图像如图所示.下列判断正确的是________.A.过程ab中气体一定吸热B.过程bc中气体既不吸热也不放热C.过程ca中外界对气体所做的功等于气体所放的热D.a、b和c三个状态中,状态a分子的平均动能最小E.b和c两个状态中,容器壁单位面积单位时间内受到气体分子撞击的次数不同33.(1)ADE [解析] 本题考查了气体性质.因为pV T =C ,从图中可以看出,a →b 过程p T 不变,则体积V 不变,因此a →b 过程外力做功W =0,气体温度升高,则ΔU >0,根据热力学第一定律ΔU =Q +W 可知Q >0,即气体吸收热量,A 正确;b →c 过程气体温度不变,ΔU =0,但气体压强减小,由pV T =C 知V 增大,气体对外做功,W <0,由ΔU =Q +W 可知Q >0,即气体吸收热量,B 错误;c →a 过程气体压强不变,温度降低,则ΔU <0,由pV T =C 知V 减小,外界对气做功,W >0,由ΔU =W +Q 可知W <Q ,C 错误;状态a 温度最低,而温度是分子平均动能的标志,D 正确;b →c 过程体积增大了,容器内分子数密度减小,温度不变,分子平均速率不变,因此容器壁单位面积单位时间受到分子撞击的次数减少了,E 正确.17.、[2014·广东卷] 用密封性好、充满气体的塑料袋包裹易碎品,如图10所示,充气袋四周被挤压时,假设袋内气体与外界无热交换,则袋内气体( )A .体积减小,内能增大B .体积减小,压强减小C .对外界做负功,内能增大D .对外界做正功,压强减小17.AC [解析] 充气袋被挤压时,气体体积减小,外界对气体做功,由于袋内气体与外界无热交换,故由热力学第一定律知,气体内能增加,故选项C 正确,选项D 错误;体积减小,内能增加,由理想气体状态方程可知压强变大,故选项A 正确,选项B 错误.16.[2014·全国卷] 对于一定量的稀薄气体,下列说法正确的是( )A .压强变大时,分子热运动必然变得剧烈C.压强变大时,分子间的平均距离必然变小16.BD [解析] 本题考查气体性质.压强变大,温度不一定升高,分子热运动不一定变得剧烈,A错误;压强不变,温度也有可能升高,分子热运动可能变得剧烈,B正确;压强变大,体积不一定减小,分子间的距离不一定变小,C错误;压强变小,体积可能减小,分子间的距离可能变小,D正确.6.(2014·洛阳名校联考)图X253甲是晶体物质微粒在平面上的排列情况,图中三条等长线AB、AC、AD上物质微粒的数目不同,由此得出晶体具有________的性质.如图乙所示,液体表面层分子比较稀疏,分子间的距离大于分子平衡时的距离r0,因此表面层分子间作用力的合力表现为________.甲乙图X2536.各向异性引力[解析] 沿不同方向物质微粒的数目不同,使得晶体具有各向异性.当分子间的距离等于分子间的平衡距离时,分子间的引力等于斥力,合力为0;当分子间的距离大于分子间的平衡距离时,引力和斥力都减小,但斥力减小得快,合力表现为引力.3. (2014·福州质检)如图X261所示,U形气缸固定在水平地面上,用重力不计的活塞封闭着一定质量的气体,已知气缸不漏气,活塞移动过程无摩擦.初始时,外界大气压强为p0,活塞紧压小挡板.现缓慢升高缸内气体的温度,则图X262中能反映气缸内气体的压强p随热力学温度T变化的图像是( )图X261图X2623.B [解析] 缓慢升高缸内气体的温度,当缸内气体的压强p<p0时,气体的体积不变,由查理定律知p =p 1TT 1,故缸内气体的压强p 与热力学温度T 呈线性关系;当气缸内气体的压强p =p 0时发生等压变化.正确的图像为图B.8.(2014·唐山一模)如图X266所示,密闭容器有进气口和出气口可以和外部连通,容器的容积为V 0,将进气口和出气口关闭,此时内部封闭的气体的压强为p 0,将气体缓慢加热,使气体的温度由T 0=300 K 升至T 1=350 K.(1)求此时气体的压强.(2)保持T 1=350 K 不变,缓慢由出气口抽出部分气体,使气体的压强再回到p 0.求容器内剩余气体的质量与原来质量的比值.图X2668. (1)76p 0 (2)67[解析] (1)设升温后气体的压强为p 1,由查理定律得p 0T 0=p 1T 1 代入数据得p 1=76p 0. (2)抽气过程可等效为等温膨胀过程,设膨胀后气体的体积为V ,由玻意耳定律得 p 1V 0=p 0V解得V =76V 0 设剩余气体的质量与原来质量的比值为k ,由题意得k =V 0V解得k =67. 内能 热力学定律10.【选修3-3】(1)(6分)[2014·重庆卷] 重庆出租车常以天然气作为燃料,加气站储气罐中天然气的温度随气温升高的过程中,若储气罐内气体体积及质量均不变,则罐内气体(可视为理想气体)( )A.压强增大,内能减小B.吸收热量,内能增大C.压强减小,分子平均动能增大D.对外做功,分子平均动能减小10.[答案] (1)B37.(12分)【物理-3-3】[2014·山东卷] (1)如图所示,内壁光滑、导热良好的气缸中用活塞封闭有一定质量的理想气体.当环境温度升高时,缸内气体________.(双选,填正确答案标号) a.内能增加b.对外做功c.压强增大d.分子间的引力和斥力都增大37.[答案] (1)ab[解析] (1)根据理想气体状态方程,缸内气体压强不变,温度升高,体积增大,对外做功.理想气体不计分子间的作用力,温度升高,内能增加.选项a、b正确.17.、[2014·广东卷] 用密封性好、充满气体的塑料袋包裹易碎品,如图10所示,充气袋四周被挤压时,假设袋内气体与外界无热交换,则袋内气体( )A.体积减小,内能增大B.体积减小,压强减小C.对外界做负功,内能增大D.对外界做正功,压强减小17.AC [解析]充气袋被挤压时,气体体积减小,外界对气体做功,由于袋内气体与外界无热交换,故由热力学第一定律知,气体内能增加,故选项C 正确,选项D 错误;体积减小,内能增加,由理想气体状态方程可知压强变大,故选项A 正确,选项B 错误.2.(2014·北京顺义测试)如图G102所示,固定在水平面上的气缸内封闭着一定质量的理想气体,气缸壁和活塞绝热性能良好,气缸内气体分子间相互作用的势能忽略不计,则以下说法正确的是( )A .使活塞向左移动,气缸内气体对外界做功,内能减少B .使活塞向左移动,气缸内气体内能增大,温度升高C .使活塞向左移动,气缸内气体压强减小D .使活塞向左移动,气缸内气体分子无规则运动的平均动能减小2.B [解析] 使活塞向左移动,外界对气缸内气体做功,活塞绝热,Q =0,由热力学第一定律可知,内能增大,温度升高,由pV T =C 可知,压强增大,选项B 正确.9.(2014·烟台一模)某次科学实验中,从高温环境中取出一个如图X267所示的圆柱形导热气缸,把它放在大气压强p 0=1 atm 、温度t 0=27 ℃的环境中自然冷却.该气缸内壁光滑,容积V =1 m 3,开口端有一厚度可忽略的活塞.开始时,气缸内密封有温度t =447 ℃、压强p = atm 的理想气体,将气缸开口向右固定在水平面上,假设气缸内气体的所有变化过程都是缓慢的.求:(1)活塞刚要向左移动时,气缸内气体的温度t 1;(2)最终气缸内气体的体积V 1;(3)在整个过程中,气缸内气体对外界________(选填“做正功”“做负功”或“不做功”),气缸内气体放出的热量________(选填“大于”“等于”或“小于”)气体内能的减少量.图X2679.(1) 327 ℃ (2) 0.5 m 3 (3)做负功 大于[解析] (1)气体做等容变化,由查理定律得p T =p 0T 1 解得T 1=600 K ,即t 1=327 ℃.(2)由理想气体状态方程得pV T =p 0V 1T 0解得V 1=0.5 m 3.(3)体积减小,气缸内气体对外界做负功;由ΔU =W +Q 知,气缸内气体放出的热量大于气体内能的减少量.实验:用油膜法估测分子的大小7.(2014·孝感二模)在“用油膜法估测分子的大小”的实验中,用注射器将一滴油酸酒精溶液滴入盛水的浅盘里,待水面稳定后,将玻璃板放在浅盘上,在玻璃板上描出油膜的轮廓,随后把玻璃板放在坐标纸上,其形状如图X254所示,坐标纸上正方形小方格的边长为10 mm ,该油酸膜的面积是__________m 2;若一滴油酸酒精溶液中含有纯油酸的体积是4×10-6 mL ,则油酸分子的直径是__________m .(上述结果均保留1位有效数字)图X2547.8×10-3 5×10-10[解析] 正方形小方格的个数约为80个,油膜面积 S =80×1 cm 2=8×10-3 m 2油酸分子的直径d =V S =4×10-128×10-3 m =5×10-10 m. 热学综合37.(12分)【物理-3-3】[2014·山东卷](1)如图所示,内壁光滑、导热良好的气缸中用活塞封闭有一定质量的理想气体.当环境温度升高时,缸内气体________.(双选,填正确答案标号)a.内能增加b.对外做功c.压强增大d.分子间的引力和斥力都增大(2)一种水下重物打捞方法的工作原理如图所示.将一质量M=3×103kg、体积V0=0.5 m3的重物捆绑在开口朝下的浮筒上.向浮筒内充入一定量的气体,开始时筒内液面到水面的距离h1=40 m,筒内气体体积V1=1 m3.在拉力作用下浮筒缓慢上升,当筒内液面到水面的距离为h2时,拉力减为零,此时气体体积为V2,随后浮筒和重物自动上浮,求V2和h2.已知大气压强p0=1×105 Pa,水的密度ρ=1×103 kg/m3,重力加速度的大小g=10 m/s2.不计水温变化,筒内气体质量不变且可视为理想气体,浮筒质量和筒壁厚度可忽略.37.[答案] (1)ab (2)2.5 m310 m[解析] (1)根据理想气体状态方程,缸内气体压强不变,温度升高,体积增大,对外做功.理想气体不计分子间的作用力,温度升高,内能增加.选项a、b正确.(2)当F=0时,由平衡条件得Mg=ρg(V0+V2)①代入数据得V2=2.5 m3②设筒内气体初态、末态的压强分别为p1、p2,由题意得p1=p0+ρgh1③p2=p0+ρgh2④在此过程中筒内气体温度和质量不变,由玻意耳定律得p 1V 1=p 2V 2⑤联立②③④⑤式,代入数据得h 2=10 m ⑥(2)一定质量的理想气体被活塞封闭在竖直放置的圆柱形气缸内,气缸壁导热良好,活塞可沿气缸壁无摩擦地滑动.开始时气体压强为p ,活塞下表面相对于气缸底部的高度为h ,外界的温度为T 0.现取质量为m 的沙子缓慢地倒在活塞的上表面,沙子倒完时,活塞下降了h 4.若此后外界的温度变为T ,求重新达到平衡后气体的体积.已知外界大气的压强始终保持不变,重力加速度大小为g .(2)解:设气缸的横载面积为S ,沙子倒在活塞上后,对气体产生的压强为Δp ,由玻意耳定律得phS =(p +Δp )⎝ ⎛⎭⎪⎫h -14h S ① 解得Δp =13p ② 外界的温度变为T 后,设活塞距底面的高度为h ′.根据盖一吕萨克定律,得⎝ ⎛⎭⎪⎫h -14h S T 0=h ′S T ③解得 h ′=3T4T 0h ④据题意可得Δp =mg S ⑤气体最后的体积为V =Sh ′⑥联立②④⑤⑥式得V =9mghT 4pT 0.⑦ 9.(2014·石家庄二模)如图G107所示,两端开口的气缸水平固定,A 、B 是两个厚度不计的活塞,可在气缸内无摩擦地滑动,其面积分别为S 1=20 cm 2、S 2=10 cm 2,它们之间用一根细杆连接,B 通过水平细绳绕过光滑的定滑轮与质量为M =2 kg 的重物C 连接,静止时气缸中气体的温度T 1=600 K ,气缸两部分的气柱长均为L ,已知大气压强p 0=1×105 Pa ,g 取10 m/s 2,缸内气体可看作理想气体.(1)求活塞静止时气缸内气体的压强;(2)若降低气缸内气体的温度,当活塞A 缓慢向右移动12L 时,求气缸内气体的温度. 图G1079.(1)×105 Pa (2)500 K[解析] (1)设活塞静止时气缸内气体的压强为p 1,活塞受力平衡,则 p 1S 1+ p 0S 2= p 0S 1+ p 1S 2+Mg代入数据解得压强p 1=×105 Pa.(2)由活塞A 受力平衡可知缸内气体的压强没有变化,由盖·吕萨克定律得S 1L +S 2LT 1=S 1L 2+S 23L 2T 2代入数据解得T 2=500 K.。
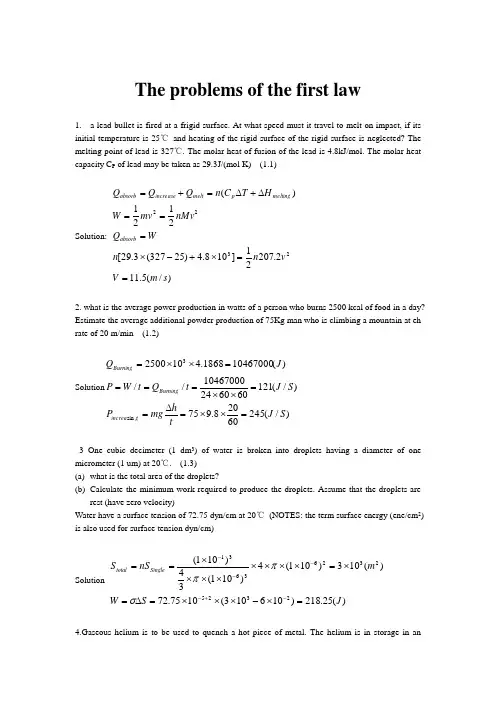
The problems of the first law1. a lead bullet is fired at a frigid surface. At what speed must it travel to melt on impact, if its initial temperature is 25℃ and heating of the rigid surface of the rigid surface is neglected? The melting point of lead is 327℃. The molar heat of fusion of the lead is 4.8kJ/mol. The molar heat capacity C P of lead may be taken as 29.3J/(mol K) (1.1)Solution: )/(5.112.20721]108.4)25327(3.29[2121)(2322s m V v n n WQ nMv mv W H T C n Q Q Q absorb melting p melt increase absorb ==⨯+-⨯===∆+∆=+=2. what is the average power production in watts of a person who burns 2500 kcal of food in a day? Estimate the average additional powder production of 75Kg man who is climbing a mountain at eh rate of 20 m/min (1.2)Solution )/(24560208.975)/(12160602410467000//)(104670001868.4102500sin 3S J t h mg P S J t Q t W P J Q gincrea Burning Burning =⨯⨯=∆==⨯⨯====⨯⨯=3 One cubic decimeter (1 dm 3) of water is broken into droplets having a diameter of one micrometer (1 um) at 20℃. (1.3)(a) what is the total area of the droplets?(b) Calculate the minimum work required to produce the droplets. Assume that the droplets arerest (have zero velocity)Water have a surface tension of 72.75 dyn/cm at 20℃ (NOTES: the term surface energy (ene/cm 2) is also used for surface tension dyn/cm)Solution)(25.218)106103(1075.72)(103)101(4)101(34)101(232523263631J S W m nS S Single total =⨯-⨯⨯⨯=∆=⨯=⨯⨯⨯⨯⨯⨯⨯⨯==-+----σππ4.Gaseous helium is to be used to quench a hot piece of metal. The helium is in storage in aninsulated tank with a volume of 50 L and a temperature of 25℃, the pressure is 10 atm. Assume that helium is an ideal gas.(a) when the valve is opened and the gas escapes into the quench chamber (pressure=1 atm), whatwill be the temperature of the first gas to hit the specimen?(b) As the helium flows, the pressure in the tank drops. What will be the temperature of thehelium entering the quench chamber when the pressure in the tank has fallen to 1 atm? (1.4)Solution: )(180118298)(1185.229810101325501010101325)5500(1)()(118)101(298)()(0334.0/00K T T T K RR nC W T b K T P PT T Adiabatic a p C R P=-=∆-==⨯⨯⨯⨯⨯⨯⨯-⨯==∆=⨯==--5 An evacuated (P=0), insulted tank is surrounded by a very large volume (assume infinite volume) of an ideal gas at a temperature T 0. The valve on the tank is opened and the surrounding gas is allowed to flow quickly into the tank until the pressure inside the tank is equals the pressure outside. Assume that no heat flow takes place. What is the final tempeture of the gas in the tank? The heat capacity of the gas, C p and C v each may be assumed to be constant over the temperature rang spanned by the experiment. You answer may be left in terms of C p and C vhint: one way to approach the problem is to define the system as the gas ends up in the tank. (1.5)solution 0/000/00)0()(T P P T T P PT T Adiabatic PPC R C R ≈-==6. Calculate the heat of reaction of methane with oxygen at 298K, assuming that the products of reaction are CO 2 and CH 4 (gas)[This heat of reaction is also called the low calorific power of methane] convert the answer into unites of Btu/1000 SCF of methane. SCF means standard cubic feet, taken at 298 and 1atmNOTE: this value is a good approximation for the low calorific powder of natural gas (1.6)DA TA:)()()(224g O H g CO g CH FOR80.5705.9489.17]/[0298---•∆mol g Kcal Hsolution)1000/(9.2610252103048.01101076.191)/(76.191)89.1780.57205.94()2(22333332982982224422SCF Btu mol g Kcal H H H H H OH CO O CH CH O H CO =⨯⨯⨯⨯⨯=•=∆+⨯---=∆-∆+∆-=∆+=+-7. Methane is delivered at 298 K to a glass factory, which operates a melting furnace at 1600 K. The fuel is mixed with a quantity of air, also at 298 K, which is 10% in excess of the amount theoretically needed for complete combustion (air is approximately 21% O 2 and 79% N 2) (1.7) (a) Assuming complete combustion, what is the composition of the flue gas (the gas followingcombustion)?(b) What is the temperature of the gas, assuming no heat loss?(c) The furnace processes 2000kg of glass hourly, and its heat losses to the surroundings average400000 kJ/h. calculate the fuel consumption at STP (in m 3/h) assuming that for gas H 1600-H 298=1200KJ/KG(d) A heat exchanger is installed to transfer some of the sensible heat of the flue gas to thecombustion air. Calculate the decrease in fuel consumption if the combustion air is heated to 800KDA TA STP means T=298K, P=1atm22224O N O H CO CH for 2.82.89.117.1316)/(C mol cal C P •Solution)(210448.1125.9100076.191298)/(25.9)]87.012.72(2.843.179.1171.87.13[01.0)(%87.0%%12.72%%43.17%2%%71.8)11.1(221791.1231%22)(0,,222222224K T T T C mol cal X C C b O N CO O H CO O H CO O CH a i i p p p =⨯⨯+=∆+=•=+⨯+⨯+⨯=======-⨯+⨯⨯+=+=+∑)/(1644)0224.011868.448.11)8001600(48.1125.9189570(102800000)/(189570)298800)](48.1187.8)48.1125.9[(100076.191)()/(87.848.11/]211002.22.816[)()/(3214)0224.011868.448.11)2981600(48.1125.9100076.191(102800000)/(280000040000020001200)(33min ,,,,298,,33min h m V mol g cal dTn C n C H H C mol cal X C C d h m V h KJ P C gConsu i i r p i i p p i i p r p g Consu =⨯⨯-⨯-⨯=•=-⨯-⨯-⨯=--∆=∆•=⨯⨯+===⨯⨯-⨯-⨯⨯==+⨯=⎰∑∑∑8.In an investigation of the thermodynamic properties of a-manganese, the following heat contents were determined:H 700-H 298=12113 J/(g atom) H 1000-H 298=22803 J/(g atom)Find a suitable equation for H T -H 298 and also for C P as a function of temperature in the form (a+bT) Assume that no structure transformation takes place in the given tempeture rang. (1.8)Solution )298(0055.0)298(62.35011.062.35011.062.3522803)2981000(2)2981000(12113)298700(2)298700(]2[2229822222982---=∆-=-===-+-=-+-+=+==∆⎰⎰T T H TC b a ba ba T baT bTdT a dT C H TP T P9.A fuel gas containing 40% CO, 10% CO 2, and the rest N 2 (by volume) is burnt completely with air in a furnace. The incoming and ongoing temperatures of the gases in the furnace are 773K and 1250K,respectively. Calculate (a) the maximum flame temperature and (b) heat supplied to the furnace per cu. ft of exhaust gas (1.9)molJ Hmol J H CO f CO f /393296/1104580,298,0,298,2-=∆-=∆)/(10184.403.29)/(1067.11010.492.19)/(1037.81020.935.44)/(1042.01097.345.283,253,253,253,222molK J T C molK J T T C molK J T T C molK J T T C N P O P CO P CO P -------⨯+=⨯-⨯+=⨯-⨯+=⨯-⨯+=Solution?0)499.0321.018.1()1067.01019.277.28(28.282831067.01038.477.289.0)1019.01058.528.33(2.0282838)()/(1019.01058.528.33722.0278.0)/(1067.01038.477.281.065.005.02.0)()/(282838110458393296%2.72%8.27%10%65%5%20)4/(1122298127332981523733253253298,,,,298,253,,,,,253,,,,,,,0,298,0,298,298,22222222222222==+--⨯+⨯++⨯=⨯-⨯++⨯⨯-⨯+-⨯=--∆=∆⨯-⨯+=+==⨯-⨯+=+++===-=∆-∆=∆========+-----------⎰⎰⎰∑∑⎰∑∑∑∑T T T T T T T dTT T dTT T dT n C n C n H H molK J T T C C n C C molK J T T C C C C n C C a mol J n H n H H N CO production O N CO CO reation then O N air mole need fuel mole when CO O CO T TT i i r p i i p p i i N P CO P i i p p r p O P N P CO P CO P i i p p r p i p f i r f idTT T Q dT T T Q b T T T T T T T dT T T dTT T dT n C n C n H H T TT i i r p i i p p i i 9.0)1019.01058.528.33(2.02828389.0)1019.01058.528.33(2.0282838)(0)499.0321.018.1()1067.01019.277.28(28.282831067.01038.477.289.0)1019.01058.528.33(2.0282838)(253125029812502982531250298125029829812125029815231250253253298,,,,298,⨯⨯-⨯++⨯-=⨯⨯-⨯++⨯-===+--⨯+⨯++⨯=⨯-⨯++⨯⨯-⨯+-⨯=--∆=∆-----------⎰⎰⎰⎰⎰∑∑⎰10. (a) for the reaction 2221CO O CO →+,what is the enthalpy of reaction (0H ∆) at 298 K ? (b) a fuel gas, with composition 50% CO, 50% N 2 is burned using the stoichiometric amount of air. What is the composition of the flue gas?(c) If the fuel gas and the air enter there burner at 298 K, what is the highest temperature theflame may attain (adiabatic flame temperature)? DA TA :standard heats of formation f H ∆ at 298 K (1.10))/(393000)/(1100002mol J CO mol J CO -=-=Heat capacities [J/(mol K)] to be used for this problem N 2=33, O 2=33, CO=34, CO 2=57 Solution)(21100)298)(39889.0(222.02830000)/(3975.03325.057)/(33111.034222.033666.033)(%,75%%,251.111002.22%%1.11%%,6.66%%,2.222.0/25.015.0%)()/(283000393000110000)(,0,,,,,,22220,298,0,298,0K T T dT C n H H K mol J X C C K mol J X C C C N CO product O N CO fuel b mol J n H n H H a P p p i P r i P r i P p i P p i P f i r f ==-⨯-⨯=-∆=∆•=⨯+⨯==•=⨯+⨯+⨯====-====+==+-=∆-∆=∆⎰∑∑∑∑11.a particular blast furnace gas has the following composition by (volume): N 2=60%, H 2=4, CO=12%, CO 2=24%(a) if the gas at 298K is burned with the stochiometric amount of dry air at 298 K, what is the composition of the flue gas? What is the adiabatic flame temperature? (b) repeat the calculation for 30% excess combustion air at 298K(C)what is the adiabatic flame temperature when the blast furnace gas is preheated to 700K (the dry air is at 298K)(d) suppose the combustion air is not dry ( has partial pressure of water 15 mm Hg and a total pressure of 760 mm Hg) how will the flame temperature be affected? DA TA(k J/mol) (1.11)2CO CO FOR513.393523.110)/(--∆mol kJ H f 2222,)(O N g O H CO CO FOR34505733]/[K mol J C P •Solution)(1052)(75438286370])295.03450(241604[026.0])335.03457(110523393513[079.0])([%8.66%%,8.6%%,6.2%%,8.15%%,9.72.0/83.110012%)()(1122)(82538313430])295.03450(241604[029.0])335.03457(110523393513[086.0])([%7.65%%,7.5%%,9.2%%,1.17%%,6.82.0/810012%2121)(,,,,,,,02222,,,,,,,0222222222K T K T T n C T T X C dT n C n C H x H N O H CO CO b K T K T T n C T T X C dT n C n C H x H N O H CO CO OH O H CO O CO a i i r P ii P i i r P i i p P i i i i r P ii P i i r P i i p P i i ===∆=∆-∆-⨯--+∆-⨯---=+--∆=∆=====⨯+====∆=∆-∆-⨯--+∆-⨯---=+--∆=∆=====+=→+→+∑∑∑⎰∑∑∑∑∑⎰∑∑)(1419),(11213842594034286.0)402(2.39714.0])295.03450(241604[029.0])335.03457(110523393513[086.0)3(K T K T T T T T H ===∆=∆⨯--∆⨯-∆-⨯--+∆-⨯---=∆12.A bath of molten copper is super cooled to 5℃ below its true melting point. Nucleation of solid copper then takes place, and the solidification proceeds under adiabatic conditions. What percentage of the bath solidifies?DA TA: Heat of fusion for copper is 3100 cal/mol at 1803℃(the melting point of copper) C P,L =7.5(cal/mol ℃), C P,S =5.41+(1.5*10-3T )(cal/mol ℃) (1.12) Solution)/(310355.75.0)17981803(105.1541.5310002231798,1798,17981803,18031798,1803,mol cal H H dT C dT C H L S SL L P S P L S =⨯-⨯-⨯+⨯+==+++-⎰⎰13.Cuprous oxide (Cu 2O) is being reduced by hydrogen in a furnace at 1000K, (a)write the chemical reaction for the reduced one mole of Cu 2O(b)how much heat is release or absorbed per mole reacted? Given the quantity of heat and state whether heat is evolved (exothermic reaction) or absorbed (endothermic reaction)DA TA: heat of formation of 1000K in cal/mol Cu 2O=-41900 H 2O=-59210 (1.13) solution)/(173104190059210222mol cal H OH Cu H O Cu =-=∆+=+,exothermic reaction14. (a) what is the enthalpy of pure, liquid aluminum at 1000K?(b) an electric resistance furnace is used to melt pure aluminum at the rate of 100kg/h. the furnace is fed with solid aluminum at 298K. The liquid aluminum leaves the furnace at 1000K. what is the minimum electric powder rating (kW) of furnace.DA TA : For aluminum : atomic weight=27g/mol, C p,s =26(J/molK), C p,L =29(J/molK), Melting point=932K, Heat of fusion=10700J/mol (1.14)Solution )(28.0)(7.2793600110002727184)/(2718410700)9321000(29)298932(261000932,932298,1000,kW W P mol J H dT C dT C H SLL P S P l ==⨯⨯==+-⨯+-⨯=++=⎰⎰15 A waste material (dross from the melting of aluminum) is found to contain 1 wt% metallic aluminum. The rest may be assumed to aluminum oxide. The aluminum is finely divided and dispersed in the aluminum oxide; that is the two material are thermally connected.If the waster material is stored at 298K. what is the maximum temperature to which it may rise if all the metallic aluminum is oxidized by air/ the entire mass may be assumed to rise to the same temperature. Data : atomic weight Al=27g/mol, O=16g/mol, C p,s,Al =26(J/molK), C p,s,Al2O3=104J/mol, heat formation of Al 2O 3=-1676000J/mol (1.15)Solution;)(600)(3021041029927275.116122711676000K T K T T ==∆∆⨯⨯++⨯⨯=⨯⨯16 Metals exhibit some interesting properties when they are rapidly solidified from the liquid state. An apparatus for the rapid solidification of copper is cooled by water. In the apparatus, liquid copper at its melting point (1356K) is sprayed on a cooling surface, where it solidified and cools to 400K. The copper is supplied to the apparatus at the rate of one kilogram per minute. Cooling water is available at 20℃, and is not allowed to raise above 80℃. What is the minimum flow rate of water in the apparatus, in cubic meters per minute?DA TA; for water: C p =4.184J/g k, Density=1g/cm 3; for copper: molecular weight=63.54g/mol C p =7cal/mol k, heat of fusion=3120 cal/mol (1.16)Solution:min)/(10573.2)2080(1min /min54.631000)]4001356(73120[min /33m V VQ Q Water Copper -⨯=-=⨯⨯-⨯+=17 water flowing through an insulated pipe at the rate of 5L/min is to be heated from 20℃ to 60℃ b an electrical resistance heater. Calculate the minimum power rating of the resistance heater in watts. Specify the system and basis for you calculation. DA TA; For water C p =4.184J/g k, Density=1g/cm 3 (1.17)Solution: )(139476010005)2060(184.4W W =⨯⨯-⨯=18 The heat of evaporation of water at 100℃ and 1 atm is 2261J/mol (a) what percentage of that energy is used as work done by the vapor?(b)if the density of water vapor at 100℃ and 1 atm is 0.597kg/m 3 what is the internal energy change for the evaporation of water? (1.18)Solution: )/(375971822613101%6.71822613101%)/(31010224.0273373101325mol J Q W U mol J V P =⨯+-=+=∆=⨯==⨯⨯=∆19 water is the minimum amount of steam (at 100℃ and 1 atm pressure) required to melt a kilogram of ice (at 0℃)? Use data for problem 1.20 (1.19) Solution )(125,3341000)10018.42261(g m m =⨯=⨯+20 in certain parts of the world pressurized water from beneath the surface of the earth is available as a source of thermal energy. To make steam, the geothermal water at 180℃is passed through a flash evaporator that operates at 1atm pressure. Two streams come out of the evaporator, liquid water and water vapor. How much water vapor is formed per kilogram of geothermal water? Is the process reversible? Assume that water is incompressible. The vapor pressure of water at 180℃is1.0021 Mpa( about 10 atm) Data: C P,L=4.18J/(g k), C P,v=2.00J/(g k), △H V=2261J/g, △H m=334 J/g (1.20)Solution:leirreversibgxxx)(138),1000(8018.4)8018.48022261(=-⨯⨯=⨯-⨯+。
热力学试题及答案热力学试题及答案热力是物理学中的一个重要概念,下面就是小编为您收集整理的热力学试题及答案的相关文章,希望可以帮到您,如果你觉得不错的话可以分享给更多小伙伴哦!热力学试题及答案一、填空题1.(2014,襄阳)某同学由于粗心,将放在厨房中的一个装有液化石油气的气罐打开后(没有打着火),忘记将其关闭,过一会儿整个屋里都闻到刺鼻的气味,这是__扩散__现象;高速公路服务区司机把大货车停在水坑中,这是通过__热传递__方式给轮胎降温。
2.(2014,蚌埠模拟)美丽的鄂州“襟江抱湖枕名山”,素有“百湖之市”的美誉。
市区及周边的湖泊,可以大大减弱该地区的“热岛效应”,这是利用了水的__比热容__大的特性;春夏季节,漫步在洋澜湖畔,可以闻到阵阵的花香,从物理学的角度来讲,这是__扩散__现象。
3.(2014,盐城)已知天然气的热值为4.4×107 J/kg,20 g天然气完全燃烧放出的热量为__8.8×105__J,用天然气将一壶水烧开,水壶中水的温度升高的过程中,水的内能__增加__,壶口上方的水蒸气液化成“白气”的过程中__放出__(选填“吸收”或“放出”)热量。
4.(2014,宿州模拟)在1标准大气压下,1.5 kg初温为90 ℃的水吸收6.93×104 J的热量后,它的末温为__100__℃[c水=4.2×103 J/(kg?℃)]。
内燃机的一个工作循环包括吸气、压缩、__做功__、排气四个冲程。
5.(2014,滨州)西气东输工程让滨州市民用上了物美价廉的天然气。
在1标准大气压下,将质量为2 kg、温度为20 ℃的水加热至沸腾,水至少要吸收__6.72×105__J的热量,这需要完全燃烧__8.4×10-3__m3的天然气。
[c水=4.2×103 J/(kg?℃),天然气的热值为8×107 J/m3]二、选择题6.(2014,苏州)关于物质的组成,下列说法中错误的是(B)A.物质是由大量分子组成的B.原子是由原子核和中子组成的C.原子核是由质子和中子组成的D.质子和中子是由更小的微粒组成的7.(2014,滁州模拟)关于物体的内能,下列说法正确的是(D)A.温度为0 ℃的物体没有内能B.物体内能增加,一定是通过外界对物体做功C.正在沸腾的水吸收热量,温度增加,内能不变D.在相同物态下,同一物体温度降低,它的内能会减少8.(2014,北京)下列实例中,通过做功的方式改变物体内能的.是(A)A.用锯条锯木头,锯条温度升高B.向饮料中加冰块,饮料温度降低C.寒冬,用热水袋暖手,手感到温暖D.盛夏,阳光曝晒路面,路面温度升高9.(2014,凉山)下列生活实例中,属于内能转化为机械能的是(B)A.冬天人们常用双手互相摩擦取暖B.用茶壶烧水,水烧开时,茶壶盖被顶起C.钻木取火D.四冲程汽油机的压缩冲程10.(2014,成都)《舌尖上的中国》的热播,引起了人们对饮食文化的关注,四川的腊肉、香肠受到人们的青睐,火锅更是以麻、辣、鲜、香吸引着众多食客,以下说法正确的是(D)A.在比较远的地方就能闻到火锅味,说明分子只在高温下运动B.在腌制腊肉时,要把盐涂抹均匀,是因为盐不会扩散C.灌制好香肠后,要晾在通风的地方,是为了防止水分蒸发D.往火锅里加入食材,食材温度升高,它的内能增加11.(2014,池州模拟)现代汽车的发动机一般都是四冲程内燃机,其四个冲程如图所示,其中做功冲程是(B)12.(2014,曲靖)关于热机,下列说法中正确的是(C)A.效率越高的热机功率也越大B.汽油机和柴油机均属于内燃机,工作时它们点火的方式也相同C.汽油机工作时汽油在汽缸里燃烧,汽油属于二次能源D.使用热值高的燃料可提高热机的效率13.(2014,兰州)下列说法正确的是(A)A.把-10 ℃的冰块放在0 ℃的冰箱保鲜室中,一段时间后,冰块的内能会增加B.在汽油机的压缩冲程中,内能转化为机械能C.用锯条锯木板,锯条的温度升高,是由于锯条从木板中吸收了热量D.我们不敢大口地喝热气腾腾的汤,是因为汤含有的热量较多14.(2014,南昌)《舌尖上的中国2》聚集了普通人的家常菜,让海内外观众领略了中华饮食之美。
材料热力学习题答案
材料热力学学习题答案
热力学是物理学的一个重要分支,研究物质的热量和能量转化规律。
在学习热
力学的过程中,我们常常会遇到各种各样的学习题,通过解答这些学习题,我
们可以更好地理解热力学的知识,提高自己的学习能力。
1. 热力学第一定律是什么?请用数学公式表示。
答案:热力学第一定律是能量守恒定律,即能量不会自发地产生或消失,只能
从一种形式转化为另一种形式。
数学公式表示为ΔU = Q - W,其中ΔU表示系
统内能的变化,Q表示系统吸收的热量,W表示系统对外做功。
2. 什么是热容?如何计算物质的热容?
答案:热容是物质单位质量在单位温度变化下吸收或释放的热量。
物质的热容
可以通过公式C = Q/mΔT来计算,其中C表示热容,Q表示吸收或释放的热量,m表示物质的质量,ΔT表示温度变化。
3. 什么是热力学循环?请举例说明一个热力学循环的应用。
答案:热力学循环是指一定物质在一定压力下,经过一系列的热力学过程后,
最终回到初始状态的过程。
一个常见的热力学循环是卡诺循环,它被广泛应用
于蒸汽发电厂和制冷系统中。
通过解答这些学习题,我们可以更加深入地理解热力学的知识,掌握热力学的
基本原理和计算方法。
希望大家在学习热力学的过程中能够勤加练习,提高自
己的学习能力,为将来的科学研究和工程实践打下坚实的基础。
《材料热力学》考试试题
(2014年12月23日)
1.名词解释(30分)
(1) 混合吉布斯自由能
(2) 过剩吉布斯自由能:P2左上
(3) Dulong 和 Petit 规则:P6右上
(4) Neumann-Kopp 规则:P6右上
(5) Pictet 和Trouton 规则:P6右上二,教材P22
(6) 热力学稳定图:P7右上
(7) 磁性对吉布斯自由能的3个参数:P4左下
(8) 2元系退化平衡的两种情况:P20,一般是二个熔点相差很大的体系,在低熔点元素附近的平衡,温度很接近该元素熔点,成分很接近边界,无法分辨出是共晶还是包晶反应,它说的两种情况应该是指包晶反应的退化和共晶反应的退化。
(9) 化学势:化学势又称为偏摩尔势能,化学势就是吉布斯自由能对成分的偏微分,教材P70
(10) 热力学第四定律:P11右上二
2. 钢铁中M2C相由亚点阵(Cr,Fe,Mo)1(C, Va)0.5表示
(1) 写出吉布斯自由能表达式,并注明表达式中各符号的意义
(2) 写出Cr的摩尔分数xCr与其点阵分数之间的关系式(20分)
3. 解释Schreinemarkers’ rule, 并说明图中哪个相图不符合Schreinemarkers’ rule(20分)
(a) (b) (c)
1。
12.选修3-3热学1.(2014北京)13.下列说法中正确的是A.物体温度降低,其分子热运动的平均动能增大B.物体温度升高,其分子热运动的平均动能增大C.物体温度降低,其内能一定增大D.物体温度不变,其内能一定不变13.【答案】B【考点】热力学第一定律【解析】温度是分子平均动能的标志,温度降低分子热运动的平均动能减小,反之增大,A项错误;B项正确;物体的内能包括所有分子的动能和势能之和,温度降低,分子动能减小但是分子势能不能确定,所以内能不能确定,CD项错误。
2.(2014年大纲卷)16.对于一定量的稀薄气体,下列说法正确的是( )A.压强变大时,分子热运动必然变得剧烈B.保持压强不变时,分子热运动可能变得剧烈C.压强变大时,分子间的平均距离必然变小D.压强变小时,分子间的平均距离可能变小16.【答案】BD【考点】分子动理论、影响压强的原因【解析】一定质量的稀薄气体可以看做理想气体,分子运动的剧烈程度与温度有关,温度越高,分子运动的越剧烈;压强变大可能是的原因是体积变小或温度升高,所以压强变大,分子热运动不一定剧烈,AC项错误,B项正确;压强变小时,也可能体积不变,可能变大,也可能变小;温度可能降低,可能不变,可能升高,所以分子间距离不能确定,D项正确。
3.(2014福建卷)29.[物理-选修3-3](本题共有两小题,每小题6分,共12分。
每小题只有一个选项符合题意)(1)如图,横坐标v表示分子速率,纵坐标f(v)表示各等间隔速率区间的分子数占总分子数的百分比。
途中曲线能正确表示某一温度下气体分子麦克斯韦速率分布规律的是。
(填选项前的字母)A.曲线① B.曲线② C.曲线③ D.曲线④4. (2014福建卷)(2)图为一定质量理想气体的压强p 与体积V关系图像,它由状态A经等容过程到状态B,再经等压过程到状态C设A、B、C状态对应的温度分别为TA、TB、TC,则下列关系式中正确的是。
(填选项前的字母)A.TA<TB,TB<TCB. TA>TB,TB=TCC. TA>TB,TB<TCD. TA=TB,TB>TC29【答案】(1)D(2)C【考点】气体分子的麦克斯韦速率分布规律、理想气体状态方程【解析】(1)气体分子速率分布是有规律的,其分布特征是“中间多两头少,即随着速率增加分子数目逐渐增大,再增加又逐渐减少,故应选曲线④,D项错误。
2013-2014年物理奥林匹克竞赛国家集训队热学练习题姓名:所在中学:成绩:注意:必须写出完整步骤,否则得不到步骤分。
答卷请勿涂改,无法看清的地方一律不给分。
1、(12分)一端开口,横截面积处处相等的长管中充有压强p的空气。
先对管子加热,使它形成从开口端温度1000K均匀变为闭端200K的温度分布,然后把管子开口端密封,再使整体温度降为100K,试问管中最后的压强是多大?2、(12分)一容积为1 升的容器,盛有温度为300 K,压强为30⨯10Pa的氩气,氩的摩尔质量为0.040 kg。
若器壁上有一面积为1.0×10㎝的小孔,氩气将通过小孔从容器内逸出,经过多长时间容器里的原子数减少为原有原子数的 1/e?3、(12分)若认为地球的大气是等温的, 则把所有大气分子压缩为一层环绕地球表面的、压强为一个大气压的厚度为H的均匀气体球壳,试证:这层球壳厚度H 就是大气标高。
4、(12分)标准状态下氦气的粘度为η1,氩气的粘度为η2,他们的摩尔质量分别为M1和M2.。
试问:(1)氦原子和氦原子碰撞的碰撞截面σ1和氩原子与氩原子的碰撞截面σ2之比等于多少?(2)氦的导热系数κ1与氩的导热系数κ2之比等于多少?(3)氦的扩散系数D1与氩的扩散系数D2之比等于多少?(4)此时测得氦气的粘度-3 24η1=1.87⨯10-3N⋅s⋅m-2和氩气的粘度η2=2.11⨯10-3N⋅s⋅m-2。
用这些数据近似的估算碰撞截面σ1,σ2。
5、(12分)在热水瓶里灌进质量为m=1.00 kg的水,热水瓶胆的内表面S=700 cm,瓶胆内外容器的间隙d=5.00 mm,间隙内气体压强p=1.00 Pa,假设热水瓶内的热量只是通过间隙内的气体的热传导而散失。
试确定需要多少时间容器内的水温从90℃降为80℃,取环境温度为20℃。
6、 (12分)加热室A(1000C)中蒸发出来的铍原子(相对原子质量为9)经小孔逸出,再经狭缝准直器B而形成原子束,最后进入另一真空室D中,(1)原子束将与真空室背景分子进行碰撞,若进行1m后其原子束强度(单位时间内通过的原子数)减少为1/e。
大连理工大学2012博士入学考试《材料热力学》回忆版
1.名词解释(40分)
热力学第二定律热容
Henry标准态(应该是亨利定律或标准态,反正没见过亨利标准态)
化学位活度
杠杆定律二级相变
脱溶分解
2.推导吉布斯-亥姆霍兹公式,并说明用途(10分)
3.AB二元系,A符合理想溶液的话,证明B也符合理想溶液(10分)
4.奥氏体不锈钢1Cr18Ni9为理想熔体,求Cr的混合偏摩尔自由能,不锈钢的
混合偏摩尔自由能,(某个元素的)的混合偏摩尔熵(10分)
5.已知Zn-Cu二元系,Zn的活度RTln(公式,记不清了),
(1)已知条件若干,求Zn的蒸汽压
(2)已知条件若干,求Cu的活度(10分)
6.分析Spindol分解的驱动力(20分)
大连理工大学2012博士入学考试《材料强度学》回忆版
1.判断(10分)有十个判断题
2.单晶体金属循环变形时的循环应力-应变曲线,分析三个阶段的特点(10分)
3.什么是延性断裂?什么是脆性断裂?他们的宏观断口和微观断口分别什么
形状?(16分)
4.名词解释(24分)
断裂韧性扩散蠕变驻留滑移带幂律蠕变(记不全了)
5.已知几个参数,问裂纹是否扩展,求上屈服区强度R(20分)
6.写出幂律本构方程,测试方法?(10分)
7.记不清原题,是用Schmid定律计算应力和临界应力的(10分)。
一、常压时纯Al 的密度为ρ=2.7g/cm 3,熔点T m =660.28℃,熔化时体积增加5%。
用理查得规则和克-克方程估计一下,当压力增加1Gpa 时其熔点大约是多少? 解:由理查德规则RTm Hm R Tm HmSm ≈∆⇒≈∆=∆ …①由克-克方程VT H dTdP ∆∆=…②温度变化对ΔH m 影响较小,可以忽略,①代入②得 V T H dT dP ∆∆=dT T1V Tm R dp V T Tm R ∆≈⇒∆≈…③ 对③积分 dT T1V T Tm R p d T Tm Tm pp p⎰⎰∆+∆+∆=整理 ⎪⎭⎫ ⎝⎛∆+∆=∆Tm T 1ln V Tm R p V T R V Tm R Tm T ∆∆=∆⨯∆≈Al 的摩尔体积 V m =m/ρ=10cm 3=1×10-5m 3Al 体积增加 ΔV=5%V m =0.05×10-5m3K 14.60314.810510R V p T 79=⨯⨯=∆∆=∆-Tm’=Tm+T ∆=660.28+273.15+60.14=993.57K二、热力学平衡包含哪些内容,如何判断热力学平衡。
内容:(1)热平衡,体系的各部分温度相等;(2)质平衡:体系与环境所含有的质量不变;(3)力平衡:体系各部分所受的力平衡,即在不考虑重力的前提下,体系内部各处所受的压力相等;(4)化学平衡:体系的组成不随时间而改变。
热力学平衡的判据:(1)熵判据:由熵的定义知dS Q Tδ≥不可逆可逆对于孤立体系,有0Q =δ,因此有dS 可逆不可逆≥,由于可逆过程由无限多个平衡态组成,因此对于孤立体系有dS 可逆不可逆0≥,对于封闭体系,可将体系和环境一并作为整个孤立体系来考虑熵的变化,即平衡自发环境体系总0S S S ≥∆+∆=∆(2)自由能判据 若当体系不作非体积功时,在等温等容下,有()0d ,≤V T F 平衡状态自发过程上式表明,体系在等温等容不作非体积功时,任其自然,自发变化总是向自由能减小的方向进行,直至自由能减小到最低值,体系达到平衡为止。
第一章 热力学第一定律一、选择题1-A; 2-C; 3-A; 4-D; 5-B; 6-D; 7-A; 8-D; 9-A; 10-D; 11-B; 12-B; 13- A; 14-C; 15-C; 16-B; 17-C;1.下述说法中,哪一种正确(a )(A)热容C 不是状态函数; (B)热容C 与途径无关;(C)恒压热容C p 不是状态函数;(D)恒容热容C V 不是状态函数。
2.对于内能是体系状态的单值函数概念,错误理解是(c )(A) 体系处于一定的状态,具有一定的内能;(B) 对应于某一状态,内能只能有一数值不能有两个以上的数值;(C) 状态发生变化,内能也一定跟着变化;(D) 对应于一个内能值,可以有多个状态。
3.某高压容器中盛有可能的气体是O 2 ,Ar, CO 2, NH 3中的一种,在298K 时由5dm3绝热可逆膨胀到6dm3,温度降低21K ,则容器中的气体( a )(A) O 2 (B) Ar (C) CO 2 (D) NH 34.戊烷的标准摩尔燃烧焓为-3520kJ·mol -1,CO 2(g)和H 2O(l)标准摩尔生成焓分别为-395 kJ·mol -1和-286 kJ·mol -1,则戊烷的标准摩尔生成焓为( d )(A) 2839 kJ·mol -1 (B) -2839 kJ·mol -1 (C) 171 kJ·mol -1 (D) -171 kJ·mol -15.已知反应)()(21)(222g O H g O g H =+的标准摩尔反应焓为)(T H m r θ∆,下列说法中不正确的是( b )。
(A).)(T H m r θ∆是H 2O(g)的标准摩尔生成焓 (B). )(T H m r θ∆是H 2O(g)的标准摩尔燃烧焓 (C). )(T H m r θ∆是负值 (D). )(T H m r θ∆与反应的θm r U ∆数值相等 6.在指定的条件下与物质数量无关的一组物理量是( d )(A) T , P, n (B) U m , C p, C V(C) ΔH, ΔU, Δξ (D) V m , ΔH f,m (B), ΔH c,m (B)7.实际气体的节流膨胀过程中,下列那一组的描述是正确的( a )(A) Q=0 ΔH=0 ΔP< 0 ΔT≠0 (B) Q=0 ΔH<0 ΔP> 0 ΔT>0(C) Q>0 ΔH=0 ΔP< 0 ΔT<0 (D) Q<0 ΔH=0 ΔP< 0 ΔT≠08.已知反应 H 2(g) + 1/2O 2(g) →H 2O(l)的热效应为ΔH ,下面说法中不正确的是( d )(A) ΔH 是H 2O(l)的生成热 (B) ΔH 是H 2(g)的燃烧热(C) ΔH 与反应 的ΔU 的数量不等 (D) ΔH 与ΔH θ数值相等9.为判断某气体能否液化,需考察在该条件下的( a )(A) μJ-T> 0 (B) μJ-T< 0 (C) μJ-T = 0 (D) 不必考虑μJ-T的数值10.某气体的状态方程为PV=RT+bP(b>0),1mol该气体经等温等压压缩后其内能变化为(d )(A) ΔU>0 (B) ΔU <0 (C) ΔU =0 (D) 该过程本身不能实现11.均相纯物质在相同温度下C V > C P的情况是( b )(A) (∂P/∂T)V<0 (B) (∂V/∂T)P<0(C) (∂P/∂V)T<0 (D) 不可能出现C V>C P12.理想气体从相同始态分别经绝热可逆膨胀和绝热不可逆膨胀到达相同的压力,则其终态的温度,体积和体系的焓变必定是( b )(A) T可逆> T不可逆, V可逆> V不可逆, ΔH可逆>ΔH不可逆(B) T可逆< T不可逆, V可逆< V不可逆, ΔH可逆<ΔH不可逆(C) T可逆< T不可逆, V可逆> V不可逆, ΔH可逆<ΔH不可逆(D) T可逆< T不可逆, V可逆< V不可逆, ΔH可逆>ΔH不可逆13.1mol、373K、1atm下的水经下列两个不同过程达到373K、1atm下的水汽:(1)等温可逆蒸发,(2)真空蒸发。
The problems of the first law1. a lead bullet is fired at a frigid surface. At what speed must it travel to melt on impact, if its initial temperature is 25℃ and heating of the rigid surface of the rigid surface is neglected? The melting point of lead is 327℃. The molar heat of fusion of the lead is 4.8kJ/mol. The molar heat capacity C P of lead may be taken as 29.3J/(mol K) (1.1)Solution: )/(5.112.20721]108.4)25327(3.29[2121)(2322s m V v n n WQ nMv mv W H T C n Q Q Q absorb melting p melt increase absorb ==⨯+-⨯===∆+∆=+=2. what is the average power production in watts of a person who burns 2500 kcal of food in a day? Estimate the average additional powder production of 75Kg man who is climbing a mountain at eh rate of 20 m/min (1.2)Solution )/(24560208.975)/(12160602410467000//)(104670001868.4102500sin 3S J t h mg P S J t Q t W P J Q gincrea Burning Burning =⨯⨯=∆==⨯⨯====⨯⨯=3 One cubic decimeter (1 dm 3) of water is broken into droplets having a diameter of onemicrometer (1 um) at 20℃. (1.3)(a) what is the total area of the droplets?(b) Calculate the minimum work required to produce the droplets. Assume that the dropletsare rest (have zero velocity)Water have a surface tension of 72.75 dyn/cm at 20℃ (NOTES: the term surface energy (ene/cm 2) is also used for surface tension dyn/cm)Solution)(25.218)106103(1075.72)(103)101(4)101(34)101(232523263631J S W m nS S Single total =⨯-⨯⨯⨯=∆=⨯=⨯⨯⨯⨯⨯⨯⨯⨯==-+----σππ4.Gaseous helium is to be used to quench a hot piece of metal. The helium is in storage in an insulated tank with a volume of 50 L and a temperature of 25℃, the pressure is 10 atm. Assume that helium is an ideal gas.(a) when the valve is opened and the gas escapes into the quench chamber (pressure=1 atm),what will be the temperature of the first gas to hit the specimen?(b) As the helium flows, the pressure in the tank drops. What will be the temperature of thehelium entering the quench chamber when the pressure in the tank has fallen to 1 atm? (1.4)Solution: )(180118298)(1185.229810101325501010101325)5500(1)()(118)101(298)()(0334.0/00K T T T K RR nC W T b K T P PT T Adiabatic a p C R P=-=∆-==⨯⨯⨯⨯⨯⨯⨯-⨯==∆=⨯==--5 An evacuated (P=0), insulted tank is surrounded by a very large volume (assume infinite volume) of an ideal gas at a temperature T 0. The valve on the tank is opened and the surrounding gas is allowed to flow quickly into the tank until the pressure inside the tank is equals the pressure outside. Assume that no heat flow takes place. What is the final tempeture of the gas in the tank? The heat capacity of the gas, C p and C v each may be assumed to be constant over the temperature rang spanned by the experiment. You answer may be left in terms of C p and C vhint: one way to approach the problem is to define the system as the gas ends up in the tank. (1.5)solution 0/000/00)()(T P P T T P PT T Adiabatic PPC R C R ≈-==6. Calculate the heat of reaction of methane with oxygen at 298K, assuming that the products of reaction are CO 2 and CH 4 (gas)[This heat of reaction is also called the low calorific power of methane] convert the answer into unites of Btu/1000 SCF of methane. SCF means standard cubic feet, taken at 298 and 1atmNOTE: this value is a good approximation for the low calorific powder of natural gas (1.6)DA TA:)()()(224g O H g CO g CH FOR80.5705.9489.17]/[0298---∙∆mol g Kcal Hsolution)1000/(9.2610252103048.01101076.191)/(76.191)89.1780.57205.94()2(22333332982982224422SCF Btu mol g Kcal H H H H H OH CO O CH CH O H CO =⨯⨯⨯⨯⨯=∙=∆+⨯---=∆-∆+∆-=∆+=+-7. Methane is delivered at 298 K to a glass factory, which operates a melting furnace at 1600 K. The fuel is mixed with a quantity of air, also at 298 K, which is 10% in excess of the amount theoretically needed for complete combustion (air is approximately 21% O 2 and 79% N 2) (1.7)(a) Assuming complete combustion, what is the composition of the flue gas (the gasfollowing combustion)?(b) What is the temperature of the gas, assuming no heat loss?(c) The furnace processes 2000kg of glass hourly, and its heat losses to the surroundingsaverage 400000 kJ/h. calculate the fuel consumption at STP (in m 3/h) assuming that for gas H 1600-H 298=1200KJ/KG(d) A heat exchanger is installed to transfer some of the sensible heat of the flue gas to thecombustion air. Calculate the decrease in fuel consumption if the combustion air is heated to 800KDA TA STP means T=298K, P=1atm22224O N O H CO CH for 2.82.89.117.1316)/(C mol cal C P ∙Solution)(210448.1125.9100076.191298)/(25.9)]87.012.72(2.843.179.1171.87.13[01.0)(%87.0%%12.72%%43.17%2%%71.8)11.1(221791.1231%22)(0,,222222224K T T T C mol cal X C C b O N CO O H CO O H CO O CH a i i p p p =⨯⨯+=∆+=∙=+⨯+⨯+⨯=======-⨯+⨯⨯+=+=+∑)/(1644)0224.011868.448.11)8001600(48.1125.9189570(102800000)/(189570)298800)](48.1187.8)48.1125.9[(100076.191)()/(87.848.11/]211002.22.816[)()/(3214)0224.011868.448.11)2981600(48.1125.9100076.191(102800000)/(280000040000020001200)(33min ,,,,298,,33min h m V mol g cal dTn C n C H H C mol cal X C C d h m V h KJ P C gConsu i i r p i i p p i i p r p g Consu =⨯⨯-⨯-⨯=∙=-⨯-⨯-⨯=--∆=∆∙=⨯⨯+===⨯⨯-⨯-⨯⨯==+⨯=⎰∑∑∑8.In an investigation of the thermodynamic properties of a-manganese, the following heat contents were determined: H 700-H 298=12113 J/(g atom) H 1000-H 298=22803 J/(g atom)Find a suitable equation for H T -H 298 and also for C P as a function of temperature in the form (a+bT) Assume that no structure transformation takes place in the given tempeture rang. (1.8)Solution )298(0055.0)298(62.35011.062.35011.062.3522803)2981000(2)2981000(12113)298700(2)298700(]2[2229822222982---=∆-=-===-+-=-+-+=+==∆⎰⎰T T H TC b a ba ba T baT bTdT a dT C H TP T P9.A fuel gas containing 40% CO, 10% CO 2, and the rest N 2 (by volume) is burnt completely with air in a furnace. The incoming and ongoing temperatures of the gases in the furnace are 773K and 1250K,respectively. Calculate (a) the maximum flame temperature and (b) heat supplied to the furnace per cu. ft of exhaust gas (1.9)molJ Hmol J H CO f CO f /393296/1104580,298,0,298,2-=∆-=∆)/(10184.403.29)/(1067.11010.492.19)/(1037.81020.935.44)/(1042.01097.345.283,253,253,253,222molK J T C molK J T T C molK J T T C molK J T T C N P O P CO P CO P -------⨯+=⨯-⨯+=⨯-⨯+=⨯-⨯+=Solution?0)499.0321.018.1()1067.01019.277.28(28.282831067.01038.477.289.0)1019.01058.528.33(2.0282838)()/(1019.01058.528.33722.0278.0)/(1067.01038.477.281.065.005.02.0)()/(282838110458393296%2.72%8.27%10%65%5%20)4/(1122298127332981523733253253298,,,,298,253,,,,,253,,,,,,,0,298,0,298,298,22222222222222==+--⨯+⨯++⨯=⨯-⨯++⨯⨯-⨯+-⨯=--∆=∆⨯-⨯+=+==⨯-⨯+=+++===-=∆-∆=∆========+-----------⎰⎰⎰∑∑⎰∑∑∑∑T T T T T T T dT T T dTT T dT n C n C n H H molK J T T C C n C C molK J T T C C C C n C C a mol J n Hn H H N CO production O N CO CO reation then O N air mole need fuel mole when CO O CO T TT i i r p i i p p i i N P CO P i i p p r p O P N P CO P CO P i i p p r p i pf i rf idTT T Q dT T T Q b T T T T T T T dT T T dTT T dT n C n C n H H T TT i i r p i i p p i i 9.0)1019.01058.528.33(2.02828389.0)1019.01058.528.33(2.0282838)(0)499.0321.018.1()1067.01019.277.28(28.282831067.01038.477.289.0)1019.01058.528.33(2.0282838)(253125029812502982531250298125029829812125029815231250253253298,,,,298,⨯⨯-⨯++⨯-=⨯⨯-⨯++⨯-===+--⨯+⨯++⨯=⨯-⨯++⨯⨯-⨯+-⨯=--∆=∆-----------⎰⎰⎰⎰⎰∑∑⎰10. (a) for the reaction 2221CO O CO →+,what is the enthalpy of reaction (0H ∆) at 298 K ?(b) a fuel gas, with composition 50% CO, 50% N 2 is burned using the stoichiometric amount of air. What is the composition of the flue gas?(c) If the fuel gas and the air enter there burner at 298 K, what is the highest temperaturethe flame may attain (adiabatic flame temperature)? DA TA :standard heats of formation f H ∆ at 298 K (1.10))/(393000)/(1100002mol J CO mol J CO -=-=Heat capacities [J/(mol K)] to be used for this problem N 2=33, O 2=33, CO=34, CO 2=57 Solution)(21100)298)(39889.0(222.02830000)/(3975.03325.057)/(33111.034222.033666.033)(%,75%%,251.111002.22%%1.11%%,6.66%%,2.222.0/25.015.0%)()/(283000393000110000)(,0,,,,,,22220,298,0,298,0K T T dT C n H H K mol J X C C K mol J X C C C N CO product O N CO fuel b mol J n H n H H a P p p i P r i P r i P p i P p i P f i r f ==-⨯-⨯=-∆=∆∙=⨯+⨯==∙=⨯+⨯+⨯====-====+==+-=∆-∆=∆⎰∑∑∑∑11.a particular blast furnace gas has the following composition by (volume): N 2=60%, H 2=4, CO=12%, CO 2=24%(a) if the gas at 298K is burned with the stochiometric amount of dry air at 298 K, what is the composition of the flue gas? What is the adiabatic flame temperature? (b) repeat the calculation for 30% excess combustion air at 298K(C)what is the adiabatic flame temperature when the blast furnace gas is preheated to 700K (the dry air is at 298K)(d) suppose the combustion air is not dry ( has partial pressure of water 15 mm Hg and a total pressure of 760 mm Hg) how will the flame temperature be affected? DA TA(k J/mol) (1.11)2CO CO FOR513.393523.110)/(--∆m o lkJ H f 2222,)(O N g O H CO CO FOR34505733]/[K mol J C P ∙Solution)(1052)(75438286370])295.03450(241604[026.0])335.03457(110523393513[079.0])([%8.66%%,8.6%%,6.2%%,8.15%%,9.72.0/83.110012%)()(1122)(82538313430])295.03450(241604[029.0])335.03457(110523393513[086.0])([%7.65%%,7.5%%,9.2%%,1.17%%,6.82.0/810012%2121)(,,,,,,,02222,,,,,,,0222222222K T K T T n C T T X C dT n C n C H x H N O H CO CO b K T K T T n C T T X C dT n C n C H x H N O H CO CO OH O H CO O CO a i i r P ii P i i r P i i p P i i i i r P ii P i i r P i i p P i i ===∆=∆-∆-⨯--+∆-⨯---=+--∆=∆=====⨯+====∆=∆-∆-⨯--+∆-⨯---=+--∆=∆=====+=→+→+∑∑∑⎰∑∑∑∑∑⎰∑∑)(1419),(11213842594034286.0)402(2.39714.0])295.03450(241604[029.0])335.03457(110523393513[086.0)3(K T K T T T T T H ===∆=∆⨯--∆⨯-∆-⨯--+∆-⨯---=∆12.A bath of molten copper is super cooled to 5℃ below its true melting point. Nucleation of solid copper then takes place, and the solidification proceeds under adiabatic conditions. What percentage of the bath solidifies?DATA: Heat of fusion for copper is 3100 cal/mol at 1803℃(the melting point of copper) C P,L =7.5(cal/mol ℃), C P,S =5.41+(1.5*10-3T )(cal/mol ℃) (1.12) Solution)/(310355.75.0)17981803(105.1541.5310002231798,1798,17981803,18031798,1803,mol cal H H dT C dT C HL S SL L P S P LS =⨯-⨯-⨯+⨯+==+++-⎰⎰13.Cuprous oxide (Cu 2O) is being reduced by hydrogen in a furnace at 1000K, (a)write the chemical reaction for the reduced one mole of Cu 2O(b)how much heat is release or absorbed per mole reacted? Given the quantity of heat and state whether heat is evolved (exothermic reaction) or absorbed (endothermic reaction) DATA: heat of formation of 1000K in cal/mol Cu 2O=-41900 H 2O=-59210 (1.13) solution)/(173104190059210222mol cal H OH Cu H O Cu =-=∆+=+,exothermic reaction14. (a) what is the enthalpy of pure, liquid aluminum at 1000K?(b) an electric resistance furnace is used to melt pure aluminum at the rate of 100kg/h. the furnace is fed with solid aluminum at 298K. The liquid aluminum leaves the furnace at 1000K. what is the minimum electric powder rating (kW) of furnace.DATA : For aluminum : atomic weight=27g/mol, C p,s =26(J/molK), C p,L =29(J/molK), Melting point=932K, Heat of fusion=10700J/mol (1.14)Solution )(28.0)(7.2793600110002727184)/(2718410700)9321000(29)298932(261000932,932298,1000,kW W P mol J H dT C dT C H SLL P S P l ==⨯⨯==+-⨯+-⨯=++=⎰⎰15 A waste material (dross from the melting of aluminum) is found to contain 1 wt% metallic aluminum. The rest may be assumed to aluminum oxide. The aluminum is finely divided and dispersed in the aluminum oxide; that is the two material are thermally connected.If the waster material is stored at 298K. what is the maximum temperature to which it may rise if all the metallic aluminum is oxidized by air/ the entire mass may be assumed to rise to the same temperature. Data : atomic weight Al=27g/mol, O=16g/mol, C p,s,Al =26(J/molK), C p,s,Al2O3=104J/mol, heat formation of Al 2O 3=-1676000J/mol(1.15)Solution;)(600)(3021041029927275.116122711676000K T K T T ==∆∆⨯⨯++⨯⨯=⨯⨯16 Metals exhibit some interesting properties when they are rapidly solidified from the liquid state. An apparatus for the rapid solidification of copper is cooled by water. In the apparatus, liquid copper at its melting point (1356K) is sprayed on a cooling surface, where it solidified and cools to 400K. The copper is supplied to the apparatus at the rate of one kilogram per minute. Cooling water is available at 20℃, and is not allowed to raise above 80℃. What is the minimum flow rate of water in the apparatus, in cubic meters per minute? DATA; for water: C p =4.184J/g k, Density=1g/cm 3; for copper: molecular weight=63.54g/mol C p =7cal/mol k, heat of fusion=3120 cal/mol (1.16)Solution:min)/(10573.2)2080(1min /min54.631000)]4001356(73120[min /33m V VQ Q Water Copper -⨯=-=⨯⨯-⨯+=17 water flowing through an insulated pipe at the rate of 5L/min is to be heated from 20℃ to 60℃ b an electrical resistance heater. Calculate the minimum power rating of the resistance heater in watts. Specify the system and basis for you calculation. DATA; For water C p =4.184J/g k, Density=1g/cm 3 (1.17) Solution: )(139476010005)2060(184.4W W =⨯⨯-⨯=18 The heat of evaporation of water at 100℃ and 1 atm is 2261J/mol (a) what percentage of that energy is used as work done by the vapor?(b)if the density of water vapor at 100℃ and 1 atm is 0.597kg/m 3 what is the internal energy change for the evaporation of water? (1.18)Solution: )/(375971822613101%6.71822613101%)/(31010224.0273373101325mol J Q W U mol J V P =⨯+-=+=∆=⨯==⨯⨯=∆19 water is the minimum amount of steam (at 100℃ and 1 atm pressure) required to melt a kilogram of ice (at 0℃)? Use data for problem 1.20 (1.19) Solution )(125,3341000)10018.42261(g m m =⨯=⨯+20 in certain parts of the world pressurized water from beneath the surface of the earth is available as a source of thermal energy. To make steam, the geothermal water at 180℃ is passed through a flash evaporator that operates at 1atm pressure. Two streams come out of the evaporator, liquid water and water vapor. How much water vapor is formed per kilogram of geothermal water? Is the process reversible? Assume that water is incompressible. The vapor pressure of water at 180℃ is 1.0021 Mpa( about 10 atm) Data: C P,L =4.18J/(g k), C P,v =2.00J/(g k), △H V =2261J/g, △H m =334 J/g (1.20) Solution:leirreversib g x x x )(138),1000(8018.4)8018.48022261(=-⨯⨯=⨯-⨯+The problems of the second law1 The solar energy flux is about 4J cm 2/min. in no focusing collector the surface temperature can reach a value of about 900℃. If we operate a heat engine using the collector as the heat source and a low temperature reservoir at 25℃, calculate the area of collector needed if the heat engine is to produce 1 horse power. Assume the engine operates at maximum efficiency. (2.1)Solution )(664.0)(74660104273900)25900(24m S W tWP StQ T T T W H H L H ===⨯⨯+-=-=2 A refrigerator is operated by 0.25 hp motor. If the interior of the box is to be maintained at -20℃ ganister a maximum exterior temperature of 35℃, what the maximum heat leak (in watts) into the box that can be tolerated if the motor runs continuously? Assume the coefficient of performance is 75% of the value for a reversible engine. (2.2)Solution:)(114474625.02035202733475.0%75W P P T T T P Q T T T W L LLLH HHLH =⨯⨯+-⨯=-=-=3 suppose an electrical motor supplies the work to operate a Carnot refrigerator. The interior of the refrigerator is at 0℃. Liquid water is taken in at 0℃ and converted to ice at 0℃. To convert 1 g of ice to 1 g liquid. △H=334J/g is required. If the temperature outside the box is 20℃, what mass of ice can be produced in one minute by a 0.25 hp motor runningcontinuously? Assume that the refrigerator is perfectly insulated and that the efficiencies involved have their largest possible value. (2.3)Solution: )(4576033474625.020273g m M m P P T T T P L LLLH ===⨯⨯=-=4 under 1 atm pressure, helium boils at 4.126K. The heat of vaporization is 84 J/mol what size motor (in hp) is needed to run a refrigerator that must condense 2 mol of gaseous helium at 4.126k to liquid at the same temperature in one minute? Assume that the ambient temperature is 300K and that the coefficient of performance of the refrigerator is 50% of the maximum possible. (2.4)Solution: )(52.0)(393'60284216.4216.4300'5.0%50hp W P P T T T P P Q T T T W L L L H LLLH ==⨯⨯-=-==-= 5 if a fossil fuel power plant operating between 540 and 50℃ provides the electrical powerto run a heat pump that works between 25 and 5℃, what is the amount of heat pumped into the house per unit amount of heat extracted from the power plant boiler. (a) assume that the efficiencies are equal to the theoretical maximum values(b) assume the power plant efficiency is 70% of maximum and that coefficient ofperformance of the heat pump is 10% of maximum(c) if a furnace can use 80% of the energy in fossil foe to heat the house would it be moreeconomical in terms of overall fissile fuel consumption to use a heat pump or a furnace ? do the calculations for cases a and b (2.5)solution:1,2,2,1,212,2,2,2,21,1,1,1,198.82527352527354050540)(H H H H H H L H H H L H P P P P P P P T T T P P T T T P a =+-=+-=-=-=.,)(6286.0)(1,2,not is b ok is a c P P b H H =6 calculate △U and △S when 0.5 mole of liquid water at 273 K is mixed with 0.5 mol of liquid water at 373 K and the system is allowed to reach equilibrium in an adiabaticenclosure. Assume that C p is 77J /(mol K) from 273K to 373K (2.6) Solution:)/(933.0)273323ln(5.0)373323ln(5.0)ln()ln()(02211K J C C T T C n T T C n S J U P P E P E P =+=+=∆=∆ 7 A modern coal burning power plant operates with a steam out let from the boiler at 540℃and a condensate temperature of 30℃.(a) what is the maximum electrical work that can be produced by the plant per joule of heatprovided to the boiler?(b) How many metric tons (1000kg) of coal per hour is required if the plant out put is to be500MW (megawatts). Assume the maximum efficiency for the plant. The heat of combustion of coal is 29.0 MJ/k g(c) Electricity is used to heat a home at 25℃ when the out door temperature is 10℃ bypassing a current through resistors. What is the maximum amount of heat that can be added to the home per kilowatt-hour of electrical energy supplied? (2.7)Solution:)(3.69)(6937136005000.29)()(89.013054030540)(ton kg m T T T mb J Q T T T W a LH LH H L H ==⨯=-=+-=-=)(9.191102525273)(J Q Q T T T W c H HHLH =-+=-=8 an electrical resistor is immersed in water at the boiling temperature of water (100℃) the electrical energy input into the resistor is at the rate of one kilowatt(a) calculate the rate of evaporation of the water in grams per second if the water containeris insulated that is no heat is allowed to flow to or from the water except for that provided by the resistor(b) at what rate could water could be evaporated if electrical energy were supplied at therate of 1 kw to a heat pump operating between 25 and 100℃data for water enthalpy of evaporation is 40000 J/mol at 100℃; molecular weight is 18g/mol; density is 1g/cm 3 (2.8)solution:)(23.2,2510027310010004000018)()(45.0,10004000018)(g m m b g m ma =-+===9 some aluminum parts are being quenched (cooled rapidly ) from 480℃ to -20℃ byimmersing them in a brine , which is maintained at -20℃ by a refrigerator. The aluminum is being fed into the brine at a rate of one kilogram per minute. The refrigerator operates in an environment at 30℃; that is the refrigerator may reject heat at 30℃. what is them minuspower rating in kilowatts, of motor required to operate the refrigerator? Data for aluminum heat capacity is 28J/mol K; Molecular weight 27g/mol (2.9)Solution:)(5.102)(102474202732030)20480(28271000kW W P P T T T P P L L L L H W L ==---=-=--⨯=10 an electric power generating plant has a rated output of 100MW. The boiler of the plantoperates at 300℃. The condenser operates at 40℃(a) at what rate (joules per hour) must heat be supplied to the boiler?(b) The condenser is cooled by water, which may under go a temperature rise of no morethan 10℃. What volume of cooling water in cubic meters per hour, is require to operate the plant?(c) The boiler tempeture is to be raised to 540℃,but the condensed temperature and electricoutput will remain the same. Will the cooling water requirement be increased, decreased, or remain the same?Data heat capacity 4.184, density 1g/cm 3 (2.10)Solution: )(109.7)(102.21040300273300)(1188J t P Q W P T T T P a H H L H H H ⨯==⨯=-+=-=)(1003.1184.41010)(103.4)(34611m V Q V J Q b L L ⨯==⨯⨯⨯⨯=noW P T T T P c L H H H )(10626.11040540273540)(88⨯=-+=-=11 (a) Heat engines convert heat that is available at different temperature to work. Theyhave been several proposals to generate electricity y using a heat engine that operate on the temperature differences available at different depths in the oceans. Assume that surface water is at 20℃, that water at a great depth is at 4℃, and that both may be considered to be infinite in extent. How many joules of electrical energy may be generated for each joule of energy absorbed from surface water? (b) the hydroelectric generation of electricity use the drop height of water as the energy source. in a particular region the level of river drops from 100m above sea level to 70m above the sea level . what fraction of the potential energy change between those two levels may be converted into electrical energy? how much electrical energy ,in kilowatt-hours, may be generated per cubic meter of water that undergoes such a drop? (2.11)Solution:)/(1006.136001000)()(055.0127320420)(6h kW hmg P b J Q T T T W a H H L H ⨯=⨯∆==+-=-=12 a sports facility has both an ice rink and a swimming pool. to keep the ice frozen during the summer requires the removal form the rink of 105 KJ of thermal energy per hour. It has been suggested that this task be performed by a thermodynamic machine, which would be use the swimming pool as the high temperature reservoir. The ice in the rink is to be maintain at a temperature of –15℃, and the swimming pool operates at 20℃, (a) what is the theoretical minimum power, in kilowatts, required to run the machine? (b) how much heat , in joule per hour , would be supplied t the pool by this machine? (2.12)Solution:)(1014.1101527320273)()(77.33600/10152731520)(555kJ Q b kW P T T T P a H L L L H ⨯=-+==-+=-=13solution:)/(81.6810ln 314.877.45277.6282.4)/(152940)()/(67.4977.45277.6282.4)()/(152940)(22)(2molK cal S mol cal H d molK cal S c mol cal H b AlNN Al a -=+-⨯-⨯=∆=∆-=-⨯-⨯=∆=∆=+14solution:)/(2257412000)27340273ln 184.4273336263273ln1.2()(40,010,K J dT T C T H dT T C m S WATER P m mICE P =+++=+∆+=∆⎰⎰- 15)(70428)(2896100077773002J W J Q T T T W L L L H ==-=-=16)(4.3719))2.4300(314.85.13.83(3002.4300)(7.58663.832.42.4300J Q T T T W J Q T T T W H H L H L L L H =-⨯+-=-==-=-=17yesd Q c K J PPnR S b J pdV n W Q OU T a )(0)()/(1.1910ln 314.81ln )()(570410ln 298314.810)(0==⨯⨯==∆=⨯⨯=-=-==∆=∆⎰18)(122233527302033560500g m m m T T T L L H =-=-=⨯教材各章习题参考答案 (魏)3.2 ΔG = -108.9 J/mol; ΔS = -21.42 J/(mol.K)3.6 (a ) 22.09/(.)S J mol K ∆=;(b) At 0︒C, ∆G =0; (c) ∆H = 5841.9 J;(d) ∆S =21.39J /(mol.K),∆G = 109.38 J/mol4.1 (a ) 2898.28J/mol; ( b ) No; ( c ) 345 J/mol; ( d ) 14939 atm; ( e )4921 J/mol4.2 ( a ) 272.8K; ( b ) Pa P 610345⨯≈∆ ; ( c ) 249.46K 4.3 1202K4.4 P=5.73⨯10-6 atm 4.5 0.16P4.7 08.10430685ln +-=TP 4.8 ( a ) 1180K; ( b ) 695.3K; ( c ) 114.4kJ/mol; ( d ) 7123 J/mol; ( e )4.2J/mol4.9 In the initial state: 4.06 mol %; in the final state:5.3 mol% 4.10 ( a )348 kJ; ( b ) 2.3×10-3Pa ;( c ) “ solution not possible ”; (d ) “solution not possible ”5.1 atm p H 0005.0= 5.2、atmp o 1221007.1-⨯=If the error in enthalpy is 500cal, the uncertainty in the pressure calculated is 28.6%, and if the error in enthalpy is -500cal, the uncertainty is -22.1%5.3、(a) T =462K; (b) T = 420K5.4 (a) atm P O 2621014.1-⨯=, (b) P O2 =2.28⨯10-10 atm., (c) The equilibriumoxygen pressure remains the same when the total pressure increases, which means a higher purity level of N 2 .5.5 (a) 略; (b) Pa atm P H 8.181013056.1800019.0)('2=⨯==; (c) 21.5L Ar isneeded to be bubbled into the melt.5.6(a )l n K a1/T, 10-31/K=∆-=∆o o G kJ H 1000;50- 66.6kJ(b) Ja = 3 < Ka, the reaction will proceed from left to right, and theatmosphere will not oxidize Ni. 5.7 略5.8. (a) P SiO = 8.1⨯10-8 (atm) (b) ∆H o = 639500J; ∆So =334.9J/K (c ) PO2 =10-30 atm 5.9 5.10.J H o72250=∆,the reaction is an endothermic one.5.11. (a),166528J H o =∆ the reaction is an endothermic one.; (b) At 1168K, the equilibrium pressure of CO2 equals one atmosphere.)(106.08)(atm Pg u -⨯=5.12 (a) 略 , (b) Mg CO P P =; (c) T = 2037 K 5.13 (a) 略; (b) 13109.2⨯=K ; (c) ppm 186.0 5.14 (a) 略; (b) kJ H 52.267=∆; (c) K T 1592= 5.15 (a) )(106.13atm -⨯≈; (b) )(1028.210)(2atm P g O H -⨯=5.16 (a) 97.9=K ; (b) atm x 14.4=; (c) if the temperature is increased, the fraction of water reacted will increase since the equilibria constant increases with increasing temperature.6.2 (a )1.287V;(b) When the water impure, the voltage will go higher; (c) 1.219V 6.4 (a) 145.3kJ;(b) The maximum work that could be derived is 702.36kJ; (c) In this case, the maximum work that could be derived is696.56kJ.6.5 (a) -6252J/mol; (b) 370.0)(=II Cd a ; (c) )(42.3mmHg P Cd =; 6.67.87⨯10-4 V 6.7 (a))(22g Cl Mg MgCl +=(b) Pa P Cl 21'1086.82-⨯=;(c) 2.485V6.8 (a) Pa P O 11'2105.5-⨯=;(b) Anode: e Ni Ni 2+→Cathode: -→+2222/1O e O ;(c) 0.757V; (d) 0.261V6.10 (a) )(509.3V E o=;(b) 0.074kJ;(c) 4.1⨯106J;(d) Yes. In this case, the open circuit voltage is 3.648V;(e) In this case, to keep the temperature constant, 3.92⨯106J heatshould be removed from the battery per hour. 6.11(a) TG CO Al C O Al o 26.3211008.12/322/36232-⨯=+=+Δ(b) The minimum voltage at which the electrolysis may be carriedout at 1250K is 1.172V .7.1 0.117 atm 7.5 ( a ) ,82.5 2.5 2.5B A BA BB T PV V V x x x x x ⎛⎫∂=+=--⎪∂⎝⎭ ,102.5 2.5 2.5A B A A B A T PV V V x x x x x ⎛⎫∂=+=-- ⎪∂⎝⎭( b) B A M x x V 5.2=7.7 2)1(736.0ln Sn Sn x --=γ7.8 The maximum solubility of MgF2 in liquid MgCl at 900︒C is 19。
材料热力学与动力学复习题答案一、常压时纯Al 的密度为ρ=2.7g/cm 3,熔点T m =660.28℃,熔化时体积增加5%。
用理查得规则和克-克方程估计一下,当压力增加1Gpa 时其熔点大约是多少? 解:由理查德规则RTm Hm R Tm Hm Sm ≈∆⇒≈∆=∆ …①由克-克方程VT H dT dP ∆∆=…② 温度变化对ΔH m 影响较小,可以忽略,①代入②得 V T H dT dP ∆∆=dT T1V Tm R dp V T Tm R ∆≈⇒∆≈…③ 对③积分 dT T1V T Tm R p d T Tm Tm pp p ⎰⎰∆+∆+∆= 整理 ⎪⎭⎫ ⎝⎛∆+∆=∆Tm T 1ln V Tm R p V T R V Tm R Tm T ∆∆=∆⨯∆≈ Al 的摩尔体积 V m =m/ρ=10cm 3=1×10-5m 3Al 体积增加 ΔV=5%V m =0.05×10-5m 3K 14.60314.810510R V p T 79=⨯⨯=∆∆=∆- Tm’=Tm+T ∆=660.28+273.15+60.14=993.57K二、热力学平衡包含哪些内容,如何判断热力学平衡。
内容:(1)热平衡,体系的各部分温度相等;(2)质平衡:体系与环境所含有的质量不变;(3)力平衡:体系各部分所受的力平衡,即在不考虑重力的前提下,体系内部各处所受的压力相等;(4)化学平衡:体系的组成不随时间而改变。
热力学平衡的判据:(1)熵判据:由熵的定义知dS Q T δ≥不可逆可逆对于孤立体系,有0Q =δ,因此有dS 可逆不可逆0≥,由于可逆过程由无限多个平衡态组成,因此对于孤立体系有dS 可逆不可逆0≥,对于封闭体系,可将体系和环境一并作为整个孤立体系来考虑熵的变化,即平衡自发环境体系总0S S S ≥∆+∆=∆ (2)自由能判据 若当体系不作非体积功时,在等温等容下,有()0d ,≤V T F 平衡状态自发过程上式表明,体系在等温等容不作非体积功时,任其自然,自发变化总是向自由能减小的方向进行,直至自由能减小到最低值,体系达到平衡为止。
solution:)/(81.6810ln 314.877.45277.6282.4)/(152940)()/(67.4977.45277.6282.4)()/(152940)(22)(2m olK cal S m ol cal H d m olK cal S c m ol cal H b AlNN Al a -=+-⨯-⨯=∆=∆-=-⨯-⨯=∆=∆=+Solution :)/(173104190059210222mol cal H OH Cu H O Cu =-=∆+=+,exothermic reactionFor the reaction :)()(212g H g H → 035.33121314.823212,)(,-=⨯-⨯=-=∆H P g H P p C C CJC H dT C H H P oP oo 2128241702035.3217990)2982000(29820002982982000=⨯-=-⨯∆+∆=∆+∆=∆⎰JC H dT C H H P oP oo 2128241702035.3217990)2982000(29820002982982000=⨯-=-⨯∆+∆=∆+∆=∆⎰J C S dT C S S P oP oo 57.432982000ln035.335.492982000ln29820002982982000=⨯-=⨯∆+∆=∆+∆=∆⎰J S T H G 12568457.432000212824020000200002000=⨯-=∆-∆=∆56.72000314.8125684ln125684lnln lnln )(2/1)(2/1)(2/12/1)(20002222=⨯=→==-=-=∆g H H g H H g H H H g H o P P P P RT P P RT P P RT K RT GatmP P P P P H g H H g H g H 0005.0562.71ln1,1)(2)(2)(2=→=≈=+Solution: (a) When the equilibrium is reached,0P ln 21ln 2=∆=+∆=∆O o o RT G J RT G G -RT T P O 21)06.1539850(18.4ln 2+-⨯=T = 500︒C = 773KatmP P O O 26221014.169.36773314.821)77306.1539850(18.4ln -⨯=-=⨯⨯⨯+-⨯=(a) at T=300︒C=573K,Although the equilibrium P O2 is very low, kinetically the reaction isnot favoured and reaction speed is very slow. So 300︒C is not suitable atAt T=800︒C=1073K, lnP O2 =-22.2, P O2 =2.28⨯10-10 atm. At 800︒C, if the equilibrium is reached, nitrogen can be of high purity level. However, at this high temperature , particles of Cu will weld together to reduce effective work surface. So it is not suitable to use this high temperature in purification either.(c ) The equilibrium oxygen pressure remains the same when the total pressure increases, which means a higher purity level of N 2 .Solution: N 2 =2N, H 2 = 2H[]21221,N N a P K N = , [],21221,H H a P K H =For N2 dissolving :For H2 dissolving :2/1'2'2/12)(][][H HP H P H =(a )For dissolving N2, P N2 = 1 atm, [N]=35cm 3/100g melt,melt g cm P N P N N N 100/75.24)5.0(35][)(][32/12/122/1'2=⨯==‘similarly: [H]’ =24.75cm 3/100g melttotal gas : [H]'+[N]' = 49.5 cm 3/100g melt (b) [H]' =24.75 cm 3/100g melt (c ) [H]'+[N]' =2/1'2'2/12)(][][N N P N P N = [N](0.33)1/2 /1+[H](0.33)1/2/1=20.10+20.10 = 40.2cm 3/100g meltSolution : (1)0.2H∆ (2)G∆=max W (3)56KJ.696}{0.21P P P P RTlnG KTlnk G G 23O OH CH CO 20H 2322=+∆=+∆=∆)()()()(θθSolution:(a)molJF Z -6252EG =-=∆θθ(b)0.370a ln RT G Cd==∆ (c))(3.42P PPCdmmHg ==θSolution:(b)PaP P g Cl g Cl 21)()(10*86.8-RT ln G 125.4T -605000G 22-==∆=∆θθ(c)-2.485VZF-GE =∆=答案更正为:Temperat ure Phase CompositionFraction1300 Liquid 60 61.5α8 38.5β99 0 1000+ Liquid 70 50.8α9 49.2β98 0 1000- Liquid _ 0α7 63.7β98 36.3Solution: )/(363102.20721]108.4)25327(3.29[2121)(23322s m V v n n WQ nMv m v W H T C n Q Q Q absorb melting p melt increase absorb =⨯=⨯+-⨯===∆+∆=+=-Solution )/(24560208.975)/(12160602410467000//)(104670001868.4102500sin 3S J t h m g P S J t Q t W P J Q g increa Burning Burning =⨯⨯=∆==⨯⨯====⨯⨯=Solution :)(6.436)106103(1075.72)(106)105.0(4)105.0(34)101(232523263631J S W m nS S Single total =⨯-⨯⨯⨯=∆=⨯=⨯⨯⨯⨯⨯⨯⨯⨯==-+----σππSolution)(25.6)(7466010427390)2590(24m S W tWP StQ T T T W H H L H ===⨯⨯+-=-=Solution:)(64374625.02035202734375.0W P P T T T P Q T T T W L LLLH HHLH =⨯⨯+-⨯=-=-=solution:1,2,2,1,212,2,2,2,21,1,1,1,198.82527352527354050540)(H H H H H H L H H H L H P P P P P P P T T T P P T T T P a =+-=+-=-=-=.,)(6286.0)(1,2,not is b ok is a c P P b H H =Solution:molJ P P RT G waterO H ice O H /9.1089523.0ln 268314.8163.3012.3ln)5273(314.8ln,,22-=⨯⨯=-⨯==∆mol J H /1085.53⨯=∆)/(23.22268)9.108(5850K mol J T G H S ST H G ⋅=--=∆-∆=∆∴∆-∆=∆Solution: (a) At 0︒C, ∆G =0, ∴ T m ∆S = ∆H)./(09.222736030K mol J T H S m ==∆=∆ (b) At 0︒C, ∆G =0 ©)./(62.37)./(1818.45.0)./(5.0,K mol J K mol J K g cal C ice P =⨯⨯==./(1818.40.1)./(0.1,Kmol J K g cal C water P ⨯⨯==a reversible process can be designed as follows to do the calculation:molJ HdT C C dTC H dT C H H H Hwater P ice p water p ice p fu/9.584160305)24.7562.37()(273268,,268273,273268,)3()2()1(=+⨯-=∆+-=+∆+=∆+∆+∆=∆⎰⎰⎰(d ))./(39.2109.22268273ln )24.7562.37()(3273268,,268273,273268,)3()2()1()4(K m ol J SdT TC C dTTC S dT TC S S S water P ice p waterp icep =+⨯-=∆+-=+∆+=∆+∆+∆=∆⎰⎰⎰38.10939.212689.5841)4()4()4(=⨯-=∆-∆=∆S T H GIce, 0︒Cwater, 0︒Cwater, -5︒Cice, -5︒C(1)(2)(3)(4)Solution: (a)diam ondgr aphite C C =mol kJ H H H ographite f o diam ond f /1897,,=∆-∆=∆)./(36.338.274.5,,K molJ S S S o graphite f o diam ond f -=+-=∆-∆=∆molJ S T H G /28.2898)36.3(2981897=-⨯-=∆-∆=∆(b) No, diamond is not thermodynamically stable relative to graphite at 298K. (c )molJ P V G diamand /29.34101309951.310126=⨯⨯⨯=∆=∆-(c ) Assuming N atm , ∆G = 0, reversible processes as following can be designed to realize this,(4)graphite, 298K, N atmdiamond, 298K, N atm)(14939028.2898194.028.28981013051.3101225.2101228.289810130)1)(V V ()(V 28.2898V 66)3()2()1()4(atm N N N N P P G G G G diamond graphite diamond graphite ==+-=+⨯⎪⎪⎭⎫ ⎝⎛⨯-⨯-=+⨯--=∆-++∆∆∆∆∆--=++=,0,0''=∆=∆=∆⎰⎰dT TC dT C C T Tp T T p pmol J H H /1897298900=∆=∆K mol J S S ./36.3298900-=∆=∆molJ S T H G /492136.39001897=⨯+=∆-∆=∆Solution: (a) Ag 2O = 1/2O 2 + 2Ag30514/7300,==∆-=∆mol cal H H o AgO f o K m ol J S S S S O Ag O Ag o ./044.661.2949212.102212298,2298,2298,=-⨯+⨯=∆-∆+∆=∆TS T S T H G o o o o 044.663051430514-=∆-=∆-∆=∆when Ag2O begins to decompose,ln 044.66305140ln 2=+-=+∆=∆O o P RT T ie J RT G G(a) i n pure oxygen at 1 atm, RTlnP O2 = 030514-66.044T = 0 T = 462K(b) i n air at P total = =1 atm , P O2 =0.21ie. 30514- 66.044T + RTln0.21 = 0 T = 386KSolution: (a))1(ln Td R H K d o a ∆-= Plot T K a /1~ln0.880.900.920.940.960.981.001.02 1.04 1.06 1.087.27.47.67.88.08.28.48.6lnK a =2.01+6003(1/T)l n K a1/T, 10-3KduishuLinear Fit of Data1_Kduishu.J R H RH dT K d o oa 4990960036003ln -=⨯-=∆→=∆-=At T=1000K, lnK a =8.01, K a = 3010kJ J K RT G a o 6.666660001.81000314.8ln 1000==⨯⨯-=-=∆(b)aaa o K J K J RT J RT K RT J RT G G <===+-=+∆=∆3%5%15lnln ln lnSo the atmosphere will oxidize Ni.Solution:(-3)10^*3.680.32*0.00005*320PNa==BrH C B Cl H C X AA 5656A *::A P P =325.101)1(P P 325.101P P B *A *B *A *=-=++A A B A X X X Xk P aP k P a P X X B A B A 71.2659.74404.00.5956====Solution:(1)894.0814.0396.3033.37*30.396kPa 50.66*0.6P )()()(=====R B R A R A A a a a同理得(2)788.162.12222)(='=''=+⨯'=B AAA R A r r r r a 同理得(3)JmixG G mix mixG a RT a RT G mix R B R A 16102ln ln )()(-=∆∆=∆+=∆(4)m olJm ixG G m ix m ixGX RT X RT G m ix id ididBA id 69152ln ln -=∆∆=∆+=∆(5)J mixG mixG mixG id ex 5305=∆-∆=∆c.molJWXmolJWXX W X WX FeMn E MnFeE Mn BA M E 87.71846.16176.094.4492a 22=======μμ时, d.m olJX X X X RT X X RT M EMn Mn Fe Fe MEi i M 9370G )ln ln (G )ln (mixG -=∆++=∆+=∆∑ e.Solution:The standard Gibbs free energy change for reaction I: a.[]298.53TlnT244560-G ⨯+=∆θ b.5422711031074.1ln G --⨯=⨯==∆K K KRT 同理可得θ c.JJ RT G 5107ln G ⨯=+∆=∆θ ; Ni is stable under this condition,and NiO is not stable;d.Paatm P J RT G O 5853103.3103.3ln G 2⨯=⨯=+∆=∆θe 。
《材料热力学》考试试题
(2014年12月23日)
1.名词解释(30分)
(1) 混合吉布斯自由能
(2) 过剩吉布斯自由能:P2左上
(3) Dulong 和Petit 规则:P6右上
(4) Neumann-Kopp 规则:P6右上
(5) Pictet 和Trouton 规则:P6右上二,教材P22
(6) 热力学稳定图:P7右上
(7) 磁性对吉布斯自由能的3个参数:P4左下
(8) 2元系退化平衡的两种情况:P20,一般是二个熔点相差很大的体系,在低熔点元素附近的平衡,温度很接近该元素熔点,成分很接近边界,无法分辨出是共晶还是包晶反应,它说的两种情况应该是指包晶反应的退化和共晶反应的退化。
(9) 化学势:化学势又称为偏摩尔势能,化学势就是吉布斯自由能对成分的偏微分,教材P70
(10) 热力学第四定律:P11右上二
2. 钢铁中M2C相由亚点阵(Cr,Fe,Mo)1(C, Va)0.5表示
(1) 写出吉布斯自由能表达式,并注明表达式中各符号的意义
(2) 写出Cr的摩尔分数x Cr与其点阵分数之间的关系式(20分)
3. 解释Schreinemarkers’ rule, 并说明图中哪个相图不符合Schreinemarkers’ rule(20分)
(a) (b) (c)
Schreinemarkers’ rule:
the extrapolations of boundaries of the one-phase field in t he elementary unit must either both fall inside the three-ph ase fields or inside each of the two two-phase fields
4. Cr-Ni-Nb三个边界二元系的相图及液相面投影图如下所示:
请写出点U1, U2, E1, E2, e5,max的相平衡表达式,并画出Cr-Ni-Nb体系含液相的反应图(30分)。
NbCr2。