课时跟踪检测(三) Discovering Useful Structures
- 格式:doc
- 大小:49.50 KB
- 文档页数:5
课时跟踪检测(三) Discovering Useful Structures Ⅰ.单句语法填空1.(2018·浙江11月高考)Caffeine, a chemical typically found (find) in coffee, has caused a lot of concern.2.Designed (design) very cleverly to fit into corners, the shelf doesn't take up much room.3.The new technology, if applied (apply) to rice growing, will help increase the grain output.4.Considered (consider) as a building material, wood is not very strong. 5.Given (give) another 10 days, we are sure to complete repairing the machine. 6.Filled (fill) with shame, the boy lowered his head, ready for the punishment from his dad.7.When first introduced (introduce) to the market, these new products in their company enjoyed a great success.8.Located (locate) in the central district, the hotel offers the best service with the lowest price.9.Surrounded (surround) by a river, the park had a central pond with flowers floating in it.10.Disappointed (disappoint) at failing in the math exam, John wouldn't like to talk about it to his parents.11.Everyone present is very inspired (inspire) at his speech.12.As we joined the big crowd I got lost (lose) from my friends.Ⅱ.完成句子1.Absorbed_in_his_science_research,_he has no time to relax.由于专心于科学研究事业,他没有时间放松。
课时跟踪检测(三) Discovering Useful Structures Ⅰ.翻译短语并写出短语类型(NP/AdjP/AdvP)1.very nice and patient 非常好且有耐心AdjP2.the new school 新学校 NP3.strong enough 足够强壮 AdjP4.really very excited 真的非常兴奋 AdjP5.very slowly 非常缓慢 AdvP6.the tall boy under the tree 树下那个高个子男孩 NP7.a sales manager 销售经理 NP8.well enough 还好;过得去 AdvP9.much more important 重要得多 AdjP10.really good for the boy 对这个男孩真的很好 AdjPⅡ.完成句子1.My teacher recommended that I should choose advanced_maths.我的老师建议我选择高等数学。
2.I can read English quite_well,_but I have difficulty spelling words.我英语读得很好,但拼写单词有困难。
3.My English teacher is a_very_beautiful_and_outgoing_person.我的英语老师是一个非常漂亮且外向的人。
4.The news was a_little_surprising to her son.这消息让她的儿子有点惊讶。
5.That's not little! That's a_really_big_problem.那一点也不小,那可真是个大问题。
6.It would be a matter whether she was well_enough to travel.问题是她是否已康复到可以旅行。
Unit 1 课时跟踪检测(三)Discovering Useful StructuresⅠ.单词拼写1.My parents tried to create an easy atmosphere (氛围) to make me relaxed.2.Today is fifteenth, August of lunar (阴历的) calendar, a most important Chinese festival.3.Just before Christmas and on Christmas Day, people say “Merry (愉快的) Christmas” to other people.4.It was the eve (前夕) of our 20th wedding anniversary.5.She recognized her mother's graceful handwriting on the envelope (信封).Ⅱ.单句语法填空1.By far, there are many problems remaining (remain) to be solved.2.The woman looking (look) at her map is a relative of my mother.3.Give me the blue raincoat, please, the one hanging (hang) behind the door.4.The stadium being_built (build) at present in our city is intended for the ing Asian Games.5.The scenery there is so amazing (amaze) that no one shouldn't miss it.6.When she got home, there was a pile mail waiting (wait) for her.7.The news was exciting (excite) and we were in high spirits the whole night.Ⅲ.完成句子1.The boy standing_under_the_tree can speak English fluently.站在树下的那个男孩能说一口流利的英语。
UNIT 1课时跟踪检测(三)Discovering Useful Structures Ⅰ.翻译短语并写出短语类型(NP/AdjP/AdvP)1.very nice and patient非常好且有耐心AdjP2.the new school 新学校NP3.strong enough 足够强壮AdjP4.really very excited 真的非常兴奋AdjP5.very slowly 非常缓慢AdvP6.the tall boy under the tree 树下那个高个子男孩NP7.a sales manager 销售经理NP8.well enough 还好;过得去AdvP9.much more important 重要得多AdjP10.really good for the boy 对这个男孩真的很好AdjPⅡ.完成句子1.My teacher recommended that I should choose advanced_maths.我的老师建议我选择高等数学。
2.I can read English quite_well,_but I have difficulty spelling words.我英语读得很好,但拼写单词有困难。
3.My English teacher is a_very_beautiful_and_outgoing_person.我的英语老师是一个非常漂亮且外向的人。
4.The news was a_little_surprising to her son.这消息让她的儿子有点惊讶。
5.That's not little! That's a_really_big_problem.那一点也不小,那可真是个大问题。
6.It would be a matter whether she was well_enough to travel.问题是她是否已康复到可以旅行。
WELCOME UNIT课时跟踪检测(三)Discovering Useful Structures Ⅰ.单句语法填空1.He is_running (run) now.2.Chatting on the Internet is interesting (interest).3.You promised to_stay (stay) another two days.4.He gave me (I) a book yesterday.5.What he said yesterday made his sister angry (anger).6.When he saw me, he smiled and waved (wave).7.So far there has been no proof (prove) that aliens do exist.Ⅱ.完成句子1.The_river_looks_very_beautiful (这条河看上去非常美丽) in the early morning.(SP) 2.I hear that a_baby_is_crying_in_the_next_room (一个婴儿正在隔壁房间哭). (SV A) 3.I’m_looking_forward_to_seeing_my_classmates (我盼望见到我的同学们) in the new term. (SVO)4.Now the_farmer_is_showing_the_boy_how_to_plant_a_tree (这位农民正在教那个男孩怎样种树). (SVIODO)5.When he came in, he_found_the_old_man_dead (他发现这个老人死了). (SVOC) 6.I know the_cake_tastes_very_delicious (尝起来很可口). (SP)7.There_used_to_be_a_great_many_birds (过去有许多鸟) spending the winter here. (There be句型)Ⅲ.语法填空阅读下面短文,在空白处填入1个适当的单词或括号内单词的正确形式。
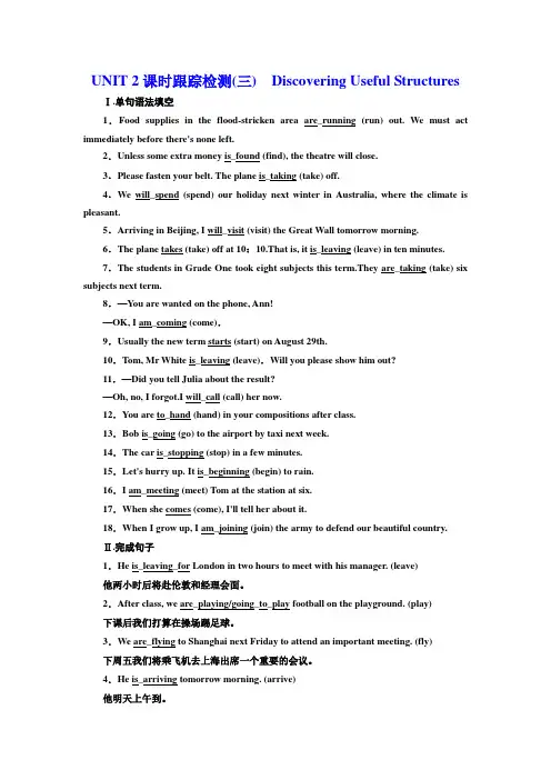
UNIT 2 TRA VELLING AROUND课时跟踪检测(三)Discovering Useful Structures Ⅰ.用所给词的适当形式填空1.The plane takes (take) off at 10:10.That is, it is_leaving (leave) in ten minutes.2.As soon as he comes (come) back, I will tell you.3.The students in Grade One took eight subjects this term.They are_taking (take) six subjects next term.4.—You are wanted on the phone, Ann!—OK, I am_coming (come).5.Usually the new term starts (start) on August 29th.6.Tom, Mr White is_leaving (leave).Will you please show him out?7.—Did you tell Julia about the result?—Oh, no, I forgot.I will_call (call) her now.8.You are to_hand (hand) in your compositions after class.9.“The moment is_coming (come) soon,” he thought to himself, waiting nervously.10.Because the shop is_closing (close) down, everything is sold at half price.Ⅱ.完成句子1.He is_leaving_for_Beijing in two hours to visit his friend. (leave)他两小时后将赴北京拜访他的朋友。
课时跟踪检测(三)Discovering Useful StructuresⅠ.用所给词的适当形式填空1.They are living with their parents for the moment because their own house is_being_rebuilt (rebuild).2.Many interesting experiments are_being_carried (carry) out these days.3.These children are_being_looked (look) after by an old man now.4.Wait a minute. The dishes for the dinner are_being_cooked (cook) in the kitchen.5.He is_being_punished (punish) by our teacher at the moment.6.(2018·全国卷Ⅲ书面表达) A new sports meeting is_being_held (hold) in our school now. 7.So many things are_being_done (do) here to prevent air pollution.8.A bridge is_being_built (build) in the distance and its construction will_be_finished (finish) in a year.Ⅱ.完成句子1.Now these old houses belong_to_my_uncle (属于我叔叔).2.(2018·天津高考) My washing machine is_being_repaired (正在被修理) this week, so I have to wash my clothes by hand.3.She is_being_questioned (正在被提问) by several reporters now.4.The evening party the children are looking forward to is_being_held (正在被举行) now. 5.A new park is_being_built (正在被建设) here. They hope to finish it next year.6.You aren't allowed to go into the meeting room. A secret plan is_being_made (正在被制订) there.7.The law is under_discussion/being_discussed (在讨论当中).8.A new song is_being_taught (正在被教) by the teacher.9.The water in the lake is under_pollution (受到污染).10.Is the meeting being_held (正在被举行) in the hall now?Ⅲ.语法填空A new social robot has been introduced to the public at Nanyang Technological University in Singapore. The robot, __1__ (call) Nadine, was built by a research team at the university.Nadine has brown hair and human-like skin. She can talk and act like a human and she even has her own personality. The robot can show emotions, like anger and __2__ (sad) and change into different moods, __3__ (depend) on the topics she is talking about.Nadine is the most advanced and human-like robot so far. She has built-in software that is similar to Apple's Siri, which works on __4__ iPhone. The new social robot has capabilities that have never been implemented in other robots so far. Nadine can not only remember people she __5__ (meet) before, but she can recall things that she said at __6__ (early) conversations as well.Up to now, robots have been used widely in the manufacturing industry. However, more and more robots __7__ (equip) with social functions. This could be important __8__ our population becoming older. Working robots could be the solution to a decreasing workforce. On the other hand, such social robots could care for children or older people. They could play and talk with them or keep them company.Currently, Nadine __9__ (have) a job as a receptionist at the university, __10__ she answers questions asked by students and other visitors.语篇解读:本文一篇说明文。
课时跟踪检测(三)Discovering Useful StructuresⅠ.用所给词的适当形式填空1.They are living with their parents for the moment because their own house is_being_rebuilt (rebuild).2.Many interesting experiments are_being_carried (carry) out these days.3.These children are_being_looked (look) after by an old man now.4.Wait a minute. The dishes for the dinner are_being_cooked (cook) in the kitchen.5.He is_being_punished (punish) by our teacher at the moment.6.(2018·全国卷Ⅲ书面表达) A new sports meeting is_being_held (hold) in our school now. 7.So many things are_being_done (do) here to prevent air pollution.8.A bridge is_being_built (build) in the distance and its construction will_be_finished (finish) in a year.Ⅱ.完成句子1.Now these old houses belong_to_my_uncle (属于我叔叔).2.(2018·天津高考) My washing machine is_being_repaired (正在被修理) this week, so I have to wash my clothes by hand.3.She is_being_questioned (正在被提问) by several reporters now.4.The evening party the children are looking forward to is_being_held (正在被举行) now. 5.A new park is_being_built (正在被建设) here. They hope to finish it next year.6.You aren't allowed to go into the meeting room. A secret plan is_being_made (正在被制订) there.7.The law is under_discussion/being_discussed (在讨论当中).8.A new song is_being_taught (正在被教) by the teacher.9.The water in the lake is under_pollution (受到污染).10.Is the meeting being_held (正在被举行) in the hall now?Ⅲ.语法填空A new social robot has been introduced to the public at Nanyang Technological University in Singapore. The robot, __1__ (call) Nadine, was built by a research team at the university.Nadine has brown hair and human-like skin. She can talk and act like a human and she even has her own personality. The robot can show emotions, like anger and __2__ (sad) and change into different moods, __3__ (depend) on the topics she is talking about.Nadine is the most advanced and human-like robot so far. She has built-in software that is similar to Apple's Siri, which works on __4__ iPhone. The new social robot has capabilities that have never been implemented in other robots so far. Nadine can not only remember people she __5__ (meet) before, but she can recall things that she said at __6__ (early) conversations as well.Up to now, robots have been used widely in the manufacturing industry. However, more and more robots __7__ (equip) with social functions. This could be important __8__ our population becoming older. Working robots could be the solution to a decreasing workforce. On the other hand, such social robots could care for children or older people. They could play and talk with them or keep them company.Currently, Nadine __9__ (have) a job as a receptionist at the university, __10__ she answers questions asked by students and other visitors.语篇解读:本文一篇说明文。
UNIT 2课时跟踪检测(三)Discovering Useful Structures Ⅰ.单句语法填空1.Food supplies in the flood-stricken area are_running (run) out. We must act immediately before there's none left.2.Unless some extra money is_found (find), the theatre will close.3.Please fasten your belt. The plane is_taking (take) off.4.We will_spend (spend) our holiday next winter in Australia, where the climate is pleasant.5.Arriving in Beijing, I will_visit (visit) the Great Wall tomorrow morning.6.The plane takes (take) off at 10:10.That is, it is_leaving (leave) in ten minutes.7.The students in Grade One took eight subjects this term.They are_taking (take) six subjects next term.8.—You are wanted on the phone, Ann!—OK, I am_coming (come).9.Usually the new term starts (start) on August 29th.10.Tom, Mr White is_leaving (leave).Will you please show him out?11.—Did you tell Julia about the result?—Oh, no, I forgot.I will_call (call) her now.12.You are to_hand (hand) in your compositions after class.13.Bob is_going (go) to the airport by taxi next week.14.The car is_stopping (stop) in a few minutes.15.Let's hurry up. It is_beginning (begin) to rain.16.I am_meeting (meet) Tom at the station at six.17.When she comes (come), I'll tell her about it.18.When I grow up, I am_joining (join) the army to defend our beautiful country.Ⅱ.完成句子1.He is_leaving_for London in two hours to meet with his manager. (leave)他两小时后将赴伦敦和经理会面。
课时跟踪检测(三) Discovering Useful Structures Ⅰ.用适当的关系词填空1.Frederick William Ⅰ, to whom the amber room belonged, decided not to keep it. 2.I saw a house, the windows of which were broken.3.The first thing that he did after arriving home was doing his homework. 4.She has two sons, both of whom graduated from Harvard University.5.This is the watch which/that I am looking for.6.It is the tallest building that Daming has seen ever since he came here. 7.This is the man that/which my father bought a new bike for.8.She said she would do anything that could help her mother recover from the disease. 9.Anyone who has helped to save the drowning girl is worth praising.10.The boy and the dog that are in the picture are very lovely.Ⅱ.单句写作1.这就是我在这儿旅行时住过的旅馆。
This_is_the_very_hotel_(that)_I_stayed_at_when_I_was_travelling_here.2.他是我们大家都愿意向其学习的人。
课时跟踪检测(三)Discovering Useful StructuresⅠ.单句语法填空1.(2018·浙江11月高考)Caffeine, a chemical typically found (find) in coffee, has caused a lot of concern.2.Designed (design) very cleverly to fit into corners, the shelf doesn't take up much room. 3.The new technology, if applied (apply) to rice growing, will help increase the grain output. 4.Considered (consider) as a building material, wood is not very strong.5.Given (give) another 10 days, we are sure to complete repairing the machine.6.Filled (fill) with shame, the boy lowered his head, ready for the punishment from his dad. 7.When first introduced (introduce) to the market, these new products in their company enjoyed a great success.8.Located (locate) in the central district, the hotel offers the best service with the lowest price. 9.Surrounded (surround) by a river, the park had a central pond with flowers floating in it. 10.Disappointed (disappoint) at failing in the math exam, John wouldn't like to talk about it to his parents.11.Everyone present is very inspired (inspire) at his speech.12.As we joined the big crowd I got lost (lose) from my friends.Ⅱ.完成句子1.Absorbed_in_his_science_research,_he has no time to relax.由于专心于科学研究事业,他没有时间放松。
课时跟踪检测(三)Discovering Useful StructuresⅠ.单句语法填空1.The story was reported in the press and on TV.2.It has_been_confirmed (confirm) that the news is true.3.More than 100 famous films have_been_shown (show) in the city since July.4.Great changes have_taken (take) place in my hometown and you can see that a lot of factories have_been_set (set) up.5.—We want to sit at the table near the window.—I'm sorry, but it has_been_taken (take) already.6.It's said that the cinema has_been_closed (close) for repairs for months.7.He is often laughed at by his classmates.8.Time is precious and should be made full use of.Ⅱ.完成句子1.The_boys_have_been_told_many_times (男孩们已经被多次告知) not to swim in that lake, but it doesn't make any difference.2.We are glad to be told that Li Tao has_been_admitted_to_Fudan_University (已经被复旦大学录取) for his top score in the Maths Contest.3.With the help of high technology, more and more new substances (物质) have_been_discovered (已经被发现) in the past years.4.When and where to go for the on-salary holiday has_not_been_decided (没有决定) yet. 5.Such a thing has never been heard_of (听说) before.6.The lights are_turned_off (关上) at 11 pm every day.Ⅲ.句型转换1.Though we don't know what was discussed, yet we can feel we have changed the topic.→Though we don't know what was discussed, yet we can feel the topic has_been_changed. 2.Air, noise and water have affected people's health.→People's health has_been_affected by air, noise and water.3.They soon put out the fire.→The fire was_soon_put_out.4.They heard her sing an English song at the party.→She was_heard_to_sing an English song at the party.5.Since you have finished your work, you can have a rest now.→Since your work has_been_finished,_you can have a rest now.6.How many cars have we made in the factory since 1990?→How many cars have_been_made in the factory since 1990?Ⅳ.选词填空1.This matter has been carefully looked_into.(looked/looked into)2.It's the first time that the old computer has_been_checked since I bought it. (has checked/has been checked)3.Tom's novel has_not_been_published yet.(has not published/has not been published) 4.What they did has been paid_great_attention_to.(paid great attention to/paid great attention) 5.Since the earthquake happened, many soldiers have_been_sent there. (were sent/have been sent) Ⅴ.语法填空Mike Taylor, a university student in the study of prehistoric life forms for his Ph.D., discovered a brand-new species of dinosaur, while __1__(conduct) research at the Natural History Museum in the United Kingdom.This new species __2__(identify) as part of the sauropod family of dinosaurs.The sauropods were four-legged, vegetarian dinosaurs, __3__very long necks and tails, and relatively small skulls and brains.One of their most unusual __4__(characteristic) was their nostrils, which were higher up in their head, almost near the eyes.So far, the sauropod bones__5__ (find) in every continent except Antarctica, and they are one of the longest living group of dinosaurs, spanning over 100 million years.This new species, __6__ (name) Xenoposeidon proneneukos, which means for w ard sloping, lived about 140 million years ago.Mike Taylor, __7__ has spent five years studying sauropod vertebrae, __8__ (immediate) knew that this was the backbone of a sauropod.However, he had never seen one like this before.__9__(far) research proved this was indeed a new kind of sauropod.The bone, which had been discovered in__10__ 1890's, had never been examined.语篇解读:本文是一篇记叙文。
UNIT 4 NATURAL DISASTERS课时跟踪检测(三)Discovering Useful Structures Ⅰ.用适当的关系词填空1.This is the very book that I want to read.2.The man who/that is walking in the playground is my old friend.3.This is the hero who/whom/that we are proud of.4.Please pass me the book whose cover is green.5.The gift will be given to anyone who comes first.6.I don’t know the persons and the things that they are talking about.7.Shanghai is no longer the city that it used to be.8.A company whose profits from home market are declining may seek opportunities abroad.9.These articles are the very ones that should be read.10.Tell me everything that you know.Ⅱ.完成句子1.昨天我在街上遇见的那个人是我的老师。
The man who/whom/that_I_met_yesterday_in_the_street is my teacher.2.你记得三个月前我们参观的那个农场吗?Do you remember the farm that/which_we_visited_three_months_ago?3.桂林是世界各地的人们想去游览的最美的地方。
UNIT 4课时跟踪检测(三)Discovering Useful Structures Ⅰ.单句语法填空1.I still remember the earthquake that/which happened in 2008 in Sichuan.2.Have you read the book which/that was written by Anne Frank?3.The first thing that he did after arriving home was doing his homework.4.Is this the teacher who/that rescued several students from the burning building?5.Do you know the lady who/that/whom our English teacher is talking with under the big tree?6.It is the tallest building that John has seen ever since he came here.7.My father bought a new bike for me whose price added up to more than 1,000 yuan.8.She said she would do anything that could help her mother recover from the disease.9.Anyone who has helped to save the drowning girl is worth praising.10.The boy and the dog that are in the picture are very lovely.11.Do you still remember the chicken farm that/which we visited three months ago?12.Some countries whose names I had never heard of before were shown on the map.13.Anyone who/that failed to come to the meeting yesterday must give his/her reason.14.All that we need is enough rest after long hours' work.15.On the train I saw a girl who/that I thought was your sister.16.Have you seen the film Titanic whose leading actor is world-famous?17.This is the best film that has been shown so far in the city.18.The pen that/which he bought yesterday is the same as mine.Ⅱ.用定语从句合并句子1.Do you know the man? The man spoke to the headmaster just now.→Do you know the man who/that_spoke_to_the_headmaster just now?2.I have seen the film.They're talking about the film.→I have seen the film that/which_they're_talking_about.3.The book was written by Mark Twain.Mark Twain was a famous American writer.→The book was written by Mark Twain who_was_a_famous_American_writer.4.Last week Mary wore the dress.I gave the dress to her.→Last week Mary wore the dress that/which_I_gave_to_her.5.The girl is from America.Her father is a Chinese.→The girl whose_father_is_a_Chinese is from America.6.My grandparents live in a house.The house is more than 100 years old.→My grandparents live in a house which/that_is_more_than_100_years_old.Ⅲ.完成句子1.This is the very hotel (that)_I_stayed_at when I was travelling here.这就是我在这儿旅行时住过的旅馆。
课时练(三) Discovering Useful Structures基础知识夯实进阶训练第一层Ⅰ.同义句转换1.If you throw waste into a river, the fish will die and the people who drink the water will get sick.→____________ (throw) waste into a river will cause the fish to die and the people who drink the water to get sick.2.As is known to us, to complain without taking action is no use.→As is known to us, it's no use ____________ (complain) without taking action.3.Mr Wilson was b rought up in the countryside and it made him very hardworking.→____________ (bring) up in the countryside made Mr Wilson very hardworking.4.To persuade such a person to join us is a waste of time.→It is a waste of time ____________ (persuade) such a p erson to join us.5.Mary was late for class and it made her teacher very angry.→________________________ made her teacher very angry.Ⅱ.单句语法填空1.So far, all these young people ________ (label) as “artists” rather than “technicians”.2.________ (make) friends plays an important part in our life.3.Please trust me that ________ (leave) it with me should be a good choice.4.Planning ahead ________ (make) no sense—because many things will have changed by next year.5.________ (develop) a good habit can help improve your learning efficiency.6.In conclusion, ________ (get) along well with your classmates is considered an important thing.7.________ (know) basic firstaid techniques will help you respond quickly to emergencies.8.________ (waste) a person's time is the same as killing him for his property.9.There is no ________ (deny) that the environment is from bad to worse.10.It is a very ________ (reward) exercise to work this out oneself.Ⅲ.完成句子1.对他来说写英语小说很有趣。
Welcome UnitDiscovering Useful Structures (grammar) 基础巩固练Ⅰ.用简单句翻译句子1.我们的英语老师非常年轻而且有耐心。
______________________________________________2.他两年前从大学毕业。
________________________________________3.他经常给我们提供一些好的学习英语的建议。
__________________________________________________________________________ 4.他尽力使得他的课活泼有趣。
____________________________________________________5.他要求我们每天早上背诵一些英语单词。
______________________________________________________6.在他的帮助下,我们大多数人都取得了很大的进步。
_________________________________________________7.我们为拥有这样一位好老师感到自豪。
__________________________________________Ⅱ.把上述句子连成一篇80词左右的短文,可适当增加细节___________________________________________________________________________ _______________________________________________________________________________ _______________________________________________________________________________ 素能提升练Ⅰ.阅读理解ABeginning college is exciting:new ideas to explore,new challenges to be met and many decisions to be made.Your future begins here.However,you will find college life is different from your previous school environment.Many of us can be easily defeated by the details of running a well-balanced life.While some of us mayhave the know-how,I guess there are more of us who can benefit from learning about the experiences of others who have walked the college halls before you.The following you may find of use about life on campus:·Plan well.There are so many new things to do at a new college or university.Give yourself time to make new friends and become familiar with the campus,but don't forget why you are there.Give some time for social activities and manage your time wisely.·If you don't have a “system” for planning your time now(like a day timer,a computer date book),get one.Most of all,don't depend on your memory.·Don't miss the guidelines.The restrictions,rules and regulations of all kinds can usually be found in your student's handbook.Consider them well-balanced food for thought.What dates are important?What pieces of paper need to be handed in?What can/can't you do in your student residence?Who has the right for what?What do you need to complete to graduate?·Wr ite the word“STUDY”on the walls of your bedroom and bathroom,and maybe it will help to write it on a piece of paper and stick it on the telephone,TV and the kitchen table.Consider this-you are paying thousands of dollars for your courses.You pay every time you have to repeat or replace a course.·Build your identity.This is the time for you to decide what to do and what not to do.Take as much time as you need to explore new ideas.Do not be afraid of the beyond.This is learning to make good choices.1.What is the main purpose of the passage?A.To offer advice on college life.B.To explain why college life is exciting.C.To describe the importance of college life.D.To persuade you to go to college.2.According to the passage,why is it exciting to begin college life?A.Because you will have more freedom at college.B.Because you will no longer be afraid of the beyond.C.Because you prepare for your future career and life there.D.Because professors there will provide you with many new ideas.3.The underlined word “knowhow” refers to ________.A.an understanding of how things are going at collegeB.practical knowledge about college lifeC.college halls where rules and regulations are presentedD.an environment different from the one you're used toBHave you ever noticed what happens to an idea once you express it?Just talking about it or writing it down causes you to make it clear in your own mind.How can you use this to increase your brain power?Start writing.By putting thoughts into words,you are telling yourself the logic behind what you think,feel,or only partly understand.Often,explaining a thought is the process of understanding.In other words,you increase your brain power by exercising your “explain power”.Another benefit of writing is that it helps you remember.Many,if not most,highly productive people are always taking notes.You can try keeping it all in your head,but if you keep a journal of your ideas the next time you're working on a big project,you'll probably have more success.Want to understand a topic?Write a book about it.That's an extreme example,but if you are learning something new,write a letter to a friend about it,and you will understand it better.Want to invent something?Write an explanation of the problem—why you want to solve it,and why it is worth solving,and_you're_half-way_there.Writers don't always write because they clearly understand something beforehand.Often,they write about something because they want to understand it.You can do the same.Writing will help bring you to an understanding.Give it a try.4.What would be the best title for the passage?A.A Way on How to WriteB.Increase Your Brain Power Through WritingC.Brain Power Helps Improve Your WritingD.How to Start Your Writing5.According to the passage,writing can help you a lot except ________.A.to increase your brain powerB.to improve the ability to rememberC.to develop your interest in studyD.to strengthen the understanding of a topic6.If a writer writes something,it means that he or she ________.A.has understood it very wellB.needs to understand it betterC.wants to remember it in his or her mindD.is testing his or her new ideas7.The underlined sentence in the fourth paragraph means that ________.A.you are already successfulB.there's a long way for you to go to reach your goalC.you are left wondering what to doD.you have been on the way to successⅡ.七选五Your Teen Is Falling Asleep in ClassTeens have a busy morning schedule as they need to wake up and get moving very early in order to catch a bus and get to school by the required time.This means teens need to get their rest the night before or they will be too tired to learn anything at school.__1__When a teen falls asleep in class,two things hap-pen:he/she misses what is being taught and he/she loses the respect for the teacher.He/She may also receive a consequence (后果) from the school,depending on the classroom discipline(纪律)policy.__2__To prevent your teen from being sleepy in class,try these three tips:*Set a time for“lights out”on school nights.This s hould never be any later than 10 pm and preferably 9 pm.__3__ Soft music can be on and used to help calm your teen.*Help your teen develop a nighttime routine that involves activities that slow him/her down for the end of the day.__4__ Turning off the computer and disconnecting from friends and the excitement of the day an hour before bedtime will also help your teen relax.*__5__ This will reinforce(增强)what it feels like to be rested and capable of achieving what he/she wants.A.What's worse,they may even fall asleep in class.B.Taking a bath and reading are two activities that work well.C.Set a good example and show him/her your love for learning.D.Point out the positives after your teen has had a good night's rest.E.“Lights out” means the computer,television,lights and cell phone should be off.F.All of these things affect your teen's academic success and can be avoided.G.While your teen keeps his/her goals in line with your expectations,he/she may have his/her own goals.Ⅲ.语法填空One evening,an elderly lady 1.________ (drive)past a small town when one of her tyres suddenly blew out.Even though all she had was only a flat tyre,it was 2.________ bad situation for a woman of her age.She was very 3.________ (confuse),especially with the weather 4.________ (get)colder and colder.At that moment,a man stopped his car in front of hers and asked 5.________ she needed help.The old lady became even more nervous because the man looked poor and 6.________ (hunger).However,since no one else had stopped to help her during the past hours,she stood back and let him help her.After the man finished changing the tyre,the lady was willing 7.________ (pay)him any amount of money.To her 8.________ (astonish),the man replied that he just wanted to help her,just as others had helped him in the past.He didn't want the lady to pay him back anything.Instead,he just wanted her to help others 9.________ need as ter that evening,the lady helped a heavily pregnant woman.10.________ never occurred to her that the woman was the poor man's wife.【答案解析】基础巩固练Ⅰ.1.Our English teacher is very young and patient.2.He graduated from college two years ago.3.He often offers us some good advice on English learning./He often offers some good advice on English learning to us.4.He tries to make his classes lively and interesting.5.He asks us to recite some English words every morning.6.Most of us have made much progress with his help.7.We feel proud to have such a good teacher.Ⅱ.Our English teacher is very young and patient.He graduated from college two years ago.He has been working hard since he came to our school.Finding some of us are weak in English,he often offers us some good advice on English learning.In addition,he tries to make his classes lively and interesting.What's more,he asks us to recite some English words every morning.As a result,most of us have made much progress with his help.We all like his classes and admire him very much.In a word,we feel proud to have such a good teacher.素能提升练Ⅰ.语篇解读本文是说明文。
课时跟踪检测(三)Discovering Useful StructuresⅠ.单句语法填空1.(2018·浙江11月高考)Caffeine, a chemical typically found (find) in coffee, has caused a lot of concern.2.Designed (design) very cleverly to fit into corners, the shelf doesn't take up much room. 3.The new technology, if applied (apply) to rice growing, will help increase the grain output. 4.Considered (consider) as a building material, wood is not very strong.5.Given (give) another 10 days, we are sure to complete repairing the machine.6.Filled (fill) with shame, the boy lowered his head, ready for the punishment from his dad. 7.When first introduced (introduce) to the market, these new products in their company enjoyed a great success.8.Located (locate) in the central district, the hotel offers the best service with the lowest price. 9.Surrounded (surround) by a river, the park had a central pond with flowers floating in it. 10.Disappointed (disappoint) at failing in the math exam, John wouldn't like to talk about it to his parents.11.Everyone present is very inspired (inspire) at his speech.12.As we joined the big crowd I got lost (lose) from my friends.Ⅱ.完成句子1.Absorbed_in_his_science_research,_he has no time to relax.由于专心于科学研究事业,他没有时间放松。
UNIT 3 SPORTS AND FITNESS 课时跟踪检测(三)Discovering Useful Structures Ⅰ.完成下列附加疑问句1.Your parents had a long talk with you last night, didn’t_they? 2.Everyone has advised you not to go on a diet, haven’t_they/hasn’t_he? 3.Shopping isn’t what you want to do, is_it?4.Students mustn’t be late, must_they?5.You must have got the letter when you were in the office, didn’t_you? 6.She seldom argues with others, does_she?7.They are hopeless, aren’t_they?8.Don’t play with fire, will_you?9.Let’s go home, shall_we?10.They told me it was not true, didn’t_they?11.There is nobody outside, is_there?12.—He knows little about it, does_he?—Yes, he_does./No, he_doesn’t.13.There stands a tall tower near your school, doesn’t_there?14.He used to get up early, usedn’t/didn’t_he?Ⅱ.翻译句子1.他很少听广播节目,是吗?He_seldom_listens_to_the_radio_program,_does_he?2.你觉得你很滑稽,是吗?You_think_you’re_funny,_don’t_you?3.让我们充分利用我们的业余时间,好吗?Let’s_make_good_use_of_our_spare_time,_shall_we?4.不要忘记明天早点起床,好吗?Don’t_forget_to_get_up_early_tomorrow,_will_you?5.我认为他会来的,对吗?I_think_he_will_come,_won’t_he?6.他一定知道考试结果了,对吗?He_must_have_known_the_results_of_the_examinations,_hasn’t_he?7.过去山顶上有座小房子,有吗?There_used_to_be_a_small_house,_usedn’t/wasn’t_there?Ⅲ.语法填空阅读下面短文,在空白处填入1个适当的单词或括号内单词的正确形式。
What do the five Olympic signs on the flag represent? __1__ is widely believed that the five-ring Olympic symbol was created by Frenchman Pierre de Coubertin in 1913. As the founder of the modern Olympic Games, he wanted __2__ (celebrate) the 20th anniversary (周年纪念) of the Games and chose a design of five rings, __3__ represented the five continents (洲) taking part in the Games. The rings __4__ (become) the official Olympic symbol at the 1920 Games in Belgium.Pierre de Coubertin thought that the five interlocking rings meant the five continents __5__ (compete) in the Games and the meeting of their athletes at the Olympic Games. __6__ (actual) every part of the modern Olympic symbol and flag shows the main purpose of the Games in a particular way. The Olympic flag, with its familiar rings, is used as __7__ international symbol of peace, unity and __8__ (agree). The white background of the flag stands __9__ peace and truth.At the end of each Olympic Games, the mayor (市长) of the hosting city passes the Olympic flag to the mayor of the city where the next Olympics __10__ (hold) four years later. The flag remains there until the next Olympics.语篇解读:本文主要讲述了奥运会旗上的五环标志的设计者及其代表的含义等。
1.It考查代词。
设空处作形式主语,真正的主语是that 引导的从句,故填It。
2.to celebrate考查非谓语动词。
want to do sth. 意为“想要做某事”。
3.which考查定语从句。
设空处引导非限制性定语从句,修饰rings 且在从句中作主语,故填which。
4.became考查动词时态。
由“at the 1920 Games”可知,设空处表示的动作发生在过去,应用一般过去时,故填became。
5.competing考查非谓语动词。
compete与主语continents之间为主动关系,故应用现在分词形式。
6.Actually考查副词。
设空处修饰整个句子,故填副词Actually (实际上)。
7.an考查冠词。
symbol是可数名词,且在此表示泛指,又因被international 修饰,故填an。
8.agreement考查名词。
设空处与peace 和unity 并列作宾语,故填名词agreement。
9.for考查介词。
stand for 意为“代表,象征”。
10.will be held考查动词时态。
Olympics 与hold 之间是被动关系,且由“four yearslater”可知,设空处表示的动作尚未发生,故填will be held。
Ⅳ.完形填空It is every kid’s worst dream and sixyearold Jaden Hayes has lived it — twice. First he lost his dad when he was four and then last month his mom died unexpectedly in her sleep.“I tried and I tried and I tried to get her __1__ — I couldn’t,” said Jaden. Jaden is understandably __2__. But there’s an improvement on his sadness. A few weeks ago he told his aunt, Barbara DiCola. “He was sick and __3__ of seeing everyone sad all the time. And he had a __4__ to fix it. And that was the beginning of it,”said Barbara. “That’s where the adventure began.”Jaden asked his __5__ Barbara to buy a bunch of little __6__ and bring him to downtown Savannah, Georgia near where he __7__,so he could give them __8__. “I’m trying to make people smile,”said Jaden. Jaden __9__ at people who aren’t already smiling and then turns their day around (扭转他们的一天). He’s gone out on four __10__ occasions (场合) now and he is always __11__. Even if sometimes he doesn’t get exactly the __12__ he was hoping for. It is just so hard to __13__ for some people that a six-year-old boy would give away a toy — __14__ nothing in return — except a smile.“I’m counting on the __15__ to be 33,000,” said Jaden. When asked if he thinks he can make that goal, he answered: “I believe I can.”语篇解读:本文是一篇记叙文,讲述了六岁的杰登·海耶斯在幼年失去双亲的打击下,不但坚强地走出了痛苦的阴影,而且以发玩具给不开心的路人,让他们回以微笑的方式来帮助别人,并打算集齐三万三千个微笑。
1.A.lost B.awakeC.asleep D.healthy解析:选B杰登说:“我再三尝试叫醒她,但是没有用。
”2.A.friendly B.warm-heartedC.heart-broken D.open-minded解析:选C杰登的伤心是可以理解的。