求数列通项公式的种方法
- 格式:doc
- 大小:509.00 KB
- 文档页数:7
求数列通项公式的十种常用方法一、构造法构造法是最常见的求解数列通项公式的方法,是根据已知的数列的前几项逐步构造出数列的通项公式的过程,主要包括归纳法、设数据项法、递推法等。
1.归纳法归纳法是根据已知数列中前几项,把同一个数列中的每一项视为全体项的一部分,由以已知项为特例,讨论出全体项的总体规律。
2.设数据项法设数据项法是根据数列的某项与它的前面几项的关系来建立通项公式的方法。
设数据项始终指代着形式未知却已给出它跟前几项关系的某一项,而根据设数据项得出的数列形式叫做设数据项形式,其通项公式就是设数据项形式的通项公式。
3.递推法递推法是根据数列中任一项与它的后面几项的关系,从已知项不断向前推出未知项,从而推出数列的通项公式的方法。
二、方程法方程法是利用数列的某一项与此数列的其它项的关系式组成的线性方程组或者非线性方程组,求解通项公式的概念,虽然它给出的通项公式也不易求解,但是它与构造法相比,可能会在某些情况下得到更简洁的通项公式,所以它也成为了求解数列通项公式常用的方法之一。
三、数学归纳法数学归纳法是一种利用一般性原理来更加正规地寻求数列通项公式的方法,它具有比构造法更多的优点,比如说,它可以处理更加复杂的情形(例如次通项不是已知项的一个常数倍)。
四、分析法分析法是指用分析几何和代数几何方法,通过考察数列中某几个项的构成方式,来推导出整个数列的通项公式的抽象方法。
五、导数比导数比是指根据数列的前几项来推算下一项的一种技巧,以项数为横坐标,相邻两项的比值为纵坐标构成一幅函数图象,然后根据曲线图象分析可以推出数列的某种规律,从而推出数列的通项公式。
六、逆序法逆序法是反其道而行之,以数列的最后一项为起点,根据已知的数列的前几项和最后一项的运算关系,得出最后一项的前一项,以此类推,一直到起始项,从而得出数列的通项公式的一种方法。
七、特殊函数解特殊函数解法是指利用特殊函数及其组合函数构成的数列通项公式的解法,在实际问题中,特殊函数有对数函数、指数函数、三角函数等,使用这些函数可以构成一种数列,从而求出数列的通项公式。
求数列通项公式的十种方法求解数列的通项公式是高中数学中的一个重要问题,通常需要运用数学分析方法、递推关系、差分方法等多种技巧。
下面将列举十种常见的方法来求解数列的通项公式。
方法一:等差数列的通项公式对于等差数列 an = a1 + (n - 1) * d,其中 a1 为首项,n 为项数,d 为公差。
通项公式可以直接通过公式计算得出。
方法二:等差数列的求和公式对于等差数列 S = (n / 2) * (a1 + an),其中 S 为前 n 项和,a1 为首项,an 为末项,n 为项数。
可以通过求和公式推导出等差数列的通项公式。
方法三:等比数列的通项公式对于等比数列 an = a1 * r^(n - 1),其中 a1 为首项,r 为公比,n 为项数。
通项公式可以直接通过公式计算得出。
方法四:等比数列的求和公式对于等比数列S=(a1*(r^n-1))/(r-1),其中a1为首项,r为公比,n为项数。
可以通过求和公式推导出等比数列的通项公式。
方法五:递推关系法对于一些递推关系的数列,可以通过寻找规律,构建递推关系来求解数列的通项公式。
例如斐波那契数列就可以通过递推关系f(n)=f(n-1)+f(n-2),其中f(1)=1,f(2)=1,来求解通项公式。
方法六:二项式展开法对于一些满足二项式展开的数列,可以通过展开得到二项式系数,然后通过系数的通项公式来求解数列的通项公式。
例如二项式数列(x+1)^n的展开系数就是通过n阶二项展开推导出来的。
方法七:差分法通过对数列进行差分操作,找到规律来求解数列的通项公式。
例如,如果差分的结果是一个等差数列,那么原数列就是一个二次或高次多项式。
方法八:线性递推法对于一些线性递推关系的数列,可以通过构建矩阵形式或特征方程的方法来求解数列的通项公式。
例如,对于一阶线性递推数列a(n)=p*a(n-1)+q,可以通过特征方程x-p*x-q=0来求解通项公式。
方法九:插值法通过给定数列中的若干项,利用 Lagrange 插值公式来推导数列的通项公式。
求数列通项公式的各种方法
1、数列通项公式的求法
正确求解数列通项公式需要正确使用正确的数学方法,一般有以下几
种方法:
(1)数值计算法
数值计算法是运用一定的运算规则进行计算,可以求出数列通项公式。
运用的计算规则可以是把数列值转化到一个函数中求解,也可以是求出数
列中一组值的和,从而求出数列的一般项的系数。
(2)函数拟合法
函数拟合法是一种采用曲线拟合的方法来求解数列通项公式,它通过
将数列中的数据拟合到其中一种函数形式上来求出数列的通项公式。
一般
来说,采用函数拟合法求解数列的通项公式,需要先建立一种准确的函数
模型,然后通过拟合得到数列的通项公式。
(3)递推法
递推法是一种利用给出的数列中的两项或几项来求出数列中剩余的项,从而求出数列的通项公式的方法。
这种方法的原理是:当给出数列中的两
项或几项时,如果能够找到他们之间的关系或规律,就可以利用这种规律
来求出其他的项,最终求出数列的通项公式。
(4)特殊数列通项公式
特殊数列通项公式是一种将给出数列中的几项拆分开来,再套用一些
特殊的数列通项公式,从而求出数列的通项公式的方法。
常见的特殊数列
通项公式有等差数列的通项公式、等比数列的通项公式和其他一些特殊数列的通项公式。
求数列通项公式常用八种方法一、 公式法:已知或根据题目的条件能够推出数列{}n a 为等差或等比数列,根据通项公式()d n a a n 11-+= 或11-=n n q a a 进行求解.二、前n 项和法:已知数列{}n a 的前n 项和n s 的解析式,求n a .(分3步)三、n s 与n a 的关系式法:已知数列{}n a 的前n 项和n s 与通项n a 的关系式,求n a .(分3步)四、累加法:当数列{}n a 中有()n f a a n n =--1,即第n 项与第1-n 项的差是个有“规律”的数时,就可以用这种方法.五、累乘法:它与累加法类似 ,当数列{}n a 中有()1n n a f n a -=,即第n 项与第1-n 项的商是个有“规律”的数时,就可以用这种方法.六、构造法:㈠、一次函数法:在数列{}n a 中有1n n a ka b -=+(,k b 均为常数且0k ≠),从表面形式上来看n a 是关于1n a -的“一次函数”的形式,这时用下面的方法:------+常数P㈡、取倒数法:这种方法适用于11c --=+n n n Aa a Ba ()2,n n N *≥∈(,,k m p 均为常数 0m ≠),两边取倒数后得到一个新的特殊(等差或等比)数列或类似于 1n n a ka b -=+的式子.㈢、取对数法:一般情况下适用于1k l n n a a -=(,k l 为非零常数)例8:已知()2113,2n n a a a n -==≥ 求通项n a分析:由()2113,2n n a a a n -==≥知0n a >∴在21n n a a -=的两边同取常用对数得211lg lg 2lg n n n a a a --== 即1lg 2lg n n a a -= ∴数列{}lg n a 是以lg 3为首项,以2为公比的等比数列故112lg 2lg3lg3n n n a --==∴123n n a -=七、“1p ()n n a a f n +=+(c b ,为常数且不为0,*,N n m ∈)”型的数列求通项n a . 可以先在等式两边 同除以f(n)后再用累加法。
一般地,数列的通项公式可用数列的第n 项表示出来,因此求数列的通项公式,关键是根据数列各项之间的规律,求得数列第n 项的表达式.求数列的通项公式问题可采用公式法、逐差相加法、逐商相减法来求解.一、公式法对于求数列的通项公式来说,公式法是最简单,也最直接的方法,但该方法只适用于求解等差、等比数列的通项公式问题.在解题时,需首先根据等差、等比数列的定义判定数列的类型,然后求出数列的首项、公差、公比,再根据等差数列的通项公式:a n =a 1+(n -1)d ;等比数列的通项公式:a n =a 1q n -1来求解.例1.已知数列{a n }满足a 1=0,且11-a n +1-11-a n =1,求数列{a n }的通项公式.解:∵11-a n +1-11-a n =1,a 1=0,∴11-a 1=1,∴数列{}11-a n是以1为首项,1为公差的等差数列,∴11-a n =11-a 1+(n -1)×1=n ,∴数列{a n }的通项公式为a n =n -1n .由等差数列的定义:从第2项起,每一项与它的前一项的差都等于同一个常数,可知数列{}11-a n是等差数列,求得数列的首项、公差,便可利用等差数列的通项公式求出数列{}11-a n 的通项公式,通过运算,即可得到a n 的表达式.二、逐差相加法逐差相加法也叫做累加法,是求数列通项公式的常用方法之一.当遇到形如a n +1-a n =f (n )的递推式时,可采用逐差相加法求数列的通项公式.首先令n =1,2,3,…,n ,得到a n +1-a n =f (n ),a n -1-a n -2=f (n -1),…,a 2-a 1=f (1),再将各项相加可得a n -a 1=(a n -a n -1)+(a n -1-a n -2)+…+(a 2-a 1)=f (n )+f (n -1)+…+f (1).通过正负相消,即可求得a n 的表达式.例2.若数列{a n }满足a n +1=a n +2n +1,a 1=1,求数列{a n }的通项公式.解:∵a n +1=a n +2n +1,∴a n +1-a n =2n +1,a n -a n -1=2n -1,...a 3-a 2=3=3,a 2-a 1=1.将上述式子累加可得(a n -a n -1)+(a n -1-a n -2)+…+(a 3-a 2)+(a 2-a 1)=[2(n -1)+1]+[2(n -2)+1]+…+(2×2+1)+(2×1+1)=2[(n -1)+(n -2)+…+2+1]+(n -1)=2×(n -1)n 2+(n -1)=n 2-1,∴a n =n 2,即数列{a n }的通项公式为a n =n 2.有些数列的递推式并不满足n =1的情况,因此运用逐差相加法求数列的通项公式,要注意考虑n =1的情况是否满足所求得的数列通项公式.三、逐商相乘法逐商相乘法也叫做累乘法,主要适用于求解由形如a n +1a n=f (n )的递推式求数列的通项公式问题.在解题时,需先分别令n =1,2,3,…,n ,得到=f (n ),a n -1a n -2=f (n -1),…,a 2a 1=f (1),再将各项相乘可得a n a 1=a n +1a n ·a n -1a n -2·…·a 2a 1=f (n )·f (n -1)·…·f (1).通过约分,即可求得a n 的表达式.例3.已知数列{a n }是首项为1的正项数列,(n +1)a 2n +1-na 2n +a n +1a n =0,求数列{a n }的通项公式.解:(n +1)a 2n +1-na 2n +a n +1a n =(a n +1+a n )[(n +1)a n +1-na n ]=0,∵a n +1+a n >0,∴(n +1)a n +1=na n ,∴a n +1a n =n n +1,∴a 2a 1=12,a 3a 2=23,a 4a 3=34,…,a n a n -1=n -1n ,将上述n -1个式子相乘可得a n a 1=1n ,∴数列{a n }的通项公式为a n =1n.将数列的递推公式变形后,便可得到形如a n +1a n=f (n )的式子,于是采用逐商相乘法来求解,就能得到数列{a n }的通项公式.总之,无论运用哪种方法求解,都需仔细研究数列的各项或递推式,将其进行适当的变形,使其转化为a n +1-a n =d 、a n +1-a n =f (n )、a n +1a n =d 、a n +1a n =f (n )的形式,然后采用定义法、逐差相加法、逐商相乘法来求出数列的通项公式.(作者单位:甘肃省庆阳市环县第五中学)杜海坤探索探索与与研研究究50。
求数列通项公式的十种办法求数列的通项公式是数学中的一项重要工作。
下面列举了十种常用的求解数列通项公式的方法:1.递推法:这是最常见的一种方法。
通过观察数列中的规律,找出前一项与后一项之间的关系,并将其表达成递推公式,从而求得数列的通项。
例如斐波那契数列:F(n)=F(n-1)+F(n-2),其中F(n)表示第n项,F(n-1)表示第n-1项,F(n-2)表示第n-2项。
2.数列差法:如果数列的前后两项之间的差值有规律可循,可以通过观察差的变化规律来得到通项公式。
例如等差数列:a(n)=a(1)+(n-1)d,其中a(n)表示第n项,a(1)表示首项,d表示公差。
3.数列比法:如果数列的前后两项之间的比值有规律可循,可以通过观察比的变化规律来得到通项公式。
例如等比数列:a(n)=a(1)*r^(n-1),其中a(n)表示第n项,a(1)表示首项,r表示公比。
4.代数方程法:数列中的数可以看作方程中的未知数,通过列方程组求解,得到方程的解即为数列的通项公式。
例如斐波那契数列可以通过矩阵的特征值和特征向量求得。
5.数列求和法:如果数列是由一个个项的和组成的,可以通过数列的求和公式求得通项公式。
例如等差数列的前n项和:S(n)=[n/2]*[2a(1)+(n-1)d],其中[n/2]表示n除以2的整数部分,a(1)表示首项,d表示公差。
6.数列积法:如果数列可以表达为一系列项的连乘积的形式,可以通过求取连乘积的对数,再利用对数运算得到通项公式。
例如等比数列的前n项积:P(n)=a(1)^n*(r^n-1)/(r-1),其中a(1)表示首项,r表示公比。
7.查表法:如果数列的部分项已知,可以通过列出表格的方式观察规律,推测出通项公式。
例如自然数列:1,2,3,...,通过观察可得到通项公式:a(n)=n。
8.数学归纳法:数学归纳法是一种证明方法,但也可以用来求数列的通项公式。
首先证明数列的通项公式对n=1成立,然后假设对n=k也成立,通过数学归纳法证明对n=k+1也成立,从而得到通项公式。
求数列通项公式的十种方法一.SA 法⎩⎨⎧≥-==-)2(1)(n11n S S S S n nn 注意具体可分为两种方法 1.改写相减,消去S n2.S n -S n-1直接替换掉a n ,求出S n ,再求出a n例 1. 已知各项均为正数的数列{n a }的前n 项和为n S 满足1S >1且6n S =(1)(2)n n a a ++ n ∈N * 求{n a }的通项公式。
的通项公式和,求数列项和为的前,数列项和为的前:已知数列例}{}{2}{22}{12n n n n n n n b a b T n b n n S n a -=+=的通项公式求各项均为正数,满足:已知数列例}{,21}{2n n nn n a S a a a =+的通项公式并求数列试确定常数最大值为的且项和的前:已知数列练习}{,.8),(21}{12n n n n a k S N k kn n S n a *∈+-=nn n n n a S a n n S 求)已知(求)已知(:练习,2232,732122-⋅=-+-=二.累加累乘法(也可用迭代法求解)用“累加”形如二用“累乘”形如一)()(),()(11n f a a n f a a n n n n +==++的通项公式求满足:已知数列例}{,1,21}{1211n n n n a nn a a a a ++==+的通项公式求项和前中,:已知数列例}{,32,1}{21n n n a a n S n a a +==的通项公式求,满足:已知数列练习n n n n a n a n n a a a ),1(23133}{111≥+-==+的通项公式求数列满足:已知数列练习}{a ,a a ,5a }{a 2n 2)1(311nn nn n ++==三.差商法实质是已知数列的前n 项和或前n 项积,求数列的通项公式的通项公式求数列满足:已知数列例}{),(4444}{113221n n n n a N n na a a a a *-∈=+++}{,2,1}{223211n n n a n a a a a n N n a a 求时都有且对所有中,:已知数列例=⋅⋅≥∈=*四.构造法”“)(1n f pa a n n +=+ ,只能用此法。
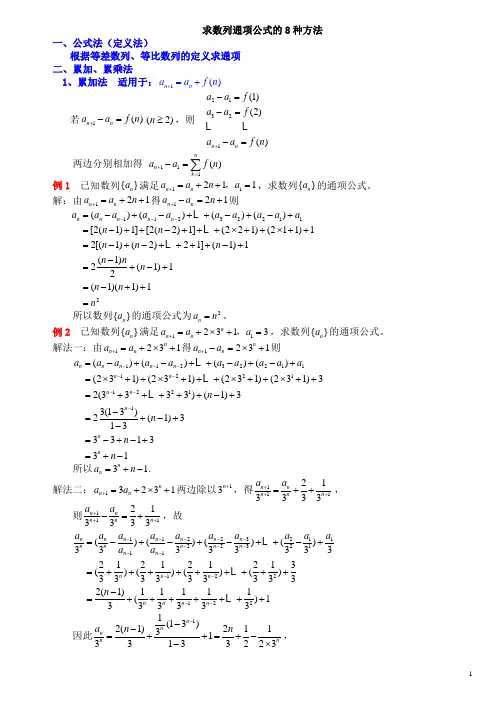
求数列通项公式的8种方法一、公式法(定义法)根据等差数列、等比数列的定义求通项 二、累加、累乘法1、累加法 适用于:1()n n a a f n +=+若1()n n a a f n +-=(2)n ≥,则21321(1)(2)()n n a a f a a f a a f n +-=-=-=两边分别相加得 111()nn k a a f n +=-=∑例1 已知数列{}n a 满足11211n n a a n a +=++=,,求数列{}n a 的通项公式。
解:由121n n a a n +=++得121n n a a n +-=+则112322112()()()()[2(1)1][2(2)1](221)(211)12[(1)(2)21](1)1(1)2(1)12(1)(1)1n n n n n a a a a a a a a a a n n n n n n n n n n n ---=-+-++-+-+=-++-+++⨯++⨯++=-+-++++-+-=+-+=-++=所以数列{}n a 的通项公式为2n a n =。
例2 已知数列{}n a 满足112313n n n a a a +=+⨯+=,,求数列{}n a 的通项公式。
解法一:由1231n n n a a +=+⨯+得1231n n n a a +-=⨯+则11232211122112211()()()()(231)(231)(231)(231)32(3333)(1)33(13)2(1)313331331n n n n n n n n n n n n a a a a a a a a a a n n n n --------=-+-++-+-+=⨯++⨯+++⨯++⨯++=+++++-+-=+-+-=-+-+=+-所以3 1.n n a n =+-解法二:13231n n n a a +=+⨯+两边除以13n +,得111213333n n n n n a a +++=++, 则111213333n n n n n a a +++-=+,故 112232112232111122122()()()()33333333212121213()()()()3333333332(1)11111()1333333n n n n n n n n n n n n n n n n n n n n n a a a a a a a a a a a a n --------------=-+-+-++-+=+++++++++-=+++++++因此11(13)2(1)2113133133223n n n n na n n ---=++=+--⨯,则21133.322n n n a n =⨯⨯+⨯-2、累乘法 适用于: 1()n n a f n a +=若1()n n a f n a +=,则31212(1)(2)()n na aaf f f n a a a +===,,, 两边分别相乘得,1111()nn k a a f k a +==⋅∏例3 已知数列{}n a 满足112(1)53n n n a n a a +=+⨯=,,求数列{}n a 的通项公式。
数列通项公式常见求法1.等差数列:等差数列是指数列中相邻两项之间的差值保持不变的数列。
对于等差数列an,其通项公式可以通过以下方法求得:- 直接法:当等差数列已知首项a1和公差d时,通项公式可以通过观察数列的特点进行直接推导。
常用的通项公式为an = a1 + (n-1)d。
-递推法:对于等差数列,可以通过递推方法得到通项公式。
具体步骤是观察数列的前几项,找到相邻两项之间的关系,然后递推得到通项公式。
- 代数法:利用等差数列的性质,可以通过代数方法求得通项公式。
例如,可以使用方程an = a1 + (n-1)d,联立已知条件求解未知数。
2.等比数列:等比数列是指数列中相邻两项之间的比值保持不变的数列。
对于等比数列an,其通项公式可以通过以下方法求得:- 直接法:当等比数列已知首项a1和公比q时,通项公式可以通过观察数列的特点进行直接推导。
常用的通项公式为an = a1 * q^(n-1)。
-递推法:对于等比数列,可以通过递推方法得到通项公式。
具体步骤是观察数列的前几项,找到相邻两项之间的关系,然后递推得到通项公式。
- 代数法:利用等比数列的性质,可以通过代数方法求得通项公式。
例如,可以使用方程an = a1 * q^(n-1),联立已知条件求解未知数。
3.斐波那契数列:斐波那契数列是指数列中每一项都是前两项的和的数列。
斐波那契数列的通项公式可以通过以下方法求得:- 通项公式法:斐波那契数列有一个特殊的通项公式,即an = φ^n - (1-φ)^n / √5,其中φ为黄金分割比(约等于1.618)。
这个公式可以通过矩阵求解、特征方程、黄金分割法等方法推导得到。
4.幂方数列:幂方数列是指数列中每一项都是公比为一个固定值k的幂函数的数列。
幂方数列的通项公式可以通过以下方法求得:-递推法:对于幂方数列,可以通过递推方法得到通项公式。
具体步骤是观察数列的前几项,找到相邻两项之间的关系,然后递推得到通项公式。
求数列通项公式的13种方法在数学中,数列是一组按照一定规律依次排列的数字集合。
求数列的通项公式是对该数列的每一项都能找到一个通用的公式来描述。
这篇文档将介绍13种求解数列通项公式的方法。
1. 模式观察法通过观察数列中数字的变化模式,尝试找出递推关系,并通过推测整理出数列的通项公式。
2. 公式转化法通过对数列进行一系列数学运算,如加减乘除、取幂次等,将数列转化成已知的常见数列,再推导出通项公式。
3. 递推法通过已知的前几项数值,推导出当前项和下一项之间的关系,进而获得数列的通项公式。
4. 二项展开法借助二项展开公式,将数列展开成多项式形式,从而得到数列的通项公式。
5. 求解差分方程法将数列转化为差分方程,通过求解差分方程得到数列的通项公式。
6. 系数法利用多项式系数之间的关系,通过观察系数之间的规律,推导出数列的通项公式。
7. 利用等差数列和等比数列性质对于满足等差数列或等比数列性质的部分数列,可以直接应用等差数列或等比数列的通项公式。
8. 利用级数展开对于部分数列,可以将其展开成级数形式,从而得到数列的通项公式。
9. 奇偶性分析法通过分析数列中数字的奇偶性规律,推导出数列的通项公式。
10. 利用生成函数通过构造数列的生成函数,将数列转化成幂级数形式,再求解得到数列的通项公式。
11. 递归关系法对于一些特殊的数列,可以通过递归关系推导出数列的通项公式。
12. 利用数学归纳法利用数学归纳法证明数列的通项公式的正确性。
13. 利用数值计算方法拟合通过计算机软件等数值计算方法,根据数列的前几项数值进行拟合,得到数列的通项公式。
以上是13种常用的求解数列通项公式的方法。
根据具体的数列情况和求解需要,选择合适的方法进行计算和推导。
> 注意:此文档中的内容仅供参考。
在确定数列的通项公式时,请务必进行独立决策,不要直接引用未经验证的内容。
---以上是对「求数列通项公式的13种方法」的介绍文档。
求数列通项公式的十种方法求解数列通项公式是数学中的一个重要问题,对于一些特殊的数列,我们可以通过观察规律来找到通项公式,但对于一般的数列来说,我们需要使用一些数学工具和技巧来解决这个问题。
在下面,我将介绍十种常用的方法来求解数列的通项公式。
方法一:递推法递推法是一种常见的求解数列的方法,通过观察数列中相邻项之间的关系,可以找到递推公式。
常见的递推公式有线性递推和非线性递推两种形式。
方法二:列元法列元法是一种将数列元素列出来,然后通过观察数列元素之间的关系,找到通项公式的方法。
常见的列元法包括列出常数项和差项、连加项、平方项和立方项等。
方法三:指数递推法指数递推法是一种将数列元素进行指数递推,然后通过观察递推结果找到通项公式的方法。
常见的指数递推法包括指数增长、指数递减和二阶指数递增等。
方法四:利用级数对于一些复杂的数列,可以使用级数的方法来求解通项公式。
通过构造级数和求导积分等操作,可以得到数列的通项公式。
方法五:利用生成函数生成函数是一种将数列转化为多项式的方法,通过多项式的操作,可以得到数列的通项公式。
常见的生成函数包括普通生成函数和指数型生成函数。
方法六:利用逼近方法逼近方法是通过找到数列与一些函数逼近的关系,然后通过求解该函数的表达式来求解数列的通项公式。
常见的逼近方法包括泰勒级数逼近和拉格朗日插值等。
方法七:利用矩阵运算对于一些特殊的数列,可以使用矩阵运算的方法来求解通项公式。
通过构造矩阵和矩阵的运算,可以得到数列的通项公式。
方法八:利用线性代数利用线性代数的方法,可以将数列看作向量空间中的向量,通过线性变换和线性方程组的解来求解数列的通项公式。
方法九:利用特殊函数对于一些特殊的数列,可以使用特殊函数的方法来求解通项公式。
常见的特殊函数有二次函数、指数函数、对数函数、三角函数和双曲函数等。
方法十:利用离散数学离散数学是一种研究离散结构和离散规律的数学分支,通过利用离散数学的方法,可以求解数列的通项公式。
求通项公式的5种重要方法一、Sn 法,根据等差数列、等比数列的定义求通项an=Sn-S n-1*121{}(1)()3(1),;(2):{}.n n n n n a n S S a n N a a a =-∈ 已知数列的前项为,求求证数列是等比数列二、累加、累乘法1、累加法 适用于:1()n n a a f n +=+若1()n n a a f n +-=(2)n ≥,则 21321(1)(2)()n n a a f a a f a a f n +-=-=-=例1例2 已知数列{}n a 满足11211n n a a n a +=++=,,求数列{}n a 的通项公式。
例3 已知数列{}n a 满足112313n n n a a a +=+⨯+=,,求数列{}n a 的通项公式。
2、累乘法 适用于: 1()n n a f n a += 若1()n n a f n a +=,则31212(1)(2)()n na a a f f f n a a a +===,,, n a例4 已知数列{}n a 满足112(1)53n n n a n a a +=+⨯=,,求数列{}n a 的通项公式。
例5 已知11a =,1()n n n a n a a +=-*()n N ∈,求数列{}n a 通项公式.例6 已知数列{}n a 满足11231123(1)(2)n n a a a a a n a n -==++++-≥,,求{}n a 的通项公式。
三、待定系数法 适用于1()n n a qa f n +=+分析:通过凑配可转化为1121()[()]n n a f n a f n λλλ++=+;解题基本步骤:1、确定()f n2、设等比数列{}1()n a f n λ+,公比为2λ3、列出关系式1121()[()]n n a f n a f n λλλ++=+4、比较系数求1λ,2λ5、解得数列{}1()n a f n λ+的通项公式例7 已知数列{}n a 中,111,21(2)n n a a a n -==+≥,求数列{}n a 的通项公式。
求数列通项公式常用的七种方法数列通项公式是指一个数列中的每一项可以通过一个公式来表示的规律。
在数学中,有许多方法可以求解数列的通项公式。
本文将介绍常用的七种方法。
第一种方法是观察法。
通过观察数列中的数字规律,可以有时候发现通项公式。
这种方法一般适用于数列中规律较为明显的情况。
例如,对于特殊的等差数列和等比数列,往往可以通过观察数列中的数字规律得到通项公式。
第二种方法是递推法。
通过已知的数列项计算下一项的方法,找到递推关系,从而求得通项公式。
递推法可以通过分析数列前后项之间的关系来得到,常用的有差分法、倍增法等。
第三种方法是数学归纳法。
数学归纳法是一种证明方法,也可以用来求解数列的通项公式。
通过证明当n为任意正整数时,数列第n 项与前面的项之间的关系成立,可以得到通项公式。
这种方法适用于证明递推数列的通项公式。
第四种方法是代数法。
通过构造代数方程来求解数列的通项公式。
一般来说,数列的通项公式可以表示为n的多项式函数。
通过构造适当的方程,可以求得多项式的系数,从而得到通项公式。
第五种方法是级数法。
某些数列可以转化为级数,通过求解级数的通项公式得到数列的通项公式。
级数法一般用于求解数列的求和公式,例如等差数列和等比数列。
第六种方法是线性代数法。
将数列看做一个向量或矩阵,利用线性代数的理论来求解通项公式。
这种方法适用于线性递推数列,可以通过求解矩阵的特征值和特征向量来得到通项公式。
第七种方法是解微分方程法。
数列可以看作是一个离散的函数,而微分方程是描述连续函数变化规律的工具。
通过解微分方程,可以得到数列的通项公式。
这种方法适用于满足某些连续性条件的数列。
综上所述,求数列通项公式可以通过观察法、递推法、数学归纳法、代数法、级数法、线性代数法和解微分方程法等七种方法。
每种方法都有其适用范围和特点,具体选择哪种方法需要根据数列的性质和问题的要求来决定。
无论采用哪种方法,都需要运用数学的思维和方法,通过分析和推理来求解数列的通项公式。
数列通项公式—常见9种求法数列通项公式是指能够直接给出数列中任意一项的公式。
找到数列通项公式可以帮助我们快速计算数列中的任意项,同时也能更好地理解数列的性质和规律。
在数学中,有多种方法可以求解数列通项公式,下面我们将介绍其中的9种常见方法。
1.递推关系法递推关系法是求解数列通项公式最常见的方法之一、当我们可以找到数列中每一项与前几项之间的关系时,可以利用递推关系求出通项公式。
例如,斐波那契数列中每一项都等于前两项的和,可以用递推关系f(n)=f(n-1)+f(n-2)来求解。
2.等差数列通项公式等差数列是指数列中每一项与前一项之差都相等的数列。
等差数列通项公式为an = a1 + (n-1)d,其中an表示第n项,a1表示第一项,d表示公差。
3.等比数列通项公式等比数列是指数列中每一项与前一项的比都相等的数列。
等比数列通项公式为an = a1 * r^(n-1),其中an表示第n项,a1表示第一项,r 表示公比。
4.幂数列通项公式幂数列是指数列中每一项都是一个幂函数的形式。
幂数列通项公式为an = ar^(n-1),其中an表示第n项,a表示一些常数,r表示递增的比值。
5.组合数列通项公式组合数列是指数列中每一项都是由组合数形成的数列。
组合数列通项公式可以通过求解组合数来获得。
6.一元多项式数列通项公式一元多项式数列是指数列中的每一项都是由一元多项式形成的数列。
可以利用多项式的相关性质和求解方法获得数列通项公式。
7.递推与线性常系数齐次差分方程法递推与线性常系数齐次差分方程法是利用递推关系和差分方程的性质求解数列通项公式的方法。
8.高阶递推关系法当数列中每一项与前面多个项之间有复杂的关系时,可以利用高阶递推关系进行求解。
9.查找数列在数学常数表中的表达式有些数列的通项公式可以在数学常数表中找到,例如斐波那契数列中的通项公式可以在黄金分割数相关的公式中找到。
以上是数列通项公式的9种常见求法,每种方法都可以根据不同的数列规律和特点进行选择和运用。
史上最全的数列通项公式的求法15种一、等差数列(Arithmetic sequence)1.基本公式:一个等差数列的通项公式为:an = a1 + (n-1)d其中an代表数列的第n项,a1代表数列的首项,d代表数列的公差。
2.另一种形式:等差数列的通项公式还可以表示为:an = a + (n-1) * (a2-a1)/2其中an代表数列的第n项,a代表数列的首项,a1代表数列的第二项,a2代表数列的前两项。
二、等比数列(Geometric sequence)1.基本公式:一个等比数列的通项公式为:an = a1 * r^(n-1)其中an代表数列的第n项,a1代表数列的首项,r代表数列的公比。
2.另一种形式:等比数列的通项公式也可以表示为:an = a * q^n其中an代表数列的第n项,a代表数列的首项,q代表数列的公比。
三、斐波那契数列(Fibonacci sequence)1.基本公式:一个斐波那契数列的通项公式为:Fn=(φ^n-(1-φ)^n)/√5其中Fn代表数列的第n项,φ代表黄金分割比(约1.618)。
2.矩阵法:斐波那契数列的通项公式还可以通过矩阵的形式表示:Fn=(A^n*F0),其中An是一个特定的矩阵,F0是初始向量。
四、调和数列(Harmonic sequence)1.基本公式:一个调和数列的通项公式为:an = 1/n其中an代表数列的第n项。
五、多项式数列(Polynomial sequence)一个多项式数列的通项公式为:an = an-1 + an-2 + ... + an-m其中an代表数列的第n项,an-1为前一项,an-2为前两项,an-m为前m项。
六、余弦数列(Cosine sequence)1.基本公式:一个余弦数列的通项公式为:an = a + b * cos(cn)其中an代表数列的第n项,a、b为常数,c为常数。
2.幂函数法:余弦数列的通项公式还可以表示为:an = a + b * cos(nθ)其中an代表数列的第n项,a、b为常数,θ为角度。
数列通项公式的十种求法方法一:直接法对于一些简单的数列,可以通过观察数列的规律,直接写出通项公式。
例如,对于等差数列an=3n+1,可以观察到每一项都是前一项加上3,因此可以直接写出通项公式。
方法二:递推法递推法是通过数列前一项和通项之间的关系式来推导通项公式。
例如,对于斐波那契数列an=an-1+an-2,可以通过给出前两项的值,然后通过关系式不断求解后续项的值,得到通项公式。
方法三:代数法对于一些特殊的数列,可以通过代数方式求解通项公式。
例如,对于等比数列an=2^n,可以通过代数方法得到通项公式。
方法四:数学归纳法数学归纳法是通过证明法来得到通项公式。
首先证明数列的前几项符合一些表达式,然后假设n=k时表达式成立,再证明n=k+1时也成立,从而得到通项公式。
方法五:求和法有些数列的通项公式可以通过求和公式得到。
例如,对于等差数列an=3n+1,可以通过求和公式求得前n项和Sn=3n(n+1)/2,然后推导出通项公式。
方法六:线性递推法对于一些特殊的数列,可以通过线性递推法求解通项公式。
线性递推法是通过设定通项公式的形式,然后求解出相应的系数。
例如,对于一阶等差数列an=ax+b,可以通过线性递推法求解出通项公式。
方法七:矩阵法矩阵法是通过将数列表示成矩阵的形式,然后通过矩阵运算求解出通项公式。
例如,对于数列an=2n+1,可以将其表示为一个2×2的矩阵,然后通过矩阵运算得到通项公式。
方法八:生成函数法生成函数法是通过定义一个函数来表示数列,然后通过函数运算求解出通项公式。
例如,对于斐波那契数列an=an-1+an-2,可以定义一个生成函数F(x)=a0+a1x+a2x^2+...,然后通过函数运算得到通项公式。
方法九:离散动力系统法离散动力系统法是通过建立数列的动力系统方程,然后求解出通项公式。
例如,对于一阶等差数列an=ax+b,可以将其表示为一个离散动力系统方程xn+1=axn+b,然后通过求解方程得到通项公式。
求数列通项公式的十一种方法(方法全,例子全,归纳细)总述:一.利用递推关系式求数列通项的7种方法:累加法、 累乘法、 待定系数法、 倒数变换法、 由和求通项 定义法(根据各班情况适当讲)二。
基本数列:等差数列、等比数列。
等差数列、等比数列的求通项公式的方法是:累加和累乘,这二种方法是求数列通项公式的最基本方法。
三.求数列通项的方法的基本思路是:把所求数列通过变形,代换转化为等差数列或等比数列。
四.求数列通项的基本方法是:累加法和累乘法。
五.数列的本质是一个函数,其定义域是自然数集的一个函数。
一、累加法1.适用于:1()n n a a f n +=+----------这是广义的等差数列累加法是最基本的二个方法之一。
例1已知数列{}n a 满足11211n n a a n a +=++=,,求数列{}n a 的通项公式。
解:由121n n a a n +=++得121n n a a n +-=+则所以数列{}n a 的通项公式为2n a n =。
例2已知数列{}n a 满足112313n n n a a a +=+⨯+=,,求数列{}n a 的通项公式。
解法一:由1231n n n a a +=+⨯+得1231n n n a a +-=⨯+则11232211122112211()()()()(231)(231)(231)(231)32(3333)(1)33(13)2(1)313331331n n n n n n n n n n n n a a a a a a a a a a n n n n --------=-+-++-+-+=⨯++⨯+++⨯++⨯++=+++++-+-=+-+-=-+-+=+-所以3 1.n n a n =+-解法二:13231n n n a a +=+⨯+两边除以13n +,得111213333n n n n n a a +++=++, 则111213333n n n n n a a +++-=+,故 因此11(13)2(1)2113133133223n n n n na n n ---=++=+--⨯, 则21133.322n n n a n =⨯⨯+⨯-练习1.已知数列{}n a 的首项为1,且*12()n n a a n n N +=+∈写出数列{}n a 的通项公式.答案:12+-n n练习2.已知数列}{n a 满足31=a ,)2()1(11≥-+=-n n n a a n n ,求此数列的通项公式.答案:裂项求和n a n 12-=评注:已知a a =1,)(1n f a a n n =-+,其中f(n)可以是关于n 的一次函数、二次函数、指数函数、分式函数,求通项n a .①若f(n)是关于n 的一次函数,累加后可转化为等差数列求和; ②若f(n)是关于n 的二次函数,累加后可分组求和;③若f(n)是关于n 的指数函数,累加后可转化为等比数列求和; ④若f(n)是关于n 的分式函数,累加后可裂项求和。
二、累乘法1.适用于:1()n n a f n a +=----------这是广义的等比数列 累乘法是最基本的二个方法之二。
2.若1()n n a f n a +=,则31212(1)(2)()n na aaf f f n a a a +===,,, 两边分别相乘得,1111()nn k a a f k a +==⋅∏ 例4.设{}n a 是首项为1的正项数列,且()011221=+-+++n n n n a a na a n (n =1,2,3,…),则它的通项公式是n a =________.解:已知等式可化为:[]0)1()(11=-++++n n n n na a n a a0>n a (*N n ∈)∴(n+1)01=-+n n na a ,即11+=+n na a n n∴2≥n 时,nn a a n n 11-=-∴112211a a a a a a a a n n n n n ⋅⋅⋅⋅=--- =121121⋅⋅--⋅- n n n n =n 1. 评注:本题是关于n a 和1+n a 的二次齐次式,可以通过因式分解(一般情况时用求根公式)得到n a 与1+n a 的更为明显的关系式,从而求出n a .练习.已知11(1),1n n n a na a ++==,求数列{n a }的通项公式.三、待定系数法适用于1()n n a qa f n +=+基本思路是转化为等差数列或等比数列,而数列的本质是一个函数,其定义域是自然数集的一个函数。
1.形如0(,1≠+=+c d ca a n n ,其中a a =1)型例6已知数列{}n a 中,111,21(2)n n a a a n -==+≥,求数列{}n a 的通项公式。
解法一:121(2),n n a a n -=+≥又{}112,1n a a +=∴+是首项为2,公比为2的等比数列12n n a ∴+=,即21n n a =-解法二:121(2),n n a a n -=+≥两式相减得112()(2)n n n n a a a a n +--=-≥,故数列{}1n n a a +-是首项为2,公比为2的等比数列,再用累加法的……练习.已知数列}{n a 中,,2121,211+==+n n a a a 求通项n a 。
答案:1)21(1+=-n n a2.形如:nn n q a p a +⋅=+1(其中q 是常数,且n ≠0,1)①若p=1时,即:nn n q a a +=+1,累加即可.②若1≠p 时,即:n n n q a p a +⋅=+1,求通项方法有以下三种方向:i.两边同除以1+n p .目的是把所求数列构造成等差数列即:nnn n n qp p q a p a )(111⋅+=++,令n nn p a b =,则nn n q p p b b )(11⋅=-+,然后类型1,累加求通项.ii.两边同除以1+n q .目的是把所求数列构造成等差数列。
即:q q a q p q a n n n n 111+⋅=++,令n nn q a b =,则可化为q b q p b n n 11+⋅=+.然后转化为类型5来解,iii.待定系数法:目的是把所求数列构造成等差数列 设)(11n n n n p a p q a ⋅+=⋅+++λλ.通过比较系数,求出λ,转化为等比数列求通项.注意:应用待定系数法时,要求p ≠q ,否则待定系数法会失效。
例7已知数列{}n a 满足1112431n n n a a a -+=+⋅=,,求数列{}n a 的通项公式。
解法一(待定系数法):设11123(3n n n n a a λλλ-++=+⋅),比较系数得124,2λλ=-=,则数列{}143n na--⋅是首项为111435a --⋅=-,公比为2的等比数列, 所以114352n n n a ---⋅=-⋅,即114352n n n a --=⋅-⋅解法二(两边同除以1+n q):两边同时除以13n +得:112243333n n n n a a ++=⋅+,下面解法略 解法三(两边同除以1+n p ):两边同时除以12+n 得:nn n n n a a )23(342211⋅+=++,下面解法略 **3.形如b kn pa a n n ++=+1(其中k,b 是常数,且0≠k )例8在数列}{n a 中,,23,111n a a a n n +==+求通项n a .(逐项相减法) 解: ,,231n a a n n +=+①∴2≥n 时,)1(231-+=-n a a n n ,两式相减得2)(311+-=--+n n n n a a a a .令n n n a a b -=+1,则231+=-n n b b 利用类型5的方法知2351+⋅=-n n b 即13511-⋅=--+n n n a a ②再由累加法可得213251--⋅=-n a n n .亦可联立①②解出213251--⋅=-n a n n .**5.形如21 n n n a pa qa ++=+时将n a 作为()f n 求解分析:原递推式可化为211()() n n n n a a p a a λλλ++++=++的形式,比较系数可求得λ,数列{}1n n a a λ++为等比数列。
例11已知数列{}n a 满足211256,1,2n n n a a a a a ++=-=-=,求数列{}n a 的通项公式。
解:设211(5)()n n n n a a a a λλλ++++=++比较系数得3λ=-或2λ=-,不妨取2λ=-,(取-3结果形式可能不同,但本质相同) 则21123(2)n n n n a a a a +++-=-,则{}12n n a a +-是首项为4,公比为3的等比数列11243n n n a a -+∴-=⋅,所以114352n n n a --=⋅-⋅练习.数列{}n a 中,若2,821==a a ,且满足03412=+-++n n n a a a ,求n a . 答案:nn a 311-=.四、倒数变换法适用于分式关系的递推公式,分子只有一项 例16已知数列{}n a 满足112,12nn n a a a a +==+,求数列{}n a 的通项公式。
解:求倒数得11111111111,,22n n n n n n a a a a a a +++⎧⎫=+∴-=∴-⎨⎬⎩⎭为等差数列,首项111a =,公差为12,112(1),21n n n a a n ∴=+∴=+ 五、由和求通项已知数列{}n a 的各项均为正数,且前n 项和n S 满足2132,2n S n n a =-=求数列{}n a 的通项公式。
例19已知数列{}n a 的各项均为正数,且前n 项和n S 满足1(1)(2)6n n n S a a =++,且249,,a a a 成等比数列,求数列{}n a 的通项公式。
解:∵对任意n N +∈有1(1)(2)6n n n S a a =++⑴∴当n=1时,11111(1)(2)6S a a a ==++,解得11a =或12a = 当n ≥2时,1111(1)(2)6n n n S a a ---=++⑵ ⑴-⑵整理得:11()(3)0n n n n a a a a --+--= ∵{}n a 各项均为正数,∴13n n a a --= 当11a =时,32n a n =-,此时2429a a a =成立当12a =时,31n a n =-,此时2429a a a =不成立,故12a =舍去 所以32n a n =-练习。