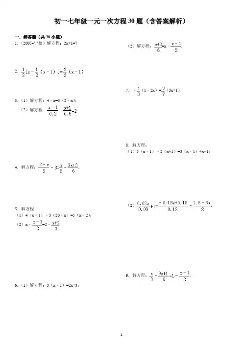
初一七年级一元一次方程30题(含答案解析)
- 格式:doc
- 大小:291.50 KB
- 文档页数:28
自我测试60分钟看看准确率牛刀小试相信自己一定行1、712=+x ;2、825=-x ;3、7233+=+x x ;4、735-=+x x ;解:(移项)(合并)(化系数为1)5、914211-=-x x ;6、2749+=-x x ;7、162=+x ;8、9310=-x ;解:(移项)(合并)(化系数为1)9、x x -=-324;10、4227-=+-x x ;11、8725+=-x x ;12、32141+=-x x 解:(移项)(合并)(化系数为 113、1623+=x x 14、253231+=-x x ;15、152+=--x x ;16、23312+=--xx 解:(移项)(合并)(化系数为1).17、475.0=)++(x x ;18、2-41)=-(x ;19、511)=-(x ;20、212)=---(x ;解:(去括号)(移项)(合并)(化系数为1)21、)12(5111+=+x x ;22、32034)=-(-x x .23、5058=)-+(x ;24、293)=-(x ;解:(去括号)(移项)(合并)(化系数为1)25、3-243)=+(x ;26、2-122)=-(x ;27、443212+)=-(x x ;28、323236)=+(-x ;解:(去括号)(移项)(合并)(化系数为1)29、x x 2570152002+)=-(;30、12123)=+(x .31、452x x =+;32、3423+=-x x ;解:(去分母)(去括号)(移项)(合并)(化系数为1)33、)-()=+(3271131x x ;34、)-()=+(131141x x ;35、142312-+=-x x ;解:(去分母)(去括号)(移项)(合并)(化系数为 136、)+(-)=-(2512121x x . 37、)+()=+(20411471x x ;38、)-(-)=+(731211551x x . 解:(去分母)(去括号)(移项)(合并)(化系数为 139、432141=-x ;40、83457=-x ;41、815612+=-x x ;42、629721-=-x x ;解:(去分母)(去括号)(移项)(合并)(化系数为 143、1232151)=-(-x x ;44、1615312=--+x x ;45、x x 2414271-)=+(;解:(去分母)(去括号)(移项)(合并)(化系数为 146、259300300102200103)=-()-+(x x . 47、307221159138)=-()--()--(x x x ;解:(去分母)(去括号)(移项)(合并)(化系数为 148、51413121-=+x x ;49、13.021.02.015.0=-+--x x ;50、3.01-x -5.02+x =12.解:(化整)(去分母)(去括号)(移项)(合并)(化系数为 1【参考答案】1、【答案】(1)3=x ;(2)2=x ;(3)4=x ;(4)6=x ;(5)37=x ;(6)12=-x ;(7)4=x ;(8)32=-x .1.1、【答案】(9)25=-x ;(10)56=x ;(11)5=-x ;(12)31=-x ;(13)1=x ;(14)32=x ;(15)35=-x ;(16)1=x .2、【答案】(17)1=x ;(18)1=-x ;(19)56=x ;(20)3=-x ;(21)4=x ;(22)9=x .2.1、【答案】(23)7=-x ;(24)23=-x ;(25)11=-x ;(26)4=-x ;(27)21=x ;(28)910=x ;(29)6=x ;(30)23=x .3、【答案】(31)8=x ;(32)51=x ;(33)16=-x ;(34)7=x ;(35)52=-x ;(36)3=x ;(37)28=-x ;(38)165=-x .3.1、【答案】(39)5=x ;(40)1413=x ;(41)1=-x ;(42)320=-x ;(43)1225=x ;(44)3=-x ;(45)87=x ;(46)216=x .4、【答案】(47)3=x ;(48)1532=-x ;(49)1364=x ;(50)229=x .。
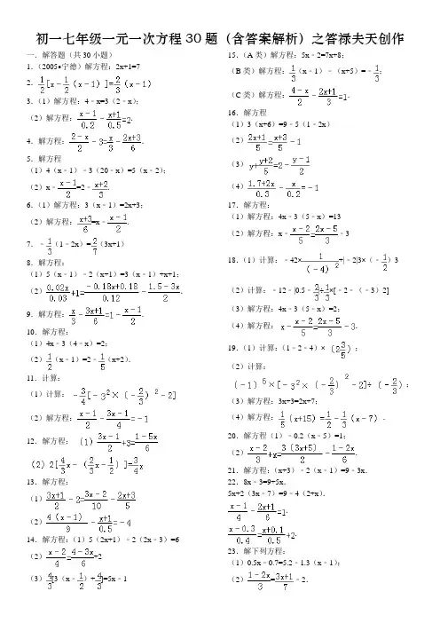
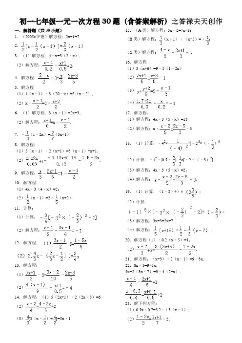
初一七年级一元一次方程30题(含答案解析)一.解答题(共30小题)1.(2005•宁德)解方程:2x+1=72.3.(1)解方程:4﹣x=3(2﹣x);(2)解方程:.4.解方程:.5.解方程(1)4(x﹣1)﹣3(20﹣x)=5(x﹣2);(2)x ﹣=2﹣.6.(1)解方程:3(x﹣1)=2x+3;(2)解方程:=x ﹣.7.﹣(1﹣2x)=(3x+1)8.解方程:(1)5(x﹣1)﹣2(x+1)=3(x﹣1)+x+1;(2).9.解方程:.10.解方程:(1)4x﹣3(4﹣x)=2;(2)(x﹣1)=2﹣(x+2).11.计算:(1)计算:(2)解方程:12.解方程:13.解方程:(1)(2)14.解方程:(1)5(2x+1)﹣2(2x﹣3)=6 (2)+2(3)[3(x ﹣)+]=5x﹣115.(A类)解方程:5x﹣2=7x+8;(B 类)解方程:(x﹣1)﹣(x+5)=﹣;(C 类)解方程:.16.解方程(1)3(x+6)=9﹣5(1﹣2x)(2)(3)(4)17.解方程:(1)解方程:4x﹣3(5﹣x)=13(2)解方程:x ﹣﹣318.(1)计算:﹣42×+|﹣2|3×(﹣)3(2)计算:﹣12﹣|0.5﹣|÷×[﹣2﹣(﹣3)2](3)解方程:4x﹣3(5﹣x)=2;(4)解方程:.19.(1)计算:(1﹣2﹣4)×;(2)计算:÷;(3)解方程:3x+3=2x+7;(4)解方程:.20.解方程(1)﹣0.2(x ﹣5)=1; (2).21.解方程:(x+3)﹣2(x ﹣1)=9﹣3x .22.8x ﹣3=9+5x .5x+2(3x ﹣7)=9﹣4(2+x )...23.解下列方程:(1)0.5x ﹣0.7=5.2﹣1.3(x ﹣1); (2)=﹣2.24.解方程:(1)﹣0.5+3x=10;(2)3x+8=2x+6;(3)2x+3(x+1)=5﹣4(x﹣1);(4).25.解方程:.26.解方程:(1)10x﹣12=5x+15;(2)27.解方程:(1)8y﹣3(3y+2)=7(2).28.当k 为什么数时,式子比的值少3.29.解下列方程:(I)12y﹣2.5y=7.5y+5(II ).30.解方程:.6.2.4解一元一次方程(三)参考答案与试题解析一.解答题(共30小题)1.(2005•宁德)解方程:2x+1=7考点:解一元一次方程.专题:计算题;压轴题.分析:此题直接通过移项,合并同类项,系数化为1可求解.解答:解:原方程可化为:2x=7﹣1合并得:2x=6系数化为1得:x=3点评:解一元一次方程,一般要通过去分母,去括号,移项,合并同类项,未知数的系数化为1等步骤,把一个一元一次方程“转化”成x=a的形式.2.考点:解一元一次方程.专题:计算题.分析:这是一个带分母的方程,所以要先去分母,再去括号,最后移项,化系数为1,从而得到方程的解.解答:解:左右同乘12可得:3[2x﹣(x﹣1)]=8(x﹣1),化简可得:3x+3=8x﹣8,移项可得:5x=11,解可得x=.故原方程的解为x=.点评:若是分式方程,先同分母,转化为整式方程后,再移项化简,解方程可得答案.3.(1)解方程:4﹣x=3(2﹣x);(2)解方程:.考点:解一元一次方程.专题:计算题.分析:(1)先去括号,然后再移项、合并同类型,最后化系数为1,得出方程的解;(2)题的方程中含有分数系数,应先对各式进行化简、整理,然后再按(1)的步骤求解.解答:解:(1)去括号得:4﹣x=6﹣3x,移项得:﹣x+3x=6﹣4,合并得:2x=2,系数化为1得:x=1.(2)去分母得:5(x﹣1)﹣2(x+1)=2,去括号得:5x﹣5﹣2x﹣2=2,移项得:5x﹣2x=2+5+2,合并得:3x=9,系数化1得:x=3.点评:(1)本题易在去分母、去括号和移项中出现错误,还可能会在解题前产生害怕心理.因为看到小数、分数比较多,学生往往不知如何寻找公分母,怎样合并同类项,怎样化简,所以我们要教会学生分开进行,从而达到分解难点的效果.(2)本题的另外一个重点是教会学生对于分数的分子、分母同时扩大或缩小若干倍,值不变.这一性质在今后常会用到.4.解方程:.考点:解一元一次方程.专题:计算题.分析:此题两边都含有分数,分母不相同,如果直接通分,有一定的难度,但将方程左右同时乘以公分母6,难度就会降低.解答:解:去分母得:3(2﹣x)﹣18=2x﹣(2x+3),去括号得:6﹣3x﹣18=﹣3,移项合并得:﹣3x=9,∴x=﹣3.点评:本题易在去分母和移项中出现错误,学生往往不知如何寻找公分母,怎样合并同类项,怎样化简,所以我们要教会学生分开进行,从而达到分解难点的效果.5.解方程(1)4(x﹣1)﹣3(20﹣x)=5(x﹣2);(2)x﹣=2﹣.考点:解一元一次方程.专题:计算题.分析:(1)先去括号,再移项、合并同类项、化系数为1,从而得到方程的解;(2)先去分母,再去括号,最后移项,化系数为1,从而得到方程的解.解答:解:(1)去括号得:4x﹣4﹣60+3x=5x﹣10(2分)移项得:4x+3x﹣5x=4+60﹣10(3分)合并得:2x=54(5分)系数化为1得:x=27;(6分)(2)去分母得:6x﹣3(x﹣1)=12﹣2(x+2)(2分)去括号得:6x﹣3x+3=12﹣2x﹣4(3分)移项得:6x﹣3x+2x=12﹣4﹣3(4分)合并得:5x=5(5分)系数化为1得:x=1.(6分)点评:去分母时,方程两端同乘各分母的最小公倍数时,不要漏乘没有分母的项,同时要把分子(如果是一个多项式)作为一个整体加上括号.去括号时要注意符号的变化.6.(1)解方程:3(x﹣1)=2x+3;(2)解方程:=x﹣.考点:解一元一次方程.专题:计算题.分析:(1)是简单的一元一次方程,通过移项,系数化为1即可得到;(2)是较为复杂的去分母,本题方程两边都含有分数系数,如果直接通分,有一定的难度,但对每一个式子先进行化简、整理为整数形式,难度就会降低.解答:解:(1)3x﹣3=2x+33x﹣2x=3+3x=6;(2)方程两边都乘以6得:x+3=6x﹣3(x﹣1)x+3=6x﹣3x+3x﹣6x+3x=3﹣3﹣2x=0∴x=0.点评:本题易在去分母、去括号和移项中出现错误,还可能会在解题前不知如何寻找公分母,怎样合并同类项,怎样化简,所以要学会分开进行,从而达到分解难点的效果.去分母时,方程两端同乘各分母的最小公倍数时,不要漏乘没有分母的项,同时要把分子(如果是一个多项式)作为一个整体加上括号.7.﹣(1﹣2x)=(3x+1)考点:解一元一次方程.专题:计算题.分析:这是一个带分母的方程,所以要先去分母,再去括号,最后移项,化系数为1,从而得到方程的解.解答:解:﹣7(1﹣2x)=3×2(3x+1)﹣7+14x=18x+6﹣4x=13x=﹣.点评:解一元一次方程的一般步骤是去分母、去括号、移项、合并同类项和系数化为1.此题去分母时,方程两端同乘各分母的最小公倍数时,不要漏乘没有分母的项,同时要把分子(如果是一个多项式)作为一个整体加上括号.8.解方程:(1)5(x﹣1)﹣2(x+1)=3(x﹣1)+x+1;(2).考点:解一元一次方程.专题:计算题.分析:(1)可采用去括号,移项,合并同类项,系数化1的方式进行;(2)本题方程两边都含有分数系数,如果直接通分,有一定的难度,但对每一个式子先进行化简、整理为整数形式,难度就会降低.解答:解:(1)5(x﹣1)﹣2(x+1)=3(x﹣1)+x+13x﹣7=4x﹣2∴x=﹣5;(2)原方程可化为:去分母得:40x+60=5(18﹣18x)﹣3(15﹣30x),去括号得:40x+60=90﹣90x﹣45+90x,移项、合并得:40x=﹣15,系数化为1得:x=.点评:(1)本题易在去分母、去括号和移项中出现错误,还可能会在解题前产生害怕心理.因为看到小数、分数比较多,学生往往不知如何寻找公分母,怎样合并同类项,怎样化简,所以我们要教会学生分开进行,从而达到分解难点的效果;(2)本题的另外一个重点是教会学生对于分数的分子、分母同时扩大或缩小若干倍,值不变.这一性质在今后常会用到.9.解方程:.考点:解一元一次方程.专题:计算题.分析:这是一个带分母的方程,所以要先去分母,再去括号,最后移项,化系数为1,从而得到方程的解.解答:解:,去分母得:2x﹣(3x+1)=6﹣3(x﹣1),去括号得:2x﹣3x﹣1=6﹣3x+3,移项、合并同类项得:2x=10,系数化为1得:x=5.点评:去分母时,方程两端同乘各分母的最小公倍数时,不要漏乘没有分母的项,同时要把分子(如果是一个多项式)作为一个整体加上括号.10.解方程:(1)4x﹣3(4﹣x)=2;(2)(x﹣1)=2﹣(x+2).考点:解一元一次方程.专题:计算题.分析:(1)先去括号,再移项,合并同类项,系数化1,即可求出方程的解;(2)先去分母,再去括号,移项,合并同类项,系数化1可求出方程的解.解答:解:(1)4x﹣3(4﹣x)=2去括号,得4x﹣12+3x=2移项,合并同类项7x=14系数化1,得x=2.(2)(x﹣1)=2﹣(x+2)去分母,得5(x﹣1)=20﹣2(x+2)去括号,得5x﹣5=20﹣2x﹣4移项、合并同类项,得7x=21系数化1,得x=3.点评:(1)此题主要是去括号,移项,合并同类项,系数化1.(2)方程两边每一项都要乘各分母的最小公倍数,方程两边每一项都要乘各分母的最小公倍数,切勿漏乘不含有分母的项,另外分数线有两层意义,一方面它是除号,另一方面它又代表着括号,所以在去分母时,应该将分子用括号括上.11.计算:(1)计算:(2)解方程:考点:解一元一次方程;有理数的混合运算.专题:计算题.分析:(1)根据有理数的混合运算法则计算:先算乘方、后算乘除、再算加减;(2)两边同时乘以最简公分母4,即可去掉分母.解答:解:(1)原式=,=,=.(2)去分母得:2(x﹣1)﹣(3x﹣1)=﹣4,解得:x=3.点评:解答此题要注意:(1)去分母时最好先去中括号、再去小括号,以减少去括号带来的符号变化次数;(2)去分母就是方程两边同时乘以分母的最简公分母.12.解方程:考点:解一元一次方程.专题:计算题.分析:(1)这是一个带分母的方程,所以要先去分母,再去括号,最后移项,化系数为1,从而得到方程的解.(2)解一元一次方程的一般步骤:去分母、去括号、移项、合并同类项、化系数为1.解答:解:(1)去分母得:3(3x﹣1)+18=1﹣5x,去括号得:9x﹣3+18=1﹣5x,移项、合并得:14x=﹣14,系数化为1得:x=﹣1;(2)去括号得:x﹣x+1=x,移项、合并同类项得:x=﹣1,系数化为1得:x=﹣.点评:本题考查解一元一次方程,正确掌握解一元一次方程的一般步骤,注意移项要变号、去分母时“1”也要乘以最小公倍数.13.解方程:(1)(2)考点:解一元一次方程.专题:计算题.分析:(1)去分母、去括号、移项、合并同类项、化系数为1.(2)去分母、去括号、移项、合并同类项、化系数为1.解答:(1)解:去分母得:5(3x+1)﹣2×10=3x﹣2﹣2(2x+3),去括号得:15x+5﹣20=3x﹣2﹣4x﹣6,移项得:15x+x=﹣8+15,合并得:16x=7,解得:;(2)解:,4(x﹣1)﹣18(x+1)=﹣36,4x﹣4﹣18x﹣18=﹣36,﹣14x=﹣14,x=1.点评:本题考查解一元一次方程,正确掌握解一元一次方程的一般步骤,注意移项要变号、去分母时“1”也要乘以最小公倍数.14.解方程:(1)5(2x+1)﹣2(2x﹣3)=6 (2)+2(3)[3(x﹣)+]=5x﹣1考点:解一元一次方程.专题:计算题.分析:(2)通过去括号、移项、合并同类项、系数化为1,解得x的值;(3)乘最小公倍数去分母即可;(4)主要是去括号,也可以把分数转化成整数进行计算.解答:解:(1)去括号得:10x+5﹣4x+6=6移项、合并得:6x=﹣5,方程两边都除以6,得x=﹣;(2)去分母得:3(x﹣2)=2(4﹣3x)+24,去括号得:3x﹣6=8﹣6x+24,移项、合并得:9x=38,方程两边都除以9,得x=;(3)整理得:[3(x﹣)+]=5x﹣1,4x﹣2+1=5x﹣1,移项、合并得:x=0.点评:一元一次方程的解法:一般要通过去分母、去括号、移项、合并同类项、未知数的系数化为1等步骤,把一个一元一次方程“转化”成x=a的形式.解题时,要灵活运用这些步骤.15.(A类)解方程:5x﹣2=7x+8;(B类)解方程:(x﹣1)﹣(x+5)=﹣;(C类)解方程:.考点:解一元一次方程.专题:计算题.分析:通过去分母、去括号、移项、系数化为1等方法,求得各方程的解.解答:解:A类:5x﹣2=7x+8移项:5x﹣7x=8+2化简:﹣2x=10即:x=﹣5;B类:(x﹣1)﹣(x+5)=﹣去括号:x﹣﹣x﹣5=﹣化简:x=5即:x=﹣;C类:﹣=1去分母:3(4﹣x)﹣2(2x+1)=6去括号:12﹣3x﹣4x﹣2=6化简:﹣7x=﹣4即:x=.点评:本题主要考查一元一次方程的解法,比较简单,但要细心运算.16.解方程(1)3(x+6)=9﹣5(1﹣2x)(2)(3)(4)考点:解一元一次方程.专题:计算题.分析:(1)去括号以后,移项,合并同类项,系数化为1即可求解;(2)(3)首先去掉分母,再去括号以后,移项,合并同类项,系数化为1以后即可求解;(4)首先根据分数的基本性质,把第一项分母中的0.3化为整数,再去分母,求解.解答:解:(1)去括号得:3x+18=9﹣5+10x移项得:3x﹣10x=9﹣5﹣18合并同类项得:﹣7x=﹣14则x=2;(2)去分母得:2x+1=x+3﹣5移项,合并同类项得:x=﹣3;(3)去分母得:10y+2(y+2)=20﹣5(y﹣1)去括号得:10y+2y+4=20﹣5y+5移项,合并同类项得:17y=21系数化为1得:;(4)原方程可以变形为:﹣5x=﹣1去分母得:17+20x﹣15x=﹣3移项,合并同类项得:5x=﹣20系数化为1得:x=﹣4.点评:解方程的过程中要注意每步的依据,这几个题目都是基础的题目,需要熟练掌握.17.解方程:(1)解方程:4x﹣3(5﹣x)=13 (2)解方程:x﹣﹣3考点:解一元一次方程.专题:计算题.分析:(1)先去括号,再移项,化系数为1,从而得到方程的解.(2)这是一个带分母的方程,所以要先去分母,再去括号,最后移项,化系数为1,从而得到方程的解.解答:解:(1)去括号得:4x﹣15+3x=13,移项合并得:7x=28,系数化为1得:得x=4;(2)原式变形为x+3=,去分母得:5(2x﹣5)+3(x﹣2)=15(x+3),去括号得10x﹣25+3x﹣6=15x+45,移项合并得﹣2x=76,系数化为1得:x=﹣38.点评:本题考查解一元一次方程,解一元一次方程的一般步骤是:去分母、去括号、移项、合并同类项、化系数为1.注意移项要变号.18.(1)计算:﹣42×+|﹣2|3×(﹣)3(2)计算:﹣12﹣|0.5﹣|÷×[﹣2﹣(﹣3)2](3)解方程:4x﹣3(5﹣x)=2;(4)解方程:.考点:解一元一次方程;有理数的混合运算.分析:(1)利用平方和立方的定义进行计算.(2)按四则混合运算的顺序进行计算.(3)主要是去括号,移项合并.(4)两边同乘最小公倍数去分母,再求值.解答:解:(1)﹣42×+|﹣2|3×(﹣)3==﹣1﹣1=﹣2.(2)﹣12﹣|0.5﹣|÷×[﹣2﹣(﹣3)2]====.(3)解方程:4x﹣3(5﹣x)=2去括号,得4x﹣15+3x)=2移项,得4x+3x=2+15合并同类项,得7x=17系数化为1,得.(4)解方程:去分母,得15x﹣3(x﹣2)=5(2x﹣5)﹣3×15去括号,得15x﹣3x+6=10x﹣25﹣45移项,得15x﹣3x﹣10x=﹣25﹣45﹣6合并同类项,得2x=﹣76系数化为1,得x=﹣38.点评:前两道题考查了学生有理数的混合运算,后两道考查了学生解一元一次方程的能力.19.(1)计算:(1﹣2﹣4)×;(2)计算:÷;(3)解方程:3x+3=2x+7;(4)解方程:.考点:解一元一次方程;有理数的混合运算.专题:计算题.分析:(1)和(2)要熟练掌握有理数的混合运算;(3)和(4)首先熟悉解一元一次方程的步骤:去分母,去括号,移项,合并同类项,系数化为1.解答:解:(1)(1﹣2﹣4)×=﹣=﹣13;(2)原式=﹣1×(﹣4﹣2)×(﹣)=6×(﹣)=﹣9;(3)解方程:3x+3=2x+7移项,得3x﹣2x=7﹣3合并同类项,得x=4;(4)解方程:去分母,得6(x+15)=15﹣10(x﹣7)去括号,得6x+90=15﹣10x+70移项,得6x+10x=15+70﹣90合并同类项,得16x=﹣5系数化为1,得x=.点评:(1)和(2)要注意符号的处理;(4)要特别注意去分母的时候不要发生数字漏乘的现象,熟练掌握去括号法则以及合并同类项法则.20.解方程(1)﹣0.2(x﹣5)=1;(2).考点:解一元一次方程.分析:(1)通过去括号、移项、系数化为1等过程,求得x的值;(2)通过去分母以及去括号、移项、系数化为1等过程,求得x的值.解答:解:(1)﹣0.2(x﹣5)=1;去括号得:﹣0.2x+1=1,∴﹣0.2x=0,∴x=0;(2).去分母得:2(x﹣2)+6x=9(3x+5)﹣(1﹣2x),∴﹣21x=48,∴x=﹣.点评:此题主要考查了一元一次方程解法,解一元一次方程常见的过程有去括号、移项、系数化为1等.21.解方程:(x+3)﹣2(x﹣1)=9﹣3x.考点:解一元一次方程.专题:计算题.分析:先去括号得x+3﹣2x+2=9﹣3x,然后移项、合并同类得到2x=4,然后把x的系数化为1即可.解答:解:去括号得x+3﹣2x+2=9﹣3x,移项得x﹣2x+3x=9﹣3﹣2,合并得2x=4,系数化为1得x=2.点评:本题考查了解一元一次方程:先去分母,再去括号,接着移项,把含未知数的项移到方程左边,不含未知数的项移到方程右边,然后合并同类项,最后把未知数的系数化为1得到原方程的解.22.8x﹣3=9+5x.5x+2(3x﹣7)=9﹣4(2+x)...考点:解一元一次方程.专题:方程思想.分析:本题是解4个不同的一元一次方程,第一个通过移项、合并同类项及系数化1求解.第二个先去括号再通过移项、合并同类项及系数化1求解.第三个先去分母再同第二个.第四个先分子分母乘以10,再同第三个求解.解答:8x﹣3=9+5x,解:8x﹣5x=9+3,3x=12,∴x=4.∴x=4是原方程的解;5x+2(3x﹣7)=9﹣4(2+x),解:5x+6x﹣14=9﹣8﹣4x,5x+6x+4x=9﹣8+14,15x=15,∴x=1.∴x=1是原方程的解..解:3(x﹣1)﹣2(2x+1)=12,3x﹣3﹣4x﹣2=12,3x﹣4x=12+3+2,﹣x=17,∴x=﹣17.∴x=﹣17是原方程的解.,解:,5(10x﹣3)=4(10x+1)+40,50x﹣15=40x+4+40,50x﹣40x=4+40+15,10x=59,∴x=.∴x=是原方程的解.点评:此题考查的知识点是解一元一次方程,关键是注意解方程时的每一步都要认真仔细,如移项时要变符号.23.解下列方程:(1)0.5x﹣0.7=5.2﹣1.3(x﹣1);(2)=﹣2.考点:解一元一次方程.分析:(1)首先去括号,然后移项、合并同类项,系数化成1,即可求解;(2)首先去分母,然后去括号,移项、合并同类项,系数化成1,即可求解解答:解:(1)去括号,得:0.5x﹣0.7=5.2﹣1.3x+1.3移项,得:0.5x+1.3x=5.2+1.3+0.7合并同类项,得:1.8x=7.2,则x=4;(2)去分母得:7(1﹣2x)=3(3x+1)﹣42,去括号,得:7﹣14x=9x+3﹣42,移项,得:﹣14x ﹣9x=3﹣42﹣7,合并同类项,得:﹣23x=﹣46,则x=2.点评:本题考查解一元一次方程,解一元一次方程的一般步骤是:去分母、去括号、移项、合并同类项、化系数为1.注意移项要变号.24.解方程:(1)﹣0.5+3x=10;(2)3x+8=2x+6;(3)2x+3(x+1)=5﹣4(x﹣1);(4).考点:解一元一次方程.分析:(1)移项,合并同类项,然后系数化成1即可求解;(2)移项,合并同类项,然后系数化成1即可求解;(3)去括号、移项,合并同类项,然后系数化成1即可求解;(4)首先去分母,然后去括号、移项,合并同类项,然后系数化成1即可求解.解答:解:(1)3x=10.5,x=3.5;(2)3x﹣2x=6﹣8,x=﹣2;(3)2x+3x+3=5﹣4x+4,2x+3x+4x=5+4﹣3,9x=6,x=;(4)2(x+1)+6=3(3x﹣2),2x+2+6=9x﹣6,2x﹣9x=﹣6﹣2﹣6,﹣7x=﹣14,x=2.点评:本题考查解一元一次方程,解一元一次方程的一般步骤是:去分母、去括号、移项、合并同类项、化系数为1.注意移项要变号.25.解方程:.考点:解一元一次方程.专题:计算题.分析:方程两边乘以10去分母后,去括号,移项合并,将x系数化为1,即可求出解.解答:解:去分母得:5(3x﹣1)﹣2(5x﹣6)=2,去括号得:15x﹣5﹣10x+12=2,移项合并得:5x=﹣5,解得:x=﹣1.点评:此题考查了解一元一次方程,其步骤为:去分母,去括号,移项合并,将未知数系数化为1,求出解.26.解方程:(1)10x ﹣12=5x+15;(2)考点: 解一元一次方程.专题: 计算题.分析:(1)先移项,再合并同类项,最后化系数为1,从而得到方程的解;(2)先去括号,再移项、合并同类项,最后化系数为1,从而得到方程的解. 解答:解:(1)移项,得 10x ﹣5x=12+15, 合并同类项,得 5x=27,方程的两边同时除以5,得 x=;(2)去括号,得=,方程的两边同时乘以6,得 x+1=4x ﹣2, 移项、合并同类项,得 3x=3,方程的两边同时除以3,得 x=1.点评:本题考查解一元一次方程,解一元一次方程的一般步骤:去分母、去括号、移项、合并同类项、化系数为1.注意移项要变号.27.解方程:(1)8y ﹣3(3y+2)=7 (2).考点: 解一元一次方程. 专题: 计算题.分析:(1)根据一元一次方程的解法,去括号,移项,合并同类项,系数化为1即可得解; (2)这是一个带分母的方程,所以要先去分母,再去括号,最后移项,合并同类项,系数化为1,从而得到方程的解. 解答:解:(1)去括号得,8y ﹣9y ﹣6=7,移项、合并得,﹣y=13,系数化为1得,y=﹣13;(2)去分母得,3(3x ﹣1)﹣12=2(5x ﹣7), 去括号得,9x ﹣3﹣12=10x ﹣14,移项得,9x ﹣10x=﹣14+3+12,合并同类项得,﹣x=1,系数化为1得,x=﹣1.点评:本题主要考查了解一元一次方程,注意在去分母时,方程两端同乘各分母的最小公倍数时,不要漏乘没有分母的项,同时要把分子(如果是一个多项式)作为一个整体加上括号.28.当k为什么数时,式子比的值少3.考点:解一元一次方程.专题:计算题.分析:先根据题意列出方程,再根据一元一次方程的解法,去分母,去括号,移项,合并同类项,系数化为1即可得解.解答:解:依题意,得=+3,去分母得,5(2k+1)=3(17﹣k)+45,去括号得,10k+5=51﹣3k+45,移项得,10k+3k=51+45﹣5,合并同类项得,13k=91,系数化为1得,k=7,∴当k=7时,式子比的值少3.点评:本题主要考查了解一元一次方程,注意在去分母时,方程两端同乘各分母的最小公倍数时,不要漏乘没有分母的项,同时要把分子(如果是一个多项式)作为一个整体加上括号.29.解下列方程:(I)12y﹣2.5y=7.5y+5(II).考点:解一元一次方程.专题:计算题.分析:(Ⅰ)根据一元一次方程的解法,移项,合并同类项,系数化为1即可得解;(Ⅱ)是一个带分母的方程,所以要先去分母,再去括号,最后移项,合并同类项,系数化为1,从而得到方程的解.解答:解:(Ⅰ)移项得,12y﹣2.5y﹣7.5y=5,合并同类项得,2y=5,系数化为1得,y=2.5;(Ⅱ)去分母得,5(x+1)﹣10=(3x﹣2)﹣2(2x+3),去括号得,5x+5﹣10=3x﹣2﹣4x﹣6,移项得,5x ﹣3x+4x=﹣2﹣6﹣5+10,合并同类项得,6x=﹣3,系数化为1得,x=﹣.点评:本题主要考查了解一元一次方程,注意在去分母时,方程两端同乘各分母的最小公倍数时,不要漏乘没有分母的项,同时要把分子(如果是一个多项式)作为一个整体加上括号.30.解方程:.考点: 解一元一次方程.专题: 计算题. 分析:由于方程的分子、分母均有小数,利用分数的基本性质,分子、分母同时扩大相同的倍数,可将小数化成整数.解答:解:原方程变形为,(3分) 去分母,得3×(30x ﹣11)﹣4×(40x ﹣2)=2×(16﹣70x ),(4分)去括号,得90x ﹣33﹣160x+8=32﹣140x ,(5分)移项,得90x ﹣160x+140x=32+33﹣8,(6分) 合并同类项,得70x=57,(7分) 系数化为1,得.(8分) 点评:本题考查一元一次方程的解法.解一元一次方程的一般步骤:去分母,去括号,移项,合并同类项,系数化为1.本题的难点在于方程的分子、分母均有小数,将小数化成整数不同于去分母,不是方程两边同乘一个数,而是将分子、分母同乘一个数.。
初一七年级一元一次方程30题(含答案解析)之答禄夫天创作一.解答题(共30小题)1.(2005•宁德)解方程:2x+1=72.3.(1)解方程:4﹣x=3(2﹣x);(2)解方程:.4.解方程:.5.解方程(1)4(x﹣1)﹣3(20﹣x)=5(x﹣2);(2)x ﹣=2﹣.6.(1)解方程:3(x﹣1)=2x+3;(2)解方程:=x ﹣.7.﹣(1﹣2x)=(3x+1)8.解方程:(1)5(x﹣1)﹣2(x+1)=3(x﹣1)+x+1;(2).9.解方程:.10.解方程:(1)4x﹣3(4﹣x)=2;(2)(x﹣1)=2﹣(x+2).11.计算:(1)计算:(2)解方程:12.解方程:13.解方程:(1)(2)14.解方程:(1)5(2x+1)﹣2(2x﹣3)=6 (2)+2(3)[3(x ﹣)+]=5x﹣1 15.(A类)解方程:5x﹣2=7x+8;(B 类)解方程:(x﹣1)﹣(x+5)=﹣;(C 类)解方程:.16.解方程(1)3(x+6)=9﹣5(1﹣2x)(2)(3)(4)17.解方程:(1)解方程:4x﹣3(5﹣x)=13(2)解方程:x ﹣﹣318.(1)计算:﹣42×+|﹣2|3×(﹣)3(2)计算:﹣12﹣|0.5﹣|÷×[﹣2﹣(﹣3)2](3)解方程:4x﹣3(5﹣x)=2;(4)解方程:.19.(1)计算:(1﹣2﹣4)×;(2)计算:÷;(3)解方程:3x+3=2x+7;(4)解方程:.20.解方程(1)﹣0.2(x﹣5)=1;(2).21.解方程:(x+3)﹣2(x﹣1)=9﹣3x.22.8x﹣3=9+5x.5x+2(3x﹣7)=9﹣4(2+x)...23.解下列方程:(1)0.5x﹣0.7=5.2﹣1.3(x﹣1);(2)=﹣2.24.解方程:(1)﹣0.5+3x=10;(2)3x+8=2x+6;(3)2x+3(x+1)=5﹣4(x﹣1);(4).25.解方程:.26.解方程:(1)10x﹣12=5x+15;(2)27.解方程:(1)8y﹣3(3y+2)=7(2).28.当k 为什么数时,式子比的值少3.29.解下列方程:(I)12y﹣2.5y=7.5y+5(II ).30.解方程:.6.2.4解一元一次方程(三)参考答案与试题解析一.解答题(共30小题)1.(2005•宁德)解方程:2x+1=7考点:解一元一次方程.专题:计算题;压轴题.分析:此题直接通过移项,合并同类项,系数化为1可求解.解答:解:原方程可化为:2x=7﹣1合并得:2x=6系数化为1得:x=3点评:解一元一次方程,一般要通过去分母,去括号,移项,合并同类项,未知数的系数化为1等步调,把一个一元一次方程“转化”成x=a的形式.2.考点:解一元一次方程.专题:计算题.分析:这是一个带分母的方程,所以要先去分母,再去括号,最后移项,化系数为1,从而得到方程的解.解答:解:左右同乘12可得:3[2x﹣(x﹣1)]=8(x﹣1),化简可得:3x+3=8x﹣8,移项可得:5x=11,解可得x=.故原方程的解为x=.点评:若是分式方程,先同分母,转化为整式方程后,再移项化简,解方程可得答案.3.(1)解方程:4﹣x=3(2﹣x);(2)解方程:.考点:解一元一次方程.专题:计算题.分析:(1)先去括号,然后再移项、合并同类型,最后化系数为1,得出方程的解;(2)题的方程中含有分数系数,应先对各式进行化简、整理,然后再按(1)的步调求解.解答:解:(1)去括号得:4﹣x=6﹣3x,移项得:﹣x+3x=6﹣4,合并得:2x=2,系数化为1得:x=1.(2)去分母得:5(x﹣1)﹣2(x+1)=2,去括号得:5x﹣5﹣2x﹣2=2,移项得:5x﹣2x=2+5+2,合并得:3x=9,系数化1得:x=3.点评:(1)本题易在去分母、去括号和移项中出现错误,还可能会在解题前发生害怕心理.因为看到小数、分数比较多,学生往往不知如何寻找公分母,怎样合并同类项,怎样化简,所以我们要教会学生分开进行,从而达到分解难点的效果.(2)本题的另外一个重点是教会学生对于分数的分子、分母同时扩大或缩小若干倍,值不变.这一性质在今后常会用到.4.解方程:.考点:解一元一次方程.专题:计算题.分析:此题两边都含有分数,分母不相同,如果直接通分,有一定的难度,但将方程左右同时乘以公分母6,难度就会降低.解答:解:去分母得:3(2﹣x)﹣18=2x﹣(2x+3),去括号得:6﹣3x﹣18=﹣3,移项合并得:﹣3x=9,∴x=﹣3.点评:本题易在去分母和移项中出现错误,学生往往不知如何寻找公分母,怎样合并同类项,怎样化简,所以我们要教会学生分开进行,从而达到分解难点的效果.5.解方程(1)4(x﹣1)﹣3(20﹣x)=5(x﹣2);(2)x﹣=2﹣.考点:解一元一次方程.专题:计算题.分析:(1)先去括号,再移项、合并同类项、化系数为1,从而得到方程的解;(2)先去分母,再去括号,最后移项,化系数为1,从而得到方程的解.解答:解:(1)去括号得:4x﹣4﹣60+3x=5x﹣10(2分)移项得:4x+3x﹣5x=4+60﹣10(3分)合并得:2x=54(5分)系数化为1得:x=27;(6分)(2)去分母得:6x﹣3(x﹣1)=12﹣2(x+2)(2分)去括号得:6x﹣3x+3=12﹣2x﹣4(3分)移项得:6x﹣3x+2x=12﹣4﹣3(4分)合并得:5x=5(5分)系数化为1得:x=1.(6分)点评:去分母时,方程两端同乘各分母的最小公倍数时,不要漏乘没有分母的项,同时要把分子(如果是一个多项式)作为一个整体加上括号.去括号时要注意符号的变更.6.(1)解方程:3(x﹣1)=2x+3;(2)解方程:=x﹣.考点:解一元一次方程.专题:计算题.分析:(1)是简单的一元一次方程,通过移项,系数化为1即可得到;(2)是较为复杂的去分母,本题方程两边都含有分数系数,如果直接通分,有一定的难度,但对每一个式子先进行化简、整理为整数形式,难度就会降低.解答:解:(1)3x﹣3=2x+3 3x﹣2x=3+3x=6;(2)方程两边都乘以6得:x+3=6x﹣3(x﹣1)x+3=6x﹣3x+3x﹣6x+3x=3﹣3﹣2x=0∴x=0.点评:本题易在去分母、去括号和移项中出现错误,还可能会在解题前不知如何寻找公分母,怎样合并同类项,怎样化简,所以要学会分开进行,从而达到分解难点的效果.去分母时,方程两端同乘各分母的最小公倍数时,不要漏乘没有分母的项,同时要把分子(如果是一个多项式)作为一个整体加上括号.7.﹣(1﹣2x)=(3x+1)考点:解一元一次方程.专题:计算题.分析:这是一个带分母的方程,所以要先去分母,再去括号,最后移项,化系数为1,从而得到方程的解.解答:解:﹣7(1﹣2x)=3×2(3x+1)﹣7+14x=18x+6﹣4x=13x=﹣.点评:解一元一次方程的一般步调是去分母、去括号、移项、合并同类项和系数化为1.此题去分母时,方程两端同乘各分母的最小公倍数时,不要漏乘没有分母的项,同时要把分子(如果是一个多项式)作为一个整体加上括号.8.解方程:(1)5(x﹣1)﹣2(x+1)=3(x﹣1)+x+1;(2).考点:解一元一次方程.专题:计算题.分析:(1)可采取去括号,移项,合并同类项,系数化1的方式进行;(2)本题方程两边都含有分数系数,如果直接通分,有一定的难度,但对每一个式子先进行化简、整理为整数形式,难度就会降低.解答:解:(1)5(x﹣1)﹣2(x+1)=3(x﹣1)+x+13x﹣7=4x﹣2∴x=﹣5;(2)原方程可化为:去分母得:40x+60=5(18﹣18x)﹣3(15﹣30x),去括号得:40x+60=90﹣90x﹣45+90x,移项、合并得:40x=﹣15,系数化为1得:x=.点评:(1)本题易在去分母、去括号和移项中出现错误,还可能会在解题前发生害怕心理.因为看到小数、分数比较多,学生往往不知如何寻找公分母,怎样合并同类项,怎样化简,所以我们要教会学生分开进行,从而达到分解难点的效果;(2)本题的另外一个重点是教会学生对于分数的分子、分母同时扩大或缩小若干倍,值不变.这一性质在今后常会用到.9.解方程:.考点:解一元一次方程.专题:计算题.分析:这是一个带分母的方程,所以要先去分母,再去括号,最后移项,化系数为1,从而得到方程的解.解答:解:,去分母得:2x﹣(3x+1)=6﹣3(x﹣1),去括号得:2x﹣3x﹣1=6﹣3x+3,移项、合并同类项得:2x=10,系数化为1得:x=5.点评:去分母时,方程两端同乘各分母的最小公倍数时,不要漏乘没有分母的项,同时要把分子(如果是一个多项式)作为一个整体加上括号.10.解方程:(1)4x﹣3(4﹣x)=2;(2)(x﹣1)=2﹣(x+2).考点:解一元一次方程.专题:计算题.分析:(1)先去括号,再移项,合并同类项,系数化1,即可求出方程的解;(2)先去分母,再去括号,移项,合并同类项,系数化1可求出方程的解.解答:解:(1)4x﹣3(4﹣x)=2去括号,得4x移项,合并同类项7x=14系数化1,得x=2.(2)(x﹣1)=2﹣(x+2)去分母,得5(x﹣1)=20﹣2(x+2)去括号,得5x﹣5=20﹣2x﹣4移项、合并同类项,得7x=21系数化1,得x=3.点评:(1)此题主要是去括号,移项,合并同类项,系数化1.(2)方程两边每一项都要乘各分母的最小公倍数,方程两边每一项都要乘各分母的最小公倍数,切勿漏乘不含有分母的项,另外分数线有两层意义,一方面它是除号,另一方面它又代表着括号,所以在去分母时,应该将分子用括号括上.11.计算:(1)计算:(2)解方程:考点:解一元一次方程;有理数的混合运算.专题:计算题.分析:(1)根据有理数的混合运算法则计算:先算乘方、后算减;(2)两边同时乘以最简公分母4,即可去掉分母.解答:解:(1)原式=,=,=.(2)去分母得:2(x﹣1)﹣(3x﹣1)=﹣4,解得:x=3.点评:解答此题要注意:(1)去分母时最好先去中括号、再去小括号,以减少去括号带来的符号变更次数;(2)去分母就是方程两边同时乘以分母的最简公分母.12.解方程:考点:解一元一次方程.专题:计算题.分析:(1)这是一个带分母的方程,所以要先去分母,再去括号,最后移项,化系数为1,从而得到方程的解.(2)解一元一次方程的一般步调:去分母、去括号、移项、合并同类项、化系数为1.解答:解:(1)去分母得:3(3x﹣1)+18=1﹣5x,去括号得:9x﹣3+18=1﹣5x,移项、合并得:14x=﹣14,系数化为1得:x=﹣1;(2)去括号得:x﹣x+1=x,移项、合并同类项得:x=﹣1,系数化为1得:x=﹣.点评:本题考查解一元一次方程,正确掌握解一元一次方程的一般步调,注意移项要变号、去分母时“1”也要乘以最小公倍数.13.解方程:(1)(2)考点:解一元一次方程.专题:计算题.分析:(1)去分母、去括号、移项、合并同类项、化系数为1.(2)去分母、去括号、移项、合并同类项、化系数为1.解答:(1)解:去分母得:5(3x+1)﹣2×10=3x﹣2﹣215x+5﹣20=3x﹣2﹣4x﹣6,移项得:15x+x=﹣8+15,合并得:16x=7,解得:;(2)解:,4(x﹣1)﹣18(x+1)=﹣36,4x﹣4﹣18x﹣18=﹣36,﹣14x=﹣14,x=1.点评:本题考查解一元一次方程,正确掌握解一元一次方程的一般步调,注意移项要变号、去分母时“1”也要乘以最小公倍数.14.解方程:(1)5(2x+1)﹣2(2x﹣3)=6 (2)+2(3)[3(x﹣)+]=5x﹣1考点:解一元一次方程.专题:计算题.分析:(2)通过去括号、移项、合并同类项、系数化为1,解得x的值;(3)乘最小公倍数去分母即可;(4)主要是去括号,也可以把分数转化成整数进行计算.解答:解:(1)去括号得:10x+5﹣4x+6=6方程两边都除以6,得x=﹣;(2)去分母得:3(x﹣2)=2(4﹣3x)+24,去括号得:3x﹣6=8﹣6x+24,移项、合并得:9x=38,方程两边都除以9,得x=;(3)整理得:[3(x﹣)+]=5x﹣1,4x﹣2+1=5x﹣1,移项、合并得:x=0.点评:一元一次方程的解法:一般要通过去分母、去括号、移项、合并同类项、未知数的系数化为1等步调,把一个一元一次方程“转化”成x=a的形式.解题时,要灵活运用这些步调.15.(A类)解方程:5x﹣2=7x+8;(B类)解方程:(x﹣1)﹣(x+5)=﹣;(C类)解方程:.考点:解一元一次方程.专题:计算题.分析:通过去分母、去括号、移项、系数化为1等方法,求得各方程的解.解答:解:A类:5x﹣2=7x+8移项:5x﹣7x=8+2化简:﹣2x=10即:x=﹣5;B类:(x﹣1)﹣(x+5)=﹣去括号:x﹣﹣x﹣5=﹣化简:x=5即:x=﹣;C类:﹣=1去分母:3(4﹣x)﹣2(2x+1)=6去括号:12﹣3x﹣4x﹣2=6化简:﹣7x=﹣4即:x=.点评:本题主要考查一元一次方程的解法,比较简单,但要细心运算.16.解方程(1)3(x+6)=9﹣5(1﹣2x)(2)(3)(4)考点:解一元一次方程.专题:计算题.分析:(1)去括号以后,移项,合并同类项,系数化为1即可求解;(2)(3)首先去掉分母,再去括号以后,移项,合并同类项,系数化为1以后即可求解;(4)首先根据分数的基赋性质,把第一项分母中的0.3化为整数,再去分母,求解.解答:解:(1)去括号得:3x+18=9﹣5+10x 移项得:3x﹣10x=9﹣5﹣18合并同类项得:﹣7x=﹣14则x=2;(2)去分母得:2x+1=x+3﹣5移项,合并同类项得:x=﹣3;(3)去分母得:10y+2(y+2)=20﹣5(y﹣1)去括号得:10y+2y+4=20﹣5y+5移项,合并同类项得:17y=21系数化为1得:;(4)原方程可以变形为:﹣5x=﹣1去分母得:17+20x﹣15x=﹣3移项,合并同类项得:5x=﹣20系数化为1得:x=﹣4.解方程的过程中要注意每步的依据,这几个题目都是基础的题目,需要熟练掌握.点评:17.解方程:(1)解方程:4x﹣3(5﹣x)=13(2)解方程:x﹣﹣3考点:解一元一次方程.专题:计算题.分析:(1)先去括号,再移项,化系数为1,从而得到方程的解.(2)这是一个带分母的方程,所以要先去分母,再去括号,最后移项,化系数为1,从而得到方程的解.解答:解:(1)去括号得:4x﹣15+3x=13,移项合并得:7x=28,系数化为1得:得x=4;(2)原式变形为x+3=,去分母得:5(2x﹣5)+3(x﹣2)=15(x+3),去括号得10x﹣25+3x﹣6=15x+45,移项合并得﹣2x=76,系数化为1得:x=﹣38.点评:本题考查解一元一次方程,解一元一次方程的一般步调是:去分母、去括号、移项、合并同类项、化系数为1.注意移项要变号.18.(1)计算:﹣42×+|﹣2|3×(﹣)3(2)计算:﹣12﹣|0.5﹣|÷×[﹣2﹣(﹣3)2](3)解方程:4x﹣3(5﹣x)=2;(4)解方程:.考点:解一元一次方程;有理数的混合运算.分析:(1)利用平方和立方的定义进行计算.(2)按四则混合运算的顺序进行计算.(3)主要是去括号,移项合并.(4)两边同乘最小公倍数去分母,再求值.解答:解:(1)﹣42×+|﹣2|3×(﹣)3==﹣1﹣1=﹣2.(2)﹣12﹣|0.5﹣|÷×[﹣2﹣(﹣3)2]====.(3)解方程:4x﹣3(5﹣x)=2去括号,得4x﹣15+3x)=2移项,得4x+3x=2+15合并同类项,得7x=17系数化为1,得.(4)解方程:去分母,得15x﹣3(x﹣2)=5(2x﹣5)﹣3×15去括号,得15x﹣3x+6=10x﹣25﹣45移项,得15x﹣3x﹣10x=﹣25﹣45﹣6合并同类项,得2x=﹣76系数化为1,得x=﹣38.点评:前两道题考查了学生有理数的混合运算,后两道考查了学生解一元一次方程的能力.19.(1)计算:(1﹣2﹣4)×;(2)计算:÷;(3)解方程:3x+3=2x+7;(4)解方程:.考点:解一元一次方程;有理数的混合运算.专题:计算题.分析:(1)和(2)要熟练掌握有理数的混合运算;(3)和(4)首先熟悉解一元一次方程的步调:去分母,去括号,移项,合并同类项,系数化为1.解答:解:(1)(1﹣2﹣4)×=﹣=﹣13;(2)原式=﹣1×(﹣4﹣2)×(﹣)=6×(﹣)=﹣9;(3)解方程:3x+3=2x+7移项,得3x﹣2x=7﹣3合并同类项,得x=4;(4)解方程:去分母,得6(x+15)=15﹣10(x﹣7)去括号,得6x+90=15﹣10x+70移项,得6x+10x=15+70﹣90合并同类项,得16x=﹣5系数化为1,得x=.点评:(1)和(2)要注意符号的处理;(4)要特别注意去分母的时候不要发生数字漏乘的现象,熟练掌握去括号法则以及合并同类项法则.20.解方程(1)﹣0.2(x﹣5)=1;(2).考点:解一元一次方程.分析:(1)通过去括号、移项、系数化为1等过程,求得x的值;(2)通过去分母以及去括号、移项、系数化为1等过程,求得x的值.解答:解:(1)﹣0.2(x﹣5)=1;去括号得:﹣0.2x+1=1,∴﹣0.2x=0,∴x=0;(2).去分母得:2(x﹣2)+6x=9(3x+5)﹣(1﹣2x),∴﹣21x=48,∴x=﹣.点评:此题主要考查了一元一次方程解法,解一元一次方程罕见的过程有去括号、移项、系数化为1等.)=9﹣3x.考点:解一元一次方程.专题:计算题.分析:先去括号得x+3﹣2x+2=9﹣3x,然后移项、合并同类得到2x=4,然后把x的系数化为1即可.解答:解:去括号得x+3﹣2x+2=9﹣2x+3x=9﹣3﹣2,合并得2x=4,系数化为1得x=2.点评:本题考查了解一元一次方程:先去分母,再去括号,接着移项,把含未知数的项移到方程左边,不含未知数的项移到方程右边,然后合并同类项,最后把未知数的系数化为1得到原方程的解.22.8x﹣3=9+5x.5x+2(3x﹣7)=9﹣4(2+x)...考点:解一元一次方程.专题:方程思想.分析:本题是解4个分歧的一元一次方程,第一个通过移项、合并同类项及系数化1求解.第二个先去括号再通过移项、合并同类项及系数化1求解.第三个先去分母再同第二个.第四个先分子分母乘以10,再同第三个求解.解答:8x﹣3=9+5x,解:8x﹣5x=9+3,3x=12,∴x=4.∴x=4是原方程的解;5x+2(3x﹣7)解:5x+6x﹣14=9﹣8﹣4x,5x+6x+4x=9﹣8+14,15x=15,∴x=1.∴x=1是原方程的解..解:3(x﹣1)﹣2(2x+1)=12,3x﹣3﹣4x﹣2=12,3x﹣4x=12+3+2,﹣x=17,∴x=﹣17.∴x=﹣17是原方程的解.,解:,5(10x﹣3)=4(10x+1)+40,50x﹣15=40x+4+40,50x﹣40x=4+40+15,10x=59,∴x=.∴x=是原方程的解.点评:此题考查的知识点是解一元一次方程,关键是注意解方程时的每一步都要认真仔细,如移项时要变符号.23.解下列方程:(1)0.5x﹣0.7=5.2﹣1.3(x﹣1);(2)=﹣2.考点:解一元一次方程.分析:(1)首先去括号,然后移项、合并同类项,系数化成1,即可求解;(2)首先去分母,然后去括号,移项、合并同类项,系数化成1,即可求解解答:合并同类项,得:1.8x=7.2,则x=4;(2)去分母得:7(1﹣2x)=3(3x+1)﹣42,去括号,得:7﹣14x=9x+3﹣42,移项,得:﹣14x﹣9x=3﹣42﹣7,合并同类项,得:﹣23x=﹣46,则x=2.点评:本题考查解一元一次方程,解一元一次方程的一般步调是:去分母、去括号、移项、合并同类项、化系数为1.注意移项要变号.24.解方程:(1)﹣0.5+3x=10;(2)3x+8=2x+6;(3)2x+3(x+1)=5﹣4(x﹣1);(4).考点:解一元一次方程.分析:(1)移项,合并同类项,然后系数化成1即可求解;(2)移项,合并同类项,然后系数化成1即可求解;(3)去括号、移项,合并同类项,然后系数化成1即可求解;(4)首先去分母,然后去括号、移项,合并同类项,然后系数化成1即可求解.解答:解:(1)3x=10.5,x=3.5;(2)3x﹣2x=6﹣8,x=﹣2;(3)2x+3x+3=5﹣4x+4,2x+3x+4x=5+4﹣3,9x=6,x=;(4)2(x+1)+6=3(3x﹣2),2x+2+6=9x﹣6,2x﹣9x=﹣6﹣2﹣6,﹣7x=﹣14,x=2.点评:本题考查解一元一次方程,解一元一次方程的一般步调是:去分母、去括号、移项、合并同类项、化系数为1.注意移项要变号.25.解方程:.考点:解一元一次方程.专题:计算题.分析:方程两边乘以10去分母后,去括号,移项合并,将x系数化为1,即可求出解.解答:解:去分母得:5(3x﹣1)﹣2(5x﹣6)=2,去括号得:15x﹣5﹣10x+12=2,移项合并得:5x=﹣5,解得:x=﹣1.点评:此题考查了解一元一次方程,其步调为:去分母,去括号,移项合并,将未知数系数化为1,求出解.26.解方程:(1)10x﹣12=5x+15;(2)考点:解一元一次方程.专题:计算题.分析:(1)先移项,再合并同类项,最后化系数为1,从而得到方程的解;(2)先去括号,再移项、合并同类项,最后化系数为1,从而得到方程的解.解答:解:(1)移项,得10x﹣5x=12+15,合并同类项,得5x=27,方程的两边同时除以5,得x=;(2)去括号,得=,方程的两边同时乘以6,得x+1=4x﹣2,移项、合并同类项,得3x=3,方程的两边同时除以3,得x=1.点评:本题考查解一元一次方程,解一元一次方程的一般步调:去分母、去括号、移项、合并同类项、化系数为1.注意移项要变号.27.解方程:(1)8y﹣3(3y+2)=7 (2).考点:解一元一次方程.专题:计算题.分析:(1)根据一元一次方程的解法,去括号,移项,合并同类项,系数化为1即可得解;(2)这是一个带分母的方程,所以要先去分母,再去括号,最后移项,合并同类项,系数化为1,从而得到方程的解.解答:解:(1)去括号得,8y﹣9y﹣6=7,移项、合并得,﹣y=13,系数化为1得,y=﹣13;(2)去分母得,3(3x﹣1)﹣12=2(5x﹣7),去括号得,9x﹣3﹣12=10x﹣14,移项得,9x﹣10x=﹣14+3+12,合并同类项得,﹣x=1,系数化为1得,x=﹣1.点评:本题主要考查了解一元一次方程,注意在去分母时,方程两端同乘各分母的最小公倍数时,不要漏乘没有分母的项,同时要把分子(如果是一个多项式)作为一个整体加上括号.28.当k为什么数时,式子比的值少3.考点:解一元一次方程.专题:计算题.分析:先根据题意列出方程,再根据一元一次方程的解法,去分母,去括号,移项,合并同类项,系数化为1即可得解.解答:解:依题意,得=+3,去分母得,5(2k+1)=3(17﹣k)+45,去括号得,10k+5=51﹣3k+45,移项得,10k+3k=51+45﹣5,合并同类项得,13k=91,系数化为1得,k=7,∴当k=7时,式子比的值少3.点评:本题主要考查了解一元一次方程,注意在去分母时,方程两端同乘各分母的最小公倍数时,不要漏乘没有分母的项,同时要把分子(如果是一个多项式)作为一个整体加上括号.29.解下列方程:(I)12y﹣2.5y=7.5y+5(II).考点:解一元一次方程.专题:计算题.分析:(Ⅰ)根据一元一次方程的解法,移项,合并同类项,系数化为1即可得解;(Ⅱ)是一个带分母的方程,所以要先去分母,再去括号,最后移项,合并同类项,系数化为1,从而得到方程的解.解答:解:(Ⅰ)移项得,12y﹣2.5y﹣7.5y=5,合并同类项得,2y=5,系数化为1得,y=2.5;(Ⅱ)去分母得,5(x+1)﹣10=(3x﹣2)﹣2(2x+3),去括号得,5x+5﹣10=3x﹣2﹣4x﹣6,移项得,5x﹣3x+4x=﹣2﹣6﹣5+10,合并同类项得,6x=﹣3,系数化为1得,x=﹣.点评:本题主要考查了解一元一次方程,注意在去分母时,方程两端同乘各分母的最小公倍数时,不要漏乘没有分母的项,同时要把分子(如果是一个多项式)作为一个整体加上括号.30.解方程:.考点:解一元一次方程.专题:计算题.分析:由于方程的分子、分母均有小数,利用分数的基赋性质,分子、分母同时扩大相同的倍数,可将小数化成整数.解答:解:原方程变形为,(3分)去分母,得3×(30x﹣11)﹣4×(40x﹣2)=2×(16﹣70x),(4分)去括号,得90x﹣33﹣160x+8=32﹣140x,(5分)移项,得90x﹣160x+140x=32+33﹣8,(6分)合并同类项,得70x=57,(7分)系数化为1,得.(8分)点评:本题考查一元一次方程的解法.解一元一次方程的一般步调:去分母,去括号,移项,合并同类项,系数化为1.本题的难点在于方程的分子、分母均有小数,将小数化成整数分歧于去分母,不是方程两边同乘一个数,而是将分子、分母同乘一个数.。
初一七年级一元一次方程30题(含答案解析)一.解答题(共30小题)1.(2005•宁德)解方程:2x+1=72.3.(1)解方程:4﹣x=3(2﹣x);(2)解方程:.4.解方程:.5.解方程(1)4(x﹣1)﹣3(20﹣x)=5(x﹣2);(2)x ﹣=2﹣.6.(1)解方程:3(x﹣1)=2x+3;(2)解方程:=x ﹣.7.﹣(1﹣2x)=(3x+1)8.解方程:(1)5(x﹣1)﹣2(x+1)=3(x﹣1)+x+1;(2).9.解方程:.10.解方程:(1)4x﹣3(4﹣x)=2;(2)(x﹣1)=2﹣(x+2).11.计算:(1)计算:(2)解方程:12.解方程:13.解方程:(1)(2)14.解方程:(1)5(2x+1)﹣2(2x﹣3)=6 (2)+2(3)[3(x﹣)+]=5x﹣115.(A 类)解方程:5x﹣2=7x+8;(B类)解方程:(x﹣1)﹣(x+5)=﹣;(C类)解方程:.16.解方程(1)3(x+6)=9﹣5(1﹣2x)(2)(3)(4)17.解方程:(1)解方程:4x﹣3(5﹣x)=13 (2)解方程:x﹣﹣3 18.(1)计算:﹣42×+|﹣2|3×(﹣)3(2)计算:﹣12﹣|0.5﹣|÷×[﹣2﹣(﹣3)2](3)解方程:4x﹣3(5﹣x)=2;(4)解方程:.19.(1)计算:(1﹣2﹣4)×;(2)计算:÷;(3)解方程:3x+3=2x+7;(4)解方程:.20.解方程(1)﹣0.2(x﹣5)=1;(2).21.解方程:(x+3)﹣2(x﹣1)=9﹣3x.22.8x﹣3=9+5x.5x+2(3x﹣7)=9﹣4(2+x)...23.解下列方程:(1)0.5x﹣0.7=5.2﹣1.3(x﹣1);(2)=﹣2.24.解方程:(1)﹣0.5+3x=10;(2)3x+8=2x+6;(3)2x+3(x+1)=5﹣4(x﹣1);(4).25.解方程:.26.解方程:(1)10x﹣12=5x+15;(2)27.解方程:(1)8y﹣3(3y+2)=7 (2).28.当k 为什么数时,式子比的值少3.29.解下列方程:(I)12y﹣2.5y=7.5y+5(II).30.解方程:.6.2.4解一元一次方程(三)参考答案与试题解析一.解答题(共30小题)1.(2005•宁德)解方程:2x+1=7考点:解一元一次方程.专题:计算题;压轴题.分析:此题直接通过移项,合并同类项,系数化为1可求解.解答:解:原方程可化为:2x=7﹣1 合并得:2x=6系数化为1得:x=3点评:解一元一次方程,一般要通过去分母,去括号,移项,合并同类项,未知数的系数化为1等步骤,把一个一元一次方程“转化”成x=a的形式.2.考点:解一元一次方程.专题:计算题.分析:这是一个带分母的方程,所以要先去分母,再去括号,最后移项,化系数为1,从而得到方程的解.解答:解:左右同乘12可得:3[2x﹣(x﹣1)]=8(x﹣1),化简可得:3x+3=8x﹣8,移项可得:5x=11,解可得x=.故原方程的解为x=.点评:若是分式方程,先同分母,转化为整式方程后,再移项化简,解方程可得答案.3.(1)解方程:4﹣x=3(2﹣x);(2)解方程:.考点:解一元一次方程.专题:计算题.分析:(1)先去括号,然后再移项、合并同类型,最后化系数为1,得出方程的解;(2)题的方程中含有分数系数,应先对各式进行化简、整理,然后再按(1)的步骤求解.解答:解:(1)去括号得:4﹣x=6﹣3x,移项得:﹣x+3x=6﹣4,合并得:2x=2,系数化为1得:x=1.(2)去分母得:5(x﹣1)﹣2(x+1)=2,去括号得:5x﹣5﹣2x﹣2=2,移项得:5x﹣2x=2+5+2,合并得:3x=9,系数化1得:x=3.点评:(1)本题易在去分母、去括号和移项中出现错误,还可能会在解题前产生害怕心理.因为看到小数、分数比较多,学生往往不知如何寻找公分母,怎样合并同类项,怎样化简,所以我们要教会学生分开进行,从而达到分解难点的效果.(2)本题的另外一个重点是教会学生对于分数的分子、分母同时扩大或缩小若干倍,值不变.这一性质在今后常会用到.4.解方程:.考点:解一元一次方程.专题:计算题.分析:此题两边都含有分数,分母不相同,如果直接通分,有一定的难度,但将方程左右同时乘以公分母6,难度就会降低.解答:解:去分母得:3(2﹣x)﹣18=2x﹣(2x+3),去括号得:6﹣3x﹣18=﹣3,移项合并得:﹣3x=9,∴x=﹣3.点评:本题易在去分母和移项中出现错误,学生往往不知如何寻找公分母,怎样合并同类项,怎样化简,所以我们要教会学生分开进行,从而达到分解难点的效果.5.解方程(1)4(x﹣1)﹣3(20﹣x)=5(x﹣2);(2)x﹣=2﹣.考点:解一元一次方程.专题:计算题.分析:(1)先去括号,再移项、合并同类项、化系数为1,从而得到方程的解;(2)先去分母,再去括号,最后移项,化系数为1,从而得到方程的解.解答:解:(1)去括号得:4x﹣4﹣60+3x=5x﹣10(2分)移项得:4x+3x﹣5x=4+60﹣10(3分)合并得:2x=54(5分)系数化为1得:x=27;(6分)(2)去分母得:6x﹣3(x﹣1)=12﹣2(x+2)(2分)去括号得:6x﹣3x+3=12﹣2x﹣4(3分)移项得:6x﹣3x+2x=12﹣4﹣3(4分)合并得:5x=5(5分)系数化为1得:x=1.(6分)点评:去分母时,方程两端同乘各分母的最小公倍数时,不要漏乘没有分母的项,同时要把分子(如果是一个多项式)作为一个整体加上括号.去括号时要注意符号的变化.6.(1)解方程:3(x﹣1)=2x+3;(2)解方程:=x﹣.考点:解一元一次方程.专题:计算题.分析:(1)是简单的一元一次方程,通过移项,系数化为1即可得到;(2)是较为复杂的去分母,本题方程两边都含有分数系数,如果直接通分,有一定的难度,但对每一个式子先进行化简、整理为整数形式,难度就会降低.解答:解:(1)3x﹣3=2x+33x﹣2x=3+3x=6;(2)方程两边都乘以6得:x+3=6x﹣3(x﹣1)x+3=6x﹣3x+3x﹣6x+3x=3﹣3﹣2x=0∴x=0.点评:本题易在去分母、去括号和移项中出现错误,还可能会在解题前不知如何寻找公分母,怎样合并同类项,怎样化简,所以要学会分开进行,从而达到分解难点的效果.去分母时,方程两端同乘各分母的最小公倍数时,不要漏乘没有分母的项,同时要把分子(如果是一个多项式)作为一个整体加上括号.7.﹣(1﹣2x)=(3x+1)考点:解一元一次方程.专题:计算题.分析:这是一个带分母的方程,所以要先去分母,再去括号,最后移项,化系数为1,从而得到方程的解.解答:解:﹣7(1﹣2x)=3×2(3x+1)﹣7+14x=18x+6﹣4x=13x=﹣.点评:解一元一次方程的一般步骤是去分母、去括号、移项、合并同类项和系数化为1.此题去分母时,方程两端同乘各分母的最小公倍数时,不要漏乘没有分母的项,同时要把分子(如果是一个多项式)作为一个整体加上括号.8.解方程:(1)5(x﹣1)﹣2(x+1)=3(x﹣1)+x+1;(2).考解一元一次方程.点:专题:计算题.分析:(1)可采用去括号,移项,合并同类项,系数化1的方式进行;(2)本题方程两边都含有分数系数,如果直接通分,有一定的难度,但对每一个式子先进行化简、整理为整数形式,难度就会降低.解答:解:(1)5(x﹣1)﹣2(x+1)=3(x﹣1)+x+13x﹣7=4x﹣2∴x=﹣5;(2)原方程可化为:去分母得:40x+60=5(18﹣18x)﹣3(15﹣30x),去括号得:40x+60=90﹣90x﹣45+90x,移项、合并得:40x=﹣15,系数化为1得:x=.点评:(1)本题易在去分母、去括号和移项中出现错误,还可能会在解题前产生害怕心理.因为看到小数、分数比较多,学生往往不知如何寻找公分母,怎样合并同类项,怎样化简,所以我们要教会学生分开进行,从而达到分解难点的效果;(2)本题的另外一个重点是教会学生对于分数的分子、分母同时扩大或缩小若干倍,值不变.这一性质在今后常会用到.9.解方程:.考点:解一元一次方程.专题:计算题.分析:这是一个带分母的方程,所以要先去分母,再去括号,最后移项,化系数为1,从而得到方程的解.解答:解:,去分母得:2x﹣(3x+1)=6﹣3(x﹣1),去括号得:2x﹣3x﹣1=6﹣3x+3,移项、合并同类项得:2x=10,系数化为1得:x=5.点评:去分母时,方程两端同乘各分母的最小公倍数时,不要漏乘没有分母的项,同时要把分子(如果是一个多项式)作为一个整体加上括号.10.解方程:(1)4x﹣3(4﹣x)=2;(2)(x﹣1)=2﹣(x+2).考点:解一元一次方程.专题:计算题.分析:(1)先去括号,再移项,合并同类项,系数化1,即可求出方程的解;(2)先去分母,再去括号,移项,合并同类项,系数化1可求出方程的解.解答:解:(1)4x﹣3(4﹣x)=2去括号,得4x﹣12+3x=2移项,合并同类项7x=14系数化1,得x=2.(2)(x﹣1)=2﹣(x+2)去分母,得5(x﹣1)=20﹣2(x+2)去括号,得5x﹣5=20﹣2x﹣4移项、合并同类项,得7x=21系数化1,得x=3.点评:(1)此题主要是去括号,移项,合并同类项,系数化1.(2)方程两边每一项都要乘各分母的最小公倍数,方程两边每一项都要乘各分母的最小公倍数,切勿漏乘不含有分母的项,另外分数线有两层意义,一方面它是除号,另一方面它又代表着括号,所以在去分母时,应该将分子用括号括上.11.计算:(1)计算:(2)解方程:考点:解一元一次方程;有理数的混合运算.专题:计算题.分析:(1)根据有理数的混合运算法则计算:先算乘方、后算乘除、再算加减;(2)两边同时乘以最简公分母4,即可去掉分母.解答:解:(1)原式=,=,=.(2)去分母得:2(x﹣1)﹣(3x﹣1)=﹣4,解得:x=3.点评:解答此题要注意:(1)去分母时最好先去中括号、再去小括号,以减少去括号带来的符号变化次数;(2)去分母就是方程两边同时乘以分母的最简公分母.12.解方程:考点:解一元一次方程.专题:计算题.分析:(1)这是一个带分母的方程,所以要先去分母,再去括号,最后移项,化系数为1,从而得到方程的解.(2)解一元一次方程的一般步骤:去分母、去括号、移项、合并同类项、化系数为1.解答:解:(1)去分母得:3(3x﹣1)+18=1﹣5x,去括号得:9x﹣3+18=1﹣5x,移项、合并得:14x=﹣14,系数化为1得:x=﹣1;(2)去括号得:x﹣x+1=x,移项、合并同类项得:x=﹣1,系数化为1得:x=﹣.点评:本题考查解一元一次方程,正确掌握解一元一次方程的一般步骤,注意移项要变号、去分母时“1”也要乘以最小公倍数.13.解方程:(1)(2)考点:解一元一次方程.专题:计算题.分析:(1)去分母、去括号、移项、合并同类项、化系数为1.(2)去分母、去括号、移项、合并同类项、化系数为1.解答:(1)解:去分母得:5(3x+1)﹣2×10=3x﹣2﹣2(2x+3),去括号得:15x+5﹣20=3x﹣2﹣4x﹣6,移项得:15x+x=﹣8+15,合并得:16x=7,解得:;(2)解:,4(x﹣1)﹣18(x+1)=﹣36,4x﹣4﹣18x﹣18=﹣36,﹣14x=﹣14,x=1.点评:本题考查解一元一次方程,正确掌握解一元一次方程的一般步骤,注意移项要变号、去分母时“1”也要乘以最小公倍数.14.解方程:(1)5(2x+1)﹣2(2x﹣3)=6(2)+2(3)[3(x﹣)+]=5x﹣1考点:解一元一次方程.专题:计算题.分析:(2)通过去括号、移项、合并同类项、系数化为1,解得x的值;(3)乘最小公倍数去分母即可;(4)主要是去括号,也可以把分数转化成整数进行计算.解答:解:(1)去括号得:10x+5﹣4x+6=6移项、合并得:6x=﹣5,方程两边都除以6,得x=﹣;(2)去分母得:3(x﹣2)=2(4﹣3x)+24,去括号得:3x﹣6=8﹣6x+24,移项、合并得:9x=38,方程两边都除以9,得x=;(3)整理得:[3(x﹣)+]=5x﹣1,4x﹣2+1=5x﹣1,移项、合并得:x=0.点评:一元一次方程的解法:一般要通过去分母、去括号、移项、合并同类项、未知数的系数化为1等步骤,把一个一元一次方程“转化”成x=a的形式.解题时,要灵活运用这些步骤.15.(A类)解方程:5x﹣2=7x+8;(B类)解方程:(x﹣1)﹣(x+5)=﹣;(C类)解方程:.考点:解一元一次方程.专题:计算题.分析:通过去分母、去括号、移项、系数化为1等方法,求得各方程的解.解答:解:A类:5x﹣2=7x+8移项:5x﹣7x=8+2化简:﹣2x=10即:x=﹣5;B类:(x﹣1)﹣(x+5)=﹣去括号:x﹣﹣x﹣5=﹣化简:x=5即:x=﹣;C类:﹣=1去分母:3(4﹣x)﹣2(2x+1)=6去括号:12﹣3x﹣4x﹣2=6化简:﹣7x=﹣4即:x=.点评:本题主要考查一元一次方程的解法,比较简单,但要细心运算.16.解方程(1)3(x+6)=9﹣5(1﹣2x)(2)(3)(4)考点:解一元一次方程.专题:计算题.分析:(1)去括号以后,移项,合并同类项,系数化为1即可求解;(2)(3)首先去掉分母,再去括号以后,移项,合并同类项,系数化为1以后即可求解;(4)首先根据分数的基本性质,把第一项分母中的0.3化为整数,再去分母,求解.解答:解:(1)去括号得:3x+18=9﹣5+10x移项得:3x﹣10x=9﹣5﹣18合并同类项得:﹣7x=﹣14则x=2;(2)去分母得:2x+1=x+3﹣5移项,合并同类项得:x=﹣3;(3)去分母得:10y+2(y+2)=20﹣5(y﹣1)去括号得:10y+2y+4=20﹣5y+5移项,合并同类项得:17y=21系数化为1得:;(4)原方程可以变形为:﹣5x=﹣1去分母得:17+20x﹣15x=﹣3移项,合并同类项得:5x=﹣20系数化为1得:x=﹣4.点评:解方程的过程中要注意每步的依据,这几个题目都是基础的题目,需要熟练掌握.17.解方程:(1)解方程:4x﹣3(5﹣x)=13(2)解方程:x﹣﹣3考点:解一元一次方程.专题:计算题.分析:(1)先去括号,再移项,化系数为1,从而得到方程的解.(2)这是一个带分母的方程,所以要先去分母,再去括号,最后移项,化系数为1,从而得到方程的解.解答:解:(1)去括号得:4x﹣15+3x=13,移项合并得:7x=28,系数化为1得:得x=4;(2)原式变形为x+3=,去分母得:5(2x﹣5)+3(x﹣2)=15(x+3),去括号得10x﹣25+3x﹣6=15x+45,移项合并得﹣2x=76,系数化为1得:x=﹣38.点评:本题考查解一元一次方程,解一元一次方程的一般步骤是:去分母、去括号、移项、合并同类项、化系数为1.注意移项要变号.18.(1)计算:﹣42×+|﹣2|3×(﹣)3(2)计算:﹣12﹣|0.5﹣|÷×[﹣2﹣(﹣3)2](3)解方程:4x﹣3(5﹣x)=2;(4)解方程:.考点:解一元一次方程;有理数的混合运算.分析:(1)利用平方和立方的定义进行计算.(2)按四则混合运算的顺序进行计算.(3)主要是去括号,移项合并.(4)两边同乘最小公倍数去分母,再求值.解答:解:(1)﹣42×+|﹣2|3×(﹣)3==﹣1﹣1=﹣2.(2)﹣12﹣|0.5﹣|÷×[﹣2﹣(﹣3)2]====.(3)解方程:4x﹣3(5﹣x)=2去括号,得4x﹣15+3x)=2移项,得4x+3x=2+15合并同类项,得7x=17系数化为1,得.(4)解方程:去分母,得15x﹣3(x﹣2)=5(2x﹣5)﹣3×15去括号,得15x﹣3x+6=10x﹣25﹣45移项,得15x﹣3x﹣10x=﹣25﹣45﹣6合并同类项,得2x=﹣76系数化为1,得x=﹣38.点评:前两道题考查了学生有理数的混合运算,后两道考查了学生解一元一次方程的能力.19.(1)计算:(1﹣2﹣4)×;(2)计算:÷;(3)解方程:3x+3=2x+7;(4)解方程:.考点:解一元一次方程;有理数的混合运算.专题:计算题.分析:(1)和(2)要熟练掌握有理数的混合运算;(3)和(4)首先熟悉解一元一次方程的步骤:去分母,去括号,移项,合并同类项,系数化为1.解答:解:(1)(1﹣2﹣4)×=﹣=﹣13;(2)原式=﹣1×(﹣4﹣2)×(﹣)=6×(﹣)=﹣9;(3)解方程:3x+3=2x+7移项,得3x﹣2x=7﹣3合并同类项,得x=4;(4)解方程:去分母,得6(x+15)=15﹣10(x﹣7)去括号,得6x+90=15﹣10x+70移项,得6x+10x=15+70﹣90合并同类项,得16x=﹣5系数化为1,得x=.点评:(1)和(2)要注意符号的处理;(4)要特别注意去分母的时候不要发生数字漏乘的现象,熟练掌握去括号法则以及合并同类项法则.20.解方程(1)﹣0.2(x﹣5)=1;(2).考点:解一元一次方程.分析:(1)通过去括号、移项、系数化为1等过程,求得x的值;(2)通过去分母以及去括号、移项、系数化为1等过程,求得x的值.解答:解:(1)﹣0.2(x﹣5)=1;去括号得:﹣0.2x+1=1,∴﹣0.2x=0,∴x=0;(2).去分母得:2(x﹣2)+6x=9(3x+5)﹣(1﹣2x),∴﹣21x=48,∴x=﹣.点评:此题主要考查了一元一次方程解法,解一元一次方程常见的过程有去括号、移项、系数化为1等.21.解方程:(x+3)﹣2(x﹣1)=9﹣3x.考点:解一元一次方程.专题:计算题.分析:先去括号得x+3﹣2x+2=9﹣3x,然后移项、合并同类得到2x=4,然后把x的系数化为1即可.解答:解:去括号得x+3﹣2x+2=9﹣3x,移项得x﹣2x+3x=9﹣3﹣2,合并得2x=4,系数化为1得x=2.点评:本题考查了解一元一次方程:先去分母,再去括号,接着移项,把含未知数的项移到方程左边,不含未知数的项移到方程右边,然后合并同类项,最后把未知数的系数化为1得到原方程的解.22.8x﹣3=9+5x.5x+2(3x﹣7)=9﹣4(2+x)...考点:解一元一次方程.专题:方程思想.分析:本题是解4个不同的一元一次方程,第一个通过移项、合并同类项及系数化1求解.第二个先去括号再通过移项、合并同类项及系数化1求解.第三个先去分母再同第二个.第四个先分子分母乘以10,再同第三个求解.解答:8x﹣3=9+5x,解:8x﹣5x=9+3,3x=12,∴x=4.∴x=4是原方程的解;5x+2(3x﹣7)=9﹣4(2+x),解:5x+6x﹣14=9﹣8﹣4x,5x+6x+4x=9﹣8+14,15x=15,∴x=1.∴x=1是原方程的解..解:3(x﹣1)﹣2(2x+1)=12,3x﹣3﹣4x﹣2=12,3x﹣4x=12+3+2,﹣x=17,∴x=﹣17.∴x=﹣17是原方程的解.,解:,5(10x﹣3)=4(10x+1)+40,50x﹣15=40x+4+40,50x﹣40x=4+40+15,10x=59,∴x=.∴x=是原方程的解.点评:此题考查的知识点是解一元一次方程,关键是注意解方程时的每一步都要认真仔细,如移项时要变符号.23.解下列方程:(1)0.5x﹣0.7=5.2﹣1.3(x ﹣1);(2)=﹣2.考点:解一元一次方程.分析:(1)首先去括号,然后移项、合并同类项,系数化成1,即可求解;解答:解:(1)去括号,得:0.5x﹣0.7=5.2﹣1.3x+1.3移项,得:0.5x+1.3x=5.2+1.3+0.7合并同类项,得:1.8x=7.2,则x=4;(2)去分母得:7(1﹣2x)=3(3x+1)﹣42,去括号,得:7﹣14x=9x+3﹣42,移项,得:﹣14x﹣9x=3﹣42﹣7,合并同类项,得:﹣23x=﹣46,则x=2.点评:本题考查解一元一次方程,解一元一次方程的一般步骤是:去分母、去括号、移项、合并同类项、化系数为1.注意移项要变号.24.解方程:(1)﹣0.5+3x=10;(2)3x+8=2x+6;(3)2x+3(x+1)=5﹣4(x﹣1);(4).考点:解一元一次方程.分析:(1)移项,合并同类项,然后系数化成1即可求解;(2)移项,合并同类项,然后系数化成1即可求解;(3)去括号、移项,合并同类项,然后系数化成1即可求解;(4)首先去分母,然后去括号、移项,合并同类项,然后系数化成1即可求解.解答:解:(1)3x=10.5,x=3.5;(2)3x﹣2x=6﹣8,x=﹣2;(3)2x+3x+3=5﹣4x+4,2x+3x+4x=5+4﹣3,9x=6,x=;(4)2(x+1)+6=3(3x﹣2),2x+2+6=9x﹣6,2x﹣9x=﹣6﹣2﹣6,﹣7x=﹣14,x=2.点评:本题考查解一元一次方程,解一元一次方程的一般步骤是:去分母、去括号、移项、合并同类项、化系数为1.注意移项要变号.25.解方程:.考点:解一元一次方程.专题:计算题.分析:方程两边乘以10去分母后,去括号,移项合并,将x系数化为1,即可求出解.解答:解:去分母得:5(3x﹣1)﹣2(5x﹣6)=2,去括号得:15x﹣5﹣10x+12=2,移项合并得:5x=﹣5,解得:x=﹣1.点评:此题考查了解一元一次方程,其步骤为:去分母,去括号,移项合并,将未知数系数化为1,求出解.26.解方程:(1)10x﹣12=5x+15;(2)考点:解一元一次方程.专题:计算题.分析:(1)先移项,再合并同类项,最后化系数为1,从而得到方程的解;(2)先去括号,再移项、合并同类项,最后化系数为1,从而得到方程的解.解答:解:(1)移项,得10x﹣5x=12+15,合并同类项,得5x=27,方程的两边同时除以5,得x=;(2)去括号,得=,方程的两边同时乘以6,得x+1=4x﹣2,移项、合并同类项,得3x=3,方程的两边同时除以3,得x=1.点评:本题考查解一元一次方程,解一元一次方程的一般步骤:去分母、去括号、移项、合并同类项、化系数为1.注意移项要变号.27.解方程:(1)8y﹣3(3y+2)=7(2).考点:解一元一次方程.专题:计算题.分析:(1)根据一元一次方程的解法,去括号,移项,合并同类项,系数化为1即可得解;(2)这是一个带分母的方程,所以要先去分母,再去括号,最后移项,合并同类项,系数化为1,从而得到方程的解.解答:解:(1)去括号得,8y﹣9y﹣6=7,移项、合并得,﹣y=13,系数化为1得,y=﹣13;(2)去分母得,3(3x﹣1)﹣12=2(5x﹣7),去括号得,9x﹣3﹣12=10x﹣14,移项得,9x﹣10x=﹣14+3+12,合并同类项得,﹣x=1,系数化为1得,x=﹣1.点评:本题主要考查了解一元一次方程,注意在去分母时,方程两端同乘各分母的最小公倍数时,不要漏乘没有分母的项,同时要把分子(如果是一个多项式)作为一个整体加上括号.28.当k为什么数时,式子比的值少3.考点:解一元一次方程.专题:计算题.分析:先根据题意列出方程,再根据一元一次方程的解法,去分母,去括号,移项,合并同类项,系数化为1即可得解.解答:解:依题意,得=+3,去分母得,5(2k+1)=3(17﹣k)+45,去括号得,10k+5=51﹣3k+45,移项得,10k+3k=51+45﹣5,合并同类项得,13k=91,系数化为1得,k=7,∴当k=7时,式子比的值少3.点评:本题主要考查了解一元一次方程,注意在去分母时,方程两端同乘各分母的最小公倍数时,不要漏乘没有分母的项,同时要把分子(如果是一个多项式)作为一个整体加上括号.29.解下列方程:(I)12y﹣2.5y=7.5y+5(II).考点:解一元一次方程.专题:计算题.分析:(Ⅰ)根据一元一次方程的解法,移项,合并同类项,系数化为1即可得解;(Ⅱ)是一个带分母的方程,所以要先去分母,再去括号,最后移项,合并同类项,系数化为1,从而得到方程的解.解答:解:(Ⅰ)移项得,12y﹣2.5y﹣7.5y=5,合并同类项得,2y=5,系数化为1得,y=2.5;(Ⅱ)去分母得,5(x+1)﹣10=(3x﹣2)﹣2(2x+3),去括号得,5x+5﹣10=3x﹣2﹣4x﹣6,移项得,5x﹣3x+4x=﹣2﹣6﹣5+10,合并同类项得,6x=﹣3,系数化为1得,x=﹣.点评:本题主要考查了解一元一次方程,注意在去分母时,方程两端同乘各分母的最小公倍数时,不要漏乘没有分母的项,同时要把分子(如果是一个多项式)作为一个整体加上括号.30.解方程:.考点:解一元一次方程.专题:计算题.分析:由于方程的分子、分母均有小数,利用分数的基本性质,分子、分母同时扩大相同的倍数,可将小数化成整数.解答:解:原方程变形为,(3分)去分母,得3×(30x﹣11)﹣4×(40x﹣2)=2×(16﹣70x),(4分)去括号,得90x﹣33﹣160x+8=32﹣140x,(5分)移项,得90x﹣160x+140x=32+33﹣8,(6分)合并同类项,得70x=57,(7分)系数化为1,得.(8分)点评:本题考查一元一次方程的解法.解一元一次方程的一般步骤:去分母,去括号,移项,合并同类项,系数化为1.本题的难点在于方程的分子、分母均有小数,将小数化成整数不同于去分母,不是方程两边同乘一个数,而是将分子、分母同乘一个数.。
七年级上册数学解一元一次方程50道专项练习题(含答案)5)x=1;(6)x=-12;(7)无解;(8)x=1.2、【答案】(1)x=.5;(2)x=-3;(3)x=-9;(4)x=-2;(5)x=22;(6)x=-2;(7)x=.5;(8)x=4.3、【答案】(1)x=4;(2)x=-1;(3)x=-4;(4)x=-5;(5)x=-1;(6)x=3;(7)无解;(8)x =-3.4、【答案】(1)x=-.5;(2)x=-6;(3)x=-1;(4)x=-2;(5)x=-2;(6)x=2;(7)x=-2;(8)x=-2/3.改写后:1、解一元一次方程50道专项练题(含答案)1.1、基础题解方程:1)2x+6=1;2)10x-3=9;3)5x-2=7x+8;4)1-x=3x;5)4x-2=3-x;6)-7x+2=2x-4;7)-x=-x+1;8)2x-=-+2.2.1、基础题解方程:1)4(x-1)=1;2)-2(x-1)=4;3)5(2x-3)=3x+9;4)2-(1+5)=-(2x+1);5)11x+(320-x)=3.3.1、综合Ⅰ解方程:1)(x+1)/(x-4)=(x-2)/(x+1);2)(x+4)/(x-1)-(x-1)/(x+4)=12;3)(x+5)/(x-3)=(x+1)/(x-5);4)x-7=(x+3)/(x-2);5)1/(x+1)+1/(x-1)=(2x-3)/(x²-1);6)(x-1)/(x+2)+(x+2)/(x-1)=4;7)(2x+14)/(x+1)=4-2x;8)(200+x)-(300-x)=300/(x+2)-x/3.参考答案:1、(1)x=3;(2)x=2;(3)x=4;(4)x=6;(5)x=1;(6)x=-12;(7)无解;(8)x=1.2、(1)x=.5;(2)x=-3;(3)x=-9;(4)x=-2;(5)x=22;(6)x=-2;(7)x=.5;(8)x=4.3、(1)x=4;(2)x=-1;(3)x=-4;(4)x=-5;(5)x=-1;(6)x=3;(7)无解;(8)x=-3.4、(1)x=-.5;(2)x=-6;(3)x=-1;(4)x =-2;(5)x=-2;(6)x=2;(7)x=-2;(8)x=-2/3.1.答案:(1) x=0.(2) x=5.(3) x=-5.(4) x=0.解释:(1) 0乘以任何数都等于0;(2) 5的平方等于25;(3) (-5)的平方也等于25;(4) 0乘以任何数都等于0.2.答案:(1) x=1.(2) x=-1.(3) x=0.(4) x=-3.(5) x=4.(6) x=9.解释:(1) 1的平方等于1;(2) (-1)的平方也等于1;(3) 0乘以任何数都等于0;(4) (-3)的平方等于9;(5) 4的平方等于16;(6) 9的平方等于81.3.答案:(1) x=8.(2) x=0.(3) x=-16.(4) x=7.(5) x=-1.(6)x=3.(7) x=-28.(8) x=-5.解释:(1) 等于64;(2) 0乘以任何数都等于0;(3) (-16)的平方等于256;(4) 7的平方等于49;(5) (-1)的平方等于1;(6)3的平方等于9;(7) (-28)的平方等于784;(8) (-5)的平方等于25.4.答案:(1) x=3.(2) x=-8/7.(3) x=0.(4) x=undefined.解释:(1) 3的平方等于9;(2) -8/7的平方等于64/49;(3) 0乘以任何数都等于0;(4) 不能对负数取平方根,所以该问题无解。
自我测试 60 分钟看看准确率 牛刀小试 相信自己一定行1、 2x +1=7 ;2、 5x -2=8 ;3、 3x +3=2x +7 ;4、 x +5=3x -7 ;解:(移项)(合并)(化系数为 1)5、 11x -2=14x -9 ;6、 x -9=4x +27 ;7、 2 x + 6=1;8、 10 x -3=9 ;解:(移项)(合并)(化系数为 1)9、 4x -2=3-x ; 10、 -7 x + 2=2x -4 ;11、 5x -2= 7x +8 ;12、 1 x =- 1 x +34 2解:(移项)(合并)(化系数为 113、 x = 3 x + 35 2 x + 1 x 21- x =3x + ; 15、 - x =- 2x - =- +16 14、 1; 16、 2 2 2 5 3 3解:(移项)(合并)(化系数为 1).( x +0.5)+ x =7 ( x -1)= 4 ( x -1)= 1 ; 20、 2-( 1- x )=- 217、 4 ; 18、-2 ; 19、 5 ;解:(去括号)(移项)(合并)(化系数为 1)11x +1=5(2x +1) 4x -(320- x )= 3 5( x +8)- 5=0 2 21、 ; 22、 . 23、 ; 24、 ;解:(去括号)(移项)(合并)(化系数为 1)25、 -3( x +3)= 24 ; 26、 - 2( x - 2)=12; 27、 12(2-3x )= 4x +4 ; 28、 6-(3 x + 2)= 2 ;3 3解:(去括号)(移项)(合并)(化系数为 1)29、 (2200-15x )= 70+25x ; + 2= x ; - x x30、 (32x +1)=12 .31、 x 32、 3 = +4 ;5 4 2 3解:(去分母)(去括号)(移项)(合并)(化系数为 1)1 1 1 12 x - x + 2 1 = -( x +1)= (2x -3) ( x +1)= ( x -1) 33、 3; 34、 4 ; 35、 3 4 ;7 3 解:(去分母) (去括号) (移项) (合并) (化系数为 1( x -1)= 2- ( x + 2) 37、 ( x +14)= ( x +20) ( x +15)= - ( x -7) 36、 1 1 . 1 1 ; 38、 1 1 1. 2 5 7 4 5 2 3解:(去分母)(去括号) (移项)(合并) (化系数为 11 1 3 7 x - 5 32 x - 5 x +1 1 9x -2 x -= = 1 = - =39、 ; 4 2 ; 40、 4 8; 41、 6 ; 42、 2 x 7 64 8解:(去分母)(去括号)(移项)(合并)(化系数为 11 12 x + 5 x - 1 x )= 1 - 143、 x - ( - 1 =1 (2 x +14)= 4-2x3 2 ; 44、 ; 45、 ;5 2 36 7解:(去分母)(去括号)(移项)(合并)(化系数为 146、 3( 200+ x )- 2(300- x )= 300 9 . 47、 (83x -1)-(95x -11)-(22x -7)=30 ;10 10 25解:(去分母)(去括号)(移项)(合并)(化系数为 148、 1 x + 1= 1 x - 1 ; 49、 0.5x -1- 0.1x +2=-1; 50、 x -1 - x + 2 =12 .2 3 4 5 0.2 0.3 0.3 0.5解:(化整)(去分母)(去括号)(移项)(合并)(化系数为 1【参考答案】1、【答案】 (1) x =3 ; (2) x = 2 ; (3) x =4 ; (4) x =6;( 5) x = 7 ; ( 6) x =-12 ; ( 7) x =4 ; (8) x =-32 . 31.1、【答案】 ( 9) x =- 5 ; ( 10) x = 6 ; ( 11) x =-5 ; ( 12) x =- 1 ; 2 5 3( 13) x =1; ( 14) x = 2 ; ( 15 ) x =- 5 ; ( ) x =1 . 3 3 162、【答案】( 17) x =1 ;(18) x =-1 ; (19) x = 6 ; ( 20 ) x =- 3 ; ( 21 ) x =4 ; ( ) x =9 .2252.1、【答案】(23) x =- 7 ; ( 24) x =- 3 ; (25) x =-11 ; (26) x =- 4 ; ( 27) x = 1 ;( 28) x = 10 ; 2 2 9 ( 29) x =6 ; ( ) x = 3 30 . 23、【答案】 ( 31) x =8 ; ( 32) x = 1 ; ( ) x =-16 ; ( 34) x =7 ; ( 35 ) x =- 2 ;5 33 5( 36) x =3 ; ( 37) x =- 28 ; (38) x =- 5 .163.1、【答案】 ( 39) x =5 ; ( 40) x = 13 ; ( ) x =-1 ;( ) x =- 20; ( 43) x = 25 ;14 41 42 3 12( 44) x =-3 ; ( 45) x = 7 ; ( 46) x =216 . 84、【答案】 ( 47) x =3 ; ( 48) x =- 32 ; ( 49) x =64 ; ( 50) x = 29 . 15 13 2。
一元一次方程(压轴必刷30题5种题型专项训练)一.一元一次方程的定义(共1小题)1.(2022春•雁峰区校级月考)已知(m2﹣9)x2﹣(m﹣3)x+6=0是以x为未知数的一元一次方程,如果|a|≤|m|,那么|a+m|+|a﹣m|的值为()A.2B.4C.6D.8【分析】根据一元一次方程的定义,则x2系数为0,且x系数≠0,得出m=﹣3;由|a|≤|m|,得a﹣m≥0,a+m≤0,∴|a+m|+|a﹣m|=﹣a﹣m+a﹣m=﹣2m=6.【解答】解:∵一元一次方程则x2系数为0,且x系数≠0∴m2﹣9=0,m2=9,m=±3,﹣(m﹣3)≠0,m≠3,∴m=﹣3,|a|≤|﹣3|=3,∴﹣3≤a≤3,∴m≤a≤﹣m,∴a﹣m≥0,|a﹣m|=a﹣m,a+m≤0,|a+m|=﹣a﹣m,∴原式=﹣a﹣m+a﹣m=﹣2m=6.故选:C.【点评】本题主要考查了如何去绝对值以及一元一次方程的定义:只含有一个未知数,并且含有未知数的式子都是整式,未知数的次数是1.根据一元一次方程的定义求m的值.去绝对值时注意a+m、a﹣m 与0的关系.二.一元一次方程的解(共2小题)2.(2022秋•拱墅区月考)若关于x的方程(k﹣2019)x﹣2017=7﹣2019(x+1)的解是整数,则整数k的取值个数是()A.2B.3C.4D.6【分析】原方程依次去括号,移项,合并同类项,系数化为1,得到关于k的x的值,根据“该方程的解是整数”,得到几个关于k的一元一次方程,解之即可.【解答】解:方程(k﹣2019)x﹣2017=7﹣2019(x+1)整理化简,可得kx=5,即x=,∵该方程的解是整数,k为整数,∴x=1或﹣1或5或﹣5,即=1或﹣1或5或﹣5,解得:k=5或﹣5或1或﹣1,∴整数k的取值个数是4个,故选:C.【点评】本题考查了一元一次方程的解,正确掌握解一元一次方程的方法是解题的关键.3.(2021秋•天门月考)已知a,b为定值,关于x的方程=1﹣,无论k为何值,它的解总是1,则a+b=.【分析】把x=1代入方程=1﹣,得:=1﹣,整理可得(2+b)k+2a﹣4=0,再根据题意可得2+b=0,2a﹣4=0,进而可得a、b的值,从而可得答案.【解答】解:把x=1代入方程=1﹣,得:=1﹣,2(k+a)=6﹣(2+bk),2k+2a=6﹣2﹣bk,2k+bk+2a﹣4=0,(2+b)k+2a﹣4=0,∵无论k为何值,它的解总是1,∴2+b=0,2a﹣4=0,解得:b=﹣2,a=2.则a+b=0.故答案为:0.【点评】本题主要考查方程解的定义,由k可以取任何值得到a和b的值是解题的关键.三.解一元一次方程(共3小题)4.(2021春•余杭区校级月考)用⊕表示一种运算,它的含义是:A⊕B=.如果,那么3⊕4=.【分析】根据题中的新定义化简已知等式求出x的值,所求式子利用新定义化简后,将x的值代入计算即可求出值.【解答】解:根据题中的新定义得:2⊕1=+=,去分母得:2+x=10,即x=8,则3⊕4=+=+=.故答案为:【点评】此题考查了解一元一次方程,其步骤为:去分母,去括号,移项合并,将未知数系数化为1,求出解.5.(2021秋•潮安区期末)小东同学在解一元一次方程时,发现这样一种特殊现象:x+=0的解为x=﹣,而﹣=﹣1;2x+=0的解为x=﹣,而﹣=﹣2.于是,小东将这种类型的方程作如下定义:若一个关于x的方程ax+b=0≠0)的解为x=b﹣a,则称之为“奇异方程”.请和小东一起进行以下探究:(1)若a=﹣1,有符合要求的“奇异方程”吗?若有,求出该方程的解;若没有,请说明理由;(2)若关于x的方程ax+b=0(a≠0)为奇异方程,解关于y的方程:a(a﹣b)y+2=(b+)y.【分析】(1)把a=﹣1代入原方程解得:x=b,若为“奇异方程”,则x=b+1,由于b≠b+1,根据“奇异方程”定义即可求解;(2)根据“奇异方程”定义得到a(a﹣b)=b,方程a(a﹣b)y+2=(b+)y可化为by+2=(b+)y,解方程即可求解.【解答】解:(1)没有符合要求的“奇异方程”,理由如下:把a=﹣1代入原方程解得:x=b,若为“奇异方程”,则x=b+1,∵b≠b+1,∴不符合“奇异方程”定义,故不存在;(2)∵ax+b=0(a≠0)为奇异方程,∴x=b﹣a,∴a(b﹣a)+b=0,a(b﹣a)=﹣b,a(a﹣b)=b,∴方程a(a﹣b)y+2=(b+)y可化为by+2=(b+)y,∴by+2=by+y,2=y,解得y=4.【点评】考查了解一元一次方程,关键是熟悉若一个关于x的方程ax+b=0(a≠0)的解为x=b﹣a,则称之为“奇异方程”.6.(2020秋•丰城市校级期中)(1)小玉在解方程去分母时,方程右边的“﹣1”项没有乘6,因而求得的解是x=10,试求a的值.(2)当m为何值时,关于x5m+3x=1+x的解比关于x的方程2x+m=5m的解大2?【分析】(1)把x=10代入错误的去分母得到的方程,求出a的值即可;(2)表示出两方程的解,由题意求出m的值即可.【解答】解:(1)错误去分母得:4x﹣2=3x+3a﹣1,把x=10代入得:a=3;(2)方程5m+3x=1+x,解得:x=,方程2x+m=5m,解得:x=2m,根据题意得:﹣2m=2,去分母得:1﹣5m﹣4m=4,解得:m=﹣.【点评】此题考查了解一元一次方程,熟练掌握运算法则是解本题的关键.四.同解方程(共1小题)7.(2022秋•义乌市月考)已知关于x的方程:2(x﹣1)+1=x与3(x+m)=m﹣1有相同的解,求以y为未知数的方程的解.【分析】根据方程1可直接求出x的值,代入方程2可求出m,把所求m和x代入方程3,可得到关于y的一元一次方程,解答即可.【解答】解:解方程2(x﹣1)+1=x得:x=1将x=1代入3(x+m)=m﹣1得:3(1+m)=m﹣1解得:m=﹣2将x=1,m=﹣2代入得:,解得:.【点评】本题解决的关键是能够求解关于x的方程,根据同解的定义建立方程.五.一元一次方程的应用(共23小题)8.(2022秋•义乌市校级月考)已知数轴上两点A、B对应的数分别是6,﹣8,M、N、P为数轴上三个动点,点M从A点出发,速度为每秒2个单位,点N从点B出发,速度为M点的3倍,点P从原点出发,速度为每秒1个单位.(1)若点M向右运动,同时点N向左运动,求多长时间点M与点N相距54个单位?(2)若点M、N、P同时都向右运动,求多长时间点P到点M,N的距离相等?(3)当时间t满足t1<t≤t2时,M、N两点之间,N、P两点之间,M、P两点之间分别有55个、44个、11个整数点,请直接写出t1,t2的值.【分析】(1)由题意列出方程可求解;(2)分两种情况讨论,列出方程可求解;(3)M、N、P三点之间整数点的多少可看作它们之间距离的大小,M、N两点距离最大,M、P两点距离最小,可得出M、P两点向右运动,N点向左运动,结合数轴分类讨论分析即可.【解答】解:(1)设运动时间为t秒,由题意可得:6+8+2t+6t=54,∴t=5,∴运动5秒点M与点N相距54个单位;(2)设运动时间为t秒,由题意可知:M点运动到6+2t,N点运动到﹣8+6t,P点运动到t,当t<1.6时,点N在点P左侧,MP=NP,∴t﹣(﹣8+6t)=6+2t﹣t,∴6+t=8﹣5t,∴t=s;当t>1.6时,点N在点P右侧,MP=NP,∴﹣8+6t﹣t=6+2t﹣t,∴6+t=﹣8+5t,∴t=s,∴运动s或s时点P到点M,N的距离相等;(3)由题意可得:M、N、P三点之间整数点的多少可看作它们之间距离的大小,M、N两点距离最大,M、P M、P两点向右运动,N点向左运动①如图,当t1=5s时,P在5,M在16,N在﹣38,再往前一点,MP之间的距离即包含11个整数点,NP之间有44个整数点;②当N继续以6个单位每秒的速度向左移动,P点向右运动,若N点移动到﹣39时,此时N、P之间仍为44个整数点,若N点过﹣39时,此时N、P之间为45 个整数点,故t2=+5=s∴t1=5s,t2=s.【点评】本题考查了一元一次方程在数轴上的动点问题中的应用,理清题中的数量关系、数形结合,是解题的关键.9.(2020秋•温州期末)七年(1)(2)两班各40人参加垃圾分类知识竞赛,规则如图.比赛中,所有同学均按要求一对一连线,无多连、少连.(1)分数5,10,15,20中,每人得分不可能是分.(2)七年(1)班有4人全错,其余成员中,满分人数是未满分人数的2倍;七年(2)班所有人都得分,最低分人数的2倍与其他未满分人数之和等于满分人数.①问(1)班有多少人得满分?②若(1)班除0分外,最低得分人数与其他未满分人数相等,问哪个班的总分高?【分析】(1)根据得分规则课判断出不可能得的分数;(2)①设(1)班未满分的人数是x人,则满分的人数是2x人,列方程即可;②分别计算出两班得分的情况计算出两个班的总分,再比较即可.【解答】解:(1)∵共有4条线,可能全部连错,得0分,可能1条线对,3条线错,得5分,可能2条线对,2条线错,得10分,可能3条线对,则第4条也对,得20分,∴每人得分不可能是15分;故答案为:15.(2)①设(1)班未得满分的有x人,得满分的有2x人,依题意得:x+2x=40﹣4,解得x=12,2x=24.答:(1)班得满分的有24人;②∵(1)班除0分外,最低得分人数与其他未满分人数相等,∴得5分的和得10分的都是6人,∴(1)班总分为:24×20+6×10+6×5=570(分);设(2)班最低得分a人,其余未满分b人,则满分人数为(2a+b)人,∴总分为:5a+10b+20(2a+b)=(45a+30b)分,∵a+b+2a+b=40,∴(2)班总分为:45a+30b=15(3a+2b)=600(分)>570(分),∴(2)班总分高.【点评】本题考查一元一次方程的应用,找到等量关系列出方程是解题关键.10.(2021秋•瓯海区月考)某中学库存若干套桌椅,准备修理后支援贫困山区学校.现有甲、乙两木工组,甲每天修理桌椅16套,乙每天修桌椅比甲多8套,甲单独修完这些桌椅比乙单独修完多用20天,学校每天付甲组80元修理费,付乙组120元修理费.(1)该中学库存多少套桌椅?(2)在修理过程中,学校要派一名工人进行质量监督,学校负担他每天10元生活补助费,现有三种修理方案:a、由甲单独修理;b、由乙单独修理;c、甲、乙合作同时修理.你认为哪种方案省时又省钱?为什么?【分析】(1)通过理解题意可知本题的等量关系,即甲单独修完这些桌凳的天数=乙单独修完的天数+20天,列方程求解即可;(2)分别计算,通过比较选择最省钱的方案.【解答】解:(1)设该中学库存x套桌椅,则;解得x=960.答:该中学库存960套桌椅.(2)设a、b、c三种修理方案的费用分别为y1、y2、y3元,则y1=(80+10)×=5400,y2=(120+10)×=5200,y3=(80+120+10)×=5040,综上可知,选择方案c更省时省钱.答:方案c省时省钱.【点评】此题主要考查了一元一次方程的应用,关键是正确理解题意,找出题目中的等量关系,列出方程.此题要掌握工作量的有关公式:工作总量=工作时间×工作效率.11.(2020秋•鹿城区期末)十一期间,各大商场掀起购物狂潮,现有甲、乙、丙三个商场开展的促销活动如表所示:根据以上活动信息,解决以下问题:(1)三个商场同时出售一件标价290元的上衣和一条标价270元的裤子,王阿姨想买这一套衣服,她应该选择哪家商场?(2)黄先生发现在甲、乙商场同时出售一件标价380元的上衣和一条标价300多元的裤子,最后付款额也一样,请问这条裤子的标价是多少元?(3)丙商场又推出“先打折”,“再满100减50元”的活动.张先生买了一件标价为630元的上衣,张先生发现竟然比没打折前多付了18.5元钱,问丙商场先打了多少折后再参加活动?【分析】(1)按照不同的优惠方案算出实际花的钱数,再比较得出答案即可;(2)设这条裤子的标价为x元,按照优惠方案算出实际付款数,根据付款额一样,列方程求解即可;(3)先设丙商场先打了x折后再参加活动,折后减50n(0≤n<6),根据打折后比没打折前多付了18.5元钱,列方程求解.【解答】解:(1)选甲商城需付费用为(290+270)×0.6=336(元);选乙商城需付费用为290+(270﹣200)=360(元);选丙商城需付费用为290+270﹣5×50=310(元).∵310<336<360,∴选择丙商城最实惠.(2)设这条裤子的标价为x元,根据题意得:(380+x)×0.6=380+x﹣100×3,解得:x=370,答:这条裤子的标价为370元.(3)设丙商场先打了x折后再参加活动,折后减50n(0≤n<6且n为整数),根据题意得:(630×﹣50n)﹣(630﹣6×50)=18.5,整理得63x﹣50n=348.5,当n=0时,63x=348.5,可再优惠3×50=150元,与n=0矛盾,舍去当n=1时,63x=398.5,可再优惠3×50=150元,与n=1矛盾,舍去当n=2时,63x=448.5,可再优惠4×50=200元,与n=2矛盾,舍去当n=3时,63x=498.5,可再优惠4×50=200元,与n=3矛盾,舍去当n=4时,63x=548.5,可再优惠5×50=250元,与n=4矛盾,舍去当n=5时,63x=598.5,满足题意,此时x=9.5答:丙商场先打了9.5折后再参加活动.出合适的等量关系列出方程进行求解.12.(2020秋•永嘉县校级期末)某班级组织学生集体春游,已知班级总人数多于20人,其中有15名男同学,景点门票全票价为30元,对集体购票有两种优惠方案.方案一:所有人按全票价的90%购票;方案二:前20人全票,从第21人开始每人按全票价的80%购票;(1)若共有35名同学,则选择哪种方案较省钱?(2)当女同学人数是多少时,两种方案付费一样多?【分析】(1)方案一的收费=学生人数×30×90%,方案二的收费=20×30+(学生人数﹣20)×30×80%,将两者的收费进行比较,从而确定选择何种方案更省钱;(2)设女同学人数是x人时,两种方案付费一样多,列出方程求解即可.【解答】解:(1)方案一收费为:35×30×90%=945(元),方案二收费为:20×30+(35﹣20)×30×80%=960(元),∵960>945,∴方案一更省钱;(2)设女同学人数是x人时,两种方案付费一样多,由题意得(15+x)×30×90%=20×30+(15+x﹣20)×30×80%,解得:x=25,答:当女同学人数是25人时,两种方案付费一样多.【点评】本题考查了一元一次方程的应用,解题关键是要读懂题目的意思,根据题目给出的条件,找出合适的等量关系,列出方程,再求解.13.(2021秋•临海市月考)已知数轴上两点A、B对应的数分别为﹣1,3,点P为数轴上一动点,其对应的数为x.(1)若点P到点A、点B的距离相等,求点P对应的数;(2)数轴上是否存在点P,使点P到点A、点B的距离之和为5?若存在,请求出x的值.若不存在,请说明理由?(3)当点P以每分钟一个单位长度的速度从O点向左运动时,点A以每分钟5个单位长度向左运动,点B以每分钟20个单位长度向左运动,问它们同时出发,几分钟后P点到点A、点B的距离相等?【分析】(1)根据点P到点A、点B的距离相等,结合数轴可得答案;(2)此题要分两种情况:①当P在AB左侧时,②当P在AB右侧时,然后再列出方程求解即可;(3)点P、点A、点B B的运动速度最快,点P的运动速度最慢.故P点总位于A点右侧,B可能追上并超过A.P到A、B的距离相等,应分两种情况讨论.【解答】解:(1)如图,若点P到点A、点B的距离相等,P为AB的中点,BP=P A.依题意得3﹣x=x﹣(﹣1),解得x=1;(2)由AB=4,若存在点P到点A、点B的距离之和为5,P不可能在线段AB上,只能在A点左侧,或B点右侧.①P在点A左侧,P A=﹣1﹣x,PB=3﹣x,依题意得(﹣1﹣x)+(3﹣x)=5,解得x=﹣1.5;②P在点B右侧,P A=x﹣(﹣1)=x+1,PB=x﹣3,依题意得(x+1)+(x﹣3)=5,解得x=3.5;(3)设运动t分钟,此时P对应的数为﹣t,B对应的数为3﹣20t,A对应的数为﹣1﹣5t.①B未追上A时,P A=PB,则P为AB中点.B在P的右侧,A在P的左侧.P A=﹣t﹣(﹣1﹣5t)=1+4t,PB=3﹣20t﹣(﹣t)=3﹣19t,依题意有1+4t=3﹣19t,解得t=;②B追上A时,A、B重合,此时P A=PB.A、B表示同一个数.依题意有﹣1﹣5t=3﹣20t,解得t=.即运动或分钟时,P到A、B的距离相等.【点评】此题主要考查了一元一次方程的应用,以及数轴,关键是理解题意,表示出两点之间的距离,利用数形结合法列出方程.14.(2020秋•永嘉县校级期末)为弘扬中华优秀文化传统,某中学在2014年元旦前夕,由校团委组织全校30支,毛笔20支,共需1070元,其中每支毛笔比钢笔贵6元.(1)求钢笔和毛笔的单价各为多少元?(2)①后来校团委决定调整设奖方案,扩大表彰面,需要购买上面的两种笔共60支(每种笔的单价不变).张老师做完预算后,向财务处王老师说:“我这次买这两种笔需支领1322元.”王老师算了一下,说:“如果你用这些钱只买这两种笔,那么账肯定算错了.”请你用学过的方程知识解释王老师为什么说他用这些钱只买这两种笔的账算错了.②张老师突然想起,所做的预算中还包括校长让他买的一支签字笔.如果签字笔的单价为不大于10元的整数,请通过计算,直接写出签字笔的单价可能为元.【分析】(1)设钢笔得单价为x元,则毛笔单价为(x+6)元,根据题意列出方程,求出方程的解即可得到结果;(2)①设单价为19元得钢笔y支,则单价为25元的毛笔为(60﹣y)支,根据题意列出方程,求出方程的解即可得到结果;②设单价为19元的钢笔z支,签字笔的单价为a元,根据题意列出关系式,根据z,a为整数,确定出a与z的值,即可得到结果.【解答】解:(1)设钢笔的单价为x元,则毛笔的单价为(x+6)元,由题意得:30x+20(x+6)=1070,解得:x=19,则x+6=25,答:钢笔的单价为19元,毛笔的单价为25元;(2)①设单价为19元的钢笔y支,则单价为25元的毛笔为(60﹣y)支,根据题意得:19y+25(60﹣y)=1322,解得:y=,不合题意,即张老师肯定搞错了;②设单价为19元的钢笔z支,签字笔的单价为a元,根据题意得:19z+25(60﹣z)=1322﹣a,即6z=178+a,由a,z都是整数,且178+a应被6整除,经验算当a=2时,6z=180,即z=30,符合题意;当a=8时,6z=186,即z=31则签字笔的单价为2元或8元.故答案为:2或8.【点评】此题考查了一元一次方程的应用,找出题中的等量关系是解本题的关键.15.(2020秋•苍南县期末)一家电信公司推出手机话费套餐活动,具体资费标准见表:(1)已知小聪办理的是月租费为88元的套餐,小明办理的是月租费为118元的套餐,他们某一月的主叫时间都为m分钟(m>360).①请用含m的代数式分别表示该月他们的话费,化简后填空:小聪该月的话费为元;小明该月的话费为元.②若该月小聪比小明的话费还要多14元,求他们的通话时间.(2)若小慧的两个手机号码分别办理了58元、88元套餐.该月她的两个号码主叫时间共为220分钟,总话费为152元,求她两个号的主叫时间分别可能是多少分钟.【分析】(1)①用“根据话费=套餐费+主叫超时费”求出总话费;②因为m>360分钟,所以两人的话费均由套餐费和主叫超时费两部分组成,根据具体数字列出式子即可;(2)可设办理了58元套餐的主叫时间为x分钟,分类进行讨论求解即可.【解答】解:(1)①小聪该月的话费为:88+0.20(m﹣150)=58+0.2m,小明该月的话费为:118+0.15(m﹣350)=65.5+0.15m,故答案为:(58+0.2m),(65.5+0.15m);②58+0.2m=65.5+0.15m+14,解得:m=430,答:他们的通话时间为430分钟;(2)设办理了58元套餐的主叫时间为x分钟,依题意得:①当58元套餐的主叫时间超过限定时间,88元套餐没有超过限定时间时,得:58+0.25(x﹣50)+88=152,解得:x=74,则88元套餐的主叫时间为:220﹣74=146(分钟);②当58元套餐的主叫时间没有超过限定时间,88元套餐超过限定时间时,得:58+88+0.2(220﹣x﹣150)=152,解得:x=40,则88元套餐的主叫时间为:220﹣40=180(分钟);③当58元套餐的主叫时间超过限定时间,88元套餐超过限定时间时,得:58+0.25(x﹣50)+88+0.2(220﹣x﹣150)=152,解得:x=130,则88元套餐的主叫时间为:220﹣130=90(不符合题意).综上所述,小慧58元、88元套餐的主叫时间分别可能是74分钟,146分钟或40分钟,180分钟.【点评】本题考查了一元一次方程的应用,能读懂数表弄清数量关系是解题关键.16.(2020秋•拱墅区期末)某快递公司每件普通物品的收费标准如表:例如:寄往省内一件1.7千克的物品,运费总额为:10+8×(0.5+0.5)=18元.寄往省外一件3.2千克的物品,运费总额为:15+12×(2+0.5)=45元.(1)小丁同时寄往省内一件2千克的物品和省外一件2.7千克的物品,各需付运费多少元?(2)小丽同时寄往省内和省外同一件a千克的物品,已知a超过2,且a的整数部分是m,小数部分小于0.5,请用含字母的代数式表示这两笔运费的差.(3)某日小丁和小丽同时在该快递公司寄物品,小丁寄往省外,小丽寄往省内,小丁的运费比小丽的运费多43元,物品的重量比小丽多1.5千克,则小丁和小丽共需付运费多少元?【分析】(1)根据表中给出的运费计算方式分别计算运费即可;(2)利用已知条件分别求出同一件a千克的物品寄往省内和省外需付的运费,再用寄往省外付的运费﹣寄往省内付的运费即可求解;(3)设小丽的物品重(x+a)千克,x为正整数,a为小数部分,则小丁的物品重(x+a+1.5)千克,分①0<a≤0.5时,②0.5<a<1时两种情况,根据小丁的运费比小丽的运费多43元列出方程求解,再列式计算求出小丁和小丽共需付的运费.【解答】解:(1)寄往省内一件2千克的物品需付运费:10+8=18(元),∵超过1千克即要续重,续重以0.5千克为计重单位(不足0.5千克按0.5千克计算),∴寄往省外一件2.7千克的物品需付运费:15+12×2=39(元),∴小丁寄往省内的费用18元,寄往省外的费用39元;(2)省内:10+8(m﹣1+0.5)=(8m+6)元,省外:15+12(m﹣1+0.5)=(12m+9)元,12m+9﹣(8m+6)=12m+9﹣8m﹣6=(4m+3)元,∴这两笔运费的差(4m+3)元;(3)设小丽的物品重(x+a)千克,x为正整数,a为小数部分,小丁的物品重(x+a+1.5)千克,①0<a≤0.5时,小丽:10+8(x﹣1)+0.5×8=(8x+6)元,小丁:15+12(x﹣1)+2×12=(12x+27)元,∴12x+27﹣(8x+6)=43,解得:x=5.5(不是正整数,舍去);②0.5<a<1时,小丽:10+8(x﹣1)+1×8=(8x+10)元小丁:15+12(x﹣1)+2.5×12=(12x+33)元12x+33﹣(8x+10)=43解得:x=5,小丁和小丽共需付运费:8×5+10+12×5+33=143(元).∴小丁和小丽共需付运费143元.费计算方式分别列出寄往省内和省外需付的运费的代数式.17.(2022秋•义乌市月考)已知点O是数轴的原点,点A、B、C在数轴上对应的数分别是﹣12、b、c,且b、c满足(b﹣9)2+|c﹣15|=0,动点P从点A出发以2单位/秒的速度向右运动,同时点Q从点C出发,以1个单位/秒速度向左运动,O、B两点之间为“变速区”,规则为从点O运动到点B期间速度变为原来的一半,之后立刻恢复原速,从点B运动到点O期间速度变为原来的3倍,之后立刻恢复原速,运动时间为秒时,P、Q两点到点B的距离相等.【分析】根据(b﹣9)2+|c﹣15|=0,可得B表示的数是9,C表示的数是15,由已知分四种情况讨论:①当0≤t≤6时,P在线段OA上,Q在线段BC上,此时不存在P、Q两点到点B的距离相等;②当6<t≤9时,P、Q都在线段OB上,t﹣6=9﹣3(t﹣6),解得t=,③当9<t≤15时,P在线段OB上,Q在线段OA上,此时不存在P、Q两点到点B的距离相等;④当t>15时,P在射线BC上,Q在射线OA上,9+2(t﹣15)﹣9=9﹣[﹣(t﹣9)],解得t=30.【解答】解:∵(b﹣9)2+|c﹣15|=0,∴b﹣9=0,c﹣15=0,∴b=9,c=15,∴B表示的数是9,C表示的数是15,①当0≤t≤6时,P在线段OA上,Q在线段BC上,此时不存在P、Q两点到点B的距离相等;②当6<t≤9时,P、Q都在线段OB上,P表示的数为t﹣6,Q表示的数是9﹣3(t﹣6),∴P、Q两点到点B的距离相等只需t﹣6=9﹣3(t﹣6),解得t=,③当9<t≤15时,P在线段OB上,Q在线段OA上,此时不存在P、Q两点到点B的距离相等;④当t>15时,P在射线BC上,Q在射线OA上,P表示的数为9+2(t﹣15),Q表示的数是﹣(t﹣9),∴P、Q两点到点B的距离相等只需9+2(t﹣15)﹣9=9﹣[﹣(t﹣9)],解得t=30,综上所述,P、Q两点到点B的距离相等,运动时间为秒或30秒,故答案为:或30.【点评】本题考查一元一次方程的应用,涉及数轴上的动点表示的数,两点间的距离等知识,解题的关键是分类讨论.18.(2021秋•义乌市月考)如图,已知一周长为30cm的圆形轨道上有相距10cm的A、B两点(备注:圆形轨道上两点间的距离是指圆上这两点间的较短部分展直后的线段长).动点P从A点出发,以7cm/s的速度,与此同时,动点Q从B点出发,以5cm/s的速度,按同样的方向运动,设运动时间为t(s),在P、Q第二次相遇前,当动点P、Q在轨道上相距14cm时,则t=秒.【分析】设经过ts,P、Q两点相距14cm,分相遇前和相遇后两种情况建立方程求出其解;分点P,Q只能在直线AB上相遇,而点P旋转到直线AB上的时间分两种情况,所以根据题意列出方程分别求解.【解答】解:共有4种可能:①7t+10﹣5t=14,解得:t=2;②7t+10﹣5t=16,解得:t=3;③7t+10﹣5t=44,解得:t=17;④7t+10﹣5t=46,解得:t=18.综上所知,t=2、3、17或18.故答案为:2、3、17或18.【点评】此题考查一元一次方程的实际运用,掌握行程问题中的基本数量关系是解决问题的关键.19.(2022秋•拱墅区期末)如图,已知数轴上点A表示的数为10,点B位于点A左侧,AB=15.动点P从点A出发,以每秒2个单位长度的速度沿数轴向左匀速运动,设运动时间为t秒.(1)当点P在A、B两点之间运动时,①用含t的代数式表示PB的长度;②若PB=2P A,求点P所表示的数;(2)动点Q从点B出发,以每秒5个单位长度的速度沿数轴向右匀速运动,当点Q到达点A后立即原速返回.若P,Q两点同时出发,其中一点运动到点B时,两点停止运动.求在这个运动过程中,P,Q 两点相遇时t的值.【分析】(1)①读懂题意,列代数式即可;②根据题意列关于t的一元一次方程,再求解即可;(2)读懂题意,分析整个运动过程,根据第一次相遇,第二次相遇路程上的关系列方程求解.【解答】解:(1)①∵点A表示的数为10,点B位于点A左侧,AB=15,∴点B表示的数为10﹣15=﹣5,∴点P在A、B=15﹣2t;②∵PB=2P A,∴15﹣2t=2×2t,∴t=2.5,∴P A=2×2.5=5,∴10﹣5=5,∴点P所表示的数为5;(2)在这个运动过程中,P,Q两点有两次相遇,设P,Q两点第一次相遇的时间为t秒,根据题意得(2+5)t=15,∴t=;设P,Q两点第二次相遇的时间为t秒,根据题意得2t+15=5t,∴t=5,∴在这个运动过程中,P,Q两点相遇时t的值为秒或5秒.【点评】本题考查了列代数式,数轴,一元一次方程的应用,解题的关键是掌握数轴知识,读懂题意,能根据题意列出正确的代数式和一元一次方程.20.(2022秋•江北区期中)数轴上点A表示﹣8,点B表示6,点C表示12,点D表示18.如图,将数轴在原点O和点B、C处各折一下,得到一条“折线数轴”.在“折线数轴”上,把两点所对应的两数之差的绝对值叫这两点间的和谐距离.例如,点A和点D在折线数轴上的和谐距离为|﹣8﹣18|=26个单位长度.动点M从点A出发,以4个单位/秒的速度沿着折线数轴的正方向运动,从点O运动到点C期间速度变为原来的一半,过点C后继续以原来的速度向终点D运动;点M从点A出发的同时,点N从点D出发,一直以3个单位/秒的速度沿着“折线数轴”负方向向终点A运动,其中一点到达终点时,两点都停止运动.设运动的时间为t秒.(1)当t=2秒时,M、N两点在折线数轴上的和谐距离|MN|为;(2)当点M、N都运动到折线段O﹣B﹣C上时,O、M两点间的和谐距离|OM|=(用含有t的代数式表示);C、N两点间的和谐距离|CN|=(用含有t的代数式表示);t=时,M、N两点相遇;(3)当t=时,M、N两点在折线数轴上的和谐距离为4个单位长度;当t=时,M、O两点在折线数轴上的和谐距离与N、B两点在折线数轴上的和谐距离相等.【分析】(1)当t=2秒时,M表示的数是﹣8+2×4=0,N表示的数是18﹣3×2=12,即的M、N两点在折线数轴上的和谐距离|MN|为|12﹣0|=12;(2)当点M、N都运动到折线段O﹣B﹣C上,即t≥2时,M表示的数是×(t﹣2)=2t﹣4,N表示的数是12﹣3(t﹣2)=18﹣3t,而M、N两点相遇时,M、N表示的数相同,即得额2t﹣4=18﹣3t,可解得答案;(3)根据M、N两点在折线数轴上的和谐距离为4个单位长度,得|2t﹣4﹣(18﹣3t)|=4,可解得t=或t=,由t=2时,M运动到O,同时N运动到C,知t<2时,不存在M、O两点在折线数轴上的和谐距离与N、B两点在折线数轴上的和谐距离相等,当2≤t≤8,即M在从点O运动到点C时,有2t﹣4=|6﹣(18﹣3t)|,可解得t=8或t=,当8<t≤时,M在从C运动到D,速度变为4个单位/秒,不存在M、O两点在折线数轴上的和谐距离与N、B两点在折线数轴上的和谐距离相等,即可得答案.【解答】解:(1)当t=2秒时,M表示的数是﹣8+2×4=0,N表示的数是18﹣3×2=12,∴M、N两点在折线数轴上的和谐距离|MN|为|12﹣0|=12,故答案为:12;(2)由(1)知,2秒时M运动到O,N运动到C,∴当点M、N都运动到折线段O﹣B﹣C上,即t≥2时,M表示的数是×(t﹣2)=2t﹣4,N表示的数是12﹣3(t﹣2)=18﹣3t,∴O、M两点间的和谐距离|OM|=|2t﹣4﹣0|=2t﹣4,C、N两点间的和谐距离|CN|=|12﹣(18﹣3t)|=3t ﹣6,∵M、N两点相遇时,M、N表示的数相同,∴2t﹣4=18﹣3t,解得t=,故答案为:2t﹣4,3t﹣6,;(3)∵M、N两点在折线数轴上的和谐距离为4个单位长度,∴|2t﹣4﹣(18﹣3t)|=4,即|5t﹣22|=4,∴5t﹣22=4或5t﹣22=﹣4,解得t=或t=,由(1)知,t=2时,M运动到O,同时N运动到C,∴t<2时,不存在M、O两点在折线数轴上的和谐距离与N、B两点在折线数轴上的和谐距离相等,当2≤t≤8,即M在从点O运动到点C时,2t﹣4=|6﹣(18﹣3t)|,即|3t﹣12|=2t﹣4,∴3t﹣12=2t﹣4或3t﹣12=4﹣2t,。
初一七年级一元一次方程30题(含答案解析)一.解答题(共30小题)1.(2005•宁德)解方程:2x+1=72.3.(1)解方程:4﹣x=3(2﹣x);(2)解方程:.4.解方程:.5.解方程(1)4(x﹣1)﹣3(20﹣x)=5(x﹣2);(2)x ﹣=2﹣.6.(1)解方程:3(x﹣1)=2x+3;(2)解方程:=x ﹣.7.﹣(1﹣2x)=(3x+1)8.解方程:(1)5(x﹣1)﹣2(x+1)=3(x﹣1)+x+1;(2).9.解方程:.10.解方程:(1)4x﹣3(4﹣x)=2;(2)(x﹣1)=2﹣(x+2).11.计算:(1)计算:(2)解方程:12.解方程:13.解方程:(1)(2)14.解方程:(1)5(2x+1)﹣2(2x﹣3)=6 (2)+2(3)[3(x ﹣)+]=5x﹣115.(A类)解方程:5x﹣2=7x+8;(B 类)解方程:(x﹣1)﹣(x+5)=﹣;(C 类)解方程:.16.解方程(1)3(x+6)=9﹣5(1﹣2x)(2)(3)(4)17.解方程:(1)解方程:4x﹣3(5﹣x)=13(2)解方程:x ﹣﹣318.(1)计算:﹣42×+|﹣2|3×(﹣)3(2)计算:﹣12﹣|0.5﹣|÷×[﹣2﹣(﹣3)2](3)解方程:4x﹣3(5﹣x)=2;(4)解方程:.19.(1)计算:(1﹣2﹣4)×;(2)计算:÷;(3)解方程:3x+3=2x+7;(4)解方程:.20.解方程(1)﹣0.2(x﹣5)=1;(2).21.解方程:(x+3)﹣2(x﹣1)=9﹣3x.22.8x﹣3=9+5x.5x+2(3x﹣7)=9﹣4(2+x)...23.解下列方程:(1)0.5x﹣0.7=5.2﹣1.3(x﹣1);(2)=﹣2.24.解方程:(1)﹣0.5+3x=10;(2)3x+8=2x+6;(3)2x+3(x+1)=5﹣4(x﹣1);(4).25.解方程:.26.解方程:(1)10x﹣12=5x+15;(2)27.解方程:(1)8y﹣3(3y+2)=7(2).28.当k 为什么数时,式子比的值少3.29.解下列方程:(I)12y﹣2.5y=7.5y+5 (II ).30.解方程:.6.2.4解一元一次方程(三)参考答案与试题解析一.解答题(共30小题)1.(2005•宁德)解方程:2x+1=7考点:解一元一次方程.专题:计算题;压轴题.分析:此题直接通过移项,合并同类项,系数化为1可求解.解答:解:原方程可化为:2x=7﹣1合并得:2x=6系数化为1得:x=3点评:解一元一次方程,一般要通过去分母,去括号,移项,合并同类项,未知数的系数化为1等步骤,把一个一元一次方程“转化”成x=a的形式.2.考点:解一元一次方程.专题:计算题.分析:这是一个带分母的方程,所以要先去分母,再去括号,最后移项,化系数为1,从而得到方程的解.解答:解:左右同乘12可得:3[2x﹣(x﹣1)]=8(x﹣1),化简可得:3x+3=8x﹣8,移项可得:5x=11,解可得x=.故原方程的解为x=.点评:若是分式方程,先同分母,转化为整式方程后,再移项化简,解方程可得答案.3.(1)解方程:4﹣x=3(2﹣x);(2)解方程:.考点:解一元一次方程.专题:计算题.分析:(1)先去括号,然后再移项、合并同类型,最后化系数为1,得出方程的解;(2)题的方程中含有分数系数,应先对各式进行化简、整理,然后再按(1)的步骤求解.解答:解:(1)去括号得:4﹣x=6﹣3x,移项得:﹣x+3x=6﹣4,合并得:2x=2,系数化为1得:x=1.(2)去分母得:5(x﹣1)﹣2(x+1)=2,去括号得:5x﹣5﹣2x﹣2=2,移项得:5x﹣2x=2+5+2,合并得:3x=9,系数化1得:x=3.点评:(1)本题易在去分母、去括号和移项中出现错误,还可能会在解题前产生害怕心理.因为看到小数、分数比较多,学生往往不知如何寻找公分母,怎样合并同类项,怎样化简,所以我们要教会学生分开进行,从而达到分解难点的效果.(2)本题的另外一个重点是教会学生对于分数的分子、分母同时扩大或缩小若干倍,值不变.这一性质在今后常会用到.4.解方程:.考点:解一元一次方程.专题:计算题.分析:此题两边都含有分数,分母不相同,如果直接通分,有一定的难度,但将方程左右同时乘以公分母6,难度就会降低.解答:解:去分母得:3(2﹣x)﹣18=2x﹣(2x+3),去括号得:6﹣3x﹣18=﹣3,移项合并得:﹣3x=9,∴x=﹣3.点评:本题易在去分母和移项中出现错误,学生往往不知如何寻找公分母,怎样合并同类项,怎样化简,所以我们要教会学生分开进行,从而达到分解难点的效果.5.解方程(1)4(x﹣1)﹣3(20﹣x)=5(x﹣2);(2)x﹣=2﹣.考点:解一元一次方程.专题:计算题.分析:(1)先去括号,再移项、合并同类项、化系数为1,从而得到方程的解;(2)先去分母,再去括号,最后移项,化系数为1,从而得到方程的解.解答:解:(1)去括号得:4x﹣4﹣60+3x=5x﹣10(2分)移项得:4x+3x﹣5x=4+60﹣10(3分)合并得:2x=54(5分)系数化为1得:x=27;(6分)(2)去分母得:6x﹣3(x﹣1)=12﹣2(x+2)(2分)去括号得:6x﹣3x+3=12﹣2x﹣4(3分)移项得:6x﹣3x+2x=12﹣4﹣3(4分)合并得:5x=5(5分)系数化为1得:x=1.(6分)点评:去分母时,方程两端同乘各分母的最小公倍数时,不要漏乘没有分母的项,同时要把分子(如果是一个多项式)作为一个整体加上括号.去括号时要注意符号的变化.6.(1)解方程:3(x﹣1)=2x+3;(2)解方程:=x﹣.考点:解一元一次方程.专题:计算题.分析:(1)是简单的一元一次方程,通过移项,系数化为1即可得到;(2)是较为复杂的去分母,本题方程两边都含有分数系数,如果直接通分,有一定的难度,但对每一个式子先进行化简、整理为整数形式,难度就会降低.解答:解:(1)3x﹣3=2x+33x﹣2x=3+3x=6;(2)方程两边都乘以6得:x+3=6x﹣3(x﹣1)x+3=6x﹣3x+3x﹣6x+3x=3﹣3﹣2x=0∴x=0.点评:本题易在去分母、去括号和移项中出现错误,还可能会在解题前不知如何寻找公分母,怎样合并同类项,怎样化简,所以要学会分开进行,从而达到分解难点的效果.去分母时,方程两端同乘各分母的最小公倍数时,不要漏乘没有分母的项,同时要把分子(如果是一个多项式)作为一个整体加上括号.7.﹣(1﹣2x)=(3x+1)考点:解一元一次方程.专题:计算题.分析:这是一个带分母的方程,所以要先去分母,再去括号,最后移项,化系数为1,从而得到方程的解.解答:解:﹣7(1﹣2x)=3×2(3x+1)﹣7+14x=18x+6﹣4x=13x=﹣.点评:解一元一次方程的一般步骤是去分母、去括号、移项、合并同类项和系数化为1.此题去分母时,方程两端同乘各分母的最小公倍数时,不要漏乘没有分母的项,同时要把分子(如果是一个多项式)作为一个整体加上括号.8.解方程:(1)5(x﹣1)﹣2(x+1)=3(x﹣1)+x+1;(2).考点:解一元一次方程.专题:计算题.分析:(1)可采用去括号,移项,合并同类项,系数化1的方式进行;(2)本题方程两边都含有分数系数,如果直接通分,有一定的难度,但对每一个式子先进行化简、整理为整数形式,难度就会降低.解答:解:(1)5(x﹣1)﹣2(x+1)=3(x﹣1)+x+13x﹣7=4x﹣2∴x=﹣5;(2)原方程可化为:去分母得:40x+60=5(18﹣18x)﹣3(15﹣30x),去括号得:40x+60=90﹣90x﹣45+90x,移项、合并得:40x=﹣15,系数化为1得:x=.点评:(1)本题易在去分母、去括号和移项中出现错误,还可能会在解题前产生害怕心理.因为看到小数、分数比较多,学生往往不知如何寻找公分母,怎样合并同类项,怎样化简,所以我们要教会学生分开进行,从而达到分解难点的效果;(2)本题的另外一个重点是教会学生对于分数的分子、分母同时扩大或缩小若干倍,值不变.这一性质在今后常会用到.9.解方程:.考点:解一元一次方程.专题:计算题.分析:这是一个带分母的方程,所以要先去分母,再去括号,最后移项,化系数为1,从而得到方程的解.解答:解:,去分母得:2x﹣(3x+1)=6﹣3(x﹣1),去括号得:2x﹣3x﹣1=6﹣3x+3,移项、合并同类项得:2x=10,系数化为1得:x=5.点评:去分母时,方程两端同乘各分母的最小公倍数时,不要漏乘没有分母的项,同时要把分子(如果是一个多项式)作为一个整体加上括号.10.解方程:(1)4x﹣3(4﹣x)=2;(2)(x﹣1)=2﹣(x+2).考点:解一元一次方程.专题:计算题.分析:(1)先去括号,再移项,合并同类项,系数化1,即可求出方程的解;(2)先去分母,再去括号,移项,合并同类项,系数化1可求出方程的解.解答:解:(1)4x﹣3(4﹣x)=2去括号,得4x﹣12+3x=2移项,合并同类项7x=14系数化1,得x=2.(2)(x﹣1)=2﹣(x+2)去分母,得5(x﹣1)=20﹣2(x+2)去括号,得5x﹣5=20﹣2x﹣4移项、合并同类项,得7x=21系数化1,得x=3.点评:(1)此题主要是去括号,移项,合并同类项,系数化1.(2)方程两边每一项都要乘各分母的最小公倍数,方程两边每一项都要乘各分母的最小公倍数,切勿漏乘不含有分母的项,另外分数线有两层意义,一方面它是除号,另一方面它又代表着括号,所以在去分母时,应该将分子用括号括上.11.计算:(1)计算:(2)解方程:考点:解一元一次方程;有理数的混合运算.专题:计算题.分析:(1)根据有理数的混合运算法则计算:先算乘方、后算乘除、再算加减;(2)两边同时乘以最简公分母4,即可去掉分母.解答:解:(1)原式=,=,=.(2)去分母得:2(x﹣1)﹣(3x﹣1)=﹣4,解得:x=3.点评:解答此题要注意:(1)去分母时最好先去中括号、再去小括号,以减少去括号带来的符号变化次数;(2)去分母就是方程两边同时乘以分母的最简公分母.12.解方程:考点:解一元一次方程.专题:计算题.分析:(1)这是一个带分母的方程,所以要先去分母,再去括号,最后移项,化系数为1,从而得到方程的解.(2)解一元一次方程的一般步骤:去分母、去括号、移项、合并同类项、化系数为1.解答:解:(1)去分母得:3(3x﹣1)+18=1﹣5x,去括号得:9x﹣3+18=1﹣5x,移项、合并得:14x=﹣14,系数化为1得:x=﹣1;(2)去括号得:x﹣x+1=x,移项、合并同类项得:x=﹣1,系数化为1得:x=﹣.点评:本题考查解一元一次方程,正确掌握解一元一次方程的一般步骤,注意移项要变号、去分母时“1”也要乘以最小公倍数.13.解方程:(1)(2)考点:解一元一次方程.专题:计算题.分析:(1)去分母、去括号、移项、合并同类项、化系数为1.(2)去分母、去括号、移项、合并同类项、化系数为1.解答:(1)解:去分母得:5(3x+1)﹣2×10=3x﹣2﹣2(2x+3),去括号得:15x+5﹣20=3x﹣2﹣4x﹣6,移项得:15x+x=﹣8+15,合并得:16x=7,解得:;(2)解:,4(x﹣1)﹣18(x+1)=﹣36,4x﹣4﹣18x﹣18=﹣36,﹣14x=﹣14,x=1.点评:本题考查解一元一次方程,正确掌握解一元一次方程的一般步骤,注意移项要变号、去分母时“1”也要乘以最小公倍数.14.解方程:(1)5(2x+1)﹣2(2x﹣3)=6 (2)+2(3)[3(x﹣)+]=5x﹣1考点:解一元一次方程.专题:计算题.分析:(2)通过去括号、移项、合并同类项、系数化为1,解得x的值;(3)乘最小公倍数去分母即可;(4)主要是去括号,也可以把分数转化成整数进行计算.解答:解:(1)去括号得:10x+5﹣4x+6=6移项、合并得:6x=﹣5,方程两边都除以6,得x=﹣;(2)去分母得:3(x﹣2)=2(4﹣3x)+24,去括号得:3x﹣6=8﹣6x+24,移项、合并得:9x=38,方程两边都除以9,得x=;(3)整理得:[3(x﹣)+]=5x﹣1,4x﹣2+1=5x﹣1,移项、合并得:x=0.点评:一元一次方程的解法:一般要通过去分母、去括号、移项、合并同类项、未知数的系数化为1等步骤,把一个一元一次方程“转化”成x=a的形式.解题时,要灵活运用这些步骤.15.(A类)解方程:5x﹣2=7x+8;(B类)解方程:(x﹣1)﹣(x+5)=﹣;(C类)解方程:.考点:解一元一次方程.专题:计算题.分析:通过去分母、去括号、移项、系数化为1等方法,求得各方程的解.解答:解:A类:5x﹣2=7x+8移项:5x﹣7x=8+2化简:﹣2x=10即:x=﹣5;B类:(x﹣1)﹣(x+5)=﹣去括号:x﹣﹣x﹣5=﹣化简:x=5即:x=﹣;C类:﹣=1去分母:3(4﹣x)﹣2(2x+1)=6去括号:12﹣3x﹣4x﹣2=6化简:﹣7x=﹣4即:x=.点评:本题主要考查一元一次方程的解法,比较简单,但要细心运算.16.解方程(1)3(x+6)=9﹣5(1﹣2x)(2)(3)(4)考点:解一元一次方程.专题:计算题.分析:(1)去括号以后,移项,合并同类项,系数化为1即可求解;(2)(3)首先去掉分母,再去括号以后,移项,合并同类项,系数化为1以后即可求解;(4)首先根据分数的基本性质,把第一项分母中的0.3化为整数,再去分母,求解.解答:解:(1)去括号得:3x+18=9﹣5+10x移项得:3x﹣10x=9﹣5﹣18合并同类项得:﹣7x=﹣14则x=2;(2)去分母得:2x+1=x+3﹣5移项,合并同类项得:x=﹣3;(3)去分母得:10y+2(y+2)=20﹣5(y﹣1)去括号得:10y+2y+4=20﹣5y+5移项,合并同类项得:17y=21系数化为1得:;(4)原方程可以变形为:﹣5x=﹣1去分母得:17+20x﹣15x=﹣3移项,合并同类项得:5x=﹣20系数化为1得:x=﹣4.点评:解方程的过程中要注意每步的依据,这几个题目都是基础的题目,需要熟练掌握.17.解方程:(1)解方程:4x﹣3(5﹣x)=13(2)解方程:x﹣﹣3考点:解一元一次方程.专题:计算题.分析:(1)先去括号,再移项,化系数为1,从而得到方程的解.(2)这是一个带分母的方程,所以要先去分母,再去括号,最后移项,化系数为1,从而得解答:解:(1)去括号得:4x﹣15+3x=13,移项合并得:7x=28,系数化为1得:得x=4;(2)原式变形为x+3=,去分母得:5(2x﹣5)+3(x﹣2)=15(x+3),去括号得10x﹣25+3x﹣6=15x+45,移项合并得﹣2x=76,系数化为1得:x=﹣38.点评:本题考查解一元一次方程,解一元一次方程的一般步骤是:去分母、去括号、移项、合并同类项、化系数为1.注意移项要变号.18.(1)计算:﹣42×+|﹣2|3×(﹣)3(2)计算:﹣12﹣|0.5﹣|÷×[﹣2﹣(﹣3)2](3)解方程:4x﹣3(5﹣x)=2;(4)解方程:.考点:解一元一次方程;有理数的混合运算.分析:(1)利用平方和立方的定义进行计算.(2)按四则混合运算的顺序(3)主要是去括号,移项合并.(4)两边同乘最小公倍数去分母,再求值.解答:解:(1)﹣42×+|﹣2|3×(﹣)3==﹣1﹣1=﹣2.(2)﹣12﹣|0.5﹣|÷×[﹣2﹣(﹣3)2]====.(3)解方程:4x﹣3(5﹣x)=2去括号,得4x﹣15+3x)=2移项,得4x+3x=2+15合并同类项,得7x=17系数化为1,得.(4)解方程:去分母,得15x﹣3(x﹣2)=53×15去括号,得15x﹣3x+6=10x﹣25﹣45移项,得15x﹣3x﹣10x=﹣25﹣45﹣6合并同类项,得2x=﹣76系数化为1,得x=﹣38.点评:前两道题考查了学生有理数的混合运算,后两道考查了学生解一元一次方程的能力.19.(1)计算:(1﹣2﹣4)×;(2)计算:÷;(3)解方程:3x+3=2x+7;(4)解方程:.考点:解一元一次方程;有理数的混合运算.专题:计算题.分析:(1)和(2)要熟练掌握有理数的混合运算;(3)和(4)首先熟悉解一元一次方程的步骤:去分母,去括号,移项,合并同类项,系数化为1.解答:解:(1)(1﹣2﹣4)×=﹣=﹣13;(2)原式=﹣1×(﹣4﹣2)×(﹣=6×(﹣)=﹣9;(3)解方程:3x+3=2x+7移项,得3x﹣2x=7﹣3合并同类项,得x=4;(4)解方程:去分母,得6(x+15)=15﹣10(x﹣7)去括号,得6x+90=15﹣10x+70移项,得6x+10x=15+70﹣90合并同类项,得16x=﹣5系数化为1,得x=.点评:(1)和(2)要注意符号的处理;(4)要特别注意去分母的时候不要发生数字漏乘的现象,熟练掌握去括号法则以及合并同类项法则.20.解方程(1)﹣0.2(x﹣5)=1;(2).考点:解一元一次方程.分析:(1)通过去括号、移项、系数化为1等过程,求得x的值;(2)通过去分母以及去括号、移项、系数化为x的值.解答:解:(1)﹣0.2(x﹣5)=1;去括号得:﹣0.2x+1=1,∴﹣0.2x=0,∴x=0;(2).去分母得:2(x﹣2)+6x=9(3x+5)﹣(1﹣2x),∴﹣21x=48,∴x=﹣.点评:此题主要考查了一元一次方程解法,解一元一次方程常见的过程有去括号、移项、系数化为1等.21.解方程:(x+3)﹣2(x﹣1)=9﹣3x.考点:解一元一次方程.专题:计算题.分析:先去括号得x+3﹣2x+2=9﹣3x,然后移项、合并同类得到2x=4,然后把x的系数化为1即可.解答:解:去括号得x+3﹣2x+2=9﹣3x,移项得x﹣2x+3x=9﹣3﹣2,合并得2x=4,系数化为1得x=2.点评:本题考查了解一元一次方程:先去分母,再去项,把含未知数的项移到方程左边,不含未知数的项移到方程右边,然后合并同类项,最后把未知数的系数化为1得到原方程的解.22.8x﹣3=9+5x.5x+2(3x﹣7)=9﹣4(2+x)...考点:解一元一次方程.专题:方程思想.分析:本题是解4个不同的一元一次方程,第一个通过移项、合并同类项及系数化1求解.第二个先去括号再通过移项、合并同类项及系数化1求解.第三个先去分母再同第二个.第四个先分子分母乘以10,再同第三个求解.解答:8x﹣3=9+5x,解:8x﹣5x=9+3,3x=12,∴x=4.∴x=4是原方程的解;5x+2(3x﹣7)=9﹣4(2+x),解:5x+6x﹣14=9﹣8﹣4x,5x+6x+4x=9﹣8+14,15x=15,∴x=1是原方程的解..解:3(x﹣1)﹣2(2x+1)=12,3x﹣3﹣4x﹣2=12,3x﹣4x=12+3+2,﹣x=17,∴x=﹣17.∴x=﹣17是原方程的解.,解:,5(10x﹣3)=4(10x+1)+40,50x﹣15=40x+4+40,50x﹣40x=4+40+15,10x=59,∴x=.∴x=是原方程的解.点评:此题考查的知识点是解一元一次方程,关键是注意解方程时的每一步都要认真仔细,如移项时要变符号.23.解下列方程:(1)0.5x﹣0.7=5.2﹣1.3(x﹣1);(2)=﹣2.考点:解一元一次方分析:(1)首先去括号,然后移项、合并同类项,系数化成1,即可求解;(2)首先去分母,然后去括号,移项、合并同类项,系数化成1,即可求解解答:解:(1)去括号,得:0.5x﹣0.7=5.2﹣1.3x+1.3移项,得:0.5x+1.3x=5.2+1.3+0.7合并同类项,得:1.8x=7.2,则x=4;(2)去分母得:7(1﹣2x)=3(3x+1)﹣42,去括号,得:7﹣14x=9x+3﹣42,移项,得:﹣14x﹣9x=3﹣42﹣7,合并同类项,得:﹣23x=﹣46,则x=2.点评:本题考查解一元一次方程,解一元一次方程的一般步骤是:去分母、去括号、移项、合并同类项、化系数为1.注意移项要变号.24.解方程:(1)﹣0.5+3x=10;(2)3x+8=2x+6;(3)2x+3(x+1)=5﹣4(x﹣1);(4).考点:解一元一次方程.分析:(1)移项,合并同类项,然后系数化成1即可求解;(2)移项,合并同类项,然后系数化成1即可求解;(3)去括号、移项,合并同类项,然后系数化成1即可求解;(4)首先去分母,然后去括号、移项,合并同类项,然后系数化成1即可求解.解答:解:(1)3x=10.5,x=3.5;(2)3x﹣2x=6﹣8,x=﹣2;(3)2x+3x+3=5﹣4x+4,2x+3x+4x=5+4﹣3,9x=6,x=;(4)2(x+1)+6=3(3x﹣2),2x+2+6=9x﹣6,2x﹣9x=﹣6﹣2﹣6,﹣7x=﹣14,x=2.点评:本题考查解一元一次方程,解一元一次方程的一般步骤是:去分母、去括号、移项、合并同类项、化系数为1.注意移项要变号.25.解方程:.考点:解一元一次方程.专题:计算题.分析:方程两边乘以10去分母后,去括号,移项合并,将x系数化为1,即可求出解.解答:解:去分母得:5(3x﹣1)﹣2(5x﹣6)=2,去括号得:15x﹣5﹣10x+12=2,移项合并得:5x=﹣5,解得:x=﹣1.点评:此题考查了解一元一次方程,其步骤为:去分母,去括号,移项合并,将未知数系数化为1,求出解.26.解方程:(1)10x﹣12=5x+15;(2)考点:解一元一次方程.专题:计算题.分析:(1)先移项,再合并同类项,最后化系数为1,从而得到方程的解;(2)先去括号,再移项、合并同类项,最后化系数为1,从而得到方程的解.解答:解:(1)移项,得10x﹣5x=12+15,合并同类项,得5x=27,方程的两边同时除以5,得x=;(2)去括号,得=,方程的两边同时乘以6,得x+1=4x﹣2,移项、合并同类项,得3x=3,方程的两边同时除以3,得x=1.点评:本题考查解一元一次方程,解一元一次方程的一般步骤:去分母、去括号、移项、合并同类项、化系数为1.注意移项要变号.27.解方程:(1)8y﹣3(3y+2)=7(2).考点:解一元一次方程.专题:计算题.分析:(1)根据一元一次方程的解法,去括号,移项,合并同类项,系数化为1即可得解;(2)这是一个带分母的方程,所以要先去分母,再去括号,最后移项,合并同类项,系数化为1,从而得到方程的解.解答:解:(1)去括号得,8y﹣9y﹣6=7,移项、合并得,﹣y=13,系数化为1得,y=﹣13;(2)去分母得,3(3x﹣1)﹣12=2(5x﹣7),去括号得,9x﹣3﹣12=10x﹣14,移项得,9x﹣10x=﹣14+3+12,合并同类项得,﹣x=1,系数化为1得,x=﹣1.点评:本题主要考查了解一元一次方程,注意在去分母时,方程两端同乘各分母的最小公倍数时,不要漏乘没有分母的项,同时要把分子(如果是一个多项式)作为一个整体加上括号.28.当k 为什么数时,式子比的值少3.考点:解一元一次方程.专题:计算题.分析:先根据题意列出方程,再根据一元一次方程的解法,去分母,去括号,移项,合并同类项,系数化为1即可得解.解答:解:依题意,得=+3,去分母得,5(2k+1)=3(17﹣k)+45,去括号得,10k+5=51﹣3k+45,移项得,10k+3k=51+45﹣5,合并同类项得,13k=91,系数化为1得,k=7,∴当k=7时,式子比的值少3.点评:本题主要考查了解一元一次方程,注意在去分母时,方程两端同乘各分母的最小公倍数时,不要漏乘没有分母的项,同时要把分子(如果是一个多项式)作为一个整体加上括号.29.解下列方程:(I)12y﹣2.5y=7.5y+5(II ).考点:解一元一次方程.专题:计算题.分析:(Ⅰ)根据一元一次方程的解法,移项,合并同类项,系数化为1即可得解;(Ⅱ)是一个带分母的方程,所以要先去分母,再去括号,最后移项,合并同类项,系数化为1,从而得到方程的解.解答:解:(Ⅰ)移项得,12y﹣2.5y﹣7.5y=5,合并同类项得,2y=5,系数化为1得,y=2.5;(Ⅱ)去分母得,5(x+1)﹣10=(3x﹣2)﹣2(2x+3),去括号得,5x+5﹣10=3x﹣2﹣4x﹣6,移项得,5x﹣3x+4x=﹣2﹣6﹣5+10,合并同类项得,6x=﹣3,系数化为1得,x=﹣.点评:本题主要考查了解一元一次方程,注意在去分母时,方程两端同乘各分母的最小公倍数时,不要漏乘没有分母的项,同时要把分子(如果是一个多项式)作为一个整体加上括号.30.解方程:.考点:解一元一次方程.专题:计算题.分析:由于方程的分子、分母均有小数,利用分数的基本性质,分子、分母同时扩大相同的倍数,可将小数化成整数.解答:解:原方程变形为,(3分)去分母,得3×(30x﹣11)﹣4×(40x﹣2)=2×(16﹣70x),(4分)去括号,得90x﹣33﹣160x+8=32﹣140x,(5分)移项,得90x﹣160x+140x=32+33﹣8,(6分)合并同类项,得70x=57,(7分)系数化为1,得.(8分)点评:本题考查一元一次方程的解法.解一元一次方程的一般步骤:去分母,去括号,移项,合并同类项,系数化为1.本题的难点在于方程的分子、分母均有小数,将小数化成整数不同于去分母,不是方程两边同乘一个数,而是将分子、分母同乘一个数.。
初一七年级一元一次方程30题(含答案解析)之答禄夫天创作一.解答题(共30小题)1.(2005•宁德)解方程:2x+1=72.3.(1)解方程:4﹣x=3(2﹣x);(2)解方程:.4.解方程:.5.解方程(1)4(x﹣1)﹣3(20﹣x)=5(x﹣2);(2)x ﹣=2﹣.6.(1)解方程:3(x﹣1)=2x+3;(2)解方程:=x ﹣.7.﹣(1﹣2x)=(3x+1)8.解方程:(1)5(x﹣1)﹣2(x+1)=3(x﹣1)+x+1;(2).9.解方程:.10.解方程:(1)4x﹣3(4﹣x)=2;(2)(x﹣1)=2﹣(x+2).11.计算:(1)计算:(2)解方程:12.解方程:13.解方程:(1)(2)14.解方程:(1)5(2x+1)﹣2(2x﹣3)=6 (2)+2(3)[3(x ﹣)+]=5x﹣1 15.(A类)解方程:5x﹣2=7x+8;(B 类)解方程:(x﹣1)﹣(x+5)=﹣;(C 类)解方程:.16.解方程(1)3(x+6)=9﹣5(1﹣2x)(2)(3)(4)17.解方程:(1)解方程:4x﹣3(5﹣x)=13(2)解方程:x ﹣﹣318.(1)计算:﹣42×+|﹣2|3×(﹣)3(2)计算:﹣12﹣|0.5﹣|÷×[﹣2﹣(﹣3)2](3)解方程:4x﹣3(5﹣x)=2;(4)解方程:.19.(1)计算:(1﹣2﹣4)×;(2)计算:÷;(3)解方程:3x+3=2x+7;(4)解方程:.20.解方程(1)﹣0.2(x﹣5)=1;(2).21.解方程:(x+3)﹣2(x﹣1)=9﹣3x.22.8x﹣3=9+5x.5x+2(3x﹣7)=9﹣4(2+x)...23.解下列方程:(1)0.5x﹣0.7=5.2﹣1.3(x﹣1);(2)=﹣2.24.解方程:(1)﹣0.5+3x=10;(2)3x+8=2x+6;(3)2x+3(x+1)=5﹣4(x﹣1);(4).25.解方程:.26.解方程:(1)10x﹣12=5x+15;(2)27.解方程:(1)8y﹣3(3y+2)=7(2).28.当k 为什么数时,式子比的值少3.29.解下列方程:(I)12y﹣2.5y=7.5y+5(II ).30.解方程:.6.2.4解一元一次方程(三)参考答案与试题解析一.解答题(共30小题)1.(2005•宁德)解方程:2x+1=7考点:解一元一次方程.专题:计算题;压轴题.分析:此题直接通过移项,合并同类项,系数化为1可求解.解答:解:原方程可化为:2x=7﹣1合并得:2x=6系数化为1得:x=3点评:解一元一次方程,一般要通过去分母,去括号,移项,合并同类项,未知数的系数化为1等步调,把一个一元一次方程“转化”成x=a的形式.2.考点:解一元一次方程.专题:计算题.分析:这是一个带分母的方程,所以要先去分母,再去括号,最后移项,化系数为1,从而得到方程的解.解答:解:左右同乘12可得:3[2x﹣(x﹣1)]=8(x﹣1),化简可得:3x+3=8x﹣8,移项可得:5x=11,解可得x=.故原方程的解为x=.点评:若是分式方程,先同分母,转化为整式方程后,再移项化简,解方程可得答案.3.(1)解方程:4﹣x=3(2﹣x);(2)解方程:.考点:解一元一次方程.专题:计算题.分析:(1)先去括号,然后再移项、合并同类型,最后化系数为1,得出方程的解;(2)题的方程中含有分数系数,应先对各式进行化简、整理,然后再按(1)的步调求解.解答:解:(1)去括号得:4﹣x=6﹣3x,移项得:﹣x+3x=6﹣4,合并得:2x=2,系数化为1得:x=1.(2)去分母得:5(x﹣1)﹣2(x+1)=2,去括号得:5x﹣5﹣2x﹣2=2,移项得:5x﹣2x=2+5+2,合并得:3x=9,系数化1得:x=3.点评:(1)本题易在去分母、去括号和移项中出现错误,还可能会在解题前发生害怕心理.因为看到小数、分数比较多,学生往往不知如何寻找公分母,怎样合并同类项,怎样化简,所以我们要教会学生分开进行,从而达到分解难点的效果.(2)本题的另外一个重点是教会学生对于分数的分子、分母同时扩大或缩小若干倍,值不变.这一性质在今后常会用到.4.解方程:.考点:解一元一次方程.专题:计算题.分析:此题两边都含有分数,分母不相同,如果直接通分,有一定的难度,但将方程左右同时乘以公分母6,难度就会降低.解答:解:去分母得:3(2﹣x)﹣18=2x﹣(2x+3),去括号得:6﹣3x﹣18=﹣3,移项合并得:﹣3x=9,∴x=﹣3.点评:本题易在去分母和移项中出现错误,学生往往不知如何寻找公分母,怎样合并同类项,怎样化简,所以我们要教会学生分开进行,从而达到分解难点的效果.5.解方程(1)4(x﹣1)﹣3(20﹣x)=5(x﹣2);(2)x﹣=2﹣.考点:解一元一次方程.专题:计算题.分析:(1)先去括号,再移项、合并同类项、化系数为1,从而得到方程的解;(2)先去分母,再去括号,最后移项,化系数为1,从而得到方程的解.解答:解:(1)去括号得:4x﹣4﹣60+3x=5x﹣10(2分)移项得:4x+3x﹣5x=4+60﹣10(3分)合并得:2x=54(5分)系数化为1得:x=27;(6分)(2)去分母得:6x﹣3(x﹣1)=12﹣2(x+2)(2分)去括号得:6x﹣3x+3=12﹣2x﹣4(3分)移项得:6x﹣3x+2x=12﹣4﹣3(4分)合并得:5x=5(5分)系数化为1得:x=1.(6分)点评:去分母时,方程两端同乘各分母的最小公倍数时,不要漏乘没有分母的项,同时要把分子(如果是一个多项式)作为一个整体加上括号.去括号时要注意符号的变更.6.(1)解方程:3(x﹣1)=2x+3;(2)解方程:=x﹣.考点:解一元一次方程.专题:计算题.分析:(1)是简单的一元一次方程,通过移项,系数化为1即可得到;(2)是较为复杂的去分母,本题方程两边都含有分数系数,如果直接通分,有一定的难度,但对每一个式子先进行化简、整理为整数形式,难度就会降低.解答:解:(1)3x﹣3=2x+33x﹣2x=3+3x=6;(2)方程两边都乘以6得:x+3=6x﹣3(x﹣1)x+3=6x﹣3x+3x﹣6x+3x=3﹣3﹣2x=0∴x=0.点评:本题易在去分母、去括号和移项中出现错误,还可能会在解题前不知如何寻找公分母,怎样合并同类项,怎样化简,所以要学会分开进行,从而达到分解难点的效果.去分母时,方程两端同乘各分母的最小公倍数时,不要漏乘没有分母的项,同时要把分子(如果是一个多项式)作为一个整体加上括号.7.﹣(1﹣2x)=(3x+1)考点:解一元一次方程.专题:计算题.分析:这是一个带分母的方程,所以要先去分母,再去括号,最后移项,化系数为1,从而得到方程的解.解答:解:﹣7(1﹣2x)=3×2(3x+1)﹣7+14x=18x+6﹣4x=13x=﹣.点评:解一元一次方程的一般步调是去分母、去括号、移项、合并同类项和系数化为1.此题去分母时,方程两端同乘各分母的最小公倍数时,不要漏乘没有分母的项,同时要把分子(如果是一个多项式)作为一个整体加上括号.8.解方程:(1)5(x﹣1)﹣2(x+1)=3(x﹣1)+x+1;(2).考点:解一元一次方程.专题:计算题.分析:(1)可采取去括号,移项,合并同类项,系数化1的方式进行;(2)本题方程两边都含有分数系数,如果直接通分,有一定的难度,但对每一个式子先进行化简、整理为整数形式,难度就会降低.解答:解:(1)5(x﹣1)﹣2(x+1)=3(x﹣1)+x+13x﹣7=4x﹣2∴x=﹣5;(2)原方程可化为:去分母得:40x+60=5(18﹣18x)﹣3(15﹣30x),去括号得:40x+60=90﹣90x﹣45+90x,移项、合并得:40x=﹣15,系数化为1得:x=.点评:(1)本题易在去分母、去括号和移项中出现错误,还可能会在解题前发生害怕心理.因为看到小数、分数比较多,学生往往不知如何寻找公分母,怎样合并同类项,怎样化简,所以我们要教会学生分开进行,从而达到分解难点的效果;(2)本题的另外一个重点是教会学生对于分数的分子、分母同时扩大或缩小若干倍,值不变.这一性质在今后常会用到.9.解方程:.考点:解一元一次方程.专题:计算题.分析:这是一个带分母的方程,所以要先去分母,再去括号,最后移项,化系数为1,从而得到方程的解.解答:解:,去分母得:2x﹣(3x+1)=6﹣3(x﹣1),去括号得:2x﹣3x﹣1=6﹣3x+3,移项、合并同类项得:2x=10,系数化为1得:x=5.点评:去分母时,方程两端同乘各分母的最小公倍数时,不要漏乘没有分母的项,同时要把分子(如果是一个多项式)作为一个整体加上括号.10.解方程:(1)4x﹣3(4﹣x)=2;(2)(x﹣1)=2﹣(x+2).考点:解一元一次方程.专题:计算题.分析:(1)先去括号,再移项,合并同类项,系数化1,即可求出方程的解;(2)先去分母,再去括号,移项,合并同类项,系数化1可求出方程的解.解答:解:(1)4x﹣3(4﹣x)=2去括号,得4x﹣12+3x=2移项,合并同类项7x=14系数化1,得x=2.(2)(x﹣1)=2﹣(x+2)去分母,得5(x﹣1)=20﹣2(x+2)去括号,得5x﹣5=20﹣2x﹣4移项、合并同类项,得7x=21系数化1,得x=3.点评:(1)此题主要是去括号,移项,合并同类项,系数化1.(2)方程两边每一项都要乘各分母的最小公倍数,方程两边每一项都要乘各分母的最小公倍数,切勿漏乘不含有分母的项,另外分数线有两层意义,一方面它是除号,另一方面它又代表着括号,所以在去分母时,应该将分子用括号括上.11.计算:(1)计算:(2)解方程:考点:解一元一次方程;有理数的混合运算.专题:计算题.分析:(1)根据有理数的混合运算法则计算:先算乘方、后算乘除、再算加减;(2)两边同时乘以最简公分母4,即可去掉分母.解答:解:(1)原式=,=,=.(2)去分母得:2(x﹣1)﹣(3x﹣1)=﹣4,解得:x=3.点评:解答此题要注意:(1)去分母时最好先去中括号、再去小括号,以减少去括号带来的符号变更次数;(2)去分母就是方程两边同时乘以分母的最简公分母.12.解方程:考点:解一元一次方程.专题:计算题.分析:(1)这是一个带分母的方程,所以要先去分母,再去括号,最后移项,化系数为1,从而得到方程的解.(2)解一元一次方程的一般步调:去分母、去括号、移项、合并同类项、化系数为1.解答:解:(1)去分母得:3(3x﹣1)+18=1﹣5x,去括号得:9x﹣3+18=1﹣5x,移项、合并得:14x=﹣14,系数化为1得:x=﹣1;(2)去括号得:x﹣x+1=x,移项、合并同类项得:x=﹣1,系数化为1得:x=﹣.点评:本题考查解一元一次方程,正确掌握解一元一次方程的一般步调,注意移项要变号、去分母时“1”也要乘以最小公倍数.13.解方程:(1)(2)考点:解一元一次方程.专题:计算题.分析:(1)去分母、去括号、移项、合并同类项、化系数为1.(2)去分母、去括号、移项、合并同类项、化系数为1.解答:(1)解:去分母得:5(3x+1)﹣2×10=3x﹣2﹣2(2x+3),去括号得:15x+5﹣20=3x﹣2﹣4x﹣6,移项得:15x+x=﹣8+15,合并得:16x=7,解得:;(2)解:,4(x﹣1)﹣18(x+1)=﹣36,4x﹣4﹣18x﹣18=﹣36,﹣14x=﹣14,x=1.点评:本题考查解一元一次方程,正确掌握解一元一次方程的一般步调,注意移项要变号、去分母时“1”也要乘以最小公倍数.14.解方程:(1)5(2x+1)﹣2(2x﹣3)=6 (2)+2(3)[3(x﹣)+]=5x﹣1考点:解一元一次方程.专题:计算题.分析:(2)通过去括号、移项、合并同类项、系数化为1,解得x的值;(3)乘最小公倍数去分母即可;(4)主要是去括号,也可以把分数转化成整数进行计算.解答:解:(1)去括号得:10x+5﹣4x+6=6移项、合并得:6x=﹣5,方程两边都除以6,得x=﹣;(2)去分母得:3(x﹣2)=2(4﹣3x)+24,去括号得:3x﹣6=8﹣6x+24,移项、合并得:9x=38,方程两边都除以9,得x=;(3)整理得:[3(x﹣)+]=5x﹣1,4x﹣2+1=5x﹣1,移项、合并得:x=0.点评:一元一次方程的解法:一般要通过去分母、去括号、移项、合并同类项、未知数的系数化为1等步调,把一个一元一次方程“转化”成x=a的形式.解题时,要灵活运用这些步调.15.(A类)解方程:5x﹣2=7x+8;(B类)解方程:(x﹣1)﹣(x+5)=﹣;(C类)解方程:.考点:解一元一次方程.专题:计算题.分析:通过去分母、去括号、移项、系数化为1等方法,求得各方程的解.解答:解:A类:5x﹣2=7x+8移项:5x﹣7x=8+2化简:﹣2x=10即:x=﹣5;B类:(x﹣1)﹣(x+5)=﹣去括号:x﹣﹣x﹣5=﹣化简:x=5即:x=﹣;C类:﹣=1去分母:3(4﹣x)﹣2(2x+1)=6去括号:12﹣3x﹣4x﹣2=6化简:﹣7x=﹣4即:x=.点评:本题主要考查一元一次方程的解法,比较简单,但要细心运算.16.解方程(1)3(x+6)=9﹣5(1﹣2x)(2)(3)(4)考点:解一元一次方程.专题:计算题.分析:(1)去括号以后,移项,合并同类项,系数化为1即可求解;(2)(3)首先去掉分母,再去括号以后,移项,合并同类项,系数化为1以后即可求解;(4)首先根据分数的基赋性质,把第一项分母中的0.3化为整数,再去分母,求解.解答:解:(1)去括号得:3x+18=9﹣5+10x移项得:3x﹣10x=9﹣5﹣18合并同类项得:﹣7x=﹣14则x=2;(2)去分母得:2x+1=x+3﹣5移项,合并同类项得:x=﹣3;(3)去分母得:10y+2(y+2)=20﹣5(y﹣1)去括号得:10y+2y+4=20﹣5y+5移项,合并同类项得:17y=21系数化为1得:;(4)原方程可以变形为:﹣5x=﹣1去分母得:17+20x﹣15x=﹣3移项,合并同类项得:5x=﹣20系数化为1得:x=﹣4.点评:解方程的过程中要注意每步的依据,这几个题目都是基础的题目,需要熟练掌握.17.解方程:(1)解方程:4x﹣3(5﹣x)=13(2)解方程:x﹣﹣3考点:解一元一次方程.专题:计算题.分析:(1)先去括号,再移项,化系数为1,从而得到方程的解.(2)这是一个带分母的方程,所以要先去分母,再去括号,最后移项,化系数为1,从而得到方程的解.解答:解:(1)去括号得:4x﹣15+3x=13,移项合并得:7x=28,系数化为1得:得x=4;(2)原式变形为x+3=,去分母得:5(2x﹣5)+3(x﹣2)=15(x+3),去括号得10x﹣25+3x﹣6=15x+45,移项合并得﹣2x=76,系数化为1得:x=﹣38.点评:本题考查解一元一次方程,解一元一次方程的一般步调是:去分母、去括号、移项、合并同类项、化系数为1.注意移项要变号.18.(1)计算:﹣42×+|﹣2|3×(﹣)3(2)计算:﹣12﹣|0.5﹣|÷×[﹣2﹣(﹣3)2] (3)解方程:4x﹣3(5﹣x)=2;(4)解方程:.考点:解一元一次方程;有理数的混合运算.分析:(1)利用平方和立方的定义进行计算.(2)按四则混合运算的顺序进行计算.(3)主要是去括号,移项合并.(4)两边同乘最小公倍数去分母,再求值.解答:解:(1)﹣42×+|﹣2|3×(﹣)3 ==﹣1﹣1=﹣2.(2)﹣12﹣|0.5﹣|÷×[﹣2﹣(﹣3)2]====.(3)解方程:4x﹣3(5﹣x)=2去括号,得4x ﹣15+3x)=2移项,得4x+3x=2+15合并同类项,得7x=17系数化为1,得.(4)解方程:去分母,得15x ﹣3(x﹣2)=5(2x﹣5)﹣3×15去括号,得15x ﹣3x+6=10x﹣25﹣45移项,得15x﹣3x﹣10x=﹣25﹣45﹣6合并同类项,得2x=﹣76系数化为1,得x=﹣38.点评:前两道题考查了学生有理数的混合运算,后两道考查了学生解一元一次方程的能力.19.(1)计算:(1﹣2﹣4)×;(2)计算:÷;(3)解方程:3x+3=2x+7;(4)解方程:.考点:解一元一次方程;有理数的混合运算.专题:计算题.分析:(1)和(2)要熟练掌握有理数的混合运算;(3)和(4)首先熟悉解一元一次方程的步调:去分母,去括号,移项,合并同类项,系数化为1.解答:解:(1)(1﹣2﹣4)×=﹣=﹣13;(2)原式=﹣1×(﹣4﹣2)×(﹣)=6×(﹣)=﹣9;(3)解方程:3x+3=2x+7移项,得3x﹣2x=7﹣3合并同类项,得x=4;(4)解方程:去分母,得6(x+15)=15﹣10(x﹣7)去括号,得6x+90=15﹣10x+70移项,得6x+10x=15+70﹣90合并同类项,得16x=﹣5系数化为1,得x=.点评:(1)和(2)要注意符号的处理;(4)要特别注意去分母的时候不要发生数字漏乘的现象,熟练掌握去括号法则以及合并同类项法则.20.解方程(1)﹣0.2(x﹣5)=1;(2).考点:解一元一次方程.分析:(1)通过去括号、移项、系数化为1等过程,求得x的值;(2)通过去分母以及去括号、移项、系数化为1等过程,求得x的值.解答:解:(1)﹣0.2(x﹣5)=1;去括号得:﹣0.2x+1=1,∴﹣0.2x=0,∴x=0;(2).去分母得:2(x﹣2)+6x=9(3x+5)﹣(1﹣2x),∴﹣21x=48,∴x=﹣.点评:此题主要考查了一元一次方程解法,解一元一次方程罕见的过程有去括号、移项、系数化为1等.21.解方程:(x+3)﹣2(x﹣1)=9﹣3x.考点:解一元一次方程.专题:计算题.分析:先去括号得x+3﹣2x+2=9﹣3x,然后移项、合并同类得到2x=4,然后把x的系数化为1即可.解答:解:去括号得x+3﹣2x+2=9﹣3x,移项得x﹣2x+3x=9﹣3﹣2,合并得2x=4,系数化为1得x=2.点评:本题考查了解一元一次方程:先去分母,再去括号,接着移项,把含未知数的项移到方程左边,不含未知数的项移到方程右边,然后合并同类项,最后把未知数的系数化为1得到原方程的解.22.8x﹣3=9+5x.5x+2(3x﹣7)=9﹣4(2+x)...考点:解一元一次方程.专题:方程思想.分析:本题是解4个分歧的一元一次方程,第一个通过移项、合并同类项及系数化1求解.第二个先去括号再通过移项、合并同类项及系数化1求解.第三个先去分母再同第二个.第四个先分子分母乘以10,再同第三个求解.解答:8x﹣3=9+5x,解:8x﹣5x=9+3,3x=12,∴x=4.∴x=4是原方程的解;5x+2(3x﹣7)=9﹣4(2+x),解:5x+6x﹣14=9﹣8﹣4x,5x+6x+4x=9﹣8+14,15x=15,∴x=1.∴x=1是原方程的解..解:3(x﹣1)﹣2(2x+1)=12,3x﹣3﹣4x﹣2=12,3x﹣4x=12+3+2,﹣x=17,∴x=﹣17.∴x=﹣17是原方程的解.,解:,5(10x﹣3)=4(10x+1)+40,50x﹣15=40x+4+40,50x﹣40x=4+40+15,10x=59,∴x=.∴x=是原方程的解.点评:此题考查的知识点是解一元一次方程,关键是注意解方程时的每一步都要认真仔细,如移项时要变符号.23.解下列方程:(1)0.5x﹣0.7=5.2﹣1.3(x﹣1);(2)=﹣2.考点:解一元一次方程.分析:(1)首先去括号,然后移项、合并同类项,系数化成1,即可求解;(2)首先去分母,然后去括号,移项、合并同类项,系数化成1,即可求解解答:解:(1)去括号,得:0.5x﹣0.7=5.2﹣1.3x+1.3移项,得:0.5x+1.3x=5.2+1.3+0.7合并同类项,得:1.8x=7.2,则x=4;(2)去分母得:7(1﹣2x)=3(3x+1)﹣42,去括号,得:7﹣14x=9x+3﹣42,移项,得:﹣14x﹣9x=3﹣42﹣7,合并同类项,得:﹣23x=﹣46,则x=2.点评:本题考查解一元一次方程,解一元一次方程的一般步调是:去分母、去括号、移项、合并同类项、化系数为1.注意移项要变号.24.解方程:(1)﹣0.5+3x=10;(2)3x+8=2x+6;(3)2x+3(x+1)=5﹣4(x﹣1);(4).考点:解一元一次方程.分析:(1)移项,合并同类项,然后系数化成1即可求解;(2)移项,合并同类项,然后系数化成1即可求解;(3)去括号、移项,合并同类项,然后系数化成1即可求解;(4)首先去分母,然后去括号、移项,合并同类项,然后系数化成1即可求解.解答:解:(1)3x=10.5,x=3.5;(2)3x﹣2x=6﹣8,x=﹣2;(3)2x+3x+3=5﹣4x+4,2x+3x+4x=5+4﹣3,9x=6,x=;(4)2(x+1)+6=3(3x﹣2),2x+2+6=9x﹣6,2x﹣9x=﹣6﹣2﹣6,﹣7x=﹣14,x=2.点评:本题考查解一元一次方程,解一元一次方程的一般步调是:去分母、去括号、移项、合并同类项、化系数为1.注意移项要变号.25.解方程:.考点:解一元一次方程.专题:计算题.分析:方程两边乘以10去分母后,去括号,移项合并,将x系数化为1,即可求出解.解答:解:去分母得:5(3x﹣1)﹣2(5x﹣6)=2,去括号得:15x﹣5﹣10x+12=2,移项合并得:5x=﹣5,解得:x=﹣1.点评:此题考查了解一元一次方程,其步调为:去分母,去括号,移项合并,将未知数系数化为1,求出解.26.解方程:(1)10x﹣12=5x+15;(2)考点:解一元一次方程.专题:计算题.分析:(1)先移项,再合并同类项,最后化系数为1,从而得到方程的解;(2)先去括号,再移项、合并同类项,最后化系数为1,从而得到方程的解.解答:解:(1)移项,得10x﹣5x=12+15,合并同类项,得5x=27,方程的两边同时除以5,得x=;(2)去括号,得=,方程的两边同时乘以6,得x+1=4x﹣2,移项、合并同类项,得3x=3,方程的两边同时除以3,得x=1.点评:本题考查解一元一次方程,解一元一次方程的一般步调:去分母、去括号、移项、合并同类项、化系数为1.注意移项要变号.27.解方程:(1)8y﹣3(3y+2)=7(2).考点:解一元一次方程.专题:计算题.分析:(1)根据一元一次方程的解法,去括号,移项,合并同类项,系数化为1即可得解;(2)这是一个带分母的方程,所以要先去分母,再去括号,最后移项,合并同类项,系数化为1,从而得到方程的解.解答:解:(1)去括号得,8y﹣9y﹣6=7,移项、合并得,﹣y=13,系数化为1得,y=﹣13;(2)去分母得,3(3x﹣1)﹣12=2(5x﹣7),去括号得,9x﹣3﹣12=10x﹣14,移项得,9x﹣10x=﹣14+3+12,合并同类项得,﹣x=1,系数化为1得,x=﹣1.点评:本题主要考查了解一元一次方程,注意在去分母时,方程两端同乘各分母的最小公倍数时,不要漏乘没有分母的项,同时要把分子(如果是一个多项式)作为一个整体加上括号.28.当k 为什么数时,式子比的值少3.考点:解一元一次方程.专题:计算题.分析:先根据题意列出方程,再根据一元一次方程的解法,去分母,去括号,移项,合并同类项,系数化为1即可得解.解答:解:依题意,得=+3,去分母得,5(2k+1)=3(17﹣k)+45,去括号得,10k+5=51﹣3k+45,移项得,10k+3k=51+45﹣5,合并同类项得,13k=91,系数化为1得,k=7,∴当k=7时,式子比的值少3.点评:本题主要考查了解一元一次方程,注意在去分母时,方程两端同乘各分母的最小公倍数时,不要漏乘没有分母的项,同时要把分子(如果是一个多项式)作为一个整体加上括号.29.解下列方程:(I)12y﹣2.5y=7.5y+5(II ).考点:解一元一次方程.专题:计算题.分析:(Ⅰ)根据一元一次方程的解法,移项,合并同类项,系数化为1即可得解;(Ⅱ)是一个带分母的方程,所以要先去分母,再去括号,最后移项,合并同类项,系数化为1,从而得到方程的解.解答:解:(Ⅰ)移项得,12y﹣2.5y﹣7.5y=5,合并同类项得,2y=5,系数化为1得,y=2.5;(Ⅱ)去分母得,5(x+1)﹣10=(3x﹣2)﹣2(2x+3),去括号得,5x+5﹣10=3x﹣2﹣4x﹣6,移项得,5x﹣3x+4x=﹣2﹣6﹣5+10,合并同类项得,6x=﹣3,系数化为1得,x=﹣.点评:本题主要考查了解一元一次方程,注意在去分母时,方程两端同乘各分母的最小公倍数时,不要漏乘没有分母的项,同时要把分子(如果是一个多项式)作为一个整体加上括号.30.解方程:.考点:解一元一次方程.专题:计算题.分析:由于方程的分子、分母均有小数,利用分数的基赋性质,分子、分母同时扩大相同的倍数,可将小数化成整数.解答:解:原方程变形为,(3分)去分母,得3×(30x﹣11)﹣4×(40x﹣2)=2×(16﹣70x),(4分)去括号,得90x﹣33﹣160x+8=32﹣140x,(5分)移项,得90x﹣160x+140x=32+33﹣8,(6分)合并同类项,得70x=57,(7分)系数化为1,得.(8分)点评:本题考查一元一次方程的解法.解一元一次方程的一般步调:去分母,去括号,移项,合并同类项,系数化为1.本题的难点在于方程的分子、分母均有小数,将小数化成整数分歧于去分母,不是方程两边同乘一个数,而是将分子、分母同乘一个数.。
自我测试 60 分钟看看准确率 牛刀小试 相信自己一定行1、 2x +1=7 ;2、 5x -2=8 ;3、 3x +3=2x +7 ;4、 x +5=3x -7 ;解:(移项)(合并)(化系数为 1)5、 11x -2=14x -9 ;6、 x -9=4x +27 ;7、 2 x + 6=1;8、 10 x -3=9 ;解:(移项)(合并)(化系数为 1)9、 4x -2=3-x ; 10、 -7 x + 2=2x -4 ;11、 5x -2= 7x +8 ;12、 1 x =- 1 x +34 2解:(移项)(合并)(化系数为 113、 x = 3 x + 35 2 x + 1 x 21- x =3x + ; 15、 - x =- 2x - =- +16 14、 1; 16、 2 2 2 5 3 3解:(移项)(合并)(化系数为 1).( x +0.5)+ x =7 ( x -1)= 4 ( x -1)= 1 ; 20、 2-( 1- x )=- 217、 4 ; 18、-2 ; 19、 5 ;解:(去括号)(移项)(合并)(化系数为 1)11x +1=5(2x +1) 4x -(320- x )= 3 5( x +8)- 5=0 2 21、 ; 22、 . 23、 ; 24、 ;解:(去括号)(移项)(合并)(化系数为 1)25、 -3( x +3)= 24 ; 26、 - 2( x - 2)=12; 27、 12(2-3x )= 4x +4 ; 28、 6-(3 x + 2)= 2 ;3 3解:(去括号)(移项)(合并)(化系数为 1)29、 (2200-15x )= 70+25x ; + 2= x ; - x x30、 (32x +1)=12 .31、 x 32、 3 = +4 ;5 4 2 3解:(去分母)(去括号)(移项)(合并)(化系数为 1)1 1 1 12 x - x + 2 1 = -( x +1)= (2x -3) ( x +1)= ( x -1) 33、 3; 34、 4 ; 35、 3 4 ;7 3 解:(去分母) (去括号) (移项) (合并) (化系数为 1( x -1)= 2- ( x + 2) 37、 ( x +14)= ( x +20) ( x +15)= - ( x -7) 36、 1 1 . 1 1 ; 38、 1 1 1. 2 5 7 4 5 2 3解:(去分母)(去括号) (移项)(合并) (化系数为 11 1 3 7 x - 5 32 x - 5 x +1 1 9x -2 x -= = 1 = - =39、 ; 4 2 ; 40、 4 8; 41、 6 ; 42、 2 x 7 64 8解:(去分母)(去括号)(移项)(合并)(化系数为 11 12 x + 5 x - 1 x )= 1 - 143、 x - ( - 1 =1 (2 x +14)= 4-2x3 2 ; 44、 ; 45、 ;5 2 36 7解:(去分母)(去括号)(移项)(合并)(化系数为 146、 3( 200+ x )- 2(300- x )= 300 9 . 47、 (83x -1)-(95x -11)-(22x -7)=30 ;10 10 25解:(去分母)(去括号)(移项)(合并)(化系数为 148、 1 x + 1= 1 x - 1 ; 49、 0.5x -1- 0.1x +2=-1; 50、 x -1 - x + 2 =12 .2 3 4 5 0.2 0.3 0.3 0.5解:(化整)(去分母)(去括号)(移项)(合并)(化系数为 1【参考答案】1、【答案】 (1) x =3 ; (2) x = 2 ; (3) x =4 ; (4) x =6;( 5) x = 7 ; ( 6) x =-12 ; ( 7) x =4 ; (8) x =-32 . 31.1、【答案】 ( 9) x =- 5 ; ( 10) x = 6 ; ( 11) x =-5 ; ( 12) x =- 1 ; 2 5 3( 13) x =1; ( 14) x = 2 ; ( 15 ) x =- 5 ; ( ) x =1 . 3 3 162、【答案】( 17) x =1 ;(18) x =-1 ; (19) x = 6 ; ( 20 ) x =- 3 ; ( 21 ) x =4 ; ( ) x =9 .2252.1、【答案】(23) x =- 7 ; ( 24) x =- 3 ; (25) x =-11 ; (26) x =- 4 ; ( 27) x = 1 ;( 28) x = 10 ; 2 2 9 ( 29) x =6 ; ( ) x = 3 30 . 23、【答案】 ( 31) x =8 ; ( 32) x = 1 ; ( ) x =-16 ; ( 34) x =7 ; ( 35 ) x =- 2 ;5 33 5( 36) x =3 ; ( 37) x =- 28 ; (38) x =- 5 .163.1、【答案】 ( 39) x =5 ; ( 40) x = 13 ; ( ) x =-1 ;( ) x =- 20; ( 43) x = 25 ;14 41 42 3 12( 44) x =-3 ; ( 45) x = 7 ; ( 46) x =216 . 84、【答案】 ( 47) x =3 ; ( 48) x =- 32 ; ( 49) x =64 ; ( 50) x = 29 . 15 13 2。
七年级上册数学《第三章一元一次方程》专题一元一次方程中的新定义问题(解答题30题)1.用“△”定义一种新运算:对于任意有理数a和b,规定a△b=ab2+2ab+b,如:1△3=1×32+2×1×3+3=18.(1)求(﹣2)△3的值;(2)若x△(﹣3)=2x+2,求x的值.【分析】(1)原式利用题中的新定义化简,计算即可得到结果;(2)已知等式利用题中的新定义化简,计算即可求出x的值.【解答】解:(1)根据题中的新定义得:(﹣2)△3=(﹣2)×32+2×(﹣2)×3+3=﹣18+(﹣12)+3=﹣27;(2)由题意,得x×(﹣3)2+2×x×(﹣3)+(﹣3)=2x+2,整理,得:9x﹣6x﹣3=2x+2,解得:x=5.【点评】此题考查了解一元一次方程,以及有理数的混合运算,弄清题中的新定义是解本题的关键.2.用*定义一种新运算:对于任意有理数a和b,规定:a*b=ab2﹣2ab,如:2*1=2×12﹣2×2×1=﹣2.(1)求:(﹣2)*3;(2)若(x+1)*12=3,求x的值.【分析】(1)原式利用题中的新定义计算即可得到结果;(2)已知等式利用题中的新定义计算即可求出x的值.【解答】解:(1)根据题中的新定义得:原式=﹣2×32﹣2×(﹣2)×3=﹣2×9+2×2×3=﹣18+12=﹣6;(2)已知等式利用题中的新定义化简得:1 4(x+1)﹣2(x+1)×12=3,整理得:−34(x+1)=3,即x+1=﹣4,解得:x=﹣5.【点评】此题考查了解一元一次方程,以及有理数的混合运算,弄清题中的新定义是解本题的关键.3.若规定这样一种新运算法则:a*b=a2﹣4ab,如3*(﹣2)=32﹣4×3×(﹣2)=33.(1)求4*(﹣5)的值;(2)若(﹣6)*y=﹣11﹣y,求y的值.【分析】(1)根据a*b=a2﹣4ab,求出4*(﹣5)的值是多少即可.(2)根据(﹣6)*y=﹣11﹣y,可得36+24y=﹣11﹣y,据此求出y的值是多少即可.【解答】解:(1)4*(﹣5)=42﹣4×4×(﹣5)=16+80=96;(2)∵(﹣6)*y=﹣11﹣y,∴36+24y=﹣11﹣y,24y+y=﹣11﹣36,25y=﹣47,y=−4725.【点评】本题考查了解一元一次方程以及有理数的混合运算,掌握解一元一次方程的基本步骤是解答(2)的关键.4.用“※”定义一种新运算:对于任意有理数a和b,规定a※b=a(a+b).例如:1※2=1×(1+2)=1×3=3.(1)求(﹣3)※4的值;(2)若(﹣2)※(3x﹣2)=x+1,求x的值.【分析】(1)原式利用题中的新定义计算即可得到结果;(2)已知等式利用题中的新定义化简,计算即可求出x的值.【解答】解:(1)根据题中的新定义得:原式=(﹣3)×(﹣3+4)=﹣3×1=﹣3;(2)已知等式利用题中的新定义化简得:﹣2×(﹣2+3x﹣2)=x+1,即﹣2(3x﹣4)=x+1,去括号得:﹣6x+8=x+1,移项合并得:﹣7x=﹣7,解得:x=1.【点评】此题考查了解一元一次方程,以及有理数的混合运算,弄清题中的新定义是解本题的关键.5.我们规定一种新的运算“⊗”:a⊗b=a+ab﹣3b.例如:4⊗2=4+4×2﹣3×2=6,5⊗(﹣3)=5+5×(﹣3)﹣3×(﹣3)=﹣1.(1)(﹣1)⊗3=,(2x﹣1)⊗12=;(2)若4⊗(x+1)=(2x﹣1)⊗12,求x的值.【分析】(1)两式利用题中的新定义计算即可得到结果;(2)已知等式利用题中的新定义化简,计算即可求出x的值.【解答】解:(1)根据题中的新定义得:(﹣1)⊗3=﹣1﹣3﹣9=﹣13;(2x﹣1)⊗12=2x﹣1+12(2x﹣1)−32=3x﹣3;故答案为:﹣13,3x﹣3;(2)已知等式利用题中的新定义化简得:4+4(x+1)﹣3(x+1)=3x﹣3,去括号得:4+4x+4﹣3x﹣3=3x﹣3,移项合并得:﹣2x=﹣8,解得:x=4.【点评】此题考查了有理数的混合运算,弄清题中的新定义是解本题的关键.6.定义一种新运算“※”,其规则为x※y=xy﹣x+y.例如6※5=6×5﹣6+5=29.再如:(2a)※3=(2a)×3﹣2a+3.(1)计算5※6值为.(2)若(2m)※3=2※m,求m的值.(3)有理数的加法和乘法运算都满足交换律,即a+b=b+a,ab=ba,“※”运算是否满足交换律?若满足,请说明理由;若不满足,请举例说明.【分析】(1)原式利用题中的新定义计算即可求出值;(2)已知等式利用题中的新定义化简,计算即可求出m的值;(3)“※”不满足交换律,举例即可.【解答】解:(1)根据题中的新定义得:原式=5×6﹣5+6=30﹣5+6=31;故答案为:31;(2)根据题中的新定义化简得:6m﹣2m+3=2m﹣2+m,解得:m=﹣5;(3例如:2※3=6﹣2+3=7,3※2=6﹣3+2=5,即2※3≠3※2.【点评】此题考查了解一元一次方程,以及有理数的混合运算,弄清题中的新定义是解本题的关键.7.对于任意四个有理数a,b,c,d,可以组成两个有理数对(a,b)与(c,d).我们规定:(a,b)★(c,d)=bc﹣ad.例如:(1,2)★(3,4)=2×3﹣1×4=2.根据上述规定解决下列问题:(1)有理数对(3,﹣2)★(1,﹣2)=.(2)若有理数对(2,2x+1)★(1,2x﹣1)=7,求x的值.【分析】(1)根据规定直接计算求值;(2)根据规定计算得方程,求解即可.【解答】解:(1)(3,﹣2)★(1,﹣2)=(﹣2)×1﹣3×(﹣2)=﹣2+6=4;故答案为:4;(2)由题意,得(2x +1)×1﹣2(2x ﹣1)=7,2x +1﹣4x +2=7﹣2x =4.x =﹣2.【点评】本题考查了解一元一次方程及有理数的混合运算,掌握一元一次方程的解法和有理数的混合运算是解决本题的关键.8.用“⊕”定义一种新运算:对于任意有理数a 和b ,规定a ⊕b =ab 2+2ab +a .如:1⊕3=1×32+2×1×3+1=16.(1)则(﹣2)⊕3的值为;(2)若�+12⊕(−3)=8,求a 的值.【分析】(1(2)已知等式利用题中新定义化简,计算即可求出a 的值.【解答】解:(1)根据题中新定义得:(﹣2)⊕3=﹣2×32+2×(﹣2)×3+(﹣2)=﹣18﹣12﹣2=﹣32;故答案为:﹣32;(2)根据题中新定义得:�+12⊕(﹣3)=8,�+12×(﹣3)2+2×�+12×(﹣3)+�+12=8,整理得:4(a +1)=16,解得:a =3.【点评】此题考查了有理数的混合运算,弄清题中的新定义是解本题的关键.9.定义新运算:a⊗b=a+b,a⊕b=ab,等式右边是通常的加法、减法运算.(1)求(﹣2)⊗3+4⊕(﹣2)的值;(2)化简:a2b⊗3ab+5a2b⊕4ab;(3)若2x⊗1=(﹣x+2)⊕4,求x的值.【分析】(1)根据题意中给出的信息列式计算即可;(2)根据题意中给出的信息列式计算即可;(3)根据题意中给出的信息列出方程,解方程即可.【解答】解:(1)(﹣2)⊗3+4⊕(﹣2)=﹣2+3+4×(﹣2)=1+(﹣8)=﹣7;(2)a2b⊗3ab+5a2b⊕4ab=a2b+3ab+5a2b⋅4ab=a2b+3ab+20a3b2;(3)∵2x⊗1=(﹣x+2)⊕4,∴2x+1=4(﹣x+2),解得:�=7 6,∴x的值为7 6.【点评】本题主要考查了整式混合运算的应用,有理数混合运算的应用,解一元一次方程,解题的关键是读懂题意,熟练掌握运算法则,准确计算.10.现定义一种新运算“⊕”,规则如下:a⊕b=ab+2a.如2⊕3=2×3+2×2=10,且在运算过程中,有括号的要先算括号里面的.请解答下列问题:(1)求3⊕(﹣1)的值;(2)求(﹣2)⊕[(﹣4)⊕12]的值;(3)现改变上述运算规则:当a≥b时,a⊕b=ab+2a,当a<b时,a⊕b=ab﹣2a.若4⊕x=30,求x 的值.【分析】(1)根据a⊕b=ab+2a,进行计算即可解答;(2)根据a⊕b=ab+2a,进行计算即可解答;(3)分两种情况,当4≥x时,当4<x时.【解答】解:(1)3⊕(﹣1)=3×(﹣1)+2×3=﹣3+6=3;(2)(﹣2)⊕[(﹣4)⊕1 2 ]=(﹣2)⊕[(﹣4)×12+2×(﹣4)]=(﹣2)⊕(﹣10)=﹣2×(﹣10)+2×(﹣2)=20﹣4=16;(3)分两种情况:当4≥x时,4⊕x=30,4x+2×4=30,4x=22,x=112(舍去),当4<x时,4⊕x=30,4x﹣2×4=30,4x=38,x=192,综上所述:x的值为:19 2.【点评】本题考查了解一元一次方程,有理数的混合运算,理解材料中定义的新运算是解题的关键.11.“*”是新规定的这样一种运算法则:a*b=a2+2ab.比如3*(﹣2)=32+2×3×(﹣2)=﹣3(1)试求2*(﹣1)的值;(2)若2*x=2,求x的值;(3)若(﹣2)*(1*x )=x +9,求x 的值.【分析】(1)原式利用题中的新定义计算即可得到结果;(2)已知等式利用题中的新定义计算,即可求出x 的值;(3)已知等式利用题中的新定义计算,即可求出x 的值.【解答】解:(1)根据题中的新定义得:原式=4﹣4=0;(2)根据题中的新定义化简得:4+4x =2,解得:x =−12;(3)根据题中的新定义化简得:(﹣2)*(1+2x )=4﹣4(1+2x )=x +9,去括号得:4﹣4﹣8x =x +9,解得:x =﹣1.【点评】此题考查了解一元一次方程,熟练掌握运算法则是解本题的关键.12.(2022秋•香坊区期末)已知m ,n 为有理数,且m ≠0,若关于x 的一元一次方程mx ﹣n =0的解恰为x =2m +n ,则此方程称为“合并式方程”.例如:3x +9=0∵x =2×3+(﹣9)=﹣3,且x =﹣3是方程3x +9=0的解∴此方程3x +9=0为“合并式方程”,请根据上述定义解答下列问题:(1)一元一次方程14�−12=0是否是“合并式方程”?并说明理由;(2)关于x 的一元一次方程6x ﹣n =0是“合并式方程”,求n 的值.【分析】(1)根据“合并式方程”的定义进行判断即可;(2)根据“合并式方程”的定义可知x =12+n ,将x =12+n 代入方程6x ﹣n =0求解即可.【解答】解:(1)一元一次方程14�−12=0不是“合并式方程”,理由如下:∵x =2×14+12=1,且x =1不是一元一次方程14�−12=0的解,∴一元一次方程14�−12=0不是“合并式方程”;(2)∵关于x 的一元一次方程6x ﹣n =0是“合并式方程”,∴x =2×6+n =12+n ,且x =12+n 是方程6x ﹣n =0的解,∴6(12+n )﹣n =0,解得n =−725.【点评】本题考查了一元一次方程的解,新定义,理解新定义是解题的关键.13.对任意4个有理数a ,b ,c ,d ,定义新运算:����=ad ﹣bc .(1)计算:已知1435=;(2)若3�2�1=35,求x 的值;(3)若�34�2=2�521,求x 的值.【分析】(1)根据题意计算即可;(2)将3�2�1=35转化为一元一次方程解答;(3)中将两边同时化成一元一次方程,然后通过去括号、移项、系数化为1等过程,求得x 的值.【解答】解:(1)1435=1×5﹣3×4=5﹣12=﹣7,故答案为:﹣7;(2)∵3�2�1=35,∴1×3x ﹣2x =35,x =35;(3)∵�34�2=2�521,∴2x ﹣3×4x =1×2x ﹣2×5,∴2x ﹣12x =2x ﹣10,∴﹣12x =﹣10,∴x =−10−12=56.【点评】此题定义新运算,实际考查解一元一次方程的解法,解题的关键是掌握解一元一次方程的方法.14.定义:如果两个一元一次方程的解互为相反数,我们就称这两个方程为“兄弟方程”.如:方程2x =4和3x +6=0为“兄弟方程”.(1)若关于x 的方程5x +m =0与方程2x ﹣4=6是“兄弟方程”,求m 的值;(2)若某“兄弟方程”的两个解的差为8,其中一个解为n ,求n 的值.【分析】(1)关于x的方程5x+m=0与方程2x﹣4=6是“兄弟方程”,方程5x+m=0的解为x=﹣5,x =﹣5满足方程5x+m=0;(2)n=4或﹣4.【解答】解:(1)2x﹣4=6,得x=5,∵关于x的方程5x+m=0与方程2x﹣4=6是“兄弟方程”,∴方程5x+m=0的解为x=﹣5,∴5×(﹣5)+m=0,﹣25+m=0,∴m=25.(2)“兄弟方程”的另一个解为﹣n.∵两个解的差为8,∴n﹣(﹣n)=8或﹣n﹣n=8,∴n=4或﹣4.【点评】本题考查有关解一元一次方程、一元一次方程的解,解题的关键是知道解一元一次方程的方法.15.我们规定,若关于x的一元一次方程ax=b的解为x=b﹣a,则称该方程为“定值方程”.例如:2x=4的解为x=2=4﹣2,则该方程2x=4是“定值方程”.请根据上述规定解答下列问题:(1)判断方程4x=6(回答“是”或“不是”)“定值方程”;(2)若a=3,有符合要求的“定值方程”吗?若有,求b的值;若没有,请说明理由;(3)若关于x的一元一次方程2x=mn+m和﹣2x=mn+n都是“定值方程”,求代数式5﹣3m+3n的值.【分析】(1)解方程,并计算对应b﹣a的值与方程的解不相等,所以不是“定值方程”;(2)根据“定值方程”的定义进行解答即可;(3)根据“定值方程”的定义得出m﹣n的值,再利用整体代入的方法计算即可.【解答】解:(1)4x=6,解得:x=3 2,∵32≠6−4,∴方程4x=6不是“定值方程”;故答案为:不是;(2)有,理由如下:由题意3x =b ,则x =�3=�−3,则�=92;(3)由2x =mn +m 是“定值方程”,可得mn +m =4①,设﹣2x =c ,则x =−�2=�+2,解得�=−43,푚 + =−34②,①﹣②,地:m ﹣n =163,∴5﹣3m +3n =5﹣3(m ﹣n )=5−3×163=−11.【点评】本题考查了一元一次方程的解,读懂题意,理解“定值方程”的概念并根据概念列出方程是解题的关键.16.规定:若关于x 的一元一次方程ax =b 的解为x =b +a ,则称该方程为“和解方程”.例如:方程2x =﹣4的解为x =﹣2,而﹣2=﹣4+2,则方程2x =﹣4为“和解方程”.请根据上述规定解答下列问题:(1)已知关于x 的一元一次方程﹣3x =t 是“和解方程”,求t 的值;(2)已知关于x 的一元一次方程=mn +n 是“和解方程”,并且它的解是x =n (n ≠0),求m ,n 的值.【分析】(1)根据和解方程的定义即可得出关于m 的一元一次方程,解之即可得出结论;(2)根据和解方程的定义即可得出关于m 、n 的二元二次方程组,解之即可得出m 、n 的值.【解答】解:(1)∵﹣3x =t ,∴x =−�3.又∵关于x 的一元一次方程﹣3x =t 是“和解方程”,∴x =t +(﹣3),即x =t ﹣3,−�3=t ﹣3,解得t =94.答:t 的值是94.(2)∵4x =nm +nx =n (n ≠0),∴把x=n(n≠0)代入4x=mn+n,得4n=mn+n,∵n≠0,∴两边都除以n,得4=m+1,∴解得m=3,把m=3代入n=mn+n+4,解得n=−4 3,答:m的值是3,n的值是−4 3.【点评】本题考查了一元一次方程的解、解一元一次方程,解题的关键是:根据“和解方程“的定义列出关于m的一元一次方程求解.17.(2023春•浦东新区期末)我们规定,若关于x的一元一次方程ax=b的解为x=b﹣a,则称该方程为“奇异方程”.例如:2x=4的解为x=2=4﹣2,则该方程2x=4是“奇异方程”.请根据上述规定解答下列问题:(1)判断方程5x=﹣8(回答“是”或“不是”)“奇异方程”;(2)若a=3,有符合要求的“奇异方程”吗?若有,求b的值;若没有,请说明理由.【分析】(1)解方程,并计算对应b﹣a的值与方程的解不相等,所以不是奇异方程;(2)根据奇异方程的定义即可得出关于b的方程,解方程即可.【解答】解:(1)∵5x=﹣8,解得x=−8 5,∵﹣8﹣5=﹣13,﹣13≠−8 5,∴5x=﹣8不是奇异方程.故答案为:不是.(2)∵a=3,∴x=b﹣3,∴b﹣3=�3,∴b=9 2,即b=92时有符合要求的“奇异方程”.【点评】本题考查了一元一次方程的解,读懂题意,理解奇异方程的概念并根据概念列出方程是解题的关键.18.对于有理数a,b,定义两种新运算“※”与“◎”,规定:a※b=a2+2ab,a◎b=|a+b|﹣|a﹣b|,例如,2※(﹣1)=22+2×2×(﹣1)=0,(﹣2)※3=|﹣2+3|﹣|﹣2﹣3|=﹣4.(1)计算(﹣3)※2的值;(2)若a,b在数轴上的位置如图所示,化简a◎b;(3)若(﹣2)※x=2◎(﹣4)+3x,求x的值;(4)对于任意有理数m,n,请你定义一种新运算“★”,使得(﹣3)★5=4,直接写出你定义的运算:m★n=(用含m,n的式子表示).【分析】(1)原式利用题中的新定义计算即可求出值;(2)原式利用题中的新定义化简,根据绝对值的代数意义得到结果即可;(3(4)根据题意只要写出一个符合要求的式子即可,这是一道开放性题目,答案不唯一.【解答】解:(1)根据题中的新定义得:原式=(﹣3)2+2×(﹣3)×2=9﹣12=﹣3;(2)由a,b在数轴上位置,可得a+b<0,a﹣b<0,则a◎b=|a+b|﹣|a﹣b|=﹣a﹣b+a﹣b=﹣2b;(3)∵(﹣2)※x=2◎(﹣4)+3x,∴22﹣4x=2﹣6+3x,解得:x=8 7;(4)∵(﹣3)★5=4,∴m★n=m2﹣n,故答案为:m2﹣n.【点评】此题考查了有理数的混合运算,熟练掌握运算法则是解本题的关键.19.阅读材料:规定一种新的运算a ☆b ☆c =a +b ﹣ac .例如3☆2☆1=3+2﹣3×1=2.(1)按照这个规定,计算1☆2☆3的结果为;(2)按照这个规定,化简(x ﹣1)☆(x 2﹣2)☆3;(3)按照这个规定,当2☆x ☆3=4☆1☆x 时,x 的值为;(4)按照这个规定,若(1﹣x )☆(2x +1)☆(﹣2)=m ,12☆m ☆(m ﹣1)=2,则x 的值为2.【分析】(1)直接利用已知运算法则列式计算即可;(2)直接利用已知运算法则列式计算即可;(3)直接利用已知运算法则列方程解答即可;(4)直接利用已知运算法则列方程解答即可.【解答】解:(1)由题意可得:1☆2☆3=1+2﹣1×3=3﹣3=0,故答案为:0;(2)由题意可得:(x ﹣1)☆(x 2﹣2)☆3=(x ﹣1)+(x 2﹣2)﹣3(x ﹣1)=x ﹣1+x 2﹣2﹣3x +3=x 2﹣2x ;(3)由题意可得:2+x ﹣6=4+1x ,移项,得x +4x =4+1+6﹣2,合并同类项,得5x =9,系数化为1,得x =95;故答案为:95;(4)由题意可得:1﹣x +2x +1+2(1﹣x )=m ,解得m =4﹣x ,∴12☆m ☆(m ﹣1)=2可化为12☆(4﹣x )☆(3﹣x )=2,即12+4﹣x −12(3﹣x )=2,整理,得−12�=−1,解得x =2.故答案为:2.【点评】此题主要考查了一元一次方程的解法以及有理数的混合运算,正确掌握相关运算法则是解题关键.20.如果两个方程的解相差k ,且k 为正整数,则称解较大的方程为另一个方程的“k 的后移方程”.例如:方程x ﹣3=0的解是x =3,方程x ﹣1=0的解是x =1.所以:方程x ﹣3=0是方程x ﹣1=0的“2的后移方程”.(1)判断方程2x ﹣3=0是否为方程2x ﹣1=0的k 的后移方程(填“是”或“否”);(2)若关于x 的方程2x +m +n =0是关于x 的方程2x +m =0的“2的后移方程”,求n 的值;(3)若关于x 的方程5x +b =1是关于x 的方程5x +c =1的“3的后移方程”,求2b ﹣2(c +3)的值.【分析】(1)求出两个方程的解,利用“后移方程”的定义判断即可;(2)分别表示出两个方程的解,根据“后移方程”的定义列出关于n 的方程,求出方程的解即可得到n 的值;(3)分别表示出两个方程的解,根据“后移方程”的定义列出关系式即可.【解答】解:(1)解方程2x ﹣3=0,得x =32,解方程2x ﹣1=0,得x =12,∵32−12=1,∴方程2x ﹣3=0是方程2x ﹣1=0的k 的后移方程;故答案为:是;(2)解方程2x +m +n =0,x =−푚− 2,解方程2x +m =0,x =−푚2,∵关于x 的方程2x +m +n =0是关于x 的方程2x +m =0的“2的后移方程”,∴−푚− 2−−푚2=2,∴n =﹣4;(3)解方程5x +b =1得x =1−�5,解方程5x +c =1得x =1−�5,∵方程5x +b =1是方程5x +c =1的“3的后移方程”,∴1−�5−1−�5=3,∴b ﹣c =﹣15,∴2b ﹣2(c +3)=2b ﹣2c ﹣6=2(b ﹣c )﹣6=﹣30﹣6=﹣36.【点评】此题考查了一元一次方程的解,弄清题中“后移方程”的定义是解本题的关键.21.(2022秋•朔州月考)定义:如果两个一元一次方程的解之和为0、我们就称这两个方程为“互补方程”.例如:方程2x +5=﹣1和�3=1为“互补方程”.(1)方程3x ﹣7=8与方程�−32+1=﹣3“互补方程”.(请填入“是”或“不是”)(2)若关于x 的方程�2+m =2与方程3x ﹣2=x +6是“互补方程”,求m 的值.(3)若关于x 的方程2x ﹣1=4k ﹣3与5�−34−�=32是“互补方程”,求k 的值.及关于y 的方程�2022=7k +3的解.【分析】(1)分别求得两个方程的解,再利用“互补方程”的定义进行判断即可;(2)分别求得两个方程的解,利用“互补方程”的定义列出关于m 的方程解答即可;(3)分别求得两个方程的解,利用“互补方程”的定义列出关于k 的方程,求得k 的值,代入方程�2022=7k +3,然后解关于y 的方程即可.【解答】解:(1)由3x ﹣7=8,解得x =5;由�−32+1=﹣3,解得x =﹣5.∵﹣5+5=0,∴方程3x ﹣7=8与方程�−32+1=﹣3是“互补方程”.故答案为:是;(2)由�2+m =2,解得x =4﹣2m ;由3x ﹣2=x +6解得x =4.∵关于x 的方程�2+m =2与方程3x ﹣2=x +6是“互补方程”,∴4﹣2m +4=0,解得m =4.(3)由2x ﹣1=4k ﹣3,解得x =2k ﹣1;由5�−34−�=32,解得x =4�+95;∵关于x 的方程2x ﹣1=4k ﹣3与5�−34−�=32是“互补方程”,∴2k ﹣1+4�+95=0,解得k =−27,∴关于y 的方程为�2022=−2+3,解得y =2022.【点评】本题主要考查了一元一次方程的解,解一元一次方程,利用互补方程的意义解答是解题的关键,本题是新定义型,理解并熟练应用新定义解答也是解题的关键.22.(2022秋•郴州期末)定义:如果两个一元一次方程的解的和为1,我们就称这两个方程为“集团方程”,例如:方程4x =8和x +1=0为“集团方程”.(1)若关于x 的方程3x +m =0与方程4x ﹣1=x +8是“集团方程”,求m 的值;(2)若“集团方程”的两个解的差为6,其中一个较大的解为n ,求n 的值;(3)若关于x 的一元一次方程12022�+3=2�+�和12022�+1=0是“集团方程”,求关于y 的一元一次方程12022(�+1)+3=2�+2+�的解.【分析】(1)先表示两个方程的解,再求值.(2)根据条件建立关于n 的方程,再求值.(3)先求k ,再解方程.【解答】解:(1)∵3x +m =0,∴�=−푚3.∵4x ﹣1=x +8,∴x =3.∵关于x的方程3x+m=0与方程4x﹣1=x+8是“集团方程”,∴−푚3+3=1,∴m=6;(2)∵“集团方程”的两个解和为1,∴另一个方程的解是1﹣n,∵两个解的差是6,且n为较大的解,∴n﹣(1﹣n)=6,∴ =7 2.(3)∵1 2022�+1=0,∴x=﹣2022.∵关于x的一元一次方程12022�+3=2�+�和12022�+1=0是“集团方程”,∴关于x的一元一次方程12022�+3=2�+�的解为:x=1﹣(﹣2022)=2023.∵关于y的一元一次方程12022(�+1)+3=2�+2+�可化为:12022(�+1)+3=2(�+1)+�,令y+1=x=2023,∴y=2022.23.已知关于x的一元一次方程ax+b=0(其中a≠0,a、b为常数),若这个方程的解恰好为x=a﹣b,则称这个方程为“恰解方程”,例如:方程2x+4=0的解为x=﹣2,恰好为x=2﹣4,则方程2x+4=0为“恰解方程”.(1)已知关于x的一元一次方程3x+k=0是“恰解方程”,则k的值为;(2)已知关于x的一元一次方程﹣2x=mn+n是“恰解方程”,且解为x=n(n≠0).求m,n的值;(3)已知关于x的一元一次方程3x=mn+n是“恰解方程”.求代数式3(mn+2m2﹣n)﹣(6m2+mn)+5n的值.【分析】(1)利用“恰解方程”的定义,得出关于k的一元一次方程,解方程即可得出k的值;(2)将x=n代入方程可得﹣2n=mn+n,由﹣2x=mn+n是“恰解方程”得出x=﹣2+mn+n,再结合x =n,即可求出m,n的值;(3)根据“恰解方程”的定义得出mn +n =−92,把3(mn +2m 2﹣n )﹣(6m 2+mn )+5n 化简后代入计算即可.【解答】解:(1)解方程3x +k =0得:x =−�3,∵3x +k =0是“恰解方程”,∴x =3﹣k ,∴−�3=3﹣k ,解得:k =92,故答案为:92;(2)∵﹣2x =mn +n 是“恰解方程”,∴x =﹣2+mn +n ,∴n =2+mn +n ,∴mn =2,∵x =n ,∴﹣2n =mn +n ,解得:n =−23,把n =−23代入mn =2,解得:m =﹣3;(3)解方程3x =mn +n 得:x =푚 + 3,∵方程3x =mn +n 是“恰解方程”,∴x =3+mn +n ,∴푚 + 3=3+mn +n ,∴mn +n =−92,∴3(mn +2m 2﹣n )﹣(6m 2+mn )+5n=3mn +6m 2﹣3n ﹣6m 2﹣mn +5n=2mn+2n=2(mn+n)=2×(−9 2)=﹣9.【点评】本题考查了一元一次方程的解,理解“恰解方程”的定义是解题的关键.24.(2023秋•东台市期中)阅读下列材料,并完成相应的任务.定义:如果两个一元一次方程的解之和为1,我们就称这两个方程为“美好方程”.例如:方程4x=8与方程y+1=0为“美好方程”.(1)请判断方程4x﹣(x+5)=1与方程﹣2y﹣y=3是否为“美好方程”,请说明理由;(2)若关于x的方程3x+m=0与方程4y﹣2=y+10是“关好方程”,求m的值;(3)若“美好方程”的两个解的差为8,其中一个解为n,求n的值.【分析】(1)分别求得两个方程的解,利用“美好方程”的定义判断即可;(2)分别求得两个方程的解,利用“美好方程”的定义列出关于m的方程,解答即可;(3)分别求得两个方程的解,利用“美好方程”的定义列出关于n的方程解答即可.【解答】解:(1)方程4x﹣(x+5)=1与方程﹣2y﹣y=3互为“美好方程”,理由如下:解方程4x﹣(x+5)=1得x=2解方程﹣2y﹣y=3得y=﹣1,∵x+y=2+(﹣1)=1,∴方程4x﹣(x+5)=1与方程﹣2y﹣y=3互为“美好方程”;(2)关于x的方程3x+m=0的解为:x=−푚3,方程4y﹣2=y+10的解为:y=4,∵关于x的方程3x+m=0与方程4y﹣2=y+10是“关好方程”,∴−푚3+4=1,∴m=9;(3)∵“美好方程”的两个解的和为1,∴另一个方程的解为:1﹣n,∵两个解的差为8,∴1﹣n﹣n=8或n﹣(1﹣n)=8,∴n=−72或92.【点评】本题考查了一元一次方程的解,利用“美好方程”的定义找到方程解的关系是解题的关键.25.(2023秋•南岗区校级期中)定义一种新运算“▲”,其运算方式如下:2▲1=4×2﹣3×1=51▲(﹣3)=4×1﹣3×(﹣3)=13(﹣5)▲(﹣2)=4×(﹣5)﹣3×(﹣2)=﹣14…观察式子的运算方式,请解决下列问题:(1)这种运算方式是:m▲n=(用含m,n的式子表示);(2)解方程3▲(2▲x)=2▲x;(3)若关于x的方程3▲(ax﹣1)=6的解为整数,求整数a的值;【分析】(1)根据给定的新运算的法则,进行计算即可;(2)根据新运算的法则,列出方程进行求解即可;(3)根据新运算的法则,列出方程进行求解,根据解为整数,求出a的值即可.【解答】解:(1)由题意,得:m▲n=4m﹣3n;故答案为:4m﹣3n;(2)2▲x=4×2﹣3x=8﹣3x,∴3▲(2▲x)=3▲(8﹣3x)=4×3﹣3⋅(8﹣3x)=9x﹣12,∵3▲(2▲x)=2▲x,即:9x﹣12=8﹣3x,解得:�=5 3;(3)3▲(ax﹣1)=6,即:4×3﹣3(ax﹣1)=6,解得:�=3�,∵方程的解为整数,∴3�为整数,又a为整数,∴a=﹣3,﹣1,1,3.【点评】本题考查定义新运算,一元一次方程的应用.解题的关键是理解并掌握新运算的法则,正确的列出一元一次方程.26.新定义:如果两个一元一次方程的解互为相反数,就称这两个方程为“友好方程”,如:方程2x=6和3x+9=0为“友好方程”.(1)若关于x的方程3x+m=0与方程2x﹣6=4是“友好方程”,求m的值.(2)若某“友好方程”的两个解的差为6,其中一个解为n,求n的值.【分析】(1)求得方程2x﹣6=4解为x=5,利用“友好方程”的定义得到方程3x+m=0的解,利用方程解的定义解答即可;(2)利用“友好方程”的定义得到方程的另一个解为﹣n,再利用定义列出关于n的等式解答即可.【解答】解:(1)方程2x﹣6=4解为x=5,∵关于x的方程3x+m=0与方程2x﹣6=4是“友好方程”,∴关于x的方程3x+m=0的解为x=﹣5,∴3×(﹣5)+m=0,∴m=15;(2)∵某“友好方程”的一个解为n,∴“友好方程”的另一个解为﹣n,∴n﹣(﹣n)=6或﹣n﹣n=6,∴n=3或n=﹣3.∴n=±3.【点评】本题主要考查了一元一次方程的解,解一元一次方程,本题是阅读型题目,理解新定义并熟练应用新定义解答是解题的关键.27.(2022秋•于都县期末)我们规定关于x的一元一次方程ax=b的解为x=b﹣a,则称该方程是“差解方程”,例如:3x=4.5的解为x=4.5﹣3=1.5,则该方程3x=4.5就是“差解方程”,请根据上述规定解答下列问题:【定义理解】(1)判断:方程2x=4差解方程;(填“是”或“不是”)(2)若关于x的一元一次方程4x=m是“差解方程”,求m的值;【知识应用】(3)已知关于x 的一元一次方程4x =ab +a 是“差解方程”,则3(ab +a )=.(4)已知关于x 的一元一次方程4x =mn +m 和﹣2x =mn +m 都是“差解方程”,求代数式3(mn +m )﹣9(mn +n )2的值.【分析】(1)根据差解方程的定义判断即可;(2)根据差解方程的定义即可得出关于m 的一元一次方程,解之即可得出结论;(3)根据差解方程的定义即可得出关于a 、b 的二元二次方程,整理即可得出;(4)根据差解方程的概念列式得到关于m 、n 的两个方程,联立求解得到m 、n 的关系,得出3(mn +m )=16,9(mn +n )2=16,然后代入代数式进行计算即可求解.【解答】解:(1)∵方程2x =4的解为x =2=4﹣2,∴方程2x =4是差解方程.故答案为:是;(2)由题意可知x =m ﹣4,由一元一次方程可知�=푚4,∴푚−4=푚4,解得푚=163;(3)∵方程4x =ab +a 是“差解方程”,∴x =ab +a ﹣4,解方程4x =ab +a ,得�=��+�4,∴��+�−4=��+�4,∴3ab +3a =16,即3(ab +a )=16.故答案为:16;(4)∵一元一次方程4x =mn +m 是“差解方程”,∴x =mn +m ﹣4,解方程一元一次方程4x =mn +m 得�=푚 +푚4∴푚 +푚−4=푚 +푚4,整理得3(mn +m )=16,∵一元一次方程﹣2x =mm +m 是“差解方程”,∴x =mn +m +2,解方程一元一次方程﹣2x =mm +m 得�=−푚 +푚2∴푚 +푚+2=−푚 +푚2,整理得9(mn +n )2=16,∴3(mn +m )﹣9(mm +n )2=16﹣16=0.【点评】本题考查了一元一次方程的解,解题的关键是读懂题意,理解差解方程的概念并根据概念列出方程.28.定义:关于x 的方程ax +b =0的解为x =a +b ,则称这样的方程是“和合方程”.如:x −12=0的解x =12=1+(−12),3x −94=0的解x =34=3+(−94)都是“和合方程”.(1)判断方程﹣2x +4=0是不是“和合方程”?说明理由;(2)若关于x 的方程mx +n ﹣m =0是“和合方程”,求方程2(mn +n )y ﹣4=2(my +1)+3y 的解.【分析】(1)由“和合方程”定义即可判断;(2)根据“和合方程”定义解方程即可得出答案.【解答】解:(1)方程﹣2x +4=0是“和合方程”,理由如下:由﹣2x +4=0得x =2,而a +b =﹣2+4=2,∴x =a +b ,∴方程﹣2x +4=0是“和合方程”;(2)mx +n ﹣m =0,解得:x =푚− 푚,∵关于x 的方程mx +n ﹣m =0是“和合方程”,∴x =m +n ﹣m =n ,∴푚− 푚=n ,∴m ﹣n =mn ,2(mn +n )y ﹣4=2(my +1)+3y ,2(m ﹣n +n )y ﹣4=2my +2+3y ,3y =﹣6,∴y =﹣2.【点评】本题考查一元二次方程的解,解题的关键是理解“和合方程”的定义.29.(2022秋•雨花区校级月考)如果两个方程的解相差a ,a 为正整数,则称解较大的方程为另一个方程的“a ﹣稻香方程”,例如:方程x ﹣2=0是方程x +3=0的“5﹣稻香方程”.(1)若方程2x =5x ﹣12是方程3(x ﹣1)=x +1的“a ﹣稻香方程”,则a =;(2)若关于x 的方程x −�−2푚3=n ﹣1是关于x 的方程2(x ﹣2mn )﹣m =3n ﹣3的“m ﹣稻香方程”(m >0),求n 的值;(3)当a ≠0时,如果关于x 方程ax +b =1是方程ax +c ﹣1=0的“3﹣稻香方程”,求代数式6x +2b ﹣2(c +3)的值.【分析】(1)先分别解方程2x =5x ﹣12、3(x ﹣1)=x +1,再根据“a ﹣稻香方程”的定义即可求解;(2)解关于x 方程x −�−2푚3=n ﹣1,再根据“m ﹣稻香方程”的定义进行计算可以得解;(3)依据题意,先解方程ax +b =1和ax +c ﹣1=0,再根据“3﹣稻香方程”的定义,求出x ,b ,c ,即可求解.【解答】(1)解:2x =5x ﹣12,∴﹣3x =﹣12.∴x =4.又3(x ﹣1)=x +1,∴x =2.∵方程2x =5x ﹣12是方程3(x ﹣1)=x +1的“a ﹣稻香方程”,∴a =4﹣2=2.故答案为:2.(2)解:解关于x 方程x −�−2푚3=n ﹣1,得x =3 −3−2푚2,解关于x 的方程2(x ﹣2mn )﹣m =3n ﹣3,得x =4푚 +푚+3 −32,关于x 的方程x −�−2푚3=n ﹣1是关于x 的方程2(x ﹣2mn )﹣m =3n ﹣3的“m ﹣稻香方程”(m >0),∴3 −3−2푚2−4푚 +푚+3 −32=m .整理得﹣4mn =5m ,又m >0,∴﹣4n =5.∴n =−54.(3)解:∵a ≠0,∴关于x 方程ax +b =1的解是x =1−��,关于x 方程ax +c ﹣1=0的解是x =1−��,∵关于x 方程ax +b =1是方程ax +c ﹣1=0的“3﹣稻香方程”,∴1−��−1−��=3.∴3a +b =c .∴6a +2b ﹣2(c +3)=2(3a +b )﹣2c ﹣6=2c ﹣2c ﹣6=﹣6.【点评】本题为新定义问题,考查了一元一次方程的解法,理解新定义,熟练解一元一次方程是解题关键.30.(2023春•石狮市校级月考)定义:如果两个一元一次方程的解之和为1,我们就称这两个方程为“美好方程”.例如:方程4x =8和+1=0为“美好方程”.(1)若关于x 的方程3x +m =0与方程4x ﹣2=x +10是“美好方程”,则m =;若“美好方程”的两个解的差为5,其中一个解为n ,则n =.(2)若关于x 的方程�2+푚=0与方程3�−25=�+푚2是“美好方程”,求m 的值;(3)若关于x 的一元一次方程12022�+3=2�+�和12022�+1=0是“美好方程”,求关于y 的一元一次方程12022(�+1)+3=2�+�+2的解.【分析】(1)分别求得两个方程的解,利用“美好方程”的定义列出关于m 的方程和n 的方程解答即可;(2)分别求得两个方程的解,利用“美好方程”的定义列出关于m 的方程解答即可;(3)求得方程12022�+1=0的解,利用“美好方程”的定义得到方程12022�+3=2�+�的解,将关于y 的方程12022(�+1)+3=2�+�+2变形,利用同解方程的定义即可得到y +1的值,从而求得方程的解.【解答】解:(1)∵方程4x ﹣2=x +10的解为x =4,方程3x +m =0的解为�=−푚3,而方程3x +m =0与方程4x ﹣2=x +10是互为“美好方程”,∴−푚3+4=1,∴m =9;∵“美好方程”的一个解为n ,则另一个解为1﹣n ,依题意得1﹣n ﹣n =5或n ﹣(1﹣n )=5,解得n =2或n =3.故答案为:9;2或3;(2)解:关于x 的方程�2+푚=0的解为x =﹣2m ,方程3�−25=�+푚2的解为x =5m +4,∵关于x 的方程�2+푚=0与方程3�−25=�+푚2是“美好方程”,∴﹣2m +5m +4=1,∴m =﹣1;(3)解:方程12022�+1=0的解为x =﹣2022,∵关于x 的方程12022�+3=2�+�和12022�+1=0是“美好方程”,∴关于x 的方程12022�+3=2�+�的解为x =2023.∵关于y 的方程12022(�+1)+3=2�+�+2就是12022(�+1)+3=2(�+1)+�,∴y +1=x =2023,∴y =2022.∴关于y 的方程12022(�+1)+3=2�+�+2的解为:y =2022.【点评】本题主要考查了一元一次方程的解,解一元一次方程,利用同解方程的意义解答是解题的关键,本题是新定义型,理解并熟练应用新定义解答也是解题的关键.。
自我测试 60分钟看看准确率牛刀小试 相信自己一定行1、712=+x ; 2、825=-x ; 3、7233+=+x x ; 4、735-=+x x ; 解:(移项)(移项)(合并)(合并) (化系数为1)5、914211-=-x x ; 6、2749+=-x x ;7、162=+x ; 8、9310=-x ; 解:(移项)(移项) (合并)(合并) (化系数为1)9、x x -=-324; 10、4227-=+-x x ;11、8725+=-x x ;12、32141+=-x x解:(移项)(移项) (合并)(合并)(化系数为113、1623+=x x 14、253231+=-x x ;15、152+=--x x ; 16、23312+=--x x解:(移项)(移项) (合并)(合并) (化系数为1).17、 475.0=)++(x x ; 18、2-41)=-(x ; 19、511)=-(x ; 20、212)=---(x ; 解:(去括号)(去括号) (移项)(移项) (合并)(合并) (化系数为1)21、)12(5111+=+x x ; 22、32034)=-(-x x . 23、5058=)-+(x ; 24、293)=-(x ; 解:(去括号)(去括号) (移项)(移项) (合并)(合并)(化系数为1) 25、3-243)=+(x ; 26、2-122)=-(x ; 27、443212+)=-(x x ; 28、323236)=+(-x ; 解:(去括号)(去括号)(移项)(移项) (合并)(合并)(化系数为1)29、x x 2570152002+)=-(; 30、12123)=+(x .31、452x x =+; 32、3423+=-x x ; 解:(去分母)(去分母)(去括号)(去括号) (移项)(移项) (合并)(合并) (化系数为1)33、)-()=+(3271131x x ; 34、)-()=+(131141x x ; 35、142312-+=-x x ;解:(去分母)(去分母)(去括号)(去括号) (移项)(移项) (合并)(合并) (化系数为136、)+(-)=-(2512121x x . 37、)+()=+(20411471x x ; 38、)-(-)=+(731211551x x . 解:(去分母)(去分母)(去括号)(去括号) (移项)(移项) (合并)(合并) (化系数为139、432141=-x ; 40、83457=-x ; 41、815612+=-x x ; 42、629721-=-x x ; 解:(去分母)(去分母)(去括号)(去括号) (移项)(移项) (合并)(合并) (化系数为1 43、1232151)=-(-x x ; 44、1615312=--+x x ; 45、x x 2414271-)=+(; 解:(去分母)(去分母)(去括号)(去括号) (移项)(移项) (合并)(合并) (化系数为146、259300300102200103´)=-()-+(x x .47、307221159138)=-()--()--(x x x ; 解:(去分母)(去分母)(去括号)(去括号) (移项)(移项) (合并)(合并) (化系数为148、51413121-=+x x ; 49、13.021.02.015.0=-+--x x ; 50、3.01-x -5.02+x =12. 解:(化整)(化整)(去分母)(去分母) (去括号)(去括号) (移项)(移项) (合并)(合并) (化系数为1【参考答案】1、【答案】 (1)3=x ; (2)2=x ; (3)4=x ; (4)6=x ;(5)37=x ; (6)12=-x ; (7)4=x ; (8)32=-x .1.1、【答案】 (9)25=-x ;(10)56=x ; (11)5=-x ; (12)31=-x ;(13)1=x ; (14)32=x ;(15)35=-x ; (16)1=x . 2、【答案】(17)1=x ;(18)1=-x ; (19)56=x ;(20)3=-x ; (21)4=x ; (22)9=x . 2.1、【答案】(23)7=-x ; (24)23=-x ; (25)11=-x ;(26)4=-x ; (27)21=x ; (28)910=x ;(29)6=x ; (30)23=x .3、【答案】 (31)8=x ; (32)51=x ;(33)16=-x ; (34)7=x ; (35)52=-x ;(36)3=x ;(37)28=-x ; (38)165=-x .3.1、【答案】 (39)5=x ; (40)1413=x ;(41)1=-x ; (42)320=-x ; (43)1225=x ; (44)3=-x ; (45)87=x ;(46)216=x .4、【答案】 (47)3=x ; (48)1532=-x ; (49)1364=x ; (50)229=x .。
初一数学一元一次方程试题答案及解析1.(1)解不等式:5(x-2)+8<7-6(x-1)(2)若(1)中的不等式的最大整数解是方程2x-ax=3的解,求a的值.【答案】(1)x<;(2)a=-1.【解析】(1)根据不等式的解法:先去括号移项,然后合并同类项,系数化为1,求出不等式的解;(2)根据(1)所求的不等式的解,可得方程2x-ax=3的解为1,代入求a的值.试题解析:(1)去括号得:5x-10+8<7-6x+6,移项合并同类项得:11x<15,系数化为1得:x<;(2)由(1)得,方程2x-ax=3的解为1,将x=1代入得:2-a=3,解得:a=-1.【考点】1.解一元一次不等式;2.一元一次方程的解;3.一元一次不等式的整数解.2.初一(19)班有48名同学,其中有男同学名,将他们编成1号、2号、…,号。
在寒假期间,1号给3名同学打过电话,2号给4名同学打过电话,3号给5名同学打过电话,…,号同学给一半同学打过电话,由此可知该班女同学的人数是()A.22B.24C.25D.26【答案】D.【解析】已知初一(19)班有48名同学,则一半学生数为24,根据1号给3=2+1名同学打过电话,2号给4=2+2名同学打过电话,3号给5=2+3名同学打过电话,…,号同学给一半同学打过电话,求解即可.∵初一(19)班有48名同学,∴一半学生数为24,∵1号给3=2+1名同学打过电话,2号给4=2+2名同学打过电话,3号给5=2+3名同学打过电话,…,号同学给一半同学打过电话,∴,则该班女同学的人数是48-22=26人,故选D.【考点】应用类问题.3.的倒数与互为相反数,那么的值是()A.B.C.3D.-3【答案】C【解析】由题意可知,解得,故选C.4.若方程的解为,则的值为( )A.B.C.D.【答案】C【解析】将代入中,得,解得故选C.5.江南生态食品加工厂收购了一批质量为的某种山货,根据市场需求对其进行粗加工和精加工处理,已知精加工的该种山货质量比粗加工的质量倍还多,求粗加工的该种山货质量.【答案】【解析】解:设粗加工的该种山货质量为,根据题意,得,解得.答:粗加工的该种山货质量为.6.右面是“美好家园”购物商场中“飘香”洗发水的价格标签,请你在横线上填出它的现价.【答案】28.8【解析】设出洗发水的现价是x元,直接得出有关原价的一元一次方程,再进行求解.设洗发水的现价为x元,由题意得:0.8×36=x,解得:x=28.8(元).故答案为:28.8元.7.若当时,代数式的值为,那么当时,该代数式的值是_______.【答案】5.【解析】∵代入可得,解得:.把,代入代数式得:=.故答案为:5.【考点】1.解一元一次方程;2.代数式求值.8.义洁中学计划从荣威公司购买A、B两种型号的小黑板,经洽谈,购买一块A型小黑板比买一块B型小黑板多用20元.且购买5块A型小黑板和4块B型小黑板共需820元.(1)求购买一块A型小黑板、一块B型小黑板各需要多少元?(2)根据义洁中学实际情况,需从荣威公司购买A、B两种型号的小黑板共60块,要求购买A、B两种型号小黑板的总费用不超过5240元.并且购买A型小黑板的数量应大于购买A、B种型号小黑板总数量的.请你通过计算,求出义洁中学从荣威公司购买A、B两种型号的小黑板有哪几种方案?【答案】(1)购买一块A型小黑板需要l00元,购买一块8型小黑板需要l20元;(2)有两种购买方案:方案一:购买A型小黑板21块,购买8型小黑板39块;方案二:购买A型小黑板22块。
初一七年级一元一次方程30题(含答案解析)一.解答题(共30小题)1.(2005•宁德)解方程:2x+1=72.3.(1)解方程:4﹣x=3(2﹣x);(2)解方程:.4.解方程:.5.解方程(1)4(x﹣1)﹣3(20﹣x)=5(x﹣2);(2)x ﹣=2﹣.6.(1)解方程:3(x﹣1)=2x+3;(2)解方程:=x ﹣.7.﹣(1﹣2x)=(3x+1)8.解方程:(1)5(x﹣1)﹣2(x+1)=3(x﹣1)+x+1;(2).9.解方程:.10.解方程:(1)4x﹣3(4﹣x)=2;(2)(x﹣1)=2﹣(x+2).11.计算:(1)计算:(2)解方程:12.解方程:13.解方程:(1)(2)14.解方程:(1)5(2x+1)﹣2(2x﹣3)=6(2)+2(3)[3(x ﹣)+]=5x﹣115.(A类)解方程:5x﹣2=7x+8;(B 类)解方程:(x﹣1)﹣(x+5)=﹣;(C 类)解方程:.16.解方程(1)3(x+6)=9﹣5(1﹣2x)(2)(3)(4)17.解方程:(1)解方程:4x﹣3(5﹣x)=13(2)解方程:x ﹣﹣318.(1)计算:﹣42×+|﹣2|3×(﹣)3(2)计算:﹣12﹣|﹣|÷×[﹣2﹣(﹣3)2](3)解方程:4x﹣3(5﹣x)=2;(4)解方程:.19.(1)计算:(1﹣2﹣4)×;(2)计算:÷;(3)解方程:3x+3=2x+7;(4)解方程:.20.解方程(1)﹣(x﹣5)=1;(2).21.解方程:(x+3)﹣2(x﹣1)=9﹣3x.22.8x﹣3=9+5x.5x+2(3x﹣7)=9﹣4(2+x)...23.解下列方程:(1)﹣=﹣(x﹣1);(2)=﹣2.24.解方程:(1)﹣+3x=10;(2)3x+8=2x+6;(3)2x+3(x+1)=5﹣4(x﹣1);(4).25.解方程:.26.解方程:(1)10x﹣12=5x+15;(2)27.解方程:(1)8y﹣3(3y+2)=7(2).28.当k 为什么数时,式子比的值少3.29.解下列方程:(I)12y﹣=+5(II ).30.解方程:.解一元一次方程(三)参考答案与试题解析一.解答题(共30小题)1.(2005•宁德)解方程:2x+1=7考点:解一元一次方程.专题:计算题;压轴题.分析:此题直接通过移项,合并同类项,系数化为1可求解.解答:解:原方程可化为:2x=7﹣1合并得:2x=6系数化为1得:x=3点评:解一元一次方程,一般要通过去分母,去括号,移项,合并同类项,未知数的系数化为1等步骤,把一个一元一次方程“转化”成x=a的形式.2.考点:解一元一次方程.专题:计算题.分析:这是一个带分母的方程,所以要先去分母,再去括号,最后移项,化系数为1,从而得到方程的解.解答:解:左右同乘12可得:3[2x﹣(x﹣1)]=8(x﹣1),化简可得:3x+3=8x﹣8,移项可得:5x=11,解可得x=.故原方程的解为x=.点评:若是分式方程,先同分母,转化为整式方程后,再移项化简,解方程可得答案.3.(1)解方程:4﹣x=3(2﹣x);(2)解方程:.考点:解一元一次方程.专题:计算题.分析:(1)先去括号,然后再移项、合并同类型,最后化系数为1,得出方程的解;(2)题的方程中含有分数系数,应先对各式进行化简、整理,然后再按(1)的步骤求解.解答:解:(1)去括号得:4﹣x=6﹣3x,移项得:﹣x+3x=6﹣4,合并得:2x=2,系数化为1得:x=1.(2)去分母得:5(x﹣1)﹣2(x+1)=2,去括号得:5x﹣5﹣2x﹣2=2,移项得:5x﹣2x=2+5+2,合并得:3x=9,系数化1得:x=3.点评:(1)本题易在去分母、去括号和移项中出现错误,还可能会在解题前产生害怕心理.因为看到小数、分数比较多,学生往往不知如何寻找公分母,怎样合并同类项,怎样化简,所以我们要教会学生分开进行,从而达到分解难点的效果.(2)本题的另外一个重点是教会学生对于分数的分子、分母同时扩大或缩小若干倍,值不变.这一性质在今后常会用到.4.解方程:.考点:解一元一次方程.专题:计算题.分析:此题两边都含有分数,分母不相同,如果直接通分,有一定的难度,但将方程左右同时乘以公分母6,难度就会降低.解答:解:去分母得:3(2﹣x)﹣18=2x﹣(2x+3),去括号得:6﹣3x﹣18=﹣3,移项合并得:﹣3x=9,∴x=﹣3.点评:本题易在去分母和移项中出现错误,学生往往不知如何寻找公分母,怎样合并同类项,怎样化简,所以我们要教会学生分开进行,从而达到分解难点的效果.5.解方程(1)4(x﹣1)﹣3(20﹣x)=5(x﹣2);(2)x﹣=2﹣.考点:解一元一次方程.专题:计算题.分析:(1)先去括号,再移项、合并同类项、化系数为1,从而得到方程的解;(2)先去分母,再去括号,最后移项,化系数为1,从而得到方程的解.解答:解:(1)去括号得:4x﹣4﹣60+3x=5x﹣10(2分)移项得:4x+3x﹣5x=4+60﹣10(3分)合并得:2x=54(5分)系数化为1得:x=27;(6分)(2)去分母得:6x﹣3(x﹣1)=12﹣2(x+2)(2分)去括号得:6x﹣3x+3=12﹣2x﹣4(3分)移项得:6x﹣3x+2x=12﹣4﹣3(4分)合并得:5x=5(5分)系数化为1得:x=1.(6分)点评:去分母时,方程两端同乘各分母的最小公倍数时,不要漏乘没有分母的项,同时要把分子(如果是一个多项式)作为一个整体加上括号.去括号时要注意符号的变化.6.(1)解方程:3(x﹣1)=2x+3;(2)解方程:=x﹣.考点:解一元一次方程.专题:计算题.分析:(1)是简单的一元一次方程,通过移项,系数化为1即可得到;(2)是较为复杂的去分母,本题方程两边都含有分数系数,如果直接通分,有一定的难度,但对每一个式子先进行化简、整理为整数形式,难度就会降低.解答:解:(1)3x﹣3=2x+33x﹣2x=3+3x=6;(2)方程两边都乘以6得:x+3=6x﹣3(x﹣1)x+3=6x﹣3x+3x﹣6x+3x=3﹣3﹣2x=0∴x=0.点评:本题易在去分母、去括号和移项中出现错误,还可能会在解题前不知如何寻找公分母,怎样合并同类项,怎样化简,所以要学会分开进行,从而达到分解难点的效果.去分母时,方程两端同乘各分母的最小公倍数时,不要漏乘没有分母的项,同时要把分子(如果是一个多项式)作为一个整体加上括号.7.﹣(1﹣2x)=(3x+1)考点:解一元一次方程.专题:计算题.分析:这是一个带分母的方程,所以要先去分母,再去括号,最后移项,化系数为1,从而得到方程的解.解答:解:﹣7(1﹣2x)=3×2(3x+1)﹣7+14x=18x+6﹣4x=13x=﹣.点评:解一元一次方程的一般步骤是去分母、去括号、移项、合并同类项和系数化为1.此题去分母时,方程两端同乘各分母的最小公倍数时,不要漏乘没有分母的项,同时要把分子(如果是一个多项式)作为一个整体加上括号.8.解方程:(1)5(x﹣1)﹣2(x+1)=3(x﹣1)+x+1;(2).考点:解一元一次方程.专题:计算题.分析:(1)可采用去括号,移项,合并同类项,系数化1的方式进行;(2)本题方程两边都含有分数系数,如果直接通分,有一定的难度,但对每一个式子先进行化简、整理为整数形式,难度就会降低.解答:解:(1)5(x﹣1)﹣2(x+1)=3(x﹣1)+x+13x﹣7=4x﹣2∴x=﹣5;(2)原方程可化为:去分母得:40x+60=5(18﹣18x)﹣3(15﹣30x),去括号得:40x+60=90﹣90x﹣45+90x,移项、合并得:40x=﹣15,系数化为1得:x=.点评:(1)本题易在去分母、去括号和移项中出现错误,还可能会在解题前产生害怕心理.因为看到小数、分数比较多,学生往往不知如何寻找公分母,怎样合并同类项,怎样化简,所以我们要教会学生分开进行,从而达到分解难点的效果;(2)本题的另外一个重点是教会学生对于分数的分子、分母同时扩大或缩小若干倍,值不变.这一性质在今后常会用到.9.解方程:.考点:解一元一次方程.专题:计算题.分析:这是一个带分母的方程,所以要先去分母,再去括号,最后移项,化系数为1,从而得到方程的解.解答:解:,去分母得:2x﹣(3x+1)=6﹣3(x﹣1),去括号得:2x﹣3x﹣1=6﹣3x+3,移项、合并同类项得:2x=10,系数化为1得:x=5.点评:去分母时,方程两端同乘各分母的最小公倍数时,不要漏乘没有分母的项,同时要把分子(如果是一个多项式)作为一个整体加上括号.10.解方程:(1)4x﹣3(4﹣x)=2;(2)(x﹣1)=2﹣(x+2).考点:解一元一次方程.专题:计算题.分析:(1)先去括号,再移项,合并同类项,系数化1,即可求出方程的解;(2)先去分母,再去括号,移项,合并同类项,系数化1可求出方程的解.解答:解:(1)4x﹣3(4﹣x)=2去括号,得4x﹣12+3x=2移项,合并同类项7x=14系数化1,得x=2.(2)(x﹣1)=2﹣(x+2)去分母,得5(x﹣1)=20﹣2(x+2)去括号,得5x﹣5=20﹣2x﹣4移项、合并同类项,得7x=21系数化1,得x=3.点评:(1)此题主要是去括号,移项,合并同类项,系数化1.(2)方程两边每一项都要乘各分母的最小公倍数,方程两边每一项都要乘各分母的最小公倍数,切勿漏乘不含有分母的项,另外分数线有两层意义,一方面它是除号,另一方面它又代表着括号,所以在去分母时,应该将分子用括号括上.11.计算:(1)计算:(2)解方程:考点:解一元一次方程;有理数的混合运算.专题:计算题.分析:(1)根据有理数的混合运算法则计算:先算乘方、后算乘除、再算加减;(2)两边同时乘以最简公分母4,即可去掉分母.解答:解:(1)原式=,=,=.(2)去分母得:2(x﹣1)﹣(3x﹣1)=﹣4,解得:x=3.点评:解答此题要注意:(1)去分母时最好先去中括号、再去小括号,以减少去括号带来的符号变化次数;(2)以分母的最简公分母.12.解方程:考点:解一元一次方程.专题:计算题.分析:(1)这是一个带分母的方程,所以要先去分母,再去括号,最后移项,化系数为1,从而得到方程的解.(2)解一元一次方程的一般步骤:去分母、去括号、移项、合并同类项、化系数为1.解答:解:(1)去分母得:3(3x﹣1)+18=1﹣5x,去括号得:9x﹣3+18=1﹣5x,移项、合并得:14x=﹣14,系数化为1得:x=﹣1;(2)去括号得:x﹣x+1=x,移项、合并同类项得:x=﹣1,系数化为1得:x=﹣.点评:本题考查解一元一次方程,正确掌握解一元一次方程的一般步骤,注意移13.解方程:(1)(2)考点:解一元一次方程.专题:计算题.分析:(1)去分母、去括号、移项、合并同类项、化系数为1.(2)去分母、去括号、移项、合并同类项、化系数为1.解答:(1)解:去分母得:5(3x+1)﹣2×10=3x﹣2﹣2(2x+3),去括号得:15x+5﹣20=3x﹣2﹣4x﹣6,移项得:15x+x=﹣8+15,合并得:16x=7,解得:;(2)解:,4(x﹣1)﹣18(x+1)=﹣36,4x﹣4﹣18x﹣18=﹣36,﹣14x=﹣14,x=1.点评:本题考查解一元一次方程,正确掌握解一元一次方程的一般步骤,注意移14.解方程:(1)5(2x+1)﹣2(2x﹣3)=6(2)+2(3)[3(x﹣)+]=5x﹣1考点:解一元一次方程.专题:计算题.分析:(2)通过去括号、移项、合并同类项、系数化为1,解得x的值;(3)乘最小公倍数去分母即可;(4)主要是去括号,也可以把分数转化成整数进行计算.解答:解:(1)去括号得:10x+5﹣4x+6=6移项、合并得:6x=﹣5,方程两边都除以6,得x=﹣;(2)去分母得:3(x﹣2)=2(4﹣3x)+24,去括号得:3x﹣6=8﹣6x+24,移项、合并得:9x=38,方程两边都除以9,得x=;(3)整理得:[3(x﹣)+]=5x﹣1,移项、合并得:x=0.点评:一元一次方程的解法:一般要通过去分母、去括号、移项、合并同类项、未知数的系数化为1等步骤,把一个一元一次方程“转化”成x=a的形式.解题时,要灵活运用这些步骤.15.(A类)解方程:5x﹣2=7x+8;(B类)解方程:(x﹣1)﹣(x+5)=﹣;(C类)解方程:.考点:解一元一次方程.专题:计算题.分析:通过去分母、去括号、移项、系数化为1等方法,求得各方程的解.解答:解:A类:5x﹣2=7x+8移项:5x﹣7x=8+2化简:﹣2x=10即:x=﹣5;B类:(x﹣1)﹣(x+5)=﹣去括号:x﹣﹣x﹣5=﹣化简:x=5即:x=﹣;=1去分母:3(4﹣x)﹣2(2x+1)=6去括号:12﹣3x﹣4x﹣2=6化简:﹣7x=﹣4即:x=.点评:本题主要考查一元一次方程的解法,比较简单,但要细心运算.16.解方程(1)3(x+6)=9﹣5(1﹣2x)(2)(3)(4)考点:解一元一次方程.专题:计算题.分析:(1)去括号以后,移项,合并同类项,系数化为1即可求解;(2)(3)首先去掉分母,再去括号以后,移项,合并同类项,系数化为1以后即可求解;(4)首先根据分数的基本性质,把第一项分母中的化为整数,再去分母,求解.解答:解:(1)去括号得:3x+18=9﹣5+10x移项得:3x﹣10x=9﹣5﹣18合并同类项得:﹣7x=﹣14则x=2;(2)去分母得:2x+1=x+3﹣5移项,合并同类项得:x=﹣3;(3)去分母得:10y+2(y+2)=20﹣5(y﹣1)去括号得:10y+2y+4=20﹣5y+5移项,合并同类项得:17y=21系数化为1得:;(4)原方程可以变形为:﹣5x=﹣1去分母得:17+20x﹣15x=﹣3移项,合并同类项得:5x=﹣20系数化为1得:x=﹣4.点评:解方程的过程中要注意每步的依据,这几个题目都是基础的题目,需要熟练掌握.(1)解方程:4x﹣3(5﹣x)=13(2)解方程:x﹣﹣3考点:解一元一次方程.专题:计算题.分析:(1)先去括号,再移项,化系数为1,从而得到方程的解.(2)这是一个带分母的方程,所以要先去分母,再去括号,最后移项,化系数为1,从而得到方程的解.解答:解:(1)去括号得:4x﹣15+3x=13,移项合并得:7x=28,系数化为1得:得x=4;(2)原式变形为x+3=,去分母得:5(2x﹣5)+3(x﹣2)=15(x+3),去括号得10x﹣25+3x﹣6=15x+45,移项合并得﹣2x=76,系数化为1得:x=﹣38.点评:本题考查解一元一次方程,解一元一次方程的一般步骤是:去分母、去括号、移项、合并同类项、化系数18.(1)计算:﹣42×+|﹣2|3×(﹣)3(2)计算:﹣12﹣|﹣|÷×[﹣2﹣(﹣3)2](3)解方程:4x﹣3(5﹣x)=2;(4)解方程:.考点:解一元一次方程;有理数的混合运算.分析:(1)利用平方和立方的定义进行计算.(2)按四则混合运算的顺序进行计算.(3)主要是去括号,移项合并.(4)两边同乘最小公倍数去分母,再求值.解答:解:(1)﹣42×+|﹣2|3×(﹣)3==﹣1﹣1=﹣2.(2)﹣12﹣|﹣|÷×[﹣2﹣(﹣3)2]===.(3)解方程:4x﹣3(5﹣x)=2去括号,得4x﹣15+3x)=2移项,得4x+3x=2+15合并同类项,得7x=17系数化为1,得.(4)解方程:去分母,得15x﹣3(x﹣2)=5(2x﹣5)﹣3×15去括号,得15x﹣3x+6=10x﹣25﹣45移项,得15x﹣3x﹣10x=﹣25﹣45﹣6合并同类项,得2x=﹣76系数化为1,得x=﹣38.点评:前两道题考查了学生有理数的混合运算,后两道考查了学生解一元一次方程的能力.19.(1)计算:(1﹣2﹣4)×;(2)计算:÷;(3)解方程:3x+3=2x+7;(4)解方程:.考点:解一元一次方专题:计算题.分析:(1)和(2)要熟练掌握有理数的混合运算;(3)和(4)首先熟悉解一元一次方程的步骤:去分母,去括号,移项,合并同类项,系数化为1.解答:解:(1)(1﹣2﹣4)×=﹣=﹣13;(2)原式=﹣1×(﹣4﹣2)×(﹣)=6×(﹣)=﹣9;(3)解方程:3x+3=2x+7移项,得3x﹣2x=7﹣3合并同类项,得x=4;(4)解方程:去分母,得6(x+15)=15﹣10(x﹣7)去括号,得6x+90=15﹣10x+70移项,得6x+10x=15+70﹣90合并同类项,得16x=﹣5系数化为1,得x=.理;(4)要特别注意去分母的时候不要发生数字漏乘的现象,熟练掌握去括号法则以及合并同类项法则.20.解方程(1)﹣(x﹣5)=1;(2).考点:解一元一次方程.分析:(1)通过去括号、移项、系数化为1等过程,求得x的值;(2)通过去分母以及去括号、移项、系数化为1等过程,求得x的值.解答:解:(1)﹣(x﹣5)=1;去括号得:﹣+1=1,∴﹣=0,∴x=0;(2).去分母得:2(x﹣2)+6x=9(3x+5)﹣(1﹣2x),∴﹣21x=48,∴x=﹣.点评:此题主要考查了一元一次方程解法,解一元一次方程常见的过程有去括号、移项、系数化为1等.21.解方程:(x+3)﹣2(x﹣1)=9﹣3x.考点:解一元一次方程.专题:计算题.分析:先去括号得x+3﹣2x+2=9﹣3x,然后移项、合并同类得到2x=4,然后把x的系数化为1即可.解答:解:去括号得x+3﹣2x+2=9﹣3x,移项得x﹣2x+3x=9﹣3﹣2,合并得2x=4,系数化为1得x=2.点评:本题考查了解一元一次方程:先去分母,再去括号,接着移项,把含未知数的项移到方程左边,不含未知数的项移到方程右边,然后合并同类项,最后把未知数的系数化为1得到原方程的解.22.8x﹣3=9+5x.5x+2(3x﹣7)=9﹣4(2+x)...考点:解一元一次方程.专题:方程思想.分析:本题是解4个不同的一元一次方程,第一个通过移项、合并同类项及系数化1求解.第二个先去括号再通过移项、合并同类项及系数化1求解.第三个先去分母再同第二个.第四个先分子分母乘以10,再同第三个求解.解答:8x﹣3=9+5x,解:8x﹣5x=9+3,3x=12,∴x=4.∴x=4是原方程的解;5x+2(3x﹣7)=9﹣4(2+x),解:5x+6x﹣14=9﹣8﹣4x,5x+6x+4x=9﹣8+14,15x=15,∴x=1.∴x=1是原方程的解..解:3(x﹣1)﹣2(2x+1)=12,3x﹣3﹣4x﹣2=12,3x﹣4x=12+3+2,﹣x=17,∴x=﹣17.∴x=﹣17是原方程的解.,解:,5(10x﹣3)=4(10x+1)+40,50x﹣15=40x+4+40,50x﹣40x=4+40+15,10x=59,∴x=.∴x=是原方程的解.点评:此题考查的知识点是解一元一次方程,关键是注意解方程时的每一步都要认真仔细,如移项时要变符号.23.解下列方程:(1)﹣=﹣(x﹣1);(2)=﹣2.考点:解一元一次方程.分析:(1)首先去括号,然后移项、合并同类项,系数化成1,即可求解;(2)首先去分母,然后去括号,移项、合并同类项,系数化成1,即可求解解答:解:(1)去括号,得:﹣=﹣+移项,得:+=++合并同类项,得:=,则x=4;(2)去分母得:7(1﹣2x)=3(3x+1)﹣42,去括号,得:7﹣14x=9x+3﹣42,移项,得:﹣14x ﹣9x=3﹣42﹣7,合并同类项,得:﹣23x=﹣46,则x=2.点评:本题考查解一元一次方程,解一元一次方程的一般步骤是:去分母、去括号、移项、合并同类项、化系数为1.注意移项要变号.24.解方程:(1)﹣+3x=10;(2)3x+8=2x+6;(3)2x+3(x+1)=5﹣4(x﹣1);(4).考点:解一元一次方程.分析:(1)移项,合并同类项,然后系数化成1即可求解;(2)移项,合并同类项,然后系数化成1即可求解;(3)去括号、移项,合并同类项,然后系数化成1即可求解;(4)首先去分母,然后去括号、移项,合并同类项,然后系数化成1即可求解.解答:解:(1)3x=,x=;(2)3x﹣2x=6﹣8,x=﹣2;(3)2x+3x+3=5﹣4x+4,2x+3x+4x=5+4﹣3,9x=6,x=;(4)2(x+1)+6=3(3x﹣2),2x+2+6=9x﹣6,2x﹣9x=﹣6﹣2﹣6,﹣7x=﹣14,x=2.点评:本题考查解一元一次方程,解一元一次方程的一般步骤是:去分母、去括号、移项、合并同类项、化系数为1.注意移项要变号.25.解方程:.考点:解一元一次方程.专题:计算题.分析:方程两边乘以10去分母后,去括号,移项合并,将x系数化为1,即可求出解.解答:解:去分母得:5(3x﹣1)﹣2(5x﹣6)=2,去括号得:15x﹣5﹣10x+12=2,移项合并得:5x=﹣5,解得:x=﹣1.点评:此题考查了解一元一次方程,其步骤为:去分母,去括号,移项合并,将未知数系数化为1,求出解.26.解方程:(1)10x﹣12=5x+15;(2)考点:解一元一次方程.专题:计算题.分析:(1)先移项,再合并同类项,最后化系数为1,从而得到方程的解;(2)先去括号,再移项、合并同类项,最后化系数为1,从而得到方程的解.解答:解:(1)移项,得10x﹣5x=12+15,合并同类项,得5x=27,方程的两边同时除以5,得x=;(2)去括号,得=,方程的两边同时乘以6,得x+1=4x﹣2,移项、合并同类项,得3x=3,方程的两边同时除以3,得x=1.点评:本题考查解一元一次方程,解一元一次方程的一般步骤:去分母、去括号、移项、合并同类项、化系数为1.注意移项要变号.27.解方程:(1)8y﹣3(3y+2)=7(2).考点:解一元一次方程.专题:计算题.分析:(1)根据一元一次方程的解法,去括号,移项,合并同类项,系数化为1即可得解;(2)这是一个带分母的方程,所以要先去分母,再去括号,最后移项,合并同类项,系数化为1,从而得到方程的解.解答:解:(1)去括号得,8y﹣9y﹣6=7,移项、合并得,﹣y=13,系数化为1得,y=﹣13;(2)去分母得,3(3x﹣1)﹣12=2(5x﹣7),去括号得,9x﹣3﹣12=10x﹣14,移项得,9x﹣10x=﹣14+3+12,合并同类项得,﹣x=1,系数化为1得,x=﹣1.点评:本题主要考查了解一元一次方程,注意在去分母时,方程两端同乘各分母的最小公倍数时,不要漏乘没有分母的项,同时要把分子(如果是一个多项式)作为一个整体加上括号.28.当k 为什么数时,式子比的值少3.考点:解一元一次方程.专题:计算题.分析:先根据题意列出方程,再根据一元一次方程的解法,去分母,去括号,移项,合并同类项,系数化为1即可得解.解答:解:依题意,得=+3,去分母得,5(2k+1)=3(17﹣k)+45,去括号得,10k+5=51﹣3k+45,移项得,10k+3k=51+45﹣5,合并同类项得,13k=91,系数化为1得,k=7,∴当k=7时,式子比的值少3.点评:本题主要考查了解一元一次方程,注意在去分母时,方程两端同乘各分母的最小公倍数时,不要漏乘没有分母的项,同时要把分子(如果是一个多项式)作为一个整体加上括号.29.解下列方程:(I)12y﹣=+5(II ).考点:解一元一次方程.专题:计算题.分析:(Ⅰ)根据一元一次方程的解法,移项,合并同类项,系数化为1即可得解;(Ⅱ)是一个带分母的方程,所以要先去分母,再去括号,最后移项,合并同类项,系数化为1,从而得到方程的解.解答:解:(Ⅰ)移项得,12y﹣﹣=5,合并同类项得,2y=5,系数化为1得,y=;(Ⅱ)去分母得,5(x+1)﹣10=(3x﹣2)﹣2(2x+3),去括号得,5x+5﹣10=3x﹣2﹣4x﹣6,移项得,5x﹣3x+4x=﹣2﹣6﹣5+10,合并同类项得,6x=﹣3,系数化为1得,x=﹣.点评:本题主要考查了解一元一次方程,注意在去分母时,方程两端同乘各分母的最小公倍数时,不要漏乘没有分母的项,同时要把分子(如果是一个多项式)作为一个整体加上括号.30.解方程:.考点:解一元一次方程.专题:计算题.分析:由于方程的分子、分母均有小数,利用分数的基本性质,分子、分母同时扩大相同的倍数,可将小数化成整数.解答:解:原方程变形为,(3分)去分母,得3×(30x﹣11)﹣4×(40x﹣2)=2×(16﹣70x),(4分)去括号,得90x﹣33﹣160x+8=32﹣140x,(5分)移项,得90x﹣160x+140x=32+33﹣8,(6分)合并同类项,得70x=57,(7分)系数化为1,得.(8分)点评:本题考查一元一次方程的解法.解一元一次方程的一般步骤:去分母,去括号,移项,合并同类项,系数化为1.本题的难点在于方程的分子、分母均有小数,将小数化成整数不同于去分母,不是方程两边同乘一个数,而是将分子、分母同乘一个数.。