初一七年级一元一次方程30题(含答案解析)
- 格式:doc
- 大小:278.50 KB
- 文档页数:23
自我测试60分钟看看准确率牛刀小试相信自己一定行1、712=+x ;2、825=-x ;3、7233+=+x x ;4、735-=+x x ;解:(移项)(合并)(化系数为1)5、914211-=-x x ;6、2749+=-x x ;7、162=+x ;8、9310=-x ;解:(移项)(合并)(化系数为1)9、x x -=-324;10、4227-=+-x x ;11、8725+=-x x ;12、32141+=-x x 解:(移项)(合并)(化系数为 113、1623+=x x 14、253231+=-x x ;15、152+=--x x ;16、23312+=--xx 解:(移项)(合并)(化系数为1).17、475.0=)++(x x ;18、2-41)=-(x ;19、511)=-(x ;20、212)=---(x ;解:(去括号)(移项)(合并)(化系数为1)21、)12(5111+=+x x ;22、32034)=-(-x x .23、5058=)-+(x ;24、293)=-(x ;解:(去括号)(移项)(合并)(化系数为1)25、3-243)=+(x ;26、2-122)=-(x ;27、443212+)=-(x x ;28、323236)=+(-x ;解:(去括号)(移项)(合并)(化系数为1)29、x x 2570152002+)=-(;30、12123)=+(x .31、452x x =+;32、3423+=-x x ;解:(去分母)(去括号)(移项)(合并)(化系数为1)33、)-()=+(3271131x x ;34、)-()=+(131141x x ;35、142312-+=-x x ;解:(去分母)(去括号)(移项)(合并)(化系数为 136、)+(-)=-(2512121x x . 37、)+()=+(20411471x x ;38、)-(-)=+(731211551x x . 解:(去分母)(去括号)(移项)(合并)(化系数为 139、432141=-x ;40、83457=-x ;41、815612+=-x x ;42、629721-=-x x ;解:(去分母)(去括号)(移项)(合并)(化系数为 143、1232151)=-(-x x ;44、1615312=--+x x ;45、x x 2414271-)=+(;解:(去分母)(去括号)(移项)(合并)(化系数为 146、259300300102200103)=-()-+(x x . 47、307221159138)=-()--()--(x x x ;解:(去分母)(去括号)(移项)(合并)(化系数为 148、51413121-=+x x ;49、13.021.02.015.0=-+--x x ;50、3.01-x -5.02+x =12.解:(化整)(去分母)(去括号)(移项)(合并)(化系数为 1【参考答案】1、【答案】(1)3=x ;(2)2=x ;(3)4=x ;(4)6=x ;(5)37=x ;(6)12=-x ;(7)4=x ;(8)32=-x .1.1、【答案】(9)25=-x ;(10)56=x ;(11)5=-x ;(12)31=-x ;(13)1=x ;(14)32=x ;(15)35=-x ;(16)1=x .2、【答案】(17)1=x ;(18)1=-x ;(19)56=x ;(20)3=-x ;(21)4=x ;(22)9=x .2.1、【答案】(23)7=-x ;(24)23=-x ;(25)11=-x ;(26)4=-x ;(27)21=x ;(28)910=x ;(29)6=x ;(30)23=x .3、【答案】(31)8=x ;(32)51=x ;(33)16=-x ;(34)7=x ;(35)52=-x ;(36)3=x ;(37)28=-x ;(38)165=-x .3.1、【答案】(39)5=x ;(40)1413=x ;(41)1=-x ;(42)320=-x ;(43)1225=x ;(44)3=-x ;(45)87=x ;(46)216=x .4、【答案】(47)3=x ;(48)1532=-x ;(49)1364=x ;(50)229=x .。
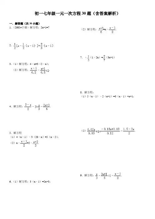
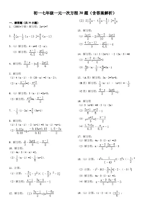
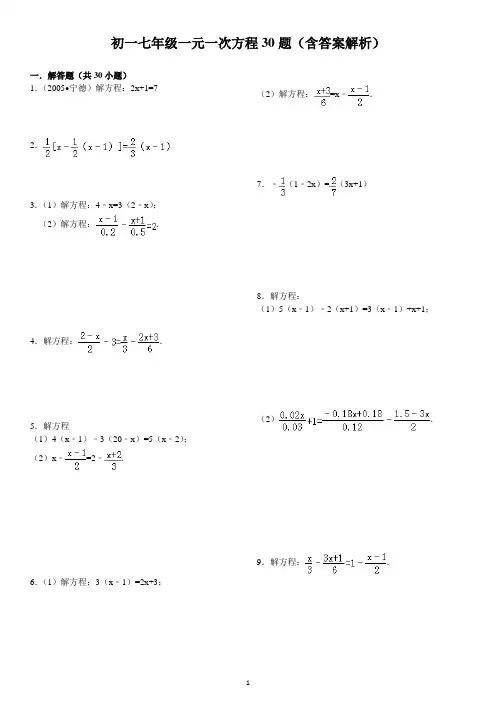
初一七年级一元一次方程30题(含答案解析)一.解答题(共30小题)1.(2005•宁德)解方程:2x+1=72.3.(1)解方程:4﹣x=3(2﹣x);(2)解方程:.4.解方程:.5.解方程(1)4(x﹣1)﹣3(20﹣x)=5(x﹣2);(2)x ﹣=2﹣.6.(1)解方程:3(x﹣1)=2x+3;(2)解方程:=x ﹣.7.﹣(1﹣2x)=(3x+1)8.解方程:(1)5(x﹣1)﹣2(x+1)=3(x﹣1)+x+1;(2).9.解方程:.10.解方程:(1)4x﹣3(4﹣x)=2;(2)(x﹣1)=2﹣(x+2).11.计算:(1)计算:(2)解方程:12.解方程:13.解方程:(1)(2)14.解方程:(1)5(2x+1)﹣2(2x﹣3)=6 (2)+2(3)[3(x﹣)+]=5x﹣115.(A 类)解方程:5x﹣2=7x+8;(B类)解方程:(x﹣1)﹣(x+5)=﹣;(C类)解方程:.16.解方程(1)3(x+6)=9﹣5(1﹣2x)(2)(3)(4)17.解方程:(1)解方程:4x﹣3(5﹣x)=13 (2)解方程:x﹣﹣3 18.(1)计算:﹣42×+|﹣2|3×(﹣)3(2)计算:﹣12﹣|0.5﹣|÷×[﹣2﹣(﹣3)2](3)解方程:4x﹣3(5﹣x)=2;(4)解方程:.19.(1)计算:(1﹣2﹣4)×;(2)计算:÷;(3)解方程:3x+3=2x+7;(4)解方程:.20.解方程(1)﹣0.2(x﹣5)=1;(2).21.解方程:(x+3)﹣2(x﹣1)=9﹣3x.22.8x﹣3=9+5x.5x+2(3x﹣7)=9﹣4(2+x)...23.解下列方程:(1)0.5x﹣0.7=5.2﹣1.3(x﹣1);(2)=﹣2.24.解方程:(1)﹣0.5+3x=10;(2)3x+8=2x+6;(3)2x+3(x+1)=5﹣4(x﹣1);(4).25.解方程:.26.解方程:(1)10x﹣12=5x+15;(2)27.解方程:(1)8y﹣3(3y+2)=7 (2).28.当k 为什么数时,式子比的值少3.29.解下列方程:(I)12y﹣2.5y=7.5y+5(II).30.解方程:.6.2.4解一元一次方程(三)参考答案与试题解析一.解答题(共30小题)1.(2005•宁德)解方程:2x+1=7考点:解一元一次方程.专题:计算题;压轴题.分析:此题直接通过移项,合并同类项,系数化为1可求解.解答:解:原方程可化为:2x=7﹣1 合并得:2x=6系数化为1得:x=3点评:解一元一次方程,一般要通过去分母,去括号,移项,合并同类项,未知数的系数化为1等步骤,把一个一元一次方程“转化”成x=a的形式.2.考点:解一元一次方程.专题:计算题.分析:这是一个带分母的方程,所以要先去分母,再去括号,最后移项,化系数为1,从而得到方程的解.解答:解:左右同乘12可得:3[2x﹣(x﹣1)]=8(x﹣1),化简可得:3x+3=8x﹣8,移项可得:5x=11,解可得x=.故原方程的解为x=.点评:若是分式方程,先同分母,转化为整式方程后,再移项化简,解方程可得答案.3.(1)解方程:4﹣x=3(2﹣x);(2)解方程:.考点:解一元一次方程.专题:计算题.分析:(1)先去括号,然后再移项、合并同类型,最后化系数为1,得出方程的解;(2)题的方程中含有分数系数,应先对各式进行化简、整理,然后再按(1)的步骤求解.解答:解:(1)去括号得:4﹣x=6﹣3x,移项得:﹣x+3x=6﹣4,合并得:2x=2,系数化为1得:x=1.(2)去分母得:5(x﹣1)﹣2(x+1)=2,去括号得:5x﹣5﹣2x﹣2=2,移项得:5x﹣2x=2+5+2,合并得:3x=9,系数化1得:x=3.点评:(1)本题易在去分母、去括号和移项中出现错误,还可能会在解题前产生害怕心理.因为看到小数、分数比较多,学生往往不知如何寻找公分母,怎样合并同类项,怎样化简,所以我们要教会学生分开进行,从而达到分解难点的效果.(2)本题的另外一个重点是教会学生对于分数的分子、分母同时扩大或缩小若干倍,值不变.这一性质在今后常会用到.4.解方程:.考点:解一元一次方程.专题:计算题.分析:此题两边都含有分数,分母不相同,如果直接通分,有一定的难度,但将方程左右同时乘以公分母6,难度就会降低.解答:解:去分母得:3(2﹣x)﹣18=2x﹣(2x+3),去括号得:6﹣3x﹣18=﹣3,移项合并得:﹣3x=9,∴x=﹣3.点评:本题易在去分母和移项中出现错误,学生往往不知如何寻找公分母,怎样合并同类项,怎样化简,所以我们要教会学生分开进行,从而达到分解难点的效果.5.解方程(1)4(x﹣1)﹣3(20﹣x)=5(x﹣2);(2)x﹣=2﹣.考点:解一元一次方程.专题:计算题.分析:(1)先去括号,再移项、合并同类项、化系数为1,从而得到方程的解;(2)先去分母,再去括号,最后移项,化系数为1,从而得到方程的解.解答:解:(1)去括号得:4x﹣4﹣60+3x=5x﹣10(2分)移项得:4x+3x﹣5x=4+60﹣10(3分)合并得:2x=54(5分)系数化为1得:x=27;(6分)(2)去分母得:6x﹣3(x﹣1)=12﹣2(x+2)(2分)去括号得:6x﹣3x+3=12﹣2x﹣4(3分)移项得:6x﹣3x+2x=12﹣4﹣3(4分)合并得:5x=5(5分)系数化为1得:x=1.(6分)点评:去分母时,方程两端同乘各分母的最小公倍数时,不要漏乘没有分母的项,同时要把分子(如果是一个多项式)作为一个整体加上括号.去括号时要注意符号的变化.6.(1)解方程:3(x﹣1)=2x+3;(2)解方程:=x﹣.考点:解一元一次方程.专题:计算题.分析:(1)是简单的一元一次方程,通过移项,系数化为1即可得到;(2)是较为复杂的去分母,本题方程两边都含有分数系数,如果直接通分,有一定的难度,但对每一个式子先进行化简、整理为整数形式,难度就会降低.解答:解:(1)3x﹣3=2x+33x﹣2x=3+3x=6;(2)方程两边都乘以6得:x+3=6x﹣3(x﹣1)x+3=6x﹣3x+3x﹣6x+3x=3﹣3﹣2x=0∴x=0.点评:本题易在去分母、去括号和移项中出现错误,还可能会在解题前不知如何寻找公分母,怎样合并同类项,怎样化简,所以要学会分开进行,从而达到分解难点的效果.去分母时,方程两端同乘各分母的最小公倍数时,不要漏乘没有分母的项,同时要把分子(如果是一个多项式)作为一个整体加上括号.7.﹣(1﹣2x)=(3x+1)考点:解一元一次方程.专题:计算题.分析:这是一个带分母的方程,所以要先去分母,再去括号,最后移项,化系数为1,从而得到方程的解.解答:解:﹣7(1﹣2x)=3×2(3x+1)﹣7+14x=18x+6﹣4x=13x=﹣.点评:解一元一次方程的一般步骤是去分母、去括号、移项、合并同类项和系数化为1.此题去分母时,方程两端同乘各分母的最小公倍数时,不要漏乘没有分母的项,同时要把分子(如果是一个多项式)作为一个整体加上括号.8.解方程:(1)5(x﹣1)﹣2(x+1)=3(x﹣1)+x+1;(2).考解一元一次方程.点:专题:计算题.分析:(1)可采用去括号,移项,合并同类项,系数化1的方式进行;(2)本题方程两边都含有分数系数,如果直接通分,有一定的难度,但对每一个式子先进行化简、整理为整数形式,难度就会降低.解答:解:(1)5(x﹣1)﹣2(x+1)=3(x﹣1)+x+13x﹣7=4x﹣2∴x=﹣5;(2)原方程可化为:去分母得:40x+60=5(18﹣18x)﹣3(15﹣30x),去括号得:40x+60=90﹣90x﹣45+90x,移项、合并得:40x=﹣15,系数化为1得:x=.点评:(1)本题易在去分母、去括号和移项中出现错误,还可能会在解题前产生害怕心理.因为看到小数、分数比较多,学生往往不知如何寻找公分母,怎样合并同类项,怎样化简,所以我们要教会学生分开进行,从而达到分解难点的效果;(2)本题的另外一个重点是教会学生对于分数的分子、分母同时扩大或缩小若干倍,值不变.这一性质在今后常会用到.9.解方程:.考点:解一元一次方程.专题:计算题.分析:这是一个带分母的方程,所以要先去分母,再去括号,最后移项,化系数为1,从而得到方程的解.解答:解:,去分母得:2x﹣(3x+1)=6﹣3(x﹣1),去括号得:2x﹣3x﹣1=6﹣3x+3,移项、合并同类项得:2x=10,系数化为1得:x=5.点评:去分母时,方程两端同乘各分母的最小公倍数时,不要漏乘没有分母的项,同时要把分子(如果是一个多项式)作为一个整体加上括号.10.解方程:(1)4x﹣3(4﹣x)=2;(2)(x﹣1)=2﹣(x+2).考点:解一元一次方程.专题:计算题.分析:(1)先去括号,再移项,合并同类项,系数化1,即可求出方程的解;(2)先去分母,再去括号,移项,合并同类项,系数化1可求出方程的解.解答:解:(1)4x﹣3(4﹣x)=2去括号,得4x﹣12+3x=2移项,合并同类项7x=14系数化1,得x=2.(2)(x﹣1)=2﹣(x+2)去分母,得5(x﹣1)=20﹣2(x+2)去括号,得5x﹣5=20﹣2x﹣4移项、合并同类项,得7x=21系数化1,得x=3.点评:(1)此题主要是去括号,移项,合并同类项,系数化1.(2)方程两边每一项都要乘各分母的最小公倍数,方程两边每一项都要乘各分母的最小公倍数,切勿漏乘不含有分母的项,另外分数线有两层意义,一方面它是除号,另一方面它又代表着括号,所以在去分母时,应该将分子用括号括上.11.计算:(1)计算:(2)解方程:考点:解一元一次方程;有理数的混合运算.专题:计算题.分析:(1)根据有理数的混合运算法则计减;(2)两边同时乘以最简公分母4,即可去掉分母.解答:解:(1)原式=,=,=.(2)去分母得:2(x﹣1)﹣(3x﹣1)=﹣4,解得:x=3.点评:解答此题要注意:(1)去分母时最好先去中括号、再去小括号,以减少去括号带来的符号变化次数;(2)去分母就是方程两边同时乘以分母的最简公分母.12.解方程:考点:解一元一次方程.专题:计算题.分析:(1)这是一个带分母的方程,所以要为1,从而得到方程的解.(2)解一元一次方程的一般步骤:去分母、去括号、移项、合并同类项、化系数为1.解答:解:(1)去分母得:3(3x﹣1)+18=1﹣5x,去括号得:9x﹣3+18=1﹣5x,移项、合并得:14x=﹣14,系数化为1得:x=﹣1;(2)去括号得:x﹣x+1=x,移项、合并同类项得:x=﹣1,系数化为1得:x=﹣.点评:本题考查解一元一次方程,正确掌握解一元一次方程的一般步骤,注意移项要变号、去分母时“1”也要乘以最小公倍数.13.解方程:(2)考点:解一元一次方程.专题:计算题.分析:(1)去分母、去括号、移项、合并同类项、化系数为1.(2)去分母、去括号、移项、合并同类项、化系数为1.解答:(1)解:去分母得:5(3x+1)﹣2×10=3x﹣2﹣2(2x+3),去括号得:15x+5﹣20=3x﹣2﹣4x﹣6,移项得:15x+x=﹣8+15,合并得:16x=7,解得:;(2)解:,4(x﹣1)﹣18(x+1)=﹣36,4x﹣4﹣18x﹣18=﹣36,﹣14x=﹣14,x=1.点评:本题考查解一元一次方程,正确掌握解一元一次项要变号、去分母时“1”也要乘以最小公倍数.14.解方程:(1)5(2x+1)﹣2(2x﹣3)=6 (2)+2(3)[3(x﹣)+]=5x﹣1考点:解一元一次方程.专题:计算题.分析:(2)通过去括号、移项、合并同类项、系数化为1,解得x的值;(3)乘最小公倍数去分母即可;(4)主要是去括号,也可以把分数转化成整数进行计算.解答:解:(1)去括号得:10x+5﹣4x+6=6移项、合并得:6x=﹣5,方程两边都除以6,得x=﹣;(2)去分母得:3(x﹣2)=2(4﹣3x)+24,去括号得:3x﹣6=8﹣6x+24,移项、合并得:9x=38,方程两边都除以9,得(3)整理得:[3(x﹣)+]=5x﹣1,4x﹣2+1=5x﹣1,移项、合并得:x=0.点评:一元一次方程的解法:一般要通过去分母、去括号、移项、合并同类项、未知数的系数化为1等步骤,把一个一元一次方程“转化”成x=a的形式.解题时,要灵活运用这些步骤.15.(A类)解方程:5x﹣2=7x+8;(B类)解方程:(x﹣1)﹣(x+5)=﹣;(C类)解方程:.考点:解一元一次方程.专题:计算题.分析:通过去分母、去括号、移项、系数化为1等方法,求得各方程的解.解答:解:A类:5x﹣2=7x+8移项:5x﹣7x=8+2化简:﹣2x=10即:x=﹣5;=﹣去括号:x﹣﹣x﹣5=﹣化简:x=5即:x=﹣;C类:﹣=1去分母:3(4﹣x)﹣2(2x+1)=6去括号:12﹣3x﹣4x﹣2=6化简:﹣7x=﹣4即:x=.点评:本题主要考查一元一次方程的解法,比较简单,但要细心运算.16.解方程(1)3(x+6)=9﹣5(1﹣2x)(2)(3)(4)考点:解一元一次方程.专题:计算题.分析:(1)去括号以后,移项,合并同类项,系数化为1即可求解;(2)(3)首先去掉分母,再去括号以后,移项,合并同类项,系数化为1以后即可求解;(4)首先根据分数的基本性质,把第一项分母中的0.3化为整数,再去分母,求解.合并同类项得:﹣7x=﹣14则x=2;(2)去分母得:2x+1=x+3﹣5移项,合并同类项得:x=﹣3;(3)去分母得:10y+2(y+2)=20﹣5(y﹣1)去括号得:10y+2y+4=20﹣5y+5移项,合并同类项得:17y=21系数化为1得:;(4)原方程可以变形为:﹣5x=﹣1去分母得:17+20x﹣15x=﹣3移项,合并同类项得:5x=﹣20系数化为1得:x=﹣4.解方程的过程中要注意每步的依据,这几个题目都是基础的题目,需要熟练掌握.点评:17.解方程:(1)解方程:4x﹣3(5﹣x)=13(2)解方程:x﹣﹣3考点:解一元一次方程.专题:计算题.分析:(1)先去括号,再移项,化系数为1,从而得到方程的解.(2)这是一个带分母的方程,所以要先去分母,再去括号,最后移项,化系数为1,从而得到方程的解.解答:解:(1)去括号得:4x﹣15+3x=13,移项合并得:7x=28,系数化为1得:得x=4;(2)原式变形为,去分母得:5(2x﹣5)+3(x﹣2)=15(x+3),去括号得10x﹣25+3x﹣6=15x+45,移项合并得﹣2x=76,系数化为1得:x=﹣38.点评:本题考查解一元一次方程,解一元一次方程的一般步骤是:去分母、去括号、移项、合并同类项、化系数为1.注意移项要变号.18.(1)计算:﹣42×+|﹣2|3×(﹣)3(2)计算:﹣12﹣|0.5﹣|÷×[﹣2﹣(﹣3)2](3)解方程:4x﹣3(5﹣x)=2;(4)解方程:.考点:解一元一次方程;有理数的混合运算.分析:(1)利用平方和立方的定义进行计算.(2)按四则混合运算的顺序进行计算.(3)主要是(4)两边同乘最小公倍数去分母,再求值.解答:解:(1)﹣42×+|﹣2|3×(﹣)3==﹣1﹣1=﹣2.(2)﹣12﹣|0.5﹣|÷×[﹣2﹣(﹣3)2]====.(3)解方程:4x﹣3(5﹣x)=2去括号,得4x﹣15+3x)=2移项,得4x+3x=2+15合并同类项,得7x=17系数化为1,得.(4)解方程:2)=5(2x﹣5)﹣3×15去括号,得15x﹣3x+6=10x﹣25﹣45移项,得15x﹣3x﹣10x=﹣25﹣45﹣6合并同类项,得2x=﹣76系数化为1,得x=﹣38.点评:前两道题考查了学生有理数的混合运算,后两道考查了学生解一元一次方程的能力.19.(1)计算:(1﹣2﹣4)×;(2)计算:÷;(3)解方程:3x+3=2x+7;(4)解方程:.考点:解一元一次方程;有理数的混合运算.专题:计算题.分析:(1)和(2)要熟练掌握有理数的混合运算;(3)和(4)首先熟悉解一元一次方程的步骤:去分母,去括号,移项,合并同类项,系数化为1.解答:解:(1)(1﹣2﹣4)×=﹣=﹣13;(2)原式=﹣1×(﹣4﹣2)×(﹣)=6×(﹣)=﹣9;(3)解方程:3x+3=2x+7移项,得3x﹣2x=7﹣3合并同类项,得x=4;(4)解方程:去分母,得6(x+15)=15﹣10(x﹣7)去括号,得6x+90=15﹣10x+70移项,得6x+10x=15+70﹣90合并同类项,得16x=﹣5系数化为1,得x=.点评:(1)和(2)要注意符号的处理;(4)要特别注意去分母的时候不要发生数字漏乘的现象,熟练掌握去括号法则以及合并同类项法则.20.解方程(1)﹣0.2(x﹣5)=1;(2).考点:解一元一次方程.分析:(1)通过去括号、移项、系数化为1等过程,求得x的值;(2)通过去分母以及去括号、移项、系数化为1等过程,求得x的值.解答:解:(1)﹣0.2(x﹣5)=1;去括号得:﹣0.2x+1=1,∴﹣0.2x=0,∴x=0;(2).去分母得:2(x﹣2)+6x=9(3x+5)﹣(1﹣2x),∴﹣21x=48,∴x=﹣.点评:此题主要考查了一元一次方程解法,解一元一次方程常见的过程有去括号、移项、系数化为1等.21.解方程:(x+3)﹣2(x﹣1)=9﹣3x.考点:解一元一次方程.专题:计算题.分析:先去括号得x+3﹣2x+2=9﹣3x,然后移项、合并同类得到2x=4,然后把x的系数化为1即可.解答:解:去括号得x+3﹣2x+2=9﹣3x,移项得x﹣2x+3x=9﹣3﹣2,合并得2x=4,系数化为1得x=2.点评:本题考查了解一元一次方程:先去分母,再去括号,接着移项,把含未知数的项移到方程左边,不含未知数的项移到方程右边,然后合并同类项,最后把未知数的系数化为1得到原方程的解.22.8x﹣3=9+5x.5x+2(3x﹣7)=9﹣4(2+x)...考点:解一元一次方程.专题:方程思想.分析:本题是解4个不同的一元一次方程,第一个通过移项、合并同类项及系数化1求解.第二个先去括号再通过移项、合并同类项及系数化1求解.第三个先去分母再同第二个.第四个先分子分母乘以10,再同第三个求解.解答:8x﹣3=9+5x,解:8x﹣5x=9+3,3x=12,∴x=4.∴x=4是原方程的解;5x+2(3x﹣7)=9﹣4(2+x),解:5x+6x﹣14=9﹣8﹣4x,5x+6x+4x=9﹣8+14,15x=15,∴x=1.∴x=1是原方程的解..解:3(x﹣1)﹣2(2x+1)=12,3x﹣3﹣4x﹣2=12,3x﹣4x=12+3+2,﹣x=17,∴x=﹣17.∴x=﹣17是原方程的解.,解:,5(10x﹣3)=4(10x+1)+40,50x﹣15=40x+4+40,50x﹣40x=4+40+15,10x=59,∴x=.∴x=是原方程的解.点评:此题考查的知识点是解一元一次方程,关键是注意解方程时的每一步都要认真仔细,如移项时要变符号.23.解下列方程:(1)0.5x﹣0.7=5.2﹣1.3(x﹣1);(2)=﹣2.考点:解一元一次方程.分析:(1)首先去括号,然后移项、合并同类项,系数化成1,即可求解;(2)首先去分母,然后去括号,移项、合并同类项,系数化成1,即可求解解答:解:(1)去括号,得:0.5x﹣0.7=5.2﹣1.3x+1.3移项,得:0.5x+1.3x=5.2+1.3+0.7合并同类项,得:1.8x=7.2,则x=4;(2)去分母得:7(1﹣2x)=3(3x+1)﹣42,去括号,得:7﹣14x=9x+3﹣42,移项,得:﹣14x﹣9x=3﹣42﹣7,合并同类项,得:﹣23x=﹣46,则x=2.点评:本题考查解一元一次方程,解一元一次方程的一般步骤是:去分母、去括号、移项、合并同类项、化系数为1.注意移项要变号.24.解方程:(1)﹣0.5+3x=10;(2)3x+8=2x+6;(3)2x+3(x+1)=5﹣4(x﹣1);(4).考点:解一元一次方程.分析:(1)移项,合并同类项,然后系数化成1即可求解;(2)移项,合并同类项,然后系数化成1即可求解;(3)去括号、移项,合并同类项,然后系数化成1即可求解;(4)首先去分母,然后去括号、移项,合并同类项,然后系数化成1即可求解.解答:解:(1)3x=10.5,x=3.5;(2)3x﹣2x=6﹣8,x=﹣2;(3)2x+3x+3=5﹣4x+4,2x+3x+4x=5+4﹣3,9x=6,x=;(4)2(x+1)+6=3(3x﹣2),2x+2+6=9x﹣6,2x﹣9x=﹣6﹣2﹣6,﹣7x=﹣14,x=2.点评:本题考查解一元一次方程,解一元一次方程的一般步骤是:去分母、去括号、移项、合并同类项、化系数为1.注意移项要变号.25.解方程:.考点:解一元一次方程.专题:计算题.分析:方程两边乘以10去分母后,去括号,移项合并,将x系数化为1,即可求出解.解答:解:去分母得:5(3x﹣1)﹣2(5x﹣6)=2,去括号得:15x﹣5﹣10x+12=2,移项合并得:5x=﹣5,解得:x=﹣1.点评:此题考查了解一元一次方程,其步骤为:去分母,去括号,移项合并,将未知数系数化为1,求出解.26.解方程:(1)10x﹣12=5x+15;(2)考点:解一元一次方程.专题:计算题.分析:(1)先移项,再合并同类项,最后化系数为1,从而得到方程的解;(2)先去括号,再移项、合并同类项,最后化系数为1,从而得到方程的解.解答:解:(1)移项,得10x﹣5x=12+15,合并同类项,得5x=27,方程的两边同时除以5,得x=;(2)去括号,得=,方程的两边同时乘以6,得x+1=4x﹣2,移项、合并同类项,得3x=3,方程的两边同时除以3,得x=1.点评:本题考查解一元一次方程,解一元一次方程的一般步骤:去分母、去括号、移项、合并同类项、化系数为1.注意移项要变号.27.解方程:(1)8y﹣3(3y+2)=7(2).考点:解一元一次方程.专题:计算题.分析:(1)根据一元一次方程的解法,去括号,移项,合并同类项,系数化为1即可得解;(2)这是一个带分母的方程,所以要先去分母,再去括号,最后移项,合并同类项,系数化为1,从而得到方程的解.解答:解:(1)去括号得,8y ﹣9y﹣6=7,移项、合并得,﹣y=13,系数化为1得,y=﹣13;(2)去分母得,3(3x﹣1)﹣12=2(5x﹣7),去括号得,9x﹣3﹣12=10x﹣14,移项得,9x﹣10x=﹣14+3+12,合并同类项得,﹣x=1,系数化为1得,x=﹣1.点评:本题主要考查了解一元一次方程,注意在去分母时,方程两端同乘各分母的最小公倍数时,不要漏乘没有分母的项,同时要把分子(如果是一个多项式)作为一个整体加上括号.28.当k为什么数时,式子比的值少3.考点:解一元一次方程.专题:计算题.分析:先根据题意列出方程,再根据一元一次方程的解法,去分母,去括号,移项,合并同类项,系数化为1即可得解.解答:解:依题意,得=+3,去分母得,5(2k+1)=3(17﹣k)+45,去括号得,10k+5=51﹣3k+45,移项得,10k+3k=51+45﹣5,合并同类项得,13k=91,系数化为1得,k=7,∴当k=7时,式子比的值少3.点评:本题主要考查了解一元一次方程,注意在去分母时,方程两端同乘各分母的最小公倍数时,不要漏乘没有分母的项,同时要把分子(如果是一个多项式)作为一个整体加上括号.29.解下列方程:(I)12y﹣2.5y=7.5y+5(II).考点:解一元一次方程.专题:计算题.分析:(Ⅰ)根据一元一次方程的解法,移项,合并同类项,系数化为1即可得解;(Ⅱ)是一个带分母的方程,所以要先去分母,再去括号,最后移项,合并同类项,系数化为1,从而得到方程的解.解答:解:(Ⅰ)移项得,12y﹣2.5y﹣7.5y=5,合并同类项得,2y=5,系数化为1得,y=2.5;(Ⅱ)去分母得,5(x+1)﹣10=(3x﹣2)﹣2(2x+3),去括号得,5x+5﹣10=3x﹣2﹣4x﹣6,移项得,5x﹣3x+4x=﹣2﹣6﹣5+10,合并同类项得,6x=﹣3,系数化为1得,x=﹣.点评:本题主要考查了解一元一次方程,注意在去分母时,方程两端同乘各分母的最小公倍数时,不要漏乘没有分母的项,同时要把分子(如果是一个多项式)作为一个整体加上括号.30.解方程:.考点:解一元一次方程.专题:计算题.分析:由于方程的分子、分母均有小数,利用分数的基本性质,分子、分母同时扩大相同的倍数,可将小数化成整数.解答:解:原方程变形为,(3分)去分母,得3×(30x﹣11)﹣4×(40x﹣2)=2×(16﹣70x),(4分)去括号,得90x﹣33﹣160x+8=32﹣140x,(5分)移项,得90x﹣160x+140x=32+33﹣8,(6分)合并同类项,得70x=57,(7分)系数化为1,得.(8分)点评:本题考查一元一次方程的解法.解一元一次方程的一般步骤:去分母,去括号,移项,合并同类项,系数化为1.本题的难点在于方程的分子、分母均有小数,将小数化成整数不同于去分母,不是方程两边同乘一个数,而是将分子、分母同乘一个数.31。
七年级上册数学解一元一次方程50道专项练习题(含答案)5)x=1;(6)x=-12;(7)无解;(8)x=1.2、【答案】(1)x=.5;(2)x=-3;(3)x=-9;(4)x=-2;(5)x=22;(6)x=-2;(7)x=.5;(8)x=4.3、【答案】(1)x=4;(2)x=-1;(3)x=-4;(4)x=-5;(5)x=-1;(6)x=3;(7)无解;(8)x =-3.4、【答案】(1)x=-.5;(2)x=-6;(3)x=-1;(4)x=-2;(5)x=-2;(6)x=2;(7)x=-2;(8)x=-2/3.改写后:1、解一元一次方程50道专项练题(含答案)1.1、基础题解方程:1)2x+6=1;2)10x-3=9;3)5x-2=7x+8;4)1-x=3x;5)4x-2=3-x;6)-7x+2=2x-4;7)-x=-x+1;8)2x-=-+2.2.1、基础题解方程:1)4(x-1)=1;2)-2(x-1)=4;3)5(2x-3)=3x+9;4)2-(1+5)=-(2x+1);5)11x+(320-x)=3.3.1、综合Ⅰ解方程:1)(x+1)/(x-4)=(x-2)/(x+1);2)(x+4)/(x-1)-(x-1)/(x+4)=12;3)(x+5)/(x-3)=(x+1)/(x-5);4)x-7=(x+3)/(x-2);5)1/(x+1)+1/(x-1)=(2x-3)/(x²-1);6)(x-1)/(x+2)+(x+2)/(x-1)=4;7)(2x+14)/(x+1)=4-2x;8)(200+x)-(300-x)=300/(x+2)-x/3.参考答案:1、(1)x=3;(2)x=2;(3)x=4;(4)x=6;(5)x=1;(6)x=-12;(7)无解;(8)x=1.2、(1)x=.5;(2)x=-3;(3)x=-9;(4)x=-2;(5)x=22;(6)x=-2;(7)x=.5;(8)x=4.3、(1)x=4;(2)x=-1;(3)x=-4;(4)x=-5;(5)x=-1;(6)x=3;(7)无解;(8)x=-3.4、(1)x=-.5;(2)x=-6;(3)x=-1;(4)x =-2;(5)x=-2;(6)x=2;(7)x=-2;(8)x=-2/3.1.答案:(1) x=0.(2) x=5.(3) x=-5.(4) x=0.解释:(1) 0乘以任何数都等于0;(2) 5的平方等于25;(3) (-5)的平方也等于25;(4) 0乘以任何数都等于0.2.答案:(1) x=1.(2) x=-1.(3) x=0.(4) x=-3.(5) x=4.(6) x=9.解释:(1) 1的平方等于1;(2) (-1)的平方也等于1;(3) 0乘以任何数都等于0;(4) (-3)的平方等于9;(5) 4的平方等于16;(6) 9的平方等于81.3.答案:(1) x=8.(2) x=0.(3) x=-16.(4) x=7.(5) x=-1.(6)x=3.(7) x=-28.(8) x=-5.解释:(1) 等于64;(2) 0乘以任何数都等于0;(3) (-16)的平方等于256;(4) 7的平方等于49;(5) (-1)的平方等于1;(6)3的平方等于9;(7) (-28)的平方等于784;(8) (-5)的平方等于25.4.答案:(1) x=3.(2) x=-8/7.(3) x=0.(4) x=undefined.解释:(1) 3的平方等于9;(2) -8/7的平方等于64/49;(3) 0乘以任何数都等于0;(4) 不能对负数取平方根,所以该问题无解。
初一七年级一元一次方程30题(含答案解析)一.解答题(共30小题)1. (2005宁德)解方程:2x+仁77 .-丄(1 —2x)二(3x+1)373. (1)解方程:4 —x=3 (2—x);(2)解方程:「:;、'8.解方程:(1) 5 (x—1)—2 (x+1) =3 (x—1) +x+1;4 .解方程:5.解方程(1) 4 (x—1)—3 (20 —x) =5 ( x—2);/ c、M 1 1 c(2)x—=2—20 02x _ 0. 18K+0. 18 1. 5 ------ +1= ----------- --------0.03 0, 12 26. (1)解方程:3 (x—1) =2x+3;X ■31 »X 13629 .解方程:(2 )解方=x —210 .解方程:(1) 4x - 3 (4 - x ) =2;(2) 丄(x - 1) =2-16. 解方程(1) 3 (x+6) =9 - 5 (1 - 2x )13.解方程:丄(x+2).311 .计算:(1) 计算:-弓[-32X (-舟)2- 2]J! 」(2) 解方程::・】宀-2 4 14 .解方程:(1) 5 (2x+1)- 2 (2x - 3) =6 (2) (3)H - 2 4 _3芷丄— +24 ~ 6[3 x-=5x 112 .解方程:(1)邑分丄+3丄尹 ⑵2[討停诗)舜15. (A 类)解方程:5x - 2=7x+8;(B 类)解方程:g (x - 1)-( x+5) =-2;33(C 类)解方程:.£ J9 0 518. (1 )计算:-42X 丄一+| - 2|3X(-二)3C-4) 2 2(2)计算:-12- | -Z| J X- 2 -( - 3) 2]3 3(3 )解方程:4x- 3 ( 5 - x) =2;K 7少耳=弓(4)解方程:::-".」…':.5 3一亠一[0. 5 0, 219. (1)计算:(1 - 2 - 4) X (輕);517.解方程:(1)解方程:4x- 3 (5- x) =13(2)计算:m x - 2 _5 (2)解万程:x- - 一 - 3535x+2 (3x - 7) =9 - 4 (2+x).(3)解方程:3x+3=2x+7;(4)解方程: | 015〕二g-27)20 .解方程(1)-( x- 5) =1; x- 0. 3 10~4 ~ 0.5+2(2)x _ 2 3( 3x+5) 1 _ 2x--- +x=--------- _ -----3 s 2 623.解下列方程:(1) - =-( x- 1);21.解方程:(x+3)- 2 ( x- 1) =9- 3x.22. 8x- 3=9+5x. 24.解方程:(1)- +3x=10;29.解下列方程:(I ) 12y - =+5(2) 3x+8=2x+6; (3) 2x+3 (x+1) =5 - 4 (x - 1); 28 •当k 为什么数时,式子器畔的值少3.3z-1.1 4K -0.2 0,16 - 0.4 0-3 -0.0630.解方程:(2) 27.解方程:(1) 8y - 3 (3y+2) =7少、计 3x _ 1 5K _625 •解万程:——x+1 .2x432 10 526 .解方程:(1) 10x - 12=5x+15;(II解一元一次方程(三)参考答案与试题解析一.解答题(共30小题)1. (2005宁德)解方程:2x+仁7考点:解一元一次方程.专题:计算题;压轴题.分析:此题直接通过移项,合并同类项,系数化为1可求解.解答:解:原方程可化为:2x=7 - 1合并得:2x=6系数化为1得:x=3点评:解一元一次方程,一般要通过去分母,去括号,移项,合并同类项,未知数的系数化为1等步骤, 一元一次方程转化”成x=a的形式.考点:解一元一次方程.专题:计算题.分析:这是一个带分母的方程,所以要先去分母,再去括号,最后移项,化系数为解答:解:左右同乘12可得:3[2x -( x- 1) ]=8 (x- 1),化简可得:3x+3=8x - 8 ,移项可得:5x=11 , 解可得XJ L .51故原方程的解为x==.国点评:若是分式方程,先同分母,转化为整式方程后,再移项化简,解方程可得答案.3. (1)解方程:4 - x=3 ( 2 - x)(2)解方程:考点:解一元一次方程. 专题:计算题.分析:(1)先去括号,然后再移项、合并同类型,最后化系数为1,得出方程的解;(2)题的方程中含有分数系数,应先对各式进行化简、整理,然后再按( 1)的步骤求解.解答:解:(1)去括号得:4-x=6-3x,移项得:-x+3x=6 - 4,合并得:2x=2,系数化为1得:x=1.(2)去分母得:5 (x- 1)- 2 (x+1) =2,去括号得:5x- 5 -2x- 2=2,移项得:5x- 2x=2+5+2,把一个1,从而得到方程的解.合并得:3x=9,系数化1得:x=3.点评:(1)本题易在去分母、去括号和移项中出现错误,还可能会在解题前产生害怕心理.因为看到小数、分数比较多,学生往往不知如何寻找公分母,怎样合并同类项,怎样化简,所以我们要教会学生分开进行,从 而达到分解难点的效果. (2)本题的另外一个重点是教会学生对于分数的分子、分母同时扩大或缩小若干倍,值不变.这一性质在 今后常会用到.4 .解方程:考点:解一元一次方程. 专题:计算题.分析:此题两边都含有分数,分母不相同,如果直接通分,有一定的难度,但将方程左右同时乘以公分母6,难度就会降低.解答:解:去分母得:3 ( 2 - x )- 18=2x -( 2x+3),去括号得:6 - 3x - 18= - 3, 移项合并得:-3x=9,••• x= - 3.点评:本题易在去分母和移项中出现错误,学生往往不知如何寻找公分母,怎样合并同类项,怎样化简,所以我们 要教会学生分开进行,从而达到分解难点的效果.5.解方程(1) 4 (x - 1)- 3 (20 - x ) =5 ( x - 2);考点:解一元一次方程. 专题:计算题.分析: (1)先去括号,再移项、合并同类项、化系数为1,从而得到方程的解; (2)先去分母,再去括号,最后移项,化系数为1,从而得到方程的解.解答: 解:(1)去括号得:4x - 4 - 60+3x=5x - 10 (2 分)移项得:4x+3x - 5x=4+60 - 10 ( 3 分) 合并得:2x=54 ( 5分) 系数化为1得:x=27; ( 6分)(2)去分母得:6x - 3 (x - 1) =12- 2 (x+2) ( 2 分) 去括号得:6x - 3x+3=12 - 2x - 4 (3 分) 移项得:6x - 3x+2x=12 - 4 - 3 ( 4 分) 合并得:5x=5 ( 5分) 系数化为1得:x=1. (6分)点评: 去分母时,方程两端同乘各分母的最小公倍数时,不要漏乘没有分母的项,同时要把分子(如果是一个多项式)作为一个整体加上括号.去括号时要注意符号的变化.6. (1)解方程:3 (x - 1) =2x+3;考点:解一元一次方程. 专题:计算题.分析:(1)是简单的一元一次方程,通过移项,系数化为1即可得到;(2) xK ~ 1=2- x+2(2)解方程:(2)是较为复杂的去分母,本题方程两边都含有分数系数,如果直接通分,有一定的难度,但对每一个式子先进行化简、整理为整数形式,难度就会降低.解答:解:(1)3x - 3=2x+33x —2x=3+3x=6;(2)方程两边都乘以6得:x+3=6x —3 (x—1)x+3=6x —3x+3x —6x+3x=3—3—2x=0••• x=0.点评:本题易在去分母、去括号和移项中出现错误,还可能会在解题前不知如何寻找公分母,怎样合并同类项,怎样化简,所以要学会分开进行,从而达到分解难点的效果. 去分母时,方程两端同乘各分母的最小公倍数时,不要漏乘没有分母的项,同时要把分子(如果是一个多项式)作为一个整体加上括号.7 .—丄(1 —2x)=二(3x+1)考点:解一元一次方程.专题:计算题.分析:这是一个带分母的方程,所以要先去分母,再去括号,最后移项,化系数为1,从而得到方程的解.解答:解:-7 (1 — 2x) =3X2( 3x+1)—7+14x=18x+6—4x=1313x=—W点评:解一兀一次方程的一般步骤是去分母、去括号、移项、合并冋类项和系数化为 1 .此题去分母时,方程两端冋乘各分母的最小公倍数时,不要漏乘没有分母的项,冋时要把分子(如果是一个多项式)作为一个整体加上括号.8.解方程:(1) 5 (x—1)—2 (x+1) =3 (x—1) +x+1;/小0. - 0- 18JC+0. 18 1. 5 _3s0.03 0.12 2考点:解一元一次方程. 专题:计算题.分析:(1)可米用去括号,移项,合并冋类项,系数化1的方式进行;(2 )本题方程两边都含有分数系数,如果直接通分,有一定的难度,但对每一个式子先进行化简、整理为整数形式,难度就会降低.解答:解:(1) 5 (x—1)—2 ( x+1) =3 ( x—1) +x+13x —7=4x —2• x= —5;_ 15 - 30x(2 )原方程可化为:=~~12~~2CT-去分母得:40x+60=5 (18 —18x)—3 (15 —30x),去括号得:40x+60=90 —90x —45+90X,移项、合并得:40x=- 15 ,系数化为1得:x=-:.点评:(1 )本题易在去分母、去括号和移项中出现错误,还可能会在解题前产生害怕心理•因为看到小数、分数比较多,学生往往不知如何寻找公分母,怎样合并同类项,怎样化简,所以我们要教会学生分开进行,从而达到分解难点的效果;(2)本题的另外一个重点是教会学生对于分数的分子、分母冋时扩大或缩小若干倍,值不变•这一性质在今后常会用到.9 •解方程:「迸G弓考点:解一兀一次方程.专题:计算题.分析:这是一个带分母的方程,所以要先去分母,再去括号,最后移项,化系数为1 , 从而得到方程的解.解答:解:K_ 3i+l _ x - 13 6 2去分母得:2x -(3x+1) =6 - 3(x- 1),去括号得:2x-3x- 1=6 -3x+3,移项、合并同类项得:2x=10,系数化为1得:点评:去分母时,方程两端同乘各分母的最小公倍数时,不要漏乘没有分母的项,同时要把分子 (如果是一个多项式)作为一个整体加上括号.10 .解方程:(1)4x - 3 (4 - x) =2;(2)£ (x- 1) =2-g (x+2).考点:解一兀一次方程.专题:计算题.分析:(1)先去括号,再移项,合并同类项,系数化1,即可求出方程的解;(2)先去分母,再去括号,移项,合并同类项,系数化1可求出方程的解.解答:解:(1) 4x-3(4 - x) =2去括号,得4x-12+3x=2移项,合并同类项7x=14 系数化1,得x=2.(2)丄(x- 1)2=2-琴(x+2)去分母,得5 ( x-1) =20 - 2(x+2)去括号,得5x-5=20 - 2x - 4移项、合并同类项,得7x=21 系数化1,得x=3.点评:(1 )此题主要是去括号,移项,合并同类项,系数化1 .(2 )方程两边每一项都要乘各分母的最小公倍数,方程两边每一项都要乘各分母的最小公倍数,切勿漏乘不含有分母的项,另外分数线有两层意义,一方面它是除号,另一方面它又代表着括号,所以在去分母时,应该将分子用括号括上.解一元一次方程;有理数的混合运算. 计算题.(1 )根据有理数的混合运算法则计算:先算乘方、后算乘除、再算加减;(2 )两边同时乘以最简公分母4,即可去掉分母.解:(1)原式( _ gx呂 _ 2)49J!一2.(2)去分母得:2 (x- 1) - (3x-1) =- 4, 解得:x=3. 解答此题要注意:(1)去分母时最好先去中括号、再去小括号,以减少去括号带来的符号变化次数;(2) 去分母就是方程两边同时乘11 .计算:(1)计算: —三[—3“ < -£)2-2]x - 1 _ 3x - 1_-12 4(2)解方程:考点:专题:分析:解答:点评:以分母的最简公分母.12 .解方程:广八3x _ 1 1 - 5蛊⑴⑵ 2[4X-(刍-〕仝3 3 2 4考点:解一元一次方程.专题:计算题.分析:(1 )这是一个带分母的方程,所以要先去分母,再去括号,最后移项,化系数为1,从而得到方程的解.(2 )解一元一次方程的一般步骤:去分母、去括号、移项、合并同类项、化系数为1 .解答:解:(1)去分母得:3 (3x - 1)+18=1 - 5x,去括号得:9x-3+18=1 - 5x,移项、合并得:14x=- 14,系数化为1得:x=- 1 ;(2)去括号得:艮¥x+1居孑骨+1才移项、合并同类项得:丄x= - 1 ,12T系数化为1得:12X=-〒点评:本题考查解一兀一次方程,正确掌握解一元一次方程的一般步骤,注意移项要变号、去分母时“ 1也要乘以最小公倍数.13 .解方程:(1)3兀+1■2-3x _ 2102z+35(2)4 ( K_D_K+1.0.5=-4解一元一次方程.计算题.(1 )去分母、去括号、移项、合并同类项、化系数为1 .(2 )去分母、去括号、移项、合并同类项、化系数为1 .(1 )解:去分母得:5 (3x+1)-2X 10=3x- 2-2 (2x+3),去括号得:15x+5 - 20=3x-2 - 4x- 6,移项得:15x+x= -8+15,合并得:16x=7,(2)解:4 (x- 1)- 18 (x+1) =-36, 4x-4 - 18x - 18=- 36,-14x= - 14,x=1.本题考查解一元一次方程,正确掌握解一元一次方程的一般步骤,注意移项要变号、去分母时“ 1也要乘以最小公倍数.考点:专题:分析:解答:点评:14 .解方程:(1) 5 (2x+1)- 2 ( 2x- 3) =6(2) x - 2 4 - 3^+2 4 -6(3) 卫[3 (x- 丄)+^]=5x - 1323考点:解一元一次方程.专题:计算题.分析:(2 )通过去括解答: 号、移项、合并同类项、系数化为1,解得x的值;(3 )乘最小公倍数去分母即可;(4 )主要是去括号,也可以把分数转化成整数进行计算.解:(1)去括号得:10x+5 -4x+6=6移项、合并得:6x= - 5, 方程两边都除5;6;以6,得x=-(2)去分母得:3 (x- 2) =2 (4 -3x) +24,去括号得:3x-6=8 - 6x+24,移项、合并得:9x=38,方程两边都除x= 19 (3 )整理得:以9,得(込)4+=]=5x - 1,4x—2+1=5x-1,移项、合并得:x=0.15点评: 一元一次方程的解法:一般要 通过去分母、去 括号、移项、合 并同类项、未知 数的系数化为1 等步骤,把一个 一元一次方程转化”成x=a 的 形式•解题时, 要灵活运用这 些步骤.15 . (A 类)解方程:5x - 2=7x+8;丄(x - 1) -( x+5)= 3 括号、移项、系 数化为1等方 法,求得各方程 的解.解:A 类:5x -2=7x+8移项:5x -7x=8+2化简:-2x=10 即:x= - 5;B 类:〒(x - 1)-(x+5)=--x - 5=-—3化简:」x=5即:x=C 类:(C 类)解方程: 4-葢-2x+l23 考点:解一元一次方 程.专题:计算题.分析: 通过去分母、 去2x+l =1解答: 去括号:—x- 3(B 类)解方程:=!•去分母:3 (4 -x)- 2 (2x+1) =6去括号:12 - 3x-4x - 2=6化简:-7x= - 4即:x=7本题主要考查一元一次方程的解法,比较简单,但要细心运算.考点:解一元一次方程.专题:计算题.分析:(1)去括号以后,移项,合并同类项,系数化为1即可求解;(2) (3)首先去掉分母,再去括号以后,移项,合并同类项,系数化为1以后即可求解;(4)首先根据分数的基本性质,把第一项分母中的化为整数,再去分母,求解.解答:解:(1)去括号得:3x+18=9 - 5+10x移项得:3x- 10x=9 - 5 - 18合并同类项得:-7x= - 14则x=2;(2)去分母得:2x+仁x+3 - 5移项,合并同类项得:x=- 3;(3)去分母得:10y+2 (y+2) =20 - 5 (y- 1)去括号得:10y+2y+4=20 - 5y+5移项,合并同类项得:17y=21系数化为1得:尸爼;y17(4)原方程可以变形为:型型-5x=- 13去分母得:17+20X - 15x=- 3移项,合并同类项得:5x=- 20系数化为1得:x=- 4.点评:解方程的过程中要注意每步的依据,这几个题目都是基础的题目,需要熟练掌握.17.解方程:(1)解方程:4x- 3 (5- x) =13点评:(2)解方程:v x - 2oX—■—考点:解一元一次方程.专题:计算题.分析:(1)先去括号,再移项,化系数为1,从而得到方程的解.(2 )这是一个带分母的方程,所以要先去分母,再去括号,最后移项,化系数为1,从而得到方程的解.解答:解:(1)去括号得:4x -15+3x=13,移项合并得:7x=28,系数化为1得:得x=4;(2 )原式变形为x+3=2K_ 5 23斗5,去分母得:5( 2x-5) +3 (x - 2)=15 (x+3),去括号得10x -25+3x-6=15x+45,移项合并得-2x=76,系数化为1得:x=- 38.点评:本题考查解一元一次方程,解一兀一次方程的一般步骤是:去分母、去括号、移项、合并同类项、化系数为1 •注意移项要变号.程;有理数的混 合运算.(1 )利用平方 和立方的定义 进行计算.(2 )按四则混 合运算的顺序 进行计算.(3 )主要是去 括号,移项合 并.(4 )两边同乘 最小公倍数去 分母,再求值. 解:(1)-I - 2| 3X(-丄)沖存X (讨)=-1 - 1=-2 •(2)- 12- | -—|- 2 -31 3(-3) 2]3*(-2-9) -i+|x3X ( -口) 1 n|=_ —218 • (1)计算:42X- 1 - I - 2|3 X(-二) (2)计算:-12- | -21 -J L X- 2-\3 [3 (3)解方程:4x - 3 (5 - x ) =2; (4)解方程: x _ 2 2K _ 5 k 5 " 3 考点: 解一元一次方(-3) 2] 3-分析: 解答:=_2•(3 )解方程:4x - 3 (5 - x)=2去括号,得4x-15+3x) =2移项,得4x+3x=2+15合并同类项,得7x=17系数化为1,得(4 )解方程:- 2 _ 5 °去分母,得15x-3 (x- 2) =5(2x- 5)-3X 15去括号,得15x-3x+6=10x -25 - 45移项,得15x -3x- 10x= - 25-45 - 6合并同类项,得2x= - 76系数化为1,得x=- 38.点评:前两道题考查了学生有理数的混合运算,后两道考查了学生解一元一次方程的能力.19 . (1)计算:(1 - 2 -4) X (弟);52(2)计算:(-1)c-|) n-舟);(3)解方程:3x+3=2x+7;(4)解方程:g (計15〕二d).□Z J解一元一次方程;有理数的混合运算.考点:计算题.(1 )和(2 )要熟练掌握有理数的混合运算;(3 )和(4 )首先熟悉解一元一次方程的步骤:去分母,去括号,移项,合并同类项,系数化为1.解: (1) (1 - 2-4) > 〈(举5=-5氷=-13;(2)原式=-1 X (-4- 2)(-3x+3=2x+7移项,得3x -2x=7 - 3合并同类项,得x=4;(4 )解方程:去分母,得6(x+15) =15- 10 (x-7)去括号,得6x+90=15 -10X+70移项,得6x+10x=15+70-90合并同类项,得16x=- 5系数化为1,得5(1 )和(2 )要注意符号的处理;(4)要特别(3 )解方程:专题:分析:解答:点评:注意去分母的时候不要发生数字漏乘的现象,熟练掌握去括号法则以及合并同类项法则.20 .解方程(1)-( X- 5) =1;解一元一次方程.(1 )通过去括号、移项、系数化为1等过程,求得x的值;(2 )通过去分母以及去括号、移项、系数化为1等过程,求得x的值.解:(1)-(X-5) =1;去括号得: -+1=1, 二―=0,••• x=0;去分母得:2 (x- 2) +6x=9(3x+5)-( 1-2x),• - 21x=48,16•・x= --x '.此题主要考查了一元一次方程解法,解一元一次方程常见的过程有去括号、移项、系数化为1等.21.解方程:(x+3)- 2 ( x- 1) =9- 3x.(2) x - 2 3 (3乂+5) 1 _ 2x 考点:分析:解答:K-2 3 (3工+5)1-276 点评:考点:解一兀一次方程.专题:计算题.分析:先去括号得x+3—2x+2=9 —3x,然后移项、合并同类得到2x=4, 然后把x的系数化为1即可.解答:解:去括号得x+3—2x+2=9—3x,移项得x —2x+3x=9—3 —2,合并得2x=4,系数化为1得x=2点评:本题考查了解一元一次方程:先去分母,再去括号,接着移项,把含未知数的项移到方程左边,不含未知数的项移到方程右边,然后合并同类项,最后把未知数的系数化为1得到原方程的解. 22. 8x—3=9+5x.5x+2 (3x—7) =9 X - 1 2x+l ’4 6 1 X —4 (2+x)._ 0. 3 x+0.10.4 0.5 J-考点:解一兀一次方程.专题:方程思想.分析:本题是解4个不同的一元一次方程,第一个通过移项、合并同类项及系数化1 求解.第二个先K ~ Q. 3 _x+Q, 1~ 0.5解:IO K H R :—=― +2解答:去括号再通过 移项、合并同类 项及系数化1求 解.第三个先去 分母再同第二 个.第四个先分 子分母乘以10, 再同第三个求 解.8x - 3=9+5x , 解:8x - 5x=9+3,3x=12, /• x=4. ••• x=4是原方程的解;5x+2 ( 3x - 7) =9 - 4 (2+x ),解: 5x+6x -14=9 - 8 - 4x , 5x+6x+4x=9- 8+14, 15x=15,• x=1 . • x=1是原方程 的解.解:3 (x - 1) -2 (2x+1) =12,3x - 3 - 4x - 2=12, 3x -4x=12+3+2,-x=17, • x=- 17. • x= - 17是原 方程的解.5 (10x - 3) =4 (10x+1) +40,50x -15=40x+4+40, 50x -40x=4+40+15, 10x=59,••• x= _」是原方10程的解.点评:此题考查的知识点是解一兀 一次方程,关键 是注意解方程 时的每一步都 要认真仔细,如 移项时要变符 号.考点: 解一元一次方 程.分析:(1 )首先去括号,然后移项、 合并同类项,系 数化成1,即可 求解;(2 )首先去分 母,然后去括 号,移项、合并 同类项,系数化 成1,即可求解 解答: 解:(1)去括号,得:-=-+ 移项,得:+=++ 合并同类项, 得:=, 则 x=4;(2)去分母得:7 (1 - 2x ) =3(3x+1)- 42, 去括号,得:7101-乃^+1 3=7(2)-2.23 .解下列方程:(1)- =-( x - 1 );-14x=9x+3 -42,移项,得:-14x -9x=3 - 42 -7,合并同类项, 得:-23x=-46, 则 x=2.点评:本题考查解一 元一次方程,解一元一次方程的一般步骤是:去分母、去括号、移项、合并同类项、化系数为1注意移项(4) 2 ( x+1) +6=3(3x - 2),2x+2+6=9x- 6, 2x -9x= - 6 - 2-6,要变号.-7x= - 14, x=2. 24. 解方程:点评:本题考查解一(1) -+3x=10; 兀一次方程,解(2) 3x+8=2x+6; 一兀一次方程(3) 2x+3 (x+1) =5 - 4 (x - 1); 的一般步骤是:x+1 3x - 2去分母、去括(4) Hr U- 2 .号、移项、合并同类项、化系数考点: 解一兀一次方为1 •注意移项程. 要变号.分析(1)移项,合并同类项,然后_ 1 ~|5x - 625.解方程:---- _------- 0 2系数化成1即可| 2 | 5求解;(2)移项,合考点:解一兀一次方并同类项,然后程.系数化成1即可专题:计算题.求解;分析:方程两边乘以(3 )去括号、10去分母后,去移项,合并同类括号,移项合项,然后系数化并,将x系数化成1即可求解;为1,即可求出(4 )首先去分解.母,然后去括解答:解:去分母得:号、移项,合并 5 (3x- 1)- 2同类项,然后系(5x- 6) =2,数化成1即可求去括号得:15x解. -5 -解答解:(1) 3x=, 10x+12=2,x=;移项合并得:5x= - 5,(2) 3x- 2x=6 解得:x= - 1.-8, 点评:此题考查了解x=- 2 ;一兀一次方程,其步骤为:去分(3) 2x+3x+3=5 母,去括号,移-4x+4, 项合并,将未知2x+3x+4x=5+4—数系数化为1,3, 求出解.9x=6,2X七;26 .解方程:(1) 10x- 12=5x+15; ⑵变号. 吉丘-C-l) ]=-| 2)32 3 227.解万程:考点:(1) 8y—3 (3y+2) =7解一兀一次方_ 1 - 7程.(2) ----- - 1=--------r 6专题:计算题.分析:(1 )先移项,考点解兀次方再合并同类项,程.最后化系数为专题计算题.1,从而得到方分析: (1 )根据一兀程的解;一次方程的解(2)先去括号,法,去括号,移再移项、合并同项,合并同类类项,最后化系项,系数化为1数为1,从而得即可得解;到方程的解. (2 )这是一个解答:解:(1)移项,带分母的方程,得所以要先去分10x- 母,再去括号,5x=12+15, 最后移项,合并合并同类项,得同类项,系数化5x=27, 为1,从而得到方程的两边同方程的解.时除以5,得解答: 解:(1)去括号27得,8y —9y —x= ・X翔;6=7,移项、合并得,(2 )去括号,—y=13,得系数化为1得,垃+1=2拭-1y=—13;£ = 3 ,方程的两边同(2)去分母得,时乘以6,得 3 (3x—1)—x+1= 4x—2, 12=2 (5x—7),移项、合并同类去括号得,9x —项,得3—12=10x —3x=3, 14,方程的两边同移项得,9x —时除以3,得10x=—x=1. 14+3+12,点评:本题考查解一合并同类项得,兀一次方程,解—x=1,系数化为1得,兀次方程的一般步骤:去x= —1 .分母、去括号、移项、合并同类点评: 本题主要考查-Z 屈??、怜了解兀次项、化系数为万程,注意在去1.注意移项要分母时,方程两端同乘各分母端同乘各分母的最小公倍数的最小公倍数时,不要漏乘没时,不要漏乘没有分母的项,同有分母的项,同时要把分子(如时要把分子(如果是一个多项果是一个多项式)作为一个整式)作为一个整体加上括号. 体加上括号."1 *7 | 28•当k为什么数时,式子「比丄1的值少3- 29.(I)解下列方程:12y - =+5(II)x+1 3x - 2 _ 2x43考点:A77 VAr-rr 210 5解兀次万程.专题:计算题. 考点: 解兀次方分析:先根据题意列程.出方程,再根据专题:计算题.分析: (I)根据一兀兀次方程的解法,去分一次方程的解母,去括号,移法,移项,合并项,合并同类同类项,系数化项,系数化为1 为1即可得解;即可得解. (n)是一个带解答:解:依题意,得分母的方程,所2k+l^-k|, 以要先去分母,3 5再去括号,最后3, 移项,合并同类去分母得,5 项,系数化为1,(2k+1) =3 (17 从而得到方程-k) +45, 的解.去括号得,解答: 解:(I )移项10k+5=51 - 得,12y -- =5,3k+45, 合并同类项得,移项得,2y=5,10k+3k=51+45 系数化为1得,-5,合并同类项得,y=;13k=91, (n )去分母系数化为1得,得,5 (x+1)-k=7, 10= (3x- 2)-•••当k=7时,式 2 (2x+3),子—比子去括号得,5x+5 -10=3x- 2 -QL-+1的值少3. 4x- 6,移项得,5x-点评:本题主要考查-Z 、怜3x+4x= - 2 - 6 -5+10,了解兀次合并同类项得,方程,注意在去分母时,方程两6x= - 3,点评: 系数化为1得,x=-2.2本题主要考查点评:了解一元一次方程,注意在去分母时,方程两端同乘各分母的最小公倍数时,不要漏乘没有分母的项,同时要把分子(如果是一个多项系数化为1,得(8分)本题考查一元次方程的解法.解一元一次30 .解方程: 考点:专题:分析:式)作为.个整体加上括号.3x- 1.1 4K -0. 2 _0・ 16 -0.46.3 - 0- 06解答: 解一元一次方程.计算题.由于方程的分子、分母均有小数,利用分数的基本性质,分子、分母同时扩大相同的倍数,可将小数化成整数.解:原方程变形为30K-11 40^-2 L6 - 70x4~=&,(3 分)去分母,得3X(30x - 11)-4X(40x - 2) =2 X(16 - 70x) , (4分)去括号,得90x-33 -160x+8=32-140x, (5 分)移项,得90x -160x+140x=32+33 - 8, (6 分)合并同类项,得70x=57, (7 分)方程的一般步骤:去分母,去括号,移项,合并同类项,系数化为1•本题的难点在于方程的分子、分母均有小数,将小数化成整数不同于去分母,不是方程两边同乘一个数,而是将分子、分母同乘一个数.。
自我测试 60 分钟看看准确率 牛刀小试 相信自己一定行1、 2x +1=7 ;2、 5x -2=8 ;3、 3x +3=2x +7 ;4、 x +5=3x -7 ;解:(移项)(合并)(化系数为 1)5、 11x -2=14x -9 ;6、 x -9=4x +27 ;7、 2 x + 6=1;8、 10 x -3=9 ;解:(移项)(合并)(化系数为 1)9、 4x -2=3-x ; 10、 -7 x + 2=2x -4 ;11、 5x -2= 7x +8 ;12、 1 x =- 1 x +34 2解:(移项)(合并)(化系数为 113、 x = 3 x + 35 2 x + 1 x 21- x =3x + ; 15、 - x =- 2x - =- +16 14、 1; 16、 2 2 2 5 3 3解:(移项)(合并)(化系数为 1).( x +0.5)+ x =7 ( x -1)= 4 ( x -1)= 1 ; 20、 2-( 1- x )=- 217、 4 ; 18、-2 ; 19、 5 ;解:(去括号)(移项)(合并)(化系数为 1)11x +1=5(2x +1) 4x -(320- x )= 3 5( x +8)- 5=0 2 21、 ; 22、 . 23、 ; 24、 ;解:(去括号)(移项)(合并)(化系数为 1)25、 -3( x +3)= 24 ; 26、 - 2( x - 2)=12; 27、 12(2-3x )= 4x +4 ; 28、 6-(3 x + 2)= 2 ;3 3解:(去括号)(移项)(合并)(化系数为 1)29、 (2200-15x )= 70+25x ; + 2= x ; - x x30、 (32x +1)=12 .31、 x 32、 3 = +4 ;5 4 2 3解:(去分母)(去括号)(移项)(合并)(化系数为 1)1 1 1 12 x - x + 2 1 = -( x +1)= (2x -3) ( x +1)= ( x -1) 33、 3; 34、 4 ; 35、 3 4 ;7 3 解:(去分母) (去括号) (移项) (合并) (化系数为 1( x -1)= 2- ( x + 2) 37、 ( x +14)= ( x +20) ( x +15)= - ( x -7) 36、 1 1 . 1 1 ; 38、 1 1 1. 2 5 7 4 5 2 3解:(去分母)(去括号) (移项)(合并) (化系数为 11 1 3 7 x - 5 32 x - 5 x +1 1 9x -2 x -= = 1 = - =39、 ; 4 2 ; 40、 4 8; 41、 6 ; 42、 2 x 7 64 8解:(去分母)(去括号)(移项)(合并)(化系数为 11 12 x + 5 x - 1 x )= 1 - 143、 x - ( - 1 =1 (2 x +14)= 4-2x3 2 ; 44、 ; 45、 ;5 2 36 7解:(去分母)(去括号)(移项)(合并)(化系数为 146、 3( 200+ x )- 2(300- x )= 300 9 . 47、 (83x -1)-(95x -11)-(22x -7)=30 ;10 10 25解:(去分母)(去括号)(移项)(合并)(化系数为 148、 1 x + 1= 1 x - 1 ; 49、 0.5x -1- 0.1x +2=-1; 50、 x -1 - x + 2 =12 .2 3 4 5 0.2 0.3 0.3 0.5解:(化整)(去分母)(去括号)(移项)(合并)(化系数为 1【参考答案】1、【答案】 (1) x =3 ; (2) x = 2 ; (3) x =4 ; (4) x =6;( 5) x = 7 ; ( 6) x =-12 ; ( 7) x =4 ; (8) x =-32 . 31.1、【答案】 ( 9) x =- 5 ; ( 10) x = 6 ; ( 11) x =-5 ; ( 12) x =- 1 ; 2 5 3( 13) x =1; ( 14) x = 2 ; ( 15 ) x =- 5 ; ( ) x =1 . 3 3 162、【答案】( 17) x =1 ;(18) x =-1 ; (19) x = 6 ; ( 20 ) x =- 3 ; ( 21 ) x =4 ; ( ) x =9 .2252.1、【答案】(23) x =- 7 ; ( 24) x =- 3 ; (25) x =-11 ; (26) x =- 4 ; ( 27) x = 1 ;( 28) x = 10 ; 2 2 9 ( 29) x =6 ; ( ) x = 3 30 . 23、【答案】 ( 31) x =8 ; ( 32) x = 1 ; ( ) x =-16 ; ( 34) x =7 ; ( 35 ) x =- 2 ;5 33 5( 36) x =3 ; ( 37) x =- 28 ; (38) x =- 5 .163.1、【答案】 ( 39) x =5 ; ( 40) x = 13 ; ( ) x =-1 ;( ) x =- 20; ( 43) x = 25 ;14 41 42 3 12( 44) x =-3 ; ( 45) x = 7 ; ( 46) x =216 . 84、【答案】 ( 47) x =3 ; ( 48) x =- 32 ; ( 49) x =64 ; ( 50) x = 29 . 15 13 2。
初一七年级一元一次方程30题(含答案解析)一.解答题(共30小题)1.(2005•宁德)解方程:2x+1=72.3.(1)解方程:4﹣x=3(2﹣x);(2)解方程:.4.解方程:.5.解方程(1)4(x﹣1)﹣3(20﹣x)=5(x﹣2);(2)x ﹣=2﹣.6.(1)解方程:3(x﹣1)=2x+3;(2)解方程:=x ﹣.7.﹣(1﹣2x)=(3x+1)8.解方程:(1)5(x﹣1)﹣2(x+1)=3(x﹣1)+x+1;(2).9.解方程:.10.解方程:(1)4x﹣3(4﹣x)=2;(2)(x﹣1)=2﹣(x+2).11.计算:(1)计算:(2)解方程:12.解方程:13.解方程:(1)(2)14.解方程:(1)5(2x+1)﹣2(2x﹣3)=6 (2)+2(3)[3(x ﹣)+]=5x﹣115.(A类)解方程:5x﹣2=7x+8;(B 类)解方程:(x﹣1)﹣(x+5)=﹣;(C 类)解方程:.16.解方程(1)3(x+6)=9﹣5(1﹣2x)(2)(3)(4)17.解方程:(1)解方程:4x﹣3(5﹣x)=13(2)解方程:x ﹣﹣318.(1)计算:﹣42×+|﹣2|3×(﹣)(2)计算:﹣12﹣|0.5﹣|÷×[﹣2﹣(﹣3)2](3)解方程:4x﹣3(5﹣x)=2;(4)解方程:.19.(1)计算:(1﹣2﹣4)×;(2)计算:÷;(3)解方程:3x+3=2x+7;(4)解方程:.20.解方程(1)﹣0.2(x﹣5)=1;(2).21.解方程:(x+3)﹣2(x﹣1)=9﹣3x.22.8x﹣3=9+5x.5x+2(3x﹣7)=9﹣4(2+x)...23.解下列方程:(1)0.5x﹣0.7=5.2﹣1.3(x﹣1);(2)=﹣2.24.解方程:(1)﹣0.5+3x=10;(2)3x+8=2x+6;(3)2x+3(x+1)=5﹣4(x﹣1);(4).25.解方程:.26.解方程:(1)10x﹣12=5x+15;(2)27.解方程:(1)8y﹣3(3y+2)=7(2).28.当k 为什么数时,式子比的值少29.解下列方程:(I)12y﹣2.5y=7.5y+5(II ).30.解方程:6.2.4解一元一次方程(三)参考答案与试题解析一.解答题(共30小题)考点:解一元一次方程.专题:计算题;压轴题.分析:此题直接通过移项,合并同类项,系数化为1可求解.解答:解:原方程可化为:2x=7﹣1合并得:2x=6系数化为1得:x=3点评:解一元一次方程,一般要通过去分母,去括号,移项,合并同类项,未知数的系数化为1等步骤,把个一元一次方程“转化”成x=a的形式.2.解可得x=.故原方程的解为x=.点评:若是分式方程,先同分母,转化为整式方程后,再移项化简,解方程可得答案.3.(1)解方程:4﹣x=3(2﹣x);(2)解方程:.考点:解一元一次方程.专题:计算题.分析:(1)先去括号,然后再移项、合并同类型,最后化系数为1,得出方程的解;(2)题的方程中含有分数系数,应先对各式进行化简、整理,然后再按(1)的步骤求解.解答:解:(1)去括号得:4﹣x=6﹣3x,移项得:﹣x+3x=6﹣4,合并得:2x=2,系数化为1得:x=1.(2)去分母得:5(x﹣1)﹣2(x+1)=2,去括号得:5x﹣5﹣2x﹣2=2,移项得:5x﹣2x=2+5+2,合并得:3x=9,系数化1得:x=3.点评:(1)本题易在去分母、去括号和移项中出现错误,还可能会在解题前产生害怕心理.因为看到小数、数比较多,学生往往不知如何寻找公分母,怎样合并同类项,怎样化简,所以我们要教会学生分开进从而达到分解难点的效果.(2)本题的另外一个重点是教会学生对于分数的分子、分母同时扩大或缩小若干倍,值不变.这一性在今后常会用到.4.解方程:.考点:解一元一次方程.专题:计算题.分析:此题两边都含有分数,分母不相同,如果直接通分,有一定的难度,但将方程左右同时乘以公分母6,就会降低.解答:解:去分母得:3(2﹣x)﹣18=2x﹣(2x+3),去括号得:6﹣3x﹣18=﹣3,移项合并得:﹣3x=9,∴x=﹣3.点评:本题易在去分母和移项中出现错误,学生往往不知如何寻找公分母,怎样合并同类项,怎样化简,所以要教会学生分开进行,从而达到分解难点的效果.(1)4(x﹣1)﹣3(20﹣x)=5(x﹣2);(2)x﹣=2﹣.移项得:4x+3x﹣5x=4+60﹣10(3分)合并得:2x=54(5分)系数化为1得:x=27;(6分)(2)去分母得:6x﹣3(x﹣1)=12﹣2(x+2)(2分)去括号得:6x﹣3x+3=12﹣2x﹣4(3分)移项得:6x﹣3x+2x=12﹣4﹣3(4分)合并得:5x=5(5分)系数化为1得:x=1.(6分)点评:去分母时,方程两端同乘各分母的最小公倍数时,不要漏乘没有分母的项,同时要把分子(如果是一项式)作为一个整体加上括号.去括号时要注意符号的变化.6.(1)解方程:3(x﹣1)=2x+3;(2)解方程:=x﹣.考点:解一元一次方程.专题:计算题.分析:(1)是简单的一元一次方程,通过移项,系数化为1即可得到;(2)是较为复杂的去分母,本题方程两边都含有分数系数,如果直接通分,有一定的难度,但对每一式子先进行化简、整理为整数形式,难度就会降低.解答:解:(1)3x﹣3=2x+33x﹣2x=3+3x=6;(2)方程两边都乘以6得:x+3=6x﹣3(x﹣1)x+3=6x﹣3x+3x﹣6x+3x=3﹣3﹣2x=0∴x=0.点评:本题易在去分母、去括号和移项中出现错误,还可能会在解题前不知如何寻找公分母,怎样合并同类项怎样化简,所以要学会分开进行,从而达到分解难点的效果.去分母时,方程两端同乘各分母的最小公数时,不要漏乘没有分母的项,同时要把分子(如果是一个多项式)作为一个整体加上括号.7.﹣(1﹣2x)=(3x+1)考点:解一元一次方程.专题:计算题.分析:这是一个带分母的方程,所以要先去分母,再去括号,最后移项,化系数为1,从而得到方程的解.(1)5(x﹣1)﹣2(x+1)=3(x﹣1)+x+1;(2).考点:解一元一次方程.专题:计算题.分析:(1)可采用去括号,移项,合并同类项,系数化1的方式进行;(2)本题方程两边都含有分数系数,如果直接通分,有一定的难度,但对每一个式子先进行化简、整整数形式,难度就会降低.解答:解:(1)5(x﹣1)﹣2(x+1)=3(x﹣1)+x+13x﹣7=4x﹣2∴x=﹣5;(2)原方程可化为:去分母得:40x+60=5(18﹣18x)﹣3(15﹣30x),去括号得:40x+60=90﹣90x﹣45+90x,移项、合并得:40x=﹣15,系数化为1得:x=.点评:(1)本题易在去分母、去括号和移项中出现错误,还可能会在解题前产生害怕心理.因为看到小数、比较多,学生往往不知如何寻找公分母,怎样合并同类项,怎样化简,所以我们要教会学生分开进行,而达到分解难点的效果;(2)本题的另外一个重点是教会学生对于分数的分子、分母同时扩大或缩小若干倍,值不变.这一性今后常会用到.9.解方程:.考点:解一元一次方程.专题:计算题.分析:这是一个带分母的方程,所以要先去分母,再去括号,最后移项,化系数为1,从而得到方程的解.解答:解:,去分母得:2x﹣(3x+1)=6﹣3(x﹣1),去括号得:2x﹣3x﹣1=6﹣3x+3,移项、合并同类项得:2x=10,系数化为1得:x=5.点评:去分母时,方程两端同乘各分母的最小公倍数时,不要漏乘没有分母的项,同时要把分子(如果是一个多项式)作为一个整体加上括号.10.解方程:(1)4x﹣3(4﹣x)=2;(2)(x﹣1)=2﹣(x+2).考点:解一元一次方程.专题:计算题.分析:(1)先去括号,再移项,合并同类项,系数化1,即可求出方程的解;(2)先去分母,再去括号,移项,合并同类项,系数化1可求出方程的解.解答:解:(1)4x﹣3(4﹣x)=2去括号,得4x﹣12+3x=2移项,合并同类项7x=14系数化1,得x=2.(2)(x﹣1)=2﹣(x+2)去分母,得5(x﹣1)=20﹣2(x+2)去括号,得5x﹣5=20﹣2x﹣4移项、合并同类项,得7x=21系数化1,得x=3.点评:(1)此题主要是去括号,移项,合并同类项,系数化1.(2)方程两边每一项都要乘各分母的最小公倍数,方程两边每一项都要乘各分母的最小公倍数,切勿漏乘不含有分母的项,另外分数线有两层意义,一方面它是除号,另一方面它又代表着括号,所以在去分母时,应该将分子用括号括上.11.计算:(1)计算:(2)解方程:考点:解一元一次方程;有理数的混合运算.专题:计算题.分析:(1)根据有理数的混合运算法则计算:先算乘方、后算乘除、再算加减;(2)两边同时乘以最简公分母4,即可去掉分母.解答:解:(1)原式=,=,=.(2)去分母得:2(x﹣1)﹣(3x﹣1)=﹣4,解得:x=3.点评:解答此题要注意:(1)去分母时最好先去中括号、再去小括号,以减少去括号带来的符号变化次数;(2)去分母就是方程两边同时乘以分母的最简公分母.12.解方程:考点:解一元一次方程.专题:计算题.分析:(1)这是一个带分母的方程,所以要先去分母,再去括号,最后移项,化系数为1,从而得到方程的解.(2)解一元一次方程的一般步骤:去分母、去括号、移项、合并同类项、化系数为1.解答:解:(1)去分母得:3(3x﹣1)+18=1﹣5x,去括号得:9x﹣3+18=1﹣5x,移项、合并得:14x=﹣14,系数化为1得:x=﹣1;(2)去括号得:x﹣x+1=x,移项、合并同类项得:x=﹣1,系数化为1得:x=﹣.点评:本题考查解一元一次方程,正确掌握解一元一次方程的一般步骤,注意移项要变号、去分母时“1”也要乘以最小公倍数.(1)(2)考点:解一元一次方程.专题:计算题.分析:(1)去分母、去括号、移项、合并同类项、化系数为1.(2)去分母、去括号、移项、合并同类项、化系数为1.解答:(1)解:去分母得:5(3x+1)﹣2×10=3x﹣2﹣2(2x+3),去括号得:15x+5﹣20=3x﹣2﹣4x﹣6,移项得:15x+x=﹣8+15,合并得:16x=7,解得:;(2)解:,4(x﹣1)﹣18(x+1)=﹣36,4x﹣4﹣18x﹣18=﹣36,﹣14x=﹣14,x=1.点评:本题考查解一元一次方程,正确掌握解一元一次方程的一般步骤,注意移项要变号、去分母时“1”也要乘以最小公倍数.2(2x﹣3)=6 (2)+2(3)[3(x﹣)+]=5x﹣1考点:解一元一次方程.专题:计算题.分析:(2)通过去括号、移项、合并同类项、系数化为1,解得x的值;(3)乘最小公倍数去分母即可;(4)主要是去括号,也可以把分数转化成整数进行计算.解答:解:(1)去括号得:10x+5﹣4x+6=6移项、合并得:6x=﹣5,方程两边都除以6,得x=﹣;(2)去分母得:3(x﹣2)=2(4﹣3x)+24,去括号得:3x﹣6=8﹣6x+24,移项、合并得:9x=38,方程两边都除以9,得x=;(3)整理得:[3(x﹣)+]=5x﹣1,4x﹣2+1=5x﹣1,移项、合并得:x=0.点评:一元一次方程的解法:一般要通过去分母、去括号、移项、合并同类项、未知数的系数化为1等步骤,把一个一元一次方程“转化”成x=a的形式.解题时,要灵活运用这些步骤.15.(A类)解方程:5x﹣2=7x+8;(B类)解方程:(x﹣1)﹣(x+5)=﹣;(C类)解方程:.考点:解一元一次方程.专题:计算题.分析:通过去分母、去括号、移项、系数化为1等方法,求得各方程的解.解答:解:A类:5x﹣2=7x+8移项:5x﹣7x=8+2化简:﹣2x=10即:x=﹣5;B类:(x﹣1)﹣(x+5)=﹣去括号:x﹣﹣x﹣5=﹣化简:x=5即:x=﹣;C类:﹣=1去分母:3(4﹣x)﹣2(2x+1)=6去括号:12﹣3x﹣4x﹣2=6化简:﹣7x=﹣4即:x=.点评:本题主要考查一元一次方程的解法,比较简单,但要细心运算.16.解方程(1)3(x+6)=9﹣5(1﹣2x)(2)(3)(4)考点:解一元一次方程.专题:计算题.分析:(1)去括号以后,移项,合并同类项,系数化为1即可求解;(2)(3)首先去掉分母,再去括号以后,移项,合并同类项,系数化为1以后即可求解;(4)首先根据分数的基本性质,把第一项分母中的0.3化为整数,再去分母,求解.解答:解:(1)去括号得:3x+18=9﹣5+10x移项得:3x﹣10x=9﹣5﹣18合并同类项得:﹣7x=﹣14则x=2;(2)去分母得:2x+1=x+3﹣5移项,合并同类项得:x=﹣3;(3)去分母得:10y+2(y+2)=20﹣5(y﹣1)去括号得:10y+2y+4=20﹣5y+5移项,合并同类项得:17y=21系数化为1得:;(4)原方程可以变形为:﹣5x=﹣1去分母得:17+20x﹣15x=﹣3移项,合并同类项得:5x=﹣20系数化为1得:x=﹣4.点评:解方程的过程中要注意每步的依据,这几个题目都是基础的题目,需要熟练掌握.17.解方程:(1)解方程:4x﹣3(5﹣x)=13(2)解方程:x﹣﹣3考点:解一元一次方程.专题:计算题.分析:(1)先去括号,再移项,化系数为1,从而得到方程的解.(2)这是一个带分母的方程,所以要先去分母,再去括号,最后移项,化系数为1,从而得到方程的解.解答:解:(1)去括号得:4x﹣15+3x=13,移项合并得:7x=28,系数化为1得:得x=4;(2)原式变形为x+3=,去分母得:5(2x﹣5)+3(x﹣2)=15(x+3),去括号得10x﹣25+3x﹣6=15x+45,移项合并得﹣2x=76,系数化为1得:x=﹣38.点评:本题考查解一元一次方程,解一元一次方程的一般步骤是:去分母、去括号、移项、合并同类项、化系数为1.注意移项要变号.18.(1)计算:﹣42×+|﹣2|3×(﹣)3(2)计算:﹣12﹣|0.5﹣|÷×[﹣2﹣(﹣3)2](3)解方程:4x﹣3(5﹣x)=2;(4)解方程:.考点:解一元一次方程;有理数的混合运算.分析:(1)利用平方和立方的定义进行计算.(2)按四则混合运算的顺序进行计算.(3)主要是去括号,移项合并.(4)两边同乘最小公倍数去分母,再求值.解答:解:(1)﹣42×+|﹣2|3×(﹣)3==﹣1﹣1=﹣2.(2)﹣12﹣|0.5﹣|÷×[﹣2﹣(﹣3)2]====.(3)解方程:4x﹣3(5﹣x)=2去括号,得4x﹣15+3x)=2移项,得4x+3x=2+15合并同类项,得7x=17系数化为1,得.(4)解方程:去分母,得15x﹣3(x﹣2)=5(2x﹣5)﹣3×15去括号,得15x﹣3x+6=10x﹣25﹣45移项,得15x﹣3x﹣10x=﹣25﹣45﹣6合并同类项,得2x=﹣76系数化为1,得x=﹣38.点评:前两道题考查了学生有理数的混合运算,后两道考查了学生解一元一次方程的能力.19.(1)计算:(1﹣2﹣4)×;(2)计算:÷;(3)解方程:3x+3=2x+7;(4)解方程:.考点:解一元一次方程;有理数的混合运算.专题:计算题.分析:(1)和(2)要熟练掌握有理数的混合运算;(3)和(4)首先熟悉解一元一次方程的步骤:去分母,去括号,移项,合并同类项,系数化为1.解答:解:(1)(1﹣2﹣4)×=﹣=﹣13;(2)原式=﹣1×(﹣4﹣2)×(﹣)=6×(﹣)=﹣9;(3)解方程:3x+3=2x+7移项,得3x﹣2x=7﹣3合并同类项,得x=4;(4)解方程:去分母,得6(x+15)=15﹣10(x﹣7)去括号,得6x+90=15﹣10x+70移项,得6x+10x=15+70﹣90合并同类项,得16x=﹣5系数化为1,得x=.点评:(1)和(2)要注意符号的处理;(4)要特别注意去分母的时候不要发生数字漏乘的现象,熟练掌握去括号法则以及合并同类项法则.20.解方程(1)﹣0.2(x﹣5)=1;(2).考点:解一元一次方程.分析:(1)通过去括号、移项、系数化为1等过程,求得x的值;(2)通过去分母以及去括号、移项、系数化为1等过程,求得x的值.解答:解:(1)﹣0.2(x﹣5)=1;去括号得:﹣0.2x+1=1,∴﹣0.2x=0,∴x=0;(2).去分母得:2(x﹣2)+6x=9(3x+5)﹣(1﹣2x),∴﹣21x=48,∴x=﹣.点评:此题主要考查了一元一次方程解法,解一元一次方程常见的过程有去括号、移项、系数化为1等.)=9﹣3x.考点:解一元一次方程.专题:计算题.分析:先去括号得x+3﹣2x+2=9﹣3x,然后移项、合并同类得到2x=4,然后把x的系数化为1即可.解答:解:去括号得x+3﹣2x+2=9﹣3x,移项得x﹣2x+3x=9﹣3﹣2,合并得2x=4,系数化为1得x=2.点评:本题考查了解一元一次方程:先去分母,再去括号,接着移项,把含未知数的项移到方程左边,不含未知数的项移到方程右边,然后合并同类项,最后把未知数的系数化为1得到原方程的解.22.8x﹣3=9+5x.5x+2(3x﹣7)=9﹣4(2+x)...考点:解一元一次方程.专题:方程思想.分析:本题是解4个不同的一元一次方程,第一个通过移项、合并同类项及系数化1求解.第二个先去括号再通过移项、合并同类项及系数化1求解.第三个先去分母再同第二个.第四个先分子分母乘以10,再同第三个求解.解答:8x﹣3=9+5x,解:8x﹣5x=9+3,3x=12,∴x=4.∴x=4是原方程的解;5x+2(3x﹣7)=9﹣4(2+x),解:5x+6x﹣14=9﹣8﹣4x,5x+6x+4x=9﹣8+14,15x=15,∴x=1.∴x=1是原方程的解..解:3(x﹣1)﹣2(2x+1)=12,3x﹣3﹣4x﹣2=12,3x﹣4x=12+3+2,﹣x=17,∴x=﹣17.∴x=﹣17是原方程的解.,解:,5(10x﹣3)=4(10x+1)+40,50x﹣15=40x+4+40,50x﹣40x=4+40+15,10x=59,∴x=.∴x=是原方程的解.点评:此题考查的知识点是解一元一次方程,关键是注意解方程时的每一步都要认真仔细,如移项时要变符号.23.解下列方程:(1)0.5x﹣0.7=5.2﹣1.3(x﹣1);(2)=﹣2.考点:解一元一次方程.分析:(1)首先去括号,然后移项、合并同类项,系数化成1,即可求解;(2)首先去分母,然后去括号,移项、合并同类项,系数化成1,即可求解解答:解:(1)去括号,得:0.5x﹣0.7=5.2﹣1.3x+1.3移项,得:0.5x+1.3x=5.2+1.3+0.7合并同类项,得:1.8x=7.2,则x=4;(2)去分母得:7(1﹣2x)=3(3x+1)﹣42,去括号,得:7﹣14x=9x+3﹣42,移项,得:﹣14x﹣9x=3﹣42﹣7,合并同类项,得:﹣23x=﹣46,则x=2.点评:本题考查解一元一次方程,解一元一次方程的一般步骤是:去分母、去括号、移项、合并同类项、化系数为1.注意移项要变号.24.解方程:(1)﹣0.5+3x=10;(2)3x+8=2x+6;(3)2x+3(x+1)=5﹣4(x﹣1);(4).考点:解一元一次方程.分析:(1)移项,合并同类项,然后系数化成1即可求解;(2)移项,合并同类项,然后系数化成1即可求解;(3)去括号、移项,合并同类项,然后系数化成1即可求解;(4)首先去分母,然后去括号、移项,合并同类项,然后系数化成1即可求解.解答:解:(1)3x=10.5,x=3.5;(2)3x﹣2x=6﹣8,x=﹣2;(3)2x+3x+3=5﹣4x+4,2x+3x+4x=5+4﹣3,9x=6,x=;(4)2(x+1)+6=3(3x﹣2),2x+2+6=9x﹣6,2x﹣9x=﹣6﹣2﹣6,﹣7x=﹣14,x=2.点评:本题考查解一元一次方程,解一元一次方程的一般步骤是:去分母、去括号、移项、合并同类项、化系数为1.注意移项要变号.25.解方程:.考点:解一元一次方程.专题:计算题.分析:方程两边乘以10去分母后,去括号,移项合并,将x系数化为1,即可求出解.解答:解:去分母得:5(3x﹣1)﹣2(5x﹣6)=2,去括号得:15x﹣5﹣10x+12=2,移项合并得:5x=﹣5,解得:x=﹣1.点评:此题考查了解一元一次方程,其步骤为:去分母,去括号,移项合并,将未知数系数化为1,求出解.26.解方程:(1)10x﹣12=5x+15;(2)考点:解一元一次方程.专题:计算题.分析:(1)先移项,再合并同类项,最后化系数为1,从而得到方程的解;(2)先去括号,再移项、合并同类项,最后化系数为1,从而得到方程的解.解答:解:(1)移项,得10x﹣5x=12+15,合并同类项,得5x=27,方程的两边同时除以5,得x=;(2)去括号,得=,方程的两边同时乘以6,得x+1=4x﹣2,移项、合并同类项,得3x=3,方程的两边同时除以3,得x=1.点评:本题考查解一元一次方程,解一元一次方程的一般步骤:去分母、去括号、移项、合并同类项、化系数为1.注意移项要变号.27.解方程:(1)8y﹣3(3y+2)=7 (2).考点:解一元一次方程.专题:计算题.分析:(1)根据一元一次方程的解法,去括号,移项,合并同类项,系数化为1即可得解;(2)这是一个带分母的方程,所以要先去分母,再去括号,最后移项,合并同类项,系数化为1,从而得到方程的解.解答:解:(1)去括号得,8y﹣9y﹣6=7,移项、合并得,﹣y=13,系数化为1得,y=﹣13;(2)去分母得,3(3x﹣1)﹣12=2(5x﹣7),去括号得,9x﹣3﹣12=10x﹣14,移项得,9x﹣10x=﹣14+3+12,合并同类项得,﹣x=1,系数化为1得,x=﹣1.点评:本题主要考查了解一元一次方程,注意在去分母时,方程两端同乘各分母的最小公倍数时,不要漏乘没有分母的项,同时要把分子(如果是一个多项式)作为一个整体加上括号.28.当k为什么数时,式子比的值少考点:解一元一次方程.专题:计算题.分析:先根据题意列出方程,再根据一元一次方程的解法,去分母,去括号,移项,合并同类项,系数化为1即可得解.解答:解:依题意,得=+3,去分母得,5(2k+1)=3(17﹣k)+45,去括号得,10k+5=51﹣3k+45,移项得,10k+3k=51+45﹣5,合并同类项得,13k=91,系数化为1得,k=7,∴当k=7时,式子比的值少3.点评:本题主要考查了解一元一次方程,注意在去分母时,方程两端同乘各分母的最小公倍数时,不要漏乘没有分母的项,同时要把分子(如果是一个多项式)作为一个整体加上括号.29.解下列方程:(I)12y﹣2.5y=7.5y+5(II).考点:解一元一次方程.专题:计算题.分析:(Ⅰ)根据一元一次方程的解法,移项,合并同类项,系数化为1即可得解;(Ⅱ)是一个带分母的方程,所以要先去分母,再去括号,最后移项,合并同类项,系数化为1,从而得到方程的解.解答:解:(Ⅰ)移项得,12y﹣2.5y﹣7.5y=5,合并同类项得,2y=5,系数化为1得,y=2.5;(Ⅱ)去分母得,5(x+1)﹣10=(3x﹣2)﹣2(2x+3),去括号得,5x+5﹣10=3x﹣2﹣4x﹣6,移项得,5x﹣3x+4x=﹣2﹣6﹣5+10,合并同类项得,6x=﹣3,系数化为1得,x=﹣.点评:本题主要考查了解一元一次方程,注意在去分母时,方程两端同乘各分母的最小公倍数时,不要漏乘没有分母的项,同时要把分子(如果是一个多项式)作为一个整体加上括号.30.解方程:考点:解一元一次方程.专题:计算题.分析:由于方程的分子、分母均有小数,利用分数的基本性质,分子、分母同时扩大相同的倍数,可将小数化成整数.解答:解:原方程变形为,(3分)去分母,得3×(30x﹣11)﹣4×(40x﹣2)=2×(16﹣70x),(4分)去括号,得90x﹣33﹣160x+8=32﹣140x,(5分)移项,得90x﹣160x+140x=32+33﹣8,(6分)合并同类项,得70x=57,(7分)系数化为1,得.(8分)点评:本题考查一元一次方程的解法.解一元一次方程的一般步骤:去分母,去括号,移项,合并同类项,系数化为1.本题的难点在于方程的分子、分母均有小数,将小数化成整数不同于去分母,不是方程两边同乘一个数,而是将分子、分母同乘一个数.时间:创作:欧阳文2021.03.12。
初一七年级一元一次方程30题(含答案解析)一.解答题(共30小题)1.(2005•宁德)解方程:2x+1=72.3.(1)解方程:4﹣x=3(2﹣x);(2)解方程:.4.解方程:.5.解方程(1)4(x﹣1)﹣3(20﹣x)=5(x﹣2);(2)x ﹣=2﹣.6.(1)解方程:3(x﹣1)=2x+3;(2)解方程:=x ﹣.7.﹣(1﹣2x)=(3x+1)8.解方程:(1)5(x﹣1)﹣2(x+1)=3(x﹣1)+x+1;(2).9.解方程:.10.解方程:(1)4x﹣3(4﹣x)=2;(2)(x﹣1)=2﹣(x+2).11.计算:(1)计算:(2)解方程:12.解方程:13.解方程:(1)(2)14.解方程:(1)5(2x+1)﹣2(2x﹣3)=6 (2)+2(3)[3(x ﹣)+]=5x﹣115.(A类)解方程:5x﹣2=7x+8;(B 类)解方程:(x﹣1)﹣(x+5)=﹣;(C 类)解方程:.16.解方程(1)3(x+6)=9﹣5(1﹣2x)(2)(3)(4)17.解方程:(1)解方程:4x﹣3(5﹣x)=13(2)解方程:x ﹣﹣318.(1)计算:﹣42×+|﹣2|3×(﹣)3(2)计算:﹣12﹣|0.5﹣|÷×[﹣2﹣(﹣3)2](3)解方程:4x﹣3(5﹣x)=2;(4)解方程:.19.(1)计算:(1﹣2﹣4)×;(2)计算:÷;(3)解方程:3x+3=2x+7;(4)解方程:.20.解方程(1)﹣0.2(x﹣5)=1;(2).21.解方程:(x+3)﹣2(x﹣1)=9﹣3x.22.8x﹣3=9+5x.5x+2(3x﹣7)=9﹣4(2+x)...23.解下列方程:(1)0.5x﹣0.7=5.2﹣1.3(x﹣1);(2)=﹣2.24.解方程:(1)﹣0.5+3x=10;(2)3x+8=2x+6;(3)2x+3(x+1)=5﹣4(x﹣1);(4).25.解方程:.26.解方程:(1)10x﹣12=5x+15;(2)27.解方程:(1)8y﹣3(3y+2)=7(2).28.当k 为什么数时,式子比的值少3.29.解下列方程:(I)12y﹣2.5y=7.5y+5 (II ).30.解方程:.6.2.4解一元一次方程(三)参考答案与试题解析一.解答题(共30小题)1.(2005•宁德)解方程:2x+1=7考点:解一元一次方程.专题:计算题;压轴题.分析:此题直接通过移项,合并同类项,系数化为1可求解.解答:解:原方程可化为:2x=7﹣1合并得:2x=6系数化为1得:x=3点评:解一元一次方程,一般要通过去分母,去括号,移项,合并同类项,未知数的系数化为1等步骤,把一个一元一次方程“转化”成x=a的形式.2.考点:解一元一次方程.专题:计算题.分析:这是一个带分母的方程,所以要先去分母,再去括号,最后移项,化系数为1,从而得到方程的解.解答:解:左右同乘12可得:3[2x﹣(x﹣1)]=8(x﹣1),化简可得:3x+3=8x﹣8,移项可得:5x=11,解可得x=.故原方程的解为x=.点评:若是分式方程,先同分母,转化为整式方程后,再移项化简,解方程可得答案.3.(1)解方程:4﹣x=3(2﹣x);(2)解方程:.考点:解一元一次方程.专题:计算题.分析:(1)先去括号,然后再移项、合并同类型,最后化系数为1,得出方程的解;(2)题的方程中含有分数系数,应先对各式进行化简、整理,然后再按(1)的步骤求解.解答:解:(1)去括号得:4﹣x=6﹣3x,移项得:﹣x+3x=6﹣4,合并得:2x=2,系数化为1得:x=1.(2)去分母得:5(x﹣1)﹣2(x+1)=2,去括号得:5x﹣5﹣2x﹣2=2,移项得:5x﹣2x=2+5+2,合并得:3x=9,系数化1得:x=3.点评:(1)本题易在去分母、去括号和移项中出现错误,还可能会在解题前产生害怕心理.因为看到小数、分数比较多,学生往往不知如何寻找公分母,怎样合并同类项,怎样化简,所以我们要教会学生分开进行,从而达到分解难点的效果.(2)本题的另外一个重点是教会学生对于分数的分子、分母同时扩大或缩小若干倍,值不变.这一性质在今后常会用到.4.解方程:.考点:解一元一次方程.专题:计算题.分析:此题两边都含有分数,分母不相同,如果直接通分,有一定的难度,但将方程左右同时乘以公分母6,难度就会降低.解答:解:去分母得:3(2﹣x)﹣18=2x﹣(2x+3),去括号得:6﹣3x﹣18=﹣3,移项合并得:﹣3x=9,∴x=﹣3.点评:本题易在去分母和移项中出现错误,学生往往不知如何寻找公分母,怎样合并同类项,怎样化简,所以我们要教会学生分开进行,从而达到分解难点的效果.5.解方程(1)4(x﹣1)﹣3(20﹣x)=5(x﹣2);(2)x﹣=2﹣.考点:解一元一次方程.专题:计算题.分析:(1)先去括号,再移项、合并同类项、化系数为1,从而得到方程的解;(2)先去分母,再去括号,最后移项,化系数为1,从而得到方程的解.解答:解:(1)去括号得:4x﹣4﹣60+3x=5x﹣10(2分)移项得:4x+3x﹣5x=4+60﹣10(3分)合并得:2x=54(5分)系数化为1得:x=27;(6分)(2)去分母得:6x﹣3(x﹣1)=12﹣2(x+2)(2分)去括号得:6x﹣3x+3=12﹣2x﹣4(3分)移项得:6x﹣3x+2x=12﹣4﹣3(4分)合并得:5x=5(5分)系数化为1得:x=1.(6分)点评:去分母时,方程两端同乘各分母的最小公倍数时,不要漏乘没有分母的项,同时要把分子(如果是一个多项式)作为一个整体加上括号.去括号时要注意符号的变化.6.(1)解方程:3(x﹣1)=2x+3;(2)解方程:=x﹣.考点:解一元一次方程.专题:计算题.分析:(1)是简单的一元一次方程,通过移项,系数化为1即可得到;(2)是较为复杂的去分母,本题方程两边都含有分数系数,如果直接通分,有一定的难度,但对每一个式子先进行化简、整理为整数形式,难度就会降低.解答:解:(1)3x﹣3=2x+33x﹣2x=3+3x=6;(2)方程两边都乘以6得:x+3=6x﹣3(x﹣1)x+3=6x﹣3x+3x﹣6x+3x=3﹣3﹣2x=0∴x=0.点评:本题易在去分母、去括号和移项中出现错误,还可能会在解题前不知如何寻找公分母,怎样合并同类项,怎样化简,所以要学会分开进行,从而达到分解难点的效果.去分母时,方程两端同乘各分母的最小公倍数时,不要漏乘没有分母的项,同时要把分子(如果是一个多项式)作为一个整体加上括号.7.﹣(1﹣2x)=(3x+1)考点:解一元一次方程.专题:计算题.分析:这是一个带分母的方程,所以要先去分母,再去括号,最后移项,化系数为1,从而得到方程的解.解答:解:﹣7(1﹣2x)=3×2(3x+1)﹣7+14x=18x+6﹣4x=13x=﹣.点评:解一元一次方程的一般步骤是去分母、去括号、移项、合并同类项和系数化为1.此题去分母时,方程两端同乘各分母的最小公倍数时,不要漏乘没有分母的项,同时要把分子(如果是一个多项式)作为一个整体加上括号.8.解方程:(1)5(x﹣1)﹣2(x+1)=3(x﹣1)+x+1;(2).考点:解一元一次方程.专题:计算题.分析:(1)可采用去括号,移项,合并同类项,系数化1的方式进行;(2)本题方程两边都含有分数系数,如果直接通分,有一定的难度,但对每一个式子先进行化简、整理为整数形式,难度就会降低.解答:解:(1)5(x﹣1)﹣2(x+1)=3(x﹣1)+x+13x﹣7=4x﹣2∴x=﹣5;(2)原方程可化为:去分母得:40x+60=5(18﹣18x)﹣3(15﹣30x),去括号得:40x+60=90﹣90x﹣45+90x,移项、合并得:40x=﹣15,系数化为1得:x=.点评:(1)本题易在去分母、去括号和移项中出现错误,还可能会在解题前产生害怕心理.因为看到小数、分数比较多,学生往往不知如何寻找公分母,怎样合并同类项,怎样化简,所以我们要教会学生分开进行,从而达到分解难点的效果;(2)本题的另外一个重点是教会学生对于分数的分子、分母同时扩大或缩小若干倍,值不变.这一性质在今后常会用到.9.解方程:.考点:解一元一次方程.专题:计算题.分析:这是一个带分母的方程,所以要先去分母,再去括号,最后移项,化系数为1,从而得到方程的解.解答:解:,去分母得:2x﹣(3x+1)=6﹣3(x﹣1),去括号得:2x﹣3x﹣1=6﹣3x+3,移项、合并同类项得:2x=10,系数化为1得:x=5.点评:去分母时,方程两端同乘各分母的最小公倍数时,不要漏乘没有分母的项,同时要把分子(如果是一个多项式)作为一个整体加上括号.10.解方程:(1)4x﹣3(4﹣x)=2;(2)(x﹣1)=2﹣(x+2).考点:解一元一次方程.专题:计算题.分析:(1)先去括号,再移项,合并同类项,系数化1,即可求出方程的解;(2)先去分母,再去括号,移项,合并同类项,系数化1可求出方程的解.解答:解:(1)4x﹣3(4﹣x)=2去括号,得4x﹣12+3x=2移项,合并同类项7x=14系数化1,得x=2.(2)(x﹣1)=2﹣(x+2)去分母,得5(x﹣1)=20﹣2(x+2)去括号,得5x﹣5=20﹣2x﹣4移项、合并同类项,得7x=21系数化1,得x=3.点评:(1)此题主要是去括号,移项,合并同类项,系数化1.(2)方程两边每一项都要乘各分母的最小公倍数,方程两边每一项都要乘各分母的最小公倍数,切勿漏乘不含有分母的项,另外分数线有两层意义,一方面它是除号,另一方面它又代表着括号,所以在去分母时,应该将分子用括号括上.11.计算:(1)计算:(2)解方程:考点:解一元一次方程;有理数的混合运算.专题:计算题.分析:(1)根据有理数的混合运算法则计算:先算乘方、后算乘除、再算加减;(2)两边同时乘以最简公分母4,即可去掉分母.解答:解:(1)原式=,=,=.(2)去分母得:2(x﹣1)﹣(3x﹣1)=﹣4,解得:x=3.点评:解答此题要注意:(1)去分母时最好先去中括号、再去小括号,以减少去括号带来的符号变化次数;(2)去分母就是方程两边同时乘以分母的最简公分母.12.解方程:考点:解一元一次方程.专题:计算题.分析:(1)这是一个带分母的方程,所以要先去分母,再去括号,最后移项,化系数为1,从而得到方程的解.(2)解一元一次方程的一般步骤:去分母、去括号、移项、合并同类项、化系数为1.解答:解:(1)去分母得:3(3x﹣1)+18=1﹣5x,去括号得:9x﹣3+18=1﹣5x,移项、合并得:14x=﹣14,系数化为1得:x=﹣1;(2)去括号得:x﹣x+1=x,移项、合并同类项得:x=﹣1,系数化为1得:x=﹣.点评:本题考查解一元一次方程,正确掌握解一元一次方程的一般步骤,注意移项要变号、去分母时“1”也要乘以最小公倍数.13.解方程:(1)(2)考点:解一元一次方程.专题:计算题.分析:(1)去分母、去括号、移项、合并同类项、化系数为1.(2)去分母、去括号、移项、合并同类项、化系数为1.解答:(1)解:去分母得:5(3x+1)﹣2×10=3x﹣2﹣2(2x+3),去括号得:15x+5﹣20=3x﹣2﹣4x﹣6,移项得:15x+x=﹣8+15,合并得:16x=7,解得:;(2)解:,4(x﹣1)﹣18(x+1)=﹣36,4x﹣4﹣18x﹣18=﹣36,﹣14x=﹣14,x=1.点评:本题考查解一元一次方程,正确掌握解一元一次方程的一般步骤,注意移项要变号、去分母时“1”也要乘以最小公倍数.14.解方程:(1)5(2x+1)﹣2(2x﹣3)=6 (2)+2(3)[3(x﹣)+]=5x﹣1考点:解一元一次方程.专题:计算题.分析:(2)通过去括号、移项、合并同类项、系数化为1,解得x的值;(3)乘最小公倍数去分母即可;(4)主要是去括号,也可以把分数转化成整数进行计算.解答:解:(1)去括号得:10x+5﹣4x+6=6移项、合并得:6x=﹣5,方程两边都除以6,得x=﹣;(2)去分母得:3(x﹣2)=2(4﹣3x)+24,去括号得:3x﹣6=8﹣6x+24,移项、合并得:9x=38,方程两边都除以9,得x=;(3)整理得:[3(x﹣)+]=5x﹣1,4x﹣2+1=5x﹣1,移项、合并得:x=0.点评:一元一次方程的解法:一般要通过去分母、去括号、移项、合并同类项、未知数的系数化为1等步骤,把一个一元一次方程“转化”成x=a的形式.解题时,要灵活运用这些步骤.15.(A类)解方程:5x﹣2=7x+8;(B类)解方程:(x﹣1)﹣(x+5)=﹣;(C类)解方程:.考点:解一元一次方程.专题:计算题.分析:通过去分母、去括号、移项、系数化为1等方法,求得各方程的解.解答:解:A类:5x﹣2=7x+8移项:5x﹣7x=8+2化简:﹣2x=10即:x=﹣5;B类:(x﹣1)﹣(x+5)=﹣去括号:x﹣﹣x﹣5=﹣化简:x=5即:x=﹣;C类:﹣=1去分母:3(4﹣x)﹣2(2x+1)=6去括号:12﹣3x﹣4x﹣2=6化简:﹣7x=﹣4即:x=.点评:本题主要考查一元一次方程的解法,比较简单,但要细心运算.16.解方程(1)3(x+6)=9﹣5(1﹣2x)(2)(3)(4)考点:解一元一次方程.专题:计算题.分析:(1)去括号以后,移项,合并同类项,系数化为1即可求解;(2)(3)首先去掉分母,再去括号以后,移项,合并同类项,系数化为1以后即可求解;(4)首先根据分数的基本性质,把第一项分母中的0.3化为整数,再去分母,求解.解答:解:(1)去括号得:3x+18=9﹣5+10x移项得:3x﹣10x=9﹣5﹣18合并同类项得:﹣7x=﹣14则x=2;(2)去分母得:2x+1=x+3﹣5移项,合并同类项得:x=﹣3;(3)去分母得:10y+2(y+2)=20﹣5(y﹣1)去括号得:10y+2y+4=20﹣5y+5移项,合并同类项得:17y=21系数化为1得:;(4)原方程可以变形为:﹣5x=﹣1去分母得:17+20x﹣15x=﹣3移项,合并同类项得:5x=﹣20系数化为1得:x=﹣4.点评:解方程的过程中要注意每步的依据,这几个题目都是基础的题目,需要熟练掌握.17.解方程:(1)解方程:4x﹣3(5﹣x)=13(2)解方程:x﹣﹣3考点:解一元一次方程.专题:计算题.分析:(1)先去括号,再移项,化系数为1,从而得到方程的解.(2)这是一个带分母的方程,所以要先去分母,再去括号,最后移项,化系数为1,从而得解答:解:(1)去括号得:4x﹣15+3x=13,移项合并得:7x=28,系数化为1得:得x=4;(2)原式变形为x+3=,去分母得:5(2x﹣5)+3(x﹣2)=15(x+3),去括号得10x﹣25+3x﹣6=15x+45,移项合并得﹣2x=76,系数化为1得:x=﹣38.点评:本题考查解一元一次方程,解一元一次方程的一般步骤是:去分母、去括号、移项、合并同类项、化系数为1.注意移项要变号.18.(1)计算:﹣42×+|﹣2|3×(﹣)3(2)计算:﹣12﹣|0.5﹣|÷×[﹣2﹣(﹣3)2](3)解方程:4x﹣3(5﹣x)=2;(4)解方程:.考点:解一元一次方程;有理数的混合运算.分析:(1)利用平方和立方的定义进行计算.(2)按四则混合运算的顺序(3)主要是去括号,移项合并.(4)两边同乘最小公倍数去分母,再求值.解答:解:(1)﹣42×+|﹣2|3×(﹣)3==﹣1﹣1=﹣2.(2)﹣12﹣|0.5﹣|÷×[﹣2﹣(﹣3)2]====.(3)解方程:4x﹣3(5﹣x)=2去括号,得4x﹣15+3x)=2移项,得4x+3x=2+15合并同类项,得7x=17系数化为1,得.(4)解方程:去分母,得15x﹣3(x﹣2)=53×15去括号,得15x﹣3x+6=10x﹣25﹣45移项,得15x﹣3x﹣10x=﹣25﹣45﹣6合并同类项,得2x=﹣76系数化为1,得x=﹣38.点评:前两道题考查了学生有理数的混合运算,后两道考查了学生解一元一次方程的能力.19.(1)计算:(1﹣2﹣4)×;(2)计算:÷;(3)解方程:3x+3=2x+7;(4)解方程:.考点:解一元一次方程;有理数的混合运算.专题:计算题.分析:(1)和(2)要熟练掌握有理数的混合运算;(3)和(4)首先熟悉解一元一次方程的步骤:去分母,去括号,移项,合并同类项,系数化为1.解答:解:(1)(1﹣2﹣4)×=﹣=﹣13;(2)原式=﹣1×(﹣4﹣2)×(﹣=6×(﹣)=﹣9;(3)解方程:3x+3=2x+7移项,得3x﹣2x=7﹣3合并同类项,得x=4;(4)解方程:去分母,得6(x+15)=15﹣10(x﹣7)去括号,得6x+90=15﹣10x+70移项,得6x+10x=15+70﹣90合并同类项,得16x=﹣5系数化为1,得x=.点评:(1)和(2)要注意符号的处理;(4)要特别注意去分母的时候不要发生数字漏乘的现象,熟练掌握去括号法则以及合并同类项法则.20.解方程(1)﹣0.2(x﹣5)=1;(2).考点:解一元一次方程.分析:(1)通过去括号、移项、系数化为1等过程,求得x的值;(2)通过去分母以及去括号、移项、系数化为x的值.解答:解:(1)﹣0.2(x﹣5)=1;去括号得:﹣0.2x+1=1,∴﹣0.2x=0,∴x=0;(2).去分母得:2(x﹣2)+6x=9(3x+5)﹣(1﹣2x),∴﹣21x=48,∴x=﹣.点评:此题主要考查了一元一次方程解法,解一元一次方程常见的过程有去括号、移项、系数化为1等.21.解方程:(x+3)﹣2(x﹣1)=9﹣3x.考点:解一元一次方程.专题:计算题.分析:先去括号得x+3﹣2x+2=9﹣3x,然后移项、合并同类得到2x=4,然后把x的系数化为1即可.解答:解:去括号得x+3﹣2x+2=9﹣3x,移项得x﹣2x+3x=9﹣3﹣2,合并得2x=4,系数化为1得x=2.点评:本题考查了解一元一次方程:先去分母,再去项,把含未知数的项移到方程左边,不含未知数的项移到方程右边,然后合并同类项,最后把未知数的系数化为1得到原方程的解.22.8x﹣3=9+5x.5x+2(3x﹣7)=9﹣4(2+x)...考点:解一元一次方程.专题:方程思想.分析:本题是解4个不同的一元一次方程,第一个通过移项、合并同类项及系数化1求解.第二个先去括号再通过移项、合并同类项及系数化1求解.第三个先去分母再同第二个.第四个先分子分母乘以10,再同第三个求解.解答:8x﹣3=9+5x,解:8x﹣5x=9+3,3x=12,∴x=4.∴x=4是原方程的解;5x+2(3x﹣7)=9﹣4(2+x),解:5x+6x﹣14=9﹣8﹣4x,5x+6x+4x=9﹣8+14,15x=15,∴x=1是原方程的解..解:3(x﹣1)﹣2(2x+1)=12,3x﹣3﹣4x﹣2=12,3x﹣4x=12+3+2,﹣x=17,∴x=﹣17.∴x=﹣17是原方程的解.,解:,5(10x﹣3)=4(10x+1)+40,50x﹣15=40x+4+40,50x﹣40x=4+40+15,10x=59,∴x=.∴x=是原方程的解.点评:此题考查的知识点是解一元一次方程,关键是注意解方程时的每一步都要认真仔细,如移项时要变符号.23.解下列方程:(1)0.5x﹣0.7=5.2﹣1.3(x﹣1);(2)=﹣2.考点:解一元一次方分析:(1)首先去括号,然后移项、合并同类项,系数化成1,即可求解;(2)首先去分母,然后去括号,移项、合并同类项,系数化成1,即可求解解答:解:(1)去括号,得:0.5x﹣0.7=5.2﹣1.3x+1.3移项,得:0.5x+1.3x=5.2+1.3+0.7合并同类项,得:1.8x=7.2,则x=4;(2)去分母得:7(1﹣2x)=3(3x+1)﹣42,去括号,得:7﹣14x=9x+3﹣42,移项,得:﹣14x﹣9x=3﹣42﹣7,合并同类项,得:﹣23x=﹣46,则x=2.点评:本题考查解一元一次方程,解一元一次方程的一般步骤是:去分母、去括号、移项、合并同类项、化系数为1.注意移项要变号.24.解方程:(1)﹣0.5+3x=10;(2)3x+8=2x+6;(3)2x+3(x+1)=5﹣4(x﹣1);(4).考点:解一元一次方程.分析:(1)移项,合并同类项,然后系数化成1即可求解;(2)移项,合并同类项,然后系数化成1即可求解;(3)去括号、移项,合并同类项,然后系数化成1即可求解;(4)首先去分母,然后去括号、移项,合并同类项,然后系数化成1即可求解.解答:解:(1)3x=10.5,x=3.5;(2)3x﹣2x=6﹣8,x=﹣2;(3)2x+3x+3=5﹣4x+4,2x+3x+4x=5+4﹣3,9x=6,x=;(4)2(x+1)+6=3(3x﹣2),2x+2+6=9x﹣6,2x﹣9x=﹣6﹣2﹣6,﹣7x=﹣14,x=2.点评:本题考查解一元一次方程,解一元一次方程的一般步骤是:去分母、去括号、移项、合并同类项、化系数为1.注意移项要变号.25.解方程:.考点:解一元一次方程.专题:计算题.分析:方程两边乘以10去分母后,去括号,移项合并,将x系数化为1,即可求出解.解答:解:去分母得:5(3x﹣1)﹣2(5x﹣6)=2,去括号得:15x﹣5﹣10x+12=2,移项合并得:5x=﹣5,解得:x=﹣1.点评:此题考查了解一元一次方程,其步骤为:去分母,去括号,移项合并,将未知数系数化为1,求出解.26.解方程:(1)10x﹣12=5x+15;(2)考点:解一元一次方程.专题:计算题.分析:(1)先移项,再合并同类项,最后化系数为1,从而得到方程的解;(2)先去括号,再移项、合并同类项,最后化系数为1,从而得到方程的解.解答:解:(1)移项,得10x﹣5x=12+15,合并同类项,得5x=27,方程的两边同时除以5,得x=;(2)去括号,得=,方程的两边同时乘以6,得x+1=4x﹣2,移项、合并同类项,得3x=3,方程的两边同时除以3,得x=1.点评:本题考查解一元一次方程,解一元一次方程的一般步骤:去分母、去括号、移项、合并同类项、化系数为1.注意移项要变号.27.解方程:(1)8y﹣3(3y+2)=7(2).考点:解一元一次方程.专题:计算题.分析:(1)根据一元一次方程的解法,去括号,移项,合并同类项,系数化为1即可得解;(2)这是一个带分母的方程,所以要先去分母,再去括号,最后移项,合并同类项,系数化为1,从而得到方程的解.解答:解:(1)去括号得,8y﹣9y﹣6=7,移项、合并得,﹣y=13,系数化为1得,y=﹣13;(2)去分母得,3(3x﹣1)﹣12=2(5x﹣7),去括号得,9x﹣3﹣12=10x﹣14,移项得,9x﹣10x=﹣14+3+12,合并同类项得,﹣x=1,系数化为1得,x=﹣1.点评:本题主要考查了解一元一次方程,注意在去分母时,方程两端同乘各分母的最小公倍数时,不要漏乘没有分母的项,同时要把分子(如果是一个多项式)作为一个整体加上括号.28.当k 为什么数时,式子比的值少3.考点:解一元一次方程.专题:计算题.分析:先根据题意列出方程,再根据一元一次方程的解法,去分母,去括号,移项,合并同类项,系数化为1即可得解.解答:解:依题意,得=+3,去分母得,5(2k+1)=3(17﹣k)+45,去括号得,10k+5=51﹣3k+45,移项得,10k+3k=51+45﹣5,合并同类项得,13k=91,系数化为1得,k=7,∴当k=7时,式子比的值少3.点评:本题主要考查了解一元一次方程,注意在去分母时,方程两端同乘各分母的最小公倍数时,不要漏乘没有分母的项,同时要把分子(如果是一个多项式)作为一个整体加上括号.29.解下列方程:(I)12y﹣2.5y=7.5y+5(II ).考点:解一元一次方程.专题:计算题.分析:(Ⅰ)根据一元一次方程的解法,移项,合并同类项,系数化为1即可得解;(Ⅱ)是一个带分母的方程,所以要先去分母,再去括号,最后移项,合并同类项,系数化为1,从而得到方程的解.解答:解:(Ⅰ)移项得,12y﹣2.5y﹣7.5y=5,合并同类项得,2y=5,系数化为1得,y=2.5;(Ⅱ)去分母得,5(x+1)﹣10=(3x﹣2)﹣2(2x+3),去括号得,5x+5﹣10=3x﹣2﹣4x﹣6,移项得,5x﹣3x+4x=﹣2﹣6﹣5+10,合并同类项得,6x=﹣3,系数化为1得,x=﹣.点评:本题主要考查了解一元一次方程,注意在去分母时,方程两端同乘各分母的最小公倍数时,不要漏乘没有分母的项,同时要把分子(如果是一个多项式)作为一个整体加上括号.30.解方程:.考点:解一元一次方程.专题:计算题.分析:由于方程的分子、分母均有小数,利用分数的基本性质,分子、分母同时扩大相同的倍数,可将小数化成整数.解答:解:原方程变形为,(3分)去分母,得3×(30x﹣11)﹣4×(40x﹣2)=2×(16﹣70x),(4分)去括号,得90x﹣33﹣160x+8=32﹣140x,(5分)移项,得90x﹣160x+140x=32+33﹣8,(6分)合并同类项,得70x=57,(7分)系数化为1,得.(8分)点评:本题考查一元一次方程的解法.解一元一次方程的一般步骤:去分母,去括号,移项,合并同类项,系数化为1.本题的难点在于方程的分子、分母均有小数,将小数化成整数不同于去分母,不是方程两边同乘一个数,而是将分子、分母同乘一个数.。
初一七年级一元一次方程30题(含答案解析)一.解答题(共30小题)1.(2005•宁德)解方程:2x+1=72.3.(1)解方程:4﹣x=3(2﹣x);(2)解方程:.4.解方程:.5.解方程(1)4(x﹣1)﹣3(20﹣x)=5(x﹣2);(2)x ﹣=2﹣.6.(1)解方程:3(x﹣1)=2x+3;(2)解方程:=x ﹣.7.﹣(1﹣2x)=(3x+1)8.解方程:(1)5(x﹣1)﹣2(x+1)=3(x﹣1)+x+1;(2).9.解方程:.2 10.解方程:(1)4x﹣3(4﹣x)=2;(2)(x﹣1)=2﹣(x+2).11.计算:(1)计算:(2)解方程:12.解方程:13.解方程:(1)(2)14.解方程:(1)5(2x+1)﹣2(2x﹣3)=6 (2)+2(3)[3(x﹣)+]=5x﹣115.(A类)解方程:5x﹣2=7x+8;(B类)解方程:(x﹣1)﹣(x+5)=﹣;(C类)解方程:.16.解方程(1)3(x+6)=9﹣5(1﹣2x)3(2)(3)(4)17.解方程:(1)解方程:4x﹣3(5﹣x)=13 (2)解方程:x﹣﹣3 18.(1)计算:﹣42×+|﹣2|3×(﹣)3(2)计算:﹣12﹣|0.5﹣|÷×[﹣2﹣(﹣3)2](3)解方程:4x﹣3(5﹣x )=2;(4)解方程:.19.(1)计算:(1﹣2﹣4)×;(2)计算:÷;(3)解方程:3x+3=2x+7;4(4)解方程:.20.解方程(1)﹣0.2(x﹣5)=1;(2).21.解方程:(x+3)﹣2(x﹣1)=9﹣3x.22.8x﹣3=9+5x.5x+2(3x﹣7)=9﹣4(2+x)...23.解下列方程:(1)0.5x﹣0.7=5.2﹣1.3(x ﹣1);(2)=﹣2.24.解方程:(1)﹣0.5+3x=10;(2)3x+8=2x+6;5(3)2x+3(x+1)=5﹣4(x﹣1);(4).25.解方程:.26.解方程:(1)10x﹣12=5x+15;(2)27.解方程:(1)8y﹣3(3y+2)=7(2).28.当k 为什么数时,式子比的值少3.29.解下列方程:(I)12y﹣2.5y=7.5y+5(II).30.解方程:.66.2.4解一元一次方程(三)参考答案与试题解析一.解答题(共30小题)1.(2005•宁德)解方程:2x+1=7考点:解一元一次方程.专题:计算题;压轴题.分析:此题直接通过移项,合并同类项,系数化为1可求解.解答:解:原方程可化为:2x=7﹣1 合并得:2x=6系数化为1得:x=3点评:解一元一次方程,一般要通过去分母,去括号,移项,合并同类项,未知数的系数化为1等步骤,把一个一元一次方程“转化”成x=a的形式.2.考点:解一元一次方程.专题:计算题.分析:这是一个带分母的方程,所以要先去分母,再去括号,最后移项,化系数为1,从而得到方程的解.解答:解:左右同乘12可得:3[2x﹣(x﹣1)]=8(x﹣1),化简可得:3x+3=8x﹣8,移项可得:5x=11,解可得x=.故原方程的解为x=.点评:若是分式方程,先同分母,转化为整式方程后,再移项化简,解方程可得答案.3.(1)解方程:4﹣x=3(2﹣x);(2)解方程:.考点:解一元一次方程.专题:计算题.分析:(1)先去括号,然后再移项、合并同类型,最后化系数为1,得出方程的解;(2)题的方程中含有分数系数,应先对各式进行化简、整理,然后再按(1)的步骤求解.解答:解:(1)去括号得:4﹣x=6﹣3x,移项得:﹣x+3x=6﹣4,合并得:2x=2,系数化为1得:x=1.(2)去分母得:5(x﹣1)﹣2(x+1)=2,去括号得:5x﹣5﹣2x﹣2=2,移项得:5x﹣2x=2+5+2,合并得:3x=9,系数化1得:x=3.点评:(1)本题易在去分母、去括号和移项中出现错误,还可能会在解题前产生害怕心理.因为看到小数、分数比较多,学生往往不知如何寻找公分母,怎样合并同类项,怎样化简,所以我们要教会学生分开进行,从而达到分解难点的效果.(2)本题的另外一个重点是教会学生对于分数的分子、分母同时扩大或缩小若干倍,值不变.这一性质在今后常会用到.4.解方程:.考点:解一元一次方程.专题:计算题.分析:此题两边都含有分数,分母不相同,如果直接通分,有一定的难度,但将方程左右同时乘以公分母6,难度就会降低.解答:解:去分母得:3(2﹣x)﹣18=2x﹣(2x+3),去括号得:6﹣3x﹣18=﹣3,移项合并得:﹣3x=9,∴x=﹣3.点评:本题易在去分母和移项中出现错误,学生往往不知如何寻找公分母,怎样合并同类项,怎样化简,所以我们要教会学生分开进行,从而达到分解难点的效果.5.解方程(1)4(x﹣1)﹣3(20﹣x)=5(x﹣2);(2)x﹣=2﹣.考点:解一元一次方程.专题:计算题.分析:(1)先去括号,再移项、合并同类项、化系数为1,从而得到方程的解;(2)先去分母,再去括号,最后移项,化系数为1,从而得到方程的解.解答:解:(1)去括号得:4x﹣4﹣60+3x=5x﹣10(2分)移项得:4x+3x﹣5x=4+60﹣10(3分)合并得:2x=54(5分)系数化为1得:x=27;(6分)(2)去分母得:6x﹣3(x﹣1)=12﹣2(x+2)(2分)去括号得:6x﹣3x+3=12﹣2x﹣4(3分)移项得:6x﹣3x+2x=12﹣4﹣3(4分)合并得:5x=5(5分)系数化为1得:x=1.(6分)点评:去分母时,方程两端同乘各分母的最小公倍数时,不要漏乘没有分母的项,同时要把分子(如果是一个多项式)作为一个整体加上括号.去括号时要注意符号的变化.6.(1)解方程:3(x﹣1)=2x+3;(2)解方程:=x﹣.考点:解一元一次方程.专题:计算题.分析:(1)是简单的一元一次方程,通过移项,系数化为1即可得到;(2)是较为复杂的去分母,本题方程两边都含有分数系数,如果直接通分,有一定的难度,但对每一个式子先进行化简、整理为整数形式,难度就会降低.解答:解:(1)3x﹣3=2x+33x﹣2x=3+3x=6;(2)方程两边都乘以6得:x+3=6x﹣3(x﹣1)x+3=6x﹣3x+3x﹣6x+3x=3﹣3﹣2x=0∴x=0.点评:本题易在去分母、去括号和移项中出现错误,还可能会在解题前不知如何寻找公分母,怎样合并同类项,怎样化简,所以要学会分开进行,从而达到分解难点的效果.去分母时,方程两端同乘各分母的最小公倍数时,不要漏乘没有分母的项,同时要把分子(如果是一个多项式)作为一个整体加上括号.7.﹣(1﹣2x)=(3x+1)考点:解一元一次方程.专题:计算题.分析:这是一个带分母的方程,所以要先去分母,再去括号,最后移项,化系数为1,从而得到方程的解.解答:解:﹣7(1﹣2x)=3×2(3x+1)﹣7+14x=18x+6﹣4x=13x=﹣.点评:解一元一次方程的一般步骤是去分母、去括号、移项、合并同类项和系数化为1.此题去分母时,方程两端同乘各分母的最小公倍数时,不要漏乘没有分母的项,同时要把分子(如果是一个多项式)作为一个整体加上括号.8.解方程:(1)5(x﹣1)﹣2(x+1)=3(x﹣1)+x+1;(2).考点:解一元一次方程.专题:计算题.分析:(1)可采用去括号,移项,合并同类项,系数化1的方式进行;(2)本题方程两边都含有分数系数,如果直接通分,有一定的难度,但对每一个式子先进行化简、整理为整数形式,难度就会降低.解答:解:(1)5(x﹣1)﹣2(x+1)=3(x﹣1)+x+13x﹣7=4x﹣2∴x=﹣5;(2)原方程可化为:去分母得:40x+60=5(18﹣18x)﹣3(15﹣30x),去括号得:40x+60=90﹣90x﹣45+90x,移项、合并得:40x=﹣15,系数化为1得:x=.点评:(1)本题易在去分母、去括号和移项中出现错误,还可能会在解题前产生害怕心理.因为看到小数、分数比较多,学生往往不知如何寻找公分母,怎样合并同类项,怎样化简,所以我们要教会学生分开进行,从而达到分解难点的效果;(2)本题的另外一个重点是教会学生对于分数的分子、分母同时扩大或缩小若干倍,值不变.这一性质在今后常会用到.9.解方程:.考点:解一元一次方程.专题:计算题.分析:这是一个带分母的方程,所以要先去分母,再去括号,最后移项,化系数为1,从而得到方程的解.解答:解:,去分母得:2x﹣(3x+1)=6﹣3(x﹣1),去括号得:2x﹣3x﹣1=6﹣3x+3,移项、合并同类项得:2x=10,系数化为1得:x=5.点评:去分母时,方程两端同乘各分母的最小公倍数时,不要漏乘没有分母的项,同时要把分子(如果是一个多项式)作为一个整体加上括号.10.解方程:(1)4x﹣3(4﹣x)=2;(2)(x﹣1)=2﹣(x+2).考点:解一元一次方程.专题:计算题.分析:(1)先去括号,再移项,合并同类项,系数化1,即可求出方程的解;(2)先去分母,再去括号,移项,合并同类项,系数化1可求出方程的解.解答:解:(1)4x﹣3(4﹣x)=2去括号,得4x﹣12+3x=2移项,合并同类项7x=14系数化1,得x=2.(2)(x﹣1)=2﹣(x+2)去分母,得5(x﹣1)=20﹣2(x+2)去括号,得5x﹣5=20﹣2x﹣4移项、合并同类项,得7x=21系数化1,得x=3.点评:(1)此题主要是去括号,移项,合并同类项,系数化1.(2)方程两边每一项都要乘各分母的最小公倍数,方程两边每一项都要乘各分母的最小公倍数,切勿漏乘不含有分母的项,另外分数线有两层意义,一方面它是除号,另一方面它又代表着括号,所以在去分母时,应该将分子用括号括上.11.计算:(1)计算:(2)解方程:考点:解一元一次方程;有理数的混合运算.理数的混合运算法则计算:先算乘方、后算乘除、再算加减;(2)两边同时乘以最简公分母4,即可去掉分母.解答:解:(1)原式=,=,=.(2)去分母得:2(x﹣1)﹣(3x﹣1)=﹣4,解得:x=3.点评:解答此题要注意:(1)去分母时最好先去中括号、再去小括号,以减少去括号带来的符号变化次数;(2)去分母就是方程两边同时乘以分母的最简公分母.12.解方程:考点:解一元一次分析:(1)这是一个带分母的方程,所以要先去分母,再去括号,最后移项,化系数为1,从而得到方程的解.(2)解一元一次方程的一般步骤:去分母、去括号、移项、合并同类项、化系数为1.解答:解:(1)去分母得:3(3x﹣1)+18=1﹣5x,去括号得:9x﹣3+18=1﹣5x,移项、合并得:14x=﹣14,系数化为1得:x=﹣1;(2)去括号得:x﹣x+1=x,移项、合并同类项得:x=﹣1,系数化为1得:x=﹣.点评:本题考查解一元一次方程,正确掌握解一元一次方程的一般步骤,注意移项要变号、去公倍数.13.解方程:(1)(2)考点:解一元一次方程.专题:计算题.分析:(1)去分母、去括号、移项、合并同类项、化系数为1.(2)去分母、去括号、移项、合并同类项、化系数为1.解答:(1)解:去分母得:5(3x+1)﹣2×10=3x﹣2﹣2(2x+3),去括号得:15x+5﹣20=3x﹣2﹣4x﹣6,移项得:15x+x=﹣8+15,合并得:16x=7,解得:;(2)解:,4(x﹣1)﹣18(x+1)=﹣36,4x﹣4﹣18x﹣18=﹣36,点评:本题考查解一元一次方程,正确掌握解一元一次方程的一般步骤,注意移项要变号、去分母时“1”也要乘以最小公倍数.14.解方程:(1)5(2x+1)﹣2(2x﹣3)=6 (2)+2(3)[3(x﹣)+]=5x﹣1考点:解一元一次方程.专题:计算题.分析:(2)通过去括号、移项、合并同类项、系数化为1,解得x的值;(3)乘最小公倍数去分母即可;(4)主要是去括号,也可以把分数转化成整数进行计算.解答:解:(1)去括号得:10x+5﹣4x+6=6移项、合并得:6x=﹣5,方程两边都除以6,得x=﹣;(2)去分母得:3(x﹣2)=2(4﹣3x)+24,移项、合并得:9x=38,方程两边都除以9,得x=;(3)整理得:[3(x﹣)+]=5x﹣1,4x﹣2+1=5x﹣1,移项、合并得:x=0.点评:一元一次方程的解法:一般要通过去分母、去括号、移项、合并同类项、未知数的系数化为1等步骤,把一个一元一次方程“转化”成x=a的形式.解题时,要灵活运用这些步骤.15.(A类)解方程:5x﹣2=7x+8;(B类)解方程:(x﹣1)﹣(x+5)=﹣;(C类)解方程:.考点:解一元一次方程.专题:计算题.分析:通过去分母、去括号、移项、系数化为1等方法,求得各方程的解.7x=8+2化简:﹣2x=10即:x=﹣5;B类:(x﹣1)﹣(x+5)=﹣去括号:x﹣﹣x﹣5=﹣化简:x=5即:x=﹣;C类:﹣=1去分母:3(4﹣x)﹣2(2x+1)=6去括号:12﹣3x﹣4x﹣2=6化简:﹣7x=﹣4即:x=.点评:本题主要考查一元一次方程的解法,比较简单,但要细心运算.16.解方程(1)3(x+6)=9﹣5(1﹣2x)(2)(3)(4)考点:解一元一次方程.专题:计算题.分析:(1)去括号以后,移项,合并同类项,系数化为1即可求解;(2)(3)首先去掉分母,再去括号以后,移项,合并同类项,系数化为1以后即可求解;(4)首先根据分数的基本性质,把第一项分母中的0.3化为整数,再去分母,求解.解答:解:(1)去括号得:3x+18=9﹣5+10x移项得:3x﹣10x=9﹣5﹣18合并同类项得:﹣7x=﹣14则x=2;(2)去分母得:2x+1=x+3﹣5移项,合并同类项得:x=﹣3;(3)去分母得:10y+2(y+2)=20﹣5(y﹣1)去括号得:10y+2y+4=20﹣5y+5移项,合并同类项得:17y=21系数化为1得:;(4)原方程可以变形为:﹣5x=﹣1去分母得:17+20x﹣15x=﹣3移项,合并同类项得:5x=﹣20系数化为1得:x=﹣4.点评:解方程的过程中要注意每步的依据,这几个题目都是基础的题目,需要熟练掌握.17.解方程:(1)解方程:4x﹣3(5﹣x)=13(2)解方程:x﹣﹣3考点:解一元一次方程.专题:计算题.分析:(1)先去括号,再移项,化系数为1,从而得到方程的解.(2)这是一个带分母的方程,所以要先去分母,再去括号,最后移项,化系数为1,从而得移项合并得:7x=28,系数化为1得:得x=4;(2)原式变形为x+3=,去分母得:5(2x﹣5)+3(x﹣2)=15(x+3),去括号得10x﹣25+3x﹣6=15x+45,移项合并得﹣2x=76,系数化为1得:x=﹣38.点评:本题考查解一元一次方程,解一元一次方程的一般步骤是:去分母、去括号、移项、合并同类项、化系数为1.注意移项要变号.18.(1)计算:﹣42×+|﹣2|3×(﹣)3(2)计算:﹣12﹣|0.5﹣|÷×[﹣2﹣(﹣3)2](3)解方程:4x﹣3(5﹣x)=2;(4)解方程:.考点:解一元一次方程;有理数算.(2)按四则混合运算的顺序进行计算.(3)主要是去括号,移项合并.(4)两边同乘最小公倍数去分母,再求值.解答:解:(1)﹣42×+|﹣2|3×(﹣)3==﹣1﹣1=﹣2.(2)﹣12﹣|0.5﹣|÷×[﹣2﹣(﹣3)2]====.(3)解方程:4x﹣3(5﹣x)=2去括号,得4x合并同类项,得7x=17系数化为1,得.(4)解方程:去分母,得15x﹣3(x﹣2)=5(2x﹣5)﹣3×15去括号,得15x﹣3x+6=10x﹣25﹣45移项,得15x﹣3x﹣10x=﹣25﹣45﹣6合并同类项,得2x=﹣76系数化为1,得x=﹣38.点评:前两道题考查了学生有理数的混合运算,后两道考查了学生解一元一次方程的能力.19.(1)计算:(1﹣2﹣4)×;(2)计算:÷;(3)解方程:3x+3=2x+7;(4)解方程:.考点:解一元一次方程;有理数的混合运算.专题:计算题.分析:(1)和(2)要熟练掌握一元一次方程的步骤:去分母,去括号,移项,合并同类项,系数化为1.解答:解:(1)(1﹣2﹣4)×=﹣=﹣13;(2)原式=﹣1×(﹣4﹣2)×(﹣)=6×(﹣)=﹣9;(3)解方程:3x+3=2x+7移项,得3x﹣2x=7﹣3合并同类项,得x=4;(4)解方程:去分母,得6(x+15)=15﹣10(x﹣7)去括号,得6x+90=15﹣10x+70移项,得6x+10x=15+70﹣90合并同类项,得16x=﹣5系数化为1,得x=.点评:(1)和(2)候不要发生数字漏乘的现象,熟练掌握去括号法则以及合并同类项法则.20.解方程(1)﹣0.2(x﹣5)=1;(2).考点:解一元一次方程.分析:(1)通过去括号、移项、系数化为1等过程,求得x的值;(2)通过去分母以及去括号、移项、系数化为1等过程,求得x的值.解答:解:(1)﹣0.2(x﹣5)=1;去括号得:﹣0.2x+1=1,∴﹣0.2x=0,∴x=0;(2).去分母得:2(x﹣2)+6x=9(3x+5)﹣(1﹣2x),∴﹣21x=48,∴x=﹣.点评:此题主要考查了一元一次方程解法,数化为1等.21.解方程:(x+3)﹣2(x﹣1)=9﹣3x.考点:解一元一次方程.专题:计算题.分析:先去括号得x+3﹣2x+2=9﹣3x,然后移项、合并同类得到2x=4,然后把x的系数化为1即可.解答:解:去括号得x+3﹣2x+2=9﹣3x,移项得x﹣2x+3x=9﹣3﹣2,合并得2x=4,系数化为1得x=2.点评:本题考查了解一元一次方程:先去分母,再去括号,接着移项,把含未知数的项移到方程左边,不含未知数的项移到方程右边,然后合并同类项,最后把未知数的系数化为1得到原方程的解.22.8x﹣3=9+5x.5x+2(3x﹣7)=9﹣4(2+x)..考点:解一元一次方程.专题:方程思想.分析:本题是解4个不同的一元一次方程,第一个通过移项、合并同类项及系数化1求解.第二个先去括号再通过移项、合并同类项及系数化1求解.第三个先去分母再同第二个.第四个先分子分母乘以10,再同第三个求解.解答:8x﹣3=9+5x,解:8x﹣5x=9+3,3x=12,∴x=4.∴x=4是原方程的解;5x+2(3x﹣7)=9﹣4(2+x),解:5x+6x﹣14=9﹣8﹣4x,5x+6x+4x=9﹣8+14,15x=15,∴x=1.∴x=1是原方程的解..解:3(x﹣1)3x﹣3﹣4x﹣2=12,3x﹣4x=12+3+2,﹣x=17,∴x=﹣17.∴x=﹣17是原方程的解.,解:,5(10x﹣3)=4(10x+1)+40,50x﹣15=40x+4+40,50x﹣40x=4+40+15,10x=59,∴x=.∴x=是原方程的解.点评:此题考查的知识点是解一元一次方程,关键是注意解方程时的每一步都要认真仔细,如移项时要变符号.23.解下列方程:(1)0.5x﹣0.7=5.2﹣1.3(x﹣1);(2)=﹣2.分析:(1)首先去括号,然后移项、合并同类项,系数化成1,即可求解;(2)首先去分母,然后去括号,移项、合并同类项,系数化成1,即可求解解答:解:(1)去括号,得:0.5x﹣0.7=5.2﹣1.3x+1.3移项,得:0.5x+1.3x=5.2+1.3+0.7合并同类项,得:1.8x=7.2,则x=4;(2)去分母得:7(1﹣2x)=3(3x+1)﹣42,去括号,得:7﹣14x=9x+3﹣42,移项,得:﹣14x﹣9x=3﹣42﹣7,合并同类项,得:﹣23x=﹣46,则x=2.点评:本题考查解一元一次方程,解一元一次方程的一般步骤是:去分母、去括号、移项、合并同类项、化系数为1.注意移项要变24.解方程:(1)﹣0.5+3x=10;(2)3x+8=2x+6;(3)2x+3(x+1)=5﹣4(x﹣1);(4).考点:解一元一次方程.分析:(1)移项,合并同类项,然后系数化成1即可求解;(2)移项,合并同类项,然后系数化成1即可求解;(3)去括号、移项,合并同类项,然后系数化成1即可求解;(4)首先去分母,然后去括号、移项,合并同类项,然后系数化成1即可求解.解答:解:(1)3x=10.5,x=3.5;x=﹣2;(3)2x+3x+3=5﹣4x+4,2x+3x+4x=5+4﹣3,9x=6,x=;(4)2(x+1)+6=3(3x﹣2),2x+2+6=9x﹣6,2x﹣9x=﹣6﹣2﹣6,﹣7x=﹣14,x=2.点评:本题考查解一元一次方程,解一元一次方程的一般步骤是:去分母、去括号、移项、合并同类项、化系数为1.注意移项要变号.25.解方程:.考点:解一元一次方程.专题:计算题.分析:方程两边乘以10去分母后,去括号,移项合并,将x系数化为1,即可求出解.解答:解:去分母得:5(3x﹣1)去括号得:15x﹣5﹣10x+12=2,移项合并得:5x=﹣5,解得:x=﹣1.点评:此题考查了解一元一次方程,其步骤为:去分母,去括号,移项合并,将未知数系数化为1,求出解.26.解方程:(1)10x﹣12=5x+15;(2)考点:解一元一次方程.专题:计算题.分析:(1)先移项,再合并同类项,最后化系数为1,从而得到方程的解;(2)先去括号,再移项、合并同类项,最后化系数为1,从而得到方程的解.解答:解:(1)移项,得10x﹣5x=12+15,合并同类项,得5x=27,方程的两边同时除以5,得x=;得=,方程的两边同时乘以6,得x+1=4x﹣2,移项、合并同类项,得3x=3,方程的两边同时除以3,得x=1.点评:本题考查解一元一次方程,解一元一次方程的一般步骤:去分母、去括号、移项、合并同类项、化系数为1.注意移项要变号.27.解方程:(1)8y﹣3(3y+2)=7(2).考点:解一元一次方程.专题:计算题.分析:(1)根据一元一次方程的解法,去括号,移项,合并同类项,系数化为1即可得解;(2)这是一个带分母的方程,所以要先去分母,再去括号,最后为1,从而得到方程的解.解答:解:(1)去括号得,8y﹣9y﹣6=7,移项、合并得,﹣y=13,系数化为1得,y=﹣13;(2)去分母得,3(3x﹣1)﹣12=2(5x﹣7),去括号得,9x﹣3﹣12=10x﹣14,移项得,9x﹣10x=﹣14+3+12,合并同类项得,﹣x=1,系数化为1得,x=﹣1.点评:本题主要考查了解一元一次方程,注意在去分母时,方程两端同乘各分母的最小公倍数时,不要漏乘没有分母的项,同时要把分子(如果是一个多项式)作为一个整体加上括号.28.当k为什么数时,式子比的值少3.考点:解一元一次方程.专题:计算题.根据一元一次方程的解法,去分母,去括号,移项,合并同类项,系数化为1即可得解.解答:解:依题意,得=+3,去分母得,5(2k+1)=3(17﹣k)+45,去括号得,10k+5=51﹣3k+45,移项得,10k+3k=51+45﹣5,合并同类项得,13k=91,系数化为1得,k=7,∴当k=7时,式子比的值少3.点评:本题主要考查了解一元一次方程,注意在去分母时,方程两端同乘各分母的最小公倍数时,不要漏乘没有分母的项,同时要把分子(如果是一个多项式)作为一个29.解下列方程:(I)12y﹣2.5y=7.5y+5(II).考点:解一元一次方程.专题:计算题.分析:(Ⅰ)根据一元一次方程的解法,移项,合并同类项,系数化为1即可得解;(Ⅱ)是一个带分母的方程,所以要先去分母,再去括号,最后移项,合并同类项,系数化为1,从而得到方程的解.解答:解:(Ⅰ)移项得,12y﹣2.5y﹣7.5y=5,合并同类项得,2y=5,系数化为1得,y=2.5;(Ⅱ)去分母得,5(x+1)﹣10=(3x﹣2)﹣2(2x+3),去括号得,5x+5﹣10=3x﹣2﹣4x﹣6,移项得,5x﹣3x+4x=﹣2﹣6﹣5+10,合并同类项得,6x=﹣3,3131得,x=﹣.点评:本题主要考查了解一元一次方程,注意在去分母时,方程两端同乘各分母的最小公倍数时,不要漏乘没有分母的项,同时要把分子(如果是一个多项式)作为一个整体加上括号.30.解方程:.考点: 解一元一次方程. 专题:计算题. 分析:由于方程的分子、分母均有小数,利用分数的基本性质,分子、分母同时扩大相同的倍数,可将小数化成整数. 解答:解:原方程变形为,(3分) 去分母,得3×(30x ﹣11)﹣4×(40x ﹣2)=2×(16﹣70x ),(4分) 去括号,得90x ﹣33﹣160x+8=32﹣140x ,(5分) 移项,得90x﹣160x+140x=32+33﹣8,(6分)合并同类项,得70x=57,(7分)系数化为1,得.(8分)点评:本题考查一元一次方程的解法.解一元一次方程的一般步骤:去分母,去括号,移项,合并同类项,系数化为1.本题的难点在于方程的分子、分母均有小数,将小数化成整数不同于去分母,不是方程两边同乘一个数,而是将分子、分母同乘一个数.。
自我测试 60 分钟看看准确率 牛刀小试 相信自己一定行1、2x +1=7;2、5x -2=8;3、3x +3=2x +7;4、x +5=3x -7 ;解:(移项)(合并) (化系数为 1)5、11x -2=14x -9;6、x -9=4x +27 ;7、 2x +6=1;8、10 x -3=9;解:(移项)(合并) (化系数为 1)1 1 9、4x -2=3-x ; 10、-7x +2=2x -4 ;11、5x -2=7x +8 ;12、 x =- x 3 42+解:(移项)(合并) (化系数为 1313、 x = x 1614、+ 23 5 21 x1- x =3x + ;15、1-xx + ; 16、 x2=-2 - =- +2253 3解:(移项)(合并)(化系数为 1).17、4(x +0 .5)+x =7 ; 18、-2(x -1)=4;19、5(x -1)=1; 20、 2-(1-x )=- 2 ;解:(去括号) (移项) (合并) (化系数为 1)21、11x +1=5(2x +1) ;22、4x -(3 2 0-x )=3.23、5(x +8)-5=0;24、2(3-x )=9 ;解:(去括号) (移项) (合并) (化系数为 1)25、-3(x +3)=24 ; 26、-2(x -2)=12 ; 27、1(2 2-3x )=4x +4 ; 28、2 26-(3 x + )= ;3 3解:(去括号)(移项) (合并) (化系数为 1)29、(2 200-15x )=70+25x ;30、(3 2x +1)=12 .31、解:(去分母)x +2x = 5 4; 32、3-xx +4 = 2 3;(去括号) (移项) (合并) (化系数为 1)1 1 1 1 2x-1 x 2+33、(x+1)=(2x-3);34、(x+1)=(x-1);35、 1=-;3 74 3 3 4解:(去分母)(去括号)(移项)(合并)(化系数为 11 1 1 1 1 1 136、(x-1)=2-(x+2). 37、(x+14)=(x+20);38、(x+15)=-(x-7).2 5 7 4 5 2 3解:(去分母)(去括号)(移项)(合并)(化系数为 139、1413x;40、-=247 x5-4=38;41、2x-1 5x+1=68;42、19x-2x-;7=26解:(去分母)(去括号)(移项)(合并)(化系数为 11 1 2x+1 5x 1-43、x- 3 2x 1;44、 1(-)=-=5 2 3 6解:(去分母)1;45、2x14 4 2x(+)=-;7(去括号)(移项)(合并)(化系数为 146、3 29(200 x 300 x 300 .47、(8 3x-1)-(9 5x-11)-(2 2x-7)=30;+)-(-)=10 1025解:(去分母)(去括号)(移项)(合并)(化系数为 148、121 1 1 0.5 x-1 0 .1x 2+x+x ;49、 1=--=-;50、3 4 5 0.2 0.3x 1-0.3-x+20.5=12 .解:(化整)(去分母)(去括号)(移项)(合并)(化系数为1【参考答案】 1、【答案】(1)x =3 ;(2)x =2; (3)x =4 ;(4)x =6;(5)7x ; (6) x =-12 ; (7) x =4 ; (8) x =- 32. = 31.1、【答案】 (9) 5 x ; (10) =- 2 6 x = ; (11) x =- 5; (12) 51x ;=- 3( 13) x =1; ( 14) 2 x ; ( 15) = 3 5x ; (16) x =1.=- 32、【答案】(17) x =1;(18) x =-1;(19)6x ; ( 20) x =-3 ; ( 21) x =4 ; (22) x =9.= 52.1、【答案】 (23) x =- 7 ;(24)3x =- ; (25) x =-11; (26) x =- 4 ; (27)2 1 x = ; (28) 2 10 x = ;9(29) x =6;(30)3x = .23、【答案】(31) x =8 ;(32)1x = ;(33) x =-16 ;(34) x =7 ;(35)52 x =- ;5(36) x =3 ; ( 37) x =- 28 ;(38)5x =-.163.1、【答案】 (39) x =5;(40)13x = ;(41) x =- 1;(42)1420 x ; (43) =- 325 x = ; 12(44) x =- 3;(45)7x = ; (46) x =216 .84、【答案】(47) x =3 ; (48)32x =- ; (49) 15 64 x = ; (50) 13 29x = .2。
自我测试 60 分钟看看准确率 牛刀小试 相信自己一定行1、 2x +1=7 ;2、 5x -2=8 ;3、 3x +3=2x +7 ;4、 x +5=3x -7 ;解:(移项)(合并)(化系数为 1)5、 11x -2=14x -9 ;6、 x -9=4x +27 ;7、 2 x + 6=1;8、 10 x -3=9 ;解:(移项)(合并)(化系数为 1)9、 4x -2=3-x ; 10、 -7 x + 2=2x -4 ;11、 5x -2= 7x +8 ;12、 1 x =- 1 x +34 2解:(移项)(合并)(化系数为 113、 x = 3 x + 35 2 x + 1 x 21- x =3x + ; 15、 - x =- 2x - =- +16 14、 1; 16、 2 2 2 5 3 3解:(移项)(合并)(化系数为 1).( x +0.5)+ x =7 ( x -1)= 4 ( x -1)= 1 ; 20、 2-( 1- x )=- 217、 4 ; 18、-2 ; 19、 5 ;解:(去括号)(移项)(合并)(化系数为 1)11x +1=5(2x +1) 4x -(320- x )= 3 5( x +8)- 5=0 2 21、 ; 22、 . 23、 ; 24、 ;解:(去括号)(移项)(合并)(化系数为 1)25、 -3( x +3)= 24 ; 26、 - 2( x - 2)=12; 27、 12(2-3x )= 4x +4 ; 28、 6-(3 x + 2)= 2 ;3 3解:(去括号)(移项)(合并)(化系数为 1)29、 (2200-15x )= 70+25x ; + 2= x ; - x x30、 (32x +1)=12 .31、 x 32、 3 = +4 ;5 4 2 3解:(去分母)(去括号)(移项)(合并)(化系数为 1)1 1 1 12 x - x + 2 1 = -( x +1)= (2x -3) ( x +1)= ( x -1) 33、 3; 34、 4 ; 35、 3 4 ;7 3 解:(去分母) (去括号) (移项) (合并) (化系数为 1( x -1)= 2- ( x + 2) 37、 ( x +14)= ( x +20) ( x +15)= - ( x -7) 36、 1 1 . 1 1 ; 38、 1 1 1. 2 5 7 4 5 2 3解:(去分母)(去括号) (移项)(合并) (化系数为 11 1 3 7 x - 5 32 x - 5 x +1 1 9x -2 x -= = 1 = - =39、 ; 4 2 ; 40、 4 8; 41、 6 ; 42、 2 x 7 64 8解:(去分母)(去括号)(移项)(合并)(化系数为 11 12 x + 5 x - 1 x )= 1 - 143、 x - ( - 1 =1 (2 x +14)= 4-2x3 2 ; 44、 ; 45、 ;5 2 36 7解:(去分母)(去括号)(移项)(合并)(化系数为 146、 3( 200+ x )- 2(300- x )= 300 9 . 47、 (83x -1)-(95x -11)-(22x -7)=30 ;10 10 25解:(去分母)(去括号)(移项)(合并)(化系数为 148、 1 x + 1= 1 x - 1 ; 49、 0.5x -1- 0.1x +2=-1; 50、 x -1 - x + 2 =12 .2 3 4 5 0.2 0.3 0.3 0.5解:(化整)(去分母)(去括号)(移项)(合并)(化系数为 1【参考答案】1、【答案】 (1) x =3 ; (2) x = 2 ; (3) x =4 ; (4) x =6;( 5) x = 7 ; ( 6) x =-12 ; ( 7) x =4 ; (8) x =-32 . 31.1、【答案】 ( 9) x =- 5 ; ( 10) x = 6 ; ( 11) x =-5 ; ( 12) x =- 1 ; 2 5 3( 13) x =1; ( 14) x = 2 ; ( 15 ) x =- 5 ; ( ) x =1 . 3 3 162、【答案】( 17) x =1 ;(18) x =-1 ; (19) x = 6 ; ( 20 ) x =- 3 ; ( 21 ) x =4 ; ( ) x =9 .2252.1、【答案】(23) x =- 7 ; ( 24) x =- 3 ; (25) x =-11 ; (26) x =- 4 ; ( 27) x = 1 ;( 28) x = 10 ; 2 2 9 ( 29) x =6 ; ( ) x = 3 30 . 23、【答案】 ( 31) x =8 ; ( 32) x = 1 ; ( ) x =-16 ; ( 34) x =7 ; ( 35 ) x =- 2 ;5 33 5( 36) x =3 ; ( 37) x =- 28 ; (38) x =- 5 .163.1、【答案】 ( 39) x =5 ; ( 40) x = 13 ; ( ) x =-1 ;( ) x =- 20; ( 43) x = 25 ;14 41 42 3 12( 44) x =-3 ; ( 45) x = 7 ; ( 46) x =216 . 84、【答案】 ( 47) x =3 ; ( 48) x =- 32 ; ( 49) x =64 ; ( 50) x = 29 . 15 13 2。
初一七年级一元一次方程30题(含答案解析)一.解答题(共30小题)1.(2005•宁德)解方程:2x+1=72.3.(1)解方程:4﹣x=3(2﹣x);(2)解方程:.4.解方程:.5.解方程(1)4(x﹣1)﹣3(20﹣x)=5(x﹣2);(2)x ﹣=2﹣.6.(1)解方程:3(x﹣1)=2x+3;(2)解方程:=x ﹣.7.﹣(1﹣2x)=(3x+1)8.解方程:(1)5(x﹣1)﹣2(x+1)=3(x﹣1)+x+1;(2).9.解方程:.10.解方程:(1)4x﹣3(4﹣x)=2;(2)(x﹣1)=2﹣(x+2).11.计算:(1)计算:(2)解方程:12.解方程:13.解方程:(1)(2)14.解方程:(1)5(2x+1)﹣2(2x﹣3)=6 (2)+2(3)[3(x ﹣)+]=5x﹣115.(A类)解方程:5x﹣2=7x+8;(B 类)解方程:(x﹣1)﹣(x+5)=﹣;(C 类)解方程:.16.解方程(1)3(x+6)=9﹣5(1﹣2x)(2)(3)(4)17.解方程:(1)解方程:4x﹣3(5﹣x)=13 (2)解方程:x ﹣﹣3 18.(1)计算:﹣42×+|﹣2|3×(﹣)3(2)计算:﹣12﹣|0.5﹣|÷×[﹣2﹣(﹣3)2](3)解方程:4x﹣3(5﹣x)=2;(4)解方程:.19.(1)计算:(1﹣2﹣4)×;(2)计算:÷;(3)解方程:3x+3=2x+7;(4)解方程:.20.解方程(1)﹣0.2(x﹣5)=1;(2).21.解方程:(x+3)﹣2(x﹣1)=9﹣3x.22.8x﹣3=9+5x.5x+2(3x﹣7)=9﹣4(2+x)...23.解下列方程:(1)0.5x﹣0.7=5.2﹣1.3(x﹣1);(2)=﹣2.24.解方程:(1)﹣0.5+3x=10;(2)3x+8=2x+6;(3)2x+3(x+1)=5﹣4(x﹣1);(4).25.解方程:.26.解方程:(1)10x﹣12=5x+15;(2)27.解方程:(1)8y﹣3(3y+2)=7 (2).28.当k 为什么数时,式子比的值少3.29.解下列方程:(I)12y﹣2.5y=7.5y+5(II ).30.解方程:.6.2.4解一元一次方程(三)参考答案与试题解析一.解答题(共30小题)1.(2005•宁德)解方程:2x+1=7考点:解一元一次方程.专题:计算题;压轴题.分析:此题直接通过移项,合并同类项,系数化为1可求解.解答:解:原方程可化为:2x=7﹣1合并得:2x=6系数化为1得:x=3点评:解一元一次方程,一般要通过去分母,去括号,移项,合并同类项,未知数的系数化为1等步骤,把一个一元一次方程“转化”成x=a的形式.2.考点:解一元一次方程.专题:计算题.分析:这是一个带分母的方程,所以要先去分母,再去括号,最后移项,化系数为1,从而得到方程的解.解答:解:左右同乘12可得:3[2x﹣(x﹣1)]=8(x﹣1),化简可得:3x+3=8x﹣8,移项可得:5x=11,解可得x=.故原方程的解为x=.点评:若是分式方程,先同分母,转化为整式方程后,再移项化简,解方程可得答案.3.(1)解方程:4﹣x=3(2﹣x);(2)解方程:.考点:解一元一次方程.专题:计算题.分析:(1)先去括号,然后再移项、合并同类型,最后化系数为1,得出方程的解;(2)题的方程中含有分数系数,应先对各式进行化简、整理,然后再按(1)的步骤求解.解答:解:(1)去括号得:4﹣x=6﹣3x,移项得:﹣x+3x=6﹣4,合并得:2x=2,系数化为1得:x=1.(2)去分母得:5(x﹣1)﹣2(x+1)=2,去括号得:5x﹣5﹣2x﹣2=2,移项得:5x﹣2x=2+5+2,合并得:3x=9,系数化1得:x=3.点评:(1)本题易在去分母、去括号和移项中出现错误,还可能会在解题前产生害怕心理.因为看到小数、分数比较多,学生往往不知如何寻找公分母,怎样合并同类项,怎样化简,所以我们要教会学生分开进行,从而达到分解难点的效果.(2)本题的另外一个重点是教会学生对于分数的分子、分母同时扩大或缩小若干倍,值不变.这一性质在今后常会用到.4.解方程:.考点:解一元一次方程.专题:计算题.分析:此题两边都含有分数,分母不相同,如果直接通分,有一定的难度,但将方程左右同时乘以公分母6,难度就会降低.解答:解:去分母得:3(2﹣x)﹣18=2x﹣(2x+3),去括号得:6﹣3x﹣18=﹣3,移项合并得:﹣3x=9,∴x=﹣3.点评:本题易在去分母和移项中出现错误,学生往往不知如何寻找公分母,怎样合并同类项,怎样化简,所以我们要教会学生分开进行,从而达到分解难点的效果.5.解方程(1)4(x﹣1)﹣3(20﹣x)=5(x﹣2);(2)x﹣=2﹣.考点:解一元一次方程.专题:计算题.分析:(1)先去括号,再移项、合并同类项、化系数为1,从而得到方程的解;(2)先去分母,再去括号,最后移项,化系数为1,从而得到方程的解.解答:解:(1)去括号得:4x﹣4﹣60+3x=5x﹣10(2分)移项得:4x+3x﹣5x=4+60﹣10(3分)合并得:2x=54(5分)系数化为1得:x=27;(6分)(2)去分母得:6x﹣3(x﹣1)=12﹣2(x+2)(2分)去括号得:6x﹣3x+3=12﹣2x﹣4(3分)移项得:6x﹣3x+2x=12﹣4﹣3(4分)合并得:5x=5(5分)系数化为1得:x=1.(6分)点评:去分母时,方程两端同乘各分母的最小公倍数时,不要漏乘没有分母的项,同时要把分子(如果是一个多项式)作为一个整体加上括号.去括号时要注意符号的变化.6.(1)解方程:3(x﹣1)=2x+3;(2)解方程:=x﹣.考点:解一元一次方程.专题:计算题.分析:(1)是简单的一元一次方程,通过移项,系数化为1即可得到;(2)是较为复杂的去分母,本题方程两边都含有分数系数,如果直接通分,有一定的难度,但对每一个式子先进行化简、整理为整数形式,难度就会降低.解答:解:(1)3x﹣3=2x+33x﹣2x=3+3x=6;(2)方程两边都乘以6得:x+3=6x﹣3(x﹣1)x+3=6x﹣3x+3x﹣6x+3x=3﹣3﹣2x=0∴x=0.点评:本题易在去分母、去括号和移项中出现错误,还可能会在解题前不知如何寻找公分母,怎样合并同类项,怎样化简,所以要学会分开进行,从而达到分解难点的效果.去分母时,方程两端同乘各分母的最小公倍数时,不要漏乘没有分母的项,同时要把分子(如果是一个多项式)作为一个整体加上括号.7.﹣(1﹣2x)=(3x+1)考点:解一元一次方程.专题:计算题.分析:这是一个带分母的方程,所以要先去分母,再去括号,最后移项,化系数为1,从而得到方程的解.解答:解:﹣7(1﹣2x)=3×2(3x+1)﹣7+14x=18x+6﹣4x=13x=﹣.点评:解一元一次方程的一般步骤是去分母、去括号、移项、合并同类项和系数化为1.此题去分母时,方程两端同乘各分母的最小公倍数时,不要漏乘没有分母的项,同时要把分子(如果是一个多项式)作为一个整体加上括号.8.解方程:(1)5(x﹣1)﹣2(x+1)=3(x﹣1)+x+1;(2).考点:解一元一次方程.专题:计算题.分析:(1)可采用去括号,移项,合并同类项,系数化1的方式进行;(2)本题方程两边都含有分数系数,如果直接通分,有一定的难度,但对每一个式子先进行化简、整理为整数形式,难度就会降低.解答:解:(1)5(x﹣1)﹣2(x+1)=3(x﹣1)+x+13x﹣7=4x﹣2∴x=﹣5;(2)原方程可化为:去分母得:40x+60=5(18﹣18x)﹣3(15﹣30x),去括号得:40x+60=90﹣90x﹣45+90x,移项、合并得:40x=﹣15,系数化为1得:x=.点评:(1)本题易在去分母、去括号和移项中出现错误,还可能会在解题前产生害怕心理.因为看到小数、分数比较多,学生往往不知如何寻找公分母,怎样合并同类项,怎样化简,所以我们要教会学生分开进行,从而达到分解难点的效果;(2)本题的另外一个重点是教会学生对于分数的分子、分母同时扩大或缩小若干倍,值不变.这一性质在今后常会用到.9.解方程:.考点:解一元一次方程.专题:计算题.分析:这是一个带分母的方程,所以要先去分母,再去括号,最后移项,化系数为1,从而得到方程的解.解答:解:,去分母得:2x﹣(3x+1)=6﹣3(x﹣1),去括号得:2x﹣3x﹣1=6﹣3x+3,移项、合并同类项得:2x=10,系数化为1得:x=5.点评:去分母时,方程两端同乘各分母的最小公倍数时,不要漏乘没有分母的项,同时要把分子(如果是一个多项式)作为一个整体加上括号.10.解方程:(1)4x﹣3(4﹣x)=2;(2)(x﹣1)=2﹣(x+2).考点:解一元一次方程.专题:计算题.分析:(1)先去括号,再移项,合并同类项,系数化1,即可求出方程的解;(2)先去分母,再去括号,移项,合并同类项,系数化1可求出方程的解.解答:解:(1)4x﹣3(4﹣x)=2去括号,得4x﹣12+3x=2移项,合并同类项7x=14系数化1,得x=2.(2)(x﹣1)=2﹣(x+2)去分母,得5(x﹣1)=20﹣2(x+2)去括号,得5x﹣5=20﹣2x﹣4移项、合并同类项,得7x=21系数化1,得x=3.点评:(1)此题主要是去括号,移项,合并同类项,系数化1.(2)方程两边每一项都要乘各分母的最小公倍数,方程两边每一项都要乘各分母的最小公倍数,切勿漏乘不含有分母的项,另外分数线有两层意义,一方面它是除号,另一方面它又代表着括号,所以在去分母时,应该将分子用括号括上.11.计算:(1)计算:(2)解方程:考点:解一元一次方程;有理数的混合运算.专题:计算题.分析:(1)根据有理数的混合运算法则计算:先算乘方、后算乘除、再算加减;(2)两边同时乘以最简公分母4,即可去掉分母.解答:解:(1)原式=,=,=.(2)去分母得:2(x﹣1)﹣(3x﹣1)=﹣4,解得:x=3.点评:解答此题要注意:(1)去分母时最好先去中括号、再去小括号,以减少去括号带来的符号变化次数;(2)去分母就是方程两边同时乘以分母的最简公分母.12.解方程:考点:解一元一次方程.专题:计算题.分析:(1)这是一个带分母的方程,所以要先去分母,再去括号,最后移项,化系数为1,从而得到方程的解.(2)解一元一次方程的一般步骤:去分母、去括号、移项、合并同类项、化系数为1.解答:解:(1)去分母得:3(3x﹣1)+18=1﹣5x,去括号得:9x﹣3+18=1﹣5x,移项、合并得:14x=﹣14,系数化为1得:x=﹣1;(2)去括号得:x﹣x+1=x,移项、合并同类项得:x=﹣1,系数化为1得:x=﹣.点评:本题考查解一元一次方程,正确掌握解一元一次方程的一般步骤,注意移项要变号、去分母时“1”也要乘以最小公倍数.13.解方程:(1)(2)考点:解一元一次方程.专题:计算题.分析:(1)去分母、去括号、移项、合并同类项、化系数为1.(2)去分母、去括号、移项、合并同类项、化系数为1.解答:(1)解:去分母得:5(3x+1)﹣2×10=3x﹣2﹣2(2x+3),去括号得:15x+5﹣20=3x﹣2﹣4x﹣6,移项得:15x+x=﹣8+15,合并得:16x=7,解得:;(2)解:,4(x﹣1)﹣18(x+1)=﹣36,4x﹣4﹣18x﹣18=﹣36,﹣14x=﹣14,x=1.点评:本题考查解一元一次方程,正确掌握解一元一次方程的一般步骤,注意移项要变号、去分母时“1”也要乘以最小公倍数.14.解方程:(1)5(2x+1)﹣2(2x﹣3)=6 (2)+2(3)[3(x﹣)+]=5x﹣1考点:解一元一次方程.专题:计算题.分析:(2)通过去括号、移项、合并同类项、系数化为1,解得x的值;(3)乘最小公倍数去分母即可;(4)主要是去括号,也可以把分数转化成整数进行计算.解答:解:(1)去括号得:10x+5﹣4x+6=6移项、合并得:6x=﹣5,方程两边都除以6,得x=﹣;(2)去分母得:3(x﹣2)=2(4﹣3x)+24,去括号得:3x﹣6=8﹣6x+24,移项、合并得:9x=38,方程两边都除以9,得x=;(3)整理得:[3(x﹣)+]=5x﹣1,4x﹣2+1=5x﹣1,移项、合并得:x=0.点评:一元一次方程的解法:一般要通过去分母、去括号、移项、合并同类项、未知数的系数化为1等步骤,把一个一元一次方程“转化”成x=a的形式.解题时,要灵活运用这些步骤.15.(A类)解方程:5x﹣2=7x+8;(B类)解方程:(x﹣1)﹣(x+5)=﹣;(C类)解方程:.考点:解一元一次方程.专题:计算题.分析:通过去分母、去括号、移项、系数化为1等方法,求得各方程的解.解答:解:A类:5x﹣2=7x+8移项:5x﹣7x=8+2化简:﹣2x=10即:x=﹣5;B类:(x﹣1)﹣(x+5)=﹣去括号:x﹣﹣x﹣5=﹣化简:x=5即:x=﹣;C类:﹣=1去分母:3(4﹣x)﹣2(2x+1)=6去括号:12﹣3x﹣4x﹣2=6化简:﹣7x=﹣4即:x=.点评:本题主要考查一元一次方程的解法,比较简单,但要细心运算.16.解方程(1)3(x+6)=9﹣5(1﹣2x)(2)(3)(4)考点:解一元一次方程.专题:计算题.分析:(1)去括号以后,移项,合并同类项,系数化为1即可求解;(2)(3)首先去掉分母,再去括号以后,移项,合并同类项,系数化为1以后即可求解;(4)首先根据分数的基本性质,把第一项分母中的0.3化为整数,再去分母,求解.解答:解:(1)去括号得:3x+18=9﹣5+10x移项得:3x﹣10x=9﹣5﹣18合并同类项得:﹣7x=﹣14则x=2;(2)去分母得:2x+1=x+3﹣5移项,合并同类项得:x=﹣3;(3)去分母得:10y+2(y+2)=20﹣5(y﹣1)去括号得:10y+2y+4=20﹣5y+5移项,合并同类项得:17y=21系数化为1得:;(4)原方程可以变形为:﹣5x=﹣1去分母得:17+20x﹣15x=﹣3移项,合并同类项得:5x=﹣20系数化为1得:x=﹣4.点评:解方程的过程中要注意每步的依据,这几个题目都是基础的题目,需要熟练掌握.17.解方程:(1)解方程:4x﹣3(5﹣x)=13(2)解方程:x﹣﹣3考点:解一元一次方程.专题:计算题.分析:(1)先去括号,再移项,化系数为1,从而得到方程的解.(2)这是一个带分母的方程,所以要先去分母,再去括号,最后移项,化系数为1,从而得到方程的解.解答:解:(1)去括号得:4x﹣15+3x=13,移项合并得:7x=28,系数化为1得:得x=4;(2)原式变形为x+3=,去分母得:5(2x﹣5)+3(x﹣2)=15(x+3),去括号得10x﹣25+3x﹣6=15x+45,移项合并得﹣2x=76,系数化为1得:x=﹣38.点评:本题考查解一元一次方程,解一元一次方程的一般步骤是:去分母、去括号、移项、合并同类项、化系数为1.注意移项要变号.18.(1)计算:﹣42×+|﹣2|3×(﹣)3(2)计算:﹣12﹣|0.5﹣|÷×[﹣2﹣(﹣3)2](3)解方程:4x﹣3(5﹣x)=2;(4)解方程:.考点:解一元一次方程;有理数的混合运算.分析:(1)利用平方和立方的定义进行计算.(2)按四则混合运算的顺序进行计算.(3)主要是去括号,移项合并.(4)两边同乘最小公倍数去分母,再求值.解答:解:(1)﹣42×+|﹣2|3×(﹣)3==﹣1﹣1=﹣2.(2)﹣12﹣|0.5﹣|÷×[﹣2﹣(﹣3)2]====.(3)解方程:4x﹣3(5﹣x)=2去括号,得4x﹣15+3x)=2移项,得4x+3x=2+15合并同类项,得7x=17系数化为1,得.(4)解方程:去分母,得15x﹣3(x﹣2)=5(2x﹣5)﹣3×15去括号,得15x﹣3x+6=10x﹣25﹣45移项,得15x﹣3x﹣10x=﹣25﹣45﹣6合并同类项,得2x=﹣76系数化为1,得x=﹣38.点评:前两道题考查了学生有理数的混合运算,后两道考查了学生解一元一次方程的能力.19.(1)计算:(1﹣2﹣4)×;(2)计算:÷;(3)解方程:3x+3=2x+7;(4)解方程:.考点:解一元一次方程;有理数的混合运算.专题:计算题.分析:(1)和(2)要熟练掌握有理数的混合运算;(3)和(4)首先熟悉解一元一次方程的步骤:去分母,去括号,移项,合并同类项,系数化为1.解答:解:(1)(1﹣2﹣4)×=﹣=﹣13;(2)原式=﹣1×(﹣4﹣2)×(﹣)=6×(﹣)=﹣9;(3)解方程:3x+3=2x+7移项,得3x﹣2x=7﹣3合并同类项,得x=4;(4)解方程:去分母,得6(x+15)=15﹣10(x﹣7)去括号,得6x+90=15﹣10x+70移项,得6x+10x=15+70﹣90合并同类项,得16x=﹣5系数化为1,得x=.点评:(1)和(2)要注意符号的处理;(4)要特别注意去分母的时候不要发生数字漏乘的现象,熟练掌握去括号法则以及合并同类项法则.20.解方程(1)﹣0.2(x﹣5)=1;(2).考点:解一元一次方程.分析:(1)通过去括号、移项、系数化为1等过程,求得x的值;(2)通过去分母以及去括号、移项、系数化为1等过程,求得x的值.解答:解:(1)﹣0.2(x﹣5)=1;去括号得:﹣0.2x+1=1,∴﹣0.2x=0,∴x=0;(2).去分母得:2(x﹣2)+6x=9(3x+5)﹣(1﹣2x),∴﹣21x=48,∴x=﹣.点评:此题主要考查了一元一次方程解法,解一元一次方程常见的过程有去括号、移项、系数化为1等.21.解方程:(x+3)﹣2(x﹣1)=9﹣3x.考点:解一元一次方程.专题:计算题.分析:先去括号得x+3﹣2x+2=9﹣3x,然后移项、合并同类得到2x=4,然后把x的系数化为1即可.解答:解:去括号得x+3﹣2x+2=9﹣3x,移项得x﹣2x+3x=9﹣3﹣2,合并得2x=4,系数化为1得x=2.点评:本题考查了解一元一次方程:先去分母,再去括号,接着移项,把含未知数的项移到方程左边,不含未知数的项移到方程右边,然后合并同类项,最后把未知数的系数化为1得到原方程的解.22.8x﹣3=9+5x.5x+2(3x﹣7)=9﹣4(2+x)...考点:解一元一次方程.专题:方程思想.分析:本题是解4个不同的一元一次方程,第一个通过移项、合并同类项及系数化1求解.第二个先去括号再通过移项、合并同类项及系数化1求解.第三个先去分母再同第二个.第四个先分子分母乘以10,再同第三个求解.解答:8x﹣3=9+5x,解:8x﹣5x=9+3,3x=12,∴x=4.∴x=4是原方程的解;5x+2(3x﹣7)=9﹣4(2+x),解:5x+6x﹣14=9﹣8﹣4x,5x+6x+4x=9﹣8+14,15x=15,∴x=1.∴x=1是原方程的解..解:3(x﹣1)﹣2(2x+1)=12,3x﹣3﹣4x﹣2=12,3x﹣4x=12+3+2,﹣x=17,∴x=﹣17.∴x=﹣17是原方程的解.,解:,5(10x﹣3)=4(10x+1)+40,50x﹣15=40x+4+40,50x﹣40x=4+40+15,10x=59,∴x=.∴x=是原方程的解.点评:此题考查的知识点是解一元一次方程,关键是注意解方程时的每一步都要认真仔细,如移项时要变符号.23.解下列方程:(1)0.5x﹣0.7=5.2﹣1.3(x﹣1);(2)=﹣2.考点:解一元一次方程.分析:(1)首先去括号,然后移项、合并同类项,系数化成1,即可求解;(2)首先去分母,然后去括号,移项、合并同类项,系数化成1,即可求解解答:解:(1)去括号,得:0.5x﹣0.7=5.2﹣1.3x+1.3移项,得:0.5x+1.3x=5.2+1.3+0.7合并同类项,得:1.8x=7.2,则x=4;(2)去分母得:7(1﹣2x)=3(3x+1)﹣42,去括号,得:7﹣14x=9x+3﹣42,移项,得:﹣14x﹣9x=3﹣42﹣7,合并同类项,得:﹣23x=﹣46,则x=2.点评:本题考查解一元一次方程,解一元一次方程的一般步骤是:去分母、去括号、移项、合并同类项、化系数为1.注意移项要变号.24.解方程:(1)﹣0.5+3x=10;(2)3x+8=2x+6;(3)2x+3(x+1)=5﹣4(x﹣1);(4).考点:解一元一次方程.分析:(1)移项,合并同类项,然后系数化成1即可求解;(2)移项,合并同类项,然后系数化成1即可求解;(3)去括号、移项,合并同类项,然后系数化成1即可求解;(4)首先去分母,然后去括号、移项,合并同类项,然后系数化成1即可求解.解答:解:(1)3x=10.5,x=3.5;(2)3x﹣2x=6﹣8,x=﹣2;(3)2x+3x+3=5﹣4x+4,2x+3x+4x=5+4﹣3,9x=6,x=;(4)2(x+1)+6=3(3x﹣2),2x+2+6=9x﹣6,2x﹣9x=﹣6﹣2﹣6,﹣7x=﹣14,x=2.点评:本题考查解一元一次方程,解一元一次方程的一般步骤是:去分母、去括号、移项、合并同类项、化系数为1.注意移项要变号.25.解方程:.考点:解一元一次方程.专题:计算题.分析:方程两边乘以10去分母后,去括号,移项合并,将x系数化为1,即可求出解.解答:解:去分母得:5(3x﹣1)﹣2(5x﹣6)=2,去括号得:15x﹣5﹣10x+12=2,移项合并得:5x=﹣5,解得:x=﹣1.点评:此题考查了解一元一次方程,其步骤为:去分母,去括号,移项合并,将未知数系数化为1,求出解.26.解方程:(1)10x﹣12=5x+15;(2)考点:解一元一次方程.专题:计算题.分析:(1)先移项,再合并同类项,最后化系数为1,从而得到方程的解;(2)先去括号,再移项、合并同类项,最后化系数为1,从而得到方程的解.解答:解:(1)移项,得10x﹣5x=12+15,合并同类项,得5x=27,方程的两边同时除以5,得x=;(2)去括号,得=,方程的两边同时乘以6,得x+1=4x﹣2,移项、合并同类项,得3x=3,方程的两边同时除以3,得x=1.点评:本题考查解一元一次方程,解一元一次方程的一般步骤:去分母、去括号、移项、合并同类项、化系数为1.注意移项要变号.27.解方程:(1)8y﹣3(3y+2)=7(2).考点:解一元一次方程.专题:计算题.分析:(1)根据一元一次方程的解法,去括号,移项,合并同类项,系数化为1即可得解;(2)这是一个带分母的方程,所以要先去分母,再去括号,最后移项,合并同类项,系数化为1,从而得到方程的解.解答:解:(1)去括号得,8y﹣9y﹣6=7,移项、合并得,﹣y=13,系数化为1得,y=﹣13;(2)去分母得,3(3x﹣1)﹣12=2(5x﹣7),去括号得,9x﹣3﹣12=10x﹣14,移项得,9x﹣10x=﹣14+3+12,合并同类项得,﹣x=1,系数化为1得,x=﹣1.点评:本题主要考查了解一元一次方程,注意在去分母时,方程两端同乘各分母的最小公倍数时,不要漏乘没有分母的项,同时要把分子(如果是一个多项式)作为一个整体加上括号.28.当k 为什么数时,式子比的值少3.考点:解一元一次方程.专题:计算题.分析:先根据题意列出方程,再根据一元一次方程的解法,去分母,去括号,移项,合并同类项,系数化为1即可得解.解答:解:依题意,得=+3,去分母得,5(2k+1)=3(17﹣k)+45,去括号得,10k+5=51﹣3k+45,移项得,10k+3k=51+45﹣5,合并同类项得,13k=91,系数化为1得,k=7,∴当k=7时,式子比的值少3.点评:本题主要考查了解一元一次方程,注意在去分母时,方程两端同乘各分母的最小公倍数时,不要漏乘没有分母的项,同时要把分子(如果是一个多项式)作为一个整体加上括号.29.解下列方程:(I)12y﹣2.5y=7.5y+5(II ).考点:解一元一次方程.专题:计算题.分析:(Ⅰ)根据一元一次方程的解法,移项,合并同类项,系数化为1即可得解;(Ⅱ)是一个带分母的方程,所以要先去分母,再去括号,最后移项,合并同类项,系数化为1,从而得到方程的解.解答:解:(Ⅰ)移项得,12y﹣2.5y﹣7.5y=5,合并同类项得,2y=5,系数化为1得,y=2.5;(Ⅱ)去分母得,5(x+1)﹣10=(3x﹣2)﹣2(2x+3),去括号得,5x+5﹣10=3x﹣2﹣4x﹣6,移项得,5x﹣3x+4x=﹣2﹣6﹣5+10,合并同类项得,6x=﹣3,系数化为1得,x=﹣.点评:本题主要考查了解一元一次方程,注意在去分母时,方程两端同乘各分母的最小公倍数时,不要漏乘没有分母的项,同时要把分子(如果是一个多项式)作为一个整体加上括号.30.解方程:.考点:解一元一次方程.专题:计算题.分析:由于方程的分子、分母均有小数,利用分数的基本性质,分子、分母同时扩大相同的倍数,可将小数化成整数.解答:解:原方程变形为,(3分)去分母,得3×(30x﹣11)﹣4×(40x﹣2)=2×(16﹣70x),(4分)去括号,得90x﹣33﹣160x+8=32﹣140x,(5分)移项,得90x﹣160x+140x=32+33﹣8,(6分)合并同类项,得70x=57,(7分)系数化为1,得.(8分)点评:本题考查一元一次方程的解法.解一元一次方程的一般步骤:去分母,去括号,移项,合并同类项,系数化为1.本题的难点在于方程的分子、分母均有小数,将小数化成整数不同于去分母,不是方程两边同乘一个数,而是将分子、分母同乘一个数.。
初一七年级一元一次方程30题(含答案解析)(总28页)--本页仅作为文档封面,使用时请直接删除即可----内页可以根据需求调整合适字体及大小--初一七年级一元一次方程30题(含答案解析)一.解答题(共30小题)1.(2005•宁德)解方程:2x+1=72.3.(1)解方程:4﹣x=3(2﹣x);(2)解方程:.4.解方程:.5.解方程(1)4(x﹣1)﹣3(20﹣x)=5(x﹣2);(2)x ﹣=2﹣.6.(1)解方程:3(x﹣1)=2x+3;(2)解方程:=x ﹣.7.﹣(1﹣2x)=(3x+1)8.解方程:(1)5(x﹣1)﹣2(x+1)=3(x﹣1)+x+1;(2).9.解方程:.10.解方程:(1)4x﹣3(4﹣x)=2;(2)(x﹣1)=2﹣(x+2).11.计算:(1)计算:(2)解方程:12.解方程:13.解方程:(1)(2)14.解方程:(1)5(2x+1)﹣2(2x﹣3)=6 (2)+2(3)[3(x ﹣)+]=5x﹣115.(A类)解方程:5x﹣2=7x+8;(B 类)解方程:(x﹣1)﹣(x+5)=﹣;(C 类)解方程:.16.解方程(2)(3)(4)17.解方程:(1)解方程:4x﹣3(5﹣x)=13 (2)解方程:x ﹣﹣3 18.(1)计算:﹣42×+|﹣2|3×(﹣)3(2)计算:﹣12﹣|0.5﹣|÷×[﹣2﹣(﹣3)2](3)解方程:4x﹣3(5﹣x)=2;(4)解方程:.19.(1)计算:(1﹣2﹣4)×;(2)计算:÷;(3)解方程:3x+3=2x+7;(4)解方程:.20.解方程(1)﹣0.2(x﹣5)=1;(2).21.解方程:(x+3)﹣2(x﹣1)=9﹣3x.22.8x﹣3=9+5x.5x+2(3x﹣7)=9﹣4(2+x)...23.解下列方程:(1)0.5x﹣0.7=5.2﹣1.3(x﹣1);(2)=﹣2.24.解方程:(1)﹣0.5+3x=10;(2)3x+8=2x+6;(3)2x+3(x+1)=5﹣4(x﹣1);(4).25.解方程:.26.解方程:(1)10x﹣12=5x+15;(2)27.解方程:(1)8y﹣3(3y+2)=7 (2).28.当k 为什么数时,式子比的值少3.29.解下列方程:(I)12y﹣2.5y=7.5y+5(II ).30.解方程:.6.2.4解一元一次方程(三)参考答案与试题解析一.解答题(共30小题)1.(2005•宁德)解方程:2x+1=7考点:解一元一次方程.专题:计算题;压轴题.分析:此题直接通过移项,合并同类项,系数化为1可求解.解答:解:原方程可化为:2x=7﹣1合并得:2x=6系数化为1得:x=3点评:解一元一次方程,一般要通过去分母,去括号,移项,合并同类项,未知数的系数化为1等步骤,把一个一元一次方程“转化”成x=a的形式.2.考点:解一元一次方程.专题:计算题.分析:这是一个带分母的方程,所以要先去分母,再去括号,最后移项,化系数为1,从而得到方程的解.解答:解:左右同乘12可得:3[2x﹣(x﹣1)]=8(x﹣1),化简可得:3x+3=8x﹣8,移项可得:5x=11,解可得x=.故原方程的解为x=.点评:若是分式方程,先同分母,转化为整式方程后,再移项化简,解方程可得答案.3.(1)解方程:4﹣x=3(2﹣x);(2)解方程:.考点:解一元一次方程.专题:计算题.分析:(1)先去括号,然后再移项、合并同类型,最后化系数为1,得出方程的解;(2)题的方程中含有分数系数,应先对各式进行化简、整理,然后再按(1)的步骤求解.解答:解:(1)去括号得:4﹣x=6﹣3x,移项得:﹣x+3x=6﹣4,合并得:2x=2,系数化为1得:x=1.(2)去分母得:5(x﹣1)﹣2(x+1)=2,去括号得:5x﹣5﹣2x﹣2=2,移项得:5x﹣2x=2+5+2,合并得:3x=9,系数化1得:x=3.点评:(1)本题易在去分母、去括号和移项中出现错误,还可能会在解题前产生害怕心理.因为看到小数、分数比较多,学生往往不知如何寻找公分母,怎样合并同类项,怎样化简,所以我们要教会学生分开进行,在今后常会用到.4.解方程:.考点:解一元一次方程.专题:计算题.分析:此题两边都含有分数,分母不相同,如果直接通分,有一定的难度,但将方程左右同时乘以公分母6,难度就会降低.解答:解:去分母得:3(2﹣x)﹣18=2x﹣(2x+3),去括号得:6﹣3x﹣18=﹣3,移项合并得:﹣3x=9,∴x=﹣3.点评:本题易在去分母和移项中出现错误,学生往往不知如何寻找公分母,怎样合并同类项,怎样化简,所以我们要教会学生分开进行,从而达到分解难点的效果.5.解方程(1)4(x﹣1)﹣3(20﹣x)=5(x﹣2);(2)x﹣=2﹣.考点:解一元一次方程.专题:计算题.分析:(1)先去括号,再移项、合并同类项、化系数为1,从而得到方程的解;(2)先去分母,再去括号,最后移项,化系数为1,从而得到方程的解.解答:解:(1)去括号得:4x﹣4﹣60+3x=5x﹣10(2分)移项得:4x+3x﹣5x=4+60﹣10(3分)合并得:2x=54(5分)系数化为1得:x=27;(6分)(2)去分母得:6x﹣3(x﹣1)=12﹣2(x+2)(2分)去括号得:6x﹣3x+3=12﹣2x﹣4(3分)移项得:6x﹣3x+2x=12﹣4﹣3(4分)合并得:5x=5(5分)系数化为1得:x=1.(6分)点评:去分母时,方程两端同乘各分母的最小公倍数时,不要漏乘没有分母的项,同时要把分子(如果是一个多项式)作为一个整体加上括号.去括号时要注意符号的变化.6.(1)解方程:3(x﹣1)=2x+3;(2)解方程:=x﹣.考点:解一元一次方程.专题:计算题.分析:(1)是简单的一元一次方程,通过移项,系数化为1即可得到;(2)是较为复杂的去分母,本题方程两边都含有分数系数,如果直接通分,有一定的难度,但对每一个式子先进行化简、整理为整数形式,难度就会降低.解答:解:(1)3x﹣3=2x+33x﹣2x=3+3x=6;(2)方程两边都乘以6得:x+3=6x﹣3(x﹣1)x+3=6x﹣3x+3x﹣6x+3x=3﹣3﹣2x=0点评:本题易在去分母、去括号和移项中出现错误,还可能会在解题前不知如何寻找公分母,怎样合并同类项,怎样化简,所以要学会分开进行,从而达到分解难点的效果.去分母时,方程两端同乘各分母的最小公倍数时,不要漏乘没有分母的项,同时要把分子(如果是一个多项式)作为一个整体加上括号.7.﹣(1﹣2x)=(3x+1)考点:解一元一次方程.专题:计算题.分析:这是一个带分母的方程,所以要先去分母,再去括号,最后移项,化系数为1,从而得到方程的解.解答:解:﹣7(1﹣2x)=3×2(3x+1)﹣7+14x=18x+6﹣4x=13x=﹣.点评:解一元一次方程的一般步骤是去分母、去括号、移项、合并同类项和系数化为1.此题去分母时,方程两端同乘各分母的最小公倍数时,不要漏乘没有分母的项,同时要把分子(如果是一个多项式)作为一个整体加上括号.8.解方程:(1)5(x﹣1)﹣2(x+1)=3(x﹣1)+x+1;(2).考点:解一元一次方程.专题:计算题.分析:(1)可采用去括号,移项,合并同类项,系数化1的方式进行;(2)本题方程两边都含有分数系数,如果直接通分,有一定的难度,但对每一个式子先进行化简、整理为整数形式,难度就会降低.解答:解:(1)5(x﹣1)﹣2(x+1)=3(x﹣1)+x+13x﹣7=4x﹣2∴x=﹣5;(2)原方程可化为:去分母得:40x+60=5(18﹣18x)﹣3(15﹣30x),去括号得:40x+60=90﹣90x﹣45+90x,移项、合并得:40x=﹣15,系数化为1得:x=.点评:(1)本题易在去分母、去括号和移项中出现错误,还可能会在解题前产生害怕心理.因为看到小数、分数比较多,学生往往不知如何寻找公分母,怎样合并同类项,怎样化简,所以我们要教会学生分开进行,从而达到分解难点的效果;(2)本题的另外一个重点是教会学生对于分数的分子、分母同时扩大或缩小若干倍,值不变.这一性质在今后常会用到.9.解方程:.考点:解一元一次方程.专题:计算题.分析:这是一个带分母的方程,所母,再去括号,最后移项,化系数为1,从而得到方程的解.解答:解:,去分母得:2x﹣(3x+1)=6﹣3(x﹣1),去括号得:2x﹣3x﹣1=6﹣3x+3,移项、合并同类项得:2x=10,系数化为1得:x=5.点评:去分母时,方程两端同乘各分母的最小公倍数时,不要漏乘没有分母的项,同时要把分子(如果是一个多项式)作为一个整体加上括号.10.解方程:(1)4x﹣3(4﹣x)=2;(2)(x﹣1)=2﹣(x+2).考点:解一元一次方程.专题:计算题.分析:(1)先去括号,再移项,合并同类项,系数化1,即可求出方程的解;(2)先去分母,再去括号,移项,合并同类项,系数化1可求出方程的解.解答:解:(1)4x﹣3(4﹣x)=2移项,合并同类项7x=14系数化1,得x=2.(2)(x﹣1)=2﹣(x+2)去分母,得5(x﹣1)=20﹣2(x+2)去括号,得5x﹣5=20﹣2x﹣4移项、合并同类项,得7x=21系数化1,得x=3.点评:(1)此题主要是去括号,移项,合并同类项,系数化1.(2)方程两边每一项都要乘各分母的最小公倍数,方程两边每一项都要乘各分母的最小公倍数,切勿漏乘不含有分母的项,另外分数线有两层意义,一方面它是除号,另一方面它又代表着括号,所以在去分母时,应该将分子用括号括上.11.计算:(1)计算:(2)解方程:考点:解一元一次方程;有理数的混合运算.专题:计算题.分析:(1)根据有理乘除、再算加减;(2)两边同时乘以最简公分母4,即可去掉分母.解答:解:(1)原式=,=,=.(2)去分母得:2(x﹣1)﹣(3x﹣1)=﹣4,解得:x=3.点评:解答此题要注意:(1)去分母时最好先去中括号、再去小括号,以减少去括号带来的符号变化次数;(2)去分母就是方程两边同时乘以分母的最简公分母.12.解方程:考点:解一元一次方程.专题:计算题.分析:(1)这是一个带分母的方程,所以要先去分母,再去括号,最后移项,化系数为1,从而得到方程的解.(2)解一元一次方程的一般移项、合并同类项、化系数为1.解答:解:(1)去分母得:3(3x﹣1)+18=1﹣5x,去括号得:9x﹣3+18=1﹣5x,移项、合并得:14x=﹣14,系数化为1得:x=﹣1;(2)去括号得:x﹣x+1=x,移项、合并同类项得:x=﹣1,系数化为1得:x=﹣.点评:本题考查解一元一次方程,正确掌握解一元一次方程的一般步骤,注意移项要变号、去分母时“1”也要乘以最小公倍数.13.解方程:(1)(2)考点:解一元一次方程.专题:计算题.分析:(1)去分母、去括号、移项、合并同类项、化系数为1.(2)去分母、去括号、移项、合并同类1.解答:(1)解:去分母得:5(3x+1)﹣2×10=3x﹣2﹣2(2x+3),去括号得:15x+5﹣20=3x﹣2﹣4x﹣6,移项得:15x+x=﹣8+15,合并得:16x=7,解得:;(2)解:,4(x﹣1)﹣18(x+1)=﹣36,4x﹣4﹣18x﹣18=﹣36,﹣14x=﹣14,x=1.点评:本题考查解一元一次方程,正确掌握解一元一次方程的一般步骤,注意移项要变号、去分母时“1”也要乘以最小公倍数.14.解方程:(1)5(2x+1)﹣2(2x﹣3)=6 (2)+2(3)[3(x﹣)+]=5x﹣1考点:解一元一次方程.专题:计算题.分析:(2)通过去括号、移项、合并同类项、系数化为1,解得x的值;(3)乘最小公倍数去分母即括号,也可以把分数转化成整数进行计算.解答:解:(1)去括号得:10x+5﹣4x+6=6移项、合并得:6x=﹣5,方程两边都除以6,得x=﹣;(2)去分母得:3(x﹣2)=2(4﹣3x)+24,去括号得:3x﹣6=8﹣6x+24,移项、合并得:9x=38,方程两边都除以9,得x=;(3)整理得:[3(x﹣)+]=5x﹣1,4x﹣2+1=5x﹣1,移项、合并得:x=0.点评:一元一次方程的解法:一般要通过去分母、去括号、移项、合并同类项、未知数的系数化为1等步骤,把一个一元一次方程“转化”成x=a的形式.解题时,要灵活运用这些步骤.15.(A类)解方程:5x﹣2=7x+8;(B类)解方程:(x﹣1)﹣(x+5)=﹣;(C类)解方程:.考点:解一元一次方程.专题:计算题.分析:通过去分母、去括号、移项、系数化为1等方法,求得各方程的解.解答:解:A类:5x﹣2=7x+8移项:5x﹣7x=8+2化简:﹣2x=10即:x=﹣5;B类:(x﹣1)﹣(x+5)=﹣去括号:x﹣﹣x﹣5=﹣化简:x=5即:x=﹣;C类:﹣=1去分母:3(4﹣x)﹣2(2x+1)=6去括号:12﹣3x﹣4x﹣2=6化简:﹣7x=﹣4即:x=.点评:本题主要考查一元一次方程的解法,比较简单,但要细心运算.16.解方程(1)3(x+6)=9﹣5(1﹣2x)(2)(3)(4)考点:解一元一次方程.专题:计算题.分析:(1)去括号以后,移项,合并同类项,系数化为1即可求解;(2)(3)首先去掉分母,再去括号以后,移项,合并同类项,系数化为1以后即可求解;(4)首先根据分数的基本性质,把第一项分母中的0.3化为整数,再去分母,求解.解答:解:(1)去括号得:3x+18=9﹣5+10x移项得:3x﹣10x=9﹣5﹣18合并同类项得:﹣7x=﹣14则x=2;(2)去分母得:2x+1=x+3﹣5移项,合并同类项得:x=﹣3;(3)去分母得:10y+2(y+2)=20﹣5(y﹣1)去括号得:10y+2y+4=20﹣5y+5移项,合并同类项得:17y=21系数化为1得:;(4)原方程可以变形为:﹣5x=﹣1去分母得:17+20x﹣15x=﹣3移项,合并同类项得:5x=﹣20系数化为1得:x=﹣4.点评:解方程的过程中要注意每步的依据,这几个题目都是基础的题目,需要熟练掌握.17.解方程:(1)解方程:4x﹣3(5﹣x)=13(2)解方程:x﹣﹣3考点:解一元一次方程.专题:计算题.分析:(1)先去括号,再移项,化系数为1,从而得到方程的解.(2)这是一个带分母的方程,所以要先去分母,再去括号,最后移项,化系数为1,从而得到方程的解.解答:解:(1)去括号得:4x﹣15+3x=13,移项合并得:7x=28,系数化为1得:得x=4;为x+3=,去分母得:5(2x﹣5)+3(x﹣2)=15(x+3),去括号得10x﹣25+3x﹣6=15x+45,移项合并得﹣2x=76,系数化为1得:x=﹣38.点评:本题考查解一元一次方程,解一元一次方程的一般步骤是:去分母、去括号、移项、合并同类项、化系数为1.注意移项要变号.18.(1)计算:﹣42×+|﹣2|3×(﹣)3(2)计算:﹣12﹣|0.5﹣|÷×[﹣2﹣(﹣3)2](3)解方程:4x﹣3(5﹣x)=2;(4)解方程:.考点:解一元一次方程;有理数的混合运算.分析:(1)利用平方和立方的定义进行计算.(2)按四则混合运算的顺序进行计算.(3)主要是去括号,移项合并.(4)两边同乘最小公倍数去分母,再求值.解答:解:(1)﹣42×+|﹣2|3×(﹣)3==﹣1﹣1=﹣2.(2)﹣12﹣|0.5﹣|÷×[﹣2﹣(﹣3)2]====.(3)解方程:4x﹣3(5﹣x)=2去括号,得4x﹣15+3x)=2移项,得4x+3x=2+15合并同类项,得7x=17系数化为1,得.(4)解方程:去分母,得15x﹣3(x﹣2)=5(2x﹣5)﹣3×15去括号,得15x﹣3x+6=10x﹣25﹣45移项,得15x﹣3x﹣10x=﹣25﹣45﹣6合并同类项,得2x=﹣76系数化为1,得x=﹣38.点评:前两道题考查了学生有理数学生解一元一次方程的能力.19.(1)计算:(1﹣2﹣4)×;(2)计算:÷;(3)解方程:3x+3=2x+7;(4)解方程:.考点:解一元一次方程;有理数的混合运算.专题:计算题.分析:(1)和(2)要熟练掌握有理数的混合运算;(3)和(4)首先熟悉解一元一次方程的步骤:去分母,去括号,移项,合并同类项,系数化为1.解答:解:(1)(1﹣2﹣4)×=﹣=﹣13;(2)原式=﹣1×(﹣4﹣2)×(﹣)=6×(﹣)=﹣9;(3)解方程:3x+3=2x+7移项,得3x﹣2x=7﹣3合并同类项,得x=4;(4)解方程:去分母,得6(x+15)=15﹣10x+70移项,得6x+10x=15+70﹣90合并同类项,得16x=﹣5系数化为1,得x=.点评:(1)和(2)要注意符号的处理;(4)要特别注意去分母的时候不要发生数字漏乘的现象,熟练掌握去括号法则以及合并同类项法则.20.解方程(1)﹣0.2(x﹣5)=1;(2).考点:解一元一次方程.分析:(1)通过去括号、移项、系数化为1等过程,求得x的值;(2)通过去分母以及去括号、移项、系数化为1等过程,求得x的值.解答:解:(1)﹣0.2(x﹣5)=1;去括号得:﹣0.2x+1=1,∴﹣0.2x=0,∴x=0;(2).去分母得:2(x﹣2)+6x=9(3x+5)﹣(1﹣2x),∴﹣21x=48,∴x=﹣.点评:此题主要考查程解法,解一元一次方程常见的过程有去括号、移项、系数化为1等.21.解方程:(x+3)﹣2(x﹣1)=9﹣3x.考点:解一元一次方程.专题:计算题.分析:先去括号得x+3﹣2x+2=9﹣3x,然后移项、合并同类得到2x=4,然后把x的系数化为1即可.解答:解:去括号得x+3﹣2x+2=9﹣3x,移项得x﹣2x+3x=9﹣3﹣2,合并得2x=4,系数化为1得x=2.点评:本题考查了解一元一次方程:先去分母,再去括号,接着移项,把含未知数的项移到方程左边,不含未知数的项移到方程右边,然后合并同类项,最后把未知数的系数化为1得到原方程的解.22.8x﹣3=9+5x.5x+2(3x﹣7)=9﹣4(2+x)...考点:解一元一次方程.专题:方程思想.分析:本题是解4个不同的一元一次方程,第一个通过移项、合并同类项及系数化1求解.第二个先去括号再通过移项、合并同类项及系数化1求解.第三个先去分母再同第二个.第四个先分子分母乘以10,再同第三个求解.解答:8x﹣3=9+5x,解:8x﹣5x=9+3,3x=12,∴x=4.∴x=4是原方程的解;5x+2(3x﹣7)=9﹣4(2+x),解:5x+6x﹣14=9﹣8﹣4x,5x+6x+4x=9﹣8+14,15x=15,∴x=1.∴x=1是原方程的解..解:3(x﹣1)﹣2(2x+1)=12,3x﹣3﹣4x﹣2=12,3x﹣4x=12+3+2,﹣x=17,∴x=﹣17.∴x=﹣17是原方程的解.,解:,5(10x﹣3)=4(10x+1)+40,50x﹣15=40x+4+40,50x﹣40x=4+40+15,10x=59,∴x=.∴x=是原方程的解.点评:此题考查的知识点是解一元一次方程,关键是注意解方程时的每一步都要认真仔细,如移项时要变符号.23.解下列方程:(1)0.5x﹣0.7=5.2﹣1.3(x﹣1);(2)=﹣2.考点:解一元一次方程.分析:(1)首先去括号,然后移项、合并同类项,系数化成1,即可求解;(2)首先去分母,然后去括号,移项、合并同类项,系数化成1,即可求解解答:解:(1)去括号,得:0.5x﹣0.7=5.2﹣1.3x+1.3移项,得:0.5x+1.3x=5.2+1.3+0.7合并同类项,得:1.8x=7.2,则x=4;(2)去分母得:7(1﹣2x)=3(3x+1)﹣42,去括号,得:7﹣14x=9x+3﹣42,移项,得:﹣14x﹣9x=3﹣42﹣7,合并同类项,得:﹣23x=﹣46,则x=2.点评:本题考查解一元一次方程,解一元一次方程的一般步骤是:去分母、去括号、移项、合并同类项、化系数为1.注意移项要变号.24.解方程:(1)﹣0.5+3x=10;(2)3x+8=2x+6;(3)2x+3(x+1)=5﹣4(x﹣1);(4).考点:解一元一次方程.分析:(1)移项,合并同类项,然后系数化成1即可求解;(2)移项,合并同类项,然后系数化成1即可求解;(3)去括号、移项,合并同类项,然后系数化成1即可求解;(4)首先去分母,然后去括号、移项,合并同类项,然后系数化成1即可求解.解答:解:(1)3x=10.5,x=3.5;(2)3x﹣2x=6﹣8,x=﹣2;(3)2x+3x+3=5﹣4x+4,2x+3x+4x=5+4﹣3,9x=6,x=;(4)2(x+1)+6=3(3x﹣2),2x+2+6=9x﹣6,2x﹣9x=﹣6﹣2﹣6,﹣7x=﹣14,x=2.点评:本题考查解一元一次方程,解一元一次方程的一般步骤是:去分母、去括号、移项、合并同类项、化系数为1.注意移项要变号.25.解方程:.考点:解一元一次方程.专题:计算题.分析:方程两边乘以10去分母后,去括号,移项合并,将x系数化为1,即可求出解.解答:解:去分母得:5(3x﹣1)﹣2(5x﹣6)=2,去括号得:15x﹣5﹣10x+12=2,移项合并得:5x=﹣5,解得:x=﹣1.点评:此题考查了解一元一次方程,其步骤为:去分母,去括号,移项合并,将未知数系数化为1,求出解.26.解方程:(1)10x﹣12=5x+15;(2)考点:解一元一次方程.专题:计算题.分析:(1)先移项,再合并同类项,最后化系数为1,从而得到方程的解;(2)先去括号,再移项、合并同类项,最后化系数为1,从而得到方程的解.解答:解:(1)移项,得10x﹣5x=12+15,合并同类项,得5x=27,方程的两边同时除以5,得x=;(2)去括号,得=,方程的两边同时乘以6,得x+1=4x﹣2,移项、合并同类项,得3x=3,方程的两边同时除以3,得x=1.点评:本题考查解一元一次方程,解一元一次方程的一般步骤:去分母、去括号、移项、合并同类项、化系数为1.注意移项要变号.27.解方程:(1)8y﹣3(3y+2)=7 (2).考点:解一元一次方程.专题:计算题.分析:(1)根据一元一次方程的解法,去括号,移项,合并同类项,系数化为1即可得解;(2)这是一个带分母的方程,所以要先去分母,再去括号,最后移项,合并同类项,系数化为1,从而得到方程的解.解答:解:(1)去括号得,8y﹣9y﹣6=7,移项、合并得,﹣y=13,系数化为1得,y=﹣13;(2)去分母得,3(3x﹣1)﹣12=2(5x﹣7),去括号得,9x﹣3﹣12=10x﹣14,移项得,9x﹣10x=﹣14+3+12,合并同类项得,﹣x=1,系数化为1得,x=﹣1.点评:本题主要考查了解一元一次方程,注意在去分母时,方程两端同乘各分母的最小公倍数时,不要漏乘没有分母的项,同时要把分子(如果是一个多项式)作为一个整体加上括号.28.当k 为什么数时,式子比的值少3.考点:解一元一次方程.专题:计算题.分析:先根据题意列出方程,再根据一元一次方程的解法,去分母,去括号,移项,合并同类项,系数化为1即可得解.解答:解:依题意,得=+3,去分母得,5(2k+1)=3(17﹣k)+45,去括号得,10k+5=51﹣3k+45,移项得,10k+3k=51+45﹣5,合并同类项得,13k=91,系数化为1得,k=7,∴当k=7时,式子比的值少3.点评:本题主要考查了解一元一次方程,注意在去分母时,方程两端同乘各分母的最小公倍数时,不要漏乘没有分母的项,同时要把分子(如果是一个多项式)作为一个整体加上括号.29.解下列方程:(I)12y﹣2.5y=7.5y+5(II ).考点:解一元一次方程.专题:计算题.分析:(Ⅰ)根据一元一次方程的解法,移项,合并同类项,系数化为1即可得解;(Ⅱ)是一个带分母的方程,所以要先去分母,再去括号,最后移项,合并同类项,系数化为1,从而得到方程的解.解答:解:(Ⅰ)移项得,12y﹣2.5y﹣7.5y=5,合并同类项得,2y=5,系数化为1得,y=2.5;(Ⅱ)去分母得,5(x+1)﹣10=(3x﹣2)﹣2(2x+3),去括号得,5x+5﹣10=3x﹣2﹣4x﹣6,移项得,5x﹣3x+4x=﹣2﹣6﹣5+10,合并同类项得,6x=﹣3,系数化为1得,x=﹣.点评:本题主要考查了解一元一次方程,注意在去分母时,方程两端同乘各分母的最小公倍数时,不要漏乘没有分母的项,同时要把分子(如果是一个多项式)作为一个整体加上括号.30.解方程:.考点:解一元一次方程.专题:计算题.分析:由于方程的分子、分母均有小数,利用分数的基本性质,分子、分母同时扩大相同的倍数,可将小数化成整数.解答:解:原方程变形为,(3分)去分母,得3×(30x﹣11)﹣4×(40x﹣2)=2×(16﹣70x),(4分)去括号,得90x﹣33﹣160x+8=32﹣140x,(5分)移项,得90x﹣160x+140x=32+33﹣8,(6分)合并同类项,得70x=57,(7分)系数化为1,得.(8分)点评:本题考查一元一次方程的解法.解一元一次方程的一般步骤:去分母,去括号,移项,合并同类项,系数化为1.本题的难点在于方程的分子、分母均有小数,将小数化成整数不同于去分母,不是方程两边同乘一个数,而是将分子、分母同乘一个数.。
自我测试 60分钟看看准确率 牛刀小试 相信自己一定行1、712=+x ;2、825=-x ;3、7233+=+x x ;4、735-=+x x ;解:(移项)(合并)(化系数为1)5、914211-=-x x ;6、2749+=-x x ;7、162=+x ;8、9310=-x ;解:(移项)(合并)(化系数为1)9、x x -=-324; 10、4227-=+-x x ;11、8725+=-x x ;12、32141+=-x x 解:(移项)(合并)(化系数为113、1623+=x x 14、253231+=-x x ;15、152+=--x x ; 16、23312+=--x x 解:(移项)(合并)(化系数为1).17、 475.0=)++(x x ; 18、2-41)=-(x ; 19、511)=-(x ; 20、212)=---(x ; 解:(去括号)(移项)(合并)(化系数为1)21、)12(5111+=+x x ; 22、32034)=-(-x x . 23、5058=)-+(x ; 24、293)=-(x ; 解:(去括号)(移项)(合并)(化系数为1)25、3-243)=+(x ; 26、2-122)=-(x ; 27、443212+)=-(x x ; 28、323236)=+(-x ; 解:(去括号)(移项)(合并) (化系数为1)29、x x 2570152002+)=-(; 30、12123)=+(x .31、452x x =+; 32、3423+=-x x ; 解:(去分母)(去括号)(移项)(合并)(化系数为1)33、)-()=+(3271131x x ; 34、)-()=+(131141x x ; 35、142312-+=-x x ; 解:(去分母)(去括号)(移项)(合并)(化系数为136、)+(-)=-(2512121x x . 37、)+()=+(20411471x x ; 38、)-(-)=+(731211551x x . 解:(去分母)(去括号)(移项)(合并)(化系数为139、432141=-x ; 40、83457=-x ; 41、815612+=-x x ; 42、629721-=-x x ; 解:(去分母)(去括号)(移项)(合并)(化系数为143、1232151)=-(-x x ; 44、1615312=--+x x ; 45、x x 2414271-)=+(; 解:(去分母)(去括号)(移项)(合并)(化系数为146、259300300102200103 )=-()-+(x x . 47、307221159138)=-()--()--(x x x ; 解:(去分母)(去括号)(移项)(合并)(化系数为148、51413121-=+x x ; 49、13.021.02.015.0=-+--x x ; 50、3.01-x -5.02+x =12. 解:(化整)(去分母)(去括号)(移项)(合并)(化系数为1【参考答案】1、【答案】 (1)3=x ; (2)2=x ; (3)4=x ; (4)6=x ;(5)37=x ; (6)12=-x ; (7)4=x ; (8)32=-x . 1.1、【答案】 (9)25=-x ; (10)56=x ; (11)5=-x ; (12)31=-x ; (13)1=x ; (14)32=x ; (15)35=-x ; (16)1=x . 2、【答案】(17)1=x ;(18)1=-x ; (19)56=x ; (20)3=-x ; (21)4=x ; (22)9=x .2.1、【答案】(23)7=-x ; (24)23=-x ; (25)11=-x ; (26)4=-x ; (27)21=x ; (28)910=x ; (29)6=x ; (30)23=x . 3、【答案】 (31)8=x ; (32)51=x ; (33)16=-x ; (34)7=x ; (35)52=-x ; (36)3=x ; (37)28=-x ; (38)165=-x .3.1、【答案】 (39)5=x ; (40)1413=x ; (41)1=-x ; (42)320=-x ; (43)1225=x ; (44)3=-x ; (45)87=x ; (46)216=x .4、【答案】 (47)3=x ; (48)1532=-x ; (49)1364=x ; (50)229=x .。
自我测试 60分钟看看准确率牛刀小试 相信自己一定行1、712=+x ; 2、825=-x ; 3、7233+=+x x ; 4、735-=+x x ; 解:(移项)(移项)(合并)(合并) (化系数为1)5、914211-=-x x ; 6、2749+=-x x ;7、162=+x ; 8、9310=-x ; 解:(移项)(移项) (合并)(合并) (化系数为1)9、x x -=-324; 10、4227-=+-x x ;11、8725+=-x x ;12、32141+=-x x解:(移项)(移项) (合并)(合并)(化系数为113、1623+=x x 14、253231+=-x x ;15、152+=--x x ; 16、23312+=--x x解:(移项)(移项) (合并)(合并) (化系数为1).17、 475.0=)++(x x ; 18、2-41)=-(x ; 19、511)=-(x ; 20、212)=---(x ; 解:(去括号)(去括号) (移项)(移项) (合并)(合并) (化系数为1)21、)12(5111+=+x x ; 22、32034)=-(-x x . 23、5058=)-+(x ; 24、293)=-(x ; 解:(去括号)(去括号) (移项)(移项) (合并)(合并)(化系数为1) 25、3-243)=+(x ; 26、2-122)=-(x ; 27、443212+)=-(x x ; 28、323236)=+(-x ; 解:(去括号)(去括号)(移项)(移项) (合并)(合并)(化系数为1)29、x x 2570152002+)=-(; 30、12123)=+(x .31、452x x =+; 32、3423+=-x x ; 解:(去分母)(去分母)(去括号)(去括号) (移项)(移项) (合并)(合并) (化系数为1)33、)-()=+(3271131x x ; 34、)-()=+(131141x x ; 35、142312-+=-x x ;解:(去分母)(去分母)(去括号)(去括号) (移项)(移项) (合并)(合并) (化系数为136、)+(-)=-(2512121x x . 37、)+()=+(20411471x x ; 38、)-(-)=+(731211551x x . 解:(去分母)(去分母)(去括号)(去括号) (移项)(移项) (合并)(合并) (化系数为139、432141=-x ; 40、83457=-x ; 41、815612+=-x x ; 42、629721-=-x x ; 解:(去分母)(去分母)(去括号)(去括号) (移项)(移项) (合并)(合并) (化系数为1 43、1232151)=-(-x x ; 44、1615312=--+x x ; 45、x x 2414271-)=+(; 解:(去分母)(去分母)(去括号)(去括号) (移项)(移项) (合并)(合并) (化系数为146、259300300102200103´)=-()-+(x x .47、307221159138)=-()--()--(x x x ; 解:(去分母)(去分母)(去括号)(去括号) (移项)(移项) (合并)(合并) (化系数为148、51413121-=+x x ; 49、13.021.02.015.0=-+--x x ; 50、3.01-x -5.02+x =12. 解:(化整)(化整)(去分母)(去分母) (去括号)(去括号) (移项)(移项) (合并)(合并) (化系数为1【参考答案】1、【答案】 (1)3=x ; (2)2=x ; (3)4=x ; (4)6=x ;(5)37=x ; (6)12=-x ; (7)4=x ; (8)32=-x .1.1、【答案】 (9)25=-x ;(10)56=x ; (11)5=-x ; (12)31=-x ;(13)1=x ; (14)32=x ;(15)35=-x ; (16)1=x . 2、【答案】(17)1=x ;(18)1=-x ; (19)56=x ;(20)3=-x ; (21)4=x ; (22)9=x . 2.1、【答案】(23)7=-x ; (24)23=-x ; (25)11=-x ;(26)4=-x ; (27)21=x ; (28)910=x ;(29)6=x ; (30)23=x .3、【答案】 (31)8=x ; (32)51=x ;(33)16=-x ; (34)7=x ; (35)52=-x ;(36)3=x ;(37)28=-x ; (38)165=-x .3.1、【答案】 (39)5=x ; (40)1413=x ;(41)1=-x ; (42)320=-x ; (43)1225=x ; (44)3=-x ; (45)87=x ;(46)216=x .4、【答案】 (47)3=x ; (48)1532=-x ; (49)1364=x ; (50)229=x .。
初一七年级一元一次方程30题(含答案解析)一.解答题(共30小题)1.(2005•宁德)解方程:2x+1=72.3.(1)解方程:4﹣x=3(2﹣x);(2)解方程:.4.解方程:.5.解方程(1)4(x﹣1)﹣3(20﹣x)=5(x﹣2);(2)x ﹣=2﹣.6.(1)解方程:3(x﹣1)=2x+3;(2)解方程:=x ﹣.7.﹣(1﹣2x)=(3x+1)8.解方程:(1)5(x﹣1)﹣2(x+1)=3(x﹣1)+x+1;(2).9.解方程:.10.解方程:(1)4x﹣3(4﹣x)=2;(2)(x﹣1)=2﹣(x+2).11.计算:(1)计算:(2)解方程:12.解方程:13.解方程:(1)(2)14.解方程:(1)5(2x+1)﹣2(2x﹣3)=6 (2)+2(3)[3(x ﹣)+]=5x﹣1 15.(A类)解方程:5x﹣2=7x+8;(B 类)解方程:(x﹣1)﹣(x+5)=﹣;(C 类)解方程:.16.解方程(1)3(x+6)=9﹣5(1﹣2x)(2)(3)(4)17.解方程:(1)解方程:4x﹣3(5﹣x)=13(2)解方程:x ﹣﹣318.(1)计算:﹣42×+|﹣2|3×(﹣)3(2)计算:﹣12﹣|0.5﹣|÷×[﹣2﹣(﹣3)2](3)解方程:4x﹣3(5﹣x)=2;(4)解方程:.19.(1)计算:(1﹣2﹣4)×;(2)计算:÷;(3)解方程:3x+3=2x+7;(4)解方程:.20.解方程(1)﹣0.2(x﹣5)=1;(2).21.解方程:(x+3)﹣2(x﹣1)=9﹣3x.22.8x﹣3=9+5x.5x+2(3x﹣7)=9﹣4(2+x)...23.解下列方程:(1)0.5x﹣0.7=5.2﹣1.3(x﹣1);(2)=﹣2.24.解方程:(1)﹣0.5+3x=10;(2)3x+8=2x+6;(3)2x+3(x+1)=5﹣4(x﹣1);(4).25.解方程:.26.解方程:(1)10x﹣12=5x+15;(2)27.解方程:(1)8y﹣3(3y+2)=7(2).28.当k 为什么数时,式子比的值少3.29.解下列方程:(I)12y﹣2.5y=7.5y+5(II ).30.解方程:.6.2.4解一元一次方程(三)参考答案与试题解析一.解答题(共30小题)1.(2005•宁德)解方程:2x+1=7考点:解一元一次方程.专题:计算题;压轴题.分析:此题直接通过移项,合并同类项,系数化为1可求解.解答:解:原方程可化为:2x=7﹣1合并得:2x=6系数化为1得:x=3点评:解一元一次方程,一般要通过去分母,去括号,移项,合并同类项,未知数的系数化为1等步骤,把一个一元一次方程“转化”成x=a的形式.2.考点:解一元一次方程.专题:计算题.分析:这是一个带分母的方程,所以要先去分母,再去括号,最后移项,化系数为1,从而得到方程的解.解答:解:左右同乘12可得:3[2x﹣(x﹣1)]=8(x﹣1),化简可得:3x+3=8x﹣8,移项可得:5x=11,解可得x=.故原方程的解为x=.点评:若是分式方程,先同分母,转化为整式方程后,再移项化简,解方程可得答案.3.(1)解方程:4﹣x=3(2﹣x);(2)解方程:.考点:解一元一次方程.专题:计算题.分析:(1)先去括号,然后再移项、合并同类型,最后化系数为1,得出方程的解;(2)题的方程中含有分数系数,应先对各式进行化简、整理,然后再按(1)的步骤求解.解答:解:(1)去括号得:4﹣x=6﹣3x,移项得:﹣x+3x=6﹣4,合并得:2x=2,系数化为1得:x=1.(2)去分母得:5(x﹣1)﹣2(x+1)=2,去括号得:5x﹣5﹣2x﹣2=2,移项得:5x﹣2x=2+5+2,合并得:3x=9,系数化1得:x=3.点评:(1)本题易在去分母、去括号和移项中出现错误,还可能会在解题前产生害怕心理.因为看到小数、分数比较多,学生往往不知如何寻找公分母,怎样合并同类项,怎样化简,所以我们要教会学生分开进行,从而达到分解难点的效果.(2)本题的另外一个重点是教会学生对于分数的分子、分母同时扩大或缩小若干倍,值不变.这一性质在今后常会用到.4.解方程:.考点:解一元一次方程.专题:计算题.分析:此题两边都含有分数,分母不相同,如果直接通分,有一定的难度,但将方程左右同时乘以公分母6,难度就会降低.解答:解:去分母得:3(2﹣x)﹣18=2x﹣(2x+3),去括号得:6﹣3x﹣18=﹣3,移项合并得:﹣3x=9,∴x=﹣3.点评:本题易在去分母和移项中出现错误,学生往往不知如何寻找公分母,怎样合并同类项,怎样化简,所以我们要教会学生分开进行,从而达到分解难点的效果.5.解方程(1)4(x﹣1)﹣3(20﹣x)=5(x﹣2);(2)x﹣=2﹣.考点:解一元一次方程.专题:计算题.分析:(1)先去括号,再移项、合并同类项、化系数为1,从而得到方程的解;(2)先去分母,再去括号,最后移项,化系数为1,从而得到方程的解.解答:解:(1)去括号得:4x﹣4﹣60+3x=5x﹣10(2分)移项得:4x+3x﹣5x=4+60﹣10(3分)合并得:2x=54(5分)系数化为1得:x=27;(6分)(2)去分母得:6x﹣3(x﹣1)=12﹣2(x+2)(2分)去括号得:6x﹣3x+3=12﹣2x﹣4(3分)移项得:6x﹣3x+2x=12﹣4﹣3(4分)合并得:5x=5(5分)系数化为1得:x=1.(6分)点评:去分母时,方程两端同乘各分母的最小公倍数时,不要漏乘没有分母的项,同时要把分子(如果是一个多项式)作为一个整体加上括号.去括号时要注意符号的变化.6.(1)解方程:3(x﹣1)=2x+3;(2)解方程:=x﹣.考点:解一元一次方程.专题:计算题.分析:(1)是简单的一元一次方程,通过移项,系数化为1即可得到;(2)是较为复杂的去分母,本题方程两边都含有分数系数,如果直接通分,有一定的难度,但对每一个式子先进行化简、整理为整数形式,难度就会降低.解答:解:(1)3x﹣3=2x+33x﹣2x=3+3x=6;(2)方程两边都乘以6得:x+3=6x﹣3(x﹣1)x+3=6x﹣3x+3x﹣6x+3x=3﹣3﹣2x=0∴x=0.点评:本题易在去分母、去括号和移项中出现错误,还可能会在解题前不知如何寻找公分母,怎样合并同类项,怎样化简,所以要学会分开进行,从而达到分解难点的效果.去分母时,方程两端同乘各分母的最小公倍数时,不要漏乘没有分母的项,同时要把分子(如果是一个多项式)作为一个整体加上括号.7.﹣(1﹣2x)=(3x+1)考点:解一元一次方程.专题:计算题.分析:这是一个带分母的方程,所以要先去分母,再去括号,最后移项,化系数为1,从而得到方程的解.解答:解:﹣7(1﹣2x)=3×2(3x+1)﹣7+14x=18x+6﹣4x=13x=﹣.点评:解一元一次方程的一般步骤是去分母、去括号、移项、合并同类项和系数化为1.此题去分母时,方程两端同乘各分母的最小公倍数时,不要漏乘没有分母的项,同时要把分子(如果是一个多项式)作为一个整体加上括号.8.解方程:(1)5(x﹣1)﹣2(x+1)=3(x﹣1)+x+1;(2).考点:解一元一次方程.专题:计算题.分析:(1)可采用去括号,移项,合并同类项,系数化1的方式进行;(2)本题方程两边都含有分数系数,如果直接通分,有一定的难度,但对每一个式子先进行化简、整理为整数形式,难度就会降低.解答:解:(1)5(x﹣1)﹣2(x+1)=3(x﹣1)+x+13x﹣7=4x﹣2∴x=﹣5;(2)原方程可化为:去分母得:40x+60=5(18﹣18x)﹣3(15﹣30x),去括号得:40x+60=90﹣90x﹣45+90x,移项、合并得:40x=﹣15,系数化为1得:x=.点评:(1)本题易在去分母、去括号和移项中出现错误,还可能会在解题前产生害怕心理.因为看到小数、分数比较多,学生往往不知如何寻找公分母,怎样合并同类项,怎样化简,所以我们要教会学生分开进行,从而达到分解难点的效果;(2)本题的另外一个重点是教会学生对于分数的分子、分母同时扩大或缩小若干倍,值不变.这一性质在今后常会用到.9.解方程:.考点:解一元一次方程.专题:计算题.分析:这是一个带分母的方程,所以要先去分母,再去括号,最后移项,化系数为1,从而得到方程的解.解答:解:,去分母得:2x﹣(3x+1)=6﹣3(x﹣1),去括号得:2x﹣3x﹣1=6﹣3x+3,移项、合并同类项得:2x=10,系数化为1得:x=5.点评:去分母时,方程两端同乘各分母的最小公倍数时,不要漏乘没有分母的项,同时要把分子(如果是一个多项式)作为一个整体加上括号.10.解方程:(1)4x﹣3(4﹣x)=2;(2)(x﹣1)=2﹣(x+2).考点:解一元一次方程.专题:计算题.分析:(1)先去括号,再移项,合并同类项,系数化1,即可求出方程的解;(2)先去分母,再去括号,移项,合并同类项,系数化1可求出方程的解.解答:解:(1)4x﹣3(4﹣x)=2去括号,得4x﹣12+3x=2移项,合并同类项7x=14系数化1,得x=2.(2)(x﹣1)=2﹣(x+2)去分母,得5(x﹣1)=20﹣2(x+2)去括号,得5x﹣5=20﹣2x﹣4移项、合并同类项,得7x=21系数化1,得x=3.点评:(1)此题主要是去括号,移项,合并同类项,系数化1.(2)方程两边每一项都要乘各分母的最小公倍数,方程两边每一项都要乘各分母的最小公倍数,切勿漏乘不含有分母的项,另外分数线有两层意义,一方面它是除号,另一方面它又代表着括号,所以在去分母时,应该将分子用括号括上.11.计算:(1)计算:(2)解方程:考点:解一元一次方程;有理数的混合运算.专题:计算题.分析:(1)根据有理数的混合运算法则计算:先算乘方、后算乘除、再算加减;(2)两边同时乘以最简公分母4,即可去掉分母.解答:解:(1)原式=,=,=.(2)去分母得:2(x﹣1)﹣(3x﹣1)=﹣4,解得:x=3.点评:解答此题要注意:(1)去分母时最好先去中括号、再去小括号,以减少去括号带来的符号变化次数;(2)去分母就是方程两边同时乘以分母的最简公分母.12.解方程:考点:解一元一次方程.专题:计算题.分析:(1)这是一个带分母的方程,所以要先去分母,再去括号,最后移项,化系数为1,从而得到方程的解.(2)解一元一次方程的一般步骤:去分母、去括号、移项、合并同类项、化系数为1.解答:解:(1)去分母得:3(3x﹣1)+18=1﹣5x,去括号得:9x﹣3+18=1﹣5x,移项、合并得:14x=﹣14,系数化为1得:x=﹣1;(2)去括号得:x﹣x+1=x,移项、合并同类项得:x=﹣1,系数化为1得:x=﹣.点评:本题考查解一元一次方程,正确掌握解一元一次方程的一般步骤,注意移项要变号、去分母时“1”也要乘以最小公倍数.13.解方程:(1)(2)考点:解一元一次方程.专题:计算题.分析:(1)去分母、去括号、移项、合并同类项、化(2)去分母、去括号、移项、合并同类项、化系数为1.解答:(1)解:去分母得:5(3x+1)﹣2×10=3x﹣2﹣2(2x+3),去括号得:15x+5﹣20=3x﹣2﹣4x﹣6,移项得:15x+x=﹣8+15,合并得:16x=7,解得:;(2)解:,4(x﹣1)﹣18(x+1)=﹣36,4x﹣4﹣18x﹣18=﹣36,﹣14x=﹣14,x=1.点评:本题考查解一元一次方程,正确掌握解一元一次方程的一般步骤,注意移项要变号、去分母时“1”也要乘以最小公倍数.14.解方程:(1)5(2x+1)﹣2(2x﹣3)=6 (2)+2(3)[3(x﹣)+]=5x﹣1考点:解一元一次方程.专题:计算题.分析:(2)通过去括号、移项、合并同类项、系数化为1,解得x的值;(3)乘最小公可;(4)主要是去括号,也可以把分数转化成整数进行计算.解答:解:(1)去括号得:10x+5﹣4x+6=6移项、合并得:6x=﹣5,方程两边都除以6,得x=﹣;(2)去分母得:3(x﹣2)=2(4﹣3x)+24,去括号得:3x﹣6=8﹣6x+24,移项、合并得:9x=38,方程两边都除以9,得x=;(3)整理得:[3(x﹣)+]=5x﹣1,4x﹣2+1=5x﹣1,移项、合并得:x=0.点评:一元一次方程的解法:一般要通过去分母、去括号、移项、合并同类项、未知数的系数化为1等步骤,把一个一元一次方程“转化”成x=a的形式.解题时,要灵活运用这些步骤.15.(A类)解方程:5x﹣2=7x+8;(B类)解方程:(x﹣1)﹣(x+5)=﹣;(C类)解方程:.考点:解一元一次方程.专题:计算题.分析:通过去分母、去括号、移项、系数化为1等方法,求得各方程的解.解答:解:A类:5x﹣2=7x+8移项:5x﹣7x=8+2化简:﹣2x=10即:x=﹣5;B类:(x﹣1)﹣(x+5)=﹣去括号:x﹣﹣x﹣5=﹣化简:x=5即:x=﹣;C类:﹣=1去分母:3(4﹣x)﹣2(2x+1)=6去括号:12﹣3x﹣4x﹣2=6化简:﹣7x=﹣4即:x=.点评:本题主要考查一元一次方程的解法,比较简单,但要细心运算.16.解方程(1)3(x+6)=9﹣5(1﹣2x)(2)(3)(4)考点:解一元一次方程.专题:计算题.分析:(1)去括号以后,移项,合并同类项,系数化为1即可求解;(2)(3)首先去掉分母,再去括号以后,移项,合并同类项,系数化为1以后即可求解;(4)首先根据分数的基本性质,把第一项分母中的0.3化为整数,再去分母,求解.解答:解:(1)去括号得:3x+18=9﹣5+10x移项得:3x﹣10x=9﹣5﹣18合并同类项得:﹣7x=﹣14则x=2;(2)去分母得:2x+1=x+3﹣5移项,合并同类项得:x=﹣3;(3)去分母得:10y+2(y+2)=20﹣5(y﹣1)去括号得:10y+2y+4=20﹣5y+5移项,合并同类项得:17y=21系数化为1得:;(4)原方程可以变形为:﹣5x=﹣1去分母得:17+20x﹣15x=﹣3移项,合并同类项得:5x=﹣20系数化为1得:x=﹣4.点评:解方程的过程中要注意每步的依据,这几个题目都是基础的题目,需要熟练掌握.17.解方程:(1)解方程:4x﹣3(5﹣x)=13(2)解方程:x﹣﹣3考点:解一元一次方程.专题:计算题.分析:(1)先去括号,再移项,化系数为1,从而得到方程的解.(2)这是一个带分母的方程,所以要先去分母,再去括号,最后移项,化系数为1,从而得到方程的解.解答:解:(1)去括号得:4x﹣15+3x=13,移项合并得:7x=28,系数化为1得:得x=4;(2)原式变形为x+3=,去分母得:5(2x﹣5)+3(x﹣2)=15(x+3),去括号得10x﹣25+3x﹣6=15x+45,移项合并得﹣2x=76,系数化为1得:x=﹣38.点评:本题考查解一元一次方程,解一元一次方程的一般步骤是:去分母、去括号、移项、合并同类项、化系数为1.注意移项要变号.18.(1)计算:﹣42×+|﹣2|3×(﹣)3(2)计算:﹣12﹣|0.5﹣|÷×[﹣2﹣(﹣3)2](3)解方程:4x﹣3(5﹣x)=2;(4)解方程:.考点:解一元一次方程;有理数的混合运算.分析:(1)利用平方和立方的定义进行计算.(2)按四则混合运算的顺序进行计算.(3)主要是去括号,移项合并.(4)两边同乘最小公倍数去分母,再求值.解答:解:(1)﹣42×+|﹣2|3×(﹣)3==﹣1﹣1=﹣2.(2)﹣12﹣|0.5﹣|÷×[﹣2﹣(﹣3)2]====.(3)解方程:4x﹣3(5﹣x)=2去括号,得4x﹣15+3x)=2移项,得4x+3x=2+15合并同类项,得7x=17系数化为1,得.(4)解方程:去分母,得15x﹣3(x﹣2)=5(2x﹣5)﹣3×15去括号,得15x﹣3x+6=10x﹣25﹣45移项,得15x﹣3x﹣10x=﹣25合并同类项,得2x=﹣76系数化为1,得x=﹣38.点评:前两道题考查了学生有理数的混合运算,后两道考查了学生解一元一次方程的能力.19.(1)计算:(1﹣2﹣4)×;(2)计算:÷;(3)解方程:3x+3=2x+7;(4)解方程:.考点:解一元一次方程;有理数的混合运算.专题:计算题.分析:(1)和(2)要熟练掌握有理数的混合运算;(3)和(4)首先熟悉解一元一次方程的步骤:去分母,去括号,移项,合并同类项,系数化为1.解答:解:(1)(1﹣2﹣4)×=﹣=﹣13;(2)原式=﹣1×(﹣4﹣2)×(﹣)=6×(﹣)=﹣9;(3)解方程:3x+3=2x+7移项,得3x﹣2x=7﹣3合并同类项,得(4)解方程:去分母,得6(x+15)=15﹣10(x﹣7)去括号,得6x+90=15﹣10x+70移项,得6x+10x=15+70﹣90合并同类项,得16x=﹣5系数化为1,得x=.点评:(1)和(2)要注意符号的处理;(4)要特别注意去分母的时候不要发生数字漏乘的现象,熟练掌握去括号法则以及合并同类项法则.20.解方程(1)﹣0.2(x﹣5)=1;(2).考点:解一元一次方程.分析:(1)通过去括号、移项、系数化为1等过程,求得x的值;(2)通过去分母以及去括号、移项、系数化为1等过程,求得x的值.解答:解:(1)﹣0.2(x﹣5)=1;去括号得:﹣0.2x+1=1,∴﹣0.2x=0,∴x=0;(2).去分母得:2(x﹣2)+6x=9(3x+5)﹣(1﹣2x),∴﹣21x=48,∴x=﹣.点评:此题主要考查了一元一次方程解法,解一元一次方程常见的过程有去括号、移项、系数化为1等.21.解方程:(x+3)﹣2(x﹣1)=9﹣3x.考点:解一元一次方程.专题:计算题.分析:先去括号得x+3﹣2x+2=9﹣3x,然后移项、合并同类得到2x=4,然后把x的系数化为1即可.解答:解:去括号得x+3﹣2x+2=9﹣3x,移项得x﹣2x+3x=9﹣3﹣2,合并得2x=4,系数化为1得x=2.点评:本题考查了解一元一次方程:先去分母,再去括号,接着移项,把含未知数的项移到方程左边,不含未知数的项移到方程右边,然后合并同类项,最后把未知数的系数化为1得到原方程的解.22.8x﹣3=9+5x.5x+2(3x﹣7)=9﹣4(2+x)...考点:解一元一次方程.专题:方程思想.分析:本题是解4个不同的一元一次方程,第一个通过移项、合并同类项及系数化1求解.第二个先去括号再通过移项、合并同类项及系数化1求解.第三个先去分母再同第二个.第四个先分子分母乘以10,再同第三个求解.解答:8x﹣3=9+5x,解:8x﹣5x=9+3,3x=12,∴x=4.∴x=4是原方程的解;5x+2(3x﹣7)=9﹣4(2+x),解:5x+6x﹣14=9﹣8﹣4x,5x+6x+4x=9﹣8+14,15x=15,∴x=1.∴x=1是原方程的解..解:3(x﹣1)﹣2(2x+1)=12,3x﹣3﹣4x﹣2=12,3x﹣4x=12+3+2,﹣x=17,∴x=﹣17.∴x=﹣17是原方程的解.,解:,5(10x﹣3)=4(10x+1)+40,50x﹣15=40x+4+40,50x﹣40x=4+40+15,10x=59,∴x=.∴x=是原方程的解.点评:此题考查的知识点是解一元一次方程,关键是注意解方程时的每一步都要认真仔细,如移项时要变符号.23.解下列方程:(1)0.5x﹣0.7=5.2﹣1.3(x﹣1);(2)=﹣2.考点:解一元一次方程.分析:(1)首先去括号,然后移项、合并同类项,系数化成1,即可求解;(2)首先去分母,然后去括号,移项、合并同类项,系数化成1,即可求解解答:解:(1)去括号,得:0.5x﹣0.7=5.2﹣1.3x+1.3移项,得:0.5x+1.3x=5.2+1.3+0.7合并同类项,得:1.8x=7.2,则x=4;(2)去分母得:7(1﹣2x)=3(3x+1)﹣42,去括号,得:7﹣14x=9x+3﹣42,移项,得:﹣14x﹣9x=3﹣42﹣7,合并同类项,得:﹣23x=﹣46,则x=2.点评:本题考查解一元一次方程,解一元一次方程的一般步骤是:去分母、去括号、移项、合并同类项、化系数为1.注意移项要变号.24.解方程:(1)﹣0.5+3x=10;(2)3x+8=2x+6;(3)2x+3(x+1)=5﹣4(x﹣1);(4).考点:解一元一次方程.分析:(1)移项,合并同类项,然后系数化成1即可求解;(2)移项,合并同类项,然后系数化成1即可求解;(3)去括号、移项,合并同类项,然后系数化成1即可求解;(4)首先去分母,然后去括号、移项,合并同类项,然后系数化成1即可求解.解答:解:(1)3x=10.5,x=3.5;(2)3x﹣2x=6﹣8,x=﹣2;(3)2x+3x+3=5﹣4x+4,2x+3x+4x=5+4﹣3,9x=6,x=;(4)2(x+1)+6=3(3x﹣2),2x+2+6=9x﹣6,2x﹣9x=﹣6﹣2﹣6,﹣7x=﹣14,x=2.点评:本题考查解一元一次方程,解一元一次方程的一般步骤是:去分母、去括号、移项、合并同类项、化系数为1.注意移项要变号.25.解方程:.考点:解一元一次方程.专题:计算题.分析:方程两边乘以10去分母后,去括号,移项合并,将x系数化为1,即可求出解.解答:解:去分母得:5(3x﹣1)﹣2(5x﹣6)=2,去括号得:15x﹣5﹣10x+12=2,移项合并得:5x=﹣5,解得:x=﹣1.点评:此题考查了解一元一次方程,其步骤为:去分母,去括号,移项合并,将未知数系数化为1,求出解.26.解方程:(1)10x﹣12=5x+15;(2)考点:解一元一次方程.专题:计算题.分析:(1)先移项,再合并同类项,最后化系数为1,从而得到方程的解;(2)先去括号,再移项、合并同类项,最后化系数为1,从而得到方程的解.解答:解:(1)移项,得10x﹣5x=12+15,合并同类项,得5x=27,方程的两边同时除以5,得x=;(2)去括号,得=,方程的两边同时乘以6,得x+1=4x﹣2,移项、合并同类项,得3x=3,方程的两边同时除以3,得x=1.点评:本题考查解一元一次方程,解一元一次方程的一般步骤:去分母、去括号、移项、合并同类项、化系数为1.注意移项要变号.27.解方程:(1)8y﹣3(3y+2)=7(2).考点:解一元一次方程.专题:计算题.分析:(1)根据一元一次方程的解法,去括号,移项,合并同类项,系数化为1即可得解;(2)这是一个带分母的方程,所以要先去分母,再去括号,最后移项,合并同类项,系数化为1,从而得到方程的解.解答:解:(1)去括号得,8y﹣9y﹣6=7,移项、合并得,﹣y=13,系数化为1得,y=﹣13;(2)去分母得,3(3x﹣1)﹣12=2(5x﹣7),去括号得,9x﹣3﹣12=10x﹣14,移项得,9x﹣10x=﹣14+3+12,合并同类项得,﹣x=1,系数化为1得,x=﹣1.点评:本题主要考查了解一元一次方程,注意在去分母时,方程两端同乘各分母的最小公倍数时,不要漏乘没有分母的项,同时要把分子(如果是一个多项式)作为一个整体加上括号.28.当k 为什么数时,式子比的值少3.考点:解一元一次方程.专题:计算题.分析:先根据题意列出方程,再根据一元一次方程的解法,去分母,去括号,移项,合并同类项,系数化为1即可得解.解答:解:依题意,得=+3,去分母得,5(2k+1)=3(17﹣k)+45,去括号得,10k+5=51﹣3k+45,移项得,10k+3k=51+45﹣5,合并同类项得,13k=91,系数化为1得,k=7,∴当k=7时,式子比的值少3.点评:本题主要考查了解一元一次方程,注意在去分母时,方程两端同乘各分母的最小公倍数时,不要漏乘没有分母的项,同时要把分子(如果是一个多项式)作为一个整体加上括号.29.解下列方程:(I)12y﹣2.5y=7.5y+5(II ).考点:解一元一次方程.专题:计算题.分析:(Ⅰ)根据一元一次方程的解法,移项,合并同类项,系数化为1即可得解;(Ⅱ)是一个带分母的方程,所以要先去分母,再去括号,最后移项,合并同类项,系数化为1,从而得到方程的解.解答:解:(Ⅰ)移项得,12y﹣2.5y﹣7.5y=5,合并同类项得,2y=5,系数化为1得,y=2.5;(Ⅱ)去分母得,5(x+1)﹣10=(3x﹣2)﹣2(2x+3),去括号得,5x+5﹣10=3x﹣2﹣4x﹣6,移项得,5x﹣3x+4x=﹣2﹣6﹣5+10,合并同类项得,6x=﹣3,系数化为1得,x=﹣.点评:本题主要考查了解一元一次方程,注意在去分母时,方程两端同乘各分母的最小公倍数时,不要漏乘没有分母的项,同时要把分子(如果是一个多项式)作为一个整体加上括号.30.解方程:.考点:解一元一次方程.专题:计算题.分析:由于方程的分子、分母均有小数,利用分数的基本性质,分子、分母同时扩大相同的倍数,可将小数化成整数.解答:解:原方程变形为,(3分)去分母,得3×(30x﹣11)﹣4×(40x﹣2)=2×(16﹣70x),(4分)去括号,得90x﹣33﹣160x+8=32﹣140x,(5分)移项,得90x﹣160x+140x=32+33﹣8,(6分)合并同类项,得70x=57,(7分)系数化为1,得.(8分)点评:本题考查一元一次方程的解法.解一元一次方程的一般步骤:去分母,去括号,移项,合并同类项,系数化为1.本题的难点在于方程的分子、分母均有小数,将小数化成整数不同于去分母,不是方程两边同乘一个数,而是将分子、分母同乘一个数.。