寒假作业2
- 格式:doc
- 大小:118.50 KB
- 文档页数:9
钦州二中2013年秋季学期高三语文寒假作业(二)出题人:黎廷宪审题人:刘凝思一、基础题。
(12分,每小题3分)1.下列词语中加点的字,每对读音都不相同....的一组是A.肄.业/肆.扰懈.怠/亵.渎押解./浑身解.数B.聒.躁/恬.静咯.血/炮烙.中.肯/一语中.的C.戳.穿/杀戮.希冀./契.约咀嚼./咬文嚼.字D.国粹./荟萃.悭.吝/信笺.拓.本/落拓.不羁2.下列各句中,加点词语使用正确的一句是A.下半年,部分银行严格控制甚至暂时停止购房贷款的发放,“房贷荒”开始在各地不同程度地出现,并有逐步漫延..的趋势。
B.基层法院的工作人员深入乡村,与村干部一起耐心调解村中的赡养纠纷、宅基地纠纷等,消融..了村民问的矛盾、嫌怨,受到村民的欢迎。
C.美国“监控门”事件不断升级,这边中国、俄罗斯等国的批评之声未落,那边英、德等美国铁杆盟友又发表声明谴责,这令美国“老大哥”左支右绌....,狼狈不堪。
D.广西南宁“科技·时尚”产品展上,“全景LED灯”“电子鱼”“钻石U盘”等一系列时尚感十足的科技产品纷纷亮相,着实让观众应接不暇....。
3.下列各句中,没有语病的一句是A.搞清楚工人和企业主这些微观个体在劳动力市场上搜寻和匹配的行为,对于了解失业率的决定因素,解释工资的形成机制,制定降低失业率的政策都十分重要。
B.谁都知道,民主与法治是一个长期的过程,但在经济攻坚之后,现在确实已经到向新目标攻坚的时候了。
C.开征房产税,提高房产持有的成本,现阶段更是可以起到打击投机、打击囤积居奇作用,把市场上种种非真实需求的泡沫挤掉,从而对平抑房价起到立竿见影的效果。
D.在部分舆论看来,本属于全民娱乐、全民福利的春晚,用广告践踏公众眼球给公众添堵,使春晚这台公共节目丧失了“公共性”,挑战的是国家电视台的职业操守。
4.下列各句中,,标点符号使用正确的一句是A.阿拉法特是否因中毒而死?如果是的话,投毒者是以色列情报人员?这是巴勒斯坦反对派人士?有的疑问可通过尸检解答,而有的则可能成为永远的谜。
部编版九年级上册语文寒假作业21.下列句子中没有语病的一项是()A.著名作家吴伯箫的籍贯是山东莱芜人,他的散文大多以小见大,善于从平凡中挖掘出深刻的内涵。
B.党的十九大会议上,众代表积极讨论并认真听取了李克强总理作的政府工作报告。
C.通过《经典咏流传》节目的播出,让观众在一众唱作歌手的演绎中领略诗词之美。
D.莲花台风景区成为我省继崆峒山、麦积山、敦煌鸣沙山风景区后第四个国家级风景名胜区。
2.下列句中没有语病的一项是()A.中国不仅是“一带一路”建设的倡议者,更是负责任的参与者、有担当的行动者。
B.通过参加这次活动,使我对中国博大精深的书法艺术产生了浓厚的兴趣。
C.《红海行动》在影片质感和人物情节方面突破了一大步的跨越。
D.防止校车安全事故不再发生是个系统工程,需要多方面、多领域齐心协力完成。
3.下列句子中,没有语病的一项是()A.《奔跑吧,兄弟》综艺节目深受欢迎的主要原因是其形式新颖、内容丰富造成的。
B.读书切忌不能偷懒,只有勤奋好学,脚踏实地,才能获取知识。
C.经探索发现,火星上不仅有四季、大气和重力,还有水、冰、河道的痕迹。
D.这次大赛掀起了我校同学们书写汉字,激发了他们对汉字、书法等传统文化的兴趣。
4.下列句子没有语病的一项是()A.感动中国人物钱伟长不仅是当代科技工作者的典范,乐于帮助其他人,因此我们要向他学习。
B.“最美妈妈”吴菊萍,奋不顾身托住小生命,是近年来涌现出的英雄模范人物之一。
C.日本能否在短时间内消除核泄漏带来的严重污染,依赖于科学技术及政府的重视。
D.通过音乐名人高晓松案醉驾入刑的宣判执行,使酒后驾车的人越来越少了。
5.下列各句中有语病的一项是()A.我并不是否认你学习的进步,而是说你应该制定更合理的学习计划。
B.通过自我风采展示活动,同学们了解了你,你对自己和同学也有了更深入的认识。
C.在中华文明悠久的历史中,爱国主义精神一直是中华民族得以发展、生存和凝聚的动力。
D.优化能源结构是推动我国能源革命的本质要求和经济社会转型发展的迫切需要。
寒假作业(2)一、单选题1.—_____is your mum?—She is fine. Thank you.A. WhereB. HowC. WhatD. Who2.—Is her name Kate?—_____.A. Yes, she isB. No, she isn'tC. Yes, it'sD. No, it isn't3.I have _____ eraser and five _____ in my pencil box.A. a; pencilsB. a; pencilC. an; pencilsD. an; pencil4.—_____ that an English girl?—_____, she's a Chinese girl.A. Is; YesB. Is; NoC. Are; NoD. Are; Yes5.—Sandy, is Mr. Li in the teachers' office now?—I am not sure. He _____ be there.A. mustB. can'tC. mustn'tD. may6.The students do experiments(实验) in the _____. They learn a lot there.A. playgroundB. labC. libraryD. office7.The boy is from _____. He's _____.A. Chinese; ChinaB. China; ChineseC. Chinese; ChineseD. China; China8.—______ going shopping tomorrow?—Good idea.A.How aboutB.WhatC. What'sD.How9.Six and four is _______.A. nineB.tenC. elevenD. twelve10.—Sally, what about going to the classroom?—_________.A. You're welcomeB. Nice to meet youC. Have a good dayD. That sounds good二、连词成句1.is, classmate, my, Nick______________________________________.2.to, welcome, class, our______________________________________3.she, from, is, Japan, not______________________________________4.very, thank, much, you______________________________________!5.from, are, Shanghai, you____________________________________________?三、完形填空Hello! 1 name is Li Ying. I'm twelve. I'm from Kunming. Now I'm in Beijing No.14 Middle School. I'm 2 Class Five, Grade Seven. Miss Gao 3 my English teacher. She is 4 old teacher. I have a pen, a ruler and two 5 in my pencil box. Liu Ping is in Grade Seven, too. 6 is from Guangzhou. She is my good 7 . We are in 8 same class. Now she can 9 English well. I think she is a good girl. Look! 10 is that? She is Liu Ping.1.A.I B.My C.Your D.Me2.A.from B.to C.not D.in3.A.is B.are C.am D.be4.A.a B.an C.good D./5.A.buses B.desks C.schoolbags D.pencils6.A.He B.His C.She D.Her7.A. friend B. teacher C. student D.mom8.A.these B.the C.an D.a9.A. spell B. speak C.help D.see10.A. How B.What C.Where D.Who四、阅读理解Tom and Tony are classmates. Tom is 12 and Tony is 13 years old. They are in Class 3, Grade 7 in No.33 Middle School.One day, they can't write their names well. Their English teacher Mr. Green is angry(生气的) with them. He asks them to write their names a hundred times(一百遍). Tony cries(哭). The teacher says, "Why are you crying?"Tony says, "Tom's name is Tom Hill. He can finish writing his name1.How old is Tom?A.10.B.11.C.12.D.13.2.Which class is Tony in?A.Class One.B.Class Two.C.Class Three.D.Class Seven.3.Why is their English teacher angry with them?A.They are late for class.B.They can't do their homework.C.They can't write their names well.D.They can't read their names well.4.What does Tony do after Mr. Green asks him to write his name a hundred times?A.He is happy.B.He cries.C.He goes home.D.He writes well.A.I am slow.B.Tom is fast.C.His name is too long.D.But my name is too long.五、写作假如你是Peter,你很想用英文给你的网友Jack写一封信来介绍你的初中生活,请根据思维导图完成信件。
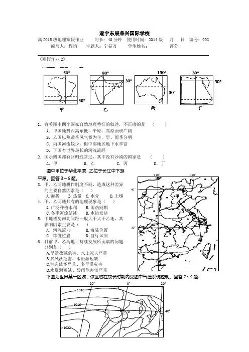
遂宁东辰荣兴国际学校高2015级地理寒假作业 时长:40分钟 使用时间:2014级 月 日 编号:002编写人:程均 审题人:宁显万 学生姓名: 评分《寒假作业2》读下图,回答1—2题1.有关图中四个国家自然地理特征的叙述,不正确的是 ( )A .甲国地势西高东低,平原、高原面积广阔B .乙国以热带季风气候为主,旱、雨季分明C .丙国河流较少,但中部地区地下水丰富D .丁国有世界最长的河流流经2.图示四国都有回归线穿过,其中没有沙漠的国家是 ( )A .甲B .乙C .丙D .丁 图中甲位于华北平原,乙位于长江中下游平原。
回答3~6题。
3. 甲、乙两地耕作制度不同,造成这种差异 的主要自然因素是( )A.海拔B.热量C.水分D.土壤4. 甲、乙两地共有的地理现象是( )A.广泛种植水稻B.雨热同期C.冬季河流结冰D.水运发达5. 甲地楼房南北间距一般大于大于乙地,其 影响因素主要是( ) A. 河流流向 B.海陆位置 C. 纬度位置 D.盛行风向6. 目前甲、乙两地可持续发展所面临的问题 分别是( ) A.旱涝盐碱危害、水土流失严重 B.多风沙危害、水资源短缺 C.生态破坏严重、多旱涝灾害 D.水资源短缺、酸雨危害较严重 下图为世界某一区域,该区域在较长时期内受图中气压系统控制。
回答7~9题。
20° 40° 4030 乙甲7. 若某科考队从甲到乙进行横跨半岛的地质地貌考察,该考察线路的直线距离约为( )A .280kmB .550kmC . 1100kmD . 760km 8.科考队在野外考察之际,当地的天气状况是( )A .低温干燥B .晴热干燥C .高温多雨D .温和多雨 9.图示气压系统较长时间控制该区域时 ( )A .海轮向东横渡北印度洋顺风顺流B .南极昆仑站出现极昼现象C .东北平原时常受寒潮侵袭D .鄱阳湖流域大批候鸟栖息图甲为某地牧草成长与乳牛草料需求关系图,图乙为该地气候资料。
济源四中高一数学寒假作业(二)必修一综合一、选择题:1、【C类】下列四个集合中,空集是 ( )A.{0}B.{x|x>8,且x<5}C.{x∈N|x2-1=0}D.{x|x>4}2、【C类】集合{y∈N|y=-x2+6,x∈N}的真子集的个数是 ( )A.9B.8C.7D.63、【C类】设A={直角三角形},B={等腰三角形},C={等边三角形},D={等腰直角三角形},则下列结论不正确的是( )A.A∩B=DB.A∩D=DC.B∩C=CD.A∪B=D4、【C类】全集U={x∈N+|-2<x<9},M={3,4,5},P={1,3,6},则{2,7,8}是( )A.M∪PB.M∩PC.(C U M)∪(C U P)D. (C U M)∩(C U P)5、【C类】下列图形表示函数图像的是 ( )6、【C类】下列对应关系f中, 不是从M到N的一一映射的是 ( )A.M={0,1,2,…},N={0,1,2}, f:M中的元素对应它除以3的余数B.M={平面上的点},N={(x,y)|x,y∈R}, f:M中元素对应在平面上的坐标C.M={高一年级同学},N={是,否}, f:M中元素对应他今天的出勤情况D.M=R,N=R, f:M中的元素对应它的倒数7、【C类】对于二次函数f(x)=3x2-12x+1,下列说法不正确的是 ( )A.图像开口向上,对称轴是x=2,顶点坐标为(2,-11)B.在x∈(-∞,2)上是递减的,在x∈(2,+∞)上是递增的C.图像与x轴有两个交点且交y轴于点(0,1)D.在x∈[1,4]上有最小值f(1)和最大值f(4)8、【B类】下列函数既是幂函数,又是奇函数的是 ( )A.y=3x3+2B.y=x-1, x∈(-3,0)C.y=x3D.y=2(x+1)2+19、【B类】若0<a<1,b<-1,则函数f(x)=a x+b的图像不经过 ( )A.第一象限B.第二象限C.第三象限D.第四象限10、【B类】已知集合A={x|x<-1或x>1},B={x|log2x>0},则A∩B等于 ( )A.{x|x>1}B. {x|x>0}C. {x|x<-1}D. {x|x<-1或x>1}11、【A类】方程3x-x2=0的解所在的区间是 ( )A.(-2,-1)B.(-1,0)C.(0,1)D.(1,2) 12、【A类】设y1=40.9,y2=80.48,y3=(0.5)-1.5,则有 ( )A. y3>y1>y2B. y2>y1>y3C. y1>y2>y3D. y1>y3>y2二、填空题:13、【C类】用列举法表示集合{NxNx∈-∈66|}为:_________________.14、【C类】函数231log2-=xy的定义域为:___________________.15、【B类】方程log2(x-2)-x2=0的解的个数为:____________.16、【A类】求值:84log27log9=_________.三、解答题:17、【C类】求值:(1)3749log+827log9log32∙+29log(log3)+3log29.(2)21433221312132)0016.050027.0(41[]343)161(125[--⨯++++]18、【C 类】将函数f(x)=-3x 2+2x-1配方,确定其对称轴,顶点坐标,求出它的单调区间及最大值和最小值,并画出它的图像.19、【B 类】画函数)4(||)(-=x x x f 的图像,并写出其单调区间和值域.20、【B 类】函数1212)(+-=x x x f .证明:(1)f(x)是奇函数;(2)f(x)在R 上是递增的.21、【B 类】某租赁公司拥有汽车100辆,当每辆车的月租金为3000元时,可全部租出,当每辆车的月租金每增加50元时,未租出的车将会增加一辆,租出的车每辆每月需维护费150元,未租出的车每辆每月需要维护费50元。
有一项是符合题目要求的)1.已知集合(){}|30M x x x =-<,{}|2N x x =<,则MN =( )A .()0,2-B .()2,0C .()3,2D .()3,2- 2.已知命题2:,210,p x R x ∀∈+>则( ) A .2:,210p x R x ⌝∃∈+≤ B .2:,210p x R x ⌝∀∈+≤ C .2:,210p x R x ⌝∃∈+<D .2:,210p x R x ⌝∀∈+<3.向量a =(1,-2),b =(6,3),则a 与b 的夹角为( ) A .60︒ B .90︒ C .120︒ D .150︒ 4.在△ABC 中,角A 、B 、C 的对边分别为a 、b 、c , 已知A =3π, a =3, b =1,则c = ( )A .1B .2C .3—1D .3 5.已知两条直线,m n ,两个平面,αβ,给出下面四个命题: ①//,m n m n αα⊥⇒⊥ ②//,,//m n m n αβαβ⊂⊂⇒ ③//,////m n m n αα⇒ ④//,//,m n m n αβαβ⊥⇒⊥其中正确命题的序号是( ) A .①③ B .②④ C .①④ D .②③6.函数)sin()(ϕω+=x x f (,0,02)x R ωϕπ∈>≤<的部分图象如图,则 ( )A .ω=2π,ϕ=4πB .ω=3π,ϕ=6πC .ω=4π,ϕ=4πD .ω=4π,ϕ=45π131oy x7.三个学校分别有1名、2名、3 名学生获奖,这6名学生排成一排合影,要求同校的任两名学生不能相邻,那么不同的排法有( ) A .36种B .72种C .108种D .120种8.如图,设点P 为△ABC 内一点,且AP →= 25 AB → + 15AC → ,则△ABP 的面积与△ABC 的面积之比是( ) A .2:5 B . 1:5C . 1:4D . 1:39.已知{(,)|6,0,0}x y x y x y Ω=+≤≥≥,{(,)|4,0,20}A x y x y x y =≤≥-≥,若向区域Ω上随机投一点P , 则点P 落入区域A 的概率为( ) A .31 B .32 C .91 D .92 10.已知双曲线12222=-y ax 的一条准线与抛物线x y 42-=的准线重合,则该双曲线的离心率为 ( ) A.22B.2C.2D.21二、填空题:本大题共7个小题,把答案填在题中横线上.11.若a =)1,8(-,b =)4,3(,则a 在b 方向上的投影是 ; 12.复数ii++12的共轭复数是 . 13.已知x 、y 满足y x z k y x x y x 420,305+=⎪⎩⎪⎨⎧≥++≤≥+-且的最小值为-6,则常数k= . 14.若)2,0(,135)4sin(πααπ∈=-且,则)4cos(2cos αα+值为 .15.如图,函数)(x f y =的图象在点P 处的切线方程是8+-=x y ,则)5()5(f f '+= .16.若1)2(33)(23++++=x a ax x x f 有极大值和极小值,则a 的取值 范围是____________17.下列程序执行后输出的结果是 . i =11 s=1 DO s=s* i i = i -1 LOOP UNTIL i <9 PRINTs END三、解答题:本大题共4小题,解答应写出文字说明、证明过程或推演步骤.18.已知函数f(x)=2cosx(sinx-cosx)+1,x ∈R. (1)求函数f(x)的最小正周期T ; (2)求函数f(x)的单调增区间;(3)求函数f(x)在区间⎥⎦⎤⎢⎣⎡43,8ππ上的最小值和最大值.19.已知函数)1(log )()()1(>==+a x f x g y x a与的图象关于原点对称.(1)写出)(x g y =的解析式;(2)若函数m x g x f x F ++=)()()(为奇函数,试确定实数m 的值; (3)当)1,0[∈x 时,总有n x g x f ≥+)()(成立,求实数n 的取值范围.21.如图,在正方体1111D C B A ABCD -中,E 、F 分别是BB 1的中点. (1)证明F D AD 1⊥; (2)求AE 与F D 1所成的角; (3)证明:面⊥AED 面11FD AA 1寒假作业3答案一、选择题1-5 BABBC 6-10 CDBDB二、填空题11.-4 12.2123+i 13.0 14.132415.211 16.12-<>a a 或 17.990 三、解答题18(1)T=π (2))(83,8Z k k k ∈⎥⎦⎤⎢⎣⎡++-ππππ(3)最小值-1…,最大值2…19.解:(1)设M (x ,y )是函数)(x g y =图象上任意一点, 则M (x ,y )关于原点的对称点为N (-x ,-y )N 在函数)1(log )(+=x x f a 的图象上,)1(log +-=-∴x y a)1(log x y a --=∴ (2)m x F x ax a+-=-+)1()1(log log )( 为奇函数.mm x F x F x ax ax ax a-+-=+-∴-=-∴-++-)1()1()1()1(log log log log )()(00log log log 211111=∴==+=∴+--+m m a xx a xxa(3)由n n x g x f xx a ≥≥+-+11log ,)()(得设)1,0[,11log )(∈-+=x x xa x Q ,即可只要由题意知n ≥min Q(x),,)121(log )(xax F -+-= 在[0,1)上是增函数.0)0()(min ==∴Q x Q 即0≤n 即为所求.20.解:(I)将事件“第一次、第三次均抽到白球”记作A ,则P (A ) = 16 ⨯16 =136A1(II)设 ξ 是三次抽取中抽到白球的次数,则 ξ~ B (3,16 )ξ 的分布列为E ξ = 3·P (A ) = 3·16 = 1221.(1)证明:因为AC 1是正方体,所以AD ⊥面DC 1。
启明班寒假作业二学校:___________姓名:___________班级:___________考号:___________一、单选题1.若函数2(0)3y x πωω⎛⎫=-> ⎪⎝⎭两零点间的最小距离为2π,则ω=( )A .1B .2C .3D .42.已知函数()2sin()0,||2f x x πωϕωϕ⎛⎫=+>< ⎪⎝⎭,其图象与直线1y =的相邻两个交点的距离分别为3π和23π,若13 f π⎛⎫= ⎪⎝⎭,则ϕ的值为( )A .6π B .6π- C .3π- D .3π3.设函数())f x x ωϕ=-,x ∈R ,其中0ω>,||ϕπ<.若08f π⎛⎫-= ⎪⎝⎭,58f π⎛⎫= ⎪⎝⎭()f x 的最小正周期大于2π,则( )A .13ω=,1124πϕ=B .13ω=,712πϕ=-C .23ω=,1112πϕ=D .23ω=,12πϕ=-4.已知函数()()sin 06f x x πωω⎛⎫=+> ⎪⎝⎭在区间,2ππ⎡⎤⎢⎥⎣⎦内单调递减,则实数ω的取值范围是( )A .2,13⎡⎤⎢⎥⎣⎦B .24,33⎡⎤⎢⎥⎣⎦C .[)1,2D .3,22⎡⎫⎪⎢⎣⎭5.已知函数()()sin f x x α=+在,43x ππ⎛⎫∈- ⎪⎝⎭上单调递增,则α的值可以是( )A .3π-B .4π-C .4π D .3π 6.若函数()()()sin πf x x ϕϕ=+<在π2π,33-⎡⎤⎢⎥⎣⎦上单调,则ϕ的值为( )A .2π3-或π3B .π3-或2π3C .5π6-或6π D .π6-或5π6 7.若函数()πsin 23f x x ⎛⎫=- ⎪⎝⎭与()πcos 4g x x ⎛⎫=+ ⎪⎝⎭都在区间()(),0πa b a b <<<上单调递减,则b a -的最大值为( )A .π3B .π2C .6πD .π 8.若函数()2sin 23f x x πϕ⎛⎫=-+ ⎪⎝⎭是奇函数,则ϕ的值可以是( )A .56π B .2π C .23π-D .2π-9.函数()sin 23f x x πϕ⎛⎫=++ ⎪⎝⎭为偶函数的一个充分条件( )A .6πϕ=B .6πϕ=-C .3πϕ=D .3πϕ=-10.已知函数()sin 22f x x x =,若函数()y f x ϕ=-为奇函数,则||ϕ的最小值是( ) A .12π B .6π C .3π D .712π 11.已知函数()sin(2)f x x ϕ=+的图象关于点π,06⎛⎫⎪⎝⎭中心对称,则||ϕ的最小值为( )A .π6B .π3C .2π3D .4π312.将函数2sin()3y x π=+的图象向左平移()0m m >个单位长度后,所得到的图象关于y 轴对称,则m 的最小值是( ) A .12π B .6π C .3π D .23π13.已知函数()21cos cos (0,)2f x x x x a x R ωωω=+->∈在[]0,π内有且仅有三条对称轴,则ω的取值范围是( ) A .27,36⎛⎫ ⎪⎝⎭B .75[,)63C .513,36⎫⎡⎪⎢⎣⎭D .138,63⎛⎫ ⎪⎝⎭14.已知函数π()sin (0)3f x x ωω⎛⎫=-> ⎪⎝⎭在(π,2π)内不存在对称中心,则ω的取值范围为( ).A .12,33⎡⎤⎢⎥⎣⎦B .20,3⎛⎤ ⎥⎝⎦C .10,6⎛⎤⎥⎝⎦ D .1120,,633⎛⎤⎡⎤⋃ ⎥⎢⎥⎝⎦⎣⎦15.若函数()sin (0)3f x x πωω⎛⎫=+> ⎪⎝⎭在区间(),2ππ内没有最值,则ω的取值范围是( )A .1120,,1233⎛⎤⎡⎤⋃ ⎥⎢⎥⎝⎦⎣⎦B .1170,,12612⎛⎤⎡⎤ ⎥⎢⎥⎝⎦⎣⎦C .70,12⎛⎤ ⎥⎝⎦D .12,33⎡⎤⎢⎥⎣⎦ 16.若函数()sin 6f x x πω⎛⎫=+ ⎪⎝⎭(0ω>)在,44ππ⎛⎫- ⎪⎝⎭有最大值无最小值,则ω的取值范围是( )A .48,33⎛⎫ ⎪⎝⎭B .48,33⎛⎤ ⎥⎝⎦C .416,33⎛⎫ ⎪⎝⎭D .416,33⎛⎤ ⎥⎝⎦17.已知函数()()sin cos 0f x x a x a =+>的最大值为2,若方程()f x b =在区间13π0,6⎛⎫⎪⎝⎭内有三个实数根123,,x x x ,且123x x x <<,则1232x x x ++等于( )A .8π3 B .10π3C .4πD .25π618.已知函数()()22cos 10,2xf x x x ωωω=->∈R ,若函数()f x 在区间(),2ππ上没有零点,则ω的取值范围是( ) A .55110,,12612⎛⎤⎡⎤⎥⎢⎥⎝⎦⎣⎦ B .211,312⎡⎤⎢⎥⎣⎦ C .511,612⎛⎫⎪⎝⎭D .250,,1211312⎛⎫ ⎪⎝⎝⎛⎤ ⎥⎦⎭19.已知函数()()1sin 0f x x x ωωω=+>在()0,π上有且只有3个零点,则实数ω的取值范围是( ) A .1137,26⎛⎤ ⎥⎝⎦B .137,62⎛⎤ ⎥⎝⎦C .725,26⎛⎤ ⎥⎝⎦D .2511,62⎛⎤ ⎥⎝⎦20.已知函数()()sin 0,2f x x πωϕωϕ⎛⎫=+>< ⎪⎝⎭图象的两相邻对称轴之间的距离为2π,且3f x π⎛⎫+ ⎪⎝⎭为偶函数,则ϕ=( )A .6π B .6π- C .3π- D .3π21.若直线12x π=是曲线()sin 04y x πωω⎛⎫=-> ⎪⎝⎭的一条对称轴,且函数sin 4y x πω⎛⎫=- ⎪⎝⎭在区间0,12π⎡⎤⎢⎥⎣⎦上不单调,则ω的最小值为( )A .9B .15C .21D .3322.已知函数()()sin 06f x x πωω⎛⎫=-> ⎪⎝⎭在区间3,34ππ⎡⎤-⎢⎥⎣⎦上单调递增,且在区间[]0,π上只取得一次最大值,则ω的取值范围是( )A .30,4⎡⎤⎢⎥⎣⎦ B .80,9⎛⎤ ⎥⎝⎦ C .28,39⎡⎤⎢⎥⎣⎦ D .38,49⎡⎤⎢⎥⎣⎦23.已知函数()()sin 0,0,2f x A x A πωϕωϕ⎛⎫=+>>< ⎪⎝⎭,若函数()f x 的一个零点为6π.其图像的一条对称轴为直线512x π=,且()f x 在,64ππ⎛⎫ ⎪⎝⎭上单调,则ω的最大值为( )A .2B .6C .10D .1424.已知函数()sin()(0,0)f x A x ωϕωϕπ=+><<为偶函数,在0,3π⎡⎫⎪⎢⎣⎭单调递减,且在该区间上没有零点,则ω的取值范围为( ) A .30,2⎛⎫ ⎪⎝⎭B .31,2⎡⎤⎢⎥⎣⎦C .35,22⎡⎤⎢⎥⎣⎦D .30,2⎛⎤ ⎥⎝⎦二、填空题25.已知函数()cos f x x x ωω-(0)ω>的最小正周期为π,则ω=___.26.已知函数()()sin f x x ω=(0ω>)在区间ππ,123⎛⎤- ⎥⎝⎦上单调递增,在区间π5π,312⎡⎫⎪⎢⎣⎭上单调递减,则ω的值是______.27.已知函数()sin 2062f x x ππϕϕ⎛⎫⎛⎫=++<< ⎪ ⎪⎝⎭⎝⎭在,32ππ⎛⎫ ⎪⎝⎭上单调递增,则ϕ的取值范围为_________.28.将函数()sin (0)6f x x πωω⎛⎫=+> ⎪⎝⎭图像上所有点的横坐标伸长到原来的2倍,再向右平移6π个单位长度,得到函数()y g x =的图像,若函数()y g x =为偶函数,则ω的最小值为_________.29.已知函数()()()sin 0,0f x x ωϕωϕπ=+><<,且()f x 与()3f x π+均为偶函数,则ω的最小值是______.30.已知函数()()ππsin 22f x x ϕϕ⎛⎫=+-<< ⎪⎝⎭的图像关于直线π4x =对称,则ϕ=__________.31.若函数sin y x ω=(0ω>)在区间[]0,2上恰好取到3次最小值,请写出一个符合题意的ω的值:___________. 32.已知函数()π2sin 6f x x ω⎛⎫=+ ⎪⎝⎭中x 在任意的15个单位长度的距离内能同时取得最大值和最小值,那么正实数ω的取值范围是________.33.设函数()()sin 03f x x πωω⎛⎫=-> ⎪⎝⎭,若()f x 在0,2π⎛⎫ ⎪⎝⎭上有且仅有2个零点,则实数ω的取值范围为______.34.已知函数()sin (0)f x x x ωωω=>,若函数()f x 的图像在区间π()0,x ∈上恰有2个零点,则实数ω的取值范围为__________. 35.函数()()4sin 6f x x πωω*⎛⎫=+∈ ⎪⎝⎭N ,若,06π⎛⎫- ⎪⎝⎭是()f x 的一个对称中心,且()f x 在52,369ππ⎛⎫ ⎪⎝⎭上单调,则ω的最小值为_________.36.已知函数π()sin (0)6f x x ωω⎛⎫=+> ⎪⎝⎭,若π3f x ⎛⎫+ ⎪⎝⎭为偶函数,()f x 在区间π7π,312⎛⎫ ⎪⎝⎭内单调,则ω的最大值为_________.37.已知函数()2sin f x x ω=(0ω>)在区间3,43ππ⎡⎤-⎢⎥⎣⎦上单调递增,且函数()2sin 2g x x ω=+在[]2,0π-上有且仅有一个零点,则实数ω的取值范围是_______. 38.已知函数()()sin f x x ωϕ=+(其中0ω>,2πϕ<),若()0f T =(T 为周期),4x π=是函数()f x 图像的一条对称轴,()f x 在区间3,816ππ⎛⎫⎪⎝⎭上单调,则ω的值为______.。
寒假作业(2)物质的分类一、单选题1.下列说法不正确的是()①只含有一种元素的物质一定是纯净物②生石灰做干燥剂涉及化学变化③酸性氧化物都能与水反应生成酸④碱性氧化物一定是金属氧化物⑤用鸡蛋壳膜和蒸馏水除去淀粉胶体中的食盐不涉及化学变化⑥两种盐反应一定生成两种新盐A. ①③⑥B. ①②③④⑤C. ②④⑥D. ②④⑤2.下图所表示的一些物质或概念间的从属关系不正确的是()A. AB. BC. CD. D3.下列分类或归类正确的是①液氯、氨水、干冰、碘化银均为纯净物②CaCl2、NaOH、HCl、IBr均为化合物③明矾、水银、烧碱、硫酸均为电解质④火碱、纯碱、碳酸钙都是电解质⑤碘酒、淀粉、水雾、纳米材料均为胶体A. ①③④B. ②③C. ②④D. ②③④⑤4.下列有关分类的说法正确的是()A. 胶体的本质特征是具有丁达尔效应B. 阳离子、阴离子中均分别只含有一种元素,则由这样的阴、阳离子组成的物质一定是纯净物C. 白磷转化为红磷是物理变化D. 碱性氧化物一定是金属氧化物,酸性氧化物不一定是非金属氧化物5.下列说法不正确的是()①只含有一种元素的物质一定是纯净物②生石灰做干燥剂涉及化学变化③酸性氧化物都能与水反应生成酸④碱性氧化物一定是金属氧化物⑤用鸡蛋壳膜和蒸馏水除去淀粉胶体中的食盐不涉及化学变化⑥两种盐反应一定生成两种新盐A. ①③⑥B. ①②③④⑤C. ②④⑥D. ②④⑤6.分类法在化学学科的发展中起到了非常重要的作用,下列分类标准合理的是()A. 根据是否具有丁达尔效应,将分散系分为溶液、浊液和胶体B. 依据分子组成中是否含有氧元素,将酸分为含氧酸和无氧酸C. 根据水溶液是否能够导电,将物质分为电解质和非电解质D. 依据组成元素的种类,将物质分为单质和化合物7.下列说法正确的是()①Na2O、Fe2O3、Al2O3属于碱性氧化物,CO2、SiO2、NO2都能和碱溶液发生反应属于酸性氧化物②碳酸钠、氢氧化钡、氯化铵、过氧化钠都属于离子化合物③混合物:漂白粉、水玻璃、Fe(OH)3胶体、冰水混合物④醋酸、烧碱、纯碱和生石灰分别属于酸、碱、盐和氧化物⑤硅导电,铝在浓硫酸中钝化均属于物理变化⑥盐酸属于混合物,而液氯、冰醋酸均属于纯净物。
寒假作业第一部分阅读理解(共两节,满分50分)第一节(共15小题;每小题2.5分,满分37.5分)阅读下列短文,从每题所给的A、B、C和D四个选项中,选出最佳选项。
AThe Lake District Attractions GuideDalemain Mansion & Historic GardensHistory, Culture & Landscape (景观). Discover and enjoy 4 centuries of history, 5 acres of celebrated and award-winning gardens with parkland walk. Owned by the Hasell family since 1679, home to the International Marmalade Festival. Gifts and antiques, plant sales, museums & Mediaeval Hall Tearoom.Open:29 Mar—29 Oct, Sun to Thurs.Tearoom, Gardens & Gift Shop: 10.30—17.00 (16.00 in Oct).House: 11.15—16.00(15.00 in Oct).Town:Pooley Bridge & PenrithAbbot Hall Art Gallery & MuseumThose viewing the quality of Abbot Hall's temporary exhibitions may be forgiven for thinking they are in a city gallery. The impressive permanent collection includes Turners and Romneys and the temporary exhibition programme has Canaletto and the artists from St Ives.Open:Mon to Sat and Summer Sundays. 10.30—17.00 Summer. 10.一16.00 Winter. Town: KendalTullie House Museum & Art GalleryDiscover, explore and enjoy award-winning Tullie House, where historic collections, contemporary art and family fun are brought together in one impressive museum and art gallery. There are four fantastic galleries to visit from fine art to interactive fun,so there's something for everyone!Open:High Season 1 Apr—31 Oct: Mon to Sat 10.00— 17.00, Sun 11.00—17.00.Low Season 1 Nov一31 Mar: Mon to Sat 10.00— 16.30, Sun 12.00—16.30.Town: CarlisleDove Cottage & The Wordsworth MuseumDiscover William Wordsworth's inspirational home. Take a tour of his Lakeland cottage, walk through his hillside garden and explore the riches of the collection in the Museum. Visit the shop and relax in the cafe. Exhibitions, events and family activities throughout the year.Open: Daily, 09.30—17.30( last admission 17.00).Town: Grasmere1. When is the House at Dalemain Mansion & Historic Gardens open on Sundays in July?A. 09. 30—17. 30.B. 10. 30—16. 00.C. 11. 15—16. 00.D. 12. 00—16. 30.2. What can visitors do at Abbot Hall Art Gallery &Museum?A. Enjoy Romney's works.B. Have some interactive fun.C. Attend a famous festival.D. Learn the history of a family.3. Where should visitors go if they want to explore Wordsworth's life?A. Penrith.B. Kendal.C. Carlisle.D. Grasmere.BChildren are excited to find brightly wrapped(包装的) presents under the tree on Christmas morning. They can't wait to open the wrapping and get the toys that were on their wish lists,such as toy cars. But after the excitement wears off, those toys are usually left to the corner of the toy box and the kids are searching for something else to do. But it doesn't have to be that way.A study from the University of Toronto found that giving your child experiences as a gift, instead of toys, improves your child's intelligence and makes stronger parent-child bonds. "Often the focus is only on whether someone likes a gift rather than focusing on a fundamental purpose of gift giving. Knowing that will foster(培养) relationships between the giver and the receiver,'' said lead researcher Cindy Chan.Chan suggested that when you are buying a holiday gift or birthday gift, you should buy something that kids can experience with you. This can be movie or concert tickets, a CD from a performance you already saw to keep the memory alive. For example,for kids, a trip to a museum, going ice-skating or a book that the family can read together over and over again are valuable gifts.It is found that giving your kids too many toys can be counterproductive(适得其反) and make kids at a loss. The best way to make kids happy is to spend time together.So, if you want happy and intelligent kids, spending time with them and making memories are the best gifts you can give them. That's not to say that there shouldn't be any toys but change the focus from getting things to making lasting memories.1.How do children usually deal with toys after the excitement disappears?A. They put them aside.B.They give them to their friends.C.They add them to the wish lists.D.They throw them into the rubbish bin.2.What should people focus on when buying gifts according to Cindy Chan?A. The advantage of giving toys.B.The purpose of giving gifts.C. The excitement caused by toys.D.The gift receiver's hobby.3.What did Cindy Chan advise parents to do in Paragraph 3?A.Do something together with kids.B.Give kids well-wrapped presents.C.Buy kids as many toys as possible.D.Encourage kids to do sport in school.4.What is the best title for the text?A. A lesson from kids at ChristmasB.The pleasure of giving and receivingC.Valuable gifts: popular among kidsD.Move over toys, and make room for memoriesCBee see, bee do. At least that's the conclusion of research published earlier this month in the journal PLOS Biology, showing that bumblebees learn to solve problems by watching each other.In the first study of its kind in insects,scientists constructed experiments that challenged bees to pull strings in order to access rewards of nectar(花蜜).The scientists hoped their study would throw light on a bigger picture: howsocial learning spreads through a population.In the study, Lars Chittka from Queen Mary University of London and his team made artificial flowers and filled them with artificial nectar made of sugar water. They put the flowers under a clear type of plastic and attached a string.Then they added bees. While most of the insects failed to reach the nectar, a few eventually figured out how to access it, by pulling the string.The team discovered that they could greatly increase the success rate of the bees by first placing them inside a transparent(透明的) box where they could observe an experienced bee pull the string. Then, when the boxed bees were released, they often knew what to do and successfully pulled the string to obtain nectar.Next, the researchers added a bee that was experienced in string pulling to each of three new groups that had never seen the experiment before. Within a short time, about half of all those bees were soon pulling the strings. That result suggests the learned behavior could spread from bee to bee, similar to the way cultural ideas spread in other animals, including people.The experiment suggests that social learning may be more widespread in the animal kingdom than people previously thought.1.What happened after the bee pulled the string?A. It joined others.B.It saw flowers.C. It found water.D.It got nectar.2.What did the boxed bees do after being set free?A.They watched the experienced bee work.B.They imitated the experienced bee.C.They flew directly to the rewards.D.They flew back to the box.3.Why was an experienced bee added to new bee groups?A.To reduce the difficulty of the experiment.B.To watch the process of string pulling.C.To carry the experiment further.D.To keep the bees' interest.4.What does the study find?A.Most animals create their own cultures.B.Strings are particularly attractive to bees.C.Animals may have good social learning ability.D.Bumblebees may be smarter than other bee species.DOne day, when Albert Einstein was a small boy, his father bought him a composs(指南针). It was a small toy to entertain him. Einstein was very pleased as he looked at the "magic," thing turning towards north. For him, the compass was not a toy but a new world.He was a curious child and would often daydream. His father was annoyed with him for the bad reports from his teachers. They told him that the boy was not interested in his studies. He was blamed by his father for being lost in his foolish dreams.On leaving school, his father wanted him to study electrical engineering. But he disliked becoming an engineer. He entered the Zurich Polytechnic Academy to prepare himself for a teaching position in mathematics and physics. Though he finished his studies, he was unable to get a job.Finally, he got a job in an office. In his spare time, he filled his notepaper with difficult mathematical formulas(公式). Some of these later led to great scientific discoveries. When they were published, he became a famous scientist. He could not take his daily walk without being surrounded by reporters. He would only smile at them, and went on with his work in his quiet way.In 1921, Einstein was awarded the Nobel Prize. The Queen of Belgium invited him to pay her a visit. He got off the train and walked to the palace. He wasn't willing to take the car sent to pick him up. When the Queen asked him, he looked at her with a smile and answered, "It was a very pleasant walk." Einstein disliked wealth. Peace, he said, was what the world needed, and that could not be bought with money.1.Why did Einstein's father buy him a compass?A. To satisfy his curiosity.B.To let him play with it.C.To develop his interest in science.D.To help him create a dream world.2.What does the underlined word "annoyed" in Paragraph 2 mean?A. Familiar.B. Strict.C. Angry.D.Content.3.What can we learn about Einstein from Paragraph 4?A. He cared little for fame.B.He was not good at talking.C.He was praised by the Queen.D.He didn't work as an officer for long.4.What is the author's purpose in writing the text?A. To introduce a new theory.B.To contribute to world peace.C. To remember a great scientist.D.To share some incidents about Einstein. 第二节(共5小题;每小题2.5分,满分12.5分)根据短文内容,从短文后的选项中选出能填入空白处的最佳选项。
苏教版小学语文六年级上册寒假作业(2)一、按课文内容填空。
1、《草原》的作者是(),原名(),字(),他是我国现代著名作家。
他的主要作品有()、()等。
2、那些小丘的线条(),就像(),不用墨线勾勒的(),到处(),轻轻()。
这种境界,既(),又(),既(),又()。
3、《草原》中最能反映蒙汉两族人民情深的句子是:()4、读了《草原》,我们头脑中马上会浮现这些与“草原”相关的成语:()、()、()、();还会想到与草原相关的古诗句:()。
5、“渲”字用音序查字法应查(),用部首查字法应查()部。
6、用“_”在选段中的括号里选择恰当的词。
(1)空气是那么(新鲜清新)(2)天空是那么(晴朗明朗)(3)小丘的线条是那么(柔美柔软)(4)这种境界,既使人(惊叹惊讶),又叫人舒服。
7、《草原》一文中有两个表示“绿”的词语,分别是()和()我还从课外积累了两个,它们是()和()。
8、《草原》一文中“翠色欲流”的“欲”字在字典里有四种解释:①欲望;②想要;③需要;④将要在这里应该是第()种解释。
9、看到草原,“我”感触很深,请用一个词来形容此时作者的心情,然后再用这个词造句。
词:();造句:()。
10、在《草原》中找一个拟人句:()11、“像给无边的绿毯绣上了白色的大花”中的“绣”字用得好,你能说说好在哪里吗?()12、“天色微明,晨雾如轻纱般飘浮在黄海滩涂上。
”这句话把晨雾比作(),写出了晨雾()的特点.13、糜鹿是()的一种。
它的外形很奇特:(),(),(),(),所以又被称作“()”。
14、阅读课文第3自然段,这段话从()、()、()、()等方面具体描述了服鹿的特点;“”这句话写出了糜鹿与众不同的生活习性。
15、仿照例子,写任一动物的某一特点。
例。
糜鹿的尾巴是鹿科动物中最长的。
长尾巴用来驱赶蚊蝇,以适应沼泽环境中的生活。
()16、写两句保护动物的宣传标语:();()。
17、《麋鹿》是一篇说明文,介绍了糜鹿的()、()和()。
浑源七中高二化学寒假作业2姓名:__________班级:__________考号:__________一、单选题(共20小题)1. 24Cr原子处于基态时,价电子排布可用轨道表示式表示成,而不是。
下列说法正确的是( )A. 这两种排布方式都符合能量最低原理B. 这两种排布方式都符合泡利原理C. 这两种排布方式都符合洪特规则D. 这个实例说明洪特规则有时候和能量最低原理是矛盾的2. 下列关于微粒半径大小的比较中正确的是( )A. Na+<Mg2+<Al3+<O2-B. S2->Cl->Na+>Al3+C. Na<Mg<Al<SiD. Cs<Rb<K<Na3. 下列物质溶于水因水解而呈碱性的是( )A. Na2OB. Na2CO3C. NH4ClD. NH3·H2O4. 已知pAg+=-lg c(Ag+),pX-=-lg c(X-)。
某温度下,AgBr、AgCl在水中的沉淀溶解平衡曲线如图所示。
下列说法错误的是( )A. a和c两点的K w相同B. K sp(AgCl)=1.0×10-14mol2·L-2C. 向饱和AgCl溶液中加入NaCl固体,可使a点变到d点D. AgCl(s)+Br-(aq)AgBr(s)+Cl-(aq)平衡常数K=5. 已知:25 ℃时H2C2O4的p K a1=1.22,p K a2=4.19,CH3COOH的p K a=4.76(电离常数K 的负对数-lg K=p K)。
下列说法正确的是( )A. 浓度均为0.1 mol·L-1NH4HC2O4和CH3COONH4溶液中:c(NH)前者小于后者B. 将0.1 mol·L-1的K2C2O4溶液从25 ℃升温至35 ℃,减小C. 0.1 mol·L-1K2C2O4溶液滴加盐酸至pH=1.22:c(H+)-c(OH-)=c(Cl-)-3c(HC2O )D. 向0.1 mol·L-1CH3COONa溶液中滴加少量0.1 mol·L-1H2C2O4溶液:CH3COO-+H2C2O4===CH3COOH+HC2O6. 根据如图所示的各物质能量变化关系,判断下列热化学方程式正确的是( )A. C(s,金刚石)+O2(g)===CO2(g) ΔH1=a kJ·mol-1(a<0)B. C(s,石墨)+O2(g)===CO2(g) ΔH2=b kJ·mol-1(b>0)C. C+O2===CO2ΔH3=c kJ·mol-1(c>0)D. C(s,金刚石)===C(s,石墨) ΔH4=d kJ·mol-1(d>0)7. 下列叙述中正确的是( )①电解池是将化学能转化为电能的装置②原电池是将电能转化为化学能的装置③金属和石墨导电均为物理变化,电解质溶液导电是化学变化④不能自发进行的氧化还原反应,通过电解的原理有可能实现⑤电镀过程相当于金属从阳极迁移到阴极上,可视为物理变化⑥电解池中阳离子移向阴极,原电池中阳离子移向正极A. ①②③④B. ③④C. ③④⑥D. ③④⑤8. 电致变色器件可智能调控太阳光透过率,从而实现节能。
九年级地理地理寒假作业(二)班级____________座号 __________姓名 ___________要求:1、熟读地理复习资料中的“知识点”。
2、复习八年级地理(下)完成下列练习。
一、选择题1、日本四大岛屿中,面积最大的是()A.四国岛B.本州岛C.九州岛D.北海道岛2、日本多火山、地震的原因是日本位于()A.美洲板块和太平洋板块交界处B.亚欧板块和太平洋板块交界处C.亚欧板块和美洲板块交界处D.亚洲板块和美洲板块交界处3、日本的气候与同纬度大陆相比()A.冬季温和,夏季高温,降水较多B.冬季温和,夏季凉爽,降水较多C.冬季凉爽,夏季温和,降水较少D.冬季温暖,夏季炎热,降水较多4、日本太平洋沿岸每年夏秋季节常见的天气现象是()A.台风B.梅雨C.寒潮D.伏旱5、关于日本的叙述,正确的是()A.国土面积比较小,人口稠密B.森林覆盖率低,每年大量进口木材C.水能资源和矿产资源丰富D.渔业不发达6、下列关于美国地形的叙述,正确的是()A.美国地形呈东西方向延伸B.美国地势东高西低C.科迪勒拉山系位于美国的东部D.密西西比河平原是美国著名的大平原7、美国的“硅谷”位于()A.东北部工业区B.南部工业区C.西部工业区D.夏威夷地区8、下列对美国农业的叙述,错误的是()A.美国是世界上的农业大国B.美国农业的特点之一是地区专业化C.美国生产的玉米、小麦产量居世界前列,但每年仍需大量进口粮食D.美国许多农产品都有大量出口9、右图为“某一国家沿回归线的地形剖面图”,下列叙述,正确的是()A.甲处为太平洋,乙处为大西洋B.该国居民绝大部分为白色人种C.目前,采矿业已成为该国的经济支柱D.该国首都是全国最大的港口城市10、澳大利亚的人口、城市主要分布在东南沿海,其主要原因是东南沿海()A.地处温带、亚热带地区,气候温暖湿润B.矿产资源丰富C.草原辽阔、畜牧业发达D.地势低平,平原面积广阔11、下列有关澳大利亚的表述,正确的是()A.东部有自北向南纵贯的大分水岭,墨累河源于大分水岭的东侧B.是大洋洲人口最多的国家,也是地广人稠的国家C.中部有大自流盆地,为发展养羊业提供了丰富的水源D.西部是低矮高原,占全国陆地面积的1/312、关于澳大利亚的说法,不正确的是()A.悉尼是全国最大的工业中心和港口城市B.是南半球经济发达的资本主义国家C.被称为“坐在矿车上的国家”D.主要出口的商品是稻米和羊毛13、下列动物中属于澳大利亚特有动物的是()A.鸵鸟B.河马C.袋鼠D.卷尾猴14、右图为“某国轮廓图”,判断下列说法正确的是()A.该国是美洲面积最大、人口最多的国家B.北部热带雨林保护得很好C.人口集中分布在首都所在的巴西高原D.装满咖啡的海轮从A城驶往美国的旧金山的捷径需经过巴拿马运河15、巴西首都所在地的气候类型是()A.热带雨林气候B.热带草原气候C.热带季风气候D.热带沙漠气候16、俄罗斯有世界上面积最大的林带是()A.热带雨林B.亚热带常绿林C.温带阔叶林D.亚寒带针叶林17、俄罗斯国土广大,但不能出口粮食,其限制性因素是A.热量条件B.水分条件C.地形条件D.人口条件18、尽管俄罗斯工业基础好,但发展比较缓慢的是()A.重工业B.民用工业C.化学工业D.航天业19、埃及的农业主要集中分布在()A.尼罗河谷地和三角洲B.地中海沿岸地区C.苏伊士运河两岸D.红海沿岸地区20、尼罗河下游最大的城市是()A.开罗B.塞得港C.亚历山大D.阿斯旺二、综合题:1、读下图,完成下列问题。
2020年长沙县职业中专学校寒假作业(2)1. 计算机病毒不可能具有( )。
[单选题]A、可触发性和传染性B、潜伏性和隐蔽性C、传染性和破坏性D、自行痊愈性和天生免疫性(正确答案)答案解析:解释:计算机病毒不具有自行痊愈性和天生免疫性。
2. 计算机病毒通常会依附于其它文件而存在,是指计算机病毒具有( )。
[单选题]A、触发性B、传染性C、寄生性(正确答案)D、破坏性答案解析:解释:计算机病毒通常会依附于其它文件而存在,是指计算机病毒具有寄生性。
3. 计算机病毒侵入系统后,一般不立即发作,而是等待“时机”一到才发作,这种特性叫作 ( )。
[单选题]A、传染性B、寄生性C、潜伏性(正确答案)D、隐蔽性答案解析:解释:计算机病毒侵入系统后,一般不立即发作,而是等待“时机”一到才发作,这种特性叫作潜伏性。
4. 一种病毒的出现,使得人们对计算机病毒只破坏计算机软件的认识发生了改变,这种计算机病毒是 ( )。
[单选题]A、冲击波B、木马病毒C、backdoorD、CIH(正确答案)答案解析:解释:在CIH病毒之前,计算机病毒只破坏计算机的软件系统,但是CIH病毒且能破坏计算机的硬件。
5. 电子邮件的发件人利用某些特殊的电子邮件软件,在短时间内不断重复地将电子邮件发送给同一个接收者,这种破坏方式叫做( )。
[单选题]A、邮件病毒B、邮件炸弹(正确答案)C、木马D、蠕虫答案解析:解释:电子邮件的发件人利用某些特殊的电子邮件软件,在短时间内不断重复地将电子邮件发送给同一个接收者,这种破坏方式叫做邮件炸弹。
6. 以下肯定不是计算机感染病毒的迹象的是( )。
[单选题]A、计算机运行程序异常,反应迟缓B、没有操作情况下,磁盘自动读写C、软驱弹不出软盘(正确答案)D、设备有异常现象,如显示怪字符,磁盘读不出来等答案解析:解释:软驱弹不出软盘属性硬件故障,不是计算机病毒所能破坏的。
7. 有关计算机病毒描述正确的( )。
七年级数学寒假作业(二)一、选择题1.方程23x -=-的解是 ( ) A .5x =- B .5x = C .1x =- D .1x =2.解方程1124x x+-=,去分母,去括号得( ) A .122x x -+= B .122x x --= C .422x x -+= D .422x x --= 3.下列等式变形正确的是 ( ) A .若42x =,则2x =B .若4223x x -=-,则4322x x +=-C .若4(1)32(1)x x +-=+,则4(1)2(1)3x x +++=D .若3112123x x+--=,则3(31)2(12)6x x +--=4.若1x =是方程20x a +=的解,则a= ( ) A .1 B .2 C .1- D .2- 5.已知关于x 的方程250x a -+=的解是2x =-,则a 的值为 ( ) A .2- B .1- C .1 D .26.一艘轮船在甲、乙两地之间航行,已知水流速度是5千米时,顺水航行需要3小时,逆水航行需要4小时,则甲乙两地间的距离是 ( ) A .120千米 B .110千米 C .130千米 D .175千米7.如图,学校实验室需要向某工厂定制一批三条腿的桌子,已知该工厂有24名工人,每人每天可以生产20块桌面或300条桌腿,1块桌面需要配3条桌腿,为使每天生产的桌面和桌腿刚好配套,设安排x 名工人生产桌面,则下面所列方程正确的是 ( ) A .203300(24)x x =⨯- B .300320(24)x x =⨯- C .320300(24)x x ⨯=- D .20300(24)x x =-8.古埃及人的“纸草书”中记载了一个数学问题:一个数,它的三分之二,它的一半,它的七分之一,它的全部,加起来总共是33.若设这个数是x ,则所列方程为 ( )A .213337x x x ++=B .21133327x x x ++=C .21133327x x x x +++=D .21133372x x x x ++-=9.规定一种新运算:22a b a b =-⊗,若2[1()]6x -=⊗⊗,则x 的值为 ( ) A .1- B .1 C .2 D .2-10.代数式25ax b +的值会随x 的取值不同而不同,如表是当x 取不同值时对应的代数式的值,则关于x 的方程254ax b +=-的解是 ( )x4- 3-2- 1- 025ax b +1284 04-A .12B .4C .2-D .0 二、填空题11.已知方程240x -=,则x = .12.关于x 的方程253x a +=的解与方程220x +=的解相同,则a 的值是 .13.某下水管道工程由甲、乙两个工程队单独铺设分别需要10天,15天完成.如果甲队先单独施工5天,然后由甲、乙两队共同施工完成整个工程,则还需多少天?若设还需天数为x 天,则可列方程为 . 14.姐姐比弟弟大3岁,若5年前姐姐的年龄是弟弟的2倍,则姐姐现在的年龄是 岁.15. 如果10.20.3x y+=,那么101023x y += . 16.已知1x =是关于x 的方程(26)20m x --=的解,则m = .17.假设“▲、●、■”分别表示三种不同的物体.如图,前两架天平保持平衡,如果要使第三架天平也保持平衡,那么“?”处应放 个■.18.一列方程如下排列:1142x x -+=的解是2x =; 2162x x -+=的解是3x =; 3182x x -+=的解是4x =; ⋯根据观察得到的规律,写出其中解是2020x =的方程: . 三、解答题19.解方程:(1)33(21)x x x +=--; (2)3210123x x --=-.20.小明解方程121224x x+--=+的过程如图,请指出他解答过程中所有错误步骤的序号,并写出正确的解答过程.21.已知方程30x +=与关于x 的方程63()12x x k x -+=-的解相同(1)求k 的值; (2)若|5|(1)0k m n ++-=求m n +的值.22.快车以200/km h的速度由甲地开往乙地再返回甲地,慢车以75/km h的速度同时从乙地出发开往甲地.已知当快车回到甲地时,慢车距离甲地还有225km,则(1)甲乙两地相距多少千米?(2)从出发开始,经过多长时间两车相遇?(3)几小时后两车相距100千米?23.某商场从厂家购进了A、B两种品牌足球共100个,已知购买A品牌足球比购买B品牌足球少花2800元,其中A品牌足球每个进价是50元,B品牌足球每个进价是80元.(1)求购进A、B两种品牌足球各多少个?(2)在销售过程中,A品牌足球每个售价是80元,很快全部售出;B品牌足球每个按进价加价25%销售,售出一部分后,出现滞销,商场决定打九折出售剩余的B品牌足球,两种品牌足球全部售出后共获利2200元,有多少个B品牌足球打九折出售?24.某水果销售店用1000元购进甲、乙两种水果共140千克,这两种水果的进价、售价如下表所示:进价(元/千克)售价(元/千克)甲种水果58乙种水果913(1)这两种水果各购进多少千克?(2)若该水果店把这两种水果全部售完,则可获利多少元.25.下表为某市居民每月用水收费标准.用水量x(立方米)水费到户价单价(元/立方米)低于或等于17的部分0.8a+高于17低于或等于31的部分 2.72a+(1)某户用水10立方米,共缴水费32元,求a的值;(2)在(1)的前提下,该用户5月份缴水费80元,请问该用户5月份用水多少立方米?26.综合与实践在数学综合与实践课上,老师以“出行方式的选择“为主题,请同学们发现和提出问题并分断和解决问题.问题情境随着互联网的普及和城市交通的多样化,人们出行的时间与方式有了更多的选择.某市有出租车.滴滴快车和神州专车三种网约车,收费标准见下图(该市规定网约车行驶的平均速度为40公里/时)问题一“奋进小组”提出的问题是:如果乘坐这三种网约车的里程数都是10公里.他们发现乘坐出租车最节省钱.费用为元;问题二“质疑小组”提出了两个问题,请从A,B两个问题中任选一问作答,A.从甲地到乙地,乘坐出租车比滴滴快车节省13.6元,求甲.乙两地间的里程数.B.神州专车和滴滴快车对第一次下单的乘客有如下优惠活动:神州专车收费打八折,另外加5.3元的空车费;滴滴快车超过8公里收费立减6.5元.如果两位顾客都是第一次下单.分别乘坐神州专车、滴滴快车且收费相同,求这两位顾客乘车的里程数.七年级数学寒假作业(二)参考答案一、选择题1.方程23x -=-的解是( ) A .5x =- B .5x = C .1x =- D .1x = 【分析】移项、合并同类项即可求解. 【解析】23x -=-, 32x =-+, 1x =-. 故选:C .2.解方程1124x x+-=,去分母,去括号得( )A .122x x -+=B .122x x --=C .422x x -+=D .422x x --= 【分析】方程两边乘以4去分母得到结果,即可作出判断.【解析】解方程1124x x+-=,去分母,去括号得42(1)x x -+=,即422x x --=.故选:D .3.下列等式变形正确的是( ) A .若42x =,则2x =B .若4223x x -=-,则4322x x +=-C .若4(1)32(1)x x +-=+,则4(1)2(1)3x x +++=D .若3112123x x +--=,则3(31)2(12)6x x +--=【分析】根据等式的性质即可解决.【解析】A 、若42x =,则12x =,原变形错误,故这个选项不符合题意;B 、若4223x x -=-,则4322x x +=+,原变形错误,故这个选项不符合题意;C 、若4(1)32(1)x x +-=+,则4(1)2(1)3x x +-+=,原变形错误,故这个选项不符合题意;D 、若3112123x x+--=,则3(31)2(12)6x x +--=,原变形正确,故这个选项符合题意; 故选:D .4.若1x =是方程20x a +=的解,则(a = ) A .1 B .2 C .1- D .2- 【分析】将1x =代入20x a +=即可求出a 的值. 【解析】将1x =代入20x a +=, 20a ∴+=, 2a ∴=-, 故选:D .5.已知关于x 的方程250x a -+=的解是2x =-,则a 的值为( ) A .2- B .1- C .1 D .2【分析】由2x =-是方程的解,故将2x =-代入原方程中,得到关于a 的方程,求出方程的解得到a 的值即可.【解析】由方程250x a -+=的解是2x =-, 故将2x =-代入方程得:2(2)50a ⨯--+=, 解得:1a =. 故选:C .6.一艘轮船在甲、乙两地之间航行,已知水流速度是5千米时,顺水航行需要3小时,逆水航行需要4小时,则甲乙两地间的距离是( ) A .120千米 B .110千米 C .130千米 D .175千米【分析】可根据船在静水中的速度来得到等量关系为:航程÷顺水时间-水流速度=航程÷逆水时间+水流速度,把相关数值代入即可求得航程. 【解析】设A 、B 两码头之间的航程是x 千米. 5534x x-=+, 解得120x =, 故选:A .7.如图,学校实验室需要向某工厂定制一批三条腿的桌子,已知该工厂有24名工人,每人每天可以生产20块桌面或300条桌腿,1块桌面需要配3条桌腿,为使每天生产的桌面和桌腿刚好配套,设安排x 名工人生产桌面,则下面所列方程正确的是( ) A .203300(24)x x =⨯- B .300320(24)x x =⨯- C .320300(24)x x ⨯=- D .20300(24)x x =-【分析】设安排x 名工人生产桌面,则安排(24)x -名工人生产桌腿,根据生产的桌腿数量是桌面数量的3倍,即可得出关于x 的一元一次方程,此题得解.【解析】设安排x 名工人生产桌面,则安排(24)x -名工人生产桌腿, 依题意,得:320300(24)x x ⨯=-. 故选:C .8.古埃及人的“纸草书”中记载了一个数学问题:一个数,它的三分之二,它的一半,它的七分之一,它的全部,加起来总共是33.若设这个数是x ,则所列方程为( )A .213337x x x ++=B .21133327x x x ++=C .21133327x x x x +++=D .21133372x x x x ++-=【分析】根据题意列方程21133327x x x x +++=.【解析】由题意可得21133327x x x x +++=.故选:C .9.规定一种新运算:22a b a b =-⊗,若2[1()]6x -=⊗⊗,则x 的值为( ) A .1- B .1 C .2 D .2-【分析】首先根据题意,可得:21()12()12x x x -=-⨯-=+⊗,所以2(12)6x +=⊗,所以222(12)6x -+=;然后根据解一元一次方程的方法,求出x 的值为多少即可. 【解析】22a b a b =-⊗,21()12()12x x x ∴-=-⨯-=+⊗, 2[1()]6x -=⊗⊗, 2(12)6x ∴+=⊗,222(12)6x ∴-+=,去括号,可得:4246x --=, 移项,可得:4642x -=-+, 合并同类项,可得:44x -=, 系数化为1,可得:1x =-. 故选:A .10.代数式25ax b +的值会随x 的取值不同而不同,如表是当x 取不同值时对应的代数式的值,则关于x 的方程254ax b +=-的解是( )x 4- 3- 2- 1-0 25ax b + 12 8 4 0 4-A .12B .4C .2-D .0 【分析】根据表格中的数据确定出a 与b 的值,代入方程计算即可求出解. 【解析】根据题意得:250a b -+=,54b =-,解得:2a =-,45b =-,代入方程得:444x --=-, 解得:0x =, 故选:D . 二、填空题11.已知方程240x -=,则x = . 【分析】直接移项、系数化为1即可. 【解析】240x -=, 24x =, 2x =,故答案为:2.12.关于x 的方程253x a +=的解与方程220x +=的解相同,则a 的值是 . 【分析】利用一元一次方程的解法解出方程220x +=,根据同解方程的定义解答. 【解析】解方程220x +=, 得1x =-,由题意得,253a -+=, 解得,1a =, 故答案为:1.13.某下水管道工程由甲、乙两个工程队单独铺设分别需要10天,15天完成.如果甲队先单独施工5天,然后由甲、乙两队共同施工完成整个工程,则还需多少天?若设还需天数为x 天,则可列方程为 .【分析】由甲、乙两队共同施工,设还需x 天完成,题中的等量关系是:甲工程队5天完成的工作量+甲、乙两队工程队x 天完成的工作量1=,依此列出方程即可.【解析】甲队完成所有工程需要10天,所以甲队先施工5天完成了所有工程的一半,所以111()10152x +=,所以111()121015x ++=.故答案是:111()121015x ++=.14.姐姐比弟弟大3岁,若5年前姐姐的年龄是弟弟的2倍,则姐姐现在的年龄是 岁. 【分析】设姐姐现在的年龄是x 岁,则弟弟现在的年龄是(3)x -岁,根据5年前姐姐的年龄是弟弟的2倍,即可得出关于x 的一元一次方程,解之即可得出结论.【解析】设姐姐现在的年龄是x 岁,则弟弟现在的年龄是(3)x -岁, 依题意得:52(35)x x -=--, 解得:11x =. 故答案为:11.15.如果10.20.3x y+=,那么101023x y += . 【分析】根据等式的性质解决此题.【解析】10.20.3x y +=, ∴1010()10.20.31010x y +⨯=⨯. ∴1010123x y +=.故答案为:1.16.已知1x =是关于x 的方程(26)20m x --=的解,则m = . 【分析】把1x =代入(26)20m x --=,求出m 的值. 【解析】把1x =代入(26)20m x --=, 得2620m --=, 262m =+, 解得4m =. 故答案为:4.17.假设“▲、●、■”分别表示三种不同的物体.如图,前两架天平保持平衡,如果要使第三架天平也保持平衡,那么“?”处应放 个■.【分析】根据等式的性质解决此题.【解析】设“▲、●、■”的质量分别是x 、y 、z . 由题意得:x y z =+,2x z y +=. 22y z y ∴+=. 2y z ∴=. 36y z ∴=.∴要使第三架天平也保持平衡,那么“?”处应放6个■. 故答案为:6.18.一列方程如下排列: 1142x x -+=的解是2x =; 2162x x -+=的解是3x =; 3182x x -+=的解是4x =; ⋯根据观察得到的规律,写出其中解是2020x =的方程: . 【分析】先根据已知方程得出规律,再根据得出的规律得出即可. 【解析】一列方程如下排列: 1142x x -+=的解是2x =; 2162x x -+=的解是3x =; 3182x x -+=的解是4x =; ∴一列方程如下排列: 11222x x -+=⨯的解是2x =;21232x x -+=⨯的解是3x =; 31242x x -+=⨯的解是4x =; ⋯∴20191220202x x -+=⨯, ∴方程为2019140402x x -+=,故答案为:2019140402x x -+=.三、解答题 19.解方程:(1)33(21)x x x +=--;(2)3210123x x --=-. 【分析】(1)(2)按解一元一次方程的一般步骤,求解即可. 【解析】(1)去括号,得3321x x x +=-+, 移项,得3213x x x -+=-, 合并同类项,得42x =-,系数化为1,得12x =-;(2)去分母,的3(3)62(210)x x -=--, 去括号,得396420x x -=-+, 移项,得346209x x +=++ 合并,得735x =, 系数化为1,得5x =.20.小明解方程121224x x+--=+的过程如图,请指出他解答过程中所有错误步骤的序号,并写出正确的解答过程.【分析】根据解一元一次方程的方法和步骤进行解答即可得解. 【解析】错误步骤的序号为:①、②、③. 正确解答过程如下: 121224x x+--=+2(1)14242x x +-⨯=⨯+- 22482x x +-=+- 28224x x +=+-+ 312x = 4x =.21.已知方程30x +=与关于x 的方程63()12x x k x -+=-的解相同(1)求k 的值;(2)若|5|(1)0k m n ++-=求m n +的值. 【分析】(1)解方程30x +=,得x 的值,把x 的值代入方程63()12x x k x -+=-,求出k 的值; (2)把k 的值代入,根据非负数的和为0,先求出m 、n 的值,再求m n +. 【解析】(1)由30x +=,得3x =-, 把3x =-代入63()12x x k x -+=-, 得6(3)3(3)312k ⨯---+=--, 整理,得36k =, 解得2k =. (2)2k =, 2|5|(1)0m n ∴++-=|5|0m +,2(1)0n - 50m ∴+=,10n -=. 5m ∴=-,1n =. 514m n +=-+=-.22.快车以200/km h 的速度由甲地开往乙地再返回甲地,慢车以75/km h 的速度同时从乙地出发开往甲地.已知当快车回到甲地时,慢车距离甲地还有225km ,则 (1)甲乙两地相距多少千米?(2)从出发开始,经过多长时间两车相遇? (3)几小时后两车相距100千米? 【分析】(1)设甲、乙两地相距x 千米,根据时间=路程÷速度结合两车相同时间内行驶的路程间的关系,即可得出关于x 的一元一次方程,解之即可得出结论; (2)设经过y 小时两车相遇,分两车第一次相遇及两车第二次相遇两种情况考虑,根据路程=速度⨯时间,即可得出关于y 的一元一次方程,解之即可得出结论;(3)设t 小时后两车相距100千米,分两车第一次相距100千米、第二次相距100千米、第三次相距100千米、第四次相距100千米及第五次相距100千米五种情况考虑,根据两车行驶的路程之间的关系,即可得出关于t 的一元一次方程,解之即可得出结论. 【解析】(1)设甲、乙两地相距x 千米,依题意,得:222520075x x -=, 解得:900x =.答:甲、乙两地相距900千米. (2)设经过y 小时两车相遇. 第一次相遇,(20075)900y +=,解得:3611y =;第二次相遇,20075900y y -=,解得:365y =.答:从出发开始,经过3611或365小时两车相遇.(3)设t 小时后两车相距100千米.第一次相距100千米时,20075900100t t +=-,解得:3211t =;第二次相距100千米时,20075900100t t +=+,解得:4011t =; 第三次相距100千米时,20075900100t t -=-,解得:325t =;第四次相距100千米时,20075900100t t -=+, 解得:8t =; 第五次相距100千米时,75900100t =-,解得:323t =. 答:经过3211,4011,325,8或323小时后两车相距100千米. 23.某商场从厂家购进了A 、B 两种品牌足球共100个,已知购买A 品牌足球比购买B 品牌足球少花2800元,其中A 品牌足球每个进价是50元,B 品牌足球每个进价是80元. (1)求购进A 、B 两种品牌足球各多少个? (2)在销售过程中,A 品牌足球每个售价是80元,很快全部售出;B 品牌足球每个按进价加价25%销售,售出一部分后,出现滞销,商场决定打九折出售剩余的B 品牌足球,两种品牌足球全部售出后共获利2200元,有多少个B 品牌足球打九折出售? 【分析】(1)设购进A 品牌足球x 个,则购进B 品牌足球(100)x -个,根据“购买A 品牌足球比购买B 品牌足球少花2800元”可列出方程求解即可.(2)设有y 个B 品牌足球打九折出售,根据题意列出方程解决问题. 【解析】(1)设购进A 品牌足球x 个,则购进B 品牌足球(100)x -个, 根据题意,得80(100)502800x x ⨯--=,解得40x =.10060x -=. 答:购进A 品牌足球40个,则购进B 品牌足球60个; (2)设有y 个B 品牌足球打九折出售,根据题意,得(8050)408025%(60)[80(125%)90%80]2200y y -⨯+⨯⨯-+⨯+⨯-=. 解得20y =.答:有20个B 品牌足球打九折出售.24.某水果销售店用1000元购进甲、乙两种水果共140千克,这两种水果的进价、售价如下表所示:进价(元/千克) 售价(元/千克)甲种水果5 8 乙种水果9 13 (1)这两种水果各购进多少千克?(2)若该水果店把这两种水果全部售完,则可获利多少元. 【分析】(1)设购进甲种水果x 千克,则购进乙种水果(140)x -千克,根据表格中的数据和意义列出方程并解答;(2)总利润=甲的利润+乙的利润. 【解析】(1)设购进甲种水果x 千克,则购进乙种水果(140)x -千克,根据题意得:59(140)1000x x +-=,解得:65x =,14075x ∴-=.答:购进甲种水果65千克,乙种水果75千克; (2)(85)65(139)75495-⨯+-⨯=(元) 答:利润为495元.25.下表为某市居民每月用水收费标准.用水量x (立方米) 水费到户价单价(元/立方米)低于或等于17的部分0.8a + 高于17低于或等于31的部分2.72a + (1)某户用水10立方米,共缴水费32元,求a 的值;(2)在(1)的前提下,该用户5月份缴水费80元,请问该用户5月份用水多少立方米? 【分析】(1)根据题意列出方程10(0.8)32a +=,进而求出即可; (2)首先判断得出17x >,进而表示出总水费,进而得出即可. 【解析】(1)10(0.8)32a +=,解得 2.4a =; (2)17(2.40.8)54.480⨯+=<,设该用户5月份用水x 米3,依题意有17(2.40.8)(17)(2.4 2.72)80x ⨯++-⨯+=,解得22x =. 答:该用户5月份用水22立方米. 26.综合与实践在数学综合与实践课上,老师以“出行方式的选择“为主题,请同学们发现和提出问题并分断和解决问题. 问题情境随着互联网的普及和城市交通的多样化,人们出行的时间与方式有了更多的选择.某市有出租车.滴滴快车和神州专车三种网约车,收费标准见下图(该市规定网约车行驶的平均速度为40公里/时)问题一“奋进小组”提出的问题是:如果乘坐这三种网约车的里程数都是10公里.他们发现乘坐出租车最节省钱.费用为 元; 问题二“质疑小组”提出了两个问题,请从A ,B 两个问题中任选一问作答,A .从甲地到乙地,乘坐出租车比滴滴快车节省13.6元,求甲.乙两地间的里程数.B .神州专车和滴滴快车对第一次下单的乘客有如下优惠活动:神州专车收费打八折,另外加5.3元的空车费;滴滴快车超过8公里收费立减6.5元.如果两位顾客都是第一次下单.分别乘坐神州专车、滴滴快车且收费相同,求这两位顾客乘车的里程数. 【分析】问题一:根据出租车的收费标准解答;问题二:A 、设甲、乙两地间里程数为x 公里,分3x 和3x >两种情况列出方程并解答; B 、设两位顾客的里程数为x 公里,分8x 和8x >两种情况,分别列出方程并解答. 【解析】问题一:14 2.4(103)30.8+⨯-=(元) 问题二:A 解:设甲、乙两地间里程数为x 公里①若603,12 2.50.41413.640x x x ++⨯=+ 解得:15631x =(舍) ②若3x >,6012 2.50.414 2.4(3)13.640xx x ++⨯=+-+解得:12x =答:甲、乙两地间里程数为12公里B . B 解:设两位顾客的里程数为x 公里①若8x ,60600.8(10 2.80.5) 5.312 2.50.44040x xx x ++⨯+=++⨯解得:5x = ②60608,0.8(10 2.80.5) 5.312 2.50.4 6.54040x xx x x >++⨯+=++⨯-解得:30x =答:两位顾客的里程数为5或30公里.。
(2)Welcome Unit ——2021-2022学年高一英语人教版(2019)寒假作业一、阅读理解1.Chinese students always complain that they're under great pressure and don't get enough sleep. But they may be surprised to learn that they're much luckier than their peers (同龄人) in South Korea and Japan, according to a recently published report, conducted by Shanghai Academy of Social Sciences on the physical and mental health of senior high school students in the three Asian countries.According to the study, among nearly 6,000 high school students in the three countries, Chinese students are the tallest but poorest in physical fitness. Chinese students are on average 168.17cm, compared with 167.61cm for South Korean students and 164.70cm for Japanese students. Chinese students have asked for sick leave more than students in other countries. About 72 percent of South Korean students have never asked for sick and injury leave during high school, compared to 53 percent for Japanese students and 45 percent for Chinese students. Moreover, Chinese students drink alcohol and smoke earlier than South Korean and Japanese students. Around 70 percent of Chinese students have drunk alcohol, compared to 50 percent for South Korean and Japanese students.According to the survey, Japanese and South Korean students suffer more pressure than their Chinese peers. Statistics show 16 percent of students in China said they experienced mental pressure often over the past year, while the numbers in Japan and South Korea are 33 percent and 47 percent respectively (分别). Their worries come from "study", "future after graduation", "friendships" and "relationships with their parents". To go with stress, 57.9 percent of South Korean students sleep the least, less than six hours a day, compared with 46.6 percent of Japanese students and 30 percent of Chinese students.More Chinese students were satisfied with their physical appearance, double that of students in the survey from Japan and South Korea. The report said that over ha lf of students in South Korea had tried to lose weight in the past year, while in China the figure was only 22 percent. In measures of self-worth, such as "I think I am valuable", "I think I am successful", "I can complete many things" and "I won't give up to failure", Chinese students showed greater self-confidencethan students in Japan and South Korea.1.What's the main idea of the second paragraph?A.Chinese teenagers are the tallest, but most unhealthy.B.Chinese students drink the most alcohol and smoke earliest.C.Japanese students ask for the least sick leave.D.Chinese students ask for sick leave most often.2.It can be inferred from the passage that_________.A.Chinese stud ents are luckiest, yet most unsuccessfulB.Chinese students are confident in themselves and luckierC.Japanese students are most stressedD.South Korean students sleep the least3.The worries that c ause students to be stressed come from the following factors EXCEPT __________.A.study and careerB.physical appearanceC.friendshipsD.family relationships2.You may not know a lot of people when you start senior high school. Maybe your friends from junior high school are going to a different senior high school. Even if you know other freshmen(—年级学生), you still feel anxious that you don't know any upperclassmen. How are you going to make friends among this sea of unknown faces?Most senior high schools hold the freshman orientation(迎新会) before school actually starts. It is helpful because you not only learn your way around the building but also get to meet some of your teachers and fellow freshmen. That way, when you show up on your first day of school, you may already recognize a few familiar faces.When you talk to people at orientation, you'll probably find that a lot of them are feeling just like you are. They're all new to the school and don't know what to expect. Talking about a common concern with your classmates can help you develop friendships.The work in senior high school is something freshmen are probably worried about. It builds on what you learned in junior high school, giving you a more advanced(高深的) knowledge of many subjects. So you may find you have more work to do or that it's a bit more challenging. If you ever find your work too difficult, teachers can give you extra help.Senior high school also has more after-school activities than junior high school, such as clubs,music and theater groups a nd sports teams. This is a good time to explore your interests and try new things.Junior high school taught you the basics of time management and social skills while providing you with a little extra support and guidance. Senior high school gives you the chance to learn how to be more independent and responsible.1. How do the freshmen usually feel on their first day of senior high school?A. Proud.B. Nervous.C. Excited.D. Curious.2. What are freshmen probably worried about?A. The learning task.B. The ability to make friends.C. The freshman orientation.D. The relationship with teachers.3. What do after-school activities mainly help students to do?A. Develop friendships.B. Develop their interests.C. Build up their strength.D. Improve their learning ability.4. What is the last paragraph mainly about?A. What you'll learn in senior high school.B. What you learned in junior high school.C. The difference between junior high school and senior high school.D. The importance of being more independent and responsible.3.It's school time again! You're probably feeling excited and maybe a little sad that summer is over. Some kids feel nervous or a little frightened on the first day of school because of all the new things: new teachers, new friends, and even a new school. Luckily, these "new" worries only stick around for a little while. Let's find out more about going to a new school.Most teachers kick off the new school year by introducing themselves and talking about all the stuff you'll be doing that year. Some teachers give students a chance to tell something about themselves to the rest of the class, too. When teachers do the talking on the first day, they often read classroom rules and school rules to you so you'll know what's allowed and what's not. Please pay close attention.You might already know a lot of people in your class on the first day, but it's a great day to make a new friend, so try to say hello to kids you know and new ones that you don't know. Make the first move and you'll be glad you did, and so will your new friends!Seeing friends you haven't seen for some time can make the first day a good one. You can make the day feel special by wearing clothes that you really like. Maybe you got a great T-shirt on one of your vacations, or a pair of sneakers. It also can make you feel good to be prepared and have all the things you need, such as pencils, folders, and whatever else you'll need. But make sure that you pack them the night before in case you don't have time in the morning.1.What does the underlined phrase "kick off" in the second paragraph probably mean?A.Start.B.Study.C.Find.D.Teach.2.What does the last paragraph mainly tell us about?A.What to know about a new school.B.How to prepare for a new school.C.What to do on your first day of school.D.How to spend your first day of school.3.According to the passage, you usually do the following things on the first day of school except _________.A.introduce yourselfB.learn about the school rulesC.make new friendsD.go over your new lessons4.If you happen to see an old friend on the first day of school, what will you feel from the passage we know?A.Nervous.B.Sad.C.Happy.D.Worried.4.To most of us, school means classes, teachers, schedules, grades and tests. But for the children at Sudbury Valley School, Massachusetts, school is very different.Firstly, there are no lessons. All the children, aged between 4 and 19, do whatever they want to. There are no teachers —only "staff members". The idea behind this is that you do not need to make children learn, because children want to learn anyway. "You do not need to say to a three-year-old, 'Go to explore your environment.' You can't stop them!" says Daniel Greenberg, a founder of the school. "But if you make children do what you want all day, they will lose all taste for learning."At Sudbury Valley School, you will permit children to talk, read, paint, cook, work on computers, study French, play the piano, climb trees, or just run around. Two boys spent three years just fishing!The other way that Sudbury Valley School is different is that the children can decide the rules. Every week, there is a school meeting where both children and staff have one vote each—even thefour-year-olds. They decide the school rules, how to spend the school budget, and even which staff they want and do not want any more.When the school first opened i n 1968, people said it would never work. But today, the school has 200 students, and 80% of its students go on to college. Even the two boys who went fishing all the time have successful careers today. One of them is a musician and the other is a computer scientist.1.What is the main topi c of the article?A.An unusual school.B.Children's hobbies.C.A school without rules.cation in the US.2.What does the school believe?A.Teachers cannot teach children well.B.Children learn best when they do what they want to do.C.Learning is for adults—children should only play.D.Children should only learn about one thing at a time.3.What does Daniel Greenberg say about three-year-olds?A.They love learning.B.They are very naughty.C.They want to be outside all the time.D.They are too young to learn anything.4.Who has the most power in the school meetings?A.The older children have more power than the younger children.B.A child has more power than an adult.C.The younger children have more power than the older children.D.Everybody has equal power.二、七选五5.Just Go to UniversityFor any student, going to university is one of the most important stages of their lives. It is a time when a young person will move out of their home to be independent. ①_______ Are youready for such an exploration? The following information may be helpful.· Why should you go to university?Learning is a lifelong process. University is the right place where you can learn both academically and socially. At university, you will be taught by leading lecturers in their fields of study. ②_______Meanwhile, you will meet people with different backgrounds at university. This offers you the chance to learn to look after yourself, to develop your own values and to accept those who may be different.·③_______Once you have decided that you do want to go to university, how can you choose a dream one?④_______ Your interest, the major and the course to be taken are all the concerns. Many universities have open days or send tutors out to talk to the students on what they offer. This also gives you a chance to ask questions. Finding out what their predicted exam grades will also help students determine which university may be the most suitable.· What can you learn at university?In many universities, each student begins with a general knowledge base in the first year. Students can have more time to explore their interests before committing to a specific subject. Apart from the academic achievements, various societies, where freshmen can meet like-minded friends, offer you chances to develop the extra-curricular interests in many fields. ⑤_______A. How can you choose a university?B. You have to first think of various aspects.C. What should you prepare before going to university?D. You can thus equip yourself with enough academic knowledge.E. Besides, it is a great honor to be admitted into such a university.F. In one sense, the university can be a completely new world to explore.G. University provides the all-important stepping stone for your future life.三、完形填空6.My nephew's 10-year-old son came for a visit one hot July weekend. I persuaded him to1inside and joined him in a game. After playing for an hour, I suggested that we relax for a while. I 2 my favorite chair to let my neck relax. He left the room and I was catching a fewenjoyable 3 of peace."Look, Alice," he said excitedly as he 4 over to the chair where I was sitting. "I found a kite. Could we go outside and 5 it?" Looking out of a nearby window, I noticed it was still outside. "I'm sorry. Tripper," I said, sad to see his 6 expression. "The wind is not blowing today. The kite won't fly."The7 10-year-old boy replied, "I think it's windy enough. I can get it to fly," he answered8 he hurried out to the back door.He ran back and forth, as9 as his ten-year-old legs would carry him, looking back 10 at the kite behind. After about ten minutes of unsuccessful trying, he came back in.I asked, "How did it 11?" "Fine," he said, not wanting to admit (承认) the failure. "I got it to fly some." However, I heard him say secretly, "I guess I'll have to wait for the 12 ."At that moment I heard another voice speak to my 13 ," Alice, sometimes you are jus t like that. You want to do it your way 14 waiting for the wind."And the voice was right. We usually want to use our own efforts to 15 what we want to do. We must learn how to make use of "the wind" in the first place!1.A.live B.lie C.study D.stay2.A.fell into B.jumped off C.cleaned up D.went through3.A.times B.hours C.moments D.periods4.A.sent B.climbed C.left D.ran5.A.decorate B.fly C.hang D.drop6.A.bright B.satisfied C.dull D.unhappy7.A.determined B.talented C.clever D.generous8.A.as B.unless C.after D.until9.A.hard B.hardly C.actively D.gradually10.A.angrily B.hopefully C.doubtfully D.nervously11.A.make e C.go D.settle12.A.news B.order C.wind D.sunshine13.A.dream B.memory C.heart D.world14.A.because of B.instead of C.except for D.as for15.A.imagine plete C.fancy D.decide四、语法填空7.阅读下面短文,在空白处填入1个适当的单词或括号内单词的正确形式。
八年级英语寒假补充作业(二) 2018 02.05姓名学号___________一、单项选择(20分)( )1. --- The cake is so delicious? Would you like _____? --- No, thanks.A. some moreB. a few moreC. another twoD. any more( )2. The strange animal has no eyes _____ ears.A. andB. orC. and noD. B and C( )3. --- I can see you are feeling sleepy. --- Yes, I feel _____about the _____talk.A. bored,boringB.bored boredC. boring boringD. boring bored( )4. I know _____ of those people in the room, so I left.A. fewB. a fewC. littleD. a little( )5. The teacher told the students _______ at people in trouble.A.not laughB. to laughC. don’t laughD.not to laugh( )6.I will make a phone call to you when I ____________A.get toB.reachC.arrive atD.arrive( ) 7. The story of Friendship is better than _______ of Spacemen on Earth, but the actors in Spacemen onEarth are better than ________ in Friendship.A. one; onesB. that; thoseC. that; thatD. those; that( ) 8. ----Don’t be late for school next time. ----_________________.A. Yes, I willB. Yes, I won’tC. No, I willD. No, I won’t ( ) 9. It is _______ cheaper and _______ enjoyable to travel by train than by plane.A.much; far moreB. very; very muchC. more; much moreD. much more; much( ) 10. ---- The shoes don’t fit me. Would you please show me __________?---- Sure. Here you are.A. the other oneB. the othersC. another pairD. another one( )11. The trip _______ us about four hours by plane.A. spentB. tookC. spendsD. take( )12. Simon’s jeans are the same ____ Daniel’s but different ____ John’s.A. as ; asB. as ; likeC. as ; fromD. like ; as( )13. Shanghai is bigger than_____ in Jiangsu.A. any cityB. any other cityC. other citiesD.the other city( )14. Books are made _____ paper and paper is made ________ wood.A. in , ofB. of , fromC. by , ofD. from , of( ) 15 ---Just stop_______a rest, Sue. You have kept_______ for two hours.--- But the book is really interesting.A.having; readingB. to have; to readC. having; to readD. to have; reading( )16. When did his cousin _______ the World Park?A .getB .arriveC .arrive inD .reach( )17. There are many places of _______ in the park. I am ________ in these places.A.interests, interestingB. interest, interestedC. interest, interestingD. interests, interested( )18.---I am going to Sanya for my holiday tomorrow. ---_____________.A. Have a good timeB. You’re rightC. It’s goodD. Goodbye( )19.-Boys and girls, help _______ to some fruit.A. YourselfB. yourselvesC. themselvesD. himself( )20.English names are different Chinese names.A. toB. fromC. inD. with二、完形填空(10分)David is a middle school student. He had lived in a small 1 for fifteen years. It was a small place with only five families living there. His father, Mr. Hill, was a rich farmer and later on he 2 a shop in our town. He bought a house here last month. His 3 moved to the new house and his son began to study in our class. But he had 4 friends here. At first he often played by 5 .His neighbor Cathy is a kind girl. She has many friends. She finds the boy never talks with anybody and decides to help him. David 6 to stay with her and talks to her a lot. Now they’re good friends.One afternoon, C athy told David, “It’ll be my sixteenth birthday tomorrow. I’ll have a birthday party. Would you like to come?”“7 . I’m glad to,” the boy said happily.David got home and thought of a 8 he could give to Cathy. He was sorry that he 9 to ask the gir l what she liked. He couldn’t telephone her because he didn’t know her 10 . At that moment Mrs. Hill came and asked, “What’s the matter, dear?”“What would you like if it was your sixteenth birthday, Mom?”“Nothing,” the woman said, “I just wish I were sixteen.”( ) 1. A. town B. city C. village D. country( ) 2. A. open B. opens C. opened D. opening( ) 3. A. home B. shop C. building D. family( ) 4. A. a few B. few C. a little D. little( ) 5. A. himself B. him C. his D. he( ) 6. A. enjoy B. enjoys C. like D. likes( ) 7. A. Well B. No C. Sorry D. Certainly( ) 8. A. book B. dress C. present D. pen( ) 9. A. forgot B. forget C. remember D. remembered ( ) 10. A. home B. number C. place D. Address三、阅读理解(30分)AWe are all busy talking about and using the Internet , but how many of us know the history of the Internet?Many people are surprised when they find that the Internet was set up in the 1960s. At that time, computers were large and expensive. Computer networks didn't work well. If one computer in the network broke down, then the whole network stopped. So a new network system had to be set up. It should be good enough to be used by many different computers. If part of the network was not working, information could be sent through another part. In this way computer network system would keep on working all the time.At first the Internet was only used by the government (政府), but in the early 1970s, universities , hospitals and banks were allowed (允许) to use it too. However, computers were still very expensive and the Internet was difficult to use. By the start of the 1990s, computers became cheaper and easier to use. Scientists had also developed software (软件) that made "surfing" (浏览) the Internet more convenient (方便).Today it is easy to get on-line and it is said that millions of people use the Internet every day. Sending e-mail is more and more popular among students.The Internet has now become one of the most important parts of people's life.( )1. The Internet has a history of more than ___ years.A. sixtyB. tenC. thirtyD. twenty( )2. A new network system was set up to ____.A. make computers cheaperB. make itself keep on working all the timeC. break down the whole networkD. make computers large and expensive( )3. At first the Internet was only used by ______.A. the governmentB. universitiesC. hospitals and banksD. schools( )4. ______ made "surfing" the Internet more convenient.A. ComputersB. ScientistsC. SoftwareD. Information( )5. Which of the following is true?A. In the 1960s, computer networks worked well.B. In the early 1970s, the Internet was easy to use.C. Sending e-mail is now more popular among students than before.D. Today it's still not easy to get on-line.(B)A friend of mine named Paul received an expensive car from his brother as a Christmas present.On Christmas Eve when Paul came out of his office,a street urchin(顽童) was walking around the shining car.“Is this your car,Paul?”he asked. Paul answered,“Yes,my brother gave it to me for Christmas.”The boy was surprised.“You mean your brother gave it to you and it didn’t cost you anything?Boy,I wish…”He hesitated(犹豫).Of course, Paul knew what he was going to wish for.He was going to wish he had a brother like that. But what the boy said surprised Paul greatly.“I wish,” the boy went on,“that I could be a brother like that.”Paul looked at the boy in surprise, then he said again, “Would you like to take a ride in my car?”“Oh yes,I’d love that.”After a short ride,the boy turned and with his eyes shining,said,“Paul,would you mind (介意)driving in front of my house?”Paul smiled a little.He thought he knew what the boy wanted.He wanted to show his neighbours that he could ride home in a big car. But Paul was wrong again. “Will you stop where those two steps are? the boy asked.He ran up to the steps. Then in a short while Paul heard him coming back, but he was not coming fast. He was carrying his little crippled(残疾的) brother. He sat him down on the step and pointed to the car.“There she is, Buddy, just li ke I told you upstairs. His brother gave it to him for Christmas and it didn’t cost him a cent(美分). And some day I’m going to give you one just like it…then you can see for yourself all the nice things in the Christmas windows that I’ve been trying to tell you about.”Paul got out and lifted the boy to the front seat of his car. The shining-eyed older brother climbed in beside him and the three of them began an unforgettable(难忘的) holiday ride. ( )6.The street urchin was very surprised when ________.A. Paul received an expensive carB. Paul told him about the carC. he saw the shining carD. he was walking around the car( )7.From the story we can see the urchin ________.A.wished to give his brother a carB. wanted Paul’s brother to give him a carC. wished he could have a brother like Paul’sD. wished Paul could be a brother like that( )8.The urchin asked Paul to stop his car in front of his house ________.A .to show his neighbours the big car B. to show he had a rich friendC .to let his brother ride in the car D. to tell his brother about his wish( )9.We can infer(推断)from the story that ________.A.Paul couldn’t understand the urchinB. the urchin had a deep love for his brotherC. the urchin wished to have a rich brotherD .the urchin’s wish came true in the end( )10.The best name of the name story is _________.A. A Christmas PresentB. A Street UrchinC. A Brother Like ThatD. An Unforgettable Holiday RideC“Cool” is a word with many meanings.Its old meaning is used to express (表达)a temperature that is a little bit cold.As the world has changed,the word has had many different meanings.“Cool” can be used to express feelings of interest in almost anything.When you see a famous car in the street,maybe you will say,“It’s cool.”You may think,“He’s so cool,”when you see your favourite footballer.We all maximize(扩大) the meaning of “cool”.You can use it instead of many words such as “new” or“surprising”.Here’s an interesting story we can use to show the way the word is used.A teacher asked her students to write about the waterfall(瀑布)they had visited.On one student’s paper was just the one sentence(句子),“It’s so cool.Maybe he thought it was the best way to show what he saw and felt.But the story also shows a scarcity(缺乏)of words.Without “cool”,some people have no words to show the same meaning.So it is quite important to keep some credibility(可信性).Can you think of many other words that make your life as colourful as the word “cool”? I can.And I think they are also very cool.( )11.We know that the word “cool has had ________.A.only one meaningB. no meaningsC. many different meanings D .the same meaning( )12.In the passage,the word “express”means“________”.A.see B.show C.know D.feel( )13.If you are _______ something,you may say,“It’s cool.”A.interested in B.angry about C.afraid of D.unhappy with ( )14.The writer takes an example to show he is ________ the way the word is used.A.pleased with B.strange to C.worried about D.careful with ( )15.In the passage,the writer suggests(暗示)that the word “cool”________.A. can be used instead of many words B .usually means something interestingC. can make your life colourful D.may not be as cool as it seems四、任务型阅读(10分)每空一词。