浙江大学硕士报考录取人数统计表模板
- 格式:doc
- 大小:53.00 KB
- 文档页数:21
2023年硕士研究生报考录取统计表【原创实用版】目录1.2023 年硕士研究生报考录取统计表概述2.2023 年硕士研究生报考录取情况3.2023 年硕士研究生报考录取人数4.23 所院校 2023 年硕士研究生报考录取人数详细统计5.2023 年硕士研究生拟录取名单公示正文2023 年硕士研究生报考录取统计表概述2023 年硕士研究生报考录取统计表提供了 2023 年全国各大院校硕士研究生报考录取的详细数据,其中包括报名人数、录取人数以及报录比等信息。
通过对这些数据的分析,可以更好地了解我国硕士研究生招生录取情况,为未来考生报考提供参考。
2023 年硕士研究生报考录取情况2023 年全国硕士研究生报名人数再创新高,达到 286 万人,较 2022 年增长了 11.6%。
在报名人数持续增长的同时,各大院校也陆续扩大了招生规模。
2023 年,全国共计有 445 所院校招生硕士研究生,招生名额为85.5 万个,较 2022 年增加了 5.2 万个。
在录取方面,2023 年全国硕士研究生录取率为 29.5%,较 2022 年有所提高。
2023 年硕士研究生报考录取人数根据 2023 年硕士研究生报考录取统计表,2023 年全国硕士研究生报名人数为 286 万人,录取人数为 85.5 万人,报录比为 29.5%。
其中,学术型硕士研究生报名人数为 156 万人,录取人数为 44.5 万人,报录比为 28.7%;专业硕士研究生报名人数为 130 万人,录取人数为 41 万人,报录比为 31.5%。
23 所院校 2023 年硕士研究生报考录取人数详细统计以下是 23 所院校 2023 年硕士研究生报考录取人数的详细统计数据:1.首都经济贸易大学:报名人数为 1.8 万人,录取人数为 1800 人,报录比为 10.5%。
2.北京林业大学:报名人数为 1.5 万人,录取人数为 1500 人,报录比为 10.7%。
浙江大学2013年硕士报考录取人数统计表下列统计中不含免试、单独考试、强军计划以及少民骨干计划考生;录取人数中包括了由本校其他相近专业调剂到该专业录取的考生。
2014年招生专业和招生人数会有较
下列统计中不含免试、单独考试、强军计划以及少民骨干计划考生;录取人数中包括了由本校其他相近专业调剂到该专业录取的考生。
2014年招生专业和招生人数会有较
下列统计中不含免试、单独考试、强军计划以及少民骨干计划考生;录取人数中包括了由本校其他相近专业调剂到该专业录取的考生。
2014年招生专业和招生人数会有较
下列统计中不含免试、单独考试、强军计划以及少民骨干计划考生;录取人数中包括了由本校其他相近专业调剂到该专业录取的考生。
2014年招生专业和招生人数会有较
下列统计中不含免试、单独考试、强军计划以及少民骨干计划考生;录取人数中包括了由本校其他相近专业调剂到该专业录取的考生。
2014年招生专业和招生人数会有较
下列统计中不含免试、单独考试、强军计划以及少民骨干计划考生;录取人数中包括了由本校其他相近专业调剂到该专业录取的考生。
2014年招生专业和招生人数会有较
下列统计中不含免试、单独考试、强军计划以及少民骨干计划考生;录取人数中包括了由本校其他相近专业调剂到该专业录取的考生。
2014年招生专业和招生人数会有较
下列统计中不含免试、单独考试、强军计划以及少民骨干计划考生;录取人数中包括了由本校其他相近专业调剂到该专业录取的考生。
2014年招生专业和招生人数会有较
下列统计中不含免试、单独考试、强军计划以及少民骨干计划考生;录取人数中包括了由本校其他相近专业调剂到该专业录取的考生。
2014年招生专业和招生人数会有较。
报考人数录取人数比例报考人数10101马克思主义哲学12325.00%1210102中国哲学18422.22%1510103外国哲学32618.75%1710104逻辑学5240.00%410105伦理学6233.33%410106美学19526.32%1010107宗教学11100.00%110108科学技术哲学9555.56%610120★休闲学00#DIV/0!1120101政治经济学521223.08%3520102经济思想史01#DIV/0!620103经济史2150.00%020104西方经济学641117.19%6520105世界经济9222.22%320106人口、资源与环境经济学10220.00%1120201国民经济学10110.00%1320202区域经济学17423.53%2920203财政学33412.12%4220204金融学3854311.17%50820205产业经济学751013.33%6620206国际贸易学1903317.37%16020207劳动经济学13646.15%1420208统计学11100.00%920209数量经济学5240.00%830101法学理论67811.94%3130102法律史9111.11%430103宪法学与行政法学711014.08%8030104刑法学471 2.13%3230105民商法学1499 6.04%10430106诉讼法学2627.69%1930107经济法学1511610.60%9630108环境与资源保护法学1600.00%630109国际法学733 4.11%1330180法律硕士5145210.12%40030201政治学理论46817.39%3130202中外政治制度19631.58%21近年硕士各专业报考录取人数注:以下各专业统计数据中不含单考、强军计划、少民骨干人数,但已包含免试生人数。
09年各专业招生计划可能有所调整,此统计仅供参考。
浙江大学2011年硕士报考录取人数统计表(按专业代码排序)下列统计中不含免试、单独考试、强军计划以及少民骨干计划考生;录取人数中包括了由本校其他相近专业调剂到该专业录取的考生。
2012年招生专业和招生人数会有较大变动,届时请查询2012年硕士招生目录。
学院代码学院名称专业代码专业名称报考人数录取人数最高分最低分平均分040 人文学院010101 马克思主义哲学 5 2 384 340 362.0040 人文学院010102 中国哲学22 4 423 393 413.0040 人文学院010103 外国哲学25 2 412 384 398.0040 人文学院010104 逻辑学7 2 380 367 373.5040 人文学院010105 伦理学6 1 373 373 373.0230 传媒与国际文化学院010106 美学17 5 377 357 368.4040 人文学院010107 宗教学1 1 382 382 382.0040 人文学院010108 科学技术哲学13 4 389 357 378.7040 人文学院010120 休闲学16 2 380 368 374.0010 经济学院020101 政治经济学44 5 411 389 397.2010 经济学院020102 经济思想史4 1 395 395 395.0010 经济学院020103 经济史1 0010 经济学院020104 西方经济学39 6 414 382 401.8010 经济学院020105 世界经济9 1 399 399 399.0010 经济学院020106 人口、资源与环境经济学7 0010 经济学院020201 国民经济学8 0010 经济学院020202 区域经济学14 1 383 383 383.0010 经济学院020203 财政学20 1 377 377 377.0010 经济学院020204 金融学188 10 424 395 403.6010 经济学院020205 产业经济学118 6 409 376 392.3010 经济学院020206 国际贸易学108 6 392 372 383.8010 经济学院020207 劳动经济学11 1 403 403 403.0010 经济学院020207 劳动经济学11 5 395 368 381.6220 公共管理学院020207 劳动经济学11 1 403 403 403.0220 公共管理学院020207 劳动经济学11 5 395 368 381.6010 经济学院020208 统计学6 1 384 384 384.0010 经济学院020209 数量经济学5 0010 经济学院025100 金融硕士127 20 413 367 386.7010 经济学院025400 国际商务硕士31 16 426 363 396.7020 光华法学院030101 法学理论16 3 355 342 350.3020 光华法学院030102 法律史2 1 364 364 364.0020 光华法学院030103 宪法学与行政法学31 3 373 347 360.0020 光华法学院030104 刑法学21 1 341 341 341.0020 光华法学院030105 民商法学53 3 375 345 356.0020 光华法学院030106 诉讼法学15 2 370 346 358.0020 光华法学院030107 经济法学38 5 395 351 363.6020 光华法学院030108 环境与资源保护法学2 1 348 348 348.0020 光华法学院030109 国际法学17 3 388 347 366.0220 公共管理学院030201 政治学理论15 5 383 351 369.0220 公共管理学院030202 中外政治制度11 4 396 367 379.5330 思想政治理论教学科研部030203 科学社会主义与国际共产主义运动2 0220 公共管理学院030204 中共党史3 1 373 373 373.0330 思想政治理论教学科研部030206 国际政治14 3 385 380 382.3220 公共管理学院030207 国际关系11 3 378 355 368.3220 公共管理学院030301 社会学26 3 426 373 392.3010 经济学院030302 人口学2 3 422 366 389.7330 思想政治理论教学科研部030501 马克思主义基本原理5 2 392 367 379.5330 思想政治理论教学科研部030503 马克思主义中国化研究14 3 389 370 381.0330 思想政治理论教学科研部030505 思想政治教育54 8 410 364 380.4330 思想政治理论教学科研部030506 中国近现代史基本问题研究1 0020 光华法学院035101 法律(非法学)328 65 406 323 355.0020 光华法学院035102 法律(法学)44 5 345 324 333.0030 教育学院040101 教育学原理24 4 346 307 333.2030 教育学院040102 课程与教学论73 8 366 305 334.6030 教育学院040103 教育史22 4 359 336 349.2030 教育学院040104 比较教育学30 7 336 314 324.1030 教育学院040106 高等教育学43 7 332 303 319.7030 教育学院040107 成人教育学12 2 342 336 339.0030 教育学院040110 教育技术学9 1 315 315 315.0060 理学院040201 基础心理学26 1 345 345 345.0060 理学院040202 发展与教育心理学27 3 361 335 347.0060 理学院040203 应用心理学347 21 374 328 341.7030 教育学院040301 体育人文社会学10 4 306 286 294.7030 教育学院040302 运动人体科学15 3 335 322 328.3030 教育学院040303 体育教育训练学12 0030 教育学院040304 民族传统体育学1 1 325 325 325.0030 教育学院045201 体育教学1 0050 外国语言文化与国际交流学院045300 汉语国际教育硕士18 5 386 338 367.4060 理学院045400 应用心理硕士19 2 331 309 320.0040 人文学院050101 文艺学21 5 411 377 390.4040 人文学院050102 语言学及应用语言学32 1 372 372 372.0040 人文学院050103 汉语言文字学121 5 406 368 385.2040 人文学院050104 中国古典文献学42 6 403 355 382.8040 人文学院050105 中国古代文学114 7 400 358 378.0040 人文学院050106 中国现当代文学139 8 388 370 379.4040 人文学院050108 比较文学与世界文学50 3 408 395 400.7050 外国语言文化与国际交流学院050201 英语语言文学166 7 399 368 377.0050 外国语言文化与国际交流学院050202 俄语语言文学8 4 416 368 390.5050 外国语言文化与国际交流学院050203 法语语言文学10 1 357 357 357.0050 外国语言文化与国际交流学院050204 德语语言文学15 3 413 392 402.3050 外国语言文化与国际交流学院050205 日语语言文学13 3 377 373 374.3050 外国语言文化与国际交流学院050211 外国语言学及应用语言学126 11 409 368382.4230 传媒与国际文化学院050301 新闻学78 3 369 365 367.3230 传媒与国际文化学院050302 传播学198 1 360 360 360.0040 人文学院050401 艺术学5 1 367 367 367.0040 人文学院050403 美术学10 1 383 383 383.0040 人文学院050404 设计艺术学34 4 378 344 354.0040 人文学院050404 设计艺术学34 8 398 364 376.4210 计算机科学与技术学院050404 设计艺术学97 4 378 344 354.0 210 计算机科学与技术学院050404 设计艺术学97 8 398 364 376.4 230 传媒与国际文化学院050407 广播电视艺术学17 1 370 370 370.0 230 传媒与国际文化学院055105 广播电视21 5 398 342 369.4050 外国语言文化与国际交流学院055201 英语笔译29 5 380 352 369.6 230 传媒与国际文化学院055300 新闻与传播硕士114 16 402 350 371.6 040 人文学院060102 考古学及博物馆学14 3 363 320 346.7040 人文学院060103 历史地理学5 1 285 285 285.0060 理学院060103 历史地理学2 1 285 285 285.0040 人文学院060105 专门史12 1 307 307 307.0040 人文学院060106 中国古代史46 3 331 309 319.3040 人文学院060107 中国近现代史22 4 332 288 302.5040 人文学院060108 世界史21 5 343 292 314.6040 人文学院065100 文物与博物馆硕士5 1 344 344 344.0060 理学院070101 基础数学80 23 410 332 375.9060 理学院070102 计算数学40 10 389 332 358.3060 理学院070103 概率论与数理统计41 9 388 329 363.3060 理学院070104 应用数学81 20 410 320 365.7060 理学院070105 运筹学与控制论29 6 351 313 338.8060 理学院070201 理论物理31 5 411 368 381.8060 理学院070202 粒子物理与原子核物理4 1 388 388 388.0060 理学院070203 原子与分子物理1 0060 理学院070204 等离子体物理2 1 320 320 320.0060 理学院070205 凝聚态物理56 18 409 334 378.1060 理学院070207 光学32 12 416 365 388.0060 理学院070208 无线电物理4 1 353 353 353.0060 理学院070300 化学239 57 396 317 353.4290 高分子系070305 高分子化学与物理83 18 412 369 385.0060 理学院070501 自然地理学15 2 405 384 394.5060 理学院070502 人文地理学36 11 423 323 366.5060 理学院070503 地图学与地理信息系统19 5 410 377 393.4060 理学院070601 气象学2 4 326 313 320.2070 生命科学学院070703 海洋生物学4 2 370 353 361.5340 海洋系070703 海洋生物学1 2 370 353 361.5060 理学院070704 海洋地质2 2 376 326 351.0340 海洋系070704 海洋地质3 2 376 326 351.0060 理学院070901 矿物学、岩石学、矿床学2 0060 理学院070902 地球化学3 3 355 340 348.3060 理学院070904 构造地质学6 2 358 356 357.0070 生命科学学院071001 植物学65 19 400 334 356.5070 生命科学学院071002 动物学3 0180 医学院071003 生理学5 4 360 328 341.7070 生命科学学院071005 微生物学101 10 394 361 373.4070 生命科学学院071005 微生物学101 1 345 345 345.0170 动物科学学院071005 微生物学1 10 394 361 373.4170 动物科学学院071005 微生物学1 1 345 345 345.0180 医学院071005 微生物学9 10 394 361 373.4180 医学院071005 微生物学9 1 345 345 345.0180 医学院071006 神经生物学15 11 409 323 353.5070 生命科学学院071007 遗传学9 14 385 331 361.1070 生命科学学院071007 遗传学9 1 347 347 347.0180 医学院071007 遗传学4 14 385 331 361.1180 医学院071007 遗传学4 1 347 347 347.0070 生命科学学院071008 发育生物学5 3 377 336 359.3070 生命科学学院071009 细胞生物学104 6 386 355 368.5070 生命科学学院071009 细胞生物学104 14 383 324 356.5180 医学院071009 细胞生物学43 6 386 355 368.5180 医学院071009 细胞生物学43 14 383 324 356.5070 生命科学学院071010 生物化学与分子生物学98 15 383 335 359.8070 生命科学学院071010 生物化学与分子生物学98 9 373 322 343.9070 生命科学学院071010 生物化学与分子生物学98 1 376 376 376.0160 农业与生物技术学院071010 生物化学与分子生物学6 15 383 335 359.8 160 农业与生物技术学院071010 生物化学与分子生物学6 9 373 322 343.9 160 农业与生物技术学院071010 生物化学与分子生物学6 1 376 376 376.0 180 医学院071010 生物化学与分子生物学37 15 383 335 359.8180 医学院071010 生物化学与分子生物学37 9 373 322 343.9180 医学院071010 生物化学与分子生物学37 1 376 376 376.0070 生命科学学院071011 生物物理学2 14 381 311 348.5070 生命科学学院071011 生物物理学2 1 375 375 375.0160 农业与生物技术学院071011 生物物理学9 14 381 311 348.5160 农业与生物技术学院071011 生物物理学9 1 375 375 375.0180 医学院071011 生物物理学4 14 381 311 348.5180 医学院071011 生物物理学4 1 375 375 375.0070 生命科学学院071012 生态学30 14 376 341 356.5070 生命科学学院071020 ★生物信息学21 4 365 349 353.5070 生命科学学院071020 ★生物信息学21 1 344 344 344.0160 农业与生物技术学院071020 ★生物信息学2 4 365 349 353.5160 农业与生物技术学院071020 ★生物信息学2 1 344 344 344.0100 电气工程学院071102 系统分析与集成6 7 385 355 369.6040 人文学院071200 科学技术史3 2 379 349 364.0240 航空航天学院080101 一般力学与力学基础2 1 367 367 367.0240 航空航天学院080102 固体力学16 5 385 350 366.4240 航空航天学院080103 流体力学11 7 388 352 373.3240 航空航天学院080104 工程力学31 6 412 354 384.2250 机械工程学系080201 机械制造及其自动化224 21 426 367 397.1250 机械工程学系080202 机械电子工程260 19 424 382 406.4130 生物系统工程与食品科学学院080203 机械设计及理论2 28 412 366 390.1250 机械工程学系080203 机械设计及理论136 28 412 366 390.1250 机械工程学系080204 车辆工程28 3 391 363 377.3250 机械工程学系080204 车辆工程28 3 388 355 372.0270 能源工程学系080204 车辆工程12 3 391 363 377.3270 能源工程学系080204 车辆工程12 3 388 355 372.0250 机械工程学系080220 ★工业工程44 9 410 335 362.9300 光电信息工程学系080300 光学工程242 37 420 333 379.5300 光电信息工程学系080320 ★光通信技术22 4 384 338 370.2250 机械工程学系080401 精密仪器及机械7 1 408 408 408.0300 光电信息工程学系080402 测试计量技术及仪器20 12 390 331 365.2150 生物医学工程与仪器科学学院080420 ★电子信息技术及仪器103 27 431 359 390.6 260 材料科学与工程系080500 材料科学与工程364 73 426 353 382.3290 高分子系080520 ★高分子材料125 18 417 361 390.5270 能源工程学系080701 工程热物理110 41 423 330 375.1270 能源工程学系080702 热能工程78 25 419 347 374.2270 能源工程学系080703 动力机械及工程16 8 381 349 364.5270 能源工程学系080704 流体机械及工程3 1 369 369 369.0270 能源工程学系080705 制冷及低温工程36 8 401 348 371.1280 化工系080706 化工过程机械100 18 432 371 394.7270 能源工程学系080720 ★能源环境工程20 3 395 330 357.7100 电气工程学院080801 电机与电器75 16 430 369 395.6100 电气工程学院080802 电力系统及其自动化173 18 451 398 413.3100 电气工程学院080803 高电压与绝缘技术3 1 443 443 443.0100 电气工程学院080804 电力电子与电力传动147 14 438 400 418.6100 电气工程学院080805 电工理论与新技术46 8 422 392 403.9100 电气工程学院080820 ★电力工程管理与信息化1 0100 电气工程学院080821 ★航天电气及其控制2 0310 信息与电子工程学系080901 物理电子学25 11 375 334 358.1100 电气工程学院080902 电路与系统74 18 437 355 382.9100 电气工程学院080902 电路与系统74 6 410 349 385.0310 信息与电子工程学系080902 电路与系统69 18 437 355 382.9310 信息与电子工程学系080902 电路与系统69 6 410 349 385.0310 信息与电子工程学系080903 微电子学与固体电子学73 21 412 327 363.8310 信息与电子工程学系080904 电磁场与微波技术18 8 381 341 361.0310 信息与电子工程学系081000 信息与通信工程345 32 435 357 384.6320 控制科学与工程学系081100 控制科学与工程364 59 421 345 382.6100 电气工程学院081101 控制理论与控制工程65 10 411 359 386.0240 航空航天学院081105 导航、制导与控制1 2 369 339 354.0210 计算机科学与技术学院081201 计算机系统结构44 1 376 376 376.0210 计算机科学与技术学院081202 计算机软件与理论65 2 373 349 361.0210 计算机科学与技术学院081203 计算机应用技术1061 131 423 332 373.0210 计算机科学与技术学院081220 ★数字化艺术与设计9 1 346 346 346.0240 航空航天学院081221 ★空天信息技术5 2 389 334 361.5120 建筑工程学院081301 建筑历史与理论5 0120 建筑工程学院081302 建筑设计及其理论131 11 379 327 356.6120 建筑工程学院081303 城市规划与设计83 10 397 347 364.2120 建筑工程学院081304 建筑技术科学17 3 393 350 373.0120 建筑工程学院081401 岩土工程125 15 414 352 388.9120 建筑工程学院081402 结构工程251 21 391 333 366.5120 建筑工程学院081403 市政工程37 7 396 360 373.0120 建筑工程学院081405 防灾减灾工程及防护工程29 4 376 352 362.2120 建筑工程学院081406 桥梁与隧道工程64 8 380 331 361.1120 建筑工程学院081501 水文学及水资源4 5 366 332 350.8120 建筑工程学院081502 水力学及河流动力学2 2 372 366 369.0120 建筑工程学院081503 水工结构工程7 5 378 363 371.6340 海洋系081505 港口、海岸及近海工程5 9 381 335 355.3280 化工系081701 化学工程284 32 420 363 389.2280 化工系081702 化学工艺43 10 404 363 383.3280 化工系081703 生物化工66 19 404 332 363.6060 理学院081704 应用化学13 13 389 349 373.3280 化工系081704 应用化学32 13 389 349 373.3280 化工系081705 工业催化5 7 398 342 377.0280 化工系081720 ★化工过程信息工程3 1 394 394 394.0280 化工系081721 ★制药工程24 5 397 372 382.4060 理学院081800 地质资源与地质工程7 2 370 333 351.5130 生物系统工程与食品科学学院082203 发酵工程5 0120 建筑工程学院082301 道路与铁道工程6 5 384 349 369.8340 海洋系082401 船舶与海洋结构物设计制造5 8 411 364 381.6240 航空航天学院082501 飞行器设计9 3 386 330 364.7240 航空航天学院082502 航空宇航推进理论与工程1 0240 航空航天学院082503 航空宇航制造工程2 0160 农业与生物技术学院082703 核技术及应用1 0130 生物系统工程与食品科学学院082801 农业机械化工程7 3 395 367 383.7130 生物系统工程与食品科学学院082802 农业水土工程1 0130 生物系统工程与食品科学学院082803 农业生物环境与能源工程2 1 369 369 369.0 130 生物系统工程与食品科学学院082804 农业电气化与自动化7 7 423 331 381.0 130 生物系统工程与食品科学学院082820 ★生物系统工程8 7 405 351 376.0060 理学院083001 环境科学2 1 365 365 365.0060 理学院083001 环境科学2 16 392 353 372.6140 环境与资源学院083001 环境科学68 1 365 365 365.0140 环境与资源学院083001 环境科学68 16 392 353 372.6140 环境与资源学院083002 环境工程255 48 423 361 386.7150 生物医学工程与仪器科学学院083100 生物医学工程83 21 418 327 371.4 130 生物系统工程与食品科学学院083201 食品科学241 17 419 377 395.0 130 生物系统工程与食品科学学院083201 食品科学241 1 357 357 357.0 170 动物科学学院083201 食品科学4 17 419 377 395.0170 动物科学学院083201 食品科学4 1 357 357 357.0130 生物系统工程与食品科学学院083202 粮食、油脂及植物蛋白工程5 0 130 生物系统工程与食品科学学院083203 农产品加工及贮藏工程5 0130 生物系统工程与食品科学学院083220 ★食品安全22 1 386 386 386.0 250 机械工程学系085201 机械工程17 24 403 345 380.1300 光电信息工程学系085202 光学工程3 6 375 333 357.5150 生物医学工程与仪器科学学院085203 仪器仪表工程1 5 357 337 345.0 260 材料科学与工程系085204 材料工程10 3 395 346 369.3270 能源工程学系085206 动力工程2 2 370 356 363.0100 电气工程学院085207 电气工程22 24 427 347 387.5310 信息与电子工程学系085208 电子与通信工程19 13 383 327 360.4320 控制科学与工程学系085210 控制工程7 9 399 339 368.2510 软件学院085212 软件工程150 86 396 311 342.9120 建筑工程学院085213 建筑与土木工程15 4 363 341 352.2280 化工系085216 化学工程7 13 389 350 366.8060 理学院085217 地质工程1 0140 环境与资源学院085229 环境工程5 13 395 335 362.1150 生物医学工程与仪器科学学院085230 生物医学工程4 8 391 325 343.6 130 生物系统工程与食品科学学院085231 食品工程17 16 401 359 373.7 240 航空航天学院085233 航天工程1 8 384 328 362.4160 农业与生物技术学院090100 作物学79 19 384 324 356.6160 农业与生物技术学院090200 园艺学203 33 414 330 369.4140 环境与资源学院090301 土壤学21 12 407 342 367.1140 环境与资源学院090302 植物营养学34 10 407 356 386.9140 环境与资源学院090320 ★农业遥感与信息技术26 8 403 377 387.1140 环境与资源学院090322 ★环境修复与资源再生2 0160 农业与生物技术学院090400 植物保护212 54 415 335 362.9170 动物科学学院090501 动物遗传育种与繁殖12 3 379 354 369.7170 动物科学学院090502 动物营养与饲料科学114 23 427 345 376.5170 动物科学学院090504 特种经济动物饲养22 11 410 322 353.5170 动物科学学院090601 基础兽医学6 3 361 322 338.0170 动物科学学院090602 预防兽医学52 12 398 322 365.2170 动物科学学院090603 临床兽医学6 1 329 329 329.0160 农业与生物技术学院090706 园林植物与观赏园艺61 5 391 372 383.6 170 动物科学学院090801 水产养殖16 4 361 335 346.2140 环境与资源学院095103 农业资源利用3 4 374 321 349.5160 农业与生物技术学院095104 植物保护1 8 365 321 336.5170 动物科学学院095105 养殖1 7 375 340 358.3170 动物科学学院095200 兽医硕士3 8 369 314 345.0160 农业与生物技术学院095300 风景园林硕士20 5 382 334 361.0180 医学院100101 人体解剖与组织胚胎学3 3 365 338 350.7 180 医学院100102 免疫学12 9 401 328 361.1180 医学院100103 病原生物学1 2 353 350 351.5180 医学院100104 病理学与病理生理学19 10 356 325 340.4 180 医学院100105 法医学3 0180 医学院100120 干细胞和再生医学2 3 362 336 345.3180 医学院100201 内科学253 35 388 321 345.2180 医学院100201 内科学253 1 348 348 348.0180 医学院100202 儿科学42 11 367 323 342.5180 医学院100203 老年医学6 1 328 328 328.0180 医学院100204 神经病学38 2 342 326 334.0180 医学院100205 精神病与精神卫生学15 1 391 391 391.0 180 医学院100206 皮肤病与性病学11 2 339 324 331.5180 医学院100207 影像医学与核医学34 2 365 357 361.0 180 医学院100208 临床检验诊断学26 1 320 320 320.0180 医学院100209 护理学36 1 382 382 382.0180 医学院100210 外科学193 21 390 330 355.9180 医学院100211 妇产科学106 13 385 324 356.5180 医学院100212 眼科学27 5 379 345 366.0180 医学院100213 耳鼻咽喉科学5 0180 医学院100214 肿瘤学62 10 387 345 362.0180 医学院100216 运动医学3 0180 医学院100217 麻醉学38 4 358 335 347.0180 医学院100218 急诊医学13 1 341 341 341.0180 医学院100220 ★全科医学8 1 327 327 327.0180 医学院100301 口腔基础医学1 0180 医学院100302 口腔临床医学52 4 335 321 326.0180 医学院100401 流行病与卫生统计学36 3 369 337 353.7 180 医学院100402 劳动卫生与环境卫生学10 7 382 321 347.6 180 医学院100403 营养与食品卫生学15 1 325 325 325.0 180 医学院100405 卫生毒理学4 1 361 361 361.0180 医学院100602 中西医结合临床3 0190 药学院100700 药学444 27 418 343 371.7180 医学院100706 药理学19 11 374 321 345.1190 药学院100800 中药学23 0180 医学院105101 内科学120 16 375 322 340.6180 医学院105102 儿科学10 2 359 352 355.5180 医学院105103 老年医学1 0180 医学院105104 神经病学20 2 350 325 337.5180 医学院105105 精神病与精神卫生学4 2 361 360 360.5 180 医学院105106 皮肤病与性病学8 1 342 342 342.0180 医学院105107 影像医学与核医学15 6 364 327 345.7 180 医学院105109 外科学133 10 381 323 350.0180 医学院105110 妇产科学38 6 366 337 349.3180 医学院105111 眼科学3 1 341 341 341.0180 医学院105112 耳鼻咽喉科学1 2 366 340 353.0180 医学院105113 肿瘤学27 6 362 326 343.5180 医学院105116 麻醉学9 2 327 323 325.0180 医学院105117 急诊医学3 1 352 352 352.0180 医学院105200 口腔医学硕士19 2 337 331 334.0190 药学院105500 药学硕士8 6 376 332 358.0200 管理学院120100 管理科学与工程153 11 420 381 399.3 120 建筑工程学院120120 ★工程管理49 1 402 402 402.0200 管理学院120201 会计学79 4 405 381 393.0200 管理学院120202 企业管理545 24 421 384 400.4200 管理学院120203 旅游管理31 6 393 369 382.0200 管理学院120204 技术经济及管理5 1 366 366 366.0200 管理学院120220 ★创业管理22 8 412 378 389.1200 管理学院120301 农业经济管理20 5 384 369 378.2220 公共管理学院120401 行政管理303 22 412 369 391.7180 医学院120402 社会医学与卫生事业管理21 3 408 374 391.3 220 公共管理学院120403 教育经济与管理11 4 416 355 378.0 220 公共管理学院120404 社会保障24 2 381 356 368.5220 公共管理学院120405 土地资源管理70 12 410 359 392.6 220 公共管理学院120420 ★信息资源管理5 0220 公共管理学院120421 ★非传统安全管理6 2 363 361 362.0 220 公共管理学院120501 图书馆学3 0220 公共管理学院120502 情报学7 1 385 385 385.0220 公共管理学院120503 档案学8 2 391 358 374.5200 管理学院125100 工商管理硕士1021 308 241 165 194.2 220 公共管理学院125200 公共管理硕士311 42 228 181 204.4。
浙江大学2012年硕士报考录取人数统计表(按专业代码排序)下列统计中不含免试、单独考试、强军计划以及少民骨干计划考生;录取人数中包括了由本校其他相近专业调剂到该专业录取的考生。
2013年招生专业和招生人数会有较大变动,请以2013年硕士招生目录为准。
学院代码学院名称专业代码专业名称报考人数录取人数最高分最低分平均分040 人文学院010101马克思主义哲学12 1 387 387387.040 人文学院010102中国哲学35 3 390 366380.7040 人文学院010103外国哲学52 6 376 346359.5040 人文学院010104逻辑学14 2 380 369374.5040 人文学院010105伦理学8 1 390 390390.230 传媒与国际文化学院010106美学40 5 393 343365.6040 人文学院010107宗教学10 1 366 366366.040 人文学院010108科学技术哲学22 3 358 347353.7040 人文学院010120★休闲学33 2 382 362372.010 经济学院020101政治经济学88 4 385 369378.010 经济学院020102经济思想史8 1 391 391391.010 经济学院020104西方经济学74 5 424 366397.6010 经济学院020106人口、资源与环境经济学16 1 389 389389.010 经济学院020201国民经济学13 0 0 0 0.0010 经济学院020202区域经济学34 1 397 397397.010 经济学院0202财政学36 2 393 383 388.010 经济学院020204金融学399 12 428 372397.2010 经济学院020205产业经济学239 5 393 375383.010 经济学院020206国际贸易学209 8 426 388404.7220 公共管理学院020207劳动经济学28 3 398 383390.3010 经济学院020209数量经济学11 1 408 408408.010 经济学院025100金融(专业学位) 305 22 410 365383.010 经济学院025400国际商务(专业学位) 76 17 401 360380.2020 光华法学院030101法学理论29 1 391 391391.020 光华法学院030102法律史 5 1 367 367367.020 光华法学院030103宪法学与行政法学60 3 381 355365.020 光华法学院030104刑法学47 1 369 369369.020 光华法学院030105民商法学132 2 370 363366.5020 光华法学院030106诉讼法学31 2 371 359365.020 光华法学院030107经济法学95 2 378 366372.020 光华法学院030108环境与资源保护法学11 1 357 357357.020 光华法学院030109国际法学44 2 359 357358.220 公共管理学院030201政治学理论30 5 383 361371.2220 公共管理学院030202中外政治制度29 4 408 372388.220 公共管理学院030204中共党史 5 1 383 383383.330 思政部030206国际政治27 3 371 355361.7220 公共管理学院030207国际关系29 1 398 398398.220 公共管理学院0303社会学50 3 395 353 380.220 公共管理学院030302人口学 2 4 383 363371.5330 思政部030501马克思主义基本原理10 3 384 362374.7330 思政部030503马克思主义中国化研究24 4 370 361365.2330 思政部030505思想政治教育102 5 376 353369.330 思政部030506中国近现代史基本问题研究4 1 380 380380.020 光华法学院035101法律(非法学)(专业学位) 814 62 405 327354.4020 光华法学院035102法律(法学)(专业学位) 67 2 366 342354.030 教育学院040101教育学原理65 3 357 346351.3030 教育学院040102课程与教学论181 7 354 340347.4030 教育学院040103教育史53 4 350 340344.030 教育学院040104比较教育学83 4 360 342354.2030 教育学院040106高等教育学119 8 368 344356.4030 教育学院040107成人教育学20 2 350 349349.5030 教育学院040110教育技术学31 2 348 347347.5060 理学院040202发展与教育心理学62 1 350 350350.060 理学院040203应用心理学749 15 408 347363.3030 教育学院040301体育人文社会学21 2 336 323329.5030 教育学院040302运动人体科学25 2 324 321322.5030 教育学院040303体育教育训练学13 0 0 0 0.0030 教育学院045201体育教学 4 0 0 0 0.0230 传媒与国际文化学院045300汉语国际教育(专业学位) 0 4 405 380394.5060 理学院0454应用心理(专业学位) 32 3 351 347 349.040 人文学院050101文艺学41 4 407 380396.040 人文学院050103汉语言文字学217 6 413 367379.7040 人文学院050104中国古典文献学91 8 413 384399.7040 人文学院050105中国古代文学247 8 395 366379.040 人文学院050106中国现当代文学283 9 401 379386.040 人文学院050108比较文学与世界文学86 4 404 375390.5050 外语学院050201英语语言文学290 6 414 367382.5050 外语学院050202俄语语言文学18 5 422 389402.2050 外语学院050203法语语言文学19 1 400 400400.050 外语学院050204德语语言文学21 2 410 394402.050 外语学院050205日语语言文学32 4 406 375391.7050 外语学院050211外国语言学及应用语言学217 7 396 367380.7050 外语学院055101英语笔译(专业学位) 70 3 376 365369.230 传媒与国际文化学院055200新闻与传播(专业学位) 169 25 393 351364.4040 人文学院060100考古学24 4 341 334338.040 人文学院060200中国史103 11 370 332346.5060 理学院060200中国史7 1 341 341341.040 人文学院060300世界史46 6 373 335352.2040 人文学院065100文物与博物馆(专业学位) 13 1 356 356356.060 理学院070101基础数学172 16 356 300321.3060 理学院070102计算数学98 10 360 304317.2060 理学院0701应用数学180 12 342 303 316.060 理学院070105运筹学与控制论68 5 389 300334.060 理学院070201理论物理75 10 393 363379.1060 理学院070204等离子体物理 6 3 420 361394.7060 理学院070205凝聚态物理129 17 411 370391.4060 理学院070207光学74 12 402 365384.7060 理学院070208无线电物理9 2 396 372384.060 理学院070300化学510 55 400 332358.2290 高分子系070305高分子化学与物理175 14 403 368381.8060 理学院070502人文地理学79 7 378 332352.060 理学院070503地图学与地理信息系统42 9 411 360387.8060 理学院070601气象学8 1 337 337337.340 海洋系070700海洋科学 6 13 399 342364.6070 生命科学学院070703海洋生物学 1 0 0 0 0.0060 理学院070704海洋地质7 1 337 337337.060 理学院070901矿物学、岩石学、矿床学7 2 380 319349.5060 理学院070902地球化学9 4 379 348369.060 理学院070904构造地质学14 6 411 342370.8070 生命科学学院071001植物学131 22 393 344364.6180 医学院071003生理学9 5 371 336360.6070 生命科学学院071005微生物学175 12 400 351373.1170 动物科学学院071005微生物学 5 1 379 379379.180 医学院0710微生物学18 1 351 351 351.180 医学院071006神经生物学31 12 378 330354.1070 生命科学学院071007遗传学42 11 390 341367.7180 医学院071007遗传学11 3 383 363369.7070 生命科学学院071008发育生物学 6 2 394 363378.5070 生命科学学院071009细胞生物学173 10 403 362381.4180 医学院071009细胞生物学90 14 392 351368.2070 生命科学学院071010生物化学与分子生物学213 16 399 350377.2160 农业与生物技术学院071010生物化学与分子生物学12 4 383 360373.180 医学院071010生物化学与分子生物学80 12 394 336365.5070 生命科学学院071011生物物理学 2 0 0 0 0.0160 农业与生物技术学院071011生物物理学21 12 398 353369.1180 医学院071011生物物理学 6 1 363 363363.070 生命科学学院071020★生物信息学36 5 393 344375.100 电气工程学院071102系统分析与集成12 5 391 364378.2040 人文学院071200科学技术史8 3 376 333355.3060 理学院071200科学技术史 2 1 384 384384.070 生命科学学院071300生态学23 10 394 350373.1010 经济学院071400统计学 3 0 0 0 0.0060 理学院071400统计学29 6 341 301322.2240 航空航天学院080102固体力学37 7 400 354377.240 航空航天学院080103流体力学38 3 415 380394.3240 航空航天学院0801工程力学48 4 364 347 353.250 机械工程学系080201机械制造及其自动化452 18 429 392409.7250 机械工程学系080202机械电子工程432 22 422 384402.6130 生工食品学院080203机械设计及理论 1 0 0 0 0.0250 机械工程学系080203机械设计及理论313 17 432 383407.5250 机械工程学系080204车辆工程52 3 417 395408.270 能源工程学系080204车辆工程31 1 384 384384.250 机械工程学系080220★工业工程100 9 442 372394.8300 光电信息工程学系080300光学工程493 29 410 341384.300 光电信息工程学系080402测试计量技术及仪器45 13 393 348365.2150 生物医学与仪器学院080420★电子信息技术及仪器215 19 430 367395.5260 材料科学与工程系080500材料科学与工程806 48 434 368394.1290 高分子系080520★高分子材料290 17 395 351378.7270 能源工程学系080701工程热物理227 19 437 369398.1270 能源工程学系080702热能工程193 16 419 364400.4270 能源工程学系080703动力机械及工程44 7 392 367383.1270 能源工程学系080704流体机械及工程 2 0 0 0 0.0270 能源工程学系080705制冷及低温工程81 3 397 384392.3280 化工系080706化工过程机械190 10 427 386408.8270 能源工程学系080720★能源环境工程30 12 415 377395.1100 电气工程学院080801电机与电器154 13 429 403414.1100 电气工程学院080802电力系统及其自动化343 14 449 411429.9100 电气工程学院0808电力电子与电力传动259 12 434 409 420.100 电气工程学院080805电工理论与新技术63 7 419 366396.6100 电气工程学院080820★电力工程管理与信息化 2 0 0 0 0.0310 信息与电子工程学系080900电子科学与技术196 29 426 349386.3100 电气工程学院080902电路与系统159 13 424 390404.8310 信息与电子工程学系081000信息与通信工程615 14 420 375401.3320 控制科学与工程学系081100控制科学与工程698 37 412 342379.3100 电气工程学院081101控制理论与控制工程137 7 420 370394.7240 航空航天学院081105导航、制导与控制 4 3 397 370379.3210 计算机学院081201计算机系统结构109 6 375 348357.7210 计算机学院081203计算机应用技术19697 410 341369.8240 航空航天学院081221★空天信息技术8 5 392 349374.4120 建筑工程学院081401岩土工程215 18 421 364391.2120 建筑工程学院081402结构工程511 19 431 375401.2120 建筑工程学院081403市政工程76 2 400 389394.5120 建筑工程学院081404供热、供燃气、通风及空调工程2 2 382 351366.5120 建筑工程学院081405防灾减灾工程及防护工程66 2 406 398402.120 建筑工程学院081406桥梁与隧道工程124 5 404 370389.2120 建筑工程学院081501水文学及水资源7 3 395 372382.7120 建筑工程学院081502水力学及河流动力学 6 1 388 388388.120 建筑工程学院081503水工结构工程18 3 433 393411.7340 海洋系081505港口、海岸及近海工程16 6 393 346376.2280 化工系0817化学工程542 24 412 365 386.280 化工系081702化学工艺100 4 398 375386.2280 化工系081703生物化工145 11 411 355375.6060 理学院081704应用化学 6 0 0 0 0.0280 化工系081704应用化学76 4 389 370380.7280 化工系081705工业催化17 1 390 390390.060 理学院081800地质资源与地质工程12 2 369 364366.5130 生工食品学院082203发酵工程 4 0 0 0 0.0120 建筑工程学院082301道路与铁道工程11 2 369 359364.120 建筑工程学院082302交通信息工程及控制 2 0 0 0 0.0120 建筑工程学院082303交通运输规划与管理 1 0 0 0 0.0340 海洋系082401船舶与海洋结构物设计制造13 8 391 340370.9240 航空航天学院082501飞行器设计14 4 391 343364.7240 航空航天学院082502航空宇航推进理论与工程 2 1 393 393393.240 航空航天学院082503航空宇航制造工程 2 0 0 0 0.0160 农业与生物技术学院082703核技术及应用 3 1 364 364364.130 生工食品学院082801农业机械化工程18 5 411 352383.130 生工食品学院082803农业生物环境与能源工程 5 2 384 377380.5130 生工食品学院082804农业电气化与自动化17 4 401 343363.2130 生工食品学院082820★生物系统工程17 7 386 349374.1140 环境与资源学院083001环境科学141 12 406 356378.2140 环境与资源学院083002环境工程533 24 408 370387.7150 生物医学与仪器0831生物医学工程176 20 418 350 380.学院00 9130 生工食品学院083201食品科学455 15 433 395408.4170 动物科学学院083201食品科学 5 1 341 341341.130 生工食品学院083202粮食、油脂及植物蛋白工程3 0 0 0 0.0130 生工食品学院083203农产品加工及贮藏工程 2 0 0 0 0.0120 建筑工程学院083300城乡规划学67 8 425 367386.1160 农业与生物技术学院083400风景园林学33 2 399 383391.210 计算机学院083500软件工程71 3 381 347361.3120 建筑工程学院085100建筑学(专业学位) 127 9 389 345368.8250 机械工程学系085201机械工程(专业学位) 62 31 411 352382.8300 光电信息工程学系085202光学工程(专业学位) 14 16 384 345361.3150 生物医学与仪器学院085203仪器仪表工程(专业学位) 5 9 397 356372.4260 材料科学与工程系085204材料工程(专业学位) 25 17 402 362379.2270 能源工程学系085206动力工程(专业学位) 14 16 399 351379.8280 化工系085206动力工程(专业学位) 0 6 391 373380.3100 电气工程学院085207电气工程(专业学位) 74 28 438 362399.1310 信息与电子工程学系085208电子与通信工程(专业学位)71 22 420 344376.3310 信息与电子工程学系085209集成电路工程 4 0 0 0 0.0320 控制科学与工程学系085210控制工程(专业学位) 27 21 393 344366.2210 计算机学院085211计算机技术(专业学位) 23 17 371 342352.1510 软件学院085212软件工程(专业学位) 362 119 416 320350.120 建筑工程学院085213建筑与土木工程(专业学位)32 9 397 349374.6280 化工系0852化学工程(专业学位) 12 29 388 342 368.060 理学院085217地质工程 1 0 0 0 0.0120 建筑工程学院085222交通运输工程 1 0 0 0 0.0130 生工食品学院085227农业工程(专业学位) 2 6 406 364379.140 环境与资源学院085229环境工程(专业学位) 16 25 391 352369.2150 生物医学与仪器学院085230生物医学工程(专业学位) 5 7 381 350368.9130 生工食品学院085231食品工程(专业学位) 41 14 406 349389.2240 航空航天学院085233航天工程(专业学位) 1 10 390 360374.1210 计算机学院085237工业设计工程(专业学位) 0 1 361 361361.280 化工系085238生物工程(专业学位) 0 3 364 346357.160 农业与生物技术学院090100作物学174 17 410 353372.2160 农业与生物技术学院090200园艺学383 27 398 333376.6140 环境与资源学院090301土壤学58 7 405 376391.6140 环境与资源学院090302植物营养学63 7 402 381394.6140 环境与资源学院090320★农业遥感与信息技术53 6 424 367402.3140 环境与资源学院090322★环境修复与资源再生7 4 392 370384.5160 农业与生物技术学院090400植物保护429 41 409 350371.7170 动物科学学院090501动物遗传育种与繁殖27 2 402 383392.5170 动物科学学院090502动物营养与饲料科学191 17 412 369390.4170 动物科学学院090504特种经济动物饲养59 8 387 335365.6170 动物科学学院090601基础兽医学16 1 336 336336.170 动物科学学院090602预防兽医学93 9 397 340374.1170 动物科学学院0906临床兽医学16 2 343 328 335.170 动物科学学院090801水产养殖30 4 390 327359.7160 农业与生物技术学院095101作物(专业学位) 2 13 376 326347.5160 农业与生物技术学院095102园艺(专业学位) 3 17 387 329358.6140 环境与资源学院095103农业资源利用(专业学位) 3 8 391 338367.9160 农业与生物技术学院095104植物保护(专业学位) 5 16 371 325348.6170 动物科学学院095105养殖(专业学位) 2 15 396 339369.7140 环境与资源学院095112农业信息化(专业学位) 0 3 369 340358.7170 动物科学学院095200兽医(专业学位) 7 6 362 334347.5160 农业与生物技术学院095300风景园林(专业学位) 51 5 394 369376.6180 医学院100101人体解剖与组织胚胎学 4 4 358 327343.7180 医学院100102免疫学17 7 378 329348.180 医学院100103病原生物学 2 1 375 375375.180 医学院100104病理学与病理生理学36 10 373 325345.180 医学院100105法医学 1 0 0 0 0.0180 医学院100120干细胞和再生医学 6 2 365 336350.5180 医学院100201内科学566 31 379 326349.3180 医学院100202儿科学89 10 376 326347.3180 医学院100203老年医学10 1 327 327327.180 医学院100204神经病学84 4 375 332354.180 医学院100205精神病与精神卫生学29 3 335 330332.7180 医学院100206皮肤病与性病学31 2 365 358361.5180 医学院1002影像医学与核医学76 2 343 334 338.180 医学院100208临床检验诊断学63 2 352 338345.180 医学院100210外科学438 18 386 331363.4180 医学院100211妇产科学179 9 365 329346.8180 医学院100212眼科学51 4 381 338355.5180 医学院100213耳鼻咽喉科学12 1 350 350350.180 医学院100214肿瘤学142 7 380 351363.1180 医学院100216运动医学9 0 0 0 0.0180 医学院100217麻醉学96 3 381 346362.7180 医学院100218急诊医学19 2 374 347360.5180 医学院100220★全科医学19 1 368 368368.180 医学院100302口腔临床医学117 5 363 327347.180 医学院100401流行病与卫生统计学71 4 373 326340.5180 医学院100402劳动卫生与环境卫生学28 4 368 335356.180 医学院100403营养与食品卫生学25 1 356 356356.180 医学院100405卫生毒理学 6 1 355 355355.180 医学院100602中西医结合临床 6 1 369 369369.190 药学院100700药学801 28 405 340358.5180 医学院100706药理学58 7 374 330349.9180 医学院101100护理学59 2 350 328339.180 医学院105101内科学(专业学位) 206 28 372 329344.6180 医学院105102儿科学(专业学位) 14 5 357 325334.8180 医学院1051老年医学 1 0 0 0 0.003180 医学院105104神经病学(专业学位) 38 2 378 344361.180 医学院105105精神病与精神卫生学(专业学位)6 2 340 328334.180 医学院105106皮肤病与性病学(专业学位)11 1 336 336336.180 医学院105107影像医学与核医学(专业学位)28 5 375 329344.2180 医学院105109外科学(专业学位) 221 22 367 326341.1180 医学院105110妇产科学(专业学位) 59 7 346 325332.180 医学院105111眼科学(专业学位) 5 2 348 340344.180 医学院105112耳鼻咽喉科学(专业学位) 2 1 339 339339.180 医学院105113肿瘤学(专业学位) 59 7 352 343346.7180 医学院105116麻醉学(专业学位) 16 3 372 344355.3180 医学院105117急诊医学(专业学位) 6 2 338 338338.180 医学院105200口腔医学(专业学位) 38 6 352 340344.8190 药学院105500药学(专业学位) 8 4 379 357369.7200 管理学院120100管理科学与工程283 7 411 381398.3120 建筑工程学院120120★工程管理78 3 417 390403.200 管理学院120202企业管理108614 416 393404.3200 管理学院120203旅游管理84 3 389 382385.3200 管理学院120220★创业管理41 3 416 390404.7200 管理学院120301农业经济管理38 3 401 390396.3200 管理学院120302林业经济管理 1 0 0 0 0.0220 公共管理学院120401行政管理552 12 402 369380.5180 医学院1204社会医学与卫生事业管理55 3 392 388 390.02 0220 公共管理学院120403教育经济与管理23 5 415 381389.4220 公共管理学院120404社会保障45 2 407 369388.220 公共管理学院120405土地资源管理160 13 411 365384.1220 公共管理学院120421★非传统安全管理11 1 383 383383.220 公共管理学院120501图书馆学 4 0 0 0 0.0220 公共管理学院120502情报学16 4 410 375392.2220 公共管理学院120503档案学18 4 410 387397.7200 管理学院125100工商管理(专业学位)2234307 236 150193.220 公共管理学院125200公共管理(专业学位) 750 51 238 181203.1200 管理学院125300会计(专业学位) 46 3 237 216227.3040 人文学院130100艺术学理论 3 0 0 0 0.0230 传媒与国际文化学院130300戏剧与影视学14 2 388 374381.040 人文学院130400美术学10 2 401 367384.040 人文学院130500设计学26 1 353 353353.210 计算机学院130500设计学74 6 377 360367.2230 传媒与国际文化学院135105广播电视(专业学位) 28 8 397 359377.4浙江大学2011年硕士报考录取人数统计表(按专业代码排序)下列统计中不含免试、单独考试、强军计划以及少民骨干计划考生;录取人数中包括了由本校其他相近专业调剂到该专业录取的考生。
2023年硕士研究生报考录取统计表摘要:2023 年硕士研究生报考录取统计表一、前言二、硕士研究生报考人数三、硕士研究生录取人数四、硕士研究生报考与录取比例五、影响录取的因素六、结论正文:一、前言随着我国高等教育的普及和深化,越来越多的年轻人选择报考硕士研究生,以提高自己的学术水平和就业竞争力。
本文将根据2023 年硕士研究生报考录取统计表,对相关数据进行分析,以了解我国硕士研究生报考和录取情况。
二、硕士研究生报考人数据统计,2023 年我国硕士研究生报考人数达到120 万人,较2022 年增长约10 万人,再创历史新高。
其中,应届生报考人数占比60%,往届生报考人数占比40%。
在报考人数中,男女比例约为4:6。
三、硕士研究生录取人数2023 年我国硕士研究生录取人数为60 万人,较2022 年增加约5 万人。
其中,学术型硕士研究生录取人数为30 万人,专业型硕士研究生录取人数为30 万人。
四、硕士研究生报考与录取比例根据统计数据,2023 年我国硕士研究生报考与录取比例约为2:1,即每两个报考者中有一个被录取。
这一比例较2022 年略有下降,但整体仍处于较高水平,竞争激烈。
五、影响录取的因素影响硕士研究生录取的因素主要包括:报考人数、招生计划、考生质量和选拔标准。
其中,报考人数直接影响竞争程度;招生计划则决定了录取名额;考生质量和选拔标准则决定了录取者的素质。
六、结论综合以上分析,我们可以看出,2023 年我国硕士研究生报考人数持续增长,录取人数也有所增加,但竞争依然激烈。
考生在报考时需充分了解相关政策和录取标准,努力提高自己的综合素质,以增加录取机会。
浙江大学2005年硕士研究生按专业报考录取情况统计以下是按专业报考、录取人数的统计,其中包括推荐免试、统考、单独考试、MBA、JM联考等,不再细分。
专业代码专业名称报考人数录取人数010101 马克思主义哲学26 5010102 中国哲学10 3010103 外国哲学32 7010104 逻辑学2 1010105 伦理学15 2010106 美学16 5010108 科学技术哲学15 6020101 政治经济学101 21020102 经济思想史3 1020104 西方经济学110 10020105 世界经济24 3020201 国民经济学36 5020203 财政学31 5020204 金融学372 53020205 产业经济学99 15020206 国际贸易学270 39020207 劳动经济学22 4030101 法学理论96 8030103 宪法学与行政法学116 13030104 刑法学71 2030105 民商法学161 7030106 诉讼法学17 1030107 经济法学227 18030109 国际法学108 12030180 法律硕士552 42030201 政治学理论42 9030202 中外政治制度34 7030204 中共党史18 3030205 马克思主义理论与思想政治教育90 21 030206 国际政治67 9030207 国际关系13 2030301 社会学63 6030302 人口学14 4040101 教育学原理33 3040102 课程与教学论72 12040103 教育史28 5040104 比较教育学80 10040106 高等教育学53 9040110 教育技术学31 2040201 基础心理学122 7040202 发展与教育心理学109 2040203 应用心理学686 35040301 体育人文社会学34 8040302 运动人体科学19 4040303 体育教育训练学20 6050101 文艺学30 7050102 语言学及应用语言学41 3050103 汉语言文字学84 13050104 中国古典文献学22 5050105 中国古代文学102 17050106 中国现当代文学198 25 050108 比较文学与世界文学44 7 050201 英语语言文学269 29050202 俄语语言文学4 3050204 德语语言文学7 3050205 日语语言文学28 4050211 外国语言学及应用语言学230 27 050301 新闻学219 19050302 传播学386 26050403 美术学9 3050404 设计艺术学92 19050407 广播电视艺术学23 3060102 考古学及博物馆学9 2060103 历史地理学8 2060105 专门史15 4060106 中国古代史30 7060107 中国近现代史35 11060108 世界史25 8070101 基础数学102 25070102 计算数学72 18070103 概率论与数理统计61 14 070104 应用数学134 24070105 运筹学与控制论70 19070201 理论物理37 14070202 粒子物理与原子核物理2 0 070204 等离子体物理5 2070205 凝聚态物理62 15070208 无线电物理11 1070300 化学241 85070305 高分子化学与物理52 23 070501 自然地理学18 3070502 人文地理学102 11070503 地图学与地理信息系统45 13 070601 气象学10 4070703 海洋生物学7 3070704 海洋地质2 0070901 矿物学、岩石学、矿床学1 3 070902 地球化学4 2070904 构造地质学71 52071001 植物学47 23071002 动物学7 5071003 生理学20 6071005 微生物学84 17071006 神经生物学16 7071007 遗传学38 11071009 细胞生物学52 11071010 生物化学与分子生物学159 23 071011 生物物理学10 14071012 生态学29 12071020 生物信息学56 12071102 系统分析与集成2 7071200 科学技术史8 5080101 一般力学与力学基础0 4080103 流体力学9 7080104 工程力学14 6080201 机械制造及其自动化250 59 080202 机械电子工程220 61 080203 机械设计及理论81 36 080204 车辆工程30 4080300 光学工程241 65080320 光通信技术37 10080401 精密仪器及机械6 2080402 测试计量技术及仪器27 13080420 电子信息技术及仪器131 36080500 材料科学与工程410 123080701 工程热物理82 31080702 热能工程40 13080703 动力机械及工程18 12080704 流体机械及工程1 1080705 制冷及低温工程49 15080706 化工过程机械64 25080720 能源环境工程7 4080801 电机与电器52 26080802 电力系统及其自动化171 42080803 高电压与绝缘技术6 0080804 电力电子与电力传动157 49080805 电工理论与新技术34 12080901 物理电子学54 26080902 电路与系统348 73080903 微电子学与固体电子学66 23 080904 电磁场与微波技术36 15081000 信息与通信工程304 81081101 控制理论与控制工程293 77 081102 检测技术与自动化装置67 19 081103 系统工程61 20081104 模式识别与智能系统41 16 081201 计算机系统结构84 20081202 计算机软件与理论179 28081203 计算机应用技术995 228081220 数字化艺术与设计23 4081280 软件工程硕士71 37081301 建筑历史与理论8 3081302 建筑设计及其理论82 22081303 城市规划与设计99 19081304 建筑技术科学18 4081401 岩土工程109 30081402 结构工程290 75081403 市政工程49 10081404 供热、供燃气、通风及空调工程5 2 081405 防灾减灾工程及防护工程11 4 081406 桥梁与隧道工程35 7081420 海洋建筑物与环境0 1081501 水文学及水资源3 2081502 水力学及河流动力学2 3081503 水工结构工程15 3081505 港口、海岸及近海工程3 3081701 化学工程225 72081702 化学工艺48 8081703 生物化工116 45081704 应用化学78 20081705 工业催化6 3081720 化工过程信息工程5 3 081802 地球探测与信息技术14 6 082203 发酵工程1 1082301 道路与铁道工程7 2082401 船舶与海洋结构物设计制造0 1 082801 农业机械化工程2 1082802 农业水土工程6 2082803 农业生物环境与能源工程1 1 082804 农业电气化与自动化3 5 082820 生物系统工程20 5083001 环境科学57 14083002 环境工程200 40083100 生物医学工程103 40083201 食品科学73 15083202 粮食、油脂及植物蛋白工程1 1 083203 农产品加工及贮藏工程14 2 083220 食品安全15 2090100 作物学32 16090200 园艺学128 0090201 果树学0 8090202 蔬菜学0 18090203 茶学0 11090300 农业资源利用54 29 090400 植物保护116 0090401 植物病理学0 17090402 农业昆虫与害虫防治0 11 090403 农药学0 6090420 环境生物学0 10090501 动物遗传育种与繁殖6 2 090502 动物营养与饲料科学95 31 090504 特种经济动物饲养25 9 090601 基础兽医学12 1090602 预防兽医学60 19 090603 临床兽医学10 4090706 园林植物与观赏园艺71 10 100101 人体解剖与组织胚胎学1 2 100102 免疫学73 11100103 病原生物学13 3100104 病理学与病理生理学61 9 100105 法医学5 1100201 内科学513 73100202 儿科学78 8100204 神经病学79 13100205 精神病与精神卫生学41 4 100206 皮肤病与性病学41 2 100207 影像医学与核医学59 9 100208 临床检验诊断学70 8 100209 护理学50 7100210 外科学465 46100211 妇产科学117 14100212 眼科学58 9100213 耳鼻咽喉科学19 2 100214 肿瘤学73 10100217 麻醉学28 3100218 急诊医学18 2100301 口腔基础医学3 2100302 口腔临床医学46 15 100401 流行病与卫生统计学28 5 100402 劳动卫生与环境卫生学10 6 100403 营养与食品卫生学18 4 100405 卫生毒理学6 3100602 中西医结合临床6 1 100701 药物化学37 5100702 药剂学72 11100703 生药学35 3100704 药物分析学117 22 100705 微生物与生化药学23 5 100706 药理学59 19100800 中药学11 4120100 管理科学与工程392 85 120201 会计学126 18120202 企业管理728 70120203 旅游管理114 18120204 技术经济及管理175 25 120280 工商管理硕士643 152 120301 农业经济管理34 10120302 林业经济管理3 0120401 行政管理307 50120402 社会医学与卫生事业管理29 5120403 教育经济与管理46 9120404 社会保障12 2120405 土地资源管理48 6120502 情报学8 3120503 档案学6 4浙江大学2004年硕士研究生按专业报考录取情况统计以下是按专业报考、录取人数的统计,其中包括推荐免试、统考、单独考试、MBA、JM联考,不再细分。
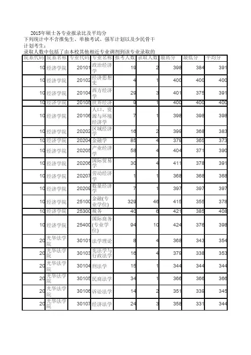
2015年硕士各专业报录比及平均分下列统计中不含推免生、单独考试、强军计划以及少民骨干计划考生;录取人数中包括了由本校其他相近专业调剂到该专业录取的院系代码院系名称专业代码专业名称报考人数录取人数最高分最低分平均分10经济学院20101政治经济学19239838439110经济学院20102经济思想史4140040040010经济学院20104西方经济学29340137539110经济学院20105世界经济9140040040010经济学院20106人口、资源与环境经济学7139839839810经济学院20202区域经济学162399368383 10经济学院20204金融学85437936537310经济学院20205产业经济学58440437139010经济学院20206国际贸易学30441137839110经济学院20207劳动经济学1136836836810经济学院20209数量经济学7139739739710经济学院25100金融(专业学位)3294641535537810经济学院25300税务40642138540810经济学院25400国际商务(专业学位)941042437639820光华法学院30101法学理论8436834335420光华法学院30103宪法学与行政法学16437933835320光华法学院30104刑法学15134434434420光华法学院30105民商法学34136636636620光华法学院30106诉讼法学14235133934520光华法学院30107经济法学24335833134420光华法学院30108环境与资源保护法学3134534534520光华法学院30109国际法学17238635437020光华法学院35101法律(非法学)(专业学位)3175338632534920光华法学院35102法律(法学)(专业学位)39134234234230教育学院40101教育学原理12137837837830教育学院40102课程与教学论422377361369 30教育学院40103教育史6137837837830教育学院40104比较教育学20340537338530教育学院40106高等教育学26339037638530教育学院40302运动人体科学4130330330330教育学院40304民族传统体育学31308308308 30教育学院45100教育67389358371 30教育学院45202运动训练32336313324 40人文学院10102中国哲学243375359364 40人文学院10103外国哲学323386365378 40人文学院10105伦理学4136036036040人文学院10108科学技术哲学73367358362 40人文学院0101Z1★休闲学161374374374 40人文学院50101文艺学26341137439140人文学院50103汉语言文字学28437736737140人文学院50104中国古典文献学29541436238640人文学院50105中国古代文学114538735836840人文学院50106中国现当代文学109539938238940人文学院50108比较文学与世界文学35340037738840人文学院60100考古学131351351351 40人文学院60200中国史533366335349 40人文学院60300世界史23535833835240人文学院65100文物与博物馆(专业学位)12841636138840人文学院71200科学技术史42387372379 40人文学院130400美术学323392371380 40人文学院130500设计学182396393394 40人文学院135107美术7140440440450外语学院50201英语语言文学50236935936450外语学院50202俄语语言文学6135635635650外语学院50203法语语言文学4135835835850外语学院50204德语语言文学3237837337550外语学院50205日语语言文学7241139540350外语学院50211外国语言学及应用语言学36540035137050外语学院55101英语笔译(专业学位)42537035136070生命科学学院71001植物学30936431933970生命科学学院71005微生物学65835032133670生命科学学院71007遗传学261037231534470生命科学学院71008发育生物学6132132132170生命科学学院71009细胞生物学731135831234070生命科学学院71010生物化学与分子生物学871236931333870生命科学学院0710Z1★生物信息学14234431332870生命科学学院71300生态学4610405339365100电气工程学院71102系统分析与集成25378366372100电气工程学院80800电气工程21232420343386100电气工程学院80902电路与系统4810407362381100电气工程学院81101控制理论与控制工程396419376400100电气工程学院85207电气工程(专业学位)8746417342374120建筑工程学院81401岩土工程6212396335356120建筑工程学院81402结构工程11411410357379120建筑工程学院81403市政工程333359350353120建筑工程学院81405防灾减灾工程及防护工程181368368368120建筑工程学院81406桥梁与隧道工程284406363384120建筑工程学院81501水文学及水资源112385355370120建筑工程学院81502水力学及河流动力学31351351351120建筑工程学院81503水工结构工程61341341341120建筑工程学院82301道路与铁道工程33364350355120建筑工程学院82302交通信息工程及控制11379379379120建筑工程学院83300城乡规划学716396358373120建筑工程学院85100建筑学(专业学位)12113380335357120建筑工程学院85213建筑与土木工程(专业学位)6619426338368120建筑工程学院85214水利工程23347338342120建筑工程学院1201Z2工程管理361388388388120建筑工程学院125600工程管理131177177177130生工食品学院82801农业机械化工程186365335349130生工食品学院82802农业水土工程11406406406130生工食品学院82803农业生物环境与能源工程51335335335130生工食品学院82804农业电气化与自动化62389349369130生工食品学院0828Z1生物系统工程57394343355130生工食品学院83201食品科学9911394360380130生工食品学院0832Z1食品安全与营养101360360360130生工食品学院85227农业工程(专业学位)74369338350130生工食品学院85231食品工程(专业学位)5214400368383140环境与资源学院83001环境科学7519421341380140环境与资源学院83002环境工程11415395366378140环境与资源学院85229环境工程(专业学位)4316389340363140环境与资源学院90301土壤学165401354375140环境与资源学院90302植物营养学347402371383140环境与资源学院0903Z1农业遥感与信息技术188415357384140环境与资源学院95103农业资源利用(专业学位)215381322347140环境与资源学院95112农业信息化(专业学位)16372328355150生物医学与仪器学院0804Z1★电子信息技术及仪器4612400356380150生物医学与仪器学院83100生物医学工程7817397338366150生物医学与仪器学院85203仪器仪表工程(专业学位)711368336349150生物医学与仪器学院85230生物医学工程(专业学位)157390341363160农业与生物技术学院71011生物物理学67377321345160农业与生物技术学院83400风景园林学141385385385160农业与生物技术学院90101作物栽培学与耕作学162375360367160农业与生物技术学院90102作物遗传育种394382361368160农业与生物技术学院90201果树学354392366376160农业与生物技术学院90202蔬菜学655404358369160农业与生物技术学院90203茶学372375372373160农业与生物技术学院90401植物病理学489374314348160农业与生物技术学院90402农业昆虫与害虫防治465371336348160农业与生物技术学院90403农药学235358314334160农业与生物技术学院95101作物(专业学位)111355306333160农业与生物技术学院95102园艺(专业学位)819364315349160农业与生物技术学院95104植物保护(专业学位)223371304333160农业与生物技术学院95300风景园林(专业学位)316408351387170动物科学学院90501动物遗传育种与繁殖174392357376170动物科学学院90502动物营养与饲料科学699389344362170动物科学学院90504特种经济动物饲养177372312339170动物科学学院90601基础兽医学51301301301170动物科学学院90602预防兽医学296385327359170动物科学学院90603临床兽医学132369350359170动物科学学院90801水产养殖191364364364170动物科学学院95105养殖(专业学位)221397315341170动物科学学院95200兽医(专业学位)911367305335180医学院71003生理学95385326347 180医学院71005微生物学83328314319180医学院71006神经生物学4314429316363 180医学院71007遗传学93356318339180医学院71009细胞生物学7610362331345180医学院71010生物化学与分子生物学5110386320349180医学院71011生物物理学01324324324180医学院100101人体解剖与组织胚胎学14386316345180医学院100102免疫学135366323343180医学院100103病原生物学01311311311180医学院100104病理学与病理生理学116374311339180医学院1001Z1★干细胞和再生医学16378320350180医学院100201内科学10417400316352 180医学院100202儿科学205346327333 180医学院100204神经病学122387384385180医学院100205精神病与精神卫生学31347347347180医学院100206皮肤病与性病学71348348348180医学院100207影像医学与核医学242319319319180医学院100208临床检验诊断学261326326326180医学院100210外科学8510371324344 180医学院100211妇产科学282350349349 180医学院100214肿瘤学365377326354 180医学院100217麻醉学161361361361 180医学院100218急诊医学41369369369180医学院1002Z3★微创医学25375325345180医学院1002Z4★重症医学72346327336180医学院100401流行病与卫生统计学332379360369180医学院100402劳动卫生与环境卫生学142395369382180医学院100403营养与食品卫生学172368354361180医学院100405卫生毒理学51370370370 180医学院100706药理学226349321334 180医学院101100护理学492335318326180医学院105101内科学(专业学位)16037392323356180医学院105102(专业学位)2712344318330180医学院105103老年医学(专业学位)51339339339180医学院105104神经病学(专业学位)222367366366180医学院105105精神病与精神卫生学(专业学位)52330315322180医学院105106皮肤病与性病学(专业学位)191381381381180医学院105107影像医学与核医学(专业学位)235350316330180医学院105108临床检验诊断学61331331331180医学院105109外科学(专业学位)14024395316349180医学院105110妇产科学(专业学位)4310358330346180医学院105111眼科学(专业学位)54378324349180医学院105112耳鼻咽喉科学(专业学位)32380341360180医学院105113肿瘤学(专业学位)4112382332359180医学院105116麻醉学(专业学位)102350333341180医学院105117急诊医学(专业学位)22356335345180医学院105127(专业学位)22342335338180医学院105200口腔医学(专业学位)192357342349180医学院120402社会医学与卫生事业管理271382382382190药学院100700药学24018398338366190药学院105500药学(专业学位)910401339361200管理学院95110农村与区域发展(专业学位)42366347356200管理学院125100工商管理(专业学位)925346232160184200管理学院125300会计(专业学位)1206243225232210计算机学院81200计算机科学与技术84560426340377210计算机学院85211计算机技术(专业学位)8552392336355210计算机学院85237工业设计工程(专业学位)69391336360210计算机学院130500设计学676409396403220公共管理学院20207劳动经济学61367367367220公共管理学院30201政治学理论133394354377220公共管理学院30202中外政治制度82384352368220公共管理学院30204中共党史21363363363220公共管理学院30207国际关系82376371373220公共管理学院30301社会学133402379390220公共管理学院30302人口学62392368380220公共管理学院35200社会工作99407333365220公共管理学院120401行政管理11614412356373220公共管理学院120404社会保障101356356356220公共管理学院120405土地资源管理508409359382220公共管理学院120502情报学71405405405220公共管理学院120503档案学71395395395220公共管理学院125200公共管理(专业学位)42791242182206230传媒与国际文化学院10106美学102375360367230传媒与国际文化学院45300汉语国际教育(专业学位)275392347376230传媒与国际文化学院55200新闻与传播(专业学位)16216395358374230传媒与国际文化学院135105广播电视(专业学位)349395367378240航空航天学院80102固体力学276424370382240航空航天学院80103流体力学83390349366240航空航天学院80104工程力学132406361383240航空航天学院80903微电子学与固体电子学115379339357240航空航天学院81105导航、制导与控制21358358358240航空航天学院0812Z3空天信息技术36375345356240航空航天学院82501飞行器设计163389373380240航空航天学院82502航空宇航推进理论与工程21356356356240航空航天学院85208电子与通信工程(专业学位)023********240航空航天学院85233航天工程(专业学位)1210381338361250机械工程学系80201机械制造及其自动化17410402376387250机械工程学系80202机械电子工程12420414357382250机械工程学系80203机械设计及理论9113417343374250机械工程学系0802Z1工业工程153390348365250机械工程学系85201机械工程(专业学位)11656398335367250机械工程学系125600工程管理52208203205260材料科学与工程系80500材料科学与工程18832424375396260材料科学与工程系85204材料工程(专业学位)8720420379403260材料科学与工程系125600工程管理21216216216270能源工程学系80204车辆工程152370368369270能源工程学系80701工程热物理6313424371400270能源工程学系80703动力机械及工程165412363379270能源工程学系80705制冷及低温工程205406369379270能源工程学系0807Z1能源环境工程2811416361391270能源工程学系81404供热、供燃气、通风及空调工程41385385385270能源工程学系85206动力工程(专业学位)2222420363387280化工系80706化工过程机械3710412345370280化工系81700化学工程与技术14824422343384 280化工系81703生物化工335385342369 280化工系0817Z4制药工程125379362372280化工系85206动力工程(专业学位)83377354368280化工系85216化学工程(专业学位)6826408336365280化工系85238生物工程(专业学位)810377346361290高分子系70305高分子化学与物理537387361372290高分子系0805Z1高分子材料919392361375300光电信息工程学系80300光学工程20542394335360300光电信息工程学系80402测试计量技术及仪器244400361382300光电信息工程学系85202光学工程(专业学位)192378361369310信息与电子工程学系80900电子科学与技术12324395349368310信息与电子工程学系81000信息与通信工程12212425371391310信息与电子工程学系85208电子与通信工程(专业学位)10024409338366320控制科学与工程学系81100控制科学与工程18827407347377320控制科学与工程学系85210控制工程(专业学位)3120404335363330思政部30206国际政治52383354368330思政部30501马克思主义基本原理42373367370330思政部30503马克思主义中国化研究102387355371330思政部30505思想政治教育425411355382330思政部30506中国近现代史基本问题研究11388388388340海洋系70701物理海洋学126396316346 340海洋系70702海洋化学14360338345340海洋系70703海洋生物学68365316345 340海洋系70704海洋地质810396327347340海洋系81505港口、海岸及近海工程204378350363340海洋系82400船舶与海洋工程358383336361 340海洋系85214水利工程28383346361340海洋系85223船舶与海洋工程416400335359340海洋系1007Z1海洋药物学53349321330 350数学系70101基础数学7116361305329 350数学系70102计算数学317339315329 350数学系70104应用数学658373300327350数学系70105运筹学与控制论91362362362 350数学系71400统计学6010404331363 360物理学系70201理论物理357421348376360物理学系70204等离子体物理23389354367360物理学系70205凝聚态物理6415378330355 360物理学系70207光学216403335357360物理学系70208无线电物理32398333365 370化学系70300化学18940411323359380地球科学系70502人文地理学332399350374380地球科学系70503地图学与地理信息系统232418372395380地球科学系70601气象学113344312328380地球科学系70902地球化学22380355367380地球科学系70904构造地质学54419373390380地球科学系81800地质资源与地质工程41389389389380地球科学系85217地质工程(专业学位)06394343376390心理与行为科学系40202发展与教育心理学352401377389390心理与行为科学系40203应用心理学2606385376380390心理与行为科学系45400应用心理(专业学位)104373368370510软件学院85212软件工程(专业学位)256494193333622016年硕士各专业报录比及平均分院系代码院系名称专业代码专业名称报考人数录取人数录取最高分录取最低分录取平均分10经济学院20101政治经济学15339638039010经济学院20102经济思想史6138038038010经济学院20104西方经济学25343538340310经济学院20105世界经济6138538538510经济学院20106人口、资源与环境经济学3138238238210经济学院20201国民经济学6137037037010经济学院20202区域经济学81383383383 10经济学院20204金融学104341740140910经济学院20205产业经济学48541237739610经济学院20206国际贸易学32239037538210经济学院20207劳动经济学3137637637610经济学院20209数量经济学9140240240210经济学院0202Z1互联网金融学14139639639610经济学院25100金融(专业学位)3764743637439910经济学院25300税务16640336638110经济学院25400国际商务(专业学位)601043736139120光华法学院30101法学理论13239039039020光华法学院30103宪法学与行政法学15437835936720光华法学院30104刑法学13137437437420光华法学院30105民商法学29242940441620光华法学院30106诉讼法学5236835536120光华法学院30107经济法学30241940941420光华法学院30108环境与资源保护法学2139439439420光华法学院30109国际法学17541437639020光华法学院35101法律(非法学)(专业学位)3524240136038120光华法学院35102法律(法学)(专业学位)37136036036030教育学院40101教育学原理18136836836830教育学院40102课程与教学论392373362367 30教育学院40103教育史11237036136530教育学院40104比较教育学18339336738230教育学院40106高等教育学16137737737730教育学院40110教育技术学8139039039030教育学院40301体育人文社会学9138138138130教育学院40302运动人体科学5134734734730教育学院45117科学技术与教育77385343364 30教育学院45202运动训练0537*******40人文学院10101马克思主义哲学31393393393 40人文学院10102中国哲学182375368371 40人文学院10103外国哲学172401384392 40人文学院10104逻辑学43427358400 40人文学院10107宗教学5137637637640人文学院10108科学技术哲学52403374388 40人文学院0101Z1★休闲学91384384384 40人文学院50101文艺学18239839539640人文学院50102语言学及应用语言学15138638638640人文学院50103汉语言文字学37340638839440人文学院50104中国古典文献学47441638640040人文学院50105中国古代文学103538337237740人文学院50106中国现当代文学116541240040740人文学院50108比较文学与世界文学27243542543040人文学院60100考古学102428407417 40人文学院60200中国史633369347355 40人文学院60300世界史21237335736540人文学院65100文物与博物馆(专业学位)20943135340540人文学院71200科学技术史21386386386 40人文学院130400美术学274406375387 40人文学院130500设计学16341738439640人文学院135107美术62392371381 50外语学院50201英语语言文学521041436238350外语学院50204德语语言文学4241340040650外语学院50211外国语言学及应用语言学451039336237950外语学院55101英语笔译(专业学位)49639336337570生命科学学院71001植物学371038634736970生命科学学院71005微生物学73638834536970生命科学学院71007遗传学20738135336270生命科学学院71008发育生物学3135935935970生命科学学院71009细胞生物学681138834636670生命科学学院71010生物化学与分子生物学1091638133035870生命科学学院71300生态学618394357371100电气工程学院80800电气工程29138434357397100电气工程学院81101控制理论与控制工程3711419345369100电气工程学院85207电气工程(专业学位)10337437347385120建筑工程学院81401岩土工程1149426383400120建筑工程学院81402结构工程14416409333383120建筑工程学院81403市政工程567410360380120建筑工程学院81406桥梁与隧道工程312394374384120建筑工程学院81501水文学及水资源61349349349120建筑工程学院81503水工结构工程71358358358120建筑工程学院82302交通信息工程及控制11367367367120建筑工程学院82303交通运输规划及管理31377377377120建筑工程学院83300城乡规划学726394360381120建筑工程学院85100建筑学(专业学位)13322402343375120建筑工程学院85213建筑与土木工程(专业学位)5129431336379120建筑工程学院85214水利工程46384350365120建筑工程学院85222交通运输工程(专业学位)153********120建筑工程学院1201Z2工程管理222388382385130生工食品学院82801农业机械化工程247395345370130生工食品学院82802农业水土工程21339339339130生工食品学院82804农业电气化与自动化62399357378130生工食品学院0828Z1生物系统工程75394331353130生工食品学院83201食品科学1168414369391130生工食品学院0832Z1食品安全与营养101379379379130生工食品学院85227农业工程(专业学位)37353335344130生工食品学院85231食品工程(专业学位)3412426331357140环境与资源学院83001环境科学6522412336361140环境与资源学院83002环境工程12314408371388140环境与资源学院85229环境工程(专业学位)7718401346372140环境与资源学院90301土壤学265414387399140环境与资源学院90302植物营养学333424381399140环境与资源学院0903Z1农业遥感与信息技术135403336380140环境与资源学院95103农业资源利用(专业学位)317422326373140环境与资源学院95112农业信息化(专业学位)29387338352150生物医学与仪器学院0804Z1★电子信息技术及仪器6310422344374150生物医学与仪器学院83100生物医学工程948392362377150生物医学与仪器学院85203仪器仪表工程(专业学位)137389345367150生物医学与仪器学院85230生物医学工程(专业学位)68367345356160农业与生物技术学院71011生物物理学47370339354160农业与生物技术学院83400风景园林学151375375375160农业与生物技术学院90101作物栽培学与耕作学112364352358160农业与生物技术学院90102作物遗传育种424383339361160农业与生物技术学院0901Z1种子科学与技术71367367367160农业与生物技术学院90201果树学445396370385160农业与生物技术学院90202蔬菜学686395366379160农业与生物技术学院90203茶学442382367374160农业与生物技术学院90401植物病理学7210417348367160农业与生物技术学院90402农业昆虫与害虫防治515388361377160农业与生物技术学院90403农药学208376339353160农业与生物技术学院95101作物(专业学位)110371325346160农业与生物技术学院95102园艺(专业学位)1818399337361160农业与生物技术学院95104植物保护(专业学位)714393326357160农业与生物技术学院95300风景园林(专业学位)468405377389170动物科学学院83201食品科学21395395395170动物科学学院90501动物遗传育种与繁殖114361331345170动物科学学院90502动物营养与饲料科学829396362373170动物科学学院90504特种经济动物饲养187386334347170动物科学学院90601基础兽医学62393336364170动物科学学院90602预防兽医学277403340365170动物科学学院90603临床兽医学151363363363170动物科学学院90801水产养殖52361355358170动物科学学院95105养殖(专业学位)722422330365170动物科学学院95200兽医(专业学位)811399338367180医学院71003生理学43407366388 180医学院71005微生物学152349330339180医学院71006神经生物学3516407339369 180医学院71007遗传学205385331358180医学院71009细胞生物学4310378332352180医学院71010生物化学与分子生物学5311390341362180医学院71011生物物理学23359346352180医学院0710Z1★生物信息学42341333337180医学院100101人体解剖与组织胚胎学153********180医学院100102免疫学98392322355 180医学院100103病原生物学21332332332180医学院100104病理学与病理生理学1113381321347180医学院1001Z1★干细胞和再生医学65395334353180医学院100201内科学10231408331372 180医学院100202儿科学1510382327348 180医学院100204神经病学104386353369180医学院100205精神病与精神卫生学62358355356180医学院100206皮肤病与性病学31386386386180医学院100207影像医学与核医学255399322354180医学院100208临床检验诊断学354359338351180医学院100210外科学8028392323357 180医学院100211妇产科学249396352378 180医学院100212眼科学126367327340180医学院100213耳鼻咽喉科学11347347347 180医学院100214肿瘤学2517392353373 180医学院100216运动医学12348344346 180医学院100217麻醉学162358320339 180医学院100218急诊医学31327327327 180医学院1002Z2全科医学41355355355180医学院1002Z3★微创医学853********180医学院1002Z4★重症医学33367359363180医学院100302口腔临床医学185388328362180医学院100401流行病与卫生统计学261405405405180医学院100402劳动卫生与环境卫生学103373343362180医学院100403营养与食品卫生学144377337354180医学院100405卫生毒理学31357357357 180医学院100706药理学279387324348 180医学院101100护理学354347328333180医学院105101内科学(专业学位)20533405327359180医学院105102儿科学(专业学位)5114390321354180医学院105103老年医学(专业学位)121383383383180医学院105104神经病学(专业学位)192387371379180医学院105105精神病与精神卫生学(专业学位)71341341341180医学院105106皮肤病与性病学(专业学位)101327327327180医学院105107影像医学与核医学(专业学位)465402348372180医学院105108临床检验诊断学81346346346180医学院105109外科学(专业学位)20237409323356180医学院105110妇产科学(专业学位)676384336362180医学院105111眼科学(专业学位)173398329354180医学院105112耳鼻咽喉科学(专业学位)72373329351180医学院105113肿瘤学(专业学位)748404359377180医学院105116麻醉学(专业学位)132379325352180医学院105117急诊医学(专业学位)73371345358180医学院105127全科医学(专业学位)41355355355180医学院105200口腔医学(专业学位)202371370370180医学院120402社会医学与卫生事业管理222445430437190药学院100700药学27919413345373190药学院105500药学(专业学位)711400347369200管理学院95110农村与区域发展(专业学位)21402402402200管理学院125100工商管理(专业学位)1106359241165192200管理学院125300会计(专业学位)1417257231240210计算机学院81200计算机科学与技术65256412333357210计算机学院83500软件工程351381381381210计算机学院85211计算机技术(专业学位)16754381330347210计算机学院85237工业设计工程(专业学位)279419355387210计算机学院130500设计学666439395417220公共管理学院30201政治学理论205408397403220公共管理学院30202中外政治制度94390363374220公共管理学院30204中共党史11382382382220公共管理学院30207国际关系61394394394220公共管理学院30301社会学203432382406220公共管理学院30302人口学62399376387220公共管理学院35200社会工作1820421350384220公共管理学院120401行政管理16012407390396220公共管理学院120403教育经济与管理81403403403220公共管理学院120405土地资源管理607398357366220公共管理学院1204Z3非传统安全管理11368368368220公共管理学院120502情报学62404370387220公共管理学院120503档案学41399399399220公共管理学院125200公共管理(专业学位)410102249190210230传媒与国际文化学院10106美学153412387401230传媒与国际文化学院45300汉语国际教育(专业学位)264409401406230传媒与国际文化学院50301新闻学172422411416230传媒与国际文化学院50302传播学174398382387230传媒与国际文化学院55200新闻与传播(专业学位)17715412374392230传媒与国际文化学院135105广播电视(专业学位)366399378389240航空航天学院80102固体力学193412361382240航空航天学院80103流体力学101393393393240航空航天学院80903微电子学与固体电子学65383342363240航空航天学院0812Z3空天信息技术41338338338240航空航天学院82501飞行器设计141345345345240航空航天学院85208电子与通信工程(专业学位)133********240航空航天学院85233航天工程(专业学位)712384339357250机械工程学系80201机械制造及其自动化12519418358381250机械工程学系80202机械电子工程13828432355381250机械工程学系80203机械设计及理论9512399355371250机械工程学系0802Z1工业工程223372333351250机械工程学系85201机械工程(专业学位)17241408347370250机械工程学系85236工业工程51361361361250机械工程学系125600工程管理33285224165186260材料科学与工程系80500材料科学与工程19830440357386260材料科学与工程系85204材料工程(专业学位)4325424332370270能源工程学系80204车辆工程61372372372270能源工程学系80701工程热物理609417377397270能源工程学系80702热能工程433419399410270能源工程学系80703动力机械及工程243415381395270能源工程学系80705制冷及低温工程215414378396270能源工程学系0807Z1能源环境工程269410366389270能源工程学系0807Z2新能源科学与工程163388370378270能源工程学系81404供热、供燃气、通风及空调工程31415415415270能源工程学系85206动力工程(专业学位)2119425369383280化工系80706化工过程机械437396367381280化工系81700化学工程与技术15627413351377 280化工系81703生物化工296378357368 280化工系0817Z4制药工程134389333361280化工系85206动力工程(专业学位)24378357369280化工系85216化学工程(专业学位)6525383335355280化工系85238生物工程(专业学位)37368339355290高分子系70305高分子化学与物理5412395342366290高分子系0805Z1高分子材料8410400354367300光电信息工程学系80300光学工程20414432368384300光电信息工程学系80402测试计量技术及仪器3111398340366300光电信息工程学系85202光学工程(专业学位)1515382333361310信息与电子工程学系80900电子科学与技术10021398331364310信息与电子工程学系80902电路与系统617422376396310信息与电子工程学系81000信息与通信工程10215414359383310信息与电子工程学系85208电子与通信工程(专业学位)11928404335367310信息与电子工程学系85209集成电路工程(专业学位)54379347366320控制科学与工程学系81100控制科学与工程16925418346376320控制科学与工程学系85210控制工程(专业学位)7022414348377330思政部30203科学社会主义与国际共产主义运动21382382382330思政部30206国际政治42401375388330思政部30501马克思主义基本原理92432396414330思政部30503马克思主义中国化研究51400400400330思政部30505思想政治教育274449374406340海洋系70701物理海洋学187406345373 340海洋系70702海洋化学44363331343340海洋系70703海洋生物学104399356375 340海洋系70704海洋地质1211400344364340海洋系81505港口、海岸及近海工程243408373385340海洋系82401船舶与海洋结构物设计制造279384345365340海洋系85214水利工程153******** 340海洋系85223船舶与海洋工程913390330357340海洋系1007Z1海洋药物学115401327348 350数学系70101基础数学5918420336363 350数学系70102计算数学305411332360 350数学系70104应用数学557405352373350数学系70105运筹学与控制论92363336349 350数学系71400统计学664397353374 360物理学系70201理论物理5510413352387360物理学系70205凝聚态物理6513431332372 360物理学系70207光学172355343349 370化学系70300化学18338427339373380地球科学系70501自然地理学61400400400380地球科学系70502人文地理学271389389389380地球科学系70503地图学与地理信息系统436418388404380地球科学系70601气象学134358331345380地球科学系70704海洋地质32405384394380地球科学系70904构造地质学97421366391380地球科学系81800地质资源与地质工程32377343360380地球科学系85217地质工程(专业学位)14418375402390心理与行为科学系40203应用心理学25510413377396390心理与行为科学系45400应用心理(专业学位)174382378380510软件学院85212软件工程(专业学位)212904063043392017年硕士各专业报录比及平均分2018年硕士各专业报录比及平均分。
学院代码学院名称专业代码专业名称报考人数录取人数最高分40人文学院10101马克思主义哲学121387 40人文学院10102中国哲学353390 40人文学院10103外国哲学526376 40人文学院10104逻辑学142380 40人文学院10105伦理学81390 230传媒与国际文化学院10106美学405393 40人文学院10107宗教学101366 40人文学院10108科学技术哲学223358 40人文学院10120★休闲学332382 10经济学院20101政治经济学884385 10经济学院20102经济思想史81391 10经济学院20104西方经济学745424 10经济学院20106人口、资源与环境经济学161389 10经济学院20201国民经济学130010经济学院20202区域经济学341397浙江大学2012年硕士报考录取人数统计表(按专业代码下列统计中不含免试、单独考试、强军计划以及少民骨干计划考生;录取人数中包括了由本校其他业调剂到该专业录取的考生。
2013年招生专业和招生人数会有较大变动,请以2013年硕士招生目录为准10经济学院20203财政学362393 10经济学院20204金融学39912428 10经济学院20205产业经济学2395393 10经济学院20206国际贸易学2098426 220公共管理学院20207劳动经济学283398 10经济学院20209数量经济学11140810经济学院25100金融(专业学位)3052241010经济学院25400国际商务(专业学位)761740120光华法学院30101法学理论291391 20光华法学院30102法律史5136720光华法学院30103宪法学与行政法学60338120光华法学院30104刑法学471369 20光华法学院30105民商法学1322370 20光华法学院30106诉讼法学312371 20光华法学院30107经济法学95237820光华法学院30108环境与资源保护法学11135720光华法学院30109国际法学442359 220公共管理学院30201政治学理论305383 220公共管理学院30202中外政治制度294408220公共管理学院30204中共党史51383 330思政部30206国际政治273371 220公共管理学院30207国际关系291398 220公共管理学院30301社会学503395 220公共管理学院30302人口学24383330思政部30501马克思主义基本原理103384330思政部30503马克思主义中国化研究244370330思政部30505思想政治教育1025376330思政部30506中国近现代史基本问题研究4138020光华法学院35101法律(非法学)(专业学位)8146240520光华法学院35102法律(法学)(专业学位)67236630教育学院40101教育学原理653357 30教育学院40102课程与教学论1817354 30教育学院40103教育史534350 30教育学院40104比较教育学834360 30教育学院40106高等教育学1198368 30教育学院40107成人教育学202350 30教育学院40110教育技术学31234860理学院40202发展与教育心理学62135060理学院40203应用心理学7491540830教育学院40301体育人文社会学21233630教育学院40302运动人体科学25232430教育学院40303体育教育训练学130030教育学院45201体育教学400230传媒与国际文化学院45300汉语国际教育(专业学位)0440560理学院45400应用心理(专业学位)32335140人文学院50101文艺学414407 40人文学院50103汉语言文字学217641340人文学院50104中国古典文献学91841340人文学院50105中国古代文学247839540人文学院50106中国现当代文学283940140人文学院50108比较文学与世界文学86440450外语学院50201英语语言文学2906414 50外语学院50202俄语语言文学185422 50外语学院50203法语语言文学191400 50外语学院50204德语语言文学212410 50外语学院50205日语语言文学32440650外语学院50211外国语言学及应用语言学217739650外语学院55101英语笔译(专业学位)703376230传媒与国际文化学院55200新闻与传播(专业学位)1692539340人文学院60100考古学244341 40人文学院60200中国史10311370 60理学院60200中国史71341 40人文学院60300世界史46637340人文学院65100文物与博物馆(专业学位)13135660理学院70101基础数学17216356 60理学院70102计算数学9810360 60理学院70104应用数学1801234260理学院70105运筹学与控制论68538960理学院70201理论物理7510393 60理学院70204等离子体物理63420 60理学院70205凝聚态物理12917411 60理学院70207光学7412402 60理学院70208无线电物理92396 60理学院70300化学51055400290高分子系70305高分子化学与物理1751440360理学院70502人文地理学79737860理学院70503地图学与地理信息系统42941160理学院70601气象学81337 340海洋系70700海洋科学613399 70生命科学学院70703海洋生物学10060理学院70704海洋地质7133760理学院70901矿物学、岩石学、矿床学7238060理学院70902地球化学94379 60理学院70904构造地质学146411 70生命科学学院71001植物学13122393 180医学院71003生理学95371 70生命科学学院71005微生物学17512400 170动物科学学院71005微生物学51379 180医学院71005微生物学181351 180医学院71006神经生物学3112378 70生命科学学院71007遗传学4211390 180医学院71007遗传学113383 70生命科学学院71008发育生物学62394 70生命科学学院71009细胞生物学17310403 180医学院71009细胞生物学901439270生命科学学院71010生物化学与分子生物学21316399160农业与生物技术学院71010生物化学与分子生物学124383180医学院71010生物化学与分子生物学801239470生命科学学院71011生物物理学200160农业与生物技术学院71011生物物理学2112398180医学院71011生物物理学61363 70生命科学学院71020★生物信息学365393100电气工程学院71102系统分析与集成12539140人文学院71200科学技术史83376 60理学院71200科学技术史21384 70生命科学学院71300生态学2310394 10经济学院71400统计学30060理学院71400统计学296341 240航空航天学院80102固体力学377400 240航空航天学院80103流体力学383415 240航空航天学院80104工程力学484364250机械工程学系80201机械制造及其自动化45218429250机械工程学系80202机械电子工程43222422130生工食品学院80203机械设计及理论100250机械工程学系80203机械设计及理论31317432250机械工程学系80204车辆工程523417 270能源工程学系80204车辆工程311384 250机械工程学系80220★工业工程1009442300光电信息工程学系80300光学工程49329410300光电信息工程学系80402测试计量技术及仪器4513393150生物医学与仪器学院80420★电子信息技术及仪器21519430260材料科学与工程系80500材料科学与工程80648434290高分子系80520★高分子材料29017395 270能源工程学系80701工程热物理22719437 270能源工程学系80702热能工程19316419270能源工程学系80703动力机械及工程447392270能源工程学系80704流体机械及工程200270能源工程学系80705制冷及低温工程813397280化工系80706化工过程机械19010427270能源工程学系80720★能源环境工程3012415100电气工程学院80801电机与电器15413429100电气工程学院80802电力系统及其自动化34314449100电气工程学院80804电力电子与电力传动25912434100电气工程学院80805电工理论与新技术637419100电气工程学院80820★电力工程管理与信息化200310信息与电子工程学系80900电子科学与技术19629426100电气工程学院80902电路与系统15913424310信息与电子工程学系81000信息与通信工程61514420320控制科学与工程学系81100控制科学与工程69837412100电气工程学院81101控制理论与控制工程1377420240航空航天学院81105导航、制导与控制43397210计算机学院81201计算机系统结构1096375210计算机学院81203计算机应用技术196097410240航空航天学院81221★空天信息技术85392120建筑工程学院81401岩土工程21518421 120建筑工程学院81402结构工程51119431 120建筑工程学院81403市政工程762400120建筑工程学院81404供热、供燃气、通风及空调工程22382120建筑工程学院81405防灾减灾工程及防护工程662406120建筑工程学院81406桥梁与隧道工程1245404120建筑工程学院81501水文学及水资源73395120建筑工程学院81502水力学及河流动力学61388120建筑工程学院81503水工结构工程183433340海洋系81505港口、海岸及近海工程166393280化工系81701化学工程54224412 280化工系81702化学工艺1004398 280化工系81703生物化工14511411 60理学院81704应用化学600 280化工系81704应用化学764389 280化工系81705工业催化17139060理学院81800地质资源与地质工程122369130生工食品学院82203发酵工程400120建筑工程学院82301道路与铁道工程112369120建筑工程学院82302交通信息工程及控制200120建筑工程学院82303交通运输规划与管理100340海洋系82401船舶与海洋结构物设计制造138391240航空航天学院82501飞行器设计144391240航空航天学院82502航空宇航推进理论与工程21393240航空航天学院82503航空宇航制造工程200160农业与生物技术学院82703核技术及应用31364130生工食品学院82801农业机械化工程185411130生工食品学院82803农业生物环境与能源工程52384130生工食品学院82804农业电气化与自动化174401130生工食品学院82820★生物系统工程177386140环境与资源学院83001环境科学14112406 140环境与资源学院83002环境工程53324408150生物医学与仪器学院83100生物医学工程17620418130生工食品学院83201食品科学45515433 170动物科学学院83201食品科学51341130生工食品学院83202粮食、油脂及植物蛋白工程300130生工食品学院83203农产品加工及贮藏工程200120建筑工程学院83300城乡规划学678425160农业与生物技术学院83400风景园林学332399210计算机学院83500软件工程713381120建筑工程学院85100建筑学(专业学位)1279389250机械工程学系85201机械工程(专业学位)6231411300光电信息工程学系85202光学工程(专业学位)1416384150生物医学与仪器学院85203仪器仪表工程(专业学位)59397260材料科学与工程系85204材料工程(专业学位)2517402270能源工程学系85206动力工程(专业学位)1416399280化工系85206动力工程(专业学位)06391100电气工程学院85207电气工程(专业学位)7428438310信息与电子工程学系85208电子与通信工程(专业学位)7122420310信息与电子工程学系85209集成电路工程400320控制科学与工程学系85210控制工程(专业学位)2721393210计算机学院85211计算机技术(专业学位)2317371510软件学院85212软件工程(专业学位)362119416120建筑工程学院85213建筑与土木工程(专业学位)329397280化工系85216化学工程(专业学位)122938860理学院85217地质工程100 120建筑工程学院85222交通运输工程100130生工食品学院85227农业工程(专业学位)26406140环境与资源学院85229环境工程(专业学位)1625391150生物医学与仪器学院85230生物医学工程(专业学位)57381130生工食品学院85231食品工程(专业学位)4114406240航空航天学院85233航天工程(专业学位)110390210计算机学院85237工业设计工程(专业学位)01361280化工系85238生物工程(专业学位)03364160农业与生物技术学院90100作物学17417410160农业与生物技术学院90200园艺学38327398140环境与资源学院90301土壤学587405 140环境与资源学院90302植物营养学637402140环境与资源学院90320★农业遥感与信息技术536424140环境与资源学院90322★环境修复与资源再生74392160农业与生物技术学院90400植物保护42941409170动物科学学院90501动物遗传育种与繁殖272402170动物科学学院90502动物营养与饲料科学19117412170动物科学学院90504特种经济动物饲养598387170动物科学学院90601基础兽医学161336 170动物科学学院90602预防兽医学939397 170动物科学学院90603临床兽医学162343 170动物科学学院90801水产养殖304390160农业与生物技术学院95101作物(专业学位)213376160农业与生物技术学院95102园艺(专业学位)317387140环境与资源学院95103农业资源利用(专业学位)38391160农业与生物技术学院95104植物保护(专业学位)516371170动物科学学院95105养殖(专业学位)215396140环境与资源学院95112农业信息化(专业学位)03369170动物科学学院95200兽医(专业学位)76362160农业与生物技术学院95300风景园林(专业学位)515394180医学院100101人体解剖与组织胚胎学44358180医学院100102免疫学177378 180医学院100103病原生物学21375180医学院100104病理学与病理生理学3610373180医学院100105法医学100180医学院100120干细胞和再生医学62365180医学院100201内科学56631379 180医学院100202儿科学8910376 180医学院100203老年医学101327 180医学院100204神经病学844375180医学院100205精神病与精神卫生学293335180医学院100206皮肤病与性病学312365180医学院100207影像医学与核医学762343180医学院100208临床检验诊断学632352180医学院100210外科学43818386 180医学院100211妇产科学1799365 180医学院100212眼科学514381180医学院100213耳鼻咽喉科学121350 180医学院100214肿瘤学1427380 180医学院100216运动医学900 180医学院100217麻醉学963381 180医学院100218急诊医学192374 180医学院100220★全科医学191368 180医学院100302口腔临床医学1175363180医学院100401流行病与卫生统计学714373180医学院100402劳动卫生与环境卫生学284368180医学院100403营养与食品卫生学251356180医学院100405卫生毒理学61355180医学院100602中西医结合临床61369190药学院100700药学80128405 180医学院100706药理学587374 180医学院101100护理学592350180医学院105101内科学(专业学位)20628372180医学院105102儿科学(专业学位)145357180医学院105103老年医学100180医学院105104神经病学(专业学位)382378180医学院105105精神病与精神卫生学(专业学位)62340180医学院105106皮肤病与性病学(专业学位)111336180医学院105107影像医学与核医学(专业学位)285375180医学院105109外科学(专业学位)22122367180医学院105110妇产科学(专业学位)597346180医学院105111眼科学(专业学位)52348180医学院105112耳鼻咽喉科学(专业学位)21339180医学院105113肿瘤学(专业学位)597352180医学院105116麻醉学(专业学位)163372180医学院105117急诊医学(专业学位)62338180医学院105200口腔医学(专业学位)386352190药学院105500药学(专业学位)84379200管理学院120100管理科学与工程2837411120建筑工程学院120120★工程管理783417 200管理学院120202企业管理108614416 200管理学院120203旅游管理843389 200管理学院120220★创业管理413416 200管理学院120301农业经济管理383401 200管理学院120302林业经济管理100220公共管理学院120401行政管理55212402180医学院120402社会医学与卫生事业管理553392220公共管理学院120403教育经济与管理235415220公共管理学院120404社会保障452407 220公共管理学院120405土地资源管理16013411220公共管理学院120421★非传统安全管理111383220公共管理学院120501图书馆学400 220公共管理学院120502情报学164410 220公共管理学院120503档案学184410200管理学院125100工商管理(专业学位)2234307236220公共管理学院125200公共管理(专业学位)75051238200管理学院125300会计(专业学位)46323740人文学院130100艺术学理论300230传媒与国际文化学院130300戏剧与影视学14238840人文学院130400美术学102401 40人文学院130500设计学261353 210计算机学院130500设计学746377230传媒与国际文化学院135105广播电视(专业学位)288397业代码排序)取人数中包括了由本校其他相近专2013年硕士招生目录为准。
2023年硕士研究生报考录取统计表(原创版)目录1.2023 年硕士研究生报考录取统计表概述2.各大地区院校报考录取情况分析3.2023 年硕士研究生报考录取人数4.2023 年硕士研究生报考录取比5.2023 年硕士研究生录取情况示例正文随着 2023 年全国硕士研究生招生工作的结束,各高校的报考录取统计数据也逐渐浮出水面。
本文将基于提供的文本,为您详细解析 2023 年硕士研究生的报考录取情况。
首先,我们来了解一下 2023 年硕士研究生报考录取统计表的概述。
这份统计表详细记录了全国各地高校硕士研究生的报考人数、录取人数以及录取比例等信息。
从表中我们可以看到,各大地区院校的报考录取情况各不相同,下面我们将对各地区院校的报考录取情况进行分析。
华北地区,以北京为例,众多名校的聚集地,吸引了大量考生报考。
其中,北京交通大学、北京林业大学、北京科技大学等高校的报考人数较多。
华东地区,以上海为例,上海财经大学、上海理工大学、华东师范大学等高校的报考人数也相当可观。
接下来,我们来关注一下 2023 年硕士研究生报考录取人数。
根据统计表,全国共有数百万考生报考硕士研究生,各高校的录取人数也相应增加。
其中,学术硕士和专业硕士的录取人数分别占据一定比例。
具体各高校的录取人数,请参考提供的文本中的详细数据。
值得一提的是,2023 年硕士研究生报考录取比,即录取人数与报考人数的比例。
从统计表中可以看到,各高校的报考录取比相差较大,有的高校报考录取比高达 1:10,有的则在 1:5 左右。
具体各高校的报考录取比,请参考提供的文本中的详细数据。
最后,我们来看一下 2023 年硕士研究生录取情况示例。
以华南理工大学为例,该校 2023 年硕士研究生报考录取统计显示,报考人数为10000 人,录取人数为 2000 人,报考录取比为 1:5。
此外,国防科技大学的报考录取比为 1:8,浙江工商大学的报考录取比为 1:7 等。
浙江大学2012年硕士报考录取人数统计表(按专业代码排序)下列统计中不含免试、单独考试、强军计划以及少民骨干计划考生;录取人数中包括了由本校其他相近专业调剂到该专业录取的考生。
2013年招生专业和招生人数会有较大变动,请以2013年硕士招生目录为准。
学院代码学院名称专业代码专业名称报考人数录取人数最高分最低分平均分040 人文学院 010101 马克思主义哲学 12 1 387 387 387.0040 人文学院 010102 中国哲学 35 3 390 366 380.7 040 人文学院 010103 外国哲学 52 6 376 346 359.5 040 人文学院 010104 逻辑学14 2 380 369 374.5 040 人文学院 010105 伦理学8 1 390 390 390.0 230 传媒与国际文化学院010106 美学40 5 393 343 365.6040 人文学院 010107 宗教学10 1 366 366 366.0 040 人文学院 010108 科学技术哲学22 3 358 347 353.7040 人文学院 010120 ★休闲学 33 2 382 362 372.0 010 经济学院 020101 政治经济学88 4 385 369 378.0 010 经济学院 020102 经济思想史8 1 391 391 391.0 010 经济学院 020104 西方经济学74 5 424 366 397.6010 经济学院 020106 人口、资源与环境经济学16 1 389 389 389.0010 经济学院 020201 国民经济学13 0 0 0 0.0010 经济学院 020202 区域经济学34 1 397 397 397.0 010 经济学院 020203 财政学36 2 393 383 388.0 010 经济学院 020204 金融学399 12 428 372 397.2 010 经济学院 020205 产业经济学239 5 393 375 383.0010 经济学院 020206 国际贸易学209 8 426 388 404.7220 公共管理学院020207 劳动经济学28 3 398 383 390.3010 经济学院 020209 数量经济学11 1 408 408 408.0 010 经济学院 025100 金融(专业学位) 305 22 410 365 383.0010 经济学院 025400 国际商务(专业学位) 76 17 401 360 380.2020 光华法学院030101 法学理论 29 1 391 391 391.0 020 光华法学院030102 法律史 5 1 367 367 367.0 020 光华法学院030103 宪法学与行政法学60 3 381 355 365.0020 光华法学院030104 刑法学47 1 369 369 369.0020 光华法学院030105 民商法学 132 2 370 363 366.5020 光华法学院030106 诉讼法学 31 2 371 359 365.0 020 光华法学院030107 经济法学 95 2 378 366 372.0 020 光华法学院030108 环境与资源保护法学11 1 357 357 357.0020 光华法学院030109 国际法学 44 2 359 357 358.0 220 公共管理学院030201 政治学理论30 5 383 361 371.2220 公共管理学院030202 中外政治制度29 4 408 372 388.0220 公共管理学院030204 中共党史 5 1 383 383 383.0330 思政部030206 国际政治 27 3 371 355 361.7 220 公共管理学院030207 国际关系 29 1 398 398 398.0220 公共管理学院030301 社会学50 3 395 353 380.3220 公共管理学院030302 人口学 2 4 383 363 371.5330 思政部030501 马克思主义基本原理10 3 384 362 374.7330 思政部030503 马克思主义中国化研究 24 4 370 361 365.2330 思政部030505 思想政治教育102 5 376 353 369.0330 思政部030506 中国近现代史基本问题研究 4 1 380 380 380.0020 光华法学院035101 法律(非法学)(专业学位) 81462 405 327 354.4020 光华法学院035102 法律(法学)(专业学位) 67 2 366 342 354.0030 教育学院 040101 教育学原理65 3 357 346 351.3 030 教育学院 040102 课程与教学论181 7 354 340 347.4030 教育学院 040103 教育史53 4 350 340 344.0 030 教育学院 040104 比较教育学83 4 360 342 354.2 030 教育学院 040106 高等教育学119 8 368 344 356.4030 教育学院 040107 成人教育学20 2 350 349 349.5 030 教育学院 040110 教育技术学31 2 348 347 347.5 060 理学院040202 发展与教育心理学62 1 350 350 350.0060 理学院040203 应用心理学749 15 408 347363.3030 教育学院 040301 体育人文社会学 21 2 336 323 329.5030 教育学院 040302 运动人体科学25 2 324 321 322.5030 教育学院 040303 体育教育训练学 13 0 0 0 0.0030 教育学院 045201 体育教学 4 0 0 0 0.0230 传媒与国际文化学院045300 汉语国际教育(专业学位)0 4 405 380 394.5060 理学院045400 应用心理(专业学位) 32 3 351 347 349.7040 人文学院 050101 文艺学41 4 407 380 396.0 040 人文学院 050103 汉语言文字学217 6 413 367 379.7040 人文学院 050104 中国古典文献学 91 8 413 384 399.7040 人文学院 050105 中国古代文学247 8 395 366 379.0040 人文学院 050106 中国现当代文学 283 9 401 379 386.0040 人文学院 050108 比较文学与世界文学86 4 404 375 390.5050 外语学院 050201 英语语言文学290 6 414 367 382.5050 外语学院 050202 俄语语言文学18 5 422 389 402.2050 外语学院 050203 法语语言文学19 1 400 400 400.0050 外语学院 050204 德语语言文学21 2 410 394 402.0050 外语学院 050205 日语语言文学32 4 406 375 391.7050 外语学院 050211 外国语言学及应用语言学217 7 396 367 380.7050 外语学院 055101 英语笔译(专业学位) 70 3 376 365 369.0230 传媒与国际文化学院055200 新闻与传播(专业学位) 169 25 393 351 364.4040 人文学院 060100 考古学24 4 341 334 338.0 040 人文学院 060200 中国史103 11 370 332 346.5 060 理学院060200 中国史7 1 341 341 341.0 040 人文学院 060300 世界史46 6 373 335 352.2 040 人文学院 065100 文物与博物馆(专业学位) 13 1 356 356 356.0060 理学院070101 基础数学 172 16 356 300 321.3 060 理学院070102 计算数学 98 10 360 304 317.2 060 理学院070104 应用数学 180 12 342 303 316.5 060 理学院070105 运筹学与控制论 68 5 389 300 334.0060 理学院070201 理论物理 75 10 393 363 379.1 060 理学院070204 等离子体物理 6 3 420 361 394.7060 理学院070205 凝聚态物理129 17 411 370 391.4060 理学院070207 光学74 12 402 365 384.7060 理学院070208 无线电物理9 2 396 372 384.0 060 理学院070300 化学510 55 400 332 358.2 290 高分子系 070305 高分子化学与物理175 14 403 368 381.8060 理学院070502 人文地理学79 7 378 332 352.0 060 理学院070503 地图学与地理信息系统 42 9 411 360 387.8060 理学院070601 气象学8 1 337 337 337.0 340 海洋系070700 海洋科学 6 13 399 342 364.6 070 生命科学学院070703 海洋生物学 1 0 0 0 0.0 060 理学院070704 海洋地质 7 1 337 337 337.0060 理学院070901 矿物学、岩石学、矿床学7 2 380 319 349.5060 理学院070902 地球化学 9 4 379 348 369.0 060 理学院070904 构造地质学14 6 411 342 370.8 070 生命科学学院071001 植物学131 22 393 344 364.6180 医学院071003 生理学9 5 371 336 360.6 070 生命科学学院071005 微生物学 175 12 400 351 373.1170 动物科学学院071005 微生物学 5 1 379 379 379.0180 医学院071005 微生物学 18 1 351 351 351.0 180 医学院071006 神经生物学31 12 378 330 354.1 070 生命科学学院071007 遗传学42 11 390 341 367.7180 医学院071007 遗传学11 3 383 363 369.7 070 生命科学学院071008 发育生物学 6 2 394 363 378.5070 生命科学学院071009 细胞生物学173 10 403 362 381.4180 医学院071009 细胞生物学90 14 392 351 368.2 070 生命科学学院071010 生物化学与分子生物学 213 16399 350 377.2160 农业与生物技术学院071010 生物化学与分子生物学 124 383 360 373.0180 医学院071010 生物化学与分子生物学 80 12 394 336 365.5070 生命科学学院071011 生物物理学 2 0 0 0 0.0 160 农业与生物技术学院071011 生物物理学21 12 398 353 369.1180 医学院071011 生物物理学 6 1 363 363 363.0 070 生命科学学院071020 ★生物信息学36 5 393 344 375.0100 电气工程学院071102 系统分析与集成 12 5 391 364 378.2040 人文学院 071200 科学技术史8 3 376 333 355.3 060 理学院071200 科学技术史 2 1 384 384 384.0 070 生命科学学院071300 生态学23 10 394 350 373.1010 经济学院 071400 统计学 3 0 0 0 0.0060 理学院071400 统计学29 6 341 301 322.2 240 航空航天学院080102 固体力学 37 7 400 354 377.0240 航空航天学院080103 流体力学 38 3 415 380394.3240 航空航天学院080104 工程力学 48 4 364 347 353.5250 机械工程学系080201 机械制造及其自动化452 18 429 392 409.7250 机械工程学系080202 机械电子工程432 22 422 384 402.6130 生工食品学院080203 机械设计及理论 1 0 0 00.0250 机械工程学系080203 机械设计及理论 313 17 432 383 407.5250 机械工程学系080204 车辆工程 52 3 417 395 408.0270 能源工程学系080204 车辆工程 31 1 384 384 384.0250 机械工程学系080220 ★工业工程100 9 442 372 394.8300 光电信息工程学系080300 光学工程 493 29 410 341 384.0300 光电信息工程学系080402 测试计量技术及仪器45 13 393 348 365.2150 生物医学与仪器学院080420 ★电子信息技术及仪器215 19 430 367 395.5260 材料科学与工程系080500 材料科学与工程 806 48 434 368 394.1290 高分子系 080520 ★高分子材料290 17 395 351 378.7270 能源工程学系080701 工程热物理227 19 437 369 398.1270 能源工程学系080702 热能工程 193 16 419 364 400.4270 能源工程学系080703 动力机械及工程 44 7 392 367 383.1270 能源工程学系080704 流体机械及工程 2 0 0 00.0270 能源工程学系080705 制冷及低温工程 81 3 397 384 392.3280 化工系080706 化工过程机械190 10 427 386 408.8270 能源工程学系080720 ★能源环境工程 30 12 415 377 395.1100 电气工程学院080801 电机与电器154 13 429 403 414.1100 电气工程学院080802 电力系统及其自动化343 14449 411 429.9100 电气工程学院080804 电力电子与电力传动259 12 434 409 420.5100 电气工程学院080805 电工理论与新技术63 7 419 366 396.6100 电气工程学院080820 ★电力工程管理与信息化 2 00 0 0.0310 信息与电子工程学系080900 电子科学与技术 196 29 426 349 386.3100 电气工程学院080902 电路与系统159 13 424 390 404.8310 信息与电子工程学系081000 信息与通信工程 615 14 420 375 401.3320 控制科学与工程学系081100 控制科学与工程 698 37 412 342 379.3100 电气工程学院081101 控制理论与控制工程137 7 420 370 394.7240 航空航天学院081105 导航、制导与控制 4 3 397 370 379.3210 计算机学院081201 计算机系统结构 109 6 375 348 357.7210 计算机学院081203 计算机应用技术 1960 97 410240 航空航天学院081221 ★空天信息技术 8 5 392 349 374.4120 建筑工程学院081401 岩土工程 215 18 421 364 391.2120 建筑工程学院081402 结构工程 511 19 431 375 401.2120 建筑工程学院081403 市政工程 76 2 400 389 394.5120 建筑工程学院081404 供热、供燃气、通风及空调工程2 2 382 351 366.5120 建筑工程学院081405 防灾减灾工程及防护工程66 2 406 398 402.0120 建筑工程学院081406 桥梁与隧道工程 124 5 404 370 389.2120 建筑工程学院081501 水文学及水资源 7 3 395 372 382.7120 建筑工程学院081502 水力学及河流动力学 6 1 388 388 388.0120 建筑工程学院081503 水工结构工程18 3 433 393 411.7340 海洋系081505 港口、海岸及近海工程 16 6 393280 化工系081701 化学工程 542 24 412 365 386.1 280 化工系081702 化学工艺 100 4 398 375 386.2 280 化工系081703 生物化工 145 11 411 355 375.6 060 理学院081704 应用化学 6 0 0 0 0.0280 化工系081704 应用化学 76 4 389 370 380.7 280 化工系081705 工业催化 17 1 390 390 390.0 060 理学院081800 地质资源与地质工程12 2 369 364 366.5130 生工食品学院082203 发酵工程 4 0 0 0 0.0120 建筑工程学院082301 道路与铁道工程 11 2 369 359 364.0120 建筑工程学院082302 交通信息工程及控制 2 0 00 0.0120 建筑工程学院082303 交通运输规划与管理 1 0 00 0.0340 海洋系082401 船舶与海洋结构物设计制造13 8 391 340 370.9240 航空航天学院082501 飞行器设计14 4 391 343 364.7240 航空航天学院082502 航空宇航推进理论与工程 2 1 393 393 393.0240 航空航天学院082503 航空宇航制造工程 2 0 0 00.0160 农业与生物技术学院082703 核技术及应用 3 1 364 364 364.0130 生工食品学院082801 农业机械化工程 18 5 411 352 383.0130 生工食品学院082803 农业生物环境与能源工程 5 2 384 377 380.5130 生工食品学院082804 农业电气化与自动化17 4 401 343 363.2130 生工食品学院082820 ★生物系统工程 17 7 386 349 374.1140 环境与资源学院 083001 环境科学 141 12 406 356 378.2140 环境与资源学院 083002 环境工程 533 24 408 370 387.7150 生物医学与仪器学院083100 生物医学工程176 20 418 350 380.9130 生工食品学院083201 食品科学 455 15 433 395 408.4170 动物科学学院083201 食品科学 5 1 341 341 341.0130 生工食品学院083202 粮食、油脂及植物蛋白工程30 0 0 0.0130 生工食品学院083203 农产品加工及贮藏工程 2 0 00 0.0120 建筑工程学院083300 城乡规划学67 8 425 367 386.1160 农业与生物技术学院083400 风景园林学33 2 399 383 391.0210 计算机学院083500 软件工程 71 3 381 347 361.3 120 建筑工程学院085100 建筑学(专业学位) 127 9 389 345 368.8250 机械工程学系085201 机械工程(专业学位) 62 31 411 352 382.8300 光电信息工程学系085202 光学工程(专业学位) 14 16 384 345 361.3150 生物医学与仪器学院085203 仪器仪表工程(专业学位)5 9 397 356 372.4260 材料科学与工程系085204 材料工程(专业学位) 25 17 402 362 379.2270 能源工程学系085206 动力工程(专业学位) 14 16 399 351 379.8280 化工系085206 动力工程(专业学位) 0 6 391373 380.3100 电气工程学院085207 电气工程(专业学位) 74 28 438 362 399.1310 信息与电子工程学系085208 电子与通信工程(专业学位)71 22 420 344 376.3310 信息与电子工程学系085209 集成电路工程 4 0 00 0.0320 控制科学与工程学系085210 控制工程(专业学位) 2721 393 344 366.2210 计算机学院085211 计算机技术(专业学位) 23 17 371 342 352.1510 软件学院 085212 软件工程(专业学位) 362 119 416 320 350.0120 建筑工程学院085213 建筑与土木工程(专业学位) 329 397 349 374.6280 化工系085216 化学工程(专业学位) 12 29 388 342 368.0060 理学院085217 地质工程 1 0 0 0 0.0120 建筑工程学院085222 交通运输工程 1 0 0 00.0130 生工食品学院085227 农业工程(专业学位) 2 6 406 364 379.0140 环境与资源学院 085229 环境工程(专业学位) 16 25 391 352 369.2150 生物医学与仪器学院085230 生物医学工程(专业学位)5 7 381 350 368.9130 生工食品学院085231 食品工程(专业学位) 41 14 406 349 389.2240 航空航天学院085233 航天工程(专业学位) 1 10 390 360 374.1210 计算机学院085237 工业设计工程(专业学位) 0 1 361 361 361.0280 化工系085238 生物工程(专业学位) 0 3 364 346 357.0160 农业与生物技术学院090100 作物学174 17 410 353 372.2160 农业与生物技术学院090200 园艺学383 27 398 333 376.6140 环境与资源学院 090301 土壤学58 7 405 376 391.6140 环境与资源学院 090302 植物营养学63 7 402 381 394.6140 环境与资源学院 090320 ★农业遥感与信息技术 53 6 424 367 402.3140 环境与资源学院 090322 ★环境修复与资源再生 7 4 392 370 384.5160 农业与生物技术学院090400 植物保护 429 41 409 350 371.7170 动物科学学院090501 动物遗传育种与繁殖27 2 402 383 392.5170 动物科学学院090502 动物营养与饲料科学191 17 412 369 390.4170 动物科学学院090504 特种经济动物饲养59 8 387 335 365.6170 动物科学学院090601 基础兽医学16 1 336 336 336.0170 动物科学学院090602 预防兽医学93 9 397 340 374.1170 动物科学学院090603 临床兽医学16 2 343 328 335.5170 动物科学学院090801 水产养殖 30 4 390 327 359.7160 农业与生物技术学院095101 作物(专业学位) 2 13 376 326 347.5160 农业与生物技术学院095102 园艺(专业学位) 3 17 387 329 358.6140 环境与资源学院 095103 农业资源利用(专业学位) 3 8 391 338 367.9160 农业与生物技术学院095104 植物保护(专业学位) 516 371 325 348.6170 动物科学学院095105 养殖(专业学位) 2 15 396 339 369.7140 环境与资源学院 095112 农业信息化(专业学位) 0 3 369 340 358.7170 动物科学学院095200 兽医(专业学位) 7 6 362 334 347.5160 农业与生物技术学院095300 风景园林(专业学位) 515 394 369 376.6180 医学院100101 人体解剖与组织胚胎学 4 4 358 327 343.7180 医学院100102 免疫学17 7 378 329 348.0 180 医学院100103 病原生物学 2 1 375 375 375.0 180 医学院100104 病理学与病理生理学36 10 373 325 345.0180 医学院100105 法医学 1 0 0 0 0.0180 医学院100120 干细胞和再生医学 6 2 365 336 350.5180 医学院100201 内科学566 31 379 326 349.3180 医学院100202 儿科学89 10 376 326 347.3 180 医学院100203 老年医学 10 1 327 327 327.0 180 医学院100204 神经病学 84 4 375 332 354.0 180 医学院100205 精神病与精神卫生学29 3 335 330 332.7180 医学院100206 皮肤病与性病学 31 2 365 358 361.5180 医学院100207 影像医学与核医学76 2 343 334 338.5180 医学院100208 临床检验诊断学 63 2 352 338 345.0180 医学院100210 外科学438 18 386 331 363.4 180 医学院100211 妇产科学 179 9 365 329 346.8 180 医学院100212 眼科学51 4 381 338 355.5 180 医学院100213 耳鼻咽喉科学12 1 350 350 350.0180 医学院100214 肿瘤学142 7 380 351 363.1 180 医学院100216 运动医学 9 0 0 0 0.0180 医学院100217 麻醉学96 3 381 346 362.7 180 医学院100218 急诊医学 19 2 374 347 360.5 180 医学院100220 ★全科医学19 1 368 368 368.0 180 医学院100302 口腔临床医学117 5 363 327347.0180 医学院100401 流行病与卫生统计学71 4 373 326 340.5180 医学院100402 劳动卫生与环境卫生学 28 4 368 335 356.0180 医学院100403 营养与食品卫生学25 1 356 356 356.0180 医学院100405 卫生毒理学 6 1 355 355 355.0 180 医学院100602 中西医结合临床 6 1 369 369 369.0190 药学院100700 药学801 28 405 340 358.5 180 医学院100706 药理学58 7 374 330 349.9 180 医学院101100 护理学59 2 350 328 339.0 180 医学院105101 内科学(专业学位) 206 28 372 329 344.6180 医学院105102 儿科学(专业学位) 14 5 357 325 334.8180 医学院105103 老年医学 1 0 0 0 0.0180 医学院105104 神经病学(专业学位) 38 2 378 344 361.0180 医学院105105 精神病与精神卫生学(专业学位) 6 2 340 328 334.0180 医学院105106 皮肤病与性病学(专业学位) 11 1 336 336 336.0180 医学院105107 影像医学与核医学(专业学位) 28 5 375 329 344.2180 医学院105109 外科学(专业学位) 221 22 367 326 341.1180 医学院105110 妇产科学(专业学位) 59 7 346 325 332.0180 医学院105111 眼科学(专业学位) 5 2 348 340 344.0180 医学院105112 耳鼻咽喉科学(专业学位) 2 1 339 339 339.0180 医学院105113 肿瘤学(专业学位) 59 7 352 343 346.7180 医学院105116 麻醉学(专业学位) 16 3 372 344 355.3180 医学院105117 急诊医学(专业学位) 6 2 338 338 338.0180 医学院105200 口腔医学(专业学位) 38 6 352 340 344.8190 药学院105500 药学(专业学位) 8 4 379 357 369.7200 管理学院 120100 管理科学与工程 283 7 411 381 398.3120 建筑工程学院120120 ★工程管理78 3 417 390 403.0200 管理学院 120202 企业管理 1086 14 416 393 404.3 200 管理学院 120203 旅游管理 84 3 389 382 385.3 200 管理学院 120220 ★创业管理41 3 416 390 404.7 200 管理学院 120301 农业经济管理38 3 401 390 396.3200 管理学院 120302 林业经济管理 1 0 0 0 0.0220 公共管理学院120401 行政管理 552 12 402 369 380.5180 医学院120402 社会医学与卫生事业管理55 3 392 388 390.0220 公共管理学院120403 教育经济与管理 23 5 415 381 389.4220 公共管理学院120404 社会保障 45 2 407 369 388.0220 公共管理学院120405 土地资源管理160 13 411 365 384.1220 公共管理学院120421 ★非传统安全管理11 1 383 383 383.0220 公共管理学院120501 图书馆学 4 0 0 0 0.0220 公共管理学院120502 情报学16 4 410 375 392.2220 公共管理学院120503 档案学18 4 410 387 397.7200 管理学院 125100 工商管理(专业学位) 2234 307 236 150 193.0220 公共管理学院125200 公共管理(专业学位) 750 51 238 181 203.1200 管理学院 125300 会计(专业学位) 46 3 237 216 227.3040 人文学院 130100 艺术学理论 3 0 0 0 0.0230 传媒与国际文化学院130300 戏剧与影视学14 2 388 374 381.0040 人文学院 130400 美术学10 2 401 367 384.0 040 人文学院 130500 设计学26 1 353 353 353.0 210 计算机学院130500 设计学74 6 377 360 367.2 230 传媒与国际文化学院135105 广播电视(专业学位) 288 397 359 377.4浙江大学2011年硕士研究生(含专业学位)复试分数线的基本要求一、基本要求:浙江大学2011年硕士报考录取人数统计表(按专业代码排序)下列统计中不含免试、单独考试、强军计划以及少民骨干计划考生;录取人数中包括了由校其他相近专业调剂到该专业录取的考生。
浙江大学2013年硕士报考录取人数统计表下列统计中不含免试、单独考试、强军计划以及少民骨干计划考生;录取人数中包括了由本校其他相近专业调剂到该专业录取的考生。
2014年招生专业和招生人数会有较下列统计中不含免试、单独考试、强军计划以及少民骨干计划考生;录取人数中包括了由本校其他相近专业调剂到该专业录取的考生。
2014年招生专业和招生人数会有较下列统计中不含免试、单独考试、强军计划以及少民骨干计划考生;录取人数中包括了由本校其他相近专业调剂到该专业录取的考生。
2014年招生专业和招生人数会有较下列统计中不含免试、单独考试、强军计划以及少民骨干计划考生;录取人数中包括了由本校其他相近专业调剂到该专业录取的考生。
2014年招生专业和招生人数会有较下列统计中不含免试、单独考试、强军计划以及少民骨干计划考生;录取人数中包括了由本校其他相近专业调剂到该专业录取的考生。
2014年招生专业和招生人数会有较下列统计中不含免试、单独考试、强军计划以及少民骨干计划考生;录取人数中包括了由本校其他相近专业调剂到该专业录取的考生。
2014年招生专业和招生人数会有较大变动,请以2014年硕士招生目录为准。
学院代码学院名称 180 医学院 180 医学院 180 医学院 180 医学院 180 医学院 180 医学院 180 医学院 180 医学院 180 医学院 180 医学院 180 医学院 180 医学院 180 医学院 180 医学院 180 医学院180 医学院 180 医学院 180 医学院 180 医学院 180 医学院 180 医学院 180 医学院180 医学院 180 医学院 180 医学院 180 医学院 180 医学院 180 医学院 180 医学院180 医学院 180 医学院 180 医学院 180 医学院 180 医学院 180 医学院 180 医学院180 医学院专业代报考人录取人码专业名称数数最高分最低分 071005 微生物学 5 1 307 307 071006 神经生物学 40 13 383 311 071007 遗传学 11 4 359 314 071008 发育生物学 2 0 0 0 071009 细胞生物学 56 20 391 315 071010 生物化学与分子生物学45 9 387 339 071011 生物物理学 1 0 0 0 100101 人体解剖与组织胚胎学 0 3 351 324 100102 免疫学 11 9 385 332 100103 病原生物学 0 2 328 314 100104 病理学与病理生理学 17 9 348 323 100105 法医学 2 0 0 0 100120 干细胞和再生医学 3 4 335 321 100201 内科学 169 21 389 325 100202 儿科学 20 5 379 320 100203 老年医学 4 0 0 0100204 神经病学 18 0 0 0 100205 精神病与精神卫生学 6 1 323 323 100206 皮肤病与性病学 5 1 340 340 100207 影像医学与核医学 34 3 363 337 100208 临床检验诊断学28 5 347 329 100210 外科学 158 6 382 324 100211 妇产科学 50 0 0 0 100212 眼科学17 0 0 0 100213 耳鼻咽喉科学 4 0 0 0 100214 肿瘤学 33 6 368 323 100216 运动医学 2 0 0 0 100217 麻醉学 32 1 336 336 100218 急诊医学 3 0 0 0 100220 ★全科医学 4 0 0 0 1002Z1 ★移植医学 0 1 328 328 1002Z3 ★微创医学 3 3 351 321 1002Z4 ★重症医学7 2 336 330 100301 口腔基础医学 3 1 338 338 100302 口腔临床医学 46 0 0 0 100401 流行病与卫生统计学 57 2 411 386 100402 劳动卫生与环境卫生学10 4 394 344 平均分 307.0 339.0 337.2 0.0 359.5 364.6 0.0 334.3 355.4 321.0 334.4 0.0 327.0 352.2 343.2 0.0 0.0 323.0 340.0 348.3 340.4 349.0 0.0 0.0 0.0 342.5 0.0 336.0 0.0 0.0 328.0 333.0 333.0 338.0 0.0 398.5 373.7 6下列统计中不含免试、单独考试、强军计划以及少民骨干计划考生;录取人数中包括了由本校其他相近专业调剂到该专业录取的考生。
报考人数录取人数报考人数录取人数10101马克思主义哲学12312110102中国哲学184********外国哲学32617510104逻辑学524210105伦理学624110106美学19510510107宗教学111010108科学技术哲学956510120★休闲学0011220101政治经济学5212351220102经济思想史016020103经济史210020104西方经济学6411651520105世界经济923120106人口、资源与环境经济学10211120201国民经济学10113120202区域经济学17429220203财政学33442420204金融学385435084820205产业经济学7510661020206国际贸易学190331603020207劳动经济学136********统计学119020209数量经济学528130101法学理论67831630102法律史914130103宪法学与行政法学7110801030104刑法学47132330105民商法学1499104830106诉讼法学26219330107经济法学1511696930108环境与资源保护法学1606130109国际法学73313330180法律硕士514524005330201政治学理论46831830202中外政治制度19621630203社会主义与国际共产主义510030204中共党史1013230206国际政治4957430207国际关系92102近年硕士各专业报考录取人数注:以下各专业统计数据中不含单考、强军计划、少民骨干人数,但已包含免试生人数。
09年各专业招生计划可能有所调整,此统计仅供参考。
专业代码专业名称2007年2008年30301社会学445315 30302人口学12583 30501马克思主义基本原理6453 30503马克思主义中国化研究2245 30505思想政治教育567376 40101教育学原理153233 40102课程与教学论44115712 40103教育史46186 40104比较教育学378356 40106高等教育学186389 40107成人教育学4281 40110教育技术学202211 40301体育人文社会学204105 40302运动人体科学5283 40303体育教育训练学155135 40304民族传统体育学2041 50101文艺学287288 50102语言学及应用语言学513614 50103汉语言文字学93119914 50104中国古典文献学2910318 50105中国古代文学1121511215 50106中国现当代文学1491513116 50108比较文学与世界文学515546 50201英语语言文学2162421220 50202俄语语言文学6321 50203法语语言文学5322 50204德语语言文学5495 50205日语语言文学143154 50211外国语言学及应用语言学1922113424 50301新闻学1391413512 50302传播学3382231220 50401艺术学2060 50403美术学114174 50404设计艺术学1241911519 50407广播电视艺术学344223 60102考古学及博物馆学15465 60103历史地理学4263 60105专门史5031 60106中国古代史355234 60107中国近现代史426144 60108世界史294234 70101基础数学98257625 70102计算数学61175914 70103概率论与数理统计53105011 70104应用数学962010720 70105运筹学与控制论4314491470201理论物理3792811 70202粒子物理与原子核物理0050 70203原子与分子物理1010 70204等离子体物理8274 70205凝聚态物理58183516 70207光学36114715 70208无线电物理2172 70300化学3249327897 70305高分子化学与物理87267726 70501自然地理学121100 70502人文地理学8699613 70503地图学与地理信息系统589348 70601气象学6243 70703海洋生物学4090 70704海洋地质5251 70901矿物学、岩石学、矿床学2332 70902地球化学3351 70904构造地质学10663 71001植物学57205421 71002动物学12554 71003生理学24595 71005微生物学1401711318 71006神经生物学247187 71007遗传学538287 71008发育生物学2213 71009细胞生物学76168614 71010生物化学与分子生物学2133417035 71011生物物理学24122214 71012生态学51144813 71020★生物信息学74134918 71102系统分析与集成9778 71200科学技术史6562 77101基础心理学595413 77102发展与教育心理学510403 77103应用心理学5323137528 80101一般力学与力学基础2122 80102固体力学106107 80103流体力学7111111 80104工程力学116107 80201机械制造及其自动化207610.29423756 80202机械电子工程176510.2925260 80203机械设计及理论109440.412242 80204车辆工程247466 80300光学工程1886820963 80320★光通信技术279209 80401精密仪器及机械527980402测试计量技术及仪器28132817 80420★电子信息技术及仪器923812937 80500材料科学与工程319103282108 80520★高分子材料02913927 80701工程热物理36285133 80702热能工程46267630 80703动力机械及工程21122612 80704流体机械及工程1151 80705制冷及低温工程51155419 80706化工过程机械70268527 80720★能源环境工程12895 80721★动力装备与信息工程3010 80801电机与电器65296235 80802电力系统及其自动化1284114841 80803高电压与绝缘技术3040 80804电力电子与电力传动1284212440 80805电工理论与新技术30112011 80820★电力工程管理与信息化5121 80821★航天电气及其控制6210 80901物理电子学74266716 80902电路与系统2756622358 80903微电子学与固体电子学56246421 80904电磁场与微波技术23122815 81000信息与通信工程2006615861 81101控制理论与控制工程2348226878 81102检测技术与自动化装置67194629 81103系统工程32204316 81104模式识别与智能系统27131712 81105导航、制导与控制0071 81201计算机系统结构43143811 81202计算机软件与理论1332213324 81203计算机应用技术850224830225 81220★数字化艺术与设计15261 81221★空天信息技术0095 81280软件工程6213898140 81301建筑历史与理论93123 81302建筑设计及其理论1032112518 81303城市规划与设计66198418 81304建筑技术科学135124 81401岩土工程1054115142 81402结构工程2825523559 81403市政工程278428 81404热、供燃气、通风及空调工5150 81405防灾减灾工程及防护工程681110 81406桥梁与隧道工程35135014 81420★海洋建筑物与环境402181501水文学及水资源4464 81502水力学及河流动力学4403 81503水工结构工程14484 81505港口、海岸及近海工程10666 81701化学工程2419324688 81702化学工艺334304 81703生物化工93379741 81704应用化学39183713 81705工业催化5010 81720★化工过程信息工程4131 81800地质资源与地质工程13685 82203发酵工程4040 82301道路与铁道工程7224 82401船舶与海洋结构物设计制造0010 82501飞行器设计1242 82502航空宇航推进理论与工程0262 82503航空宇航制造工程1200 82703核技术及应用0010 82801农业机械化工程2234 82802农业水土工程1121 82803农业生物环境与能源工程1204 82804农业电气化与自动化1502 82820★生物系统工程17111012 83001环境科学62237025 83002环境工程1424620349 83100生物医学工程1074011038 83201食品科学1162115124 83202粮食、油脂及植物蛋白工程4051 83220★食品安全224351 90100作物学45233925 90200园艺学1444211441 90301土壤学23111312 90302植物营养学23162815 90320★农业遥感与信息技术11101010 90321★水资源利用与保护2222 90322★环境修复与资源再生4121 90400植物保护1605311653 90501动物遗传育种与繁殖5343 90502动物营养与饲料科学80328633 90504特种经济动物饲养29131412 90601基础兽医学4383 90602预防兽医学48154614 90603临床兽医学73114 90706园林植物与观赏园艺528348 90801水产养殖64114 97203农产品加工及贮藏工程4121100101人体解剖与组织胚胎学3624 100102免疫学116156 100103病原生物学06105 100104病理学与病理生理学2272612 100105法医学20100 100201内科学3045839756 100202儿科学40116716 100204神经病学489636 100205精神病与精神卫生学144355 100206皮肤病与性病学332392 100207影像医学与核医学527876 100208临床检验诊断学170332 100209护理学343333 100210外科学2624036239 100211妇产科学821413215 100212眼科学3986111 100213耳鼻咽喉科学112171 100214肿瘤学51169218 100216运动医学0062 100217麻醉学244615 100218急诊医学183193 100220★全科医学00161 100301口腔基础医学0101 100302口腔临床医学2212313 100401流行病与卫生统计学64197 100402劳动卫生与环境卫生学187198 100403营养与食品卫生学172192 100405卫生毒理学3484 100602中西医结合临床10151 100700药学321028653 100701药物化学01000 100702药剂学0800 100704药物分析学01900 100705微生物与生化药学7240 100706药理学822159 100800中药学36126210 120100管理科学与工程2563720932 120120★工程管理5511789 120201会计学150119311 120202企业管理7326067043 120203旅游管理119159016 120204技术经济及管理869352 120220★创业管理001816 120280工商管理硕士675172785172 120301农业经济管理31153114 120302林业经济管理1020120401行政管理1583728239 120402社会医学与卫生事业管理317196 120403教育经济与管理379277 120404社会保障167226 120405土地资源管理38134918 120502情报学104143 120503档案学7254。
浙江大学硕士报考录取人数统计表
浙江大学硕士报考录取人数统计表( 按专业代码排序)
下列统计中不含免试、单独考试、强军计划以及少民骨干计划考生; 录取人数中包括了由本校其它相近专业调剂到该专业录取的考生。
招生专业和招生人数会有较大变动, 届时请查询硕士招生目录。
学院代码学院名称专业代码专业名称报考人数录取人数最高分最低分平均分040 人文学院010101 马克思主义哲学 5 2 384 340 362.0 040 人文学院010102 中国哲学22 4 423 393 413.0 040 人文学院010103 外国哲学25 2 412 384 398.0 040 人文学院010104 逻辑学7 2 380 367 373.5 040 人文学院010105 伦理学 6 1 373 373 373.0 230 传媒与国际文化学院010106 美学17 5 377 357 368.4 040 人文学院010107 宗教学 1 1 382 382 382.0 040 人文学院010108 科学技术哲学13 4 389 357 378.7 040 人文学院010120 休闲学16 2 380 368 374.0 010 经济学院0 1 政治经济学44 5 411 389 397.2 010 经济学院0 2 经济思想史 4 1 395 395 395.0 010 经济学院0 3 经济史 1 0 010 经济学院0 4 西方经济学39 6 414 382 401.8 010 经济学院0 5 世界经济9 1 399 399 399.0
010 经济学院0 6 人口、资源与环境经济学7 0 010 经济学院020201 国民经济学8 0 010 经济学院020202 区域经济学14 1 383 383 383.0 010 经济学院020203 财政学20 1 377 377 377.0 010 经济学院020204 金融学188 10 424 395 403.6 010 经济学院020205 产业经济学118 6 409 376 392.3 010 经济学院020206 国际贸易学108 6 392 372 383.8 010 经济学院020207 劳动经济学11 1 403 403 403.0 010 经济学院020207 劳动经济学11 5 395 368 381.6 220 公共管理学院020207 劳动经济学11 1 403 403 403.0 220 公共管理学院020207 劳动经济学11 5 395 368 381.6 010 经济学院020208 统计学 6 1 384 384 384.0 010 经济学院020209 数量经济学 5 0 010 经济学院025100 金融硕士127 20 413 367 386.7 010 经济学院025400 国际商务硕士31 16 426 363 396.7 020 光华法学院030101 法学理论16 3 355 342 350.3 020 光华法学院030102 法律史 2 1 364 364 364.0 020 光华法学院030103 宪法学与行政法学31 3 373 347 360.0 020 光华法学院030104 刑法学21 1 341 341 341.0 020 光华法学院030105 民商法学53 3 375 345 356.0 020 光华法学院030106 诉讼法学15 2 370 346 358.0 020 光华法学院030107 经济法学38 5 395 351 363.6
020 光华法学院030108 环境与资源保护法学2 1 348 348 348.0 020 光华法学院030109 国际法学17 3 388 347 366.0 220 公共管理学院030201 政治学理论15 5 383 351 369.0 220 公共管理学院030202 中外政治制度11 4 396 367 379.5 330 思想政治理论教学科研部030203 科学社会主义与国际共产主义运动 2 0
220 公共管理学院030204 中共党史 3 1 373 373 373.0 330 思想政治理论教学科研部 030206 国际政治 14 3 385 380 382.3 220 公共管理学院030207 国际关系11 3 378 355 368.3 220 公共管理学院030301 社会学26 3 426 373 392.3 010 经济学院030302 人口学 2 3 422 366 389.7 330 思想政治理论教学科研部 030501 马克思主义基本原理 5 2 392 367 379.5 330 思想政治理论教学科研部 030503 马克思主义中国化研究 14 3 389 370 381.0 330 思想政治理论教学科研部 030505 思想政治教育54 8 410 364 380.4
330 思想政治理论教学科研部030506 中国近现代史基本问题研究1 0
020 光华法学院035101 法律( 非法学) 328 65 406 323 355.0 020 光华法学院035102 法律( 法学) 44 5 345 324 333.0 030 教育学院040101 教育学原理24 4 346 307 333.2
030 教育学院040102 课程与教学论73 8 366 305 334.6 030 教育学院040103 教育史22 4 359 336 349.2 030 教育学院040104 比较教育学30 7 336 314 324.1 030 教育学院040106 高等教育学43 7 332 303 319.7 030 教育学院040107 成人教育学12 2 342 336 339.0 030 教育学院040110 教育技术学9 1 315 315 315.0 060 理学院040201 基础心理学26 1 345 345 345.0 060 理学院040202 发展与教育心理学27 3 361 335 347.0 060 理学院040203 应用心理学347 21 374 328 341.7 030 教育学院040301 体育人文社会学10 4 306 286 294.7 030 教育学院040302 运动人体科学15 3 335 322 328.3 030 教育学院040303 体育教育训练学12 0 030 教育学院040304 民族传统体育学 1 1 325 325 325.0 030 教育学院045201 体育教学 1 0 050 外国语言文化与国际交流学院 045300 汉语国际教育硕士 18 5 386 338 367.4 060 理学院045400 应用心理硕士19 2 331 309 320.0 040 人文学院050101 文艺学21 5 411 377 390.4 040 人文学院050102 语言学及应用语言学32 1 372 372 372.0 040 人文学院050103 汉语言文字学121 5 406 368 385.2 040 人文学院050104 中国古典文献学42 6 403 355 382.8 040 人文学院050105 中国古代文学114 7 400 358 378.0。