高数作业本答案(上册)
- 格式:doc
- 大小:772.50 KB
- 文档页数:11
高等数学上在线作业一、单选题1.(1分)设满足。
则在处()A.取得极大值B.取得极小值C.不取得极值D.可能取得极值E.无法判断参考答案:D2.(1分)是极限的()A.充分条件B.必要条件C.充分必要条件D.既非充分也非必要条件E.无法判断参考答案:C3.(1分)设函数在处连续,则常数=()A.2B.�C2C.1D.3E.0参考答案:D4.(1分)设,则此函数单调减少的区间为()A.B.C.D.E.参考答案:D5.(1分)()A.0B.C.D.E.1参考答案:D6.(1分)设函数满足,则=()A.B.C.D.E.参考答案:A7.(1分)设且,则()A.B.C.D.E.参考答案:E8.(1分)是极限的()A.充分条件B.必要条件C.充分必要条件D.既非充分也非必要条件E.无法判断参考答案:C9.(1分)设函数可微,则()A.B.C.D.E.参考答案:B10.(1分)()A. -1B.0C.1D.2E. -2参考答案:B11.(1分)若函数满足,则()A.B.C.D.E.参考答案:C12.(1分)()A.B.C.D.E.参考答案:A13.(1分)设函数在处可导,则必有()A.B.C.D.E.参考答案:C14.(1分)设在的某邻域内有定义,若,则=()A.1 �CeB.eC.�C1D.0E.1 +e参考答案:A15.(1分)设函数在处连续,则常数=()A.2B. -2C.1D.3E.0参考答案:D16.(1分)已知函数,则方程有()A.一个实根B.两个实根C.三个实根D.没有实根E.无法判断参考答案:B17.(1分)设函数可微,则()参考答案:B18.(1分)设为可微函数,若则()A.B.C.D.E.参考答案:C19.(1分)设,则()A.B.C.D.E.参考答案:B20.(1分)若函数满足,则()参考答案:C21.(1分)函数的最小正周期是()A.B.C.2D.4E.8参考答案:D22.(1分)设的定义域为则函数的定义域是()A.B.C.D.(0,1)E.参考答案:D23.(1分)设在上连续,在内可导且,若,则在内()A.B.C.D.E.无法判断参考答案:A24.(1分)函数在区间()内有界A.B.C.D.E.参考答案:D25.(1分)极限=()A.2B.C.1D.0E. -1参考答案:A26.(1分)函数的定义域是()A.B.C.D.E.参考答案:D27.(1分)下列四组函数中与表示同一函数的是()A.,B.,C.,D.,E.,参考答案:E28.(1分)设的一个原函数为,则()A.B.C.D.+cE.参考答案:C29.(1分)若,则=()A.B.C.D.E.参考答案:A30.(1分)下列积分正确的是()A.,B.,C.,D.E.=0参考答案:C31.(1分)是当()时的无穷小A.¥B.1C.0D. -1E.2参考答案:A32.(1分)极限=()A.0B.1C.D.2E. -1参考答案:C33.(1分)()A. -1B.0C.1D.2E. -2参考答案:B34.(1分)极限=()A.B.1C.0D.E. -1参考答案:C35.(1分)由方程所确定的曲线在点处的切线斜率为()E.0参考答案:A36.(1分)下列各式正确的是()A.B.C.D.E.参考答案:B37.(1分)设为连续函数,则=()A.B.C.D.E.参考答案:B38.(1分)()参考答案:A39.(1分)由方程所确定的曲线在点处的切线斜率为()A.B.C.D.E.0参考答案:A40.(1分)设在上连续,在内可导且,若,则在内()E.无法判断参考答案:A41.(1分)设为连续函数,变上限积分所定义的函数为()A.的一个原函数B.的全体原函数C.的一个原函数D.的全体原函数E.无法判断参考答案:C42.(1分)设,则()A.B.C.D.E.参考答案:B43.(1分)由所围成的平面图形的面积为()A.B.C.D.E.参考答案:A44.(1分)设具有连续导数,且,,则=()A.B.1C.2D.0E. -1参考答案:D45.(1分)设,则在处()A.无定义B.不连续C.连续且可导D.连续不可导E.无法判断参考答案:D46.(1分)=()A.B.C.D.E.参考答案:D47.(1分)设,则()A.B.C.D.E.参考答案:E48.(1分)下列函数中是奇函数的是()A.B.C.D.E.参考答案:A49.(1分)设,则=()A.0B.1C. -1D.不存在E.2参考答案:E50.(1分)()A.0E.1参考答案:D51.(1分)极限=()A.2B.C.1D.4E.0参考答案:A52.(1分)是当()时的无穷小A.;B.1C.0D. -1E.2参考答案:A53.(1分)下列极限中能用罗比塔法则的是()A.B.C.D.E.参考答案:D54.(1分)设在上连续,且是常数,则()A.B.0C.D.E.参考答案:B55.(1分)设可导,则极限()A.3B.C.D.E.参考答案:C二、多选题1.(3分)当时,()与为等价无穷小参考答案:A,C,D,E2.(3分)当时,()与为等价无穷小A.B.C.D.E.参考答案:A,C,D,E3.(3分)函数=在点处()A.连续B.不连续C.可导D.不可导E.不确定参考答案:A,D4.(3分)下列等式正确的是()A.B.C.D.E.参考答案:B,D5.(3分)以下直线是曲线渐近线的为()参考答案:A,D三、判断1.(2分)函数,在处具有极小值参考答案:错误2.(2分)函数,在处具有极小值()参考答案:错误3.(2分)定积分=()参考答案:正确4.(2分)=()参考答案:错误5.(2分)=参考答案:错误6.(2分)由所围成的平面图形绕轴旋转所成的旋转体的体积等于参考答案:正确7.(2分)函数的拐点为2()参考答案:正确8.(2分)=参考答案:错误9.(2分)曲线在点(0,0)处的切线方程为参考答案:错误10.(2分)=()参考答案:正确11.(2分)=参考答案:正确12.(2分)设,则参考答案:正确13.(2分)函数的拐点为2参考答案:正确14.(2分)曲线在区间内下降且是凸的()参考答案:正确15.(2分)设函数,则是可去间断点参考答案:正确高等数学上在线作业20交卷时间:2021-06-28 15:11:16一、单选题1.(1分)下列各式正确的是()A.B.C.D.E.参考答案:B2.(1分)设,则()A.B.C.D.E.参考答案:E3.(1分)设可导,则极限()A.3参考答案:C4.(1分)设为连续函数,则=()A.B.C.D.E.参考答案:B5.(1分)由方程所确定的曲线在点处的切线斜率为()E.0参考答案:A6.(1分)()A.B.C.D.E.参考答案:A7.(1分)设函数可微,则()A.B.C.D.E.参考答案:B8.(1分)设在上连续,在内可导且,若,则在内()A.B.C.D.E.无法判断参考答案:A9.(1分)是当()时的无穷小A.;B.1C.0D. -1E.2参考答案:A10.(1分)()A.0B.C.D.E.1参考答案:D11.(1分)函数是由那些简单函数复合而成的()A.B.C.D.E.参考答案:D12.(1分)设为连续函数,则()A.0B.C.D.E.1参考答案:A13.(1分)设的定义域为则函数的定义域是()A.B.C.D.(0,1)E.参考答案:D14.(1分)设满足。
高等数学第六版上册课后习题答案第一章习题1-11. 设A =(-∞, -5)⋃(5, +∞), B =[-10, 3), 写出A ⋃B , A ⋂B , A \B 及A \(A \B )的表达式.解 A ⋃B =(-∞, 3)⋃(5, +∞),A ⋂B =[-10, -5),A \B =(-∞, -10)⋃(5, +∞), A \(A \B )=[-10, -5).2. 设A 、B 是任意两个集合, 证明对偶律: (A ⋂B )C =A C ⋃B C . 证明 因为x ∈(A ⋂B )C ⇔x ∉A ⋂B ⇔ x ∉A 或x ∉B ⇔ x ∈A C 或x ∈B C ⇔ x ∈A C ⋃B C , 所以 (A ⋂B )C =A C ⋃B C .3. 设映射f : X →Y , A ⊂X , B ⊂X . 证明 (1)f (A ⋃B )=f (A )⋃f (B );(2)f (A ⋂B )⊂f (A )⋂f (B ). 证明 因为y ∈f (A ⋃B )⇔∃x ∈A ⋃B , 使f (x )=y⇔(因为x ∈A 或x ∈B ) y ∈f (A )或y ∈f (B )⇔ y ∈f (A )⋃f (B ), 所以 f (A ⋃B )=f (A )⋃f (B ). (2)因为y ∈f (A ⋂B )⇒∃x ∈A ⋂B , 使f (x )=y ⇔(因为x ∈A 且x ∈B ) y ∈f (A )且y ∈f (B )⇒ y ∈ f (A )⋂f (B ),所以 f (A ⋂B )⊂f (A )⋂f (B ).4. 设映射f : X →Y , 若存在一个映射g : Y →X , 使X I f g =ο, Y I g f =ο, 其中I X 、I Y 分别是X 、Y 上的恒等映射, 即对于每一个x ∈X , 有I X x =x ; 对于每一个y ∈Y , 有I Y y =y . 证明: f 是双射, 且g 是f 的逆映射: g =f -1.证明 因为对于任意的y ∈Y , 有x =g (y )∈X , 且f (x )=f [g (y )]=I y y =y , 即Y 中任意元素都是X 中某元素的像, 所以f 为X 到Y 的满射.又因为对于任意的x 1≠x 2, 必有f (x 1)≠f (x 2), 否则若f (x 1)=f (x 2)⇒g [ f (x 1)]=g [f (x 2)] ⇒ x 1=x 2.因此f 既是单射, 又是满射, 即f 是双射.对于映射g : Y →X , 因为对每个y ∈Y , 有g (y )=x ∈X , 且满足f (x )=f [g (y )]=I y y =y , 按逆映射的定义, g 是f 的逆映射. 5. 设映射f : X →Y , A ⊂X . 证明: (1)f -1(f (A ))⊃A ;(2)当f 是单射时, 有f -1(f (A ))=A .证明 (1)因为x ∈A ⇒ f (x )=y ∈f (A ) ⇒ f -1(y )=x ∈f -1(f (A )), 所以 f -1(f (A ))⊃A .(2)由(1)知f -1(f (A ))⊃A .另一方面, 对于任意的x ∈f -1(f (A ))⇒存在y ∈f (A ), 使f -1(y )=x ⇒f (x )=y . 因为y ∈f (A )且f 是单射, 所以x ∈A . 这就证明了f -1(f (A ))⊂A . 因此f -1(f (A ))=A . 6. 求下列函数的自然定义域: (1)23+=x y ;解 由3x +2≥0得32->x . 函数的定义域为) ,32[∞+-.(2)211xy -=;解 由1-x 2≠0得x ≠±1. 函数的定义域为(-∞, -1)⋃(-1, 1)⋃(1, +∞). (3)211x x y --=;解 由x ≠0且1-x 2≥0得函数的定义域D =[-1, 0)⋃(0, 1]. (4)241x y -=; 解 由4-x 2>0得 |x |<2. 函数的定义域为(-2, 2). (5)x y sin =;解 由x ≥0得函数的定义D =[0, +∞). (6) y =tan(x +1);解 由21π≠+x (k =0, ±1, ±2, ⋅ ⋅ ⋅)得函数的定义域为 12-+≠ππk x (k =0, ±1, ±2, ⋅ ⋅⋅).(7) y =arcsin(x -3);解 由|x -3|≤1得函数的定义域D =[2, 4]. (8)xx y 1arctan 3+-=;解 由3-x ≥0且x ≠0得函数的定义域D =(-∞, 0)⋃(0, 3). (9) y =ln(x +1);解 由x +1>0得函数的定义域D =(-1, +∞). (10)xe y 1=.解 由x ≠0得函数的定义域D =(-∞, 0)⋃(0, +∞).7. 下列各题中, 函数f (x )和g (x )是否相同?为什么? (1)f (x )=lg x 2, g (x )=2lg x ; (2) f (x )=x , g (x )=2x ;(3)334)(x x x f -=,31)(-=x x x g .(4)f (x )=1, g (x )=sec 2x -tan 2x . 解 (1)不同. 因为定义域不同.(2)不同. 因为对应法则不同, x <0时, g (x )=-x . (3)相同. 因为定义域、对应法则均相相同. (4)不同. 因为定义域不同.8. 设⎪⎩⎪⎨⎧≥<=3||03|| |sin |)(ππϕx x x x , 求)6(πϕ, )4(πϕ, )4(πϕ-, ϕ(-2), 并作出函数y =ϕ(x )的图形.解 21|6sin |)6(==ππϕ, 22|4sin |)4(==ππϕ, 22|)4sin(|)4(=-=-ππϕ, 0)2(=-ϕ. 9. 试证下列函数在指定区间内的单调性: (1)x x y -=1, (-∞, 1);(2)y =x +ln x , (0, +∞).证明 (1)对于任意的x 1, x 2∈(-∞, 1), 有1-x 1>0, 1-x 2>0. 因为当x 1<x 2时,0)1)(1(112121221121<---=---=-x x x x x x x x y y , 所以函数x x y -=1在区间(-∞, 1)内是单调增加的.(2)对于任意的x 1, x 2∈(0, +∞), 当x 1<x 2时, 有 0ln)()ln ()ln (2121221121<+-=+-+=-x x x x x x x x y y , 所以函数y =x +ln x 在区间(0, +∞)内是单调增加的.10. 设 f (x )为定义在(-l , l )内的奇函数, 若f (x )在(0, l )内单调增加, 证明f (x )在(-l , 0)内也单调增加.证明 对于∀x 1, x 2∈(-l , 0)且x 1<x 2, 有-x 1, -x 2∈(0, l )且-x 1>-x 2. 因为f (x )在(0, l )内单调增加且为奇函数, 所以f (-x 2)<f (-x 1), -f (x 2)<-f (x 1), f (x 2)>f (x 1),这就证明了对于∀x 1, x 2∈(-l , 0), 有f (x 1)< f (x 2), 所以f (x )在(-l , 0)内也单调增加. 11. 设下面所考虑的函数都是定义在对称区间(-l , l )上的, 证明: (1)两个偶函数的和是偶函数, 两个奇函数的和是奇函数;(2)两个偶函数的乘积是偶函数, 两个奇函数的乘积是偶函数, 偶函数与奇函数的乘积是奇函数.证明 (1)设F (x )=f (x )+g (x ). 如果f (x )和g (x )都是偶函数, 则 F (-x )=f (-x )+g (-x )=f (x )+g (x )=F (x ),所以F (x )为偶函数, 即两个偶函数的和是偶函数. 如果f (x )和g (x )都是奇函数, 则F (-x )=f (-x )+g (-x )=-f (x )-g (x )=-F (x ), 所以F (x )为奇函数, 即两个奇函数的和是奇函数.(2)设F (x )=f (x )⋅g (x ). 如果f (x )和g (x )都是偶函数, 则 F (-x )=f (-x )⋅g (-x )=f (x )⋅g (x )=F (x ),所以F (x )为偶函数, 即两个偶函数的积是偶函数. 如果f (x )和g (x )都是奇函数, 则F (-x )=f (-x )⋅g (-x )=[-f (x )][-g (x )]=f (x )⋅g (x )=F (x ), 所以F (x )为偶函数, 即两个奇函数的积是偶函数. 如果f (x )是偶函数, 而g (x )是奇函数, 则F (-x )=f (-x )⋅g (-x )=f (x )[-g (x )]=-f (x )⋅g (x )=-F (x ),所以F (x )为奇函数, 即偶函数与奇函数的积是奇函数.12. 下列函数中哪些是偶函数, 哪些是奇函数, 哪些既非奇函数又非偶函数?(1)y =x 2(1-x 2); (2)y =3x 2-x 3;(3)2211xx y +-=; (4)y =x (x -1)(x +1); (5)y =sin x -cos x +1;(6)2xx a a y -+=.解 (1)因为f (-x )=(-x )2[1-(-x )2]=x 2(1-x 2)=f (x ), 所以f (x )是偶函数. (2)由f (-x )=3(-x )2-(-x )3=3x 2+x 3可见f (x )既非奇函数又非偶函数.(3)因为())(111)(1)(2222x f x x x x x f =+-=-+--=-, 所以f (x )是偶函数. (4)因为f (-x )=(-x )(-x -1)(-x +1)=-x (x +1)(x -1)=-f (x ), 所以f (x )是奇函数.(5)由f (-x )=sin(-x )-cos(-x )+1=-sin x -cos x +1可见f (x )既非奇函数又非偶函数.(6)因为)(22)()()(x f a a a a x f x x x x =+=+=-----, 所以f (x )是偶函数.13. 下列各函数中哪些是周期函数?对于周期函数, 指出其周期: (1)y =cos(x -2);解 是周期函数, 周期为l =2π. (2)y =cos 4x ;解 是周期函数, 周期为2π=l .(3)y =1+sin πx ;解 是周期函数, 周期为l =2. (4)y =x cos x ;解 不是周期函数.(5)y =sin 2x .解 是周期函数, 周期为l =π. 14. 求下列函数的反函数:(1)31+=x y 错误!未指定书签。
高二第一学期数学练习册答案第一章:函数与方程1. 判断题:- (√) 函数f(x) = x^2 + 1 在整个实数域上是单调递增的。
- (×) 函数f(x) = x^3 在x=0处有极值点。
2. 选择题:- 函数y = 2x - 3的图像与x轴的交点是(A)A. (1.5, 0)B. (2, 0)C. (0, 0)D. (-1, 0)3. 填空题:- 函数f(x) = 3x + 5的零点是 x = -__/3,答案为 -5/3。
4. 计算题:- 求函数f(x) = x^2 - 4x + 4的极值点。
解:f'(x) = 2x - 4,令f'(x) = 0得x = 2,代入原函数得极小值f(2) = 0。
第二章:三角函数1. 判断题:- (√) 正弦函数sin(x)在区间[0, π]上是单调递增的。
- (×) 余弦函数cos(x)在区间[π/2, 3π/2]上是单调递增的。
2. 选择题:- 已知sin(θ) = 1/2,θ属于第一象限,求cos(θ)的值。
A. √3/2B. -√3/2C. 1/√2D. -1/√2答案:A. √3/23. 填空题:- 已知cos(α) = 1/3,求sin(α)的值,假设α属于第一象限。
答案:√(1 - (1/3)^2) = 2√2/3。
4. 计算题:- 求函数y = sin(x) + cos(x)的值域。
解:y = √2 * sin(x + π/4),因为sin(x)的值域为[-1, 1],所以y的值域为[-√2, √2]。
第三章:解析几何1. 判断题:- (√) 点(2, 3)在直线x + y = 5上。
- (×) 点(-1, 2)在直线y = 2x + 3上。
2. 选择题:- 已知直线l1: y = 3x + 2与直线l2: y = -x + 5平行,求l2的斜率。
A. 3B. -3C. 1D. -1答案:B. -33. 填空题:- 已知直线l: x - 2y + 3 = 0,求直线l的斜率和截距。
第1章 (之1)第1次作业教学内容: §1.1 实数集 区间 §1. 2 函数的概念 §1.3 初等函数1.选择题:*(1)上是,在其定义域)()3(cos )(2∞+-∞=x x f ( ) ) 答( 非周期函数的周期函数; 最小正周期为的周期函数;最小正周期为的周期函数; 最小正周期为B D C B A .)(32)(3)(3)(πππ**(2))()()(x f x x x f ,则,,设∞+-∞= ( ) ) 答( 内单调增,内单调减,而在,在内单调减;,内单调增,而在,在单调增;,在单调减;,在B D C B A .)0()0()()0()0()()()()()(∞+-∞∞+-∞∞+-∞∞+-∞**(3)的是下列函数中为非偶函数( )).1lg(1)(4343)(arccos )(1212sin )(2222x x x x y D x x x x y C x y B x y A x x +++=++++-==+-⋅=;; ; 答( B )**2.设一球的半径为r ,作外切于球的圆锥,试将圆 锥体积V 表示为高h 的函数,并指出其定义域。
解:如图,R rAC AD ABC AOD =∴∆∆~因,22)(r r h rh R --=故,])[( 3 2232r r h h r V --=π体积,)2(+∞<<h r .**3.设对一切不等于0及1-的实数x 恒有12)1()(222++=+x xx x f x x f , (1)证明12)1(2)(22++=+x x x x f x x f ;(2))(x f 求. 解:(1)以x 1代入式 12)1()(222++=+x x x x f x x f 中的x ,可得,12)()1(2,)1(12)(1)1(2222++=+⇒++=+x x x x f x f x x x x x f x x f (2)在上式与所给之式中:)1(得消去x f131242)(322+=+--+=x xx x x x x x f就可以得到 1)(+=x x x f .***4.设函数()⎪⎩⎪⎨⎧-≥-<-=1,1,1x x x x x x f 和 ()⎪⎩⎪⎨⎧>+≤-=1,11,x x x x x x g求()()()x g x f x F =的表达式,并求 ()0F 及 ()2F .解:1-<x 时,()()()()112+-=⎪⎭⎫ ⎝⎛-⋅-=⋅=x x x x x f x g x F ;11≤≤-x 时,()()()()2x x x x g x f x F -=-⋅=⋅=;1>x 时,()()()112+=⎪⎭⎫ ⎝⎛+⋅=⋅=x x x x x g x f x F ,()⎪⎩⎪⎨⎧>+≤≤---<+-=∴,1,1,11,,1,1222x x x x x x x F ()00=∴F ,()51222=+=F .***5.设0≥x 时,()12-+=x x f x. ()1若()x f 是()+∞∞-,上的奇函数,试写出0<x 时,()x f 的表达式; ()2若()x f 是()+∞∞-,上的偶函数,试写出0<x 时,()x f 的表达式.解:()1 0<x , 则 0>-x , ()()12--+=-∴-x x f x ,()x f 是奇函数,()()x f x f -=-∴,()121)(++-=--=∴x x f x f x ()0<x .()2 0<x ,则 0>-x ,()()12--+=-∴-x x f x, ()x f 是偶函数,()()x f x f =-∴,()121--=∴x x f x ()0<x .**6.()1设函数()x f 在[]l l ,-上有定义,试证明()()()2x f x f x -+=ϕ是[]l l ,-上的偶函数,而()()()2x f x f x --=ψ是[]l l ,-上的奇函数;()2 试证明在区间[]l l ,-上有定义的函数()x f ,总能分解为一个奇函数与一个偶函数的和;()3 试将函数()31x x f +=表示为一个奇函数与一个偶函数的和.解:()1对于()()()2x f x f x -+=ϕ,显然有()()()()x x f x f x ϕϕ=+-=-2,所以()x ϕ是[]l l ,-上的偶函数。
高二数学作业本参考答案高二数学作业本参考答案作为高二学生,数学课程对于我们来说是非常重要的一门学科。
数学作业本是我们在课后进行巩固和练习的重要工具,而作业本参考答案则是我们检查答案和纠正错误的依据。
在这篇文章中,我将为大家提供一些高二数学作业本的参考答案,希望能帮助大家更好地学习和掌握数学知识。
第一章:函数与方程1. 解方程:a) 2x + 3 = 9解:将3移到等号右边,得到2x = 9 - 3,即2x = 6,再除以2,得到x = 3。
b) 4x - 5 = 3x + 2解:将3x移到等号左边,将-5移到等号右边,得到4x - 3x = 2 + 5,即x= 7。
2. 求函数的定义域:a) f(x) = √(x - 3)解:由于根号内的值不能为负数,所以x - 3 ≥ 0,即x ≥ 3。
因此,函数的定义域为[3, +∞)。
b) g(x) = 1/(x + 2)解:由于分母不能为0,所以x + 2 ≠ 0,即x ≠ -2。
因此,函数的定义域为(-∞, -2) ∪ (-2, +∞)。
第二章:数列与数学归纳法1. 求等差数列的通项公式:a) 2, 5, 8, 11, ...解:首项为2,公差为3,通项公式为an = 2 + 3(n - 1)。
b) 3, 6, 12, 24, ...解:首项为3,公比为2,通项公式为an = 3 × 2^(n - 1)。
2. 求等差数列的前n项和:a) 1, 3, 5, 7, ...解:首项为1,公差为2,前n项和的公式为Sn = (2n^2 - n) / 2。
b) 2, 4, 6, 8, ...解:首项为2,公差为2,前n项和的公式为Sn = n^2。
第三章:平面几何1. 求三角形的面积:a) 已知底边和高:底边长为5,高为4。
解:三角形的面积为(1/2) × 5 × 4 = 10。
b) 已知三边长:三边长分别为3、4、5。
解:利用海伦公式,设半周长为s,s = (3 + 4 + 5) / 2 = 6,三角形的面积为√(6 × (6 - 3) × (6 - 4) × (6 - 5)) = 6。
第一学期高等数学(一)作业(九) 三、计算下列各题班级: 姓名: 学号: 1、计算由x y =2及2-=x y 围成图形的面积.一、填空题1、曲线x y e =,x y -=e 与直线1=x 所围图形的面积为 .2、曲线424x x y -=与x 轴的正半轴所围图形的面积为 .3、由抛物线 22x x y -= 与x 轴围成的图形绕y 轴旋转一周,则所形成的旋转体的体积为 .4、由曲线2x y =与1=x ,3=x 及x 轴围成的图形绕x 轴旋转一周,所形成的旋转体的体积为 .5、曲线⎰++=x t t t y 02d 34在10≤≤x 之间的曲线段的长度为 .二、单项选择题1、摆线)sin (t t a x-=,)cos 1(t a y -=(π20≤≤t )及0=y 所围成图形的面积为 .(A )2πa ; (B )22πa ; (C )23πa ; (D )24πa . 2、曲线 λθe a r=(0>a ,0>λ) 上,从0=θ到αθ=的一段曲线的弧长为 .(A )⎰+αλθθλ02d 1e a ; (B )()⎰+αλθθλ02d e 1a ;(C )()⎰+αλθθ02d e 1a ; (D )⎰+αλθθλ02d 1e a .3、由曲线x y 42=,0=x ,4=y 围成的图形绕y 轴旋转一周,则所成的旋转体的体积为 .(A )π564; (B )π532; (C )π316; (D )π332. 4、一块高为a ,底为b 的等腰三角形薄板,垂直地沉没在水中,顶在下,底与水面相齐,则薄板每面所受的水压力是 .(水密度为ρ,重力加速度为g )(A )g abρ2; (B )g b a ρ62; (C )g b a ρ32; (D )g b a ρ322. 5、曲线x y =, 0=+y x 及2=x 围成图形的面积为 .(A )32; (B )34; (C )38; (D )314.三、解答下列各题2、抛物线22y x =分割圆822≤+y x 成两部分,求各部分的面积.3、计算心形线)cos 1(θ-=a r (0>a )的全长.4、计算圆的渐伸线)sin (cos t t t a x +=,)cos (sin t t t a y -=(π0≤≤t )的弧长.5、设()t t x f x d 1)(1⎰--=(1-≥x ),求曲线)(x f y =与x 轴所围图形的面积.6、求由曲线2x y =,x y =2所围图形绕x 轴旋转一周所成旋转体的体积.7、由曲线12+=x y ,0=x ,1=x 及x 轴围成的图形绕直线2=x 旋转一周,求所成旋转体的体积.8、计算由曲线θ2e =r 及0=θ,4π=θ围成图形的面积.参考答案一、 1、2ee 1-+-; 2、1564; 3、π38; 4、π5124; 5、23. 二、 1、(C ); 2、(A ); 3、(A ); 4、(B ); 5、(D ). 三、 1、29; 2、34π2+或34π6-; 3、a 8; 4、2π2a ;5、2321+; 6、π103; 7、π623; 8、)1e (81π-.。
高等数学作业册参考答案一、函数与极限 1.1)1()1(2222---x x ;22)1(11x -- 2. 10≤≤x 3. 31≤≤-x ; x y sin 21-= ))2,2((ππ-∈x 4. 3- 5. 22-x 6.)1ln(112++x7. 3- 8.该数列极限不存在 9. 1 10. x x 632- 11.2π; π ;不存在 12. 略二、极限的运算1.(1)0 (2)a 2 (3)32(4)1 (5)202 (6)21 (7)∞ (8)02. 0,1==βα3. 3-4. 15. 证明略,26. (1)52(2) 21 (3) 1 (4) 1 (5) 1- (6) e (7) e (8)2 (9) 4e (10) 21-e (11) 1 (12) 1三、无穷小的比较及连续性 1.(1)32 (2) 2 (3) 25 (4) 0 (5) 9 (6) 161 2.3 3. R c b a ∈==,1,0 4. 125.(1) 2=x 为可去间断点,令1)2(-=f 则该点变为连续点; 3=x 为无穷间断点 (2)0=x 为可去间断点,令1)0(=f 则变为连续点; ...)2,1(±±==k k x π为无穷间断点; ...)2,1,0(2=±=k k x ππ为可去间断点,令0)2(=±ππk f 则变为连续点;(3)0=x 为可去间断点,令1)0(=f 变为连续点 (4)1=x 为跳跃间断点;(5)0=x 为可去间断点,令1)0(=f 则变为连续点6.(1)2=k (2) (a)0;0 (b)1- (3) 1,0==b a (4)1=x 为跳跃间断点四、导数的概念及运算(1)A - (2)A 2 (2)2A2.(1)3 (2)23.64.(1)2)1(='+f ,∞='-)1(f ,所以分段点处不可导 (2)1>k 时分段点处可导且导数值为0,1≤k 时不可导 5.(1)4πα=(2))1,1(-M 6. 1+=x y ;π++-=1x y7.x y -=或25xy -= 8.-99! 9.2,2,1-==-=c b a 10.函数在分段点处连续且可导,⎪⎪⎩⎪⎪⎨⎧=≠+-='0 ,20 ,121arctan )(422x x xx x x f π五、导数的运算1.(1)ba cx +2 (2) 8187-x (3) )2ln()2(e e xππ(4) 2sin cos xxx x - (5) 2224)ln 3(32)49(ln x x x x x x x x +-++- (6) x x x x arctan 2122++ 2. (1)3ln 33+ (2) 42ln 2- 4. (1))sin()21(2x x x -- (2) 22x xe(3) 221xx --(4) 22sin 2x x (5)221xa + (6)22xa x --(7) )2sin 222cos (2x xe x +- (8) x sec (9) xxx -+-12)1(12 (10) ))1(1()1arctan()1arctan(ln 42222x x x x ++⋅++ (11) ))31ln(sin()3162(2222x e x xe x x +-+-- 5.(1) )()(xxxx ee f ee --+'⋅- (2) 232222))(1()()(2-+⋅'-x f x f x xf6.x 87.x xln cos 1⋅六、导数的运算与微分 1(1))1212189(2453x x x x ex +++ (2)3222)(x a a --(3)212cot 2xx x arc +-(4))cos sin 2(ln 22ln 2cos x x x -⋅⋅ 2(1)2ln 23x (2)6 3 0 4 nn x n )1()!1()1(1+--- 523 6 (1)xye y y -sin cos (2)x y-(3) xy - (4) )ln ln (x x y y y x x y --⋅ (5)y x yx -+ (6) 324ya b - (7) )sin(sin )sin(cos y x x y x x y ++++-7 (1) )sin ln (cos sin xxx x x x+(2))41312111()4)(3()2)(1(414----+++⋅--++x x x x x x x x (3)222ln 2)2ln 2ln 2(2x x xx xx x x⋅++(4) 12)1(ln -++x xxx x8 (1) 2t (2)t (3)34- 9 证明略10 (1)dx x x x x )sec sin cos (2- (2)dx 32 (3)dx e 2-11 (1) 01.04+π(2) 2713七、中值定理1.(1)满足;(2)不满足;(3)不满足2.2π3.31 4.有2个实根5. 6.有1个实根 7.略 8.略 9.提示:)()(x f e x F x-=应用罗尔定理 10.略八、洛必达法则 1.25 2.53- 3.1 4.1 5.0 6.∞+ 7.1 8.1 9.21-10.011.31 12.1 13.1-e 14. 21-e15.29,3=-=b a九、泰勒公式1.32)1(3)1(7)1(42+++-++x x x2.32453091x x x -+- 3.)(31133x o x x +-+ 4.)()!1(1!2132n n x o x n x x x +-++++5.))1(()1()1(122+++-+--x o x x7.略 8.略十、函数的单调性1.]2,0(上单减;),2[+∞上单增2.单增区间]1,0[;单减区间]2,1[3.单增区间),1[],0,(+∞-∞;单减区间]1,0[4. 1个实根5.略6.略7.略8.单增十一、曲线的凹凸性 1.凹区间),21[],21,(+∞--∞;凸区间]21,21[-2.凹区间]1,1[-;凸区间),1[],1,(+∞--∞;拐点)2ln ,1(),2ln ,1(-3.拐点),21(21arctan e4.3,1-==b a5.ac b 32=6.略7.水平渐近线1=y ;无铅直渐近线8.水平渐近线0=y ;铅直渐近线1,3=-=x x十二、函数的极值与最大最小值1.极大值17)1(=-y ;极小值47)3(-=y2.极大值2)1(-=-y ;极小值2)1(=y3.2=a4.4,421==x x5.(1)1)1(++n n n ;(2)e1 6.x x x y 9323--=;32 7.1:2 8.5;11十三、函数图形的描绘 1.极小值517)2(-=-y ;拐点)2,1(),56,1(-- 2.单减区间),1[+∞ 3.略 4.1个交点 5.略十五、不定积分概念、性质1.21x- 2.C x +3559 3.1313++x x 4.C x x x ++-arctan 3135.C e x x ++3ln 136.C x x +-tan7.C x +2ln 218.C x +8151589.C x +-cot 21 10.C x x +-sec tan 11.C x++2sin 1 12.C x x +-cot tan 13.1)(2+=x x f十六、 1.C b ax F a ++)(1 2.C x x +-2213.C x F +)(ln4.C x ++)38ln(9135.C x ++342)1(83 6.C x x ++881ln81 7.C x x +-3sin 31sin 8.C x ++23)2(ln 32 9.C x x +-ln 110.C x e x+-+)1ln( 11.C x +-10ln 210arccos 2 12.C x +++22))11(ln(21十七、不定积分的第二换元法1.C x x +++-+))11ln(1(22.C x +1arccos3.C x x ++-)21ln(24.C xx ++215.C x x x +--)1(arcsin 2126.C x x ++1ln 667.C x x +---)1arctan 1(2 8.C x xx x ++-+-arcsin 1129.C x ex+--+)11ln(2 10.C x +2)(arctan十八、不定积分分部积分法 1.C x x e x++-)22(22.C x x x +-3391ln 31 3. C x f x f x +-')()( 4.C x x ++-)1ln(21ln 2 5.C x x e x +-)cos (sin 216.C x x x x x +-+sin 2cos 2sin 27.C x x x x x ++-2ln 2ln 28.C x x x +-+21arcsin 9.C x e x++--)1(10.C x x x +--cot 21sin 2211.C x x x x +----)1ln(2121)1ln(21 12.C x x x x +-++21arcsin 13.C x x x e x+-++-)12(214.C x e x+tan 15.C x x x +-+arctan )1(16.C e ex x x +----2222十九、有理函数的积分 1.C x x ++++-2)1(2111 2.C x x +---1ln 2ln 3 3.C x x +-++1ln 21112 4.C x x +-arctan 21ln 5.C x +3tan 2arctan321 5.C x++2tan1ln 7.C x x xx x x ++-+++-+--11arctan21111ln8.C x x +-+311239.C x x +-+-2)1(2111 10.C x x x x +-+++-2cos 2cos ln 1211cos 1cos ln 61二十、定积分的概念、性质1、331()3b a - 2、ln 2 3、12I I > 4、2I ππ≤≤ 5、12422eI e -≤≤ 6、137、略二十一、微积分基本公式 1、02、2sin x - 3、2 4、24π 5、1x 6、32ln 22+ 7、2(1)e - 8、2 9、14π- 10、-ln2 11、83 12 1e e+ 二十二、定积分换元法1、02、43π- 3 4、24π 5、166、2ln2-17、416a π82)π+ 9、14π- 10、1) 11、2ln1e e + 12、1ln 284π- 13、121e-- 14、11ln(1)e -++二十三、定积分分部积分法1、112e -- 2、321()92e -+ 3、12π- 4、 142π- 5、21(1)2e π+ 6、364ππ-7、2e - 8、12(1)e -- 9、1310、112e -- 二十四、反常积分1、 发散2、2π3、1ln 324、28π5、16、发散7、-1 8、1ln 22 9、1 10、2π11、2 π 二十五、平面图形的面积1、3ln 22- 2、12e e -+- 3、3234、2a5、23a π 6、 7、(1,1) 8、529、1,2,0-二十六、体积 1、12864,75ππ 2、1615π 3、310π 4、464,315π5、6436、32224()3R a π- 7、 8、2,9π二十七、平面曲线的弧长、平均值1、214e + 2、433、6a4、22a π 51)a e π- 6、35ln212+ 7、8a 8、212e -- 9、23π 二十八、物理应用1、0.294J2、800ln 2J π3、1211()mg R R - 4、216aH 5、443r g π 61(Gm a ρ 7、57697.5KJ 三十、微分方程的概念1、(1)2y x '= ;(2)20yy x '+= 2、是3、20xy y '-=4、120;1C C ==5、221()[ln(1)1]2x f x x +=+-6、2xy y y e '''--= 三十一可分离变量的微分方程 1、2y x C =+ 2、2xy e = 3、(1)yx ex e C --=++4、xy Cxe-=5、2225y x += 6、3C y x=+ 7、221x x y Ce+=-8、221(1)y C x +=- 9、sin ln y x x =三十二、 一阶线性方程,齐次方程1、32431x Cy x +=+2、(1)xy x e e =+-3、3213x y x-= 4、cos xy x=-5、xe y x=6、同57、47y x =+8 3232xx y ee =-三十一、可降阶的高阶方程 1、12(2)xy x e C x C =-++ 2、12C xy C e =3、y =4、21arcsin()xy C e C =+ 5、12ln y C x C =+6、ln 2x xe e y -+=注:原题改为求1)'(''2=+y y 满足(0)0,'(0)0y y ==的特解。
第一章 函数与极限一、选择题1.B ;2.C ;3.D ;4.C ;5. A.二、填空题1. [-1,1];2. a ln 21; 3. 1 ; 4. -1; 5. 2 ,2三、计算下列极限1. 解:321lim 231-+-→x x x x =)3)(1()1)(1(lim 21+-++-→x x x x x x =31lim 21+++→x x x x =432. 解:213lim21-++--→x x xx x=)13)(2)(1()13)(13(lim 1x x x x x x x x x ++-+-++-+--→ =)13)(2)(1()1(2lim 1x x x x x x ++-+---→ =62-3. 解:65124lim 2323-++-∞→x x x x x =33651124lim xx x x x -++-∞→=44. 解: x x x cos 1)1ln(lim 20-+→=22lim 220=→xx x5. 解:xx x sin 20)31(lim +→=xx x x x sin 6310)31(lim ⋅→+=xx x x x x sin 6lim 3100)31(lim →⋅→+=e 66. 解:3ln =a四、证明题1.证明:11limlim11222122=+=++≤+≤+∞←∞←=∑n n nn n n n kn n n n n n nk 且11lim 12=+∴∑=∞→nk n kn2. 证明:由题意,得0)1(21<-=--=-+n n n n n n x x x x x x}{是单调递减的数列n x ∴ 以下证有下界,显然数列{}n x 有下界且为零设a x n n =∞→lim ,则a =a (1-a )0lim =∴∞→n n x3.证明:构造辅助函数x x f x F -=)()(,它在],[b a 上连续.若a a f =)( 或b b f =)(,则a =ξ或b =ξ,结论成立.若不然,则0)()(,0)()(<-=>-=b b f b F a a f a F .根据连续函数零点定理,必存在],[b a ∈ξ,使ξξξ==)(,0)(f F .五、当1||<x 时,x x x x nn n =+-∞→2211lim;当1||=x 时, 011lim 22=+-∞→x x x n nn ;当1||>x 时,x x x x nn n -=+-∞→2211lim . 因此 ⎪⎩⎪⎨⎧>=<-=1||1||1||0)(x x x x x x f . 由于1)(lim ,1)(lim ;1)(lim ,1)(lim 1111-==-==+-+--→-→→→x f x f x f x f x x x x .故 1±=x 是)(x f 的第一类跳跃间断点.第二章 导数与微分一、选择题1.B2.C3.B4.A5..C6.B7.B8.C二、填空题1.a ln -2. )cot ln 1(sin x x x x x ++3. dx -4. !n三、求下列函数的导数1.解:由题意22'44122arccos x x x x x y ----=2422arccos xxx --=2. 解:()[]⎪⎪⎭⎫⎝⎛='x x g f 21arcsin ;()[]{}221xx x g f -='.3.解:方程()()x x y xy =-+ln sin 两边同时对x 求导得()11)(cos =--'+'+xy y y x y xy 又题意知当0=x 时1=y所以1|0==x dxdy4. 解:由题意xxx x x y 2'cos ln sin cos 2+-=,2222''cos sin cos 2sin cos 2ln cos 2ln sin 2x x x x x x x x x x x y +-+--=∴22cos 2sin 2ln 2cos 2xxx x x x ---=5. 解:方程两边对x 求导,得0cos 211=⋅+-dxdy y dx dy , 则ydx dy cos 22-= . 上式两边再对x 求导,得3222)cos 2(sin 4)cos 2(sin 2y y y dx dyy dx y d --=-⋅-=.6.解:2t dt dx dtdydx dt dt dy dx dy ==⋅=; t t dt dx t dt d dx dy dx d dxy d 412222+=⎪⎭⎫ ⎝⎛=⎪⎭⎫ ⎝⎛=.7. 解:由题意xxx xee x y cos)1ln(1)cos 1ln(1)cos 1(++==+=法一:⎥⎦⎤⎢⎣⎡+++⋅+-=+-+-⋅=∴+212)cos 1ln()cos 1ln()cos 1(sin )cos 1()cos 1ln(cos 1sin 'x x x x x x xx x x xey xxx法二:等式两边取对数得 令)cos 1ln(1ln x xy +=上式两边对x 求导得)cos 1(sin )cos 1(1'12x x xx n xy y +-++-= ⎥⎦⎤⎢⎣⎡+++⋅+-=+++-=∴212)cos 1ln()cos 1(sin )cos 1(])cos 1ln()cos 1(sin ['x x x x x x x x x x x y y x四、综合题1. 解:因为()1-='n nx x f ,过点()1,1的切线方程为:()11-=-x n y .令n n y n 10-=⇒=ξ;故 e n n n nn n n 111lim 1lim =⎪⎭⎫⎝⎛-=⎪⎭⎫ ⎝⎛-∞→∞→.2. 解:(1)连续性 )0(021lim cos 1lim )(lim 2000f xxx x x f x x x ===-=+++→→→ )0(0lim )(lim 2f x x f x x ===--→→ 处连续在0)(),0(0)(lim )(lim 00=∴===-+→→x x f f x f x f x x . (2)可导性 2121lim cos 1lim )0()(lim 220200==-=-+++→→→xxx x x f x f x x x 0lim )0()(lim 200==-+-→→x x xf x f x x .0)(),(')('处不可导在=∴≠∴-+x x f x f x f3.解:由题意:()()()A x xx x f x x x f x F x x x x =+=+=→→→→sin lim 2lim sin 2limlim 0000. 又 ()()()()100lim lim 00='=-=→→f xf x f x x f x x ,即3=A 为所求.4.解:由题意得:3121h V π=,两边同时对t 求导:dtdh h dt dV 241π=,故 4=h 时, 求得π21=dt dh .第三章 中值定理与导数应用一、选择题1、C2、C3、D4、B5、A6、B二、填空题1、12、)2,2(2-e3、1,0,1==-=x x x ;0=x4、00==x ,y5、()2,-∞-三、计算题1、解:212cos lim )(arcsin 1sin lim 020=-=--→→x x e x x e x x x x .2、解:()xx x cos 02tan lim -→π=()x x x etan ln cos lim 02-→π=()xx x esec tan ln lim02-→π=1202sin cos lim=-→xxx eπ3、解:222arctan 2lim x x x ⎪⎭⎫⎝⎛-∞→π=212414lim 2arctan 2lim 3422=-+-=--∞→-∞→x x xx x x x π.4、解:])1ln(11[lim 0x x x +-→ )1ln()1ln(lim 0x x xx x +-+=→20)1l n (l i m x x x x -+=→x xx x 211l i m 0-+=→ 214221lim 221lim 0220-=+--=+--=→→x x x x x x x x5、解:令t x=21,则0→x 时,+∞→t . 0!50lim 50lim lim lim 4950100102=====+∞→+∞→+∞→-→t t t t t t x x ee t e t x e .四、证明题1、证明:令F (x )=xf (x ),由题意,显然F (x )在[a,b ]连续,在(a,b )可导由拉格朗日中值定理得,至少存在一点ξ使 )(')()()())((')()(ξξξξf f ab a af b bf a b F a F b F +=---=-即2、证明:存在性:设()15-+=x x x f ,显然()x f 在任意区间连续,又()010<-=f ,()011>=f ,由零点定理,方程015=-+x x 在)1,(0内至少有一根,即至少有一正根.唯一性:因()014>+='x x f ,()x f 在()+∞∞-,内单增,故015=-+x x 至多有一正根.3、证明:,ln )(2t t f =令.],[)(理的条件上满足拉格朗日中值定在显然令b a t f),,(b a ∈∴ξ存在.ln 2)(ln ln 22ξξξ='=--f a b a b 满足),,(ln 2)2e e x x x x g ∈=(令可得(由22)ln 1(2ln 22)xx x x x g -=-='∴ .0)(,),(2<'∈x g e e x 时当.)(,),(2单调递减时x g e e x ∈∴,2e b a e <<<<ξ 又.2ln 242e e<<∴ξξ .,4ln ln 222结论得证ea b a b >--∴4、证明:设)0(211)(2>---=x x x e x f x,则0)0(=f 得1)('',1)('-=--=x x e x f x e x f 0)0()(0)(01)('',0='>'∴∞+'>-=∴>f x f x f e x f x x )单调递增,,在(得 0)0()(0)(=>∴∞+∴f x f x f )单调递增,,在(∴222110211x x e x x e xx ++>>---即五、解:设),(y x P 到定点)0,2(A 的距离为S .()452)2(2222222+-=-+-=+-=x x x x x y x S ,()542-='x S . 令()02='S ,则45=x ;而()042>="S . 故45=x 为极小值点. P 点坐标为 ),(4545±.六、略.第四章 不定积分一、选择题:1、B2、D3、A4、A5、B6、C二、填空题:1、相互平行,2、C x x +-2213、()C x+18ln 184、C x +arcsin5、C x +)tan arctan(arc三、计算下列不定积分:1、解:令⎰⎰⎰+-=+-===∴=∴=c x c t tdt dt tt dx xx t x t x cos 2cos 2sin 2sin sin ,222、解:原式=dx x x ⎰⎪⎭⎫⎝⎛+--12112121=dx x ⎰-12121dx x ⎰+-12121 =()⎰--1212221x x d()⎰++-1212221x x d =C x x ++-1212ln 221.3、解:原式=()()C x x xd x d x x +==⎰⎰2tan ln 21tan ln tan ln tan tan tan ln .4、解:令t x sin 2=⎰=∴t d ttsin 2cos 2sin 42原式⎰⎰+--=+-=-==C x x x C t t dt t tdt 242arcsin 22sin 2)2cos 22(sin 4225、解:t x tan =令⎰⎰+⋅=+t t td x x dx 2222tan 1tan tan 1⎰⎰⎰⎰+-====⋅=C t t d tdt t t dt t t dt t t t sin 1sin sin 1sin cos tan sec sec tan sec 22222C xx ++-=126、解:t x dx x x x dxsec 2,1)2(13422=+-+=++⎰⎰令C x x x C t t t t d tt dtt t t t t tdt dt t t t t d t +++++=++=++=++==⋅=--=∴⎰⎰⎰⎰⎰342ln tan sec ln )tan (sec tan sec 1tan sec )tan (sec sec sec tan tan sec )2(sec 1sec 122原式7、解:原式=dx x x x x x x xd 1ln 21ln 11ln 22⋅⎪⎭⎫⎝⎛---=⎪⎭⎫ ⎝⎛-⎰⎰=dx x x x x ⎰+-22ln 2ln 1,仿上法得: C x x x dx x x x dx x x +--=+-=⎰⎰1ln 11ln 1ln 22, 代入可得:dx x x⎰22ln =C x x x+++-]2ln 2[ln 12.8、原式=)(arctan )ln(arctan x d x ⎰=C x x x +-arctan )ln(arctan arctan9、解:原式=du u u de e e dx e e e xx xx xx ⎰⎰⎰-=-=-⋅222222111(设x e u =)=du u u du u u ⎰⎰--=⎪⎪⎭⎫ ⎝⎛---2221arcsin 111. 对于du u ⎰-21用三角代换法得:C u u u du u ++-=-⎰arcsin 21121122. 所以dx e e xx⎰-231=C e e e x x x +--2121arcsin 21.10、解:⎰⎰-=dx x x x dx x )cos(ln )sin(ln )sin(ln])sin(ln )cos(ln [)sin(ln ⎰+-=dx x x x x x ⎰--=dx x x x x x )sin(ln )cos(ln )sin(lnC x x x x dx x +-==∴⎰2)cos(ln )sin(ln )sin(ln四、解: x x sin 是)(x f 的原函数, ∴2sin cos sin )(x x x x x x x f -='⎪⎭⎫⎝⎛=. C xxx x x x x dx x f x xf x xdf dx x f x +--=-=='⎰⎰⎰sin sin cos )()()()(2 C xxx +-=sin 2cos .第五章 定积分一、选择题:1.. B2. D3. D4. C二、填空题:1.)())(()())((x m x m f x g x g f '⋅-'⋅ ; 2. a I = ; 3. 21I I < ; 4. 奇.三、计算题:1. 解:原式=0cos 12232=-ππx .2. 解: ⎰⎰⎰-====+++-110104)(1111a r c t a n 01|a r c t a n 22πe e de dx dx x x e e e e e x x x x x .3. 解:,sin t x =令⎰⎰=-t td t dx x xsin cos sin 12202210π则dt t t 220cos sin )(π⎰=16)4sin 32181(4cos 1812sin 412020220π)(πππ=-=-==⎰⎰t t dt t tdt4. 解: ⎰⎰-=⎰⎰==-ππππ0022210022cos 1222]2cos [sin xdx x dx x dx x xdx x I x ,⎰⎰⎰-==ππππ22122122122sin 0|2sin 2sin 2cos xdx x x x d x xdx x=⎰⎰=-=ππππ0022121212cos 0|2cos 2cos xdx x x x xd ,4361ππ-=I.5. 解: 令 2-=t u 则du u f dt t f ⎰⎰-=-1131)()2(1110121137134)1()(------=+-=++=⎰⎰⎰e e du e du u du uf u .6. 解:⎰⎰∞+∞+∞+-==ee e xx d x dx x x ln 1ln )(ln 1ln 1221]ln 1ln 1lim [=--=+∞→ex x7. 解:2121221221arccos1)1(11))1(1(1x x d xdx x x =--=-=⎰⎰原式 4arccos lim 22arccos 1π=-=→x x8. 解:21cos 21lim 2cos lim 2tan cos lim tan cos lim 20220220022002-=-=⋅-=⋅-=++++→→→→⎰⎰x x x x x x x x x dtt dtt t x x x x xx四、综合题:1. 证:令x t -=π则⎰⎰⎰⎰==--=202022sin sin )(sin sin ππππππxdx tdt dt t xdx n nnn所以⎰⎰⎰⎰=+=20220sin 2sin sin sin πππππxdx xdx xdx xdx n nnn2. 证明:.0]0[)()内可导显然,上连续,在(,在ππx F,时,当0cos )(],0[>='∈-x e x F x x π .)(],0[单调递增时,当x F x π∈∴).0()2(],0[)(F F x F ,最小值为上的最大值为在ππ∴高等数学(上)大作业 参考答案 第 11 页 共 11 页第六章 定积分的应用一、选择题:1. C2. C二、计算题:1.解:对x y 62=两边求导得yy 3=',从而得曲线在点)3,23(处的法线斜率1-=k . 法线方程为:029=-+y x ,故所围图形面积为:dy y y ⎰---392)629(=48.2.解:设所求面积为S ,则有对称性知)2cos 21)sin 2(21(246260⎰⎰+=πππθθθθd d S 23162cos )2cos 1(4660-+=+-=⎰⎰πθθθθπππd d3. 解:dx y S ⎰'+=4021π dx x x ⎰+=4022cos sin 1πdx x ⎰=40sec π40tan sec ln πx x +=40tan sec ln πx x +=)21ln(+=4.解:体积元为dy y dV 2)4(π=,所以πππ12|1161641412=-==⎰y dy yV .5. 解: .1ln xy x y ='∴= .1),(11)1,(ln x e y e x e y e x y =-=-=∴即的切线方程为过曲线 .1ln 轴围成与,直线由曲线x x ey x y D ==∴ 体的体积为轴旋转一周所得的旋转绕x D ∴ dx x e V e ⎰-=12ln 31ππe x x x x x e 12]2ln 2ln [31+--=ππ e ππ322-=。
高中数学必修一:作业本答案(实用版)编制人:__________________审核人:__________________审批人:__________________编制单位:__________________编制时间:____年____月____日序言下载提示:该文档是本店铺精心编制而成的,希望大家下载后,能够帮助大家解决实际问题。
文档下载后可定制修改,请根据实际需要进行调整和使用,谢谢!并且,本店铺为大家提供各种类型的教育资料,如幼儿教案、音乐教案、语文教案、知识梳理、英语教案、物理教案、化学教案、政治教案、历史教案、其他范文等等,想了解不同资料格式和写法,敬请关注!Download tips: This document is carefully compiled by this editor.I hope that after you download it, it can help you solve practical problems. The document can be customized and modified after downloading, please adjust and use it according to actual needs, thank you!Moreover, this store provides various types of educational materials for everyone, such as preschool lesson plans, music lesson plans, Chinese lesson plans, knowledge review, English lesson plans, physics lesson plans, chemistry lesson plans, political lesson plans, history lesson plans, and other sample texts. If you want to learn about different data formats and writing methods, please stay tuned!高中数学必修一:作业本答案本店铺为大家整理的关于《高中数学必修一:作业本答案》的文章,供大家学习参考!第一章集合与函数概念1.1集合1 1 1集合的含义与表示1.D.2.A.3.C.4.{1,-1}.5.{x|x=3n+1,n∈N}.6.{2,0,-2}.7.A={(1,5),(2,4),(3,3),(4,2),(5,1)}.8.1.9.1,2,3,6.10.列举法表示为{(-1,1),(2,4)},描述法的表示方法不,如可表示为(x,y)|y=x+2,y=x2.11.-1,12,2.1 1 2集合间的基本关系1.D.2.A.3.D.4. ,{-1},{1},{-1,1}.5. .6.①③⑤.7.A=B.8.15,13.9.a≥4.10.A={ ,{1},{2},{1,2}},B∈A.11.a=b=1.1 1 3集合的基本运算(一)1.C.2.A.3.C.4.4.5.{x|-2≤x≤1}.6.4.7.{-3}.8.A∪B={x|x 11.{a|a=3,或-221 1 3集合的基本运算(二)1.A.2.C.3.B.4.{x|x≥2,或x≤1}.5.2或8.6.x|x=n+12,n∈Z.7.{-2}.8.{x|x>6,或x≤2}.9.A={2,3,5,7},B={2,4,6,8}.10.A,B的可能情形有:A={1,2,3},B={3,4};A={1,2,4},B={3,4};A={1,2,3,4},B={3,4}.11.a=4,b=2.提示:∵A∩綂 UB={2},∴2∈A,∴4+2a-12=0 a=4,∴A={x|x2+4x-12=0}={2,-6},∵A∩綂 UB={2},∴-6 綂 UB,∴-6∈B,将x=-6代入B,得b2-6b+8=0 b=2,或b=4.①当b=2时,B={x|x2+2x-24=0}={-6,4},∴-6 綂 UB,而2∈綂 UB,满足条件A∩綂 UB={2}.②当b=4时,B={x|x2+4x-12=0}={-6,2}, ∴2 綂 UB,与条件A∩綂 UB={2}矛盾.1.2函数及其表示1 2 1函数的概念(一)1.C.2.C.3.D.4.22.5.-2,32∪32,+∞.6.[1,+∞).7.(1)12,34.(2){x|x≠-1,且x≠-3}.8.-34.9.1.10.(1)略.(2)72.11.-12,234.1 2 1函数的概念(二)1.C.2.A.3.D.4.{x∈R|x≠0,且x≠-1}.5.[0,+∞).6.0.7.-15,-13,-12,13.8.(1)y|y≠25.(2)[-2,+∞).9.(0,1].10.A∩B=-2,12;A∪B=[-2,+∞).11.[-1,0).1 2 2函数的表示法(一)。
高一必修一数学作业本答案【篇一:数学必修一浙江省高中新课程作业本答案】ass=txt>答案与提示仅供参考第一章集合与函数概念1.1集合1 1 1集合的含义与表示1.d.2.a.3.c.4.{1,-1}.5.{x|x=3n+1,n∈n}.6.{2,0,-2}.7.a={(1,5),(2,4),(3,3),(4,2),(5,1)}.8.1.9.1,2,3,6.10.列举法表示为{(-1,1),(2,4)},描述法的表示方法不唯一,如可表示为(x,y)|y=x+2,y=x2.11.-1,12,2.1 1 2集合间的基本关系1.d.2.a.3.d.4. ,{-1},{1},{-1,1}.5. .6.①③⑤.7.a=b.8.15,13.9.a≥4.10.a={ ,{1},{2},{1,2}},b∈a.11.a=b=1.1 1 3集合的基本运算(一)1.c.2.a.3.c.4.4.5.{x|-2≤x≤1}.6.4.7.{-3}.8.a∪b={x|x<3,或x≥5}.9.a∪b={-8,-7,-4,4,9}.10.1.1 1 3集合的基本运算(二)1.a.2.c.3.b.4.{x|x≥2,或x≤1}.5.2或8.6.x|x=n+12,n∈z.7.{-2}.8.{x|x>6,或x≤2}.9.a={2,3,5,7},b={2,4,6,8}.10.a,b的可能情形有:a={1,2,3},b={3,4};a={1,2,4},b={3,4};a={1,2,3,4},b={3,4}.11.a=4,b=2.提示:∵a∩ 綂 ub={2},∴2∈a,∴4+2a-12=0 a=4,∴a={x|x2+4x-12=0}={2,-6},∵a∩ 綂 ub={2},∴-6 綂 ub,∴-6∈b,将x=-6代入b,得b2-6b+8=0 b=2,或b=4.①当b=2时,b={x|x2+2x-24=0}={-6,4},∴-6 綂 ub,而2∈綂 ub,满足条件a∩ 綂 ub={2}.②当b=4时,b={x|x2+4x-12=0}={-6,2},∴2 綂 ub,与条件a∩ 綂 ub={2}矛盾.1.2函数及其表示1 2 1函数的概念(一)1.c.2.c.3.d.4.22.5.-2,32∪32,+∞.6.[1,+∞).7.(1)12,34.(2){x|x≠-1,且x≠-3}.8.-34.9.1.10.(1)略.(2)72.11.-12,234.1 2 1函数的概念(二)1.c.2.a.3.d.4.{x∈r|x≠0,且x≠-1}.5.[0,+∞).6.0.7.-15,-13,-12,13.8.(1)y|y≠25.(2)[-2,+∞).9.(0,1].10.a∩b=-2,12;a∪b=[-2,+∞).11.[-1,0). 1 2 2函数的表示法(一)1.a.2.b.3.a.4.y=x100.5.y=x2-2x+2.6.1x.7.略.8.x1234y828589889.略.10.1.11.c=-3.1 2 2函数的表示法(二)1.c.2.d.3.b.4.1.5.3.6.6.7.略.8.f(x)=2x(-1≤x<0),-2x+2(0≤x≤1).9.f(x)=x2-x+1.提示:设f(x)=ax2+bx+c,由f(0)=1,得c=1,又f(x+1)-f(x)=2x,即a(x+1)2+b(x+1)+c-(ax2+bx+c)=2x,展开得2ax+(a+b)=2x,所以2a=2,a+b=0,解得a=1,b=-1.10.y=1.2(0<x≤20),2.4(20<x≤40),3.6(40<x≤60),4.8(60<x≤80).11.略.1.3函数的基本性质1 3 1单调性与最大(小)值(一)1.c.2.d.3.c.4.[-2,0),[0,1),[1,2].5.-∞,32.6.k<12.7.略.8.单调递减区间为(-∞,1),单调递增区间为[1,+∞).9.略.10.a≥-1. 11.设-1<x1<x2<1,则f(x1)-f(x2)=x1x21-1-x2x22-1=(x1x2+1)(x2-x1)(x21-1)(x22-1),∵x21-1<0,x22-1<0,x1x2+1<0,x2-x1>0,∴(x1x2+1)(x2-x1)(x21-1)(x22-1)>0,∴函数y=f(x)在(-1,1)上为减函数.1 3 1单调性与最大(小)值(二)1.d.2.b.3.b.4.-5,5.5.25.6.y=316(a+3x)(a-x)(0<x<a),312a2,5364a2.7.12.8.8a2+15.9.(0,1].10.2500m2.1 3 2奇偶性1.d.2.d.3.c.4.0.5.0.6.答案不唯一,如y=x2.7.(1)奇函数.(2)偶函数.(3)既不是奇函数,又不是偶函数.(4)既是奇函数,又是偶函数.8.f(x)=x(1+3x)(x≥0),x(1-3x)(x<0).9.略.10.当a=0时,f(x)是偶函数;当a≠0时,既不是奇函数,又不是偶函数.11.a=1,b=1,c=0.提示:由f(-x)=-f(x),得c=0,∴f(x)=ax2+1bx,∴f(1)=a+1b=2 a=2b-1.∴f(x)=(2b-1)x2+1bx.∵f(2)<3,∴4(2b-1)+12b<3 2b-32b<0 0<b<32.∵a,b,c∈z,∴b=1,∴a=1.单元练习1.c.2.d.3.d.4.d.5.d.6.b.7.b.8.c.9.a.10.d.11.{0,1,2}.12.-32.13.a=-1,b=3.14.[1,3)∪(3,5].15.f12<f(-1)<f-72.16.f(x)=-x2-2x-3.17.t(h)=19-6h(0≤h≤11),-47(h>11).18.{x|0≤x≤1}.19.f(x)=x只有唯一的实数解,即xax+b=x(*)只有唯一实数解,当ax2+(b-1)x=0有相等的实数根x0,且ax0+b≠0时,解得f(x)=2xx+2,当ax2+(b-1)x=0有不相等的实数根,且其中之一为方程(*)的增根时,解得f(x)=1.20.(1)x∈r,又f(-x)=(-x)2-2|-x|-3=x2-2|x|-3=f(x),所以该函数是偶函数.(2)略.(3)单调递增区间是[-1,0],[1,+∞),单调递减区间是(-∞,-1],[0,1].(2)f(x)=1.3x(0≤x≤5),【篇二:2015假期作业1--高中数学必修1综合练习 -答案】class=txt>一、选择题:本大题共10小题,每小题5分,共50分. 1.设集合a?{1,3},集合b?{1,2,4,5},则集合a?b?()a.{1,3,1,2,4,5} b.{1} c.{1,2,3,4,5} d.{2,3,4,5}27?1352.化简()3的结果是(). a. b. c. 3d.5125533. 若幂函数f?x??xa在?0,???上是增函数,则 () a.a0b.a0c.a=0d.不能确定4.与y?|x|为同一函数的是()。
高等数学(上)第一章 函数与极限1. 设⎪⎩⎪⎨⎧≥<=3||,03|||,sin |)(ππϕx x x x ,求).2(446ϕπϕπϕπϕ、、、⎪⎭⎫ ⎝⎛-⎪⎭⎫ ⎝⎛⎪⎭⎫ ⎝⎛6sin )6(ππϕ=21= 224sin )4(==ππϕ()0222)4sin()4(==-=-ϕππϕ2. 设()x f 的定义域为[]1,0,问:⑴()2x f ;⑵()x f s i n ; ⑶()()0>+a a x f ; ⑷()()a x f a x f -++()0>a 的定义域是什么?(1)][;,-的定义域为所以知-11)(,111022x f x x ≤≤≤≤ []ππππ)12(,2)(sin ),()12(21sin 0)2(+∈+≤≤≤≤k k x f Z k k x k x 的定义域为所以知由][a a a x f ax a a x -+-≤≤≤+≤1,)(110)3(-的定义域为所以知-由][φ时,定义域为当时,定义域为当从而得-知由211,210111010)4(>-≤<⎩⎨⎧+≤≤-≤≤⎩⎨⎧≤-≤≤+≤a a a a a x a a x a a x a x3. 设()⎪⎩⎪⎨⎧>-=<=111011x x x x f ,()xe x g =,求()[]x gf 和()[]x fg ,并做出这两个函数的图形。
⎪⎪⎩⎪⎪⎨⎧>=<==⎪⎩⎪⎨⎧>-=<=⎪⎩⎪⎨⎧>-=<=-1,1,11,)]([.)20,10,00,1)]([1)(,11)(,01)(,1)]([.)11)(x e x x e e x f g x x x x g f x g x g x g x g f x f 从而得4.设数列{}nx 有界,又,0lim =∞→nn y证明:.0lim =∞→n n n y x{}结论成立。
从而时,有,当自然数即又有对有界,∴=<=-<>∃>∀=≤∀>∃∴∞→ ..0)(,0,0lim ,,0εεεεMM y x y x My N n N y Mx n M x n n n n n n n n n5. 根据函数的定义证明: ⑴()813lim 3=-→x x8)13(lim 813303,033,33813,03=-<--<-<>∀<-<-=-->∀→x x x x x x x 所以成立时,恒有,当=取故即可。
高数第一册 第一章 习题1.13.(1)(,1)(1,)(2){|1,}1(1,1)(1,)(3)(1,1)x x x R -∞-⋃-+∞≠±∈∞-⋃-⋃+∞-或(-,) (4)22903[3,1)(1,3]10x x x x x ⎧⎫-≥⇒-⎪⎪⇒--⋃⎨⎬-⇒⎪⎪⎩⎭≤ ≤3>>1或<-12222(5)(,3)(6)sin 0,,()241(7)114(1),11(1)3x x k x k k z x x x x x x πππ-∞≠≠≠∈⎡⎤≤⇒≤⇒≤+⇒-⎢⎥++⎣⎦(8)0ln 0x x x x x ⎧⎫⇒⇒⎨⎬⇒⎩⎭> >0>1>>1(9)[1,2]-(10)21()x x x f x x x x x x x x ⎧⎫⇒⎪⎪⎪⎪=⇒⇒≠⇒∴⎨⎬⎪⎪⎪⎪⇒⎩⎭-1 <00≤≤10即0<<1 < 0和0<≤2e 1≤≤27.(1)(2)(3)(4)(5)奇函数偶函数偶函数偶函数非奇非偶(6)2()()f x f x -=+=偶函数(7)11()lnln ()11x xf x f x x x+--==-=--+奇函数)(8)2112()()2112x xx xf x f x -----===-++奇函数(9)()sin cos f x x x -=--非奇非偶 13.(1)22(())(2)24,(())2,xxxx f x f f x x Rϕϕ====∈(2)11(())(0,1)111x f f x x xx-==≠--(3)32221,()(1)3(1)256()56(1)(1)5(1)6x t f t t t t t f x x x f x x x +==---+=-+∴=-++=+-++则x=t-1,或:14.[]22(1)(0)0.(2)0,111111(3)01(4)1lg ,lg 1,lg 1,.1(5)11()(6)1log (16)y x x y x y y x y x x y y y xx y x y y x xy xx x y x x x =≤≤+∞=≥=++===≠-+==-=--=≠-+∞⎧=≤≤∞反函数反函数x=,x-1=,x=1+反函数y ,定义域反函数定义域x >0反函数,定义域(x )-<<1反函数16)<<+⎫⎪⎬⎪⎩⎭习题1.2 2。
⾼中数学必修三作业本答案答案与提⽰第⼀章算法初步1.1算法与程序框图1.1.1算法的概念1.C2.C3.C4.①②④5.⽅程的两边同乘以1a6.①②③7.第⼀步,计算⽅程的判别式并判断其符号:Δ=4+4×3=16>0.第⼆步,将a=1,b=-2,c=-3代⼊求根公式x=-b±b2-4ac2a.第三步,得⽅程的解为x=3,或x=-18.第⼀步,输⼊⾃变量x的值.第⼆步,进⾏判断,如果x≥0,则f(x)=x+2;否则,f(x)=x2.第三步,输出f(x)的值9.第⼀步,取x1=-2,y1=-1,x2=2,y2=3.第⼆步,得直线⽅程y-y1y2-y1=x-x1x2-x1.第三步,在第⼆步的⽅程中,令x=0,得y的值m.第四步,在第⼆步的⽅程中,令y=0,得x的值n.第五步:根据三⾓形的⾯积公式求得S=12|m|?|n|10.第⼀步,输⼊a,l.第⼆步,计算R=2?a2.第三步,计算h=l2-R2.第四步,计算S=a2.第五步,计算V=13Sh.第六步,输出V11.第⼀步,把9枚银元平均分成3堆,每堆3个银元.第⼆步,任取两堆银元分别放在天平的两边.如果天平平衡,则假银元就在第三堆中;如果天平不平衡,那么假银元就在轻的那⼀堆中.第三步,取出含假银元的那⼀堆,从中任取2个银元放在天平的两边.如果天平平衡,那么假银元就是未称的那⼀个;如果天平不平衡,那么轻的那个就是假银元程序框图与算法的基本逻辑结构1.C2.A3.B4.1205.S=S+n,n=n+26.求满⾜1×3×5×…×(i-2)≥10000的最⼩奇数i的值7.算法略,程序框图如图:(第7题)8.算法略,程序框图如图:(第8题)9.(第9题)10.(1)若输⼊的四个数为5,3,7,2,输出的结果是2(2)该程序框图是为了解决如下问题⽽设计的:求a,b,c,d四个数中的最⼩值并输出11.算法略,程序框图如图:(第11题)1.2基本算法语句1.2.1输⼊语句、输出语句和赋值语句1.A2.D3.C4.12;3+4+55.①②④6.(1)4,4(2)3,3 7.INPUT“输⼊横坐标:”;a,c x=(a+c)/2INPUT“输⼊纵坐标:”;b,d y=(b+d)/2PRINT“中点坐标:”;x,y ENDINPUT“L=”;L a=L/4 S1=a*aR=L/(2*3.14)2PRINT“正⽅形的⾯积为:”;S1PRINT“圆的⾯积为:”;S2 END1.4C/B K=-A/BPRINT“直线的斜率:”;K PRINT“x轴上的截距:”;MPRINT“y轴上的截距:”;N END1.5第⼀个输出为2,9,第⼆个输出为-7,8.程序如下:INPUT“x,y=”;x,y x=x/2 y=3*yPRINTx,yx=x-y y=y-1 PRINTx,yEND 11.INPUT“卫星⾼度:”;hv=7900*SQR(R)/SQR(R+h)m=v*SQR(2)t=C/vPRI NT“卫星速度:”;vPRINT“脱离速度:”;mPRINT“绕地球⼀周时间:”;tEND条件语句1.1.2<3),2(x=3),x2-1(x>3)INPUT“两个不同的数”;A,B IFA>BTHEN PRINTBELSEPRINTAEND IFEND1.7INPUT“x=”; xIFx<=1.1THENPRINT“免票”ELSEIFx<PRINT“半票”ELSE PRINT“全票” END IFEND IFEND1.8INPUT“x=”;x IFx<-1THEN-1ELSEELSEy=ABS(x)+1END IF ENDIF PRINT“y=”;y END 10.INPUTa,b,cIFa>0ANDb>0ANDc>0THENIFa+b>cANDa+c>bANDb+c>aTHEN p=(a+b+c)/2 S=SQR(p*(p-a)*(p-b)*(p-c))PRINTS ELSEPRINT“不能构成三⾓形”END IFELSEPRINT“不能构成三⾓形”END IF END1.9(1)超过500元⾄2000元的部分,15(2)355循环语句1.B2.B3.D4.51501.1.3 7. S=0 k=1DO S=S+1/(k*(k+1))k=k+1LOOPUNTILk>99PRINTSEND2.r=0.01P=12.9533y=2000WHILEP<=14P=P*(1+r)y=y+1 WENDPRINTyEND 9. s=0 t=1i=1 WHILEi<=20t=t*i s=s+ti=i+1WENDPRINTsEND 10.A=0 B=0C=1D=A+B+CPRINTA,B,C,DWHILED<=1000A=BB=C C=DD=A+B+CPRINTDWENDEND11.(1)2550S=S+2k k=k+1WENDPRINTSEND1.10算法案例案例1辗转相除法与更相减损术1.1.4B2.C3.B4.135.66.67.(1)84(2)43.与6497的最⼤公约数为73;最⼩公倍数为3869×649773=3443419.1212.(1)INPUTa,bWHILEa<>bIFa>bTHENa=a-b ELSEb=b-a END IFWENDPRINTb END(2)INPUTa,b r=aMOD bWHILEr<>0a=bb=rr=a MOD bWENDPRINTbEND12.=15036,334=13536,229=8036,则等价于求150,135,80的最⼤公约数,即得每瓶最多装536kg 案例2秦九韶算法1.2.2A2.C3.C4.①④5.216.-571.11f(x)=((((3x+7)x-4)x+0.5)x+1)x+18.291.1.5考察多项式f(x)=x5+x3+x2-1=x5+0?x4+x3+x2+0?x-1,则-,,得,所以x5+x3+x2-1=0在[,]之间有根1.1.6a=-3761.1.7(1)加法运算次数为n,乘法运算次数为1+2+3+…+n=n(n+1)2,所以共需n+n(n+1)2 =n(n+3)2(次)(2)加法运算次数为n次,乘法也为n次,共需2n次案例3进位制4.C2.C3.D4.575.1002(3)<11110(2)<111(5)<45(7)6.124 7.(1)379(2)10211(6)(3)342(5)8.E+D=1B,A×B=6E13.在⼗六进位制⾥,⼗进位制数71可以化为4710.13,7,21,26 11.(1)①3266(8)②11101001100101(2)(2)结论:把⼆进制数转化为⼋进制数时,只要从右到左,把3位⼆进制数字划成⼀组,然后每组⽤⼀个⼋进制数字代替即可;把⼆进制数转化为⼗六进制数时,只要从右到左,把4位⼆进制数字划成⼀组,然后每组⽤⼀个⼗六进制数字代替即可;把⼋进制数、⼗六进制数转化为⼆进制数时,只需将⼀位数字⽤3位或4位⼆进制数字代替即可.3021(4)=11001001(2),514(8)=101001100(2)单元练习13.A2.B3.D4.D5.C6.B7.B8.D9.D10.B1.2.3i>2012.S=6413.55,5314.85315.红,蓝,黄16.302(8)17.34 18.INPUT“x=”;x IFx<=0THENPRINT“输⼊错误”ELSEIFx<=2THENy=3 ELSEy=3+(x-2)*1.6 ENDIF END IFPRI NT“x=”;x,“y=”;yEND2.程序甲运⾏的结果为147,程序⼄运⾏的结果为97 20.S=0i=0WHILEi<=9i=i+1 WENDPRINTSEND1.12(1)①处应填i≤30?;②处应填p=p+i(2)i=1p=1s=0WHILEi<=30s=s+p p=p+ii=i+1 WENDPRINTs END1.1.8提⽰:abc(6)=36a+6b+c,cba(9)=81c+9b+a,故得35a=3b+80c.⼜因为35a是5的倍数,80c也是5的倍数,所以3b也必须是5的倍数,故b=0或5.①当b=0时,7a=16c,因为7,16互质,并且a,c≠0,∴c=7,a=16(舍去);②当b=5时,7a=3+16c,即c=7a-316,⼜因为a,c为六进制中的数,将a分别⽤1,2,3,4,5代⼊,当且仅当a=5时,c=2成⽴. ∴abc(6)=552(6)=212第⼆章统计5.随机抽样14.简单随机抽样(⼀)14.C2.C3.B4.9600名⾼中毕业⽣的⽂科综合考试成绩,3005.抽签法1.2.4不是简单随机抽样.因为这不是等可能抽样3.①先将20名学⽣进⾏编号,从1编到20;②把号码写在形状、⼤⼩均相同的号签上;③将号签放在某个箱⼦⾥进⾏充分搅拌,⼒求均匀,然后依次从箱⼦中抽取5个号签,从⽽抽出5名参加问卷调查的学⽣4.如果样本就是总体,抽样调查就变成普查了,尽管结论真实可靠地反映了实际情况,但这不是统计的基本思想,其可操作性、可⾏性、⼈⼒物⼒⽅⾯都会有制约的因素存在.何况有些调查是有破坏性的,如检查⽣产的⼀批玻璃的抗碎能⼒,普查就不合适了5.①将编号为1~15的号签放在同⼀个盒⼦⾥,搅拌均匀,每次抽出⼀个号签,连抽3次;②将编号为16~35的号签放在同⼀个盒⼦⾥,搅拌均匀,每次抽出⼀个号签,连抽3次;③将编号为36~47的号签放在同⼀个盒⼦⾥,搅拌均匀,每次抽出⼀个号签,连抽2次.所得的号签对应的题⽬即为其要作答的试题6.简单随机抽样的实质是逐个从总体中随机抽取,⽽这⾥只是随机确定了起始张,这时其他各张虽然是逐张起牌的,但其实各张在谁⼿⾥已被确定了,所以不是简单随机抽样简单随机抽样(⼆)1.D2.A3.B4.90%5.调整号码,使位数统⼀6.18,00,38,58,32,26,257.不是简单随机抽样.因为这是“⼀次性”抽取,⽽不是“逐个”抽取1.13①在随机数表中任选⼀个数作为开始,任选⼀个⽅向作为读数⽅向,⽐如选第2⾏第3列数7,向右读;②每次读取三位,凡不在600~999中的数跳过不读,前⾯已读过的也跳过不读,依次可得到742,624,720,607,798,973,662,656,671,797;③以上编号对应的10个零件就是要抽取的样本1.14考虑96辆汽车的某项指标这⼀总体,将其中的96个个体编号为01,02,…,96,利⽤随机数表抽取10个号码.如从随机数表中的第21⾏第7列的数字开始,往右读数(也可向左读)得到10个号码如下:13,70,55,74,30,77,40,44,22,78.将编号为上述号码的10个个体取出便得到容量为10的样本1.15⽅法1抽签法①将200名男⽣编号,号码是001,002,…,200;②将号码分别写在⼀张纸条上,揉成团,制成号签;③将得到的号签放⼊⼀个不透明的袋⼦中,并充分搅匀;④从袋⼦中逐个抽取15个号签,并记录上⾯的编号;⑤所得号码对应的男⽣就是要抽取的学⽣⽅法2随机数表法①将200名男⽣编号,号码为001,002,…,200;②在随机数表中任选⼀个数作为开始的数,任选⼀⽅向作为读数⽅向;③每次读取三位,凡不在001~200中的数跳过不读,前⾯已经读过的也跳过不读,依次得到的号码对应的男⽣就是要抽取的学⽣1.16科学地选取样本是对样本进⾏数据分析的前提.失败的原因:①抽样⽅法不公平,样本不具有代表性,样本不是从总体(全体美国公民)中随机抽取的;②样本容量相对过⼩,也是导致估计出现偏差的重要原因系统抽样1.1.9B2.C3.A4.系统抽样,00037,00137,00237,99737,99837,999376.系统抽样6.257.系统抽样;088,188,288,388,488,588,688,788,888,98815.提⽰:要⽤系统抽样⽅法抽样,⾸先要对奖品进⾏编号16.①将103个个体编号为1,2,…,103;②⽤抽签法或随机数表法,剔除3个个体,对剩下的100个重新编号;③确定个数间隔k=10,将总体分成10个部分,每⼀部分10个个体,这时第⼀部分个体编号为1,2,…,10,第⼆部分个体编号为11,12,…,20,依此类推,第⼗部分个体编号为91,92,…,100;④在第⼀部分⽤简单随机抽样⽅法确定起始的个体编号,例如是3;⑤取出号码13,23,…,93,这样得到⼀个容量为10的样本17.根据规则第7组中抽取的号码的个位数字是7+6=13的个位数字3,⼜第7组的号码的⼗位数字是6,所以第7组中抽取的号码是6318.把295名同学分成59组,每组5⼈;第1组是编号为1~5的学⽣,第2组是编号为6~10的学⽣,依此类推,第59组是编号为291~295的学⽣,然后采⽤简单随机抽样的⽅法从第1组学⽣中抽取⼀个学⽣,设编号为k(1≤k≤5),接着抽取的编号为k+5i(i=1,2, …,58).共得到59个个体分层抽样(⼀)15.B2.B3.D4.mnN5.4,15,26.2101.17⾼⼀年级应抽取70⼈,⾼⼆年级应抽取80⼈,⾼三年级应抽取40⼈1.1.10+a+200=20400,a=300,所以共有零件400+300+200=900(个)9.807.分层抽样:①将30000⼈分成5层,其中⼀个乡镇为⼀层;②按照样本容量与总体容量的⽐例及各乡镇的⼈⼝⽐例随机抽取样本,这5个乡镇应抽取的样本容量分别为60,40,100,40,60;③将这300个⼈组在⼀起,即得到⼀组样本8.抽样⽐为50050000=1100,根据抽样⽐,从持“很满意”、“满意”、“⼀般”、“不满意”态度的各类帖⼦中各抽取108,124,156,112份分层抽样(⼆)19.A2.C3.D4.60,65.1926.560016.(1)简单随机抽样(2)系统抽样(3)分层抽样17.样本容量与总体的个体数之⽐为54∶5400,故从各种鸡中抽取的样本数依次为蛋鸡15只、⾁鸡30只、草鸡9只,然后在各类鸡中采⽤随机抽样⽅法或系统抽样⽅法抽取18.不是.因为事先不知总体,抽样⽅法也不能保证每个个体被抽到的可能性相同19.(1)设登⼭组⼈数为x,游泳组中青年⼈、中年⼈、⽼年⼈所占⽐例分别为a,b,c,则有,x?10100+3xc4x=10%,解得b=50%,c=10%.故a=40%.所以游泳组中青年⼈、中年⼈、⽼年⼈所占⽐例分别为40%,50%,10%(2)游泳组中,抽取的青年⼈数为200?34?40%=60(⼈);抽取的中年⼈数为200?34?50%=75(⼈);抽取的⽼年⼈数为200?34?10%=15(⼈)20.(1)总体是⾼三年级全体学⽣的期末考试成绩,个体是每个学⽣的期末考试成绩,样本是抽出来的学⽣的考试成绩,样本容量分别是20,20,100(2)第⼀种⽅式采⽤的是简单随机抽样、第⼆种⽅式采⽤的是系统抽样或分层抽样、第三种⽅式采⽤的是分层抽样(3)第⼀种⽅式的步骤是:先⽤抽签法抽取⼀个班,再⽤抽签法或产⽣随机数法抽取20⼈第⼆种⽅法若采⽤系统抽样,则抽样步骤是:⾸先在第⼀个班中⽤简单随机抽样法抽取⼀名学⽣,⽐如编号为a,然后在其他班上选取编号为a的学⽣共19⼈,从⽽得到20个样本;若采⽤分层抽样,则分别在各班⽤简单随机抽样法抽取⼀⼈第三种⽅法采⽤分层抽样,先确定各层的⼈数,即优秀层抽15⼈,良好层抽60⼈,普通层抽25⼈,然后在各层中⽤简单随机抽样法抽取相应样本1.2.5⽤样本估计总体⽤样本的频率分布估计总体分布(⼀)7.C2.D3.C4.1995,略8.(1)(2)20 9.(1)略(2)略11.(1)略(2)略(3)⽤样本的频率分布估计总体分布(⼆)2.D2.B3.B4.13,26%5.606.19(1)甲(2)相同(3)两个图象中坐标轴的单位长度不同,因⽽造成图象的倾斜程度不同,给⼈以不同的感觉1.18(1)4+6+8+7+5+2+3+1=36(2)获奖率为5+2+3+136×100%(3)该中学参赛同学的成绩均不低于60分,成绩在80~90分数段的⼈数最多1.19略10.⼄的潜⼒⼤,图略⽤样本的频率分布估计总体分布(三)1.1.11A2.B3.B4.所有信息都可以从这个茎叶图中得到;便于记录和表⽰125245311667944950(第7题)5.96;92;⼄6.4%,519.图中分界线左边的数字表⽰⼗位数字,右边的数字表⽰个位数字.从图中可以⼤约看出,这⼀组数据分布较对称,集中程度较⾼10.茎叶图略.甲、⼄两名射击运动员的平均成绩都是环,中位数分别为9,10,众数分别为9,10.从中位数与众数上看应让⼄去;但⼄有三次在9环以下,发挥不稳定,所以从这⼀点看应让甲去11.(1)略(2)英⽂句⼦所含单词数与中⽂句⼦所含字数都分布得⽐较分散,总的来看,每句句⼦所含的字(词)数没有多⼤区别,但因为数量较多,不能给出较有把握的结论12.茎叶图略.姚明的得分集中在15~35分之间,说明姚明是⼀个得分稳定的选⼿13.(1)略(2)略(3)不能,因为叶值不确定⽤样本的数字特征估计总体的数字特征(⼀)20.,21.∵x甲⼄=,∴x甲<x⼄.∴甲班男⽣短跑⽔平⾼些22.由于每组的数据是⼀个范围,所以可以⽤组中值近似地表⽰平均数,得总体的平均数约为23.(1)5kg(2)3000kg24.男⽣的平均成绩为,中位数是73,众数有2个,分别是55和68;⼥⽣的平均成绩是,中位数是82,众数有3个,分别是73,80和82.从成绩的平均值、中位数和众数可以看出这个班级的⼥⽣成绩明显优于男⽣25.(1)甲两次购粮的平均价格为ax+aya+a=x+y2,⼄两次购粮的平均价格为a+aax+ay =2xyx+y(2)因为x≠y,所以(x+y)2>4xy,x+y2>2xyx+y.故⼄两次购粮的平均价格较低⽤样本的数字特征估计总体的数字特征(⼆)1.2.6,,26.s>s18.(1)(2)有11个⽉的销售额在(x-s,x+s),即()内9.设这5个⾃然数为n-2,n-1,n,n+1,n+2(n≥2),则这5个数的平均数为n,⽅差为15[(n-2- n)2+(n-1-n)2+(n-n)2+(n+1-n)2+(n+2-n)2]=210.(1)∵x′i=axi+b(i=1,2,…,n),∴x′1+x′2+…+x′n=a(x1+x2+…+xn)+nb,∴x′=1n(x′i+x′2+…+x′n)=a?1n(x1+x2+…+xn)+b=ax+b(2)s2x′=1n[(x′1-x′)2+(x′2-x′)2+…+(x′n-x′)2]=1n{[ax1+b-(ax+b)]2+[ax2+b-(ax+b)]2+…+[axn+b-(ax+b)]2}=1n[a2(x1-x)2+a2(x2-x)2+…+a2(xn-x)2]=a2s2x11.全班学⽣的平均成绩为90?18+80?2240=84因为第⼀组的标准差为6,所以36=118[(x21+x22+…+x218)-18?902],即36?18=x21+x22+…+x218-18?902.因为第⼆组的标准差为4,所以16=122[(x219+x220+…+x240)-22?802],即16?22=x219+x220+…+x240-22?802.所以x21+x22+…+x240=36?18+16?22+18?902+22?802=287600.所以s2=140[x21+x22+…x240-]所以全班成绩的标准差为1.20(1)x甲=7(环),x⼄=7(环),s2甲=3,s2⼄(2)因为s2甲>s2⼄,所以⼄的射击技术⽐较稳定,选派⼄参加射击⽐赛1.1.12变量间的相关关系14.变量之间的相关关系两个变量的线性相关(⼀)21.C2.D3.C4.相关关系,函数关系5.散点图6.①③④7.略26.穿较⼤的鞋⼦不能使孩⼦的阅读能⼒增强,在这个问题中实际上涉及到第三个因素——年龄,当孩⼦长⼤⼀些,他的阅读能⼒会提⾼,⽽且由于⼈长⼤脚也变⼤,所穿鞋⼦相应增⼤27.从图中可以看出两图中的点都散布在⼀条直线附近,因此两图中的变量都分别具有相关关系,其中变量A,B为负相关,变量C,D为正相关28.略29.观察表中的数据,⼤体上来看,随着年龄的增加,⼈体中脂肪含量的百分⽐也在增加.为了确定这⼀关系的细节,我们假设⼈的年龄影响体内脂肪含量,于是,以x轴表⽰年龄,以y轴表⽰脂肪含量,得到相应的散点图(图略).从图中可以看出,年龄越⼤,体内脂肪含量越⾼,图中点的趋势表明两个变量之间确实存在⼀定的关系15.两个变量的线性相关(⼆)1.2.7A2.C3.A4.x每增加1个单位,y就平均增加b个单位12.667.(1)略(2)(1)略(2)3.⽤最⼩⼆乘法估计得到的直线⽅程和⽤两点式求出的直线⽅程⼀致,都是y^=2x+6.20结论:若只有两个样本点,那么结果⼀样10.(1)略(2)-0.8571(3)要使y≤10,则- 得.∴机器的转速应控制在15转/秒以下两个变量的线性相关(三)1.B2.D3.C4.6505.10b6.y^=0.575x-14.97.散点图略,两者之间具有相关关系8.(1)略(2)y^=1.5649x+37.829(3)由回归直线⽅程系数,即,可得⾷品所含热量每增加1个百分点,⼝味评价就多9.(1)(2)估计⼉⼦的⾝⾼为1.21(1)略(2)所求的回归直线⽅程为=.估计买120m2的新房的费⽤为万元1.22(1)略(2)相关系数(3)r>,说明两变量相关性很强;回归直线⽅程(4)84分单元练习1.1.13B2.D3.A4.D5.D6.D7.C8.C9.A10.B16.5,7212.25613.42,814.np15.13,,7817.8422.分以下四个步骤:①将1003名学⽣⽤随机⽅式抽样,从总体中剔除3⼈(可⽤随机数表法);②将剩下的学⽣重新编号(编号分别为000,001,…,999),并分成20段;③在第⼀段000,001,…,049这50个编号中⽤简单随机抽样抽出⼀个(如003)作为起始号码;④将编号为003,053,103,…,953的个体抽出,组成样本23.(1)环(2)射中8环及8环以上的可能性7+1,所以每次射靶不合格的可能性为24.由条件得(x1-x)2+(x2-x)2+…+(x10-x)2=20,与原式相减得x2-6x-1=0,从⽽平均数x=3±1025.(1)略(2)略(3)因为只知分组和频数,所以应该⽤中值来近似计算平均数,所以平均数为,⽅差为26.第三章概率30.随机事件的概率随机事件的概率1.2.8C2.D3.B4.②④5.0≤m≤n6.③13.(1)必然事件(2)不可能事件(3)随机事件(4)随机事件14.从左到右依次为,,,,15.不能,因为这仅是10个计算器中次品的频率,由概率的定义知,只有在⼤量的试验中,频率才能较准确地估计概率值;但试验次数较少时,频率与概率在数值上可能差别很⼤16.(1)设平均值为m,则m=68×5+69×15+70×10+71×15+72×550=70(2)⽤频率估计概率:P=1050=1517.(1)甲、⼄两名运动员击中10环以上的频率分别为:,,,,95,;,,,,,(2)由(1)中的数据可知两名运动员击中10环以上的频率都集中在附近,所以两⼈击中10环以上的概率约为,也就是说两⼈的实⼒相当概率的意义4.D2.A3.B4.不⼀定5.236.7506.21%→(2);2%→(3);90%→(1)11.这样做体现了公平性,它使得两名运动员的先发球机会是等可能的,⽤概率的语⾔描述,就是两个运动员取得发球权的概率都是,因为任何⼀名运动员猜中的概率都是,也就是每个运动员取得先发球权的概率均为,所以这个规定是公平的1.23天⽓预报的“降⽔”是⼀个随机事件,“概率为90%”指明了“降⽔”这个随机事件发⽣的概率.我们知道:在⼀次试验中,概率为90%的事件也可能不出现.因此,“昨天没有下⾬”并不能说明“昨天的降⽔概率为90%”的天⽓预报是错误的1.24如果它是均匀的,⼀次试验中出现每个⾯的可能性都是16,从⽽连续出现10次1点的概率为,这在⼀次试验中⼏乎不可能发⽣,⽽这种结果恰好发⽣了,我们有理由认为,这枚骰⼦的质地不均匀,6点的那⾯⽐较重,原因是,在作出的这种判断下,更有可能出现10个1点1.25(1)基本事件总数为6×6=36个,即(1,1),(1,2),…,(6,6)共36种情况.相乘为12的事件有(2,6),(6,2),(3,4)和(4,3)共4种情况,所以,所求概率是P=436=19 (2)设每枚骰⼦点数分别为x1,x2,则1≤x1≤6,1≤x2≤6.由题设x1+x2≥10.①当x1+x2=12时,有⼀解(6,6).②当x1+x2=11时,有两解(5,6)和(6,5).③当x1+x2=10时,有三解(4,6),(5,5)和(6,4),故向上点数不低于10的结果有6种,所求概率为636=16概率的基本性质1.1.1455,提⽰:,17.⾄少有1件是次品7.(1)是互斥事件(2)不是互斥事件27.设事件C为“出现1点或2点”,因为事件A,B是互斥事件,由C=A∪B可得P(C)=P(A)+ P(B)=16+16=13,∴出现1点或2点的概率是1328.(1)“甲获胜”是“和棋或⼄胜”的对⽴事件,所以“甲获胜”的概率为1-12-13=16(2)解法1:设事件A为“甲不输”,看做是“甲胜”、“和棋”这两个互斥事件的并事件,所以P(A)=16+12=23;解法2:设事件A为“甲不输”,看做是“⼄胜”的对⽴事件,所以P(A)=1-13=23,∴甲不输的概率是2329.(1)(2)(3)由于,,1-,1-,故他可能乘⽕车或轮船去,也可能乘汽车或飞机去30.(1)(2)31.古典概型古典概型1.2.9C2.B3.B.提⽰:.4918.均为假命题.(1)等可能结果应为4种,还有⼀种是“⼀反⼀正”(2)摸到红球的概率为12,摸到⿊球的概率为13,摸到⽩球的概率为16(3)取到⼩于0的数字的概率为47,取到不⼩于0的数字的概率为37(4)男同学当选的概率为13,⼥同学当选的概率为1419.(1)36(2)12(3)139.1210.(1)916(2)125.设这批产品中共有m件次品,则从100件产品中依次取2件有100×99种结果,这两件都是次品有m(m-1)种结果.从⽽m(m-,即m2-m-99≤0,∴0≤m≤1+3972.⼜∴m的最⼤值为10,即这批产品中最多有10件次品(整数值)随机数(random numbers)的产⽣6.22B2.C3.D4.1,20085.随机模拟⽅法或蒙特卡罗⽅法6.1111.26利⽤计算机(器)产⽣0~9之间取整数值的随机数,我们⽤0代表不成活,1~9的数字代表成活,这样可以体现成活率是因为种植5棵,所以每5个随机数作为⼀组,可产⽣30组随机数(数略).这就相当于做了30次试验,在这些数组中,如果恰有⼀个0,则表⽰恰有4棵成活,设共有n组这样的数,于是我们得到种植5棵这样的树苗恰有4棵成活的概率为n30,故所求的概率为0.31.27①按班级、学号顺序把学⽣档案输⼊计算机;②⽤随机函数RANDBETWEEN(1,1 200)按顺序给每个学⽣⼀个随机数(每⼈的都不同);③使⽤计算机排序功能按随机数从⼩到⼤排列,即可得到1~1200的考试序号(注:1号应为0001,2号应为0002,⽤0补⾜位数,前⾯再加上有关信息号码即可)1.28我们设计如下的模拟实验,利⽤计算机(器)或查随机数表,产⽣0~9之间的随机数,我们⽤3,6,9表⽰击中10环,⽤0,1,2,4,5,7,8表⽰未击中10环,这样就与击中10环概率为这⼀条件相吻合.因为考虑的是连续射击三次,所以每三个随机数作为⼀组.例如,产⽣20组随机数010316467430886541269187511067 443728972074606808742038568092就相当于做了20次试验.在这20组数中,3个数中恰有⼀数为3或6或9(即恰有⼀次击中10环)的有9组(标有下划线的数组),于是我们得到了所求概率的估计值为920=0 45.其实我们可以求出恰有⼀次击中10环的概率为1.29利⽤计算机(器)中的随机函数产⽣0~99之间的随机数,若得到的随机数a≤48,则视为取到红球;若a≥49视为取到⽩球,取球的过程可⽤0~99之间的随机数来刻画.⽤随机模拟⽅法可以估算取到红球的概率6905164817871540951784534064899720⽩红红红红⽩红红⽩红⽩⽩红⽩⽩⽩红以上是重复10次的具体结果,有9次取到红球,故取到红球的概率⼤致等于其实这个概率的精确值为可以看出我们的模拟答案相当接近了1.30①⽤计算机(器)产⽣3个不同的1~15之间的随机整数(如果重复,重新产⽣⼀个);②⽤计算机(器)产⽣3个不同的16~35之间的随机整数;③⽤计算机(器)产⽣2个不同的36~45之间的随机整数.由①②③就得到8道题的序号1.1.15⼏何概型⼏何概型(第8题)1.D2.C3.B4.1∶3∶55.1318.x和y分别表⽰甲、⼄两⼈到达约会地点的时间,则两⼈能够会⾯的等价条件是|x-y|≤15.建⽴如图所⽰的平⾯直⾓坐标系,则(x,y)的所有可能结果是边长为60的正⽅形,⽽可能会⾯的时间由图中的阴影部分所表⽰.这是⼀个⼏何概型问题,由等可能性知P(A)=602-452602=71619.设“灯与⽊杆两端的距离都⼤于2m”为事件A,则P(A)=9-2×29=59。
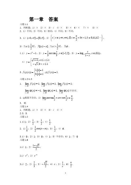
第一章 答案习题1.11.判断题:1)× 2)× 3)√ 4)× 5)× 6)× 7)× 8)× 2.1)不同;2)不同;3)相同;4)不同;5)不同; 3.1)],0[],4(ππ⋃--;2)⎭⎬⎫⎩⎨⎧±±=-π+π≠+∞-∞∈ 2,1,0,12),,(|k k x x x 且; 3)当]1,[21a a a -≤时,为,当φ时,为21>a 。
4.1)13-=x y ;2)]2,2[,3arcsin 31-∈=x x y ;3))1,0(,1log 2∈-=x xxy ; 4)⎩⎨⎧≤<-≤≤-+=10,11,1x x x x y .5.⎩⎨⎧≠==1,01,1))((x x x g f ;1,21,1))((>≤⎩⎨⎧=x x x f g .习题1.2~1.3 1. 1)(lim 0=-→x f x ,1)(lim 0=+→x f x ,1)(lim 0=→x f x ; 1)(lim 0-=ϕ-→x x ,1)(lim 0=ϕ-→x x ,)(lim 0x x ϕ-→不存在. 2. 1)极限不存在;2)2)1cot 1(arctanlim 0π=+→x arc x x . 3. 略习题1.41.判断题:1)× 2)× 3)√ 4)× 2.C ;D. 习题1.51.1)1;2)21;3)21;4)21. 2. 1)41;2))(21m n mn -;3)21;4)6.3.1)0;2)1;3)0;4)1;5)不存在;6)1;7)0 习题1.6 1.1)1;2)251+; 2.1)2e ;2)4-e 3.1)2;2)32;3)22-;4)e ;5)e 1;6)6π.4.当ea 21=时极限存在,为e . 习题1.72.1)不等价;2)不等价;3)等价;4)等价3.1)极限为⎪⎩⎪⎨⎧<∞=>mn m n mn ,,1,0;2)21;3)4;4)1-;5)3-.4.1)1,1-==b a ;2)5,7==b a ;3)27,211-==b a ;4)2,1-==b a 习题1.81.1)),2()2,0()0,1()1,(+∞---∞ ;2)),0()0,(+∞-∞2.1)1-=x 为第二类无穷间断点;1=x 为第一类可去间断点;0=x 为第一类跳跃间断点; 2)0=x ,π+π=k x 2为第一类可去间断点;π=k x 为第二类无穷间断点; 3)0=x 为第二类无穷间断点. 3.2ln ,2==b a4.连续区间:),1()1,1(+∞- ,函数在1=x 处间断,为第二类无穷间断点. 习题1.91.1)12ln +;2)1;3)a21;4)2ln -;5)3e ;6)a1;7)a cos ;8)0 习题1.9 答案略 自测题1. C B C C B B ;2. 1)]21,0(;2)183;3)2;4)2-;5)]1,0(;6)1- 3. 1)31;2)0;3)1;4)1-;5)4;6)0;7)1-;8)5;9)1;10)3-e 4. 0lim =∞→n n x ;5. 0lim =∞→n n x6.2)0(=f7. 1)3ln -=c ;2)0,1=-=b a 8. 不连续,0=x 是可去间断点 9. π==8,2b a10. 证明略第二章 答 案习题2.11. 1) 02()f x ';2)1;3)22y x =-;4)(1,1);5)2,不存在.2. 不可导.3. 12a b ==,(1)1f '=.4.cos ,0()1,0x x f x x <⎧'=⎨≥⎩. 习题2.21. 1) )1(ln cos sin 31332+++-a e a x x x x xx ; 2) 11cos t +;3) 1;4); 5) 22()xg x . .2.1)(1)42π+;2)1. 3.2arcsinx;2) sec x ; 3)22221122sin sin sin cos x x x x x x --;4)36ln ln(ln )x x x .4. 1) 22sin 2(sin )2()()cos ()xf x f x f x f x ''+; 2)()[()()()]f x x x x ee f e f x f e ''+;3)1((2f e e e '-.5. ()a ϕ.6. 33323ln(1),01cos 2,0x x x xx x ⎧-++>⎪+⎨⎪≤⎩.习题2.31.1)2222sin 4cos x x x --;2)3;3)(ln )n kxk a a .2.1)112411,(12)xx y e y e x x x--'''==-;2)21ln cos sin 2,xxy e x e x x x x'=++- 221ln 2sin 22cos 2xx x y e x e e x x x x x ''=+---;3)211112112()()()()2()y xf f y f f f x x x x x x x'''''''=-=-+,.3.1) 1(1)(2)!n n n x---;2)1[3sin(3)sin()]222n n n x x ππ+++. 4. 2022(84421)x e x +. 习题2.41.1)ln /()y y y x -;2)sin sin (cos ln )xxx x x x⋅+;3)-4)2x y =-. 2.1) 2222(cot )21x xx e x e +--; 2) sin sin ()[cos ln ]11(1)x x x xx x x x x ⋅++++;3)tan t ;4) x y x ye y x e ++--. 3.1)223211y y dy d y y dx ye dx y e +=-=-,;2) 221,()dy d y t dx dx f t ==''; 3)2322csc dy b d y bt dx a dx a=-=-cott ,. 4.切线方程:22xy =-+,法线方程:23y x =-. 5.(2,3),27y x =-+. 习题2.51. 1) 1.1; 2) 21dxx -+; 3) 3;4) (sin 22cos 2)x x x dx +. 2.1) 2ln(1)1x dx x --;2) 421xdx x-+;3) 2228tan(12)sec (12)x x x dx ++.3.1)C ;2) 1cos33x C -+;3) 1tan 22x C +;4)212xe C --+;5)ln(1)x C --+;6)csc x ; 7)212x e C +;1sin C x+.自测题答案1.1) 1tan 221111(sin sec cos )x e x x x x -+;2) 244422(1),1(1)x x x y y x x +'''==--;3) sin 2sin [(cos ln )sin 2(sin )]xx xx x xf x dx x '⋅++;4) 11ln 2ln 2π+-; 5) 2232(),()x y x y y y x y x y ++'''==--;6)222311,dy d y t dx t dx t +==-. 2.111211(),0(1)xxx e e x f x x e --'=≠- 3. (0)0f '= 4. (0)2()f b a ϕ''=5. ()11(1)![(2)(1)]n n n n y n x x ----=----第三章 答 案习题3.1 1. 1). 13f ()15;2).(1,2),(2,3),(3,4);3).e f ()(b a )4ξξ⎛⎫'-⎪⎝⎭. 习题3.2 1. 11);2)2;;3)1;3114);5);22''06)1;8)1. 2.1)1;2)f (x ).21;7)习题3.3 1.23472111152(x 4)(x 4)(x 4)(x 4),(01);4645124!16[4(x 4)]θθ=+---+---<<+-3n2n 1x x 2.x x (x )2!(n 1)!O ++++++-习题3.4 1. 1). 11(,),(,);22-∞+∞5250392).(,);3).,32722--。
3.(0,n )∞单增,(n,+)单减;4.∞∞拐点(-1,ln2),(1,ln2),凸区间(-,-1],[1,+),凹区间[-1,1]。
习题3.51.1)x 1,2=-; 2)6π+2.9a ,b 6.2=-=3.(2)4f k ππ+= 5(2)4f k ππ+=14..e习题3.71. 12)k 2=。
2.1).K=1,R=1;2).R=/2。
第四章答案习 题4.11 1)1x ; 2)32x ; 3)cos x C +; 4)()f x '; 5)2ln 2xx C π++; 6) arctan x x C -+; 7)3ln 31x xe C ++; 8) 3arctan 2arcsin x x C -+;9)tan x x C -+; 10)()1sin 2x x C ++.2 1) 1arctan x C x-++; 2)x e C -; 3)tan cot x x C -+; 4)cot tan x x C --+; 5)()1tan 2x x C ++ .3 l n 1y x =+.习 题4.21 1)313t e C +; 2)()41328x C --+); 3)212x e C +;4) 1ln 122x C --+; 5)1cos x b ax be C a--+; 6)C ;7)21sec 2x C +; 8)1cos C x +; 9)C ; 10)()22112x C --+.2 1)61sin 6x C +; 2)21ln 252x x C +++; 3)()()332211arctan 133x x C --+;4)arccos xeC -+; 5)()arctan f x C +⎡⎤⎣⎦; (6)arctan xe C +; 7)123ln 2232ln3x xx x C ++-. 3 1)2arcsin 2a x C a ⎛+ ⎝; 2C + 3)arcsin x C ; 4C +;5)C +.习 题4.31 1) cos sin x x x C -++ ; 2)()ln 1x x C -+; 3)arcsin x x C ;4))32C +; 5)()()xf x F x C -+.2 1) 21122x e x C -⎛⎫-++ ⎪⎝⎭; 2) 2sin 2cos 2sin x x x x x C +-+; 3)()1x C +; 4)()1sin cos 2xe x x C --+; 5))213C +; 6)()cos ln sin ln 2xx x C ++; 7)()()2211arctan ln 1arctan 22x x x x C -+-+.习 题4.41)2ln 310x x C +-+; 2)211ln 25arctan22x x x C --+++; 3))4ln 1C +;4C +.自测题1)()231232x C --+; 2)ln lnln x C +; 3)11cos cos5210x x C -+;4)(2C +; 5)1ln C x x -+; 6)32sec 3C ; 7)(ln 6ln 1x C -+; 8)(1arcsin ln 2x x C +++;9)C -; 10)()ln 11x xxx e C e -++++; 11)2tan xex C +; 12arctan 1x x e C -.第五章 答 案习题5.1 1. 1) 0, 2) 2π。