合肥工业大学2012-2013《高等数学》A(1)试卷B(答案)
- 格式:pdf
- 大小:148.73 KB
- 文档页数:3
合肥工业大学第二学期高等数学试卷A试题 Document number【AA80KGB-AA98YT-AAT8CB-2A6UT-A18GG】一、填空题(每小题3分,共15分) 1、椭球面∑:222216x y z ++=在点0(2,2,2)P 处的切平面方程是___________.2、设曲线L 的方程为221x y +=,则2[()]Lx y y ds +-=⎰ .3、设()21,0,1,0,x f x x x ππ--<≤⎧=⎨+<≤⎩ 则其以2π为周期的傅里叶级数在点x π=处收敛于 . 4、微分方程220y y y '''++=的通解为 . 5、设23(,,)2f x y z x y z =++,则(1,1,1)grad f = .二、选择题(每小题3分,共15分) 1、设222z x y ze ++=,则11x y dz ===( ) 2、二次积分20(,)dx f x y dy ⎰ 化为极坐标下累次积分为( )3、微分方程sin y y x x '''+=+的特解形式可设为( ).(A )*()sin cos y x ax b A x B x =+++ (B )*(sin cos )y ax b x A x B x =+++ (C )*(sin cos )y x ax b A x B x =+++ (D )*sin cos y ax b A x B x =+++ 4、直线1121410214x y z x y z -+-==-++=-与平面2的位置关系是( ))(A l ∥π但l 不在π上 )(B l 在平面π上 )(C l ⊥π )(D l 与π斜交5、设曲面∑的方程为222,x y z z ++=,1∑为∑在第一卦限的部分,则下列结论不正确...的是( ).(A )0xdS ∑=⎰⎰(B )0zdS ∑=⎰⎰(C )1224z dS z dS ∑∑=⎰⎰⎰⎰(D )22x dS y dS ∑∑=⎰⎰⎰⎰三、(本题满分10分)设(,)sin xz f xy y y=+,其中f 具有二阶连续偏导数,求2,z z x x y ∂∂∂∂∂. 四、(本题满分12分)求22(,)2f x y x y =-+在椭圆域D :2214y x +≤上的最大值和最小值.五、(本题满分10分)计算二重积分:2DI y x d σ=-⎰⎰,其中:11,02D x y -≤≤≤≤.六、(本题满分12分)已知积分22(5())()x xLy ye f x dx e f x d ---+⎰与路径无关,且6(0)5f = .求()f x ,并计算(2,3)22(1,0)(5())()x x I y ye f x dx e f x dy--=-+⎰.七、(本题满分12分)计算积分2232222()(2)xz dydz x y z dzdx xy y z dxdy I x y z ∑+-++=++⎰⎰,其中∑是上半球面z =,取上侧.八、(本题满分10分).求幂级数∑∞=---12112)1(n nn x n 的收敛域及和函数,并求数项级数∑∞=---1112)1(n n n 的和.九、(本题满分4分)设0(1,2,3,...)n u n ≠=,且lim 1n nnu →∞=,则级数11111(1)()n n n n u u ∞+=+-+∑是否收敛如果是收敛的,是绝对收敛还是条件收敛。
学年第 二 学期 课程名称 高等数学(下)一、填空题(每小题3分,满分15分) 1.设函数ln(32)xy z x y e =-+,则(1,0)dz =3144dx dy -。
2.=⎰⎰dy yydx x sin 0ππ2。
3.设V 为柱体:10,122≤≤≤+z y x ,则=⎰⎰⎰υυd e z(1)e π-。
4.设()1f x x =+,ππ≤≤-x ,则其以2π为周期的傅立叶级数在点x π=处收敛于1。
二、选择题(每小题3分,共15分) 1.设⎪⎩⎪⎨⎧=+≠++=,0,0,0,,),(2222,y x y x y x xy y x f 则( .C ).A ),(lim 0y x f y x →→存在 .B ),(y x f 在点(0,0)处连续.C )0,0(),0,0(y x f f ''都存在 .D ),(y x f 在点(0,0)处可微2.曲线⎩⎨⎧=-+=+-632,922222z y x z e x y 在点(3,0,2)处的切线方程为(.B ) .A 32x y z -==- .B 326yx z -==- .C 32214x y z --==- .D {3(2)0x z y -=--= 3.设L 为圆周,122=+y x 则⎰=+Lds y x)(33( .A ).A 0 .B 1 .C 2 .D 34.设常数0a >,则级数1111(1)ln n an n n∞++=-∑( .C )。
.A 发散 .B 条件收敛 .C 绝对收敛 .D 敛散性与a 有关。
三、设),)((2xy y x f z -=,其中f 具有二阶连续偏导数,求2zx y∂∂∂。
(本题10分)解:122()zx y f yf x∂=-+∂, 2121111222122(2())22()[2()][2()]z x y f yf f x y x y f xf f y y x f xf x y y∂∂=-+=-+---+++-+∂∂∂ 221111222224()2()f x y f x y f xyf f =---+-++ 四(10分)、求函数)1(),(-=y x y x f 在由上半圆周)0(322≥=+y y x 与x 轴所围成的闭区域D 上的最大值和最小值。
合肥工业大学12--13学年第二学期《高等数学》期中试卷一.填空题(每小题4分, 满分16分)1.微分方程tan cos y y x x '+=的通解为 .2.积分 0sin x y dx dy yππ⎰⎰= . 3.函数2u xy z =在点P (1,-1,2)处的方向导数最大值为___________. 4.求过点0(1,1,0)P - 及直线21:213x y z L -+==-的平面方程___________. 二.选择题(每小题4分, 满分16分)1.设二阶非齐次线性微分方程()()()y p x y q x y f x '''++=有3个线性无关的特解1y 、2y 、3y ,则方程的通解为( )(A) 11223y C y C y y =++ (B) 113223()()y C y y C y y =-+-(C) 1122123(1)y C y C y C C y =+--- (D)1122123(1)y C y C y C C y =++--2. 设函数(,)f x y连续,则二次积分24212(,)(,)x dx f x y dy dx f x y dy +⎰⎰( ). (A) 241(,)y y dy f x y dx ⎰⎰ (B) 241(,)y y dy f x y dx ⎰⎰(C)221(,)y y dy f x y dx ⎰⎰ (D) 221(,)yy dy f x y dx ⎰⎰ 3.设()222222,0,,0,0xy x y x yf x y x y ⎧+≠⎪+=⎨⎪+=⎩则(),f x y 在点()0,0处( ) (A) 极限存在 (B) 连续 (C) 偏导存在 (D) 可微4.设函数ln(32)xy z x y e =-+ 则(1,0)dz = ( ).(A) 3dx dy - (B) 3144dx dy -(C) 34dx dy - (D) 3144dx dy +三. 计算题(共68分)1、 (10分) 求微分方程2x y y y xe '''++=的通解.2、(12分) 设22(,)z f x y xy =+,其中f 有二阶连续偏导数,求y x z ∂∂∂2. 3、(16分)设函数22(,)44f x y x y x y =---(1)求(,)f x y 的极值;(2)求(,)f x y 在闭圆盘D :229x y +≤上的最值. 4.(10分)求曲线2223023540x y z x x y z ⎧++-=⎨-+-=⎩在(1,1,1)处的切线与法平面方程.5. (10分) 设D 为}{22(,)2,0,0,D x y x y x y =+≤≥≥ 计算221.Dx y dxdy +-⎰⎰6. (10分) 计算22(),x y dv Ω+⎰⎰⎰其中Ω是平面上的直线z x =绕z 轴旋转一周所得到的曲面与平面1z =所围成的闭区域.。
一、填空题(每小题3分,共15分) 1、极限2sin 0lim(13)x x x →+= .2、设2arctan()y x x =,则y ' . 3、设()f x 的一个原函数为2x e-,则()________xf x dx '=⎰.4、曲线xe y =过原点的切线方程为____________. 5、曲线2r eθ=从0=θ至2πθ=的一段弧长=l ____________.二、选择题(每小题3分,共15分) 1、当1x →-时,31x +与3(1)x +为()(A) 高阶无穷小 (B) 低阶无穷小(C) 等价无穷小 (D) 同阶但不等价无穷小2、若()f x 的导函数为sin ,x 则()f x 的一个原函数是( )(A) 1sin x + (B) 1sin x - (C) 1cos x + (D) 1cos x -3、设()f x 在0x =处连续,且0()lim 11cos x f x x→=-,则在点0x =处( ). (A) (0)f '不存在 (B) (0)0f '=,且(0)f 为()f x 的极小值 (C) (0)f '存在,且(0)0f '≠ (D) (0)0f '=,且(0)f 为()f x 的极大值4、下列广义积分发散的是( )(A)1+∞⎰(B)111sin dx x -⎰ (C)221ln dx x x+∞⎰(D) 2x xe dx +∞--∞⎰5、曲线2211x x e y e--+=-()(A) 没有渐近线 (B) 仅有水平渐近线 (C) 仅有铅直渐近线 (D) 既有水平渐近线又有铅直渐近线三、计算下列各题(每小题6分,共36分)1、222111lim ()2n n n n n n πππ→∞++++++L . 2、)cos 1)(1(1cossin 3lim 20x e x x x xx +---→. 3、求sin (0)xy xx =>的导数()y x '. 4、已知()2ln 1,arctan ,x t y t ⎧=+⎪⎨=⎪⎩求22d d ,d d y yx x . 5、2arctan x dx x ⎰. 6、设2ln(1)0()101x x f x x x +≥⎧⎪=⎨<⎪+⎩,求20(1)f x dx -⎰. 四、(本题满分10分)设 ()()22021cos , 0, 1, 0,1cos d , 0,xx x x f x x t t x x ⎧-<⎪⎪==⎨⎪⎪>⎩⎰ 讨论()f x 在0x =处的连续性和可导性.五、(本题满分10分)设曲线2xe y =,切线2ey x =及y 轴围成的平面图形为D ,求D 绕y 轴旋转一周所得旋转体体积V .六、(本题满分8分)证明不等式:0>x 时,有11ln ≥+xx . 七、(本题满分6分)设函数)(x f 在]1,0[上连续,在)1,0(内可导,0)(≠x f (01x <<),且0)1()0(==f f ,证明:在)1,0(内至少存在一点ξ,使()2015()f f ξξ'=.。
共 6 页 第1页 南京工程学院试卷2012 /2013 学年 第 1 学期课程所属部门: 基础部 课程名称: 高等数学BI____________考试方式: 闭卷(B卷) 使用班级: 工本_ ___命 题 人: 集体 教研室主任审核: 主管领导批准:____________题号一 二三四五六七八九十总分 得分一、单项选择题:(本大题共5小题,每题3分,共15分)1.如果)(lim x f ax →存在,)(lim x g ax →存在,则)]()([lim x g x f ax +→ ( )(A) 必存在; (B) 必不存在; (C) 可能存在 ; (D) 不能确定.2.已知)5)(4)(3()(---=x x x x f ,则0)(='x f 有 ( )(A) 一个实根; (B) 两个实根; (C) 三个实根; (D) 无实根.3.设⎩⎨⎧>+≤+=1,1,1)(2x b ax x x x f 在1=x 可导,则b a ,为 ( )(A) 2,2=-=b a ; (B) 2,0==b a ; (C) 0,2==b a ; (D) 1,1==b a .4.下列广义积分收敛的是 ( )(A) dx x ⎰+∞11; (B) dx x ⎰101; (C) dx x ⎰121; (D) dx x ⎰+∞121.本题 得分班级 学号 姓名______________南京工程学院试题评分标准及参考答案2012 / 2013 学年第 1 学课程名称: 高等数学BI 使用班级: 工本 (B )制 作 人: 尤兴华 13 年 1 月共4 页 第 1 页。
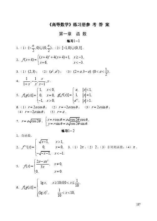
《高等数学》练习册参考答案第一章函数练习11−1.(1);(2).(,0)(0,)22ππ−U [1,0)(0,3]−U 2.3(4)4(4)1,3,(4)6,3.x x x f x x x ⎧++++≥−+=⎨+<−⎩3.(1);(2);(3).(2,3)23(,)e e 1(2,3)(02a a a +−<<4..11,,,11x x x x x −+−5.1,0,[()]0,0,1,0;x f g x x x <⎧⎪==⎨⎪−>⎩1,1,[()]1,1,, 1.e x gf x x e x −⎧<⎪==⎨⎪>⎩6.(1);(2);(3);2cos r a θ=2cos r a θ=−2sin r a θ=(4);(5).2sin r a θ=−r a =7.,r=cos ,sin .x r y r θθθθ⎧==⎨==⎩练习12−1.奇函数.2.3.(1);(2);(3)非周期函数;(4).11,()0,0,1.x f x x x −⎧>⎪==⎨⎪<−⎩2π2π5.22,0,()30,0.a ax x f x xx ⎧−≠⎪=⎨⎪=⎩6.21lg ,100,10[()]1(lg ),10,10x x x f g x x x ⎧≥<≤⎪⎪=⎨⎪<<⎪⎩或2lg ,1,[()]lg ,00 1.x x g f x x x x ≥⎧=⎨<<<<⎩-1或练习13−1.(1);(2);2,sin y u u x ==25,21y u u x ==+(3)(4).ln ,y u v v ===1arctan ,2x y u u v −===2.(1)是;(2)不是;(3)是;(4)不是.第二章极限与连续练习21−1.(1)正确;(2)错;(3)正确.练习22−4..X ≥练习23−1..0,02.(1);(2);(3);(4);(5);(6);(7);(8).01513303(21401323..11x−练习24−1.(1);(2)..C .D 2.(1)正确;(2)错;(3)错;(4)正确;(5)错;(6)正确;(7)错;(8)错.4.(1)同阶不等价;(2)等价.5.(1)当时,;当时,;当时,;(2);(3);n m >0n m =1n m <∞812(4);(5);(6).3121!n 6..6练习25−1.(1)(2);(3);(4);(5).12π2e −8e 2.(1);(2);(3).131练习26−1.(1)是可去间断点;(2)是跳跃间断点;(3)是无穷间断点.1x =−7x =1x =2.(1)是可去间断点,是无穷间断点;0,1x x ==11,2x x =−=(2)是可去间断点,是第二类间断点.0x =(0,1,2,)2x k k ππ=+=±±L 3..4.(1);(2);(3).5.,.a b =139−0ln 221−18.,.11()x f x e−=(1)0,(1)f f −+==+∞第三章导数与微分练习31−1.(1);(2);(3);(4).78x 5414x −−65x −−5616x −2.(1);(2),.()f x =1x =()cos f x x =3x π=3.切线方程为,法线方程为.4.连续且可导.5..2x y +=0x y −=2()ag a 6.,,不可导.10练习32−1.(1;(2),.)2π+32517152.(1);(2);4323226126(6)x x x x x −−++++2cos sin x x xx −(3);(4;22cos ln sin ln cos x x x x x x x x −+(5);(6).22sec tan x x x x−23322ln 26x xx x x ++3.切线方程为,法线方程为.2y x =20x y +=4.交点处夹角为,交点处夹角为.(0,0)2π(1,1)3arctan 45.,.45(3)x +45(6)x +6.(1)错,应为;(2)错,应为;22cos x x 22(1)x x x e +(3)错,应为;(4)错,应为.2x +21111arctan1x x x −⋅++−7.(1;(2);(3);x (sin cos )axe a bx b bx +2sin 12sin x x xθθ−−+(4;(5);(6;2sin sec (cos )x x −⋅(7;(8).+232ln (1)x xx −8..()[()()()]f x x x x e f e e f e f x ′′+练习33−1..2.(1);(2).23x x −+222(32)x xe x +22232()a a x −−3..4.,.2−(2)f ϕ′′⋅+(2)f f ϕϕ′′′′′′⋅++⋅5.(1),;(2)ln 1y x ′=+()1(2)!(1)(2)n nn n y n x −−=−≥.6..14cos(42n n x π−+2练习34−1.(1);(2);(3);22cos33x x y−+2csc ()x y −+cos sin()sin sin()y x x y x x y ++−++(4;(5).2121323(3)x x x +−+−−1(ln 1)a x aa x x +−+2..3..4.5.(1);(2).1210x y −±=43212t t t −−2(1)2t t e t t−+6.,.7..cos t t −cos (cot )t t t −22()(1)2(1)t y e t yt −+−8.切线方程为,法线方程为.3πθ=56πθ=练习35−1..0.122.(1);(2);(3);(4).4211ln 42ax bx x Cx +++2sin x ln sin x 2(arcsin )x 3.(1);(2).2ln(1)1x dx x −−4..5..2(1)y dx −+(ln 21)dx −6.(1);(2);(3);(4).9.98670.4850.494960.99第四章导数的应用练习41−2.,.1223练习42−1.(1);(2);(3);(4);(5);(6);(7).232π18−112e 032..3..4.(1);(2)()f x ′′9,12a b ==−(0)f ′2()(),0,()1(0),0.2xf x f x x x g x f x ′−⎧≠⎪⎪′=⎨⎪′′=⎪⎩练习43−1.,.14360−262..234562122211222221(1)cos(2)24!6!(2)!(21)!2n n n n n x x x x x n x n n θπ−+++−+++−−++L (01)θ<<3..5..12412练习44−1.(1)单调递增,单调递减;(2)单调递增,单调递减.3(0,)43(,1)4(0,)e (,)e +∞2..4.(1)1y =(y=(2)为极大值,为极小值;1(123y =(1)0y =(3)为极大值,为极小值.3243(2)4k y k πππ++=24(24k y k ππππ−−=5.为极小值,无极大值.6.,极大值.3()255f =27.8.,.(f =f =2959..10.11.;.12.米.64a ≥R 84 2.366≈练习45−1.(1)在内凸,在内凹,为拐点;(0,1)(1,)+∞(1,7)−(2)在内凹,在内凸,为拐点.1(,2−∞1(,)2+∞1arctan 21(,)2e 2..4.不是极值点,是拐点.3,0,5a b c =−==0x 00(,())x f x 第五章不定积分与定积分练习51−1.(3);(4);(5).0()()f b a ξ−()b af x dx b a−∫2.(1);(2).ln 23π3.(1);(2).22211xx e dx edx −−>∫∫11(1)xe dx x dx >+∫∫4.(1);(2.22I e ππ≤≤22I e ≤≤练习52−1.(1);(2).2.(1);(2).21[(2)(2)]2f x f a −3cos 2sin xx+0()()x xf x f t dt +∫3.(1);(2).4.(1);(2).5.连续且可导.22sin yyx e −−t −12136.在内连续.32,[0,1),3()11,[1,2].26x x x x x ⎧∈⎪⎪Φ=⎨⎪−∈⎪⎩(0,2)7..8..1212arctan ln(1)2x x x C −+++9.(1);(2)当时,;当时,;(3)38π0a <31(27)3a −−0a ≥31(27)3a −.1)−练习53−1.(2);(3);(4);2sin cos x x xx −−()F x C +()()F x x C −Φ=(5);(6);(7);(8).()f x C +111x C µµ+++C 43−2.(1);(2);(3);212ln 2x x x C −++1arctan x C x −++2tan 22x x x C +−+(4);(5).522()ln 2ln 33x x C −+−1(sin )2x x C −+练习54−1.(1);(2);(3);522(2)5x C −−+122(1)x C ++2ln 35x x C +++(4);(5);(6);1ln cos 22x C −+1ln 2ln 12x C ++1arcsin 2x C ++(7);(8);(9);cos x e C −+31sec sec 3x x C −+11sin 2sin 8416x x C −+(10);(11);357121sin sin sin 357x x x C −++1sin 6212x x C −+(12);(13);33sec sec x x C −+ln csc 2cot 2x x C −+(14);(15);(16);21arctan(sin )2x C +1arctan 22x e C +122(arcsin )x C +(17);(18);(19)ln ln sin x C +523311(31)(31)153x x C ++++;C(20;(21);(22);C +C 13arcsin 32xC +(23).arcsin x e C −2.(1;(2);(3);(4);(5);(6);241(1)4e −5322π−835(7);(8);(9);(10).516π14π−1)8153..4..()ln f x x x C =+311()(2)32f x x C x =−−−+−练习55−1.(1);(2);(3)(1)xx eC −−++arcsin x x C +;11cos 2sin 224x x x C −++(4);(5);21tan ln cos 2x x x x C +−+ln(21)ln 21x x x x C +−+++(6);(7);x x C ++C −++(8);(9);(10)221()2(1)nx a C n −++−1(sin cos )2x x x e C −−+.2ln 1ln 21x x x C x ++−+++2..cos 2sin 244x x C x−+3.(1);(2);(3);(4);(5);(6)111(sin1cos1)22e −+2πln 22π−142π−.1ln 23练习56−1.(1;(2)C +21ln(22)arctan(1)2x x x C+++++(3);(4);(5);31ln ln 13x x C −++sin ln sin 1x C x ++1x e C x ++(6);(7);(8)ln(1)1xx x xe e C e −+++221tan 12x arc x C x +++;C(9);(10).1ln 1xC x x −++−12C 2.(1);(2);(3).14π+132ln 41721(1)24e π+−练习57−1..2..3..4..5..1218π23−1ln 242π+第六章定积分的应用练习62−1..2..3..4..5..6..12e −27412(1)e −23a π54π27..8..9..10.,.1ln 32−22a π53ln 122+12e e −+−22(2)2e e π−+−11..12.,.13..14.(1);(2);(3)163485π245π22π(1,1)21y x=−.30π15..16.17..18134242244()b x a y a b +练习63−1..2.(1)吨;(2)米.57697.5()KJ 660113.(1);(2)一倍;(3).216ah 2512ah 第七章常微分方程练习71−1.(1)一阶;(2)二阶;(3)不是;(4)一阶;(5)三阶;(6)一阶.2.(1)特解;(2)通解;(3)特解;(4)不是解.练习72−1.(1);(2);(3);2221x y Cx=−22(1)(1)x y C −−=(1)(1)x y e e C +−=(4).()1yC a x ay =+−2.2221,1,(1), 1.x xe x y e e x −⎧−≤=⎨−>⎩若若3.(1);(2);(3);(4)2(2)y C x y =+arctany xxy Ce−=1Cx y xe+=.2()102y x y x C −+−=4.(1);(2);(3);()y x x C =+2ln 2x y x =3214()13y x C x =++(4);(5).2sin 1x C y x +=−22y xy C −=5.(1;(2);(3).x C =+44114xx Ce y −=−++4121x Ce x y=−−练习73−1.(1)线性无关;(2)线性无关;(3)线性无关;(4)线性相关.2.(1);(2);(3).33112x x y C e C xe =+2112x x y C e C e =+33112x x y C e C e −=+3..12cos ln sin ln ln y C x C x x =++4..5.是.2129xy x e ∗=−+6.(1);(2);(3);24112xx y C eC e =+112()x y C C x e =+112(cos sin )22xx x y e C C =+(4);(5).12cos 2sin 2y C x C x =+3142x x y e e =+7.(1);(2);(3)112xxy C C e xe=++21122xx y C C e −=++.112sin x y C C e x −=++8..1()sin cos 22xf x x x =+练习74−1.(1);(2);33125ln 183x x x y C x C =−++331232C x x y C =++(3);(4).21arcsin()xy C e C =+11y x=−2..12()ln f x C x C =+3.(1);(2);(3).21C y C x x =+3122ln C y C x C x x x =++32115C y C x x x =++第八章向量代数与空间解析几何练习82−1.(1)不成立;(2)成立;(3)不成立.2.(1);2()a b ×rr (2).3.28.4.(1);(2).2()a b c ×⋅r r r1k =−15k k =−=或5..6..7..3π2λµ=4练习83−3..4..5..362490x y z −+−=320x z −=22(3)x y −+2(2)51z ++=6..7..(1,2,3),8r −=22244(4)y z x +=−练习84−1..2..3.平行,.217511x y z −−==321421x y z −+−==−d =4..5..111x y z −=−=−2350x y z +−=6.22220x y y +−=22220,0.x y y z ⎧+−=⎨=⎩第九章多元函数微分法及其应用练习91−1.(1);(2);2{(,)210}x y y x −+≥2{(,)0,0}x y y x x ≤≤≥(3);(4).2222{(,)}x y r x y R ≤+≤22222{(,,)0}x y z z x y x y ≤++≠且2..(,(,))24f xy f x y x y xy =++练习92−1.不正确.因为此时未必有等式成立.00lim (,)(,)x x y y f x y f x y →→=3,对任给的.令,当≤0ε>2δε=时,则有02δε<<=,0ε≤<所以.00x y →→=练习93−1.,而,所以在处不连续.(0,0)(0,0)0x y f f ==0lim (,)1(0,0)x y xf x y f →==≠(,)f x y (0,0)2.连续且两个偏导数均存在.3.,4.(1),;1(2,1)2x f =(1,2)y f =22z y x x y ∂=∂+22z xxx y ∂−=∂+(2)z z x y∂∂==∂∂(3).u u uxy z ∂∂∂===∂∂∂5.(1);222222222126,12,126z z z x y xy y x x x y y∂∂∂=−=−=−−∂∂∂∂(2),22223222224csccot 4csc cot 2csc ,x x x x x x y z z y y y y yxy x y y −−∂∂==∂∂∂.22242224csccot 4csc x x xx xy zy y yy y −+∂=∂6..22222233222,2,(12)x y x y xyxy ex ye x y e −−−−−−练习94−1.(1)正确,因为可微一定是连续的;(2)不正确,因为一阶偏导数连续是可微的充分条件而不是必要条件.(3)正确,二阶偏导数连续一定有一阶偏导数连续,从而函数在点(,)f x y 00(,)x y 处一定可微.2.(1);(2);2)dz ydx xdy =−(1)(ln(1))1x xdydz y y dx y=++++(3).2222()x y z du e xdx ydy zdz ++=++3..4..5..0.150.10.250.68dz e e e =×+×=×≈ 3.97655.296.时及均存在.(0)0ϕ=(0,0)x f (0,0)y f 练习95−1..2..6)dz t dt =+22()()z y y xf xy f x y x x ∂′′′′=−∂∂3.;.2223132333u yf xyf xy f xy zf x z ∂=+++∂∂2222222233322u x f x zf x z f y ∂=++∂5..21(,2)2y x f x x −=6.(1);123123()()dz f f yf dx f f xf dy =+++−+(2).211222(f yf f xfdu dx dy dz z x x z=−+−练习96−1.(1);cos()cos()5xy xxydy x y ye e dx x y xe −−+=−++(2).20(0,1)211,1,2(1)1y x x x ydy e d y ye e e dxxe dx===−===−=−−2.(1);(2).2,()z z z z x x z y y x z ∂∂==∂+∂+2322322()z zz y ze xy z y z e e xy −−−3..dx 4..此结果表明是的一次函数.22,0dy x ay d ydx y ax dx+=−=+y x 5..6..22()(2),33u v u v z z y z z x x z y z ϕϕϕϕϕϕ∂+∂+==∂−∂−,dx y z dy x zdz x y dz y x−−==−−7..所以.1[(t dy f f dt f f F F dy dx x t dx x t F x y dx ∂∂∂∂∂∂=+⋅=+−+⋅∂∂∂∂∂∂f F f Fdy x t t x f F F dx t y t ∂∂∂∂−∂∂∂∂=∂∂∂+∂∂∂8..f g fg h du f y x yz x g g h dx x y y z∂∂∂∂∂⋅⋅⋅∂∂∂∂∂∂=−+∂∂∂∂⋅∂∂∂练习97−1.2..1,1,1),u∂=−−=−∂ol l 2(1,1,2){1,1,}gradf e −=3..2221{,,}()()()gradu x a y b z c x a y b z c −=−−−−+−+−所以当时.4..222()()()1x a y b z c −+−+−=1gradu =2π练习98−1..1(,)26(1)(1)2f x y x y =+−−−+222[10(1)2(1)(1)2(1)]x x y y R −+−−−−+2..22(,)2y f x y y xy R =+−+练习99−1.在点处取极小值6.2.在点处取极大值.(4,2)(0,0)13.时取极小值.该点是圆222222,ab a b x y a b a b ==++z 2222a b z a b =+极小222222a b x y a b+=+与直线的切点.1x ya b+=4.最大值为3,最小值为1.5.设为椭球面上的任一点,则该点处的切平面与坐标面所围成的四面体的体000(,,)x y z 积为.要求的问题是求函数满足条件的极22200016a b c V x y z =(,,)fx y z xyz=2222221x y z a b c++=大值问题,由拉格朗日乘数法可知所求的点为000x y z ===.min V =练习910−1.切线:,法线:.11211x y π−+−==402x y π+−−=2.切线:,法线:.11214132x y z −−−==−1413250x y z −+−=3.切平面:,法线:.0001ax x by y cz z ++=000000x xy y z z axby zz −−−==4..0=n =n 5.所求的点为或222.222第十章重积分练习101−1..016I ≤≤2.(1);(2).23()()D D x y d x y d σσ+≥+∫∫∫∫2(ln())ln()D Dx y d x y d σσ+≥+∫∫∫∫3..4..(0,0)f 124I I =练习102−1.(1);(2);(3);(4);(5).20312sin 1πππ−−6071163e−2.(1);(2);210(,)x x dx f x y dy ∫∫1(,)dy f x y dx ∫(3);(4);ln 10(,)exdx f x y dy ∫∫120(,)yydy f x y dx −∫∫(5).202(,)ydy f x y dx ∫∫3.(1);(2).(1)1(16x a b a x y V dx c dy abc a b −=−−=∫∫1122001()6x V dx x y dy −=+=∫∫5.(1);(2);2cos 400(cos ,sin )d f r r rdr πθθθθ∫∫4sin 02sin (cos ,sin )d f r r rdr πθθθθθ∫∫(3).23cos 04(cos ,sin )d f r r rdr πθπθθθ∫∫6.(1);(2);230cos (cos ,sin )aa d f r r rdr πθθθθ∫∫2cos 2202()d f r rdr πθπθ−∫∫(3).13cos 203()()d f r rdr d f r rdr ππθπθθ+∫∫∫7.(1);(2);(3).8..9..(1cos1)π−223π−34(33R π−3512R π54π练习103−1.(1);(2);222121(,,)x x y dx f x y z dz −−+∫∫∫2102(,,)x y dx f x y z dz ++−∫∫(3).2211(,,)x y dx f x y z dz −+∫∫2.(1(2).3..3ln 24−202()()t t f x dx t f t +∫4.柱面,球面.1101d rdr f dz πθ∫∫∫2cos 2410cos sin ()d d r f r dr ππϕϕθϕϕ∫∫∫5.(1)0;(2);(3).6415π11926.(1);(2).7.21(12π53π练习104−1.14.2..3.(1),重心为;22(2)a π−2,03y x ==2(0,)3(2).4.(1);(2).(,55a a 46320a 443()32b a π−5.重心为,球心位于原点,球体置于上半空间.3(0,0,)86.设正方体边长为,密度为,则有所求的.a 0ρ50I a ρ=第十一章曲线积分练习111−1.(1);(2);(3);411)12+−(4);(5).2.4(122a π练习112−1..2.(1);(2);(3)-32;3.4..23323965343a 3323k a ππ−5.(1);(2).(,)(,)L yP x y xQ x y ds a−+∫∫6..C u udy dx x y ∂∂−∂∂∫ 练习113−1.(1);(2);(3);(4).112−2ab π−23429π−23(2)22a b a ππ+−2.(1)不在内部时,原式;(2)在内部时,原式.(0,0)L 0=(0,0)L 2π=练习114−1.5.2.20.3..4..3412a =−C +5..6.22(,)cos cos u x y x y y x C =++522333123x x y xy y C +−+=7..8..9..32223y a x x y xy C −−−=332yx y x e C −++=2ln y x C x−=练习115−1.,重心坐标为.22m a =(0,4aπ2.(1);22224)3z I a a k ππ=+(2).22232222222222663(2),,343434ak ak k a k x y z a k a k a k ππππππ−+===+++3..R −F 第十二章曲面积分练习121−1.(1);(2).3a π练习122−2.(1);(2)3;(3);3..42R π−1132πΣ练习123−1.(1);(2).2..12415(2)16a ππ+sin()sin yz z +3.(1)0;(2).22a h π练习124−1..2.(1);(2).4π−{4,sin ,6}x y −{2,2,sin }z z y −−−第十三章无穷级数练习131−1.(1)收敛;(2)发散;(3)收敛,发散;(4)发散.1q <1q ≥2.(1)发散;(2)收敛;(3)发散;(4)发散.3.(1)发散;(2)收敛;(3)发散;(4)收敛.练习132−1.(1)收敛;(2)收敛;(3)发散;(4)收敛;(5)收敛,发散;(6)收敛;(7)收敛;1p >1p ≤(8)发散;(9)收敛;(10)收敛.4.(1)时收敛,时发散;(2)时收敛,时发散;1a >1a ≤1αβ−>1αβ−≤(3)时收敛,时发散.1b >1b ≤练习133−1.(1)收敛;(2)收敛;(3)收敛.2.(1)绝对收敛;(2)条件收敛;(3)发散;(4)条件收敛;(5)绝对收敛;(6)条件收敛.练习134−1.(1);(2);(3);111,[,]222R =−,(,)R =+∞−∞+∞0R =(4);(5);(6).4,4,4R =−()2,(3,7)R=R =−2.(1);(2);ln(1),[1,1)x −−−2,(1,1)(1)x x −−(3);,;(4),,8.2222(2)x x +−(3232(1)x x −(1,1)−练习135−1.(1),;(2),;0(1)!n nn x n ∞=−∑(,)−∞+∞20(2)!nn x n ∞=∑(,)−∞+∞(3),;(4),;2112112(1)(2)!n n n n x n −∞−+=−∑(,)−∞+∞11n n nx ∞−=∑(1,1)−(5),;(6),11(1)(1)n n n x x n n +∞=+−+∑(1,1)−2210(1)[](2)!(21)!n n nn x x n n +∞=−++∑;(,)−∞+∞(7),;(8),.11(1)!n n nx n −∞=+∑(0)x ≠10(1)2n n n n x ∞+=−∑(2,2)−2.,.3.,.11011(1)[4)532nn n n n x ∞++=−−++∑(6,2)−−210(1)421n n n x n π+∞=+−+∑[1,1]−练习136−1.(取麦克劳林展开式的前两项).0.95106cos x 2.(取被积函数的麦克劳林展开式的前三项).0.9461练习137−1..2221414(cos sin )3n x nx nx n n ππ∞==+−∑(02)x π<<2..121(){[1(1)]cos (1)sin }4n n n b a a b a b f x nx nx nn ππ∞+=−−+=+−−+−∑(,)ππ−4.,.11()2sin n f x nx n π∞==−∑(,0,1,2,)x k k π≠=±±L5.,;21122()(cos sin 22n n n f x nx n n n πππ∞==−+∑(0,2x x ππ<≤≠,.2213222()(sin cos )cos 822n n n f x nx n n n πππππ∞==+−++∑(0,)2x x ππ<≤≠6.,.7.提示:将展成余弦级数.318()sin(21)(21)n f x n x n π∞==−−∑[0,]πsin x 8.,.9.,.22174cos(21)2(21)n n x n ππ∞=−−−∑[1,1]−214()()sin sin 24n n n x f x n πππ∞==∑[0,4]。
一、填空题(每小题3分,共15分) 1、椭球面∑:222216x y z ++=在点0(2,2,2)P 处的切平面方程是___________.2、设曲线L 的方程为221x y +=,则2[()]Lx y y ds +-=⎰ .3、设()21,0,1,0,x f x x x ππ--<≤⎧=⎨+<≤⎩则其以2π为周期的傅里叶级数在点x π=处收敛于 . 4、微分方程220y y y '''++=的通解为 . 5、设23(,,)2f x y z x y z =++,则(1,1,1)grad f = .二、选择题(每小题3分,共15分) 1、设222z x y ze ++=,则11x y dz ===( )2、二次积分20(,)dx f x y dy ⎰ 化为极坐标下累次积分为( )3、微分方程sin y y x x '''+=+的特解形式可设为( ).(A )*()sin cos y x ax b A x B x =+++ (B )*(sin cos )y ax b x A x B x =+++ (C )*(sin cos )y x ax b A x B x =+++ (D )*sin cos y ax b A x B x =+++ 4、直线1121410214x y z x y z -+-==-++=-与平面2的位置关系是( ))(A l ∥π但l 不在π上 )(B l 在平面π上 )(C l ⊥π )(D l 与π斜交5、设曲面∑的方程为222,x y z z ++=,1∑为∑在第一卦限的部分,则下列结论不正确...的是( ).(A )0xdS ∑=⎰⎰ (B )0zdS ∑=⎰⎰(C )1224z dS z dS ∑∑=⎰⎰⎰⎰ (D )22x dS y dS ∑∑=⎰⎰⎰⎰三、(本题满分10分)设(,)sin xz f xy y y =+,其中f 具有二阶连续偏导数,求2,z zx x y∂∂∂∂∂.四、(本题满分12分)求22(,)2f x y x y =-+在椭圆域D :2214y x +≤上的最大值和最小值.五、(本题满分10分)计算二重积分:2DI y x d σ=-⎰⎰,其中:11,02D x y -≤≤≤≤.六、(本题满分12分)已知积分22(5())(x xLy ye f x dx e f x ---+⎰与路径无关,且6(0)5f = .求()f x ,并计算(2,3)22(1,0)(5())()x x I y ye f x dx e f x dy--=-+⎰.七、(本题满分12分)计算积分2232222()(2)xz dydz x y z dzdx xy y z dxdy I x y z ∑+-++=++⎰⎰,其中∑是上半球面z =,取上侧.八、(本题满分10分).求幂级数∑∞=---12112)1(n nn x n 的收敛域及和函数,并求数项级数∑∞=---1112)1(n n n 的和.九、(本题满分4分)设0(1,2,3,...)n u n ≠=,且lim 1n nnu →∞=,则级数11111(1)()n n n n u u ∞+=+-+∑是否收敛如果是收敛的,是绝对收敛还是条件收敛。
习题8-11.自点(),,P a b c 分别作各坐标面和各坐标轴的垂线,写出各垂足的坐标.解在,,xoy yoz zox 坐标面上的垂足坐标分别为(),,0a b 、()0,,b c 、(),0,a c ,在x 轴、y 轴、z 轴上垂足的坐标分别为(),0,0a 、()0,,0b 、()0,0,c .2.已知三角形个的三个顶点的坐标分别为()4,1,9A 、()10,1,6B -、()2,4,3C ,求该三角形的三边长度,此三角形由何特点?解7AB ==,7AC ==,BC =由于AB AC =,且222AB ACBC +=,故此三角形为等腰直角三角形.3.在z 轴上求与点()4,1,7P -和点()3,5,2Q -等距离的点的坐标.解设z 轴上的点为()0,0,M z,则MP MQ=即=,解得149z =,故点为140,0,9M ⎛⎫ ⎪⎝⎭.4.求到两定点()1,2,1A -和()2,1,2B -等距离的点(),,M x y z 的轨迹.解由于MA MB =,从而有=解得26630x y z +--=.5.设平行四边形的两条对角线向量为a 和b,求其四条边向量.解如意8-1所示,由向量加减法的平行四边形法则有,,c d a c d b ⎧+=⎪⎨-=⎪⎩ 故2a b c += ,2a b d -=,即平行四边形的四条边向量为2a b + 、2a b + 、2a b - 、2a b- .(图8-1)(图8-2)6.设A 、B 、C 、D 是一个四面体的顶点,M 、N 分别是边AB 、CD 的中点,证明:()12MN AD BC =+.证如图8-2所示,AD DN AN +=,BC CN BN += ,AN AM MN -= ,BN BM MN -= ,又DN CN =- ,AM BM =- ,于是22AN BN AD BC MN ++==.7.已知两点()A 和()3,0,2B ,计算向量AB 的模、方向余弦、方向角及与AB平行的单位向量.解由于{}1,AB =-,则有2AB = ,1cos 2α=-,cos 2β-,1cos 2γ=-,方向角为23πα=,34πβ=,3πγ=,与AB 平行的单位向量为121,,222⎧⎫⎪⎪±--⎨⎬⎪⎪⎩⎭.8.设358a i j k =++,27b i j k =--,求向量23c a b =+在x 轴上的投影及在z 轴上的分向量.解23945c a b i j k =+=+-,故c 在x 轴上的投影为9,在z 轴上的分向量为5k - .9.一向量的终点在点()2,1,7B -,它在x 轴、y 轴及z 轴上的投影依次为4,4-和7,求这向量的起点A 的坐标.解设起点(),,A x y z ,由{}{}2,1,74,4,7AB x y z =----=-解得()2,3,0A -.10.设{}3,5,1a =- ,{}2,2,3b = ,{}4,1,3c =-- ,求与a b c +-平行的单位向量.解{}1,8,5a b c +-=,故与a b c +-平行的单位向量为±.11.设5AB a b =+ ,618BC a b =-+ ,()8CD a b =-,试证A 、B 、D 三点共线.证因为()()6188210BD BC CD a b a b a b=+=-++-=+()252a b AB=+=所以AB平行BD ,即A 、B 、D 三点共线.12.已知向量AB 的模为10,与x 轴正向夹角为4π,与y 轴正向夹角为3π,求向量AB .解设向量AB的方向余弦为cos α、cos β、cos γ,由于4πα=,3πβ=,222cos cos cos 1αβγ++=,得1cos 2γ=±于是向量{}211cos ,cos ,cos 10,,222AB AB αβγ⎫⎪==±⎨⎬⎪⎪⎩⎭.习题8-21.设4a i j k =+-,22b i j k =-+ ,求(1)()()22a b a b +⋅-;(2)()()22a b a b +⨯- ;(3)a 与b 夹角.解(1)a =,3b =,4a b ⋅=-()()222223230a b a b a a b b +⋅-=-⋅-=;(2)114794221i j k a b i j k⨯=-=----()()225354520a b a b a b i j k +⨯-=-⨯=++;(3)设a 与b夹角为θ,则cos9a ba bθ⋅===-arccos9θ⎛⎫=-⎪⎪⎝⎭.2.已知向量a 和b相互垂直,且1a=,b=,求(1)()()a b a b+⋅-;(2)()()a b a b+⨯-;(3)()a b+与()a b-夹角.解(1)()()22222a b a b a b a a b b a b+⋅-=+⋅-⋅-=-=-;(2)()()2a b a b a a b a a b b b a b+⨯-=⨯+⨯-⨯+⨯=-⨯=(3)()a b+与()a b-夹角为θ,则()()()()21cos42a b a ba b a bθ+⋅--===-+-,故23πθ=.3.已知13a=,19b=,24a b+=,求a b-.解()()2222a b a b a b a a b b+=+⋅+=+⋅+()()2222a b a b a b a a b b-=-⋅-=-⋅+两式相加,得()22222a b a b a b-=+-+()2222131924484=+-=,22a b-=.4.已知()1,1,2A-、()5,6,2B-、()1,3,1C-,求:(1)同时与AB及AC垂直的单位向量;(2)三角形ABC的面积ABCS∆;(3)B点到边AC的距离d.解(1){}4,5,0AB=-,{}0,4,3AC=-,450151216043i j kAB AC i j k⨯=-=++-故同时与AB 及AC 垂直的单位向量为{}115,12,1625AB AC AB AC⨯±=±⨯;(2)12522ABC S AB AC ∆=⨯=;(3)由于1122ABC S AB AC AC d ∆=⨯=⋅,且5AC = ,则5d =.5.设平行四边形的对角线2c a b =+ ,34d a b =- ,其中1a =,2b = ,且a b ⊥ ,求平行四边形的面积.解设平行四边形的两邻边分别为m 、n,则c m n =+ ,d m n =-,从而()()1142222m c d a b a b =+=-=-,()()1126322n c d a b a b =-=-+=-+ ,55sin 102S m n a b a b π=⨯=⨯== .6.已知向量a 、b 、c两两垂直,且1a = ,2b = ,3c = ,求向量s a b c =++ 的长度,以及s 分别与a 、b 、c的夹角.解()()222214s a b c a b c a b c =++⋅++=++=,于是s =cos ,s a s a s a⎛⎫⋅===⎪⎝⎭cos ,s b s b s b ⎛⎫⋅== ⎪ ⎪⎝⎭cos ,s c s c s c ⎛⎫⋅== ⎪⎝⎭所以,s a arc ⎛⎫= ⎪⎝⎭,s b arc ⎛⎫= ⎪ ⎪⎝⎭,,s c arc ⎛⎫= ⎪⎝⎭7.试用向量证明直径上的圆周角是直角.证取圆心为原点建立坐标系如图8-3所示,则圆周方程为222x y R +=,在圆周上任取一点(),A x y ,直径BC ,(),0B R -,(),0C R ,().AB R x y =--- ,().AC R x y =--则()()22220AB AC R x R x y R x y ⋅=---+=-++=故AB AC ⊥,即直径BC 所对应的圆周角为直角,由圆周关于任意一条直径都对称的性质知,直径所对应的圆周角是直角.(图8-3)8.判断下列两组向量a 、b 、c是否共面:(1){}2,1,3a =- ,{}1,0,5b =- ,{}1,1,4c =-;(2){}4,2,1a =- ,{}2,6,3b =- ,{}1,4,1c =-.解(1)21310540114abc -⎡⎤=-=≠⎣⎦- ,故a 、b 、c 不共面;(2)4212630141abc -⎡⎤=-=⎣⎦-,故a 、b 、c共面.9.计算顶点()2,1,1A -、()5,5,4B 、()3,2,1C -、()4,1,3D 的四面体的体积.解{}3,6,3AB = ,{}1,3,1AC =- ,{}2,2,2AD =,则四面体的体积为36311132366222V ABAC AD ⎡⎤==-=⎣⎦ .10.如果存在向量c同时满足11a c b ⨯= ,22a c b ⨯= ,证明:12210a b a b ⋅+⋅= .证由于()()12211221a b a b a a c a a c ⋅+⋅=⋅⨯+⋅⨯ ()()2112a c a a c a =⨯⋅+⨯⋅ [][]2112a ca a ca =+ [][]21210a ca a ca =-=习题8-3.1.求出满足下列条件的各平面方程:(1)过点()2,1,1-且与平面32120x y z -+-=平行;(2)过三点()1,1,1-、()2,2,2--、()1,1,2-;(3)过点()2,1,2,且分别垂直于平面32x y z ++=和平面3241x y z +-=;(4)平行x 轴且过两点()1,0,1和()1,1,0;(5)通过z 轴和点()3,1,2-.解(1)设所求平面的法向量n ,可取平面的法向量为{}3,2,1n =-故过点()2,1,1-平面方程为()()()322110x y z ---++=,即3230x y z -+-=;(2)由三点式平面方程知,所求平面方程为1113330023x y z --+--=-即320x y z --=;(3)设所求平面的法向量n ,{}11,3,1n = ,{}23,2,4n =-{}1213114,7,7324i j kn n n =⨯==---,则所求平面方程为()()()14271720x y z --+---=,即250x y z -+-=;(4)设平面的一般式方程为0Ax By Cz D +++=,由于平面平行x 轴,且点()1,0,1、()1,1,0在平面上,从而有000A A C D A B D =⎧⎪++=⎨⎪++=⎩解得0A =,B D =-,C D =-,且0D ≠,故平面方程为10y z +-=;(5)设过z 轴的平面为0Ax By +=,且点()3,1,2-在平面上,则由30A B -=,得3B A =,且0A ≠所以平面方程为30x y +=.2.求平面2260x y z -++=与各坐标面的夹角的余弦.解平面的法向量{}2,2,1n =- ,取xoy 坐标面的法向量{}10,0,1n =,yoz 坐标面的法向量{}21,0,0n = ,zox 坐标面的法向量{}30,1,0n =,则平面与xoy 、yoz 、zox 各坐标面的夹角余弦分别为1cos 3α=,2cos 3β=,22cos 33γ-==.3.求过点()0,1,0-和()0,0,1,且与xoy 坐标面成3π角的平面.解设平面的一般式方程为0Ax By Cz D +++=,从而有0,0,cos ,3B D C D π⎧⎪-+=⎪⎪+=⎨⎪⎪=⎪⎩得,A B D C D ⎧=⎪=⎨⎪=-⎩于是,所求平面方程为10y z +-+=.4.在z 轴上求一点P ,使它到点()1,2,0M -与到平面:32690x y z π-+-=有相等的距离.解设z 轴上点()0,0,P z,则PM =又()1,2,0M -到:3269x y z π-+-=的距离为697z d -=则有697z -=,即2131081640z z ++=,解得2z =-或8213z =-,故所求点为()0,0,2-或820,0,13⎛⎫-⎪⎝⎭.5.试求平面270x y z -+-=与平面2110x y z ++-=的夹角平分面的方程.解设(),,M x y z 为该平面上任取的一点,那么M到两平面的距离相等,即有于是有()27211x y z x y z -+-=±++-故所求平面方程为240x y z --+=或60x z +-=.6.设从原点到平面1x y za b c++=的距离为ρ,试证明:22221111a b c ρ++=,并由此求点(),,a b c 到该平面的距离.证由点到平面的距离公式知ρ=1ρ=,即22221111a b c ρ++=.点(),,a b c到平面的距离2d ρ=.7.判别平面:3210x y z π+-+=与下列各平面之间的位置关系:(1)1:3210x y z π+--=;(2)2:520x y z π-++=;(3)3:2310x y z π-+-=.解(1)取平面π法向量{}1,3,2n =- ,1π法向量{}11,3,2n =-,由于n与1n 的坐标成比例,故n 与1n平行,且d ==;(2)取平面2π法向量{}25,1,1n =-,由于20n n ⋅= ,故2n n ⊥,即两平面相互垂直;(3)取平面3π法向量{}32,3,1n =-,两平面夹角余弦339cos 14n n n n θ⋅==所以两平面斜交,夹角9arccos14θ=.习题8-4.1.求满足下列条件的各直线方程:(1)过两点()13,2,1M -和()21,0,2M -;(2)过点()4,2,1-且平行于直线230,510,x y y z --=⎧⎨--=⎩平行;(3)过点()1,2,2-且垂直于平面3210x y z +-+=.解(1)直线的方向向量可取{}124,2,1s M M ==-于是直线方程为321421x y z -+-==-,(2)直线的方向向量可取{}1202,1,5051i j k s =-=-则直线方程为421215x y z -+-==;(3)平面法向量{}3,2,1n =- ,直线的方向向量可取{}3,2,1sn ==-于是直线方程为122321x y z -+-==-.2.用对称式方程和参数方程表示下列直线10,2340.x y z x y z +++=⎧⎨-++=⎩解直线的方向向量{}1114,1,3213ij k s ==---,可在直线上取一点()1,0,2A -,则直线的对称式方程和参数方程分别为12413x y z -+==--,14,4,2 3.x t y z t =+⎧⎪=-⎨⎪=--⎩3.求过点()0,1,2M 且与直线11112x y z --==-垂直相交的直线方程.解过点()0,1,2M 且垂直直线L 的平面方程为()()()01220x y z ---+-=即230x y z -+-=解方程组230,11,112x y z x y z -+-=⎧⎪⎨--==⎪⎩-,得直线与平面的交点为131,,122M ⎛⎫⎪⎝⎭由此可得121,,122s MM ⎧⎫==--⎨⎬⎩⎭,故所求直线方程为12312x y z --==--.4.求直线240,3290.x y z x y z -+=⎧⎨---=⎩在平面41x y z -+=上的投影直线的方程.解设过直线240,3290.x y z x y z -+=⎧⎨---=⎩的平面束方程为()()243290x y z x y z λ-++---=,(λ为非零常数)即()()()2341290x y z λλλλ+-++--=,上述平面法向量为{}23,4,12n λλλ=+--- ,已知平面法向量为{}14,1,1n =-选择λ使1n n ⊥,即()()()()234411210λλλ+⋅-+⋅-+-⋅=,解得1311λ=-故得与已知平面垂直的平面为1731371170x y z +--=则所求投影直线为1731371170,4 1.x y z x y z +--=⎧⎨-+=⎩5.求过点()3,1,2M -且通过直线43521x y z-+==的平面方程.解()4,3,0P -为直线上的一点,直线的方向向量为{}5,2,1s =,则平面的法向量{}1428,9,22521i j kn MP s =⨯=-=- 故所求平面方程为()()()83912220x y z --+-++=即8922590x y z ---=.6.已知平面220x y z +--=及平面外一点()2,1,4M -,求点M 关于已知平面的对称点N .解过点()2,1,4M -且垂直于平面220x y z +--=的直线方程为214121x y z +--==-设M 关于已知平面的对称点(),,N x y z ,则有214,121x y z +--⎧==⎪-⎪=解得0,5,2,x y z =⎧⎪=⎨⎪=⎩即对称点()0,5,2N .7.设0M 是直线L 外一点,M 是直线L 上任意一点,且直线的方向向量为s ,试证:点0M 到直线L 的距离为0d ⨯=MM s s.证设向量0MM 与直线L 的方向向量s 的夹角为θ,则00000sin MM s MM s MM MM MM ssd θ⨯⨯==⋅=.8.求点()03,1,2M -到直线10,240,x y z x y z +-+=⎧⎨-+-=⎩的距离.解直线的方向向量{}1110,3,3211=-=---ij ks ,在直线上取一点()1,2,0M -,则{}02,1,2=---MM ,{}02123,6,6033⨯=---=----i j kMM s 所以0322d ⨯===MM s s.习题8-51.指出下列方程在平面解析几何中和空间解析几何中分别表示什么图形:(1)1x y +=;(2)22y x =;(3)222x y R +=;(4)22149x y -=.解(1)在平面解析几何表示直线,空间解析几何中表示平面;(2)在平面解析几何表示抛物线,空间解析几何中表示抛物柱面;(3)在平面解析几何表示圆,空间解析几何中表示圆柱面;(4)在平面解析几何表示双曲线,空间解析几何中表示双曲柱面.2.说明下列旋转曲面是怎样形成的:(1)2221x y z --=;(2)()222z a x y -=+.解(1)将xoy 平面上双曲线221x y -=绕x 轴旋转一周;(2)将yoz 平面上直线z y a =+绕z 轴旋转一周.3.根据常数k 的不同取值,分别讨论下列方程所表示的曲面是什么曲面.(1)22x ky z +=;(2)222x y z k +-=.解(1)当0k >时,为椭圆抛物面,特别地当1k =时为旋转抛物面,当0k =时,为抛物柱面,当0k <时,为双曲面;(2)当0k >时,为旋转单叶双曲面,当0k =时,为圆锥面,当0k <时,为旋转双叶双曲面.4.作出下列曲面所围成的图形:(1)22,1z x y z =+=;(2)z =,z ;(3)0x =,0y =,0z =,1x y +=,226x y z +=-;(4)2y x =,1x y z ++=,0z =.解(1)见图8-4;(2)见图8-5(图8-4)(图8-5)(3)见图8-6;(4)见图8-7(图8-6)(图8-7)习题8-61.将空间曲线222,:1,z x y x z ⎧=+Γ⎨+=⎩转换成母线平行于坐标轴的柱面的交线方程.解曲线Γ等价于212,1,y x x z ⎧=-⎨+=⎩,表示母线平行于z 轴的柱面212y x =-与母线平行于y 轴的柱面1x z +=的交线,或等价于221,1,y z x z ⎧=-⎨+=⎩,表示母线平行于x 轴的柱面221y z =-与母线平行于y 轴的柱面1x z +=的交线.2.将下列曲线的一般方程转化为参数式方程:(1)()22221,11,z x y x y ⎧=--⎪⎨-+=⎪⎩(2)2229,,x y z y x ⎧++=⎨=⎩.解(1)曲线的参数方程为1cos ,sin ,2sin ,2x t y t t z ⎧⎪=+⎪=⎨⎪⎪=⎩(02t π≤≤);(2)曲线的参数方程为,,3sin ,2x t y t t z ⎧=⎪⎪⎪=⎨⎪⎪=⎪⎩(02t π≤≤).3.试分别确定常数,,B C D 的各组值,使得平面0By Cz D ++=与圆锥面222z x y =+的截痕为:(1)一点;(2)一条直线;(3)两条相交直线(4)圆;(5)双曲线.解(1)取0B D ==,1C =,则平面0z =与圆锥面的截痕为一点()0,0,0;(2)取1B C ==,0D =,则平面0y z +=与圆锥面的截痕为一条直线0,0;y z x +=⎧⎨=⎩(3)取1B =,0C D ==,则平面0y =与圆锥面的截痕为为两条直线0,,y z x =⎧⎨=⎩和0,;y z x =⎧⎨=-⎩(4)取0B =,1C =,1D =-,则平面1z =与圆锥面的截痕为圆221,1;x y z ⎧+=⎨=⎩(5)取1B =,0C =,1D =-,则平面1y =与圆锥面的截痕为为双曲线221,1;z x y ⎧-=⎨=⎩4.求下列曲线在三个坐标面上的投影曲线方程:(1)22,1;z x y z x ⎧=+⎨=+⎩(2)cos ,sin ,2.x y z θθθ=⎧⎪=⎨⎪=⎩解(1)消去z 得曲线在xoy 面投影曲线方程:2210,0;y y x z ⎧+--=⎨=⎩消去x 得曲线在yoz 面投影曲线方程:22310,0;y z z x ⎧+-+=⎨=⎩消去y 得曲线在zox 面投影曲线方程:1,0;x z y +=⎧⎨=⎩(2)消去z 得曲线在xoy 面投影曲线方程:221,0;x y z ⎧+=⎨=⎩消去x 得曲线在yoz 面投影曲线方程:sin20;z y x ⎧=⎪⎨⎪=⎩消去y 得曲线在zox 面投影曲线方程:cos ,20.z x y ⎧=⎪⎨⎪=⎩5.求由旋转抛物面22z x y =+与222z x y =--围成的立体在三个坐标面上的投影区域.解立体在xoy 面投影区域(){}22,1xy D x y xy =+≤,立体在yoz 面投影区域(){}22,2,11yz D y z yz y y =≤≤--≤≤,立体在zox 面投影区域(){}22,2,11zx D x z xz x x =≤≤--≤≤总复习题八1.填空题(1)设()2a b c ⨯⋅= ,则()()()a b b c c a ⎡⎤+⨯+⋅+=⎣⎦;(2)设{}2,1,2a = ,{}4,1,10b =- ,c b a λ=- ,且a c ⊥,则λ=;(3)yoz 平面的圆()222,0,y b z a x ⎧-+=⎪⎨=⎪⎩(0b a >>)绕z 轴旋转一周所得环面的方程为;(4)点()2,1,0M 到平面3450x y z ++=的距离d=;(5)设有直线1158:121x y z L --+==-与26,:23,x y L y z -=⎧⎨+=⎩则1L 与2L 的夹角为.(1)答案“4”.解()()()()24a b b c c a a b c ⎡⎤+⨯+⋅+=⨯⋅=⎣⎦;(2)答案“3”.解{}42,1,102c b a λλλλ=-=---- ,由a c ⊥ ,()()()2421121020λλλ⋅-+⋅--+⋅-=,解得3λ=;(3)答案“()()2222222224x y z b a b x y +++-=+”.解绕z轴旋转环面的方程为()222b z a -+=,即222222x y b z a +±++=所以()()2222222224x y z b a b x y +++-=+(4)答案解d ;(5)答案“3π”.解1L 和2L 的方向向量分别为{}11,2,1s =-和{}21,1,2s =-- 则12121cos 2s s s s θ⋅== ,3πθ=.2.选择题(1)直线11:213x y z L +-==-与平面:1x y z π--=的关系为();(A )L 在π上(B )L 平行π但L 不在π上(C )L π⊥(D )一般斜交(2)两条直线111:201x y z L --==-与22:112x y z L +==的关系为();(A )平行(B )相交但不垂直(C )垂直相交(D )异面直线(3)直线方程23,1,x y z x y z --=⎧⎨+-=⎩可化为();(A )21213x y z -+==-(B )114213x y z +++==-(C )12213x y z ++==(D )122213x y z -+-==-(4)旋转曲面22z x y =+不是由平面曲线()旋转而成的.(A )2,0,z y x ⎧=⎨=⎩绕z 轴(B )2,0,z x y ⎧=⎨=⎩绕z 轴(C )2,,z xy x y =⎧⎨=⎩绕z 轴(D ),,z xy x y =⎧⎨=⎩绕z 轴.(1)答案选(B ).解直线L 的方向向量{}2,1,3s =-,()1,0,1M -为直线L 上一点,平面π的法向量为{}1,1,1n =--,显然0s n ⋅=,且点()1,0,1M -不在平面π上,故L 平行π但L 不在π上;(2)答案“C ”.解1L 、2L 的方向向量分别为{}12,0,1s =- 、{}21,1,2s = ,则120s s ⋅=,直线1L 与2L 垂直,又()11,1,0M 、()20,0,2M -分别为1L 、2L 上的点,且12122011120112s s M M -⎡⎤==⎣⎦---,即1L 、2L 在同一平面上;(3)答案选(C ).解直线的方向向量{}2112,1,3111i j k s =--=-,()0,1,2--为直线上一点,故选(C );(4)答案选(D ).解在曲线,:,z xy L x y =⎧⎨=⎩上任取一点()0000,,M x y z ,设(),,M x y z 是0M 绕z 轴旋转轨迹上任一点,则有20000,z z x y x ⎧===⎪==故得旋转曲面方程为()2212z x y =+.3.已知2c a b =+ ,d a b λ=+ ,2a = ,1b = ,且a b ⊥,求:(1)λ为何值时,c d ⊥;(2)λ为何值时,以,c d为邻边所围成的平行四边形的面积为6.解(1)由于c d ⊥ ,则0c d ⋅=,即()()22220a b a b a b λλ+⋅+=+= 解得2λ=-;(2)由题设条件知6c d ⨯=而()()()22c d a b a b a bλλ⨯=+⨯+=-⨯则有()22sin 222c d a b a b πλλλ⨯=-⨯=-=- 所以226λ-=,5λ=或1λ=-.4.设一平面通过从点()1,1,1-到直线10,0,y z x -+=⎧⎨=⎩的垂线,且与平面0z =垂直,求此平面方程.解过点()1,1,1M -且与直线10,:0,y z L x -+=⎧⎨=⎩垂直的平面1π的方程为()()()0111110x y z ⋅-+⋅++⋅-=,即y z +=解方程组10,0,0,y z x y z -+=⎧⎪=⎨⎪+=⎩得直线L 与平面1π的交点1110,,22M ⎛⎫ ⎪⎝⎭,平面0z =的法向量{}10,0,1n = ,则所求平面的法向量可取为111001,1,0211122ij kn n M M ⎧⎫=⨯==⎨⎬⎩⎭-所以所求平面方程为()()11102x y -++=,即210x y ++=.5.求通过直线3220,260,x y x y z -+=⎧⎨--+=⎩且与点()1,2,1的距离为1的平面方程.解设过直线3220,260,x y x y z -+=⎧⎨--+=⎩的平面束方程为()()322260x y x y z λ-++--+=(λ为非零常数)即()()321260x y z λλλλ+-+-++=,由点()1,2,1到平面的距离为1,即1d =解得2λ=-或3λ=-,所以所求平面方程为22100x y z ++-=或43160y z +-=.6.在xoy 面上求过原点,且与直线x y z ==的夹角为3π的直线方程.解设所求直线L 方程为,0,y Ax z =⎧⎨=⎩即10x y zA ==,直线L 的方向向量{}1,,0s A= 由题意知1cos32π==,得4A =-于是,所求直线方程为(40,0,xy z ⎧+=⎪⎨=⎪⎩或(40,0.x y z ⎧+=⎪⎨=⎪⎩7.求通过点()1,2,3--,平行于平面62350x y z --+=,且又与直线13x -=1325y z +-=-相交的直线方程.解过点()1,2,3M--作已知平面的平行平面,此平面方程为()()()6122330x y z +---+=即62310x y z --+=求此平面与已知直线的交点,由62310,113,325x y z x y z t --+=⎧⎪-+-⎨===⎪-⎩解得0t =,交点为()01,1,3M -,故所求直线的法向量为{}02,3,6s MM ==-所求直线方程为123236x y z +-+==-.8.确定常数k 的值,使得平面y kz =与椭球面222241xy z ++=的交线为圆.解平面与椭球面的交线222241,:,x y z y kz ⎧++=Γ⎨=⎩等价于方程组()22222241,:,x y k z y kz ⎧++-=⎪Γ⎨=⎪⎩要使交线为圆,只须242k-=,即k =,交线为2221,2.x y z y ⎧++=⎪⎨⎪=⎩9.求曲面2221x y z ++=和()()222111x y z -+-+=的交线在yoz 平面上的投影曲线方程.解由题设两曲面的方程消去x ,得交线在yoz 平面上的投影柱面方程22220y y z -+=所求投影曲线方程为22220,0.y y z x ⎧-+=⎨=⎩10.求两曲面22z x =与z =所围立体在三个坐标面上的投影区域.解两曲面的交线在xoy 面上的投影柱面为()2211x y -+=,则投影区域为()(){}22,11xy D x y x y =-+≤,两曲面的交线在yoz 面上的投影柱面为222112z y ⎛⎫-+=⎪⎝⎭,则投影区域为()222,112yz z D y z y ⎧⎫⎛⎫⎪⎪=-+≤⎨⎬ ⎪⎝⎭⎪⎪⎩⎭,两曲面的交线在zox 面上的投影柱面为z 和z x =,则投影区域为(){,zx D x z x z =≤≤.11.画出下列曲面所围立体的图形:(1)22z xy =+,1x =,1y =,0z =;(2)z xy =,0z =,1x y +=;(3)22z xy =+,2y x =,1y =,0z =;(4)2y x =,212y x =,1x z +=,0z =.解(1)见图8-8;(2)见图8-9;(图8-8)(图8-9)(3)见图8-10;(4)见图8-11.(图8-10)(图8-11)习题9-11指出下列平面点集中,那些是开集、闭集、有界集、连通集、开区域以及闭区域?并分别求其聚点和边界点:(1)22{(,)|0<1}x y x +y <;(2){(,)|}x y y x >;(3){(,)|2,2,2}x y x y x y ≤≤+≥;(4)2222{(,)|1}{(,)|(1)1}x y x y x y x y +>⋂+-≤.解(1)为有界开区域;聚点为集合22{(,)|1}x y x +y ≤,边界点为集合22{(,)|=1}{(0,0)}x y x +y ⋃;(2)为无界的开区域;聚点为集合{(,)|}x y y x ≥,边界点为集合{(,)|,}x y y x x =-∞<<+∞;(3)为有界闭区域;聚点集合为该区域上所有点,边界点集合为三个直线段{(,)|2,02}x y x y =≤≤与{(,)|2,02}x y y x =≤≤及{(,)|2,02}x y x y x +=≤≤的并集;(4)为有界连通集合;聚点为2222{(,)|1}{(,)|(1)1}x y x y x y x y +≥⋂+-≤,边界点为圆弧221{(,)|1,2x y x y y +=≥及圆弧221{(,)|(1)1,}2x y x y y +-=≥的并集.2.证明:点0P 为点集E 的聚点的充分必要条件是点0P 的任意邻域内都至少含有一个点集E 中异于0P 的点.证明:“⇒”由聚点的定义即可得;“⇐”取101(,){|01}U P P P P δδ=<<=(其中0P P 表示点0P 与点P 的距离),则111(,)P U P E δ∃∈⋂,记20112P P δ=,则202(,)P U P E δ∃∈⋂ ,依此类推,由数学归纳法可知对于每个正整数n ,均可取到点01101111(,),22n n n n n P U P E P P δδ----∈⋂=≤ ,由此可得一个两两均不相同的点列{}n P ,若0δ>,因lim 0n n δ→∞=,则k δ∃使得k δδ<,那么当n k ≥时必有0(,)n P U P δ∈,即在0(,)U P δ中比含有集合E 的无穷多个点,因此点0P 为点集E 的聚点.3.求下列各函数值:(1)设22(,)2x y f x y xy-=,求(,1)x f y ;(2)设22(,)y xf x y x y xye =+-,求(,)f tx ty ;(3)设(,)3f x y x y =+,求(,(,))f x f x y ;(4)设(,,)v u v f u v w u w +=+,求(,,)f x y x y xy +-;(5)设22(,)y f x y x y x+=-,求(,)f x y .解(1)2221(,1)(,)22x y x x y f f x y x y xy y⎛⎫- ⎪-⎝⎭===;(2)222222(,)(,)yxf tx ty t x t y t xye t f x y =+-=;(3)(,(,))3(3)49f x f x y x x y x y =++=+;(4)2(,,)()()x y x f x y x y xy x y xy -+-=++;(5)设,,,11y u uv u x y v x y x v v =+===++,222(1)(,)111u uv u v f u v v v v -⎛⎫⎛⎫=-=⎪ ⎪+++⎝⎭⎝⎭,2(1)(,)1x y f x y y-=+.4.设1)z f =+-,若当1y =时,z x =,求函数()f u 及(,)z z x y =的表达式.解由题设有11),1)1x f f x =+=-,令1u =,则2(1)x u =+,所以有2()2f u u u =+,相应的有(,)1z z x y x ==-.5.求下列函数的定义域:(1)(,)f x y =;(2)(,)ln()f x y y x =-+;(3)22221(,)arcsin 4x y f x y x y+=+-;(4)(,,)f x y z =解(1){(,)|}D x y y x y =-<<;(2)22{(,)|0,,1}D x y x y x x y =≥>+<;(3)22{(,)|4,}D x y x y y x =+≤≠;(4)222{(,,)|1,D x y z x y z z =++<>.习题9-21.证明:2222001lim()sin0x y x y x y →→+=+.证明0ε∀>,因为2222221()sinx y x y x y+≤++,取δ=当0δ<<时,则有2222221()sin 0x y x y x y ε+-≤+<+,因此有2222001lim()sin 0x y x y x y →→+=+.2.求下列极限:(1)201ln()lim 2x x y e y x y →→++;(2)220x y →→(3)100lim(1sin )xyx y xy →→-;(4)22()lim ()x y x y x y e-+→+∞→+∞+解(1)原式0ln(1)ln 21e +==;(2)原式220220lim 21()2x y x y x y →→+==--+;(3)原式sin 11sin 00lim (1sin )xyxyxyx y xy e ---→→⎡⎤=-=⎢⎥⎢⎥⎣⎦;(4)原式222()()lim (2),lim lim 0,lim lim 0u x y x y x y x y u x y x x x x y y y x y x y x y u x ye e e e e e e =+++→+∞→+∞→+∞→+∞→+∞→+∞→+∞++=-⋅======,原式0=.3.证明下列极限不存在:(1)22400lim x y xy x y →→+;(2)2222200lim ()x y x y x y x y →→+-.解(1)当取点(,)P x y 沿曲线2:C y kx =趋于点(0,0)O 时则有222422000lim lim 1x x y xy kx k x y x kx k →→→==+++,k 取值不同,则该极限值不同,因此该极限不存在;(2)当取点(,)P x y 沿直线y x =趋于点(0,0)O 时则有2222200lim 1()x y x y x y x y →→=+-,而当取点(,)P x y 沿直线0y =趋于点(0,0)O 时则有2222200lim 0()x y x y x y x y →→=+-,因沿不同方向取极限,则该极限值不同,故该极限不存在.4.讨论下列函数的连续性:(1)22(,)y xf x y y x+=-;(2)22,(,)(0,0),(,)0,(,)(0,0);xyx y x yf x y x y ⎧≠⎪+=⎨⎪≠⎩(3),)(0,0),(,)0,(,)(0,0);x y f x y x y ≠=≠⎩(4)(,,)f x y z =.解(1)函数的定义域为2{(,)|}D x y y x =≠,它在D 内处处连续,抛物线2:C y x =上的点均为它的间断点;(2)函数在全平面内处处有定义,它在区域{(,)|(,)(0,0)}D x y x y =≠内处处连续,由于00lim (,)x y f x y →→不存在,故(0,0)O 是它的间断点;(3)当(,)(0,0)x y ≠时,函数显然是连续的,又00lim0(0,0)x y f →→==,所以它在(0,0)O 处也连续,因此该函数在全平面内处处连续;(4)函数(,,)f x y z 的定义域为222{(,,)|14}x y z x y z Ω=<++<,在定义域内(,,)f x y z处处连续,在球面2221x y z ++=及2224x y z ++=上函数间断.5.设二元函数(,)f x y 在有界闭区域E 上连续,点(,),1,2,,i i x y E i n ∈=⋅⋅⋅,证明至少存在一点(,)E ξη∈,使得1122(,)(,)(,)(,)n n f x y f x y f x y f nξη++⋅⋅⋅+=.证明令112211(,)min{(,)},(,)max{(,)}i i i i i i i i i ni nm f x y f x y M f x y f x y ≤≤≤≤====,则有(,),1,2,,i i m f x y M i n≤≤=⋅⋅⋅,由此可得1(,)ni i i mn f x y Mn=≤≤∑,即1(,)niii f x y m M n=≤≤∑.(1)若m M =,则1122(,)(,)(,)n n f x y f x y f x y ==⋅⋅⋅=,取11(,)(,)x y ξη=即可;(2)若m M <,则有1(,)niii f x y m M n=<<∑,由连续函数介值定理知至少存在一点(,)E ξη∈,使得1122(,)(,)(,)(,)n n f x y f x y f x y f nξη++⋅⋅⋅+=.习题9-31.求下列函数的一阶偏导数:(1)2tan()cos ()z x y xy =++;(2)arctanx yz x y+=-;(3)ln(z x =+;(4)(1)yz xy =+.解(1)22sec ()2cos()sin()sec ()sin(2)zx y y xy xy x y y xy x∂=+-=+-∂,由对称性可知2sec ()sin(2)zx y x xy y ∂=+-∂;(2)22222212,()1zy y z xxx y x y y x yx y x y ∂--∂=⋅==∂-+∂+⎛⎫++ ⎪-⎝⎭;(3)z z xy ∂∂==∂∂;(4)21(1),(1)[ln(1)]1y y z z xyy xy xy xy x y xy-∂∂=+=+++∂∂+.2.求下列函数在指定点的偏导数:(1)(,)sin(2)xf x y ex y -=+,求(0,)4x f π'及(0,)4y f π';(2)22(,)(2)arccos f x y x y x =++-,求(2,)y f y '.解(1)(0,)4(0,)[(cos(2)sin(2)]1,(0,)044x x y f e x y x y f πππ-''=+-+=-=;(2)()2(2,)42y f y yy ''=+=.3.求下列函数的二阶偏导数:(1)2cos ()z ax by =+;(2)z =;(3)arctan 1x yz xy+=-;(4)z yu x =,求2ux z ∂∂∂及22u y ∂∂.解(1)2cos()sin()sin 2(),sin 2()z za ax by ax by a ax byb ax by x y∂∂=-++=-+=-+∂∂,22222222cos 2(),2cos(),2cos 2()z z z a ax by ab ax by b ax by x x y y ∂∂∂=-+=-+=-+∂∂∂∂.(2)2222222222222222,,,()()z x z y z y x z xy x x y x x y x x y x y x y ∂∂∂-∂-====∂+∂+∂+∂∂+,2222222()z x y y x y ∂-=∂+;(3)22211()1(1)111z xy y x y xxy x x y xy ∂-++=⋅=∂-+⎛⎫++ ⎪-⎝⎭,由对称性可知211z y y ∂=∂+,22222222222,0,(1)(1)z x z z yx x x y y y ∂-∂∂-===∂+∂∂∂+;(4)2222112224ln ln 2ln ln ,,,zzzzy y y yu z u y z x u z x u yz x z x x x x x x y x z y y y y y --∂∂+∂∂+===-=∂∂∂∂∂.4.求下列函数的指定高阶偏导数:(1)ln()z x xy =,求32z x y ∂∂∂及32z x y ∂∂∂;(2)u x y z αβγ=,求3ux y z∂∂∂∂.解(1)23232222111ln()1,,0,,z z z z z xy x x x x y x y y x y y∂∂∂∂∂=+====-∂∂∂∂∂∂∂∂;(2)23111111,,u u u x y z x y z x y z x x y x y zαβγαβγαβγααβαβγ------∂∂∂===∂∂∂∂∂∂.5.设322,(,)(0,0),(,)20,(,)(0,0),xy x y f x y x y x y ⎧≠⎪=+⎨⎪=⎩求(0,0)xyf ''及(0,0)yx f ''.解(,0)(0,0)(0,0)lim0,0x x f x f f y x →-'==≠时,0(,)(0,)1(0,)lim 2x x f x y f y f y y x →-'==,(0,)(0,0)1(0,0)lim 2x x xyy f y f f y →''-''==,0(0,)(0,0)(0,0)lim 0,0y x f y f f x y→-'==≠时,0(,)(,0)(,0)lim 0y y f x y f x f x y →-'==,0(,0)(0,0)(0,0)lim 0y y yx x f x f f x→''-''==.6.已知二元函数(,)z z x y =在区域{(,)|0}D x y x =>内有定义,且满足3,(1,)cos z x y z y y x x∂+==∂,试求(,)z x y .解由3z x yx x∂+=∂可得31(,)ln ()3z x y x y x C y =++,由(1,)cos z y y =可得1()cos 3C y y =-,因而31(,)(1)ln cos 3z x y x y x y =-++.7.分别讨论下列函数在点的连续性和可偏导性:(1)222,(,)(0,0),(,)0,(,)(0,0);xy x y f x y x y x y ⎧≠⎪=+⎨⎪=⎩(2)(,)f x y =(3)2222,(,)(0,0),(,)1,(,)(0,0).x y x y f x y x yx y ⎧-≠⎪=+⎨⎪=⎩解(1)因为22212xy y x y ≤+,所以22200lim 0x y xy x y →→=+,因此该函数在点(0,0)处连续,又[][]0(0,0)(,0)0,(0,0)(0,)0x y x x f f x f f y ==''''====,因而该函数在(0,0)处存在偏导数;(2)因00(0,0)x y f →→==,因而该函数在点(0,0)处连续,而0(0,0)limx x x f x→'=不存在,同理(0,0)y f '也不存在,因而该函数在(0,0)处不存在偏导数;(3)当取点(,)P x y 沿直线y kx =趋于点(0,0)O 时,则有222222001lim 1x y x y k x y k →→--=++,由于k 取不同值时,上述极限不一样,故222200lim x y x y x y →→-+不存在,因而该函数点(0,0)处不连续,(,0)(0,0)(0,)(0,0)(0,0)lim0,(0,0)limx y x y f x f f y f f f xy→→--''===∞,故在点(0,0)处偏导数(0,0)x f '存在,而偏导数(0,0)y f '不存在.8.考察函数2244,(,)(0,0),(,)0,(,)(0,0),x y x y f x y x y x y ⎧≠⎪=+⎨⎪=⎩并回答下列问题:(1)(,)f x y 在点(0,0)处是否有二阶偏导数;(2)(,)x f x y '与(,)y f x y '在点(0,0)处是否连续.解(1)2444422(3),(,)(0,0),(,)()0,(,)(0,0),x xy x y x y f x y x y x y ⎧-≠⎪'=+⎨⎪≠⎩2444422(3),(,)(0,0),(,)()0,(,)(0,0),y x y y x x y f x y x y x y ⎧-≠⎪'=+⎨⎪≠⎩0(,0)(0,0)(0,0)lim 0x x xx y f x f f x →''-''==0(0,)(0,0)(0,0)lim 0y yyy f y f f y→''-''==,0(0,)(0,0)(0,0)lim 0x x xyy f y f f y→''-''==.(2)当取点(,)P x y沿直线(y kx k =≠趋于点(0,0)O 时则有2442444242000002(3)2(13)lim (,)lim lim ()(1)x x x x y y xy x y k k f x y x y x k →→→→→--'===∞++,故(,)x f x y '在点(0,0)处不连续,同理可证(,)y f x y '点(0,0)处也不连续.9.设arctan y u z x =,证明2222220u u ux y z∂∂∂++=∂∂∂.证明222221,1uy yz z y xx x y x∂--=⋅⋅=∂++222222()u xyz x x y ∂=∂+,同理有222222()u xyzy x y ∂-=∂+,22arctan ,0u y uz x z∂∂==∂∂,所以有2222222222222200()()u u u xyz xyz x y z x y x y ∂∂∂++=-+=∂∂∂++.10.证明:如果(,)f x y 在区域D 内偏导数(,)x f x y '与(,)y f x y '有界,则函数(,)f x y 在区域D 内连续.证明因为(,)x f x y '与(,)y f x y '在D 内有界,所以0M ∃>,对(,)x y D ∀∈均有(,),(,)x y f x y M f x y M ''≤≤,设000(,)P x y D ∈,则0δ∃>,当ρδ=<时有00(,)x x y y D +∆+∆∈,记100200(,),(,)P x x y P x x y y +∆+∆+∆,则线段01P P 与12PP 必完全属于D 内,由Lagrange 中值定理知0000(,)(,)f x x y y f x y +∆+∆-00000000[(,)(,)][(,)(,)]f x x y y f x x y f x x y f x y =+∆+∆-+∆++∆-001020(,)(,)y x f x x y y y f x x y x θθ''=+∆+∆∆++∆∆,0000(,)(,)()f x x y y f x y M x y +∆+∆-≤∆+∆,由夹逼准则可知00000lim[(,)(,)]0x y f x x y y f x y ∆→∆→+∆+∆-=,即函数(,)f x y 在点000(,)P x y 处连续,由点000(,)P x y 的任意性可知,函数(,)f x y 在区域D 内处处连续.习题9-41.求函数22z x xy y =+-在点000(,)P x y 处当自变量,x y 分别取得增量,x y ∆∆时相应的全增量及全微分.解222200000000()()()()()z x x x x y y y y x x y y ∆=+∆++∆+∆-+∆--+2200000000(2)(2),d (2)(2)x y x x y y x x y y y x y x x y y =+∆+-∆+∆+∆∆-∆=+∆+-∆.2.求下列函数的全微分:(1)yz yx =;(2)arctan y z x=;(3)2222x y z x y-=+;(4)u =.解(1)21d d (1ln )d y y z y x x x x y -=++;(2)22d d d y x x yz x y -+=+;(3)2224(d d )d ()xy y x x y z x y -=+;(4)d u =3.试证:(,)f x y =在点(0,0)处连续,偏导数存在,但不可微.证明000(0,0)x y f →→==,因而函数(,)f x y 在点(0,0)处连续,00(,0)(0,0)(0,)(0,0)(0,0)lim0,(0,0)lim 0x y x y f x f f y f f f x y→→--''====,因而函数(,)f x y 在点(0,0)处偏导数存在,又00limx x y y →→→→''---=不存在,故该函数在点(0,0)处不可微.4.设221sin ,(,)(0,0),(,)0,(,)(0,0).xy x y x y f x y x y ⎧≠⎪+=⎨⎪=⎩证明:(1)(0,0),(0,0)x y f f ''存在;(2)(,),(,)x y f x y f x y ''在点(0,0)处不连续;(3)(,)f x y 在点(0,0)处可微.解(1)00(,0)(0,0)(0,)(0,0)lim0,(0,0)lim 0y x y f x f f y f f x y→→--'====,因此(0,0)x f ',(0,0)y f '存在;(2)222222220000121lim (,)lim[sin cos ]()x x x y y x y f x y y x y x y x y →→→→'=-+++不存在,因而(,)x f x y '在(0,0)处不连续,又222222220000121lim (,)lim[sin cos ]()y x x y y xy f x y x x y x y x y →→→→'=-+++不存在,因此(,)x f x y '在(0,0)处也不连续;(3)22001sin lim0x x y y xy x y →→→→''---==,因而函数(,)f x y 在点(0,0)处可微.5的近似值.解令22(,)(,)(,)x y f x y f x y f x y ''===,则有(1.02,1.97)(1,2)(1,2)0.02(1,2)(0.03)x y f f f f ''=≈+⨯+⨯-130.022(0.03) 2.952=+⨯+⨯-=.6.设有一无盖的圆柱形容器,容器的壁与底厚均为0.1cm ,内高为20cm ,内半径为4cm ,求容器外壳体积的近似值.解若圆柱体的底半径为r ,高为h ,则体积为2V hr π=,223d 22 3.144200.1 3.1440.155.3cm V V rh r r h ππ∆≈=∆+∆=⨯⨯⨯⨯+⨯⨯=.。
2013年安徽高考数学真题及解析数学(理科)本试卷分第【卷和第∏卷(非选择题)两部分,第【卷第1至第2页,第II 卷第3至第4页。
全卷满分 150分,考试时间为120分钟。
参考公式:如果事件A 与B 互斥,那么P(A + B) = P(A) +P(B)如果事件A 与B 相互独立,那么P(AB) = P(A)P(B)第I 卷(选择题共50分)一.选择题:本大题共10小题,每小题5分,共50分,在每小题给岀的四个选项中,只有一项是符合题 目要求的。
(1)设是虚数单位,Z 是复数Z 的共辄复数,若∕=I Λ-∣∕(X )>0∣.^+2=2Z ,则Z =(A) I+/ (B) I-Z (C) -1+/(D) -1√【答案】A【解析】设 z = a + bi,贝IJZ = a - bi.z ・ zz + 2 = 2z => (a + bi)・(a - bi)i + 2 = (a 2+b 2)i + 2 = 2a + 2bi【解析】・.・$ = 0 +丄+丄+丄=6 + 3 + 2=q.. S = Ii 所以选 2 46 12 12 12(3) 在下列命题中,不是公理的是• •(A) 平行于同一个平而的两个平而相互平行(B) 过不在同一条直线上的三点,有且只有一个平而(C) 如果一条直线上的两点在一个平而内,那么这条直线上所有的点都在此平而内 (D) 如果两个不重合的平而有一个公共点,那么他们有且只有一条过该点的公共直线a~ + b~ = 2ba = 1=> Z = 1 + /2 = 2ab = ∖ ■所以选A(2) 如图所示,程序框图(算法流程图)的输岀结果是1 25 (A)-(B)—6 24(C) 2(D)Il412【答案】D9(2)ASD【解析】B.CQ说法均不需证明,也无法址明,是公理:C选项可以推导证明,故是泄理。
(A) θ=O(p∈ /?)和PCOS=2 (B) θ=-{pe /?)和PCOS=2(4)''a < O" “是函数/(x)=∣(drl)x∣在区间(0,+S)内单调递增”的(A)充分不必要条件(B)必要不充分条件(C)充分必要条件(D)既不充分也不必要条件【答案】C【解析】当沪O时,f(x)=∣Λ∣=>y = f(x)¢(0,+ 00)上单调递增;当GVo且x>0时,/(x) = (-OX+1)Λ,y = /(Λ∙)在(O, + =)上单调递增所以a ≤ 0⅛y =八力在(0, +CO)上单调递增的充分条件相反,÷⅛y = ∕(x)在(0, + s)上单调递增=>a≤0,=> a 5 O是y = /(;V)在(0, + CO)上单调递增的必要条件故前者是后者的充分必要条件。
2011----2012学年第二学期期末考题解答一.填空题(每小题3分, 满分15分)1. 过直线L:x-1y+2z-2==且垂直于平面3x+2y-z=5的平面方程是2-32_________.【解】应填:x-8y-13z+9=0.直线L的方向向量s={2,-3,2}.已知平面的法向量n1={3,2,-1},设所求平面的法向量为n,由题意知n⊥s且n⊥n1,故可取ijk n=s⨯n1=2-32={-1,8,13},32-由条件知,所求平面过点P0(1,-2,2)于是所求平面方程为,-(x-1)+8(y+2)+13(z-2)=0,即x-8y-13z+9=0.2. 设x2+2xy+y+zez=1,则dz【解】应填:-2dx-dy.由x+2xy+y+ze=1,两边求全微分,得 2z(0,1)=2xdx+2ydx+2xdy+dy+(1+z)ezdz=0,当x=0,y=1时,代入原方程得z=0,所以dz(0,1)=-2dx-dy.3. 椭圆抛物面∑:z=2x+y在点P0(1,-1,3)处的法线方程是___________.【解】应填:22x-1y+1z-3==. 4-2-1曲面∑在点P0(1,-1,3)处的法向量可取为n={4x,2y,-1}(1,-1,3)={4,-2,-1},于是曲面∑在点P0(1,-1,3)处的法线方程为x-1y+1z-4=-2=3-1.4.曲面z=与z=x2+y2所围立体的体积为.【解】应填:6. V=⎰⎰⎰dv=2π0dθ1rπΩ⎰⎰0rdr⎰r2dz=6.5. 设L为上半圆周y=⎰(xL-xy+y2)ds=____________.【解】应填:π.由对称性,代入技巧及几何意义可得⎰2L(x-xy+y2)ds=⎰Lds+0=π二.选择题(每小题3分, 满分15分)1.方程y''-3y'+2y=1+2x-3ex的特解形式为(). (A)(ax+b)ex (B) (ax+b)xex(C) ax+b+cex(D) ax+b+cxex【解】选(D)2.设unn=(-1),则级数().(A)∑∞∞∞u2n与∑un都收敛(B)n=1n=1∑u2n与n=1∑un都发散n=1 (C)∑∞∞∞∞u2n收敛,而n发散(D)u2n发散,而n收敛n=1∑un=1∑n=1∑u【解】选(C)3.二元函数f(x,y)的两个偏导数fx¢(x,y),fy¢(x,y)在点P0(x0,y0)处都连续是f(x,y)在点P0(x0,y0)处可微分的()(A) 充分条件 (B) 必要条件(C) 充要条件 (D) 既非充分也非必要条件【解】若fx¢(x,y),fy¢(x,y)在点P0(x0,y0)都连续,则f(x,y)在点P0(x0,y0)处可微分,选(A)4.⎰10dx⎰2x1=()(A)121 (B))131 (C)(D【解】原积分=⎰dy0101121==⎰231.选(B) )⎧x2-π≤x<05. 设f(x)=⎨,则周期为2π的函数f(x)的傅立叶级数在x=2π处⎩x-π0≤x<π收敛于.(A)-π2 (B)-π (C)0 (D)π 2【解】选(A)三. (10分) 设z=f(xy,xy)+g(),其中f有二阶连续偏导数,g有二阶导yx∂2z数,求.∂x∂y【解】根据复合函数求偏导公式得∂z1y=f1'⋅y+f2'⋅+g'⋅(-2), ∂xyx∂2z∂⎛∂z⎫∂⎛1y⎫= ⎪= f1'⋅y+f2'⋅+g'⋅(-2)⎪∂x∂y∂y⎝∂x⎭∂y⎝yx⎭x11xy1=f1'+y[f11''x+f12''⋅(-2)]-2f2'+[f21''x+f22''⋅(-2)]-g''⋅3-g'⋅2yyyyxx1xy1=f1'+xyf11''-2f2'-3f22''-3g''-2g'yyxxx2四. (10分) 求z=f(x,y)=x-y在闭区域D:+y2≤1上的最大值和最小值.22【解】在D的内部,⎧fx'=2x=0⇒(0,0)为驻点,且f(0,0)=0 ⎨'f=-2y=0⎩y在D的边界上,x2x25x22222+y=1⇒y=1-⇒z=x-y=-1由444(-2≤x≤2)dz5x==0⇒x=0,此时,y=±1,,则有f(0,±1)=-1,dx2比较上述函数值知,f(±2,0)=4函数z=f(x,y)=x-y在D上的最大值为4,最小值为-1.五. (10分) 求微分方程y''=22y'+xex的通解. x1p=xex, x【解】不显含y,故令y'=p,则y''=p',代入原方程得p'-利用通解公式求得通解为p=x(ex+C1),积分得原方程通解为1y=(x-1)ex+C1x2+C2.2六. (12分)(Ⅰ)试确定可导函数f(x),使在右半平面内,y[2-f(x)]dx+xf(x)dy为某函数u(x,y)的全微分,其中f(1)=2;(Ⅱ)求u(x,y);【解】(Ⅰ)P=y[2-f(x)],Q=xf(x).因为y[2-f(x)]dx+xf(x)dy是函数u(x,y)的全微分,所以有即∂Q∂P, =∂x∂yf(x)+xf'(x)=2-f(x),故xf'(x)+2f(x)=2.上述微分方程的通解为f(x)=1+所以C.由f(1)=2得C=1, x21. x2f(x)=1+(Ⅱ)在右半平面内取(x0,y0)=(1,0),则11u(x,y)=⎰P(x,0)dx+⎰Q(x,y)dy=⎰0(x+)dy=y(x+).10xxxyy七. (12分) 求幂级数∞∑n(n+1)xn=1∞n的收敛域及和函数.【解】易求得其收敛域为(-1,1),令S(x)=∑n(n+1)x=x∑n(n+1)xnn=1n=1∞n-1=x⋅S1(x),其中S1(x)=∑n(n+1)xn-1,n=1∞∞两边积分⎰再积分xS1(x)dx=∑⎰n(n+1)xn=1∞xn-1dx=∑(n+1)xn,n=1⎰(⎰xxS1(x)dx)dx=∑⎰(n+1)xdx=∑xnn=1∞x∞n+1n=1x2. =1-x因此x22S1(x)=()''=,1-x(1-x)3故原级数的和S(x)=2x,x∈(-1,1).(1-x)3八. (12分) 计算积分I=⎰⎰(y-z)dzdx+(x+2z)dxdy∑,其中∑是抛物面z=x2+y2(0≤z≤1),取下侧.【解】补S0:z=1(x2+y2 1),取上侧,设∑与∑0围成空间区域Ω, Ω及∑0在xOy平面上的投影区域Dxy:x+y≤1.由Gauss公式,I=22∑+∑0 ⎰⎰(y-z)dzdx+(x+2z)dxdy-⎰⎰(y-z)dzdx+(x+2z)dxdy ∑0=⎰⎰⎰[Ω∂∂(y-z)+(x+2z)]dv-⎰⎰(y-z)dzdx+(x+2z)dxdy ∂y∂z∑0∑0=3⎰⎰⎰dv-⎰⎰(y-z)dzdx+(x+2z)dxdy. Ω因为∑0垂直于zOx平面,∑0在zOx平面上的投影区域面积为零,所以⎰⎰(y-z)dzdx=0.∑0I=3⎰⎰[⎰2Dxy1x+y2dz]dxdy-⎰⎰[x+2(x2+y2)]dxdy Dxy2π1=⎰⎰(3-5x2-5y2)dxdy=⎰dθ⎰(3-5r2)rdr=Dxy00π.2九. (4分) 设函数ϕ(y)具有连续导数,在围绕原点的任意分段光滑简单闭曲线L 上,曲线积分ϕ(y)dx+2xydy2x+y24L的值恒为同一常数.证明:对右半平面x>0内的任意分段光滑简单闭曲线C,有ϕ(y)dx+2xydy2x+y24C=0;【证明】将C分解为:C=l1+l2,另作一条曲线l3围绕原点且与C相接,则ϕ(y)dx+2xydy2x+y24C=ϕ(y)dx+2xydy2x+y24l1+l3-ϕ(y)dx+2xydy2x+y24l2+l3=0.。
安徽省2012年普通高等学校专升本招生考试高等数学注意事项:1.试卷共8页,请用签字笔答题,答案按要求写在指定的位置。
2.答题前将密封线内的项目填写完整。
一、选择题(下列每小题的选项中,只有一项是符合题意的,请将表示该选项的字母填在题后的括号内。
共10小题,每小题3分,共30分)1.若函数⎪⎩⎪⎨⎧>+≤=0,sin 0,3)(x a xx x e x f x 在0=x 在处连续,则=a ( C )A. 0B. 1C. 2D. 3解:由)0()00()00(f f f =-=+得231=⇒=+a a ,故选C.2.当0→x 时,与函数2)(x x f =是等价无穷小的是( A )A. )1ln(2x + B. x sin C. x tan D. x cos 1-解:由11ln(lim1ln()(lim)22)20=+=+→→xxxx f x x ,故选A.3.设)(x f y =可导,则'-)]([x e f =( D )A. )(x e f -'B. )(x e f -'-C. )(x x e f e --'D. )(x x e f e --'- 解:)()()()]([x x x x x e f e e e f e f -----'-='⋅'=',故选D.4.设x 1是)(x f的一个原函数,则⎰=dx x f x )(3( B ) A.C x +221 B. C x +-221 C.C x +331 D.C x x +ln 414解:因x 1是)(x f的一个原函数,所以211)(x x x f -='⎪⎭⎫⎝⎛=,所以C x xdx dx x f x +-=-=⎰⎰2321)(故选B.5.下列级数中收敛的是( C )A.∑∞=-1374n nnnB.∑∞=-1231n n C.∑∞=132n nn D.∑∞=121sinn n解:因121)1(lim2122)1(lim33313<=+=+∞→+∞→nn n n n nn n ,所以∑∞=132n nn 收敛,故选C.6.交换⎰⎰⎰⎰+=102121121),(),(y yydx y x f dy dx y x f dy I 的积分次序,则下列各项正确的是( B ) A. ⎰⎰1022),(xx dy y x f dx B. ⎰⎰1022),(x xdy y x f dy C.⎰⎰2122),(xxdy y x f dx D.⎰⎰2122),(x xdy y x f dx解:由题意画出积分区域如图:故选B.7.设向量21,αα是非齐次线性方程组AX =b 的两个解,则下列向量中仍为该方程组解的是( D )A. 21αα+B. 21αα-C. 212αα+D. 212αα- 解:因,2)(2121b b b A A A =+=+=+αααα同理得 ,0)(21=-ααA ,3)2(21b A =+αα,)2(21b A =-αα故选D.18.已知向量)2,5,4,0(),0,,0,2(),1,1,2,1(321--==-=αααk 线性相关,则=k ( D ) A. -2 B. 2 C. -3 D. 3解:⎪⎪⎪⎭⎫⎝⎛+--+--→⎪⎪⎪⎭⎫ ⎝⎛---+--→⎪⎪⎪⎭⎫ ⎝⎛---=⎪⎪⎪⎭⎫ ⎝⎛0302240112125402240112125400021121321k k k k ααα 由于123,,ααα线性相关,所以123(,,)2r ααα≤,因此3=k9.设B A ,为事件,且,2.0)(,4.0)(,6.0)(===AB P B P A P 则=)(B A P ( A ) A.0.2 B. 0. 4 C. 0.6D. 0.8解:2.0)]()()([1)(1)()(=-+-=+-=+=AB P B P A P B A P B A P B A P 10.有两个口袋,甲袋中有3个白球和1个黑球,乙袋中有1个白球和3个黑球.现从甲袋中任取一个球放入乙袋,再从乙袋中任取一个球,则取出白球的概率是( B ) A.163 B.207 C.41 D.21解: 由全概率公式得20751415243=⨯+⨯=p二、填空题(本题共10小题,每小题3分,共30分,把答案填在题中横线上。
2012~2013 学年第 一 学期 课程代码 课程名称 高等数学A(1) 学分 课程性质:必修;、选修 、限修 考试形式:开卷 、闭卷;专业班级(教学班) 考试日期 2012.11.20 命题教师 高等数学课程组 系(所或教研室) 主任审批签名 刘植
2012~2013 学年第 一 学期 课程代码 课程名称 高等数学A(1) 学分 课程性质:必修;、选修 、限修 考试形式:开卷 、闭卷;专业班级(教学班) 考试日期 2012.11.20 命题教师 高等数学课程组 系(所或教研室) 主任审批签名 刘植
2012~2013 学年第 一 学期 课程代码 课程名称 高等数学A(1) 学分 课程性质:必修;、选修 、限修 考试形式:开卷 、闭卷;
专业班级(教学班) 考试日期 2012.11.20 命题教师 高等数学课程组 系(所或教研室) 主任审批签名 刘植
五、(12分)设()f x 在上具有二阶导数,且,, [,]a b ()()0f a f b ==()()0f a f b +
−′′>证明:(1)存在(,)a b ξ∈,使()0f ξ=;
(2)存在(,)a b η∈,使()0f η′′=.
证明:(1)不妨设:,,即 ()0f a +′>()0f b −′> 1()()()
()lim lim 0,x a
x a f x f a f x f a x a x a x a +
++→→−′==>⇒∃>−−使 1()0f x > 2()()()()lim lim 0,x b
x b f x f b f x f b x b x b x b
−
−
−→→−′==>⇒∃<−−使2()0f x < ()f x 在12[,]x x 上满足零点定理条件,故存在一点12(,)(,)x x a b ξ∈⊂,使()0f ξ=
(2)()f x 在区间[],a ξ上满足Rolle 中值定理条件,故存在一点1(,)a ξξ∈,使1()0f ξ′=,
()f x 在区间[],b ξ上满足Rolle 中值定理条件,故存在一点2(,)b ξξ∈,使2()0f ξ′=, ()f x ′在区间[]12,ξξ上满足Rolle 中值定理条件,故存在一点12(,)ηξξ∈,使()0f η′′=.。