考研数学三真题解析
- 格式:doc
- 大小:679.00 KB
- 文档页数:13
23考研数学三真题及答案解析近几年来,考研数学成为了每年都备受关注和关心的话题。
因此,23考研数学三的真题及答案解析对于广大考研学子来说尤为重要。
下面,我们将对23考研数学三的真题进行细致的分析和解答。
首先,我们来看一下23考研数学三的真题是什么。
选择题部分:1. 设函数f(x)的导函数连续,满足$f(1) = 2$,则$y =f(x)$一定有()A.极小值B.极大值C.临界点D.拐点2. 设函数$f(x)$在区间[0,1]上单调递增,则下列哪个等式成立?A. $\int_0^1 f(x) dx > 0$B. $\int_0^1 f(x) dx < 0$C. $\int_0^1 f(x) dx = 0$D. 以上都可能成立3. 已知二次函数$y = f(x)$的图像过点(1, -1),且经过点$(-1, 9)$。
则$f(x)$的顶点坐标为()A. (1, -1)B. (2, -7)C. (1, -9)D. (2, -1)4. 在概率论中,随机变量X的方差是指()A.随机变量X的中位数B.随机变量X的期望值C.随机变量X的离散程度D.随机变量X的波动程度计算题部分:1. 已知$A = \begin{pmatrix}2&-1\\3&4\end{pmatrix}$,阶数为2。
则A的逆矩阵为()2. 设二次函数$y = ax^2 + bx + c$的图像过点(1, -1),且顶点坐标为(2, 3)。
求该二次函数的解析式。
3. 设函数$f(x) = a^{x^2 - 2x - 3}$,已知$f(1) = a^2$,求a的值。
4. 设随机变量X的概率密度函数为$f(x) =\begin{cases}\frac{1}{x^2}, & x \geq 1 \\ 0, & x <1\end{cases}$,求X的方差。
接下来,我们对以上选项进行详细的答案解析。
选择题部分:1. 答案:A. 极小值解析:由题意可知,函数f(x)的导函数连续,即f(x)在其定义域内可导,且导函数存在。
2024考研(数学三)真题答案及解析完整版2024年全国硕士研究生入学考试数学(三)真题及参考答案考研数学三考什么内容?数学三在高等数学这一部分因为要求的内容相对较少,所以很多学校经济类、管理类专业在本科期间所用教材并非理工类专业通常会使用的《高等数学》同济大学版,更多的学校本科阶段的教材是中国人民大学版《微积分》。
而考数学三的同学中在实际复习过程中使用哪一本教材的都有)(函数、极限、连续、一元函数微分学、一元函数积分学、多元函数微积分学、无穷级数、常微分方程与差分方程);线性代数(行列式、矩阵、向量、线性方程组、矩阵的特征值和特征向量、二次型);概率论与数理统计(随机事件和概率、随机变量及其分布、多维随机变量及其分布、随机变量的数字特征、大数定律和中心极限定理、数理统计的基本概念、参数估计、假设检验)。
考研的考试内容有哪些一、考研公共课:政治、英语一、英语二、俄语、日语、数学一、数学二、数学三,考研公共课由国家教育部统一命题。
各科的考试时间均为3小时。
考研的政治理论课(马原22分、毛中特30分、史纲14分、思修18分、形势与政策16分)。
考研的英语满分各为100分(完型10分、阅读理解60分、小作文10分、大作文20分)。
数学(其中理工科考数一、工科考数二、经管类考数三)满分为150分。
数一的考试内容分布:高数56%(84分)、线代22%(33分)、概率22%(33分);数二的内容分布:高数78%(117分)、线代22%(33分);数三的内容分布:高数56%(84分)、线代22%(33分)、概率22%(33分)。
这些科目的考试知识点和考试范围在各科考试大纲上有详细规定,一般变动不大,因此可以参照前一年的大纲,对一些变动较大的科目,必须以新大纲为准进行复习。
二、考研专业课统考专业课:由国家教育部考试中心统一命题,科目包括:西医综合、中医综合、计算机、法硕、历史学、心理学、教育学、农学。
其中报考教育学、历史学、医学门类者,考专业基础综合(满分为300分);报考农学门类者,考农学门类公共基础(满分150分)。
2023考研数学三真题试卷带答案解析(高清版)2024年全国硕士研究生入学考试数学(三)真题及参考答案2024年考研数学复习时间规划复习的阶段大致可以分为三个阶段:基础奠定,强化训练,模拟冲刺。
1、6月之前:夯实基础通过看老师的基础课程数,学习基础知识,有视频的可以结合视屏看,看完一节,知道里面讲的什么,公式、概念。
看完一章,结合之前做的笔记,复盘这一章的内容,主要将说明,各知识点都用在什么地方,然后刷一刷这一章的讲义。
看完一章视频或书籍之后,最后做一做三大计算+660题。
2、7-9月:强化训练方法同打基础阶段。
看完视频后做对应的习题330题。
3、10-11月20日:真题冲刺后期可以做一做近10年的真题了,从近往远做,越近的真题越要花时间研究,不懂的地方可以看看名师的知识点讲解。
真题的错题,尤其要弄懂。
4、11月20日-考前:模拟训练最后一两个星期,就需要持续的模拟考场做试卷的状态和题型,建议大家做一做模拟卷,网上就可以购买,一般12月初都出来了,挑自己喜欢的老师即可。
提示:不要看押题卷,知识点学就会后,以不变应万变。
考研必考科目政治、英语和专业课。
所有专业都会考查政治,虽然管理类联考初试不涉及,但复试会考查。
除小语种专业外,其他专业都会考查英语,主要有英语一和英语二。
考研专业分为13个学科大类,包含上百个专业,每一专业都会有自己的专业课考试。
考研初试科目:初试方式为笔试,共四个科目:两门公共课、两门业务课。
两门公共课:政治、英语一或英语二;业务课一:数学或专业基础;业务课二(分为13大类):哲学、经济学、法学、教育学、文学、历史学、理学、工学、农学、医学、军事学、管理学、艺术学等。
法硕、西医综合、中医综合、教育学、历史学、心理学、计算机、农学等属于统考专业课,其他非统考专业课都是各院校自主命题,具体考试科目请参照各大考研院校招生简章。
会计硕士(MPAcc)、图书情报硕士、工商管理硕士(MBA)、公共管理硕士(MPA)、旅游管理硕士、工程管理硕士和审计硕士只考两门,即:英语二和管理类联考综合能力。
2020年全国硕士研究生招生考试数学(三)(科目代码:303)一、选择题(1〜8小题,每小题4分,共32分.下列每题给出的四个选项中,只有一个选项是符合题目要求的,请将所选项前的字母写在题后的括号内.)(1)设1口心—°= b,则lim sinfQ)—sina=().x-^a x——a x-*a3C——a(A)6sin a(B)6cos a(C)6sin/(a)iIn I14-rr I(2)函数心)=二的第二类间断点的个数为((e—1)(j?—2)(A)l(B)2(03(3)设奇函数心)在(-00,-1-00)上具有连续导数,则().(A)f[cos/"(/)+/^(Olldr是奇函数J0(E)「[cos/(i)+/(O]d^是偶函数J0(C)[[cos/"'(/)+y(t)]d/是奇函数J0(D)「[cos是偶函数J0(D)bcos/(a) ).(D)4(4)设幕级数—2)"的收敛区间为(一2,6),则工a”Q+l)2n的收敛区间为().n=\n=1(A)(-2,6)(B)(-3,l)(0(-5,3)(D)(-17,15)(5)设4阶矩阵A=(a“)不可逆,a*的代数余子式A12丰O,aj,a2,a3,a,为矩阵A的列向量组,A*为A的伴随矩阵,则方程组A*X=0的通解为().(A)X=^1a1+^2a2+^3a3,其中k x,k2,k.为任意常数(B)X=^1a1+k2a2+k3a4,其中k,,k2,k3为任意常数(C)X=bS+展as+匕。
4,其中紅,k2,k3为任意常数(D)X=k i a2k2a3+怂。
4,其中ki,k2^k3为任意常数(6)设A为3阶矩阵,a】,a?为A的属于特征值1的线性无关的特征向量,as为A的属于特征I1°°\值一1的特征向量,则满足P_1AP=0-10的可逆矩阵卩为().'o01'(A)(a j a3,a2,—a3)(B)(a〕+ct2,a2,—a3)(C)(a1+a3,—a3,a2)(D)(a T+a2»—a3,a2)(7)设A,B,C为三个随机事件,且PC A)=P(£)=P(C)=±,P(AB)=O,P(AC)=P(BC)=2,412则A,B,C中恰有一个事件发生的概率为().3215(A)Z(B)T(C)7(D)12(8)设随机变量(X,Y)服从二维正态分布N(0,0;1,4;-,则下列随机变量中服从标准正态分布且与X相互独立的是().(A)啤(X+Y)(B)尝(X—丫)55(C)y(X+Y)(D)y(X-Y)二、填空题(9〜14小题,每小题4分,共24分.请将答案写在题中的横线上.)(9)设z=arctanRy+sin(z+了)],贝0dz|(0,…)=______.(10)曲线jc y+e2iy=0在点(0,—1)处的切线方程为________.(H)设某厂家生产某产品的产量为<2,成本C(Q)=100+13Q,该产品的单价为/,需求量—2,则该厂家获得最大利润时的产量为(12)设平面区域。
且喜平常度,切忌神慌乱。
畅游题海后,金榜题君名。
考试在即,祝你成功。
2023年考研数学三真题及答案一、选择题:1~10小题,每小题5分,共50分.在每小题给出的四个选项中,只有一个选项是最符合题目要求的,请将所选项前的字母填在答题纸指定位置上. 1. 已知函数(,)ln(|sin |)f x y y x y =+,则( ).A.(0,1)f x ∂∂不存在,(0,1)fy∂∂存在B.(0,1)f x ∂∂存在,(0,1)fy∂∂不存在C. (0,1)f x ∂∂存在,(0,1)fy∂∂存在D. (0,1)f x ∂∂不存在,(0,1)fy∂∂不存在【答案】A.【解析】由已知(,)ln(|sin |)f x y y x y =+,则(,1)ln(1|sin1|)f x x =+,(0,)ln f y y =.当0x >时,(,1)ln(1sin1)f x x =+,(0,1)0(,)d (,1)sin1d x f x y f x x x =∂==∂;当0x <时,(,1)ln(1sin1)f x x =-,(0,1)0(,)d (,1)sin1d x f x y f x x x =∂==-∂;所以(0,1)(,)f x y x ∂∂不存在.又(0,1)1(,)d (0,)1d y f x y f y y y=∂==∂,存在.故选A.2.函数0()(1)cos ,0x f x x x x ≤=+>⎩的一个原函数为( ).A.)ln ,0()(1)cos sin ,0x x F x x x x x ⎧≤⎪=⎨⎪+->⎩B.)ln 1,0()(1)cos sin ,0x x F x x x x x ⎧+≤⎪=⎨⎪+->⎩C.)ln ,0()(1)sin cos ,0x x F x x x x x ⎧≤⎪=⎨⎪++>⎩D.)ln 1,0()(1)sin cos ,0x x F x x x x x ⎧+≤⎪=⎨⎪++>⎩【答案】D.【解析】由已知0lim ()lim ()(0)1x x f x f x f +-→→===,即()f x 连续. 所以()F x 在0x =处连续且可导,排除A ,C.又0x >时,[(1)cos sin ]cos (1)sin cos (1)sin x x x x x x x x x '+-=-+-=-+, 排除B.故选D.3. 若0y ay by '''++=的通解在(,)-∞+∞上有界,则( ).A.0,0a b <>B.0,0a b >>C.0,0a b =<D.0,0a b =>【答案】D.【解析】微分方程0y ay by '''++=的特征方程为20r ar b ++=.①若240a b -<,则通解为212()e(cos sin )22a x y x C x C x -=+;②若240a b ->,则通解为2212()eea a x x y x C C ⎛⎛ -- ⎝⎭⎝⎭=+;③若240a b -=,则通解为212()()e a x y x C C x -=+.由于()y x 在(,)-∞+∞上有界,若02a ->,则①②③中x →+∞时通解无界,若02a-<,则①②③中x →-∞时通解无界,故0a =.0a =时,若0b > ,则1,2r =,通解为12()()y x C C =+,在(,)-∞+∞上有界.0a =时,若0b <,则1,2r =12()e y x C C =+,在(,)-∞+∞上无界.综上可得0a =,0b >.4. 设n n a b <,且1nn a∞=∑与1nn b∞=∑收敛,1nn a∞=∑绝对收敛是1nn b∞=∑绝对收敛的( ).A.充分必要条件B.充分不必要条件C.必要不充分条件D.既非充分又非必要条件【解析】由已知条件可知1()nn n ba ∞=-∑为收敛的正项级数,进而1()n n n b a ∞=-∑绝对收敛.设1nn a∞=∑绝对收敛,则由n n n n n n n b b a a b a a =-+≤-+与比较判别法,得1nn b∞=∑绝对收玫;设nb∞∑绝对收敛,则由n n n n n n n a a b b b a b =-+≤-+与比较判别法,得1nn a∞=∑绝对收敛.故选A.5.,A B 为可逆矩阵,E 为单位阵,*M 为M 的伴随矩阵,则*⎛⎫= ⎪⎝⎭A E O BA.****||||⎛⎫- ⎪⎝⎭A B B A O B AB.****||||⎛⎫- ⎪⎝⎭B A A B O A BC.****||||⎛⎫- ⎪⎝⎭B A B A OA BD.****|||⎛⎫- ⎪⎝⎭A B A B OB |A 【答案】B. 【解析】由于*||||||||⎛⎫⎛⎫⎛⎫⎛⎫== ⎪⎪ ⎪ ⎪⎝⎭⎝⎭⎝⎭⎝⎭A E A E A E E O A B O O B O B O B O E OA B ,故*1||||||||-⎛⎫⎛⎫⎛⎫= ⎪ ⎪ ⎪⎝⎭⎝⎭⎝⎭A E A E AB O O B O B O A B 1111||||||||----⎛⎫-⎛⎫= ⎪ ⎪⎝⎭⎝⎭A B O A A B O A B O B 1111||||||||||||----⎛⎫-= ⎪⎝⎭A A B A A B B O B A B ****||||⎛⎫-= ⎪⎝⎭A B A B OB A .故选B.. 6.222123121323(,,)()()4()f x x x x x x x x x =+++--的规范形为A.2212y y +B.2212y y -C.2221234y y y +-D.222123y y y +-【答案】B 【解析】222123121323(,,)()()4()f x x x x x x x x x =+++--222123121323233228x x x x x x x x x =--+++,二次型的矩阵为211134143⎛⎫ ⎪=- ⎪ ⎪-⎝⎭A ,211210||134(7)131143141λλλλλλλ---=--=+-----A E210(7)210(7)(3)0141λλλλλλ-=+-=-+-=-, 1233,7,0λλλ==-=,故规范形为2212y y -,故选B.7.已知向量组121212212,1,5,03191⎛⎫⎛⎫⎛⎫⎛⎫⎪ ⎪ ⎪ ⎪==== ⎪ ⎪ ⎪ ⎪ ⎪ ⎪ ⎪ ⎪⎝⎭⎝⎭⎝⎭⎝⎭ααββ ,若γ 既可由12,αα 线性表示,又可由12,ββ线性表示,则=γ( )A.33,4k k R ⎛⎫⎪∈ ⎪ ⎪⎝⎭ B. 35,10k k R ⎛⎫ ⎪∈ ⎪ ⎪⎝⎭C. 11,2k k R -⎛⎫ ⎪∈ ⎪ ⎪⎝⎭D. 15,8k k R ⎛⎫⎪∈ ⎪ ⎪⎝⎭【答案】D.【解析】设11223142k k k k =+=+γααββ,则11223142k k k k +--=0ααββ,对关于1234,,,k k k k 的方程组的系数矩阵作初等变换化为最简形,121212211003(,,,)2150010131910011--⎛⎫⎛⎫ ⎪ ⎪=--=-→- ⎪ ⎪ ⎪ ⎪--⎝⎭⎝⎭A ααββ,解得T T T T 1234(,,,)(3,1,1,1)(3,1,1,0)(33,1,1,)k k k k C C C C C =--+-=--+-,故=γ11221211(33)(1)5(1)5,8(1)8C k k C C C k k R C -⎛⎫⎛⎫⎪ ⎪+=-+-=-=∈ ⎪ ⎪ ⎪ ⎪-⎝⎭⎝⎭αααα.8.设X 服从参数为1的泊松分布,则(|()|)E X E X -=( ).A.1eB.12C.2eD.1【答案】C.【解析】方法一:由已知可得,1e {}(0,1,2,)!P X k k k -===L ,()1E X =,故111100|1|(1)(|()|)(|1|)e e e e!!k k k k E X E X E X k k ∞∞----==---=-==++∑∑12=2e (1)eE X -+-=. 故选C.方法二:由于0e !k xk x k ∞==∑,于是1111e 1(1)!(1)!k k x k k x x x k x k x +∞∞==--==++∑∑于是 1121111e 1(1)e 1(1)!(1)!(1)!k k k x x k k k kx x x x x k k x k x x -+∞∞∞==='''⎛⎫⎛⎫⎛⎫---+==== ⎪ ⎪ ⎪+++⎝⎭⎝⎭⎝⎭∑∑∑. 由已知可得,1e {}(0,1,2,)!P X k k k -===L ,()1E X =,故 111(1)(|()|)(|1|)e e !k k E X E X E X k ∞--=--=-=+∑111=e e (1)!k k k ∞--=++∑1121(1)e 1=e e x x x x --=-++112e e e --=+=. 111(|()|)(||)[e ()]e ()1e E X E X E Y E Y E X ----==+=+-=.故选C.9.设12,,,n X X X L 为来自总体21(,)N μσ的简单随机样本,12,,,m Y Y Y L 为来自总体22(,2)N μσ的简单随机样本,且两样本相互独立,记11ni i X X n ==∑,11m i i Y Y m ==∑,22111()1n i i S X X n ==--∑,22211()1m i i S Y Y m ==--∑,则( ) A. 2122(,)S F n m S : B. 2122(1,1)S F n m S --: C. 21222(,)S F n m S : D. 21222(1,1)S F n m S --: 【答案】D.【解析】由两样本相互独立可得212(1)n S σ-与222(1)2m S σ-相互独立,且 2212(1)(1)n S n χσ--:,2222(1)(1)2m S m χσ--:, 因此2122122222(1)(1)2(1,1)(1)(1)2n S n S F n m m S S m σσ--=----:,故选D.10. 已知总体X 服从正态分布2(,)N μσ,其中0σ>为未知参数,1X ,2X 为来自总体X的简单随机样本,记12ˆ||a X X σ=-,若µ()E σσ=,则a =( ).A.2B.2【答案】A.【解析】由与1X ,2X 为来自总体X 的简单随机样本,1X ,2X 相互独立,且21(,)X N μσ:,22(,)X N μσ:,因而212~(0,2)X X N σ-,令12Y X X =-,所以Y 的概率密度为2222()ey Y f y σ-⋅=,所以22222240(||)|ed 2ed y y E Y y y y σσ--+∞+∞⋅-∞===⎰⎰,由12ˆ()(||)E aE X X σσ=-=,即(||)aE Y a σ==,解得a =A.二、填空题:11~16小题,每小题5分,共30分.请将答案写在答题纸指定位置上.11.求极限211lim 2sincos x x x x x →∞⎛⎫--= ⎪⎝⎭____________. 【答案】23. 【解析】1220sin 2cos 11lim 2sincos limx tx t tt t x x x x t=→∞→--⎛⎫-- ⎪⎝⎭222230000sin 111cos sin 2limlimlim lim t t t t t ttt t t t t t t →→→→---=+=+1126=+ 23=. 12.已知函数(,)f x y 满足22d d d (,)x y y xf x y x y -=+,且(1,1)4f π=,则f =____________.【答案】3π. 【解析】由已知22(,)f x y y x x y ∂-=∂+,22(,)f x y xy x y ∂=∂+,则 22(,)d arctan ()y x f x y x y x y yϕ-==-++⎰, 所以22(,)()f x y xy y x yϕ∂'=+∂+,即()0y ϕ'=,()y C ϕ=, 从而(,)arctanxf x y C y=-+,又(1,1)4f π=,解得2C π=,故(,)arctan2x f x y yπ=-,arctan 233f ππ=-=.13.20(2)!nn x n ∞==∑____________.【答案】e e 2x x-+.【解析】令20()(2)!nn x S x n ∞==∑,则(0)1S =,且211()(21)!n n x S x n -∞='=-∑,(0)0S '=, 22210()()(22)!(2)!n nn n x x S x S x n n -∞∞==''===-∑∑,从而可得微分方程()()0S x S x ''-=,解得12()e e x xS x C C -=+,又(0)1S =,(0)0S '=,解得1212C C ==,故 20e e ()(2)!2n x xn x S x n -∞=+==∑. 14.某公司在t 时刻的资产为()f t ,则从0时刻到t 时刻的平均资产等于()f t t t-,假设()f t 连续且(0)0f =,则()f t =____________.【答案】2(e 1)t t --.【解析】由已知可得()d ()tf t t f t t tt=-⎰,整理变形20()d ()t f t t f t t =-⎰,等式两边求导()()2f t f t t '=-,即()()2f t f t t '-=,解得一阶线性微分方程通解为()2(1)e t f t t C =-++,又(0)0f =,解得2C =,故()2(e 1)tf t t =--.15. 13123123121,0,20,2ax x x ax x x x ax ax bx +=⎧⎪++=⎪⎨++=⎪⎪+=⎩ 有解,其中,a b 为常数,若0111412a a a= ,则11120a a ab =________. 【答案】8【解析】方程组有解,则0111101110||12211012001202a a a a a a a ab aa b ==-+=A ,故111280a a ab =.16. 设随机变量X 与Y 相互独立,且()1,X B p :,()2,Y B p :,(0,1)p ∈则X Y+与XY -的相关系数为____________.【答案】13-【解析】由题意可得,()(1)D X p p =-,()2(1)D Y p p =-,又由X 与Y 相互独立可知,()()()D X Y D X D Y ±=+,故(,)X Y X Y ρ+-==()()(1)2(1)1()()(1)2(1)3D X D Y p p p p D X D Y p p p p ----===-+-+-三、解答题:17~22小题,共70分.解答应写出文字说明、证明过程或演算步骤. 17.(本题满分10分)已知函数()y y x =满足2e ln(1)cos 0xa y y x yb ++-++=,且(0)0,(0)0y y '==.(1)求,a b 的值;(2)判断0x =是否为函数()y y x =的极值点.【解】(1)将(0)0y =代入2e ln(1)cos 0x a y y x y b ++-++=得0a b +=. 方程2e ln(1)cos 0x a y y x y b ++-++=两边对x 求导得1e 2cos ln(1)sin 01x a yy y y x y y x'''++-++⋅=+, 将(0)0y '=代入上式得10a -=,解得1,1a b ==-.(2)由(1)知1e 2cos ln(1)sin 01xyy y y x y y x'''++-++⋅=+,上式两边再对x 求导得 22111e 2()2cos sin sin ln(1)cos ln(1)sin (1)11x y yy y y y y y x y y y x y y x x x ⎡⎤''''''''+++++⋅+++⋅++⋅⎢⎥+++⎣⎦将(0)0,(0)0y y '==代入上式得(0)2y ''=-,所以0x =是函数()y y x =的极大值点.18.(本题满分12分)已知平面区域(,)|01D x y y x ⎧⎫=≤≤≥⎨⎬⎩⎭, (1)求平面区域D 的面积S .(2)求平面区域D 绕x 一周所形成得旋转体的体积 【解】(1)222144sec 1d d tan sec sin t S x t t t t tππππ+∞===⎰⎰⎰222244sin 1d d cos sin 1cos t t t tt ππππ==--⎰⎰241cos 11ln2cos 12t t ππ-==+. (2) 222211111d d 1(1)14V x x x x x x ππππ+∞+∞⎛⎫⎛⎫==-=- ⎪ ⎪++⎝⎭⎝⎭⎰⎰. 19.(本题满分12分)已知22{(,)|(1)1}D x y x y =-+≤,求1|d d Dx y -⎰⎰.【解】令22221{(,)|(1)1,1}D x y x y x y =-+≤+≤,则|1|d d Dx y ⎰⎰)(111d d 1d d D D D x y x y -=+⎰⎰⎰⎰)(11d d 21d d DD x y x y =+⎰⎰⎰⎰2cos 122232cos 234327d d 2d d 39ππθππθππρρθπρρθ---=-+=⎰⎰⎰⎰20.(本题满分12分)设函数()f x 在[,]a a -上有二阶连续导数.(1)证明:若(0)0f =,存在(,)a a ξ∈-,使得21()[()()]f f a f a aξ''=+-; (2)若()f x 在(,)a a -上存在极值,证明:存在(,)a a η∈-,使得21|()||()()|2f f a f a a η''≥--. 【证明】(1)将()f x 在00x =处展开为22()()()(0)(0)(0)2!2!f x f x f x f f x f x δδ''''''=++=+,其中δ介于0与x 之间.分别令x a =-和x a =,则21()()(0)()2!f a f a f a ξ'''-=-+,10a ξ-<<,22()()(0)()2!f a f a f a ξ'''=+,20a ξ<<,两式相加可得212()()()()2f f f a f a a ξξ''''+-+=,又函数()f x 在[,]a a -上有二阶连续导数,由介值定理知存在ξ∈12[,](,)a a ξξ⊂-,使得12()()()2f f f ξξξ''''+=,即21()[()()]f f a f a a ξ=-+. (2)设()f x 在0x 处取得极值,则0()0f x '=.将()f x 在0x 处展开为22000000()()()()()()()()()2!2!f x x f x x f x f x f x x x f x δδ''''--'=+-+=+, 其中δ介于0x 与x 之间.分别令x a =-和x a =,则2100()()()()2!f a x f a f x η''+-=+,10a x η-<<, 2200()()()()2!f a x f a f x η''-=+,02x a η<<, 两式相减可得222010()()()()()()22f a x f a x f a f a ηη''''-+--=-, 所以222010()()()()|()()|22f a x f a x f a f a ηη''''-+--=-221020|()|()|()|()22f a x f a x ηη''''+-≤+220012|()|[()()](|()|max(|()|,|()|))2f a x a x f f f ηηηη''''''''≤++-= 2200|()|[()()]2|()|2f a x a x a f ηη''''≤++-=,即21|()||()()|2f f a f a aη''≥--.21.(本题满分12分)设矩阵A 满足对任意的123,,x x x 均有112321233232x x x x x x x x x x x ++⎛⎫⎛⎫ ⎪ ⎪=-+ ⎪ ⎪ ⎪ ⎪-⎝⎭⎝⎭A . (1)求A(2)求可逆矩阵P 与对角阵Λ,使得1-=P AP Λ.【解】(1)由112321233232x x x x x x x x x x x ++⎛⎫⎛⎫⎪ ⎪=-+ ⎪ ⎪ ⎪ ⎪-⎝⎭⎝⎭A ,得112233*********x x x x x x ⎛⎫⎛⎫⎛⎫ ⎪ ⎪⎪=- ⎪ ⎪⎪ ⎪ ⎪⎪-⎝⎭⎝⎭⎝⎭A , 即方程组123111211011x x x ⎡⎤⎛⎫⎛⎫⎢⎥ ⎪ ⎪--=⎢⎥ ⎪ ⎪⎪ ⎪⎢⎥-⎝⎭⎝⎭⎣⎦0A 对任意的123,,x x x 均成立,故111211011⎛⎫ ⎪=- ⎪ ⎪-⎝⎭A . (2)111101||211(2)20011011λλλλλλλλ---=--=+-----A E ,(2)(2)(1)0λλλ=-+-+=,特征值为1232,2,1λλλ=-==-.3111002211011011000⎛⎫⎛⎫ ⎪ ⎪+=→ ⎪ ⎪ ⎪ ⎪⎝⎭⎝⎭A E ,1011⎛⎫ ⎪=- ⎪ ⎪⎝⎭α;1111042231013013000--⎛⎫⎛⎫ ⎪ ⎪-=-→- ⎪ ⎪ ⎪ ⎪-⎝⎭⎝⎭A E ,2431⎛⎫ ⎪= ⎪ ⎪⎝⎭α;211201************⎛⎫⎛⎫ ⎪ ⎪+=→- ⎪ ⎪ ⎪ ⎪⎝⎭⎝⎭A E ,3102-⎛⎫ ⎪= ⎪ ⎪⎝⎭α,令123041(,,)130112-⎛⎫ ⎪==- ⎪ ⎪⎝⎭P ααα ,则1200020001--⎛⎫⎪== ⎪ ⎪-⎝⎭P AP Λ.22.(本题满分12分)设随机变量X 的概率密度函数为2e (),(1e )xx f x x =-∞<<+∞+,令e X Y =. (1)求X 的分布函数; (2)求Y 的概率密度函数; (3)判断Y 的数学期望是否存在.【解】(1)设X 的分布函数为()X F x ,由分布函数的定义可得2e 1(){}()d d 1,(1e )1et xxX t t F x P X x f x x t x -∞-∞=≤===--∞<<+∞++⎰⎰. (2)设Y 的分布函数为()Y F y ,概率密度为()Y f y ,由分布函数的定义可得(){}{e }X Y F y P Y y P y =≤=≤,当0y ≤时,()0Y F y =; 当0y >时,1(){}{ln }(ln )11Y X F y P Y y P X y F y y=≤=≤==-+. 综上,00,()110.1Y y F y y y ≤⎧⎪=⎨->⎪+⎩,, 故Y 的概率密度函数200,()10.(1)Y y f y y y ≤⎧⎪=⎨>⎪+⎩,,(3)由(2)知,220011()()d d d (1)(1)Y yy E Y yf y y y y y y +∞+∞+∞-∞+-===++⎰⎰⎰20011d d 1(1)y y y y +∞+∞=-++⎰⎰ 01ln(1)=1y y +∞⎡⎤=+++∞⎢⎥+⎣⎦, 故Y 的数学期望不存在.。
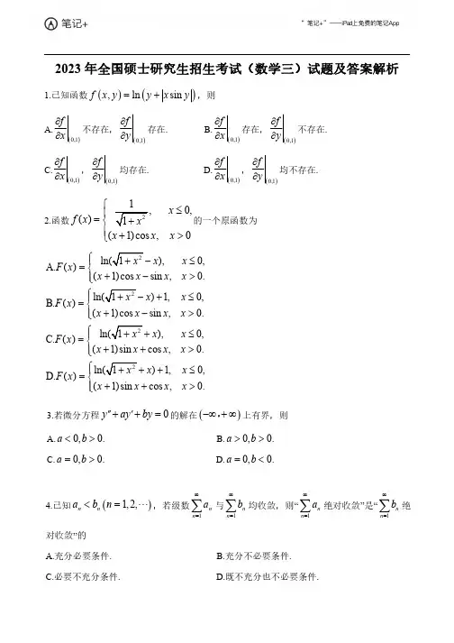
2023年全国硕士研究生招生考试(数学三)试题及答案解析1.已知函数,ln sin f x y y x y ,则A. 0,1fx 不存在,0,1f y 存在.B. 0,1fx 存在,0,1f y 不存在.C. 0,1fx ,0,1f y均存在.D. 0,1fx ,0,1f y均不存在.x 0,2.函数f (x )(x 1)cos x ,x 0的一个原函数为 x ),x 0,A.F (x )(x 1)cos x sin x ,x 0. x ) 1,x 0,B.F (x )(x 1)cos x sin x ,x 0. x ),x 0,C.F (x )(x 1)sin x cos x ,x 0. x ) 1,x 0,D.F (x )(x 1)sin x cos x ,x 0.上有界,则B.a 0,b 0.D.a 0,b 0.3.若微分方程y ay by 0的解在 ,A.a 0,b 0.C.a 0,b 0.4.已知a n b nn 1n 1,2, ,若级数n 1an与n 1bn均收敛,则“n 1an绝对收敛”是“bn绝B.充分不必要条件.D.既不充分也不必要条件.对收敛”的A.充分必要条件.C.必要不充分条件.5.设,A B 为n 阶可逆矩阵,E 为n 阶单位矩阵, M 为矩阵M 的伴随矩阵,则=A E OB A..A B B A O B A B..B A A B O A B C..B A B A OA B D..A B A B OB A 6二次型f x 1,x 2,x 3 x 1 x 22x 1 x 324 x 2 x 32的规范形为A.y 12y 22B.y 12y 22C.y 12y 224y 32D.y 12y 22y 322311 12 2 15 09 17.已知向量α1 ,α2 ,β1 ,β2 ,若γ既可由α1,α2线性表示,也可由β1,β2线性表示,则γ 34 3A.k,k R50 3 B.k1 ,k R1 2 1 C.k,k R1 D.k 58,k R8.设随机变量X 服从参数为1的泊松分布,则EA.1eB.12C.X EX2eD.19.设X 1,X 2, ,X n 为来自总体N1,2的简单随机样本,Y 1,Y 2, ,Ym为来自总体N 2,2 2 的简单随机样本,且两样本相互独立,记111111n m n m i i n m n m i 1i 1X X i ,Y Y i ,S 12 X i X 2,S 22Y i Y1 1 2,则A. 2122,S F n m S B. 21221,1S F n m S C. 21222,S F n m S D. 212221,1S F n m S 10.设X 1,X 2为来自总体N,2的简单随机样本,其中 0 是未知参数.记a X 1 X 2,若E,则aA.2B.2二、填空题1111.l x x x i mx 22 x sin cos _______.2πx d y y d x x y 12.已知函数f (x ,y )满足d f (x ,y ),f 1,1 24则f .!=2nx 2nn 013. .14.设某公司在t 时刻的资产为f (t ),从0时刻到t 时刻的平均资产等于f (t )tt ,假设f (t )连续且f (0)=0,则f (t )=1231230,20x ax x x ax 15.已知线性方程组 x ax 1 bx 2 2,有解,其中a ,b 为常数,若a110a211a 4,则1a 112aa b 0.16.设随机变量X 与Y 相互独立,且X B 1,p ,Y B 2,p ,p 0,1 ,则X +Y 与X Y .的相关系数为三、解答题17.已知可导函数y =y (x )满足ae x y 2 y ln(1 x )cos y b 0,且y (0) 0,y '(0) 0.(1)求a ,b 的值;(2)判断x 0是否为y (x )的极值点.18.已知平面区域D ={(x,y )|0 y x 1}.(1)求D 的面积;(2)求D 绕x 轴旋转所成旋转体的体积.D1|d x d y .19.已知平面区域D {(x ,y )|(x 1)2 y 2 1}.计算二重积分 |20.(12分)设函数f (x )在[-a ,a ]上具有2阶连续导数,证明:1a(1)若f (0)=0,则存在 a ,a ,使得f ''( )2[f (a ) f ( a )];(2)若f(x )在(-a ,a )内取得极值,则存在 a ,a 使得1.2f ''a2f (a ) f ( a )12x 1x 2x 3x 1x 2x 3x21.设矩阵A 满足对任意x 1,x 2,x 3均有A2 . x x3 x 2 x 3(1)求A ;(2)求可逆矩阵P 与对角矩阵 ,使得P 1AP Λ.xx22.设随机变量变量X 的概率密度为f x 1 e e 2, x ,令Y e x.(1)求X 的分布函数;(2)求Y 的概率密度;(3)Y的期望是否存在?2023年全国硕士研究生入学统一考试数学三答案一、选择题1.A2.D3.C4.A5.D6.B7.D8.C9.D10.A空题11、二、填23π12、113、e x2+2e −x14、f (t )=2(1-t )-2e t 15、816、p (p-1)将y (0) 0代入ae x2yy y1 1xcos y ln(1 x )(sin y )y 0得a 0 1 0,所以a 1b 1 1xcos y ln(1 x )sin y y 0(2)由e x2yy y1两边对x 求导,得:(1)将(0,0)代入得a b 01e x 2 y 22yy y(1 1x )2cos y 11xsin ysin y y ln(1 x ) 2sin yy cos y y 01 x代入,得1 y (0) 1 0,y (0) 2 0,x 0为极大值.17【解析】2141tan ttan t xsec t (1)24se tan c tsec 2tdt 4t dt2csc tdt1)21(2)11 1x 2 x 2dx 112 1 1x 2 x dx 4)dx (1 18【解析】D 1 {(x ,y ∣)x 2 y 2 1,(x 1)2 y 2 1 )x 2 y 2 1,(x 1)2 y 2 1D 2 (x ,y∣D 1D 2d x d y1 1d x d y原式=161310829D 12cos2d 1 1 r r d r 1πd x d y 2 6d 1 r r d r 2其中 19【解析】π2π022259182D 2DD 1D 1d x d y 2cos1 1 1 r 1 r d r1 π d x d yd x d yd x d y d所以4439π原式=.1 x 22f【解析】(1)f (x ) f (0) f (0)x 1 22f 112f a 2,f ( a ) f (0)( a ) a 2,其中 1 a ,0 ,则f (a ) f(0)a2 0,a .12 1 2 f ( a ) f (a )ff a 212 1 2 ff 2f (a )a f ( a ) f , 1, 2 a ,a ,由介值定理可知平均值 即证(2)x 0 0设f (x )在x =x 0处取得极值即x 0 ( a a ),f22x 0( )ff (x ) f x 0 f x x 0 x x 020代入x a ,x a21f f ( a ) f x 0 a x 02(1), 1 a ,x 02n 1f f (a ) f x 0a x 02(2), 2 x 0,a(2)-(1)得222100()()22f f f a f a a x a x222100|()()|22f f f a f a a x a x2200()()22f f a x a x 2200()2f a x a x 220()222f a x220()f a x2()2f a ,12 ()max f f f 其中,,a a 21()|()()|2f f a f a a. 21.【解析】12123311111011x x x xx x2(1)由题可知,A 11.2011 111A (2)|A E | (2 )(2)( 1) 01232,1,2A 中1 A 中对应的线性无关特征向量1(4,3,1).T 2 A 中对应的线性无关特征向量21,0,12T3 A 中对应的线性无关特征向量3(0,1,1)123,,p 1212P AP22.【解析】xf (t )dt ( x )(1)F (x ) txt e 2dte121 1xt d e te1t x1 e 11 1e x(2) 当0y 时22111()(ln )(1)(1)Y X y f y f y y y y y 210(1)()0 Y y y f y其它 (3) 20d (1)EY y y y,2(1)y y 1y ,所以期望不存在.。
2023 考研数学三真题及解析一、选择题:1~10 小题,每小题 5 分,共 50 分.在每小题给出的四个选项中,只有一个选项是最符合题目要求的,请将所选项前的字母填在答题纸指定位置上.1.已知函数 f( ,x y ) = ln ( y + x sin y ),则( ).(A )()0,1f x ∂∂不存在,()0,1fy∂∂存在(B )()0,1f x∂∂存在,()0,1fy ∂∂不存在(C )()0,1f x∂∂()0,1f y∂∂均存在(D )()0,1f x∂∂()0,1f y∂∂均不存在【答案】(A )【解析】 本题考查具体点偏导数的存在性,直接用定义处理,()0,10f =()()()()0,1000ln 1sin1sin1,10,1sin1,0lim lim limsin1,0x x x x x f x f x fx x x x x +−→→→+ −→∂=== ∂−→ 故()0,1f x∂∂不存在()()()0,1110,0,1ln lim lim 111y y f y f f y y y y →→−∂===∂−−,()0,1f y∂∂存在,选(A )2.函数() 0,()1cos ,0.x f x x x x ≤=+>的一个原函数是( )(A)), 0,()(1)cos sin ,0.x x F x x x x x −≤= +−>(B))1, 0,()(1)cos sin ,0.x x F x x x x x +≤=+−>(C)), 0,()(1)sin cos ,0.x x F x x x x x −≤= ++>(D))1, 0,()(1)sin cos ,0.x x F x x x x x +≤=++> 【答案】(D) .【分析】本题主要考查原函数的概念,分段函数不定积分的求法以及函数可导与连续的关系.【详解】由于当0x <时,)1()lnF xx x C==+∫当0x >时,()()2()1cos d 1sin cos F x x x x x x x C =+=+++∫由于()F x 在0x =处可导性,故()F x 在0x =处必连续因此,有00lim ()lim ()x x F x F x −+→→=,即 121C C =+.取20C =得)1, 0,()(1)sin cos ,0.x x F x x x x x −+≤= ++> 应选(D) .【评注】此题考查分段函数的不定积分,属于常规题,与2016年真题的完全类似,在《真题精讲班》系统讲解过. 原题为已知函数2(1),1,()ln , 1.x x f x x x −< = ≥则()f x 的一个原函数是( )(A) 2(1),1,()(ln 1), 1.x x F x x x x −<= −≥ (B) 2(1),1,()(ln 1)1, 1.x x F x x x x −<=+−≥ (C) 2(1),1,()(ln 1)1, 1.x x F x x x x −<= ++≥ (D) 2(1),1,()(ln 1)1, 1.x x F x x x x −<= −+≥3.若微分方程0y ay by ′′′++=的解在(,)−∞+∞上有界,则( )(A )00a b <>, (B )00a b >>, (C )00a b =>, (D )00a b =<, 【答案】(C )【解析】特征方程为20r ar b ++=,解得1,2r =.记24a b ∆=−当0∆>时,方程的通解为1212()e e r x r x yx c c ⋅⋅=+,当12,c c 不全为零时()y x 在(,)−∞+∞上无界.当12,c c 不全为零时()y x 在(,)−∞+∞上无界.当0∆=时,1202ar r −=<=,方程的通解为1112()e e r x r x yx c c x =+,当12,c c 不全为零时()y x 在(,)−∞+∞上无界.当0∆<时,1,22a r i β=−±,方程的通解为()212()e cos sin axy x c x c x ββ−=+. 只有当0a =,且240a b ∆=−<,即0b >时,lim ()lim ()0x x y x y x →+∞→−∞==,此时方程的解在(,)−∞+∞上有界. 故选(C )【评注】此题关于x →+∞方向的讨论,在《基础班》习题课上讲解过,见《基础班》习题课第八讲《常微分方程》第15题.4.已知()1,2,n n a b n <=,若1nn a∞=∑与1n n b ∞=∑均收敛.则1nn a∞=∑绝对收敛是1n n b ∞=∑绝对收敛的( )(A )充分必要条件 (B )充分不必要条件 (C )必要不充分条件(D )既非充分也非必要条件 【答案】(A ) 【解析】由题设条件知()1nn n ba ∞=−∑为收敛的正项级数,故()1n n n b a ∞=−∑也是绝对收敛的若1nn a∞=∑绝对收敛,则n n n n n n n b b a a b a a =−+≤−+,由比较判别法知,1n n b ∞=∑绝对收敛;若1n n b ∞=∑绝对收敛,则则nn n n n n n aa b b a b b =−+≤−+,由比较判别法知,1n n a ∞=∑绝对收敛;故应选(A )【评注】本题考查正项级数的比较判别法,及基本不等式放缩.关于上述不等式《基础班》第一讲在讲解数列极限定义时就反复强调过.5.设A,B 分别为n 阶可逆矩阵,E 是n 阶单位矩阵,*M 为M 的伴随矩阵,则AE OB 为( ) (A )*****−A B B A O A B (B )****− A B A B OB A(C )****−B A B A OA B (D )****−B A A B OA B 【答案】(D )【解析】由分块矩阵求逆与行列式的公式,结合1∗−=A A A 得11111∗−−−−− −==A E A E A E E A A AB B O B O B O B O B ∗∗∗∗−=B O A A A B B 选(D )【评注】这钟类型的题在02年,09年均考过完全类似的题,《基础班》第二讲也讲过,原题为【例1】设,A B ∗∗分别为n 阶可逆矩阵,A B 对应的伴随矩阵,∗∗=A O C O B6.二次型()()()222123121323(,,)4f x x x x x x x x x =+++−−的规范形为( ). (A )2212y y + (B )2212y y −(C )222123y y y −−(D )222123y y y +−【答案】(B )【详解】因为123(,,)f x x x 222123121323233228x x x x x x x x x =−−+++方法1.二次型的矩阵为 211134143 =− −A , 由()()211134730143λλλλλλλ−−−−=−+−=+−=−−+E A ,得特征值为0,7,3−,故选(B )方法2.()222123123121323,,233228f x x x x x x x x x x x x =−−+++()()()22232322211232323233842x x x x x x x x x x x x ++=+++−−−+ 222222322332323126616222x x x x x x x x x x x +++++−=+−()22231237222x x x x x +=+−− 故所求规范形为()2212312,,f x x x y y =−【评注】本题考查二次型的规范形,与考查正负惯性指数是同一类题,在《基础班》《强化班》均讲过. 《解题模板班》类似例题为【11】设123123(,,),(,,)T T a a a b b b αβ==,,αβ线性无关,则二次型123112233112233(,,)()()f x x x a x a x a x b x b x b x =++++的规范型为( ).(A)21y (B) 2212y y + (C) 2212y y − (D) 222123y y y ++7.已知向量12121,,1222150390,1====ααββ,若γ既可由12,αα表示,也由与12,ββ表示,则=γ( ).(A )334k (B )3510k(C )112k − (D )158k【答案】(D ) 【解析】由题意可设11212212x y x y +==+γααββ,只需求出21,x x 即可即解方程组112112220x y y x +−−=ααββ()121212211003,,2150010131910011,−−−−=−→− −−ααββ 得()()2211,,1,3,,1,1TTx k x y y =−−,k 为任意常数11221212133215318x k k k k k x+=−+=−+=−=γαααα,故选(D )【评注】1.此题与《强化班》讲义第三讲练习第12题完全类似,原题为【12】(1)设21,αα,21,ββ均是三维列向量,且21,αα线性无关, 21,ββ线性无关,证明存在非零向量ξ,使得ξ既可由21,αα线性表出,又可由21,ββ线性表出.(2)当 =4311α,=5522α:1231β= − ,2343β−=−时,求所有既可由21,αα线性表出,又可21,ββ线性表出的向量。
2023年考研数学三真题及答案一、选择题:1~10小题,每小题5分,共50分.在每小题给出的四个选项中,只有一个选项是最符合题目要求的,请将所选项前的字母填在答题纸指定位置上. 1. 已知函数(,)ln(|sin |)f x y y x y =+,则( ). A.(0,1)f x ∂∂不存在,(0,1)fy ∂∂存在 B.(0,1)f x ∂∂存在,(0,1)fy ∂∂不存在 C. (0,1)f x ∂∂存在,(0,1)fy ∂∂存在 D.(0,1)f x ∂∂不存在,(0,1)fy ∂∂不存在 【答案】A.【解析】由已知(,)ln(|sin |)f x y y x y =+,则(,1)ln(1|sin1|)f x x =+,(0,)ln f y y =.当0x >时,(,1)ln(1sin1)f x x =+,(0,1)0(,)d (,1)sin1d x f x y f x x x =∂==∂;当0x <时,(,1)ln(1sin1)f x x =-,(0,1)0(,)d (,1)sin1d x f x y f x x x=∂==-∂;所以(0,1)(,)f x y x ∂∂不存在.又(0,1)1(,)d (0,)1d y f x y f y y y=∂==∂,存在.故选A.2.函数0()(1)cos ,0x f x x x x ≤=+>⎩的一个原函数为( ).A.)ln ,0()(1)cos sin ,0x x F x x x x x ⎧≤⎪=⎨⎪+->⎩B.)ln 1,0()(1)cos sin ,0x x F x x x x x ⎧+≤⎪=⎨⎪+->⎩C.)ln ,0()(1)sin cos ,0x x F x x x x x ⎧≤⎪=⎨⎪++>⎩D.)ln 1,0()(1)sin cos ,0x x F x x x x x ⎧+≤⎪=⎨⎪++>⎩【答案】D.【解析】由已知0lim ()lim ()(0)1x x f x f x f +-→→===,即()f x 连续. 所以()F x 在0x =处连续且可导,排除A ,C.又0x >时,[(1)cos sin ]cos (1)sin cos (1)sin x x x x x x x x x '+-=-+-=-+, 排除B.故选D.3. 若0y ay by '''++=的通解在(,)-∞+∞上有界,则( ).A.0,0a b <>B.0,0a b >>C.0,0a b =<D.0,0a b =>【答案】D.【解析】微分方程0y ay by '''++=的特征方程为20r ar b ++=.①若240a b -<,则通解为212()e(cos sin )22a x y x C x C x -=+;②若240a b ->,则通解为2212()eeaax x y x C C ⎛⎛ -- ⎝⎭⎝⎭=+;③若240a b -=,则通解为212()()e a x y x C C x -=+.由于()y x 在(,)-∞+∞上有界,若02a ->,则①②③中x →+∞时通解无界,若02a-<,则①②③中x →-∞时通解无界,故0a =.0a =时,若0b > ,则1,2r =,通解为12()()y x C C =+,在(,)-∞+∞上有界.0a =时,若0b <,则1,2r =12()e y x C C =+,在(,)-∞+∞上无界.综上可得0a =,0b >.4. 设n n a b <,且1nn a∞=∑与1nn b∞=∑收敛,1nn a∞=∑绝对收敛是1nn b∞=∑绝对收敛的( ).A.充分必要条件B.充分不必要条件C.必要不充分条件D.既非充分又非必要条件【解析】由已知条件可知1()nn n ba ∞=-∑为收敛的正项级数,进而1()n n n b a ∞=-∑绝对收敛.设1nn a∞=∑绝对收敛,则由n n n n n n n b b a a b a a =-+≤-+与比较判别法,得1nn b∞=∑ 绝对收玫;设nb∞∑绝对收敛,则由n n n n n n n a a b b b a b =-+≤-+与比较判别法,得1nn a∞=∑绝对收敛.故选A.5.,A B 为可逆矩阵,E 为单位阵,*M 为M 的伴随矩阵,则*⎛⎫= ⎪⎝⎭A E O BA.****||||⎛⎫- ⎪⎝⎭A B B A OB AB.****||||⎛⎫- ⎪⎝⎭B A A B OA B C.****||||⎛⎫- ⎪⎝⎭B A B A OA BD.****|||⎛⎫- ⎪⎝⎭A B A B OB |A 【答案】B. 【解析】由于*||||||||⎛⎫⎛⎫⎛⎫⎛⎫== ⎪⎪ ⎪ ⎪⎝⎭⎝⎭⎝⎭⎝⎭A E A E A E E O A B O O B O B O B O E OA B ,故*1||||||||-⎛⎫⎛⎫⎛⎫= ⎪ ⎪ ⎪⎝⎭⎝⎭⎝⎭A E A E A B O O B O B OA B1111||||||||----⎛⎫-⎛⎫= ⎪ ⎪⎝⎭⎝⎭A B O A A B O A B O B 1111||||||||||||----⎛⎫-= ⎪⎝⎭A A B A A B B O B A B ****||||⎛⎫-= ⎪⎝⎭A B A B O B A .故选B..6. 222123121323(,,)()()4()f x x x x x x x x x =+++--的规范形为 A.2212y y +B.2212y y -C.2221234y y y +-D.222123y y y +-【答案】B【解析】222123121323(,,)()()4()f x x x x x x x x x =+++--222123121323233228x x x x x x x x x =--+++,二次型的矩阵为211134143⎛⎫ ⎪=- ⎪ ⎪-⎝⎭A ,211210||134(7)131143141λλλλλλλ---=--=+-----A E210(7)210(7)(3)0141λλλλλλ-=+-=-+-=-, 1233,7,0λλλ==-=,故规范形为2212y y -,故选B.7.已知向量组121212212,1,5,03191⎛⎫⎛⎫⎛⎫⎛⎫⎪ ⎪ ⎪ ⎪==== ⎪ ⎪ ⎪ ⎪ ⎪ ⎪ ⎪ ⎪⎝⎭⎝⎭⎝⎭⎝⎭ααββ ,若γ 既可由12,αα 线性表示,又可由12,ββ线性表示,则=γ( )A.33,4k k R ⎛⎫⎪∈ ⎪ ⎪⎝⎭ B.35,10k k R ⎛⎫ ⎪∈ ⎪ ⎪⎝⎭C. 11,2k k R -⎛⎫ ⎪∈ ⎪ ⎪⎝⎭D. 15,8k k R ⎛⎫ ⎪∈ ⎪⎪⎝⎭【答案】D.【解析】设11223142k k k k =+=+γααββ,则11223142k k k k +--=0ααββ,对关于1234,,,k k k k 的方程组的系数矩阵作初等变换化为最简形,121212211003(,,,)2150010131910011--⎛⎫⎛⎫ ⎪ ⎪=--=-→- ⎪ ⎪ ⎪ ⎪--⎝⎭⎝⎭A ααββ,解得T T T T1234(,,,)(3,1,1,1)(3,1,1,0)(33,1,1,)k k k k C C C C C =--+-=--+-,故=γ11221211(33)(1)5(1)5,8(1)8C k k C C C k k R C -⎛⎫⎛⎫⎪ ⎪+=-+-=-=∈ ⎪ ⎪ ⎪ ⎪-⎝⎭⎝⎭αααα. 8.设X 服从参数为1的泊松分布,则(|()|)E X E X -=( ).A.1eB.12C.2eD.1【答案】C.【解析】方法一:由已知可得,1e {}(0,1,2,)!P X k k k -===,()1E X =,故 111100|1|(1)(|()|)(|1|)e e e e!!k k k k E X E X E X k k ∞∞----==---=-==++∑∑12=2e (1)eE X -+-=.故选C.方法二:由于0e !k xk x k ∞==∑,于是1111e 1(1)!(1)!k k x k k x x x k x k x +∞∞==--==++∑∑于是1121111e 1(1)e 1(1)!(1)!(1)!k k k x x k k k kx x x x x k k x k x x -+∞∞∞==='''⎛⎫⎛⎫⎛⎫---+==== ⎪ ⎪ ⎪+++⎝⎭⎝⎭⎝⎭∑∑∑. 由已知可得,1e {}(0,1,2,)!P X k k k -===,()1E X =,故 111(1)(|()|)(|1|)e e !k k E X E X E X k ∞--=--=-=+∑111=e e (1)!k k k ∞--=++∑1121(1)e 1=e ex x x x --=-++112e e e --=+=. 111(|()|)(||)[e ()]e ()1e E X E X E Y E Y E X ----==+=+-=.故选C. 9.设12,,,n X X X 为来自总体21(,)N μσ的简单随机样本,12,,,m Y Y Y 为来自总体22(,2)N μσ的简单随机样本,且两样本相互独立,记11n i i X X n ==∑,11mi i Y Y m ==∑,22111()1n i i S X X n ==--∑,22211()1m i i S Y Y m ==--∑,则( ) A. 2122(,)S F n m S B. 2122(1,1)S F n m S --C.21222(,)S F n m S D. 21222(1,1)S F n m S --【答案】D.【解析】由两样本相互独立可得212(1)n S σ-与222(1)2m S σ-相互独立,且2212(1)(1)n S n χσ--,2222(1)(1)2m S m χσ--,因此2122122222(1)(1)2(1,1)(1)(1)2n S n S F n m m S S m σσ--=----,故选D.10. 已知总体X 服从正态分布2(,)N μσ,其中0σ>为未知参数,1X ,2X 为来自总体X的简单随机样本,记12ˆ||a X X σ=-,若()E σσ=,则a =( ).A.2B.2C.【答案】A.【解析】由与1X ,2X 为来自总体X 的简单随机样本,1X ,2X 相互独立,且21(,)X N μσ,22(,)X N μσ,因而212~(0,2)X X N σ-,令12Y X X =-,所以Y 的概率密度为2222()ey Y f y σ-⋅=,所以22222240(||)|ed 2ed y y E Y y y y σσ--+∞+∞⋅-∞===⎰⎰,由12ˆ()(||)E aE X X σσ=-=,即(||)aE Y a σ==,解得2a =,故选A.二、填空题:11~16小题,每小题5分,共30分.请将答案写在答题纸指定位置上.11.求极限211lim 2sincos x x x x x →∞⎛⎫--= ⎪⎝⎭____________. 【答案】23. 【解析】122sin 2cos 11lim 2sincos limx tx t tt t x x x x t =→∞→--⎛⎫-- ⎪⎝⎭222230000sin 111cos sin 2limlim lim lim t t t t t ttt t t tt t t →→→→---=+=+1126=+ 23=. 12.已知函数(,)f x y 满足22d d d (,)x y y x f x y x y -=+,且(1,1)4f π=,则f = ____________.【答案】3π. 【解析】由已知22(,)f x y y x x y ∂-=∂+,22(,)f x y xy x y ∂=∂+,则 22(,)d arctan ()y xf x y x y x y yϕ-==-++⎰,所以22(,)()f x y xy y x yϕ∂'=+∂+,即()0y ϕ'=,()y C ϕ=, 从而(,)arctanx f x y C y =-+,又(1,1)4f π=,解得2C π=,故(,)arctan2x f x y yπ=-,23f ππ=-=.13.20(2)!nn x n ∞==∑____________. 【答案】e e 2x x-+.【解析】令20()(2)!nn x S x n ∞==∑,则(0)1S =,且211()(21)!n n x S x n -∞='=-∑,(0)0S '=,22210()()(22)!(2)!n nn n x x S x S x n n -∞∞==''===-∑∑,从而可得微分方程()()0S x S x ''-=,解得12()e e x xS x C C -=+,又(0)1S =,(0)0S '=,解得1212C C ==,故 20e e ()(2)!2n x xn x S x n -∞=+==∑.14.某公司在t 时刻的资产为()f t ,则从0时刻到t 时刻的平均资产等于()f t t t-,假设()f t 连续且(0)0f =,则()f t =____________.【答案】2(e 1)tt --.【解析】由已知可得()d ()tf t t f t t tt=-⎰,整理变形20()d ()t f t t f t t =-⎰,等式两边求导()()2f t f t t '=-,即()()2f t f t t '-=,解得一阶线性微分方程通解为()2(1)e t f t t C =-++,又(0)0f =,解得2C =,故()2(e 1)tf t t =--.15. 13123123121,0,20,2ax x x ax x x x ax ax bx +=⎧⎪++=⎪⎨++=⎪⎪+=⎩ 有解,其中,a b 为常数,若0111412a a a = ,则11120aa a b=________.【答案】8【解析】方程组有解,则0111101110||12211012001202a a a a a a a ab aa b ==-+=A ,故111280a a ab =.16. 设随机变量X 与Y 相互独立,且()1,X B p ,()2,Y B p ,(0,1)p ∈则X Y+与XY -的相关系数为____________.【答案】13-【解析】由题意可得,()(1)D X p p =-,()2(1)D Y p p =-,又由X 与Y 相互独立可知,()()()D X Y D X D Y ±=+,故(,)X Y X Y ρ+-==()()(1)2(1)1()()(1)2(1)3D X D Y p p p p D X D Y p p p p ----===-+-+-三、解答题:17~22小题,共70分.解答应写出文字说明、证明过程或演算步骤. 17.(本题满分10分)已知函数()y y x =满足2e ln(1)cos 0xa y y x yb ++-++=,且(0)0,(0)0y y '==.(1)求,a b 的值;(2)判断0x =是否为函数()y y x =的极值点.【解】(1)将(0)0y =代入2e ln(1)cos 0x a y y x y b ++-++=得0a b +=. 方程2e ln(1)cos 0xa y y x yb ++-++=两边对x 求导得1e 2cos ln(1)sin 01x a yy y y x y y x'''++-++⋅=+, 将(0)0y '=代入上式得10a -=,解得1,1a b ==-.(2)由(1)知1e 2cos ln(1)sin 01xyy y y x y y x'''++-++⋅=+,上式两边再对x 求导得 22111e 2()2cos sin sin ln(1)cos ln(1)sin (1)11x y yy y y y y y x y y y x y y x x x ⎡⎤''''''''+++++⋅+++⋅++⋅⎢⎥+++⎣⎦将(0)0,(0)0y y '==代入上式得(0)2y ''=-,所以0x =是函数()y y x =的极大值点.18.(本题满分12分)已知平面区域(,)|01D x y y x ⎧⎫=≤≤≥⎨⎬⎩⎭, (1)求平面区域D 的面积S .(2)求平面区域D 绕x 一周所形成得旋转体的体积 【解】(1)222144sec 1d d tan sec sin t S x t t t t tππππ+∞===⎰⎰⎰ 222244sin 1d dcos sin 1cos t t t t tππππ==--⎰⎰241cos 11lnln2cos 12t t ππ-==+. (2) 222211111d d 1(1)14V x x x x x x ππππ+∞+∞⎛⎫⎛⎫==-=- ⎪ ⎪++⎝⎭⎝⎭⎰⎰. 19.(本题满分12分)已知22{(,)|(1)1}D x y x y =-+≤,求|1|d d Dx y ⎰⎰.【解】令22221{(,)|(1)1,1}D x y x y x y =-+≤+≤,则1|d d Dx y ⎰⎰)(111d d 1d d D D D x y x y -=+⎰⎰⎰⎰)(11d d 21d d DD x y x y =+-⎰⎰⎰⎰2cos 122232cos 234327d d 2d d 39ππθππθππρρθπρρθ---=-+=⎰⎰⎰⎰20.(本题满分12分)设函数()f x 在[,]a a -上有二阶连续导数.(1)证明:若(0)0f =,存在(,)a a ξ∈-,使得21()[()()]f f a f a aξ''=+-; (2)若()f x 在(,)a a -上存在极值,证明:存在(,)a a η∈-,使得21|()||()()|2f f a f a a η''≥--. 【证明】(1)将()f x 在00x =处展开为22()()()(0)(0)(0)2!2!f x f x f x f f x f x δδ''''''=++=+,其中δ介于0与x 之间.分别令x a =-和x a =,则21()()(0)()2!f a f a f a ξ'''-=-+,10a ξ-<<,22()()(0)()2!f a f a f a ξ'''=+,20a ξ<<,两式相加可得212()()()()2f f f a f a a ξξ''''+-+=,又函数()f x 在[,]a a -上有二阶连续导数,由介值定理知存在ξ∈12[,](,)a a ξξ⊂-,使得12()()()2f f f ξξξ''''+=,即21()[()()]f f a f a a ξ=-+. (2)设()f x 在0x 处取得极值,则0()0f x '=.将()f x 在0x 处展开为22000000()()()()()()()()()2!2!f x x f x x f x f x f x x x f x δδ''''--'=+-+=+, 其中δ介于0x 与x 之间.分别令x a =-和x a =,则2100()()()()2!f a x f a f x η''+-=+,10a x η-<<,2200()()()()2!f a x f a f x η''-=+,02x a η<<,两式相减可得222010()()()()()()22f a x f a x f a f a ηη''''-+--=-,所以222010()()()()|()()|22f a x f a x f a f a ηη''''-+--=-221020|()|()|()|()22f a x f a x ηη''''+-≤+220012|()|[()()](|()|max(|()|,|()|))2f a x a x f f f ηηηη''''''''≤++-= 2200|()|[()()]2|()|2f a x a x a f ηη''''≤++-=, 即21|()||()()|2f f a f a aη''≥--.21.(本题满分12分)设矩阵A 满足对任意的123,,x x x 均有112321233232x x x x x x x x x x x ++⎛⎫⎛⎫ ⎪ ⎪=-+ ⎪ ⎪ ⎪ ⎪-⎝⎭⎝⎭A .(1)求A(2)求可逆矩阵P 与对角阵Λ,使得1-=P AP Λ.【解】(1)由112321233232x x x x x x x x x x x ++⎛⎫⎛⎫⎪ ⎪=-+ ⎪ ⎪ ⎪ ⎪-⎝⎭⎝⎭A ,得112233*********x x x x x x ⎛⎫⎛⎫⎛⎫⎪ ⎪⎪=- ⎪ ⎪⎪ ⎪ ⎪⎪-⎝⎭⎝⎭⎝⎭A , 即方程组123111211011x x x ⎡⎤⎛⎫⎛⎫⎢⎥ ⎪ ⎪--=⎢⎥ ⎪ ⎪⎪ ⎪⎢⎥-⎝⎭⎝⎭⎣⎦0A 对任意的123,,x x x 均成立,故111211011⎛⎫ ⎪=- ⎪ ⎪-⎝⎭A .(2)111101||211(2)211011λλλλλλλλ---=--=+-----A E ,(2)(2)(1)0λλλ=-+-+=,特征值为1232,2,1λλλ=-==-.3111002211011011000⎛⎫⎛⎫ ⎪ ⎪+=→ ⎪ ⎪ ⎪ ⎪⎝⎭⎝⎭A E ,1011⎛⎫⎪=- ⎪ ⎪⎝⎭α;1111042231013013000--⎛⎫⎛⎫ ⎪ ⎪-=-→- ⎪ ⎪ ⎪ ⎪-⎝⎭⎝⎭A E ,2431⎛⎫ ⎪= ⎪ ⎪⎝⎭α;211201************⎛⎫⎛⎫ ⎪ ⎪+=→- ⎪ ⎪ ⎪ ⎪⎝⎭⎝⎭A E ,3102-⎛⎫ ⎪= ⎪ ⎪⎝⎭α,令123041(,,)130112-⎛⎫ ⎪==- ⎪ ⎪⎝⎭P ααα ,则1200020001--⎛⎫⎪== ⎪ ⎪-⎝⎭P AP Λ.22.(本题满分12分)设随机变量X 的概率密度函数为2e (),(1e )xx f x x =-∞<<+∞+,令e X Y =. (1)求X 的分布函数; (2)求Y 的概率密度函数;(3)判断Y 的数学期望是否存在.【解】(1)设X 的分布函数为()X F x ,由分布函数的定义可得2e 1(){}()d d 1,(1e )1et xxX t t F x P X x f x x t x -∞-∞=≤===--∞<<+∞++⎰⎰. (2)设Y 的分布函数为()Y F y ,概率密度为()Y f y ,由分布函数的定义可得(){}{e }X Y F y P Y y P y =≤=≤,当0y ≤时,()0Y F y =; 当0y >时,1(){}{ln }(ln )11Y X F y P Y y P X y F y y=≤=≤==-+. 综上,00,()110.1Y y F y y y ≤⎧⎪=⎨->⎪+⎩,, 故Y 的概率密度函数200,()10.(1)Y y f y y y ≤⎧⎪=⎨>⎪+⎩,,(3)由(2)知,220011()()d d d (1)(1)Y yy E Y yf y y y y y y +∞+∞+∞-∞+-===++⎰⎰⎰20011d d 1(1)y y y y +∞+∞=-++⎰⎰ 01ln(1)=1y y +∞⎡⎤=+++∞⎢⎥+⎣⎦, 故Y 的数学期望不存在.。
试卷及解2024考研数学(三)真题析一、选择题:1~10小题,每小题5分,共50分.下列每题给出的四个选项中,只有一个选项是符合题目要求的.1.设函数21()lim1nn xf x nx →∞+=+,则()f x A.在1x =,1x =-处都连续.B.在1x =处连续,在1x =-处不连续.C.在1x =,1x =-处都不连续.D.在1x =处不连续,在1x =-处连续.1.【答案】D【解析】当21 1lim11nn xx x nx →∞+<=++时,,当211lim01nn xx nx →∞+>=+时,,当21,lim01n x n →∞==+时,当01lim01n x n→∞=-=+时,,故()1,11,0,x x f x +-<<⎧=⎨⎩其他.故在1x =-时,连续;1x =时不连续.选D.2.设sin d a k aI x x π+=⎰,k 为整数,则I 的值A.只与a 有关B.只与k 有关C.与,a k 均有关D.与,a k 均无关2.【答案】B 【解析】π|sin |d a k a I x x+=⎰ππ0|sin |d sin d 2.k x x k x x k ===⎰⎰选B.3.设(,)f x y 是连续函数,则12sin 6d (,)d xx f x y y ππ=⎰⎰A.1arcsin 126d (,)d .yy f x y x π⎰⎰B.121arcsin 2d (,)d .yy f x y x π⎰⎰C.1arcsin 206d (,)d .yy f x y x π⎰⎰D.122arcsin d (,)d .yy f x y x π⎰⎰3.【答案】A【解析】11arcsin 21sin 266d (,)d d (,)d .yxx f x y y y f x y x πππ==⎰⎰⎰⎰选A.4.幂级数nnn a x∞=∑的和函数为ln(2)x +,则20nn na∞==∑A.16-B.13-C.16D.134.【答案】A【解析】()112ln 2ln 1ln 2ln 2(1)2nn n x x x n ∞-=⎛⎫⎪⎛⎫⎝⎭+=++=+- ⎪⎝⎭∑23462222ln 222346x x x x x ⎛⎫⎛⎫⎛⎫⎛⎫- ⎪ ⎪ ⎪ ⎪⎛⎫⎝⎭⎝⎭⎝⎭⎝⎭=+-+-+ ⎪⎝⎭224680246357320234111 2322242111 2221114182 .138361624nn naa a a a ∞==+++++⎛⎫=-+⋅--+ ⎪⋅⋅⎝⎭⎡⎤=-+++⎢⎥⎣⎦⎡⎤⎢⎥=-=-=-⨯=-⎢⎢⎥-⎣⋅⎦∑ 5.设二次型()T123,,f x x x =x Ax 在正交变换下可化成22212323y y y -+,则二次型f 的矩阵A 的行列式与迹分别为.6,2A --.6,2B -.6,2C -.6,2D 5.【答案】C【解析】()T123,,f x x x =x Ax 正交变换下化为22212323y y y -+⇒A 的特征值为1,2,3-()()()1236,tr 1232⇒=⋅-⋅=-=+-+=A A .6.设A 为3阶矩阵,100010101⎛⎫ ⎪= ⎪ ⎪⎝⎭,P 若T 2200020a c c b c c +⎛⎫⎪= ⎪ ⎪⎝⎭,P AP 则=AA.0000.00c a b ⎛⎫⎪⎪ ⎪⎝⎭ B.0000.00b c a ⎛⎫⎪⎪ ⎪⎝⎭C.0000.00a b c ⎛⎫⎪⎪ ⎪⎝⎭D.0000.00c b a ⎛⎫⎪⎪ ⎪⎝⎭6.【答案】C【解析】()3T 212010000, 010120101a c c b c c +⎛⎫⎛⎫⎪ ⎪==== ⎪ ⎪ ⎪ ⎪⎝⎭⎝⎭且AP B P E P 故()()()11112233T11T (1)(1)----⎡⎤==⎣⎦PA B P E B E 11131313131T3T131(1)(1)(1)(1)(1)(1)---⎡⎤==---⎣⎦E BE E E BE E 0 10120100100010001001000120101101a c c b c c -+⎛⎫⎛⎫⎛⎫⎛⎫ ⎪⎪⎪⎪= ⎪⎪⎪⎪ ⎪⎪⎪⎪--⎝⎭⎝⎭⎝⎭⎝⎭ 0001001000000010010002010110100 a b b c c c ⎛⎫⎛⎫⎛⎫⎛⎫ ⎪⎪⎪ ⎪== ⎪⎪⎪ ⎪ ⎪⎪⎪ ⎪--⎝⎭⎝⎭⎝⎭⎝⎭.7.设矩阵131,2112ij a b b aM +⎛⎫⎪⎪= ⎪ ⎪⎝⎭A 表示A 的行j 列元素的余子式,若1||2=-A .且2122230M M M -+-=.则3.02A a a ==-或3.02B a a ==或1.12C b b ==-或1.12D b b =-=或7.【答案】B【解析】120101322211111222112121bba bbbba a a-+===A 1211(1)122a b +⎛⎫=-⋅- ⎪⎝⎭111(21)22b a ⎛⎫=-⋅--=-⎪⎝⎭11(21)22b a ⎛⎫⇒--=⎪⎝⎭12122b ab a ⇒--+=又2122232122230M M M A A A =-+-=++13131111111101111201a b a b a b a b +++====+-=,1b a ⇒=+代入(1)中,得11(1)2022a a a a ++--+=0a ⇒=或312ab =⇒=或52.8.设随机变量X 的概率密度为()()61,01,0,x x x f x ⎧-<<=⎨⎩其他,则X 的三阶中心矩()3E X EX -=A.132-B.0C.116D.128.【答案】B 【解析】1211116(1)d 6634122EX x x x ⎛⎫=-=⋅-=⨯= ⎪⎝⎭⎰3311321021211116(1)d 6d 022 22 x t E X x x x xt t t t --=⎛⎫⎛⎫⎛⎫⎛⎫-=--+⋅-⋅= ⎪ ⎪ ⎪ ⎪⎝⎭⎝⎭⎝⎭⎝⎭⎰⎰令.9.随机变量,X Y 相互独立,且~(0,2),~(1,1)X N Y N -,设{}{}122,21p P X Y p P X Y =>=->,则121A.2p p >>211B.2p p >>121C.2p p <<211D.2p p <<9.【答案】B【解析】(2)2011E X Y EX EY -=-=+=,(2)44219D X Y DX DY -=+=⨯+=,所以2~(1,9)X Y N -;(2)2022E X Y EX EY -=-=+=,(2)4246D X Y DX DY -=+=+=,所以2~(2,6)X Y N -;121011113333X Y p P ΦΦ---⎧⎫⎛⎫⎛⎫=>=--=⎨⎬ ⎪ ⎪⎩⎭⎝⎭⎝⎭21p P ΦΦ⎛⎛=>=--= ⎝⎝,所以2112p p >>,故选B.10.设随机变量,X Y 相互独立,且均服从参数为λ的指数分布,令Z X Y =-,则下列随机变量中与Z 同分布的是A.X Y + B.2X Y+C.2X D.X10.【答案】D【解析】X 与Y 的联合概率密度为2()e ,0,0(,)()()0,x y Y X x y f x y f x f y λλ-+⎧>>=⋅=⎨⎩其他设Z 的分布函数为()Z F z ,则{}{}()Z F z P Z z P X Y z=≤=-≤1当0z <时,()0Z F z =;2当0z ≥时,{}{}()20Z F z P z X Y z P X Y z =-≤-≤=≤-≤02e d e d y z y x yy x λλλλ+∞+--=⎰⎰.()()02202e e e d 2e d 2e e d 1e .y y y z y z y z y y yλλλλλλλλλλ+∞---++∞+∞----=-=-=-⎰⎰⎰所以()1Z E ,从而Z 与X 服从相同的分布,选D.二、填空题:11~16小题,每小题5分,共30分.11.当0x →时,()2221sin d 1cos xt tt t++⎰与k x 是同阶无穷小,则k =.11.【答案】3【解析】当0x →时,()22221sin ~1cos 2x xx x++,则()223201sin d ~1cos xt tt Ax t++⎰.从而3k =.12.4225d 34x x x +∞=+-⎰.12.【答案】1πln 328-【解析】()()42222255d d 3414x x x x x x +∞+∞=+--+⎰⎰222211d d 14x x x x +∞+∞=--+⎰⎰222111d d 114x x x x x +∞+∞⎛⎫=-- ⎪-++⎝⎭⎰⎰222111ln arctan 2122x x x +∞+∞⎛⎫-=- ⎪+⎝⎭111ππ1π0ln ln 32322428⎛⎫⎛⎫=---=- ⎪ ⎪⎝⎭⎝⎭.13.函数()324,2961224f x y x x y x y =--++的极值点是.13.【答案】()1,1【解析】23618120,24240,x y f x x f y ⎧'=-+=⎪⎨'=-+=⎪⎩解得(1,1) ,(2,1).1218xx A f x ''==-,0xy B f ''==,272yy C f y ''==-,代入(1,1)得24320,6AC B A -=>=-,故(1,1)是极大值点,(1,1)23f =.代入(2,1)得24320AC B -=-<,不是极值.14.某产品的价格函数是250.25,20,350.75,20Q Q p Q Q -≤⎧=⎨->⎩(p 为单价,单位:万元;Q 为产量,单位:件),总成本函数为215050.25C Q Q =++(万元),则经营该产品可获得的最大利润为(万元).14.【答案】50【解析】()()()22(250.25)15050.25,20,350.7515050.25,20.Q Q Q Q Q L PQ C Q Q Q Q Q ⎧--++≤⎪=-=⎨--++>⎪⎩整理得:220.5(20)50,20,(15)75,20.Q Q L Q Q ⎧--+≤=⎨--+>⎩所以20Q =时,50L =为最大利润.15.设A 为3阶矩阵,*A 为的A 伴随矩阵,E 为3阶单位矩阵,若(2)1,()2r r -==E A E +A ,则*A =.15.【答案】16【解析】() 132r <-=E A ,() 23r =<E +A ⇒A 有特征值2,1-.又()3222r λ-=-⇒=E A 有 2个线性无关的特征向量2λ⇒=至少有两重根.()311r λ-=⇒=-E +A 有1个线性无关特征向量1λ⇒=-至少有一重根.又A 为3阶⇒A 的特征值为22,1-,,故()*122214,||16n -=⋅⋅-=-===A A A A .16.设随机试验每次成功的概率为p ,现进行3次独立重复试验,在至少成功1次的条件下,3次试验全部成功的概率为413,则p =.16.【答案】23p =【解析】A :全成功,B :至少成功一次.()33()()4()()1(1)13P AB P A p P A B P B P B p ====--,331344(1)p p =--整理得(32)(3602)3p p p p -+=⇒=.三、解答题:17~22小题,共70分.解答应写出文字说明、证明过程或演算步骤.17.设平面有界区域D 位于第一象限由曲线1,33xy xy ==与直线1,3y x =3y x =围成,计算()1d d Dx y x y +-⎰⎰.17.【解】令yu xy v x==,,(1)x y ⎧=⎪⎨⎪=⎩(2)12x xuv J y y v uv∂∂∂∂==∂∂∂∂故3113331d 1d 2u v v⎛=+⋅ ⎝⎰⎰原式38ln 3=.18.设函数(,)z z x y =由方程2e ln(1)0xz y z +-+=确定,求22(0,0)22z z x y ⎛⎫∂∂+ ⎪∂∂⎝⎭.18.【解】将0y =代入得e xz =-,则22e xz x ∂=-∂,代()220,001z x x∂=⇒=-∂.将0x =代入得()21ln 1z y z+=+,得()222ln 11z yz zz y z y∂∂=++⋅∂+∂.代0,0,1x y z ===-得()0,0ln2zy ∂=∂.又22222122 211z z z y z z z z z y y z y z y y ⎡⎤⎛⎫∂∂⋅⎢⎥ ⎪+∂∂∂∂⎝⎭⎢=⋅+⋅+⋅⎢⎥∂+∂+∂∂⎢⎥⎣⎦,代0,0,1,ln2zx y z y∂===-=∂得()220,02ln2z y ∂=-∂.故原式为12ln2--.19.设0t >,平面有界区域D 由曲线-2e xy x =与直线x t =,2x t =及x 轴围成,D 的面积为()S t ,求()S t 的最大值.19.【解】()22ed txt S t x x -=⎰,()()42424e e e 4e t t t t S t t t t ---=-=-'则,42 4e e 0ln2.t t t ---=⇒=令()() 0ln20;ln20.t S t t S t <<'>><'当时,当时,故ln2t =时,()S t 取最大值,有()ln 4ln 4222ln 2ln 21113 ln2e d e ln2.221664x x x S x x x ---⎛⎫==-+=+ ⎪⎝⎭⎰20.设函数()f x 具有2阶导数,且()()()01, 1.f f f x ''''=≤证明:(1)当()0,1x ∈时,()()()()()1011;2x x f x f x f x ----≤(2)()()()1011d .212f f f x x +-≤⎰20.证明:(1)()12()(0)(0)2f f x f f x x ξ'''=++①()()22()(1)(1)1(1)2f f x f f x x ξ'''=+-+-②()1x x⋅-+⋅①②()()()()()12221()(0)(1)(1)(0)1(1)1(1)22f f f x f x f x f x x f x x x x x x ξξ''''''⇒=-++-+-+--+,21111()(0)(1)(1)(1)(1)(1)(1)(1).222 2f x f x f x x x x x x x x x x x ----+-=-+-=- (2)[]02111(1)1()(0)(1)(1)d ()d (0)(1)22x f x f x f x x f x x f f ----=-⋅-⋅⎰⎰1100(0)(1)(1)1()d d .22 12f f x x f x x x +-=-=⎰⎰ 21.设矩阵11011103,2126--⎛⎫⎪= ⎪⎪⎝⎭A 1012111,2322a a ⎛⎫ ⎪=-- ⎪ ⎪--⎝⎭B 向量023⎛⎫ ⎪= ⎪ ⎪⎝⎭,α10.1⎛⎫ ⎪= ⎪ ⎪-⎝⎭β(1)证明:方程组=Ax α的解均为方程组=Bx β的解;(2)若方程组=Ax α与方程组=Bx β不同解,求a 的值.21.证明:(1)(,)1⎛⎫⇒= ⎪-⎝⎭=0x x A A αα(,)1⎛⎫⇒= ⎪-⎝⎭=0x Bx βB β又11010110101103202042212630328310121011311110000232210121a a a a ----⎛⎫⎛⎫⎪⎪ ⎪ ⎪ ⎪ ⎪⎛⎫=→⎪⎪ ⎪⎝⎭ ⎪ ⎪ ⎪ ⎪-- ⎪ ⎪ ⎪ ⎪-----⎝⎭⎝⎭A αB β1101011010010210102100220001100011000000000000000022000000a a ----⎛⎫⎛⎫⎪⎪⎪ ⎪ ⎪ ⎪→→⎪⎪ ⎪ ⎪ ⎪ ⎪⎪ ⎪⎪ ⎪⎝⎭⎝⎭,故()3r r ⎛⎫== ⎪⎝⎭A αB βA ,α.即(,)1⎛⎫= ⎪-⎝⎭0x A α的解是(,)1⎛⎫= ⎪-⎝⎭0B βx 的解.即=Ax α的解是=Bx β的解(2)=Ax α与方程组=Bx β不同解,即=Ax α与=Bx β不等价又=Ax α的解是=Bx β的解,故=Bx β的解不是=Ax α的解.即(,)3r r ⎛⎫≠=⎪⎝⎭A αB βB β,故1012110121,1110011312322103063a a a a ⎛⎫⎛⎫ ⎪ ⎪→--→---- ⎪ ⎪⎪ ⎪------⎝⎭⎝⎭B β101211012101021010210113100110a a a a ⎛⎫⎛⎫ ⎪ ⎪→→ ⎪ ⎪ ⎪ ⎪----⎝⎭⎝⎭故10a -=即1a =.22.X 服从[]0,θ上的均匀分布,()0θ∈+∞,为未知参数,12,,,n X X X 为总体X 的简单随机样本,记为(){}()12max ,,,,.n c n n X X X X T cX == (1)求c 使得();c E T θ=(2)记()()2,c h c E T θ=-求c 使得()f c 最小.22.【解】(1){}()()12max ,n n n E cX cEX cE X X X θ⎡⎤===⎣⎦ 10()0X x f x θθ⎧<<⎪⎨⎪⎩其他00(),01,X x x F x x x θθθ<⎧⎪⎪=<⎨⎪⎪⎩ {}()120,0max ~(),01,,n n n n X x xX X X F x x x θθθ<⎧⎪⎪=<⎨⎪⎪⎩ ()10()0. X n n n n xx f x θθ-⎧⋅<<⎪=⎨⎪⎩其他{}1110,1max ,d 1n n n n nnx n E X X x x n θθθθθθ-+==⋅+⎰1nn θ=+,所以1n c n+=.(2)()2222()22c c c ch c E T T ET E ET θθθθ=+-=++()()()()222n n E cX E cX θθ=+-()()2222n n c EX c EX θθ=+-因为()221201d 2n n n n n nx n EX x x x n θθθθ-+=⋅=+⎰22nn θ=⋅+()11001d 11n n n n n nxn nEX x x x n n θθθθθ-+=⋅⋅=⋅=++⎰所以22222 ()21221=21n n nc n h c c c c n n n n θθθθθ⎛⎫=+-⋅+-⋅ ⎪++++⎝⎭令2()1221n n f x x x n n =+-++,22()021n n f x x n n '=-=++解得21n x n +=+,即21n c n +=+时,()h c 取最小值.。
研究生入学考试数学三试题一、选择题:1~10小题,每小题4分,共40分. 在每小题给出的四个选项中,只有一项符合题目要求,把所选项前的字母填在题后的括号内.(1)当0x +→时,与x 等价的无穷小量是(A )1ex- (B )1ln1xx+- (C )11x +- (D )1cos x - [ ](2)设函数()f x 在0x =处连续,下列命题错误的是:(A )若0()limx f x x →存在,则(0)0f = (B )若0()()lim x f x f x x→+-存在,则(0)0f = .(B )若0()lim x f x x →存在,则(0)0f '= (D )若0()()lim x f x f x x→--存在,则(0)0f '=.[ ](3)如图,连续函数()y f x =在区间[][]3,2,2,3--上的图形分别是直径为1的上、下半圆周,在区间[][]2,0,0,2-的图形分别是直径为2的下、上半圆周,设0()()d xF x f t t =⎰,则下列结论正确的是:(A )3(3)(2)4F F =-- (B) 5(3)(2)4F F = (C )3(3)(2)4F F = (D )5(3)(2)4F F =-- [ ](4)设函数(,)f x y 连续,则二次积分1sin 2d (,)d xx f x y y ππ⎰⎰等于(A )10arcsin d (,)d yy f x y x ππ+⎰⎰ (B )10arcsin d (,)d yy f x y x ππ-⎰⎰(C )1arcsin 02d (,)d yy f x y x ππ+⎰⎰ (D )1arcsin 02d (,)d yy f x y x ππ-⎰⎰(5)设某商品的需求函数为1602Q P =-,其中,Q P 分别表示需要量和价格,如果该商品需求弹性的绝对值等于1,则商品的价格是(A) 10. (B) 20 (C) 30. (D) 40. [ ] (6)曲线()1ln 1e x y x=++的渐近线的条数为 (A )0. (B )1. (C )2. (D )3. [ ](7)设向量组123,,ααα线性无关,则下列向量组线性相关的是线性相关,则 (A) 122331,,αααααα---(B) 122331,,αααααα+++(C) 1223312,2,2αααααα---.(D) 1223312,2,2αααααα+++. [ ](8)设矩阵211100121,010112000A B --⎛⎫⎛⎫ ⎪ ⎪=--= ⎪ ⎪ ⎪ ⎪--⎝⎭⎝⎭,则A 与B(A) 合同且相似(B )合同,但不相似.(C) 不合同,但相似. (D) 既不合同也不相似 [ ] (9)某人向同一目标独立重复射击,每次射击命中目标的概率为(01)p p <<,则此人第4次射击恰好第2次击中目标的概率为(A )23(1)p p -. (B )26(1)p p -.(C )223(1)p p -. (D )226(1)p p - [ ](10)设随机变量(),X Y 服从二维正态分布,且X 与Y 不相关,(),()X Y f x f y 分别表示,X Y 的概率密度,则在Y y =的条件下,X 的条件概率密度|(|)X Y f x y 为 (A) ()X f x . (B) ()Y f y . (C) ()()X Y f x f y . (D)()()X Y f x f y . [ ] 二、填空题:11~16小题,每小题4分,共24分. 把答案填在题中横线上.(11) 3231lim(sin cos )2x x x x x x x →+∞+++=+ __________. (12)设函数123y x =+,则()(0)n y =________. (13) 设(,)f u v 是二元可微函数,,y x z f x y ⎛⎫=⎪⎝⎭,则z zx y x y ∂∂-=∂∂ __________.(14)微分方程3d 1d 2y y y x x x ⎛⎫=- ⎪⎝⎭满足11x y==的特解为y =________.(15)设矩阵0100001000010000A ⎛⎫⎪⎪= ⎪⎪⎝⎭,则3A 的秩为 .(16)在区间()0,1中随机地取两个数,则这两个数之差的绝对值小于12的概率为 . 三、解答题:17~24小题,共86分. 解答应写出文字说明、证明过程或演算步骤. (17) (本题满分10分)设函数()y y x =由方程ln 0y y x y -+=确定,试判断曲线()y y x =在点(1,1)附近的凹凸性. (18) (本题满分11分)设二元函数2,||||1(,)1||||2x x y f x y x y ⎧+≤⎪=<+≤,计算二重积分D(,)d f x y σ⎰⎰,其中(){},||||2D x y x y =+≤.(19) (本题满分11分)设函数(),()f x g x 在[],a b 上连续,在(,)a b 内具有二阶导数且存在相等的最大值,()(),()()f a g a f b g b ==,证明:存在(,)a b ξ∈,使得()()f g ξξ''''=.(20) (本题满分10分)将函数21()34f x x x =--展开成1x -的幂级数,并指出其收敛区间. (21) (本题满分11分)设线性方程组123123212302040x x x x x ax x x a x ⎧++=⎪++=⎨⎪++=⎩与方程12321x x x a ++=-有公共解,求a 的值及所有公共解.(22) (本题满分11分)设三阶对称矩阵A 的特征向量值1231,2,2λλλ===-,T1(1,1,1)α=-是A 的属于1λ的一个特征向量,记534B A A E =-+,其中E 为3阶单位矩阵.(I )验证1α是矩阵B 的特征向量,并求B 的全部特征值与特征向量; (II )求矩阵B . (23) (本题满分11分)设二维随机变量(,)X Y 的概率密度为2,01,01(,)0,x y x y f x y --<<<<⎧=⎨⎩其他.(I )求{}2P X Y >;(II) 求Z X Y =+的概率密度.2007答案1….【分析】本题为等价无穷小的判定,利用定义或等价无穷小代换即可.【详解】当0x +→时,1x --,112x,()211122x x -=, 故用排除法可得正确选项为(B ).事实上,000lim lim lim 1x x +++→→→==,或lnln(1)ln(1()x x o x o o x =+--=++=.所以应选(B )【评注】本题为关于无穷小量比较的基本题型,利用等价无穷小代换可简化计算. 类似例题见《数学复习指南》(经济类)第一篇【例1.54】 【例1.55】.2…….【分析】本题考查可导的极限定义及连续与可导的关系. 由于题设条件含有抽象函数,本题最简便的方法是用赋值法求解,即取符合题设条件的特殊函数()f x 去进行判断,然后选择正确选项.【详解】取()||f x x =,则0()()lim0x f x f x x→--=,但()f x 在0x =不可导,故选(D ).事实上,在(A),(B)两项中,因为分母的极限为0,所以分子的极限也必须为0,则可推得(0)0f =.在(C )中,0()limx f x x →存在,则00()(0)()(0)0,(0)lim lim 00x x f x f f x f f x x→→-'====-,所以(C)项正确,故选(D)【评注】对于题设条件含抽象函数或备选项为抽象函数形式结果以及数值型结果的选择题,用赋值法求解往往能收到奇效.类似例题见文登强化班笔记《高等数学》第2讲【例2】,文登07考研模拟试题数学二第一套(2).3…….【分析】本题实质上是求分段函数的定积分. 【详解】利用定积分的几何意义,可得221113(3)12228F πππ⎛⎫=-= ⎪⎝⎭,211(2)222F ππ==,22202011(2)()d ()d ()d 122F f x x f x x f x x ππ---==-===⎰⎰⎰. 所以 33(3)(2)(2)44F F F ==-,故选(C ).【评注】本题属基本题型. 本题利用定积分的几何意义比较简便.类似例题见文登强化班笔记《高等数学》第5讲【例17】和【例18】,《数学复习指南》(经济类)第一篇【例3.38】【例3.40】.4…….【分析】本题更换二次积分的积分次序,先根据二次积分确定积分区域,然后写出新的二次积分. 【详解】由题设可知,,sin 12x x y ππ≤≤≤≤,则01,arcsin y y x ππ≤≤-≤≤,故应选(B ).【评注】本题为基础题型. 画图更易看出.类似例题见文登强化班笔记《高等数学》第10讲【例5】,《数学复习指南》(经济类)第一篇【例7.5】,【例7.6】.5…….【分析】本题考查需求弹性的概念. 【详解】选(D ).商品需求弹性的绝对值等于d 2140d 1602Q P P P P Q P-⋅==⇒=-, 故选(D ).【评注】需掌握微积分在经济中的应用中的边际,弹性等概念.相关公式及例题见《数学复习指南》(经济类)第一篇【例11.2】.6…….【分析】利用曲线的渐近线的求解公式求出水平渐近线,垂直渐近线和斜渐近线,然后判断. 【详解】()()11lim lim ln 1e ,lim lim ln 1e 0xxx x x x y y x x →+∞→+∞→-∞→-∞⎡⎤⎡⎤=++=+∞=++=⎢⎥⎢⎥⎣⎦⎣⎦,所以 0y =是曲线的水平渐近线;()001lim lim ln 1e xx x y x→→⎡⎤=++=∞⎢⎥⎣⎦,所以0x =是曲线的垂直渐近线; ()()1e ln 1e ln 1e 1e lim lim 0lim lim 11xxx x x x x x y x x x x →+∞→+∞→+∞→+∞++++==+==,[]()1lim lim ln 1e0xx x b y x x x →+∞→+∞⎡⎤=-=++-=⎢⎥⎣⎦,所以y x =是曲线的斜渐近线. 故选(D ).【评注】本题为基本题型,应熟练掌握曲线的水平渐近线,垂直渐近线和斜渐近线的求法.注意当曲线存在水平渐近线时,斜渐近线不存在. 本题要注意e x当,x x →+∞→-∞时的极限不同.类似例题见文登强化班笔记《高等数学》第6讲第4节【例12】,《数学复习指南》(经济类)第一篇【例5.30】,【例5.31】.7……..【分析】本题考查由线性无关的向量组123,,ααα构造的另一向量组123,,βββ的线性相关性. 一般令()()123123,,,,A βββααα=,若0A =,则123,,βββ线性相关;若0A ≠,则123,,βββ线性无关. 但考虑到本题备选项的特征,可通过简单的线性运算得到正确选项.【详解】由()()()1223310αααααα-+-+-=可知应选(A ).或者因为()()122331123101,,,,110011ααααααααα-⎛⎫ ⎪---=- ⎪ ⎪-⎝⎭,而1011100011--=-, 所以122331,,αααααα---线性相关,故选(A ).【评注】本题也可用赋值法求解,如取()()()TTT1231,0,0,0,1,0,0,0,1ααα===,以此求出(A ),(B ),(C ),(D )中的向量并分别组成一个矩阵,然后利用矩阵的秩或行列式是否为零可立即得到正确选项.完全类似例题见文登强化班笔记《线性代数》第3讲【例3】,《数学复习指南》(经济类)《线性代数》【例3.3】.8……【分析】本题考查矩阵的合同关系与相似关系及其之间的联系,只要求得A 的特征值,并考虑到实对称矩阵A 必可经正交变换使之相似于对角阵,便可得到答案.【详解】 由2211121(3)112E A λλλλλλ--=-=--可得1233,0λλλ===,所以A 的特征值为3,3,0;而B 的特征值为1,1,0.所以A 与B 不相似,但是A 与B 的秩均为2,且正惯性指数都为2,所以A 与B 合同,故选(B ). 【评注】若矩阵A 与B 相似,则A 与B 具有相同的行列式,相同的秩和相同的特征值. 所以通过计算A 与B 的特征值可立即排除(A )(C ). 完全类似例题见《数学复习指南》(经济类)第二篇【例5.17】.9……..【分析】本题计算贝努里概型,即二项分布的概率. 关键要搞清所求事件中的成功次数. 【详解】p ={前三次仅有一次击中目标,第4次击中目标}12223(1)3(1)C p p p p p =-=-,故选(C ).【评注】本题属基本题型.类似例题见《数学复习指南》(经济类)第三篇【例1.29】【例1.30】10…….【分析】本题求随机变量的条件概率密度,利用X 与Y 的独立性和公式|(,)(|)()X Y Y f x y f x y f y =可求解. 【详解】因为(),X Y 服从二维正态分布,且X 与Y 不相关,所以X 与Y 独立,所以(,)()()X Y f x y f x f y =.故|()()(,)(|)()()()X Y X Y X Y Y f x f y f x y f x y f x f y f y ===,应选(A ).【评注】若(),X Y 服从二维正态分布,则X 与Y 不相关与X 与Y 独立是等价的.完全类似例题和求法见文登强化班笔记《概率论与数理统计》第3讲【例3】,《数学复习指南》(经济类)第三篇第二章知识点精讲中的一(4),二(3)和【例2.38】11….【分析】本题求类未定式,可利用“抓大头法”和无穷小乘以有界量仍为无穷小的结论.【详解】因为323233110222lim lim0,|sin cos |22112x x x x x x xx x x x x x x x →+∞→+∞++++===+<++, 所以3231lim(sin cos )02x x x x x x x →+∞+++=+. 【评注】无穷小的相关性质:(1) 有限个无穷小的代数和为无穷小; (2) 有限个无穷小的乘积为无穷小; (3) 无穷小与有界变量的乘积为无穷小.完全类似例题和求法见文登强化班笔记《高等数学》第1讲【例1】,《数学复习指南》(经济类)第一篇【例1.43】12,……..【分析】本题求函数的高阶导数,利用递推法或函数的麦克老林展开式.【详解】()212,2323y y x x '==-++,则()1(1)2!()(23)n n n n n y x x +-=+,故()1(1)2!(0)3n n n n n y +-=. 【评注】本题为基础题型.完全类似例题见文登强化班笔记《高等数学》第2讲【例21】,《数学复习指南》(经济类)第一篇【2.20】,【例2.21】.13…….【分析】本题为二元复合函数求偏导,直接利用公式即可. 【详解】利用求导公式可得1221z y f f x x y ∂''=-+∂, 1221z x f f y x y∂''=-∂, 所以122z z y x xy f f x y xy ⎛⎫∂∂''-=-- ⎪∂∂⎝⎭. 【评注】二元复合函数求偏导时,最好设出中间变量,注意计算的正确性.完全类似例题见文登强化班笔记《高等数学》第9讲【例8】, 【例9】,《数学复习指南》(经济类)第一篇【例6.16】,【例6.17】,【例6.18】.14…..【分析】本题为齐次方程的求解,可令y u x=. 【详解】令yu x=,则原方程变为 33d 1d d d 22u u x u x u u x u x+=-⇒=-.两边积分得 2111ln ln 222x C u -=--, 即222111e e y u x x x C C=⇒=,将11x y==代入左式得 e C =,故满足条件的方程的特解为 22e e x y x =,即y =,1e x ->.【评注】本题为基础题型.完全类似例题见文登强化班笔记《高等数学》第7讲【例2】, 【例3】,《数学复习指南》(经济类)第一篇【例9.3】.15……….【分析】先将3A 求出,然后利用定义判断其秩.【详解】30100000100100000()10001000000000000A A r A ⎛⎫⎛⎫⎪⎪⎪⎪=⇒=⇒= ⎪⎪⎪⎪⎝⎭⎝⎭.【评注】本题为基础题型.矩阵相关运算公式见《数学复习指南》(经济类)第二篇第二章第1节中的知识点精讲.16……….【分析】根据题意可得两个随机变量服从区间()0,1上的均匀分布,利用几何概型计算较为简便. 【详解】利用几何概型计算. 图如下:所求概率2113214A D S S ⎛⎫- ⎪⎝⎭===.【评注】本题也可先写出两个随机变量的概率密度,然后利用它们的独立性求得所求概率.完全类似例题见文登强化班笔记《概率论与数理统计》第3讲【例11】,《数学复习指南》(经济类)第三篇【例2.29】,【例2.47】.17……..【分析】由凹凸性判别方法和隐函数的求导可得.【详解】 方程 ln 0y y x y -+=两边对x 求导得ln 10y y y yy y'''+-+=, 即(2ln )1y y '+=,则1(1)2y '=. 上式两边再对x 求导得()2(2ln )0y y y y'''++=则1(1)8y ''=-,所以曲线()y y x =在点(1,1)附近是凸的.【评注】本题为基础题型.类似例题见文登强化班笔记《高等数学》第6讲【例10】,《数学复习指南》(经济类)第一篇【例5.29】.18…….【分析】由于积分区域关于,x y 轴均对称,所以利用二重积分的对称性结论简化所求积分. 【详解】因为被积函数关于,x y 均为偶函数,且积分区域关于,x y 轴均对称,所以1DD (,)d (,)d f x y f x y σσ=⎰⎰⎰⎰,其中1D 为D 在第一象限内的部分.而12D 1,0,012,0,(,)d d x y x y x y x y f x y x σσσ+≤≥≥≤+≤≥≥=+⎰⎰⎰⎰⎰⎰1122220110d d d d xx x x x x y x y x y ---⎛⎫ ⎪=++ ⎪⎝⎭⎰⎰⎰⎰⎰⎰(1112=.所以(D1(,)d 13f x y σ=++⎰⎰.【评注】被积函数包含22y x +时, 可考虑用极坐标,解答如下:1210,00,0(,)d x y x y x y x y f x y σσ≤+≤≤+≤>>>>=⎰⎰⎰⎰22sin cos 10sin cos d d r πθθθθθ++=⎰⎰=.类似例题见文登强化班笔记《高等数学》第10讲【例1】,《数学复习指南》(经济类)第一篇【例7.3-例7.4】.19…….【分析】由所证结论()()f g ξξ''''=可联想到构造辅助函数()()()F x f x g x =-,然后根据题设条件利用罗尔定理证明.【详解】令()()()F x f x g x =-,则()F x 在[],a b 上连续,在(,)a b 内具有二阶导数且()()0F a F b ==.(1)若(),()f x g x 在(,)a b 内同一点c 取得最大值,则()()()0f c g c F c =⇒=, 于是由罗尔定理可得,存在12(,),(,)a c c b ξξ∈∈,使得12()()0F F ξξ''==.再利用罗尔定理,可得 存在12(,)ξξξ∈,使得()0F ξ''=,即()()f g ξξ''''=. (2)若(),()f x g x 在(,)a b 内不同点12,c c 取得最大值,则12()()f c g c M ==,于是 111222()()()0,()()()0F c f c g c F c f c g c =->=-<, 于是由零值定理可得,存在312(,)c c c ∈,使得3()0F c = 于是由罗尔定理可得,存在1323(,),(,)a c c b ξξ∈∈,使得12()()0F F ξξ''==.再利用罗尔定理,可得 ,存在12(,)ξξξ∈,使得()0F ξ''=,即()()f g ξξ''''=. 【评注】对命题为()()0n fξ=的证明,一般利用以下两种方法:方法一:验证ξ为(1)()n fx -的最值或极值点,利用极值存在的必要条件或费尔马定理可得证;方法二:验证(1)()n fx -在包含x ξ=于其内的区间上满足罗尔定理条件.类似例题见文登强化班笔记《高等数学》第4讲【例7】,《数学复习指南》(经济类)第一篇【例4.5】,【例4.6】.20….【分析】本题考查函数的幂级数展开,利用间接法. 【详解】211111()34(4)(1)541f x x x x x x x ⎛⎫===- ⎪---+-+⎝⎭,而 10011111(1),2414333313nnn n n x x x x x ∞∞+==--⎛⎫=-⋅=-=--<< ⎪--⎝⎭-∑∑, 10011111(1)(1),1311222212nn nn n n x x x x x ∞∞+==---⎛⎫=⋅=-=-<< ⎪-+⎝⎭+∑∑ , 所以 1111000(1)(1)(1)1(1)()(1)3232n n n n n n n n n n n n x x f x x ∞∞∞++++===⎡⎤----=-+=-+-⎢⎥⎣⎦∑∑∑, 收敛区间为 13x -<<.【评注】请记住常见函数的幂级数展开.完全类似例题见文登强化班笔记《高等数学》第11讲【例13】,《数学复习指南》(经济类)第一篇【例8.15】.21…..【分析】将方程组和方程合并,然后利用非齐次线性方程有解的判定条件求得a . 【详解】将方程组和方程合并,后可得线性方程组12312321231230204021x x x x x ax x x a x x x x a ++=⎧⎪++=⎪⎨++=⎪⎪++=-⎩ 其系数矩阵22111011101200110140031012110101aa A a a a a ⎛⎫⎛⎫ ⎪ ⎪-⎪ ⎪=→ ⎪ ⎪- ⎪ ⎪--⎝⎭⎝⎭.21110111001100110003200011001100(1)(2)0a a a a a a a a a a ⎛⎫⎛⎫ ⎪ ⎪-- ⎪ ⎪→→ ⎪ ⎪-+-- ⎪⎪----⎝⎭⎝⎭. 显然,当1,2a a ≠≠时无公共解. 当1a =时,可求得公共解为 ()T1,0,1k ξ=-,k 为任意常数; 当2a =时,可求得公共解为()T0,1,1ξ=-.【评注】本题为基础题型,考查非齐次线性方程组解的判定和结构.完全类似例题见文登强化班笔记《线性代数》第4讲【例8】,《数学复习指南》(经济类)第二篇【例4.12】,【例4.15】.22……【分析】本题考查实对称矩阵特征值和特征向量的概念和性质.【详解】(I )()()5353531111111111144412B A A E ααλαλααλλαα=-+=-+=-+=-,则1α是矩阵B 的属于-2的特征向量.同理可得()532222241B αλλαα=-+=,()533333341B αλλαα=-+=.所以B 的全部特征值为2,1,1设B 的属于1的特征向量为T 2123(,,)x x x α=,显然B 为对称矩阵,所以根据不同特征值所对应的特征向量正交,可得T 120αα=.即 1230x x x -+=,解方程组可得B 的属于1的特征向量T T 212(1,0,1)(0,1,0)k k α=-+,其中12,k k 为不全为零的任意常数.由前可知B 的属于-2的特征向量为 T 3(1,1,1)k -,其中3k 不为零.(II )令101011101P ⎛⎫ ⎪=- ⎪ ⎪-⎝⎭,由(Ⅰ)可得-1100010002P BP ⎛⎫ ⎪= ⎪ ⎪-⎝⎭,则011101110B -⎛⎫ ⎪= ⎪ ⎪-⎝⎭.【评注】本题主要考查求抽象矩阵的特征值和特征向量,此类问题一般用定义求解,要想方设法将题设条件转化为Ax x λ=的形式. 请记住以下结论:(1)设λ是方阵A 的特征值,则21*,,,(),,kA aA bE A f A A A -+分别有特征值 21,,,(),,(A k a b f A λλλλλλ+可逆),且对应的特征向量是相同的. (2)对实对称矩阵来讲,不同特征值所对应的特征向量一定是正交的完全类似例题见文登强化班笔记《线性代数》第5讲【例12】,《数学复习指南》(经济类) 第二篇【例5.24】23…….【分析】(I )可化为二重积分计算;(II) 利用卷积公式可得.【详解】(I ){}()()12002722d d d 2d 24x x y P X Y x y x y x x y y >>=--=--=⎰⎰⎰⎰. (II) 利用卷积公式可得()(,)d Z f z f x z x x +∞-∞=-⎰20121(2)d ,01201(2)d ,12(2)120,0,z z x x z z z z x x z z z -⎧-<<⎪⎧-<<⎪⎪=-<<=-≤<⎨⎨⎪⎪⎩⎪⎩⎰⎰其他其他. 【评注】 (II)也可先求出分布函数,然后求导得概率密度.完全类似例题见文登强化班笔记《概率论与数理统计》第3讲【例10】,【例11】,《数学复习指南》(经济类)第三篇【例2.38】,【例2.44】.(24) (本题满分11分)设总体X 的概率密度为1,021(),12(1)0,x f x x θθθθ⎧<<⎪⎪⎪=≤<⎨-⎪⎪⎪⎩其他12(,,X X …,)n X 为来自总体X 的简单随机样本,X 是样本均值.(I )求参数θ的矩估计量θ;(II )判断24X 是否为2θ的无偏估计量,并说明理由.【分析】利用EX X =求(I );判断()224E Xθ=. 【详解】(I )()101()d d d 22124x x EX xf x x x x θθθθθ+∞-∞==+=+-⎰⎰⎰, 令112242X X θθ=+⇒=-. (II )()()()()222214444E X E X DX EX DX EX n ⎡⎤⎡⎤==+=+⎢⎥⎣⎦⎣⎦, 而()22212201()d d d 221336x x EX x f x x x x θθθθθθ+∞-∞==+=++-⎰⎰⎰, 所以 ()2225121248DX EX EX θθ=-=-+, 所以 ()()222211115441133412E X DX EX n n n n θθθ⎡⎤⎛⎫⎛⎫⎛⎫=+=++-++≠ ⎪ ⎪ ⎪⎢⎥⎣⎦⎝⎭⎝⎭⎝⎭, 故24X 不是2θ的无偏估计量.【评注】要熟练掌握总体未知参数点估计的矩估计法,最大似然估计法和区间估计法.完全类似例题见文登强化班笔记《概率论与数理统计》第5讲【例3】,《数学复习指南》(经济类)第三篇【例6.3,例6.6,例6.9】,。
2007年考研数学(三)真题解析1….【分析】本题为等价无穷小的判定,利用定义或等价无穷小代换即可. 【详解】当0x +→时,1-:1-:,211122x -=:, 故用排除法可得正确选项为(B ).事实上,000lim lim lim 1x x x +++→→→==,或ln(1)ln(1()x x o x o o =+-=+=:.所以应选(B )【评注】本题为关于无穷小量比较的基本题型,利用等价无穷小代换可简化计算. 类似例题见《数学复习指南》(经济类)第一篇【例1.54】 【例1.55】.2…….【分析】本题考查可导的极限定义及连续与可导的关系. 由于题设条件含有抽象函数,本题最简便的方法是用赋值法求解,即取符合题设条件的特殊函数()f x 去进行判断,然后选择正确选项.【详解】取()||f x x =,则0()()lim0x f x f x x→--=,但()f x 在0x =不可导,故选(D ).事实上,在(A),(B)两项中,因为分母的极限为0,所以分子的极限也必须为0,则可推得(0)0f =.在(C )中,0()limx f x x →存在,则00()(0)()(0)0,(0)limlim 00x x f x f f x f f x x→→-'====-,所以(C)项正确,故选(D) 【评注】对于题设条件含抽象函数或备选项为抽象函数形式结果以及数值型结果的选择题,用赋值法求解往往能收到奇效.类似例题见文登强化班笔记《高等数学》第2讲【例2】,文登07考研模拟试题数学二第一套(2).3…….【分析】本题实质上是求分段函数的定积分. 【详解】利用定积分的几何意义,可得221113(3)12228F πππ⎛⎫=-= ⎪⎝⎭,211(2)222F ππ==,202202011(2)()d ()d ()d 122F f x x f x x f x x ππ---==-===⎰⎰⎰. 所以 33(3)(2)(2)44F F F ==-,故选(C ).【评注】本题属基本题型. 本题利用定积分的几何意义比较简便.类似例题见文登强化班笔记《高等数学》第5讲【例17】和【例18】,《数学复习指南》(经济类)第一篇【例3.38】【例3.40】.4…….【分析】本题更换二次积分的积分次序,先根据二次积分确定积分区域,然后写出新的二次积分. 【详解】由题设可知,,sin 12x x y ππ≤≤≤≤,则01,arcsin y y x ππ≤≤-≤≤,故应选(B ).【评注】本题为基础题型. 画图更易看出.类似例题见文登强化班笔记《高等数学》第10讲【例5】,《数学复习指南》(经济类)第一篇【例7.5】,【例7.6】.5…….【分析】本题考查需求弹性的概念. 【详解】选(D ).商品需求弹性的绝对值等于d 2140d 1602Q P P P P Q P-⋅==⇒=-, 故选(D ).【评注】需掌握微积分在经济中的应用中的边际,弹性等概念.相关公式及例题见《数学复习指南》(经济类)第一篇【例11.2】.6…….【分析】利用曲线的渐近线的求解公式求出水平渐近线,垂直渐近线和斜渐近线,然后判断. 【详解】()()11lim lim ln 1e ,lim lim ln 1e 0xxx x x x y y x x →+∞→+∞→-∞→-∞⎡⎤⎡⎤=++=+∞=++=⎢⎥⎢⎥⎣⎦⎣⎦,所以 0y =是曲线的水平渐近线;()001lim lim ln 1e xx x y x→→⎡⎤=++=∞⎢⎥⎣⎦,所以0x =是曲线的垂直渐近线; ()()1e ln 1e ln 1e 1e lim lim 0lim lim 11xxx x x x x x y x x x x →+∞→+∞→+∞→+∞++++==+==,[]()1lim lim ln 1e0xx x b y x x x →+∞→+∞⎡⎤=-=++-=⎢⎥⎣⎦,所以y x =是曲线的斜渐近线. 故选(D ).【评注】本题为基本题型,应熟练掌握曲线的水平渐近线,垂直渐近线和斜渐近线的求法.注意当曲线存在水平渐近线时,斜渐近线不存在. 本题要注意e x当,x x →+∞→-∞时的极限不同.类似例题见文登强化班笔记《高等数学》第6讲第4节【例12】,《数学复习指南》(经济类)第一篇【例5.30】,【例5.31】.7……..【分析】本题考查由线性无关的向量组123,,ααα构造的另一向量组123,,βββ的线性相关性. 一般令()()123123,,,,A βββααα=,若0A =,则123,,βββ线性相关;若0A ≠,则123,,βββ线性无关. 但考虑到本题备选项的特征,可通过简单的线性运算得到正确选项.【详解】由()()()1223310αααααα-+-+-=可知应选(A ).或者因为()()122331123101,,,,110011ααααααααα-⎛⎫ ⎪---=- ⎪ ⎪-⎝⎭,而1011100011--=-, 所以122331,,αααααα---线性相关,故选(A ).【评注】本题也可用赋值法求解,如取()()()TTT1231,0,0,0,1,0,0,0,1ααα===,以此求出(A ),(B ),(C ),(D )中的向量并分别组成一个矩阵,然后利用矩阵的秩或行列式是否为零可立即得到正确选项.完全类似例题见文登强化班笔记《线性代数》第3讲【例3】,《数学复习指南》(经济类)《线性代数》【例3.3】.8……【分析】本题考查矩阵的合同关系与相似关系及其之间的联系,只要求得A 的特征值,并考虑到实对称矩阵A 必可经正交变换使之相似于对角阵,便可得到答案.【详解】 由2211121(3)112E A λλλλλλ--=-=--可得1233,0λλλ===,所以A 的特征值为3,3,0;而B 的特征值为1,1,0.所以A 与B 不相似,但是A 与B 的秩均为2,且正惯性指数都为2,所以A 与B 合同,故选(B ). 【评注】若矩阵A 与B 相似,则A 与B 具有相同的行列式,相同的秩和相同的特征值. 所以通过计算A 与B 的特征值可立即排除(A )(C ). 完全类似例题见《数学复习指南》(经济类)第二篇【例5.17】.9……..【分析】本题计算贝努里概型,即二项分布的概率. 关键要搞清所求事件中的成功次数. 【详解】p ={前三次仅有一次击中目标,第4次击中目标}12223(1)3(1)C p p p p p =-=-,故选(C ).【评注】本题属基本题型.类似例题见《数学复习指南》(经济类)第三篇【例1.29】【例1.30】10…….【分析】本题求随机变量的条件概率密度,利用X 与Y 的独立性和公式|(,)(|)()X Y Y f x y f x y f y =可求解. 【详解】因为(),X Y 服从二维正态分布,且X 与Y 不相关,所以X 与Y 独立,所以(,)()()X Y f x y f x f y =.故|()()(,)(|)()()()X Y X Y X Y Y f x f y f x y f x y f x f y f y ===,应选(A ).【评注】若(),X Y 服从二维正态分布,则X 与Y 不相关与X 与Y 独立是等价的.完全类似例题和求法见文登强化班笔记《概率论与数理统计》第3讲【例3】,《数学复习指南》(经济类)第三篇第二章知识点精讲中的一(4),二(3)和【例2.38】11….【分析】本题求类未定式,可利用“抓大头法”和无穷小乘以有界量仍为无穷小的结论.【详解】因为323233110222lim lim0,|sin cos |22112x x x x x x xx x x x x x x x →+∞→+∞++++===+<++, 所以3231lim(sin cos )02x x x x x x x →+∞+++=+. 【评注】无穷小的相关性质:(1) 有限个无穷小的代数和为无穷小; (2) 有限个无穷小的乘积为无穷小; (3) 无穷小与有界变量的乘积为无穷小. 完全类似例题和求法见文登强化班笔记《高等数学》第1讲【例1】,《数学复习指南》(经济类)第一篇【例1.43】12,……..【分析】本题求函数的高阶导数,利用递推法或函数的麦克老林展开式.【详解】()212,2323y y x x '==-++,则()1(1)2!()(23)n n n n n y x x +-=+,故()1(1)2!(0)3n n n n n y +-=. 【评注】本题为基础题型.完全类似例题见文登强化班笔记《高等数学》第2讲【例21】,《数学复习指南》(经济类)第一篇【2.20】,【例2.21】.13…….【分析】本题为二元复合函数求偏导,直接利用公式即可. 【详解】利用求导公式可得1221z y f f x x y ∂''=-+∂, 1221z x f f y x y∂''=-∂, 所以122z z y x xy f f x y xy ⎛⎫∂∂''-=-- ⎪∂∂⎝⎭. 【评注】二元复合函数求偏导时,最好设出中间变量,注意计算的正确性.完全类似例题见文登强化班笔记《高等数学》第9讲【例8】, 【例9】,《数学复习指南》(经济类)第一篇【例6.16】,【例6.17】,【例6.18】.14…..【分析】本题为齐次方程的求解,可令y u x=. 【详解】令yu x=,则原方程变为 33d 1d d d 22u u x u x u u x u x+=-⇒=-.两边积分得 2111ln ln 222x C u -=--,即222111e e y u x x x C C=⇒=,将11x y==代入左式得 e C =,故满足条件的方程的特解为 22e e x y x =,即y =1e x ->.【评注】本题为基础题型.完全类似例题见文登强化班笔记《高等数学》第7讲【例2】, 【例3】,《数学复习指南》(经济类)第一篇【例9.3】.15……….【分析】先将3A 求出,然后利用定义判断其秩.【详解】30100000100100000()10001000000000000A A r A ⎛⎫⎛⎫⎪⎪⎪⎪=⇒=⇒= ⎪⎪⎪⎪⎝⎭⎝⎭.【评注】本题为基础题型.矩阵相关运算公式见《数学复习指南》(经济类)第二篇第二章第1节中的知识点精讲.16……….【分析】根据题意可得两个随机变量服从区间()0,1上的均匀分布,利用几何概型计算较为简便. 【详解】利用几何概型计算. 图如下:所求概率2113214A D S S ⎛⎫- ⎪⎝⎭===.【评注】本题也可先写出两个随机变量的概率密度,然后利用它们的独立性求得所求概率.完全类似例题见文登强化班笔记《概率论与数理统计》第3讲【例11】,《数学复习指南》(经济类)第三篇【例2.29】,【例2.47】.17……..【分析】由凹凸性判别方法和隐函数的求导可得.【详解】 方程 ln 0y y x y -+=两边对x 求导得ln 10y y y yy y'''+-+=, 即(2ln )1y y '+=,则1(1)2y '=. 上式两边再对x 求导得()2(2ln )0y y y y'''++=则1(1)8y ''=-,所以曲线()y y x =在点(1,1)附近是凸的.【评注】本题为基础题型.类似例题见文登强化班笔记《高等数学》第6讲【例10】,《数学复习指南》(经济类)第一篇【例5.29】.18…….【分析】由于积分区域关于,x y 轴均对称,所以利用二重积分的对称性结论简化所求积分. 【详解】因为被积函数关于,x y 均为偶函数,且积分区域关于,x y 轴均对称,所以1DD (,)d (,)d f x y f x y σσ=⎰⎰⎰⎰,其中1D 为D 在第一象限内的部分.而12D 1,0,012,0,(,)d d x y x y x y x y f x y x σσσ+≤≥≥≤+≤≥≥=+⎰⎰⎰⎰⎰⎰1122220110d d d d xx x x x x y x y x y ---⎛⎫ ⎪=++ ⎪⎝⎭⎰⎰⎰⎰⎰⎰(1112=. 所以(D1(,)d 13f x y σ=+⎰⎰.【评注】被积函数包含22y x +时, 可考虑用极坐标,解答如下:1210,00,0(,)d x y x y x y x y f x y σσ≤+≤≤+≤>>>>=⎰⎰⎰⎰22sin cos 10sin cos d d r πθθθθθ++=⎰⎰.类似例题见文登强化班笔记《高等数学》第10讲【例1】,《数学复习指南》(经济类)第一篇【例7.3-例7.4】.19…….【分析】由所证结论()()f g ξξ''''=可联想到构造辅助函数()()()F x f x g x =-,然后根据题设条件利用罗尔定理证明.【详解】令()()()F x f x g x =-,则()F x 在[],a b 上连续,在(,)a b 内具有二阶导数且()()0F a F b ==.(1)若(),()f x g x 在(,)a b 内同一点c 取得最大值,则()()()0f c g c F c =⇒=, 于是由罗尔定理可得,存在12(,),(,)a c c b ξξ∈∈,使得12()()0F F ξξ''==.再利用罗尔定理,可得 存在12(,)ξξξ∈,使得()0F ξ''=,即()()f g ξξ''''=. (2)若(),()f x g x 在(,)a b 内不同点12,c c 取得最大值,则12()()f c g c M ==,于是 111222()()()0,()()()0F c f c g c F c f c g c =->=-<, 于是由零值定理可得,存在312(,)c c c ∈,使得3()0F c =于是由罗尔定理可得,存在1323(,),(,)a c c b ξξ∈∈,使得12()()0F F ξξ''==.再利用罗尔定理,可得 ,存在12(,)ξξξ∈,使得()0F ξ''=,即()()f g ξξ''''=. 【评注】对命题为()()0n fξ=的证明,一般利用以下两种方法:方法一:验证ξ为(1)()n fx -的最值或极值点,利用极值存在的必要条件或费尔马定理可得证;方法二:验证(1)()n fx -在包含x ξ=于其内的区间上满足罗尔定理条件.类似例题见文登强化班笔记《高等数学》第4讲【例7】,《数学复习指南》(经济类)第一篇【例4.5】,【例4.6】.20….【分析】本题考查函数的幂级数展开,利用间接法. 【详解】211111()34(4)(1)541f x x x x x x x ⎛⎫===- ⎪---+-+⎝⎭,而10011111(1),2414333313nnn n n x x x x x ∞∞+==--⎛⎫=-⋅=-=--<< ⎪--⎝⎭-∑∑, 10011111(1)(1),1311222212nn nn n n x x x x x ∞∞+==---⎛⎫=⋅=-=-<< ⎪-+⎝⎭+∑∑ , 所以 1111000(1)(1)(1)1(1)()(1)3232n n n n nn n n n n n n x x f x x ∞∞∞++++===⎡⎤----=-+=-+-⎢⎥⎣⎦∑∑∑, 收敛区间为 13x -<<.【评注】请记住常见函数的幂级数展开.完全类似例题见文登强化班笔记《高等数学》第11讲【例13】,《数学复习指南》(经济类)第一篇【例8.15】.21…..【分析】将方程组和方程合并,然后利用非齐次线性方程有解的判定条件求得a . 【详解】将方程组和方程合并,后可得线性方程组12312321231230204021x x x x x ax x x a x x x x a ++=⎧⎪++=⎪⎨++=⎪⎪++=-⎩ 其系数矩阵22111011101200110140031012110101a a A a a a a ⎛⎫⎛⎫⎪ ⎪-⎪ ⎪=→ ⎪ ⎪- ⎪ ⎪--⎝⎭⎝⎭.21110111001100110003200011001100(1)(2)0a a a a a a a a a a ⎛⎫⎛⎫ ⎪ ⎪-- ⎪ ⎪→→ ⎪ ⎪-+-- ⎪⎪----⎝⎭⎝⎭. 显然,当1,2a a ≠≠时无公共解. 当1a =时,可求得公共解为 ()T1,0,1k ξ=-,k 为任意常数;当2a =时,可求得公共解为()T0,1,1ξ=-.【评注】本题为基础题型,考查非齐次线性方程组解的判定和结构.完全类似例题见文登强化班笔记《线性代数》第4讲【例8】,《数学复习指南》(经济类)第二篇【例4.12】,【例4.15】.22……【分析】本题考查实对称矩阵特征值和特征向量的概念和性质. 【详解】(I )()()5353531111111111144412B A A Eααλαλααλλαα=-+=-+=-+=-,则1α是矩阵B 的属于-2的特征向量. 同理可得 ()532222241B αλλαα=-+=,()533333341B αλλαα=-+=.所以B 的全部特征值为2,1,1设B 的属于1的特征向量为T 2123(,,)x x x α=,显然B 为对称矩阵,所以根据不同特征值所对应的特征向量正交,可得T 120αα=.即 1230x x x -+=,解方程组可得B 的属于1的特征向量T T 212(1,0,1)(0,1,0)k k α=-+,其中12,k k 为不全为零的任意常数.由前可知B 的属于-2的特征向量为 T 3(1,1,1)k -,其中3k 不为零.(II )令101011101P ⎛⎫ ⎪=- ⎪ ⎪-⎝⎭,由(Ⅰ)可得-1100010002P BP ⎛⎫ ⎪= ⎪ ⎪-⎝⎭,则011101110B -⎛⎫ ⎪= ⎪ ⎪-⎝⎭.【评注】本题主要考查求抽象矩阵的特征值和特征向量,此类问题一般用定义求解,要想方设法将题设条件转化为Ax x λ=的形式. 请记住以下结论:(1)设λ是方阵A 的特征值,则21*,,,(),,kA aA bE A f A A A -+分别有特征值21,,,(),,(A k a b f A λλλλλλ+可逆),且对应的特征向量是相同的.(2)对实对称矩阵来讲,不同特征值所对应的特征向量一定是正交的完全类似例题见文登强化班笔记《线性代数》第5讲【例12】,《数学复习指南》(经济类) 第二篇【例5.24】23…….【分析】(I )可化为二重积分计算;(II) 利用卷积公式可得.【详解】(I ){}()()12002722d d d 2d 24x x y P X Y x y x y x x y y >>=--=--=⎰⎰⎰⎰. (II) 利用卷积公式可得()(,)d Z f z f x z x x +∞-∞=-⎰20121(2)d ,01201(2)d ,12(2)120,0,z z x x z z z z x x z z z -⎧-<<⎪⎧-<<⎪⎪=-<<=-≤<⎨⎨⎪⎪⎩⎪⎩⎰⎰其他其他. 【评注】 (II)也可先求出分布函数,然后求导得概率密度.完全类似例题见文登强化班笔记《概率论与数理统计》第3讲【例10】,【例11】,《数学复习指南》(经济类)第三篇【例2.38】,【例2.44】.(24) (本题满分11分)设总体X 的概率密度为1,021(),12(1)0,x f x x θθθθ⎧<<⎪⎪⎪=≤<⎨-⎪⎪⎪⎩其他 12(,,X X …,)n X 为来自总体X 的简单随机样本,X 是样本均值.(I )求参数θ的矩估计量θ);(II )判断24X 是否为2θ的无偏估计量,并说明理由.【分析】利用EX X =求(I );判断()?224E Xθ=. 【详解】(I )()101()d d d 22124x x EX xf x x x x θθθθθ+∞-∞==+=+-⎰⎰⎰, 令112242X X θθ=+⇒=-). (II )()()()()222214444E X E X DX EX DX EX n ⎡⎤⎡⎤==+=+⎢⎥⎣⎦⎣⎦, 而()22212201()d d d 221336x x EX x f x x x x θθθθθθ+∞-∞==+=++-⎰⎰⎰,所以 ()2225121248DX EX EX θθ=-=-+, 所以()()222211115441133412E X DX EX n n n n θθθ⎡⎤⎛⎫⎛⎫⎛⎫=+=++-++≠ ⎪ ⎪ ⎪⎢⎥⎣⎦⎝⎭⎝⎭⎝⎭, 故24X 不是2θ的无偏估计量.【评注】要熟练掌握总体未知参数点估计的矩估计法,最大似然估计法和区间估计法.。