2018-2019年全国各地高考真题分类汇编-圆锥曲线---学生版
- 格式:docx
- 大小:573.01 KB
- 文档页数:15
2018(新课标全国卷2 理科)5.双曲线22221(0,0)x y a b a b-=>>A .y =B .y =C .y =D .y = 12.已知1F ,2F 是椭圆22221(0)x y C a b a b+=>>:的左,右焦点,A 是C 的左顶点,点P 在过A 的直线上,12PF F △为等腰三角形,12120F F P ∠=︒,则C 的离心率为 A .23B .12C .13D .1419.(12分)设抛物线24C y x =:的焦点为F ,过F 且斜率为(0)k k >的直线l 与C 交于A ,B 两点,||8AB =.(1)求l 的方程;(2)求过点A ,B 且与C 的准线相切的圆的方程.2018(新课标全国卷2 文科)6.双曲线22221(0,0)x y a b a b-=>>A .y =B .y =C .y =D .y = 11.已知1F ,2F 是椭圆C 的两个焦点,P 是C 上的一点,若12PF PF ⊥,且2160PF F ∠=︒,则C 的离心率为A .1-B .2CD 120.(12分)设抛物线24C y x =:的焦点为F ,过F 且斜率为(0)k k >的直线l 与C 交于A ,B 两点,||8AB =.(1)求l 的方程;(2)求过点A ,B 且与C 的准线相切的圆的方程.2018(新课标全国卷1 理科)8.设抛物线C :y 2=4x 的焦点为F ,过点(–2,0)且斜率为23的直线与C 交于M ,N 两点,则FM FN ⋅= A .5B .6C .7D .811.已知双曲线C :2213x y -=,O 为坐标原点,F 为C 的右焦点,过F 的直线与C 的两条渐近线的交点分别为M 、N .若△OMN 为直角三角形,则|MN |=A .32B .3C .D .419.(12分)设椭圆22:12x C y +=的右焦点为F ,过F 的直线l 与C 交于,A B 两点,点M 的坐标为(2,0).(1)当l 与x 轴垂直时,求直线AM 的方程; (2)设O 为坐标原点,证明:OMA OMB ∠=∠.2018(新课标全国卷1 文科)4.已知椭圆C :22214x y a +=的一个焦点为(20),,则C 的离心率为A .13B .12C D 15.直线1y x =+与圆22230x y y ++-=交于A B ,两点,则AB =________. 20.(12分)设抛物线22C y x =:,点()20A ,,()20B -,,过点A 的直线l 与C 交于M ,N 两点. (1)当l 与x 轴垂直时,求直线BM 的方程; (2)证明:ABM ABN =∠∠.2018(新课标全国卷3 理科)6.直线20x y ++=分别与x 轴,y 轴交于A ,B 两点,点P 在圆()2222x y -+=上,则ABP △面积的取值范围是A .[]26,B .[]48,C .D .⎡⎣ 11.设12F F ,是双曲线22221x y C a b-=:(00a b >>,)的左、右焦点,O 是坐标原点.过2F作C 的一条渐近线的垂线,垂足为P .若1PF =,则C 的离心率为AB .2CD20.(12分)已知斜率为k 的直线l 与椭圆22143x y C +=:交于A ,B 两点,线段AB 的中点为()()10M m m >,.(1)证明:12k <-;(2)设F 为C 的右焦点,P 为C 上一点,且FP FA FB ++=0.证明:FA ,FP ,FB 成等差数列,并求该数列的公差.2018(新课标全国卷3 文科)8.直线20x y ++=分别与x 轴,y 轴交于A ,B 两点,点P 在圆22(2)2x y -+=上,则ABP △面积的取值范围是 A .[2,6]B .[4,8]C .[2,32]D .[22,32]10.已知双曲线22221(00)x y C a b a b-=>>:,的离心率为2,则点(4,0)到C 的渐近线的距离为 A .2B .2C .322D .2220.(12分)已知斜率为k 的直线l 与椭圆22143x y C +=:交于A ,B 两点.线段AB 的中点为(1,)(0)M m m >.(1)证明:12k <-; (2)设F 为C 的右焦点,P 为C 上一点,且FP FA FB ++=0.证明:2||||||FP FA FB =+.2017(新课标全国卷2 理科)9.若双曲线()2222:10,0x y C a b a b-=>>的一条渐近线被圆()2224x y -+=所截得的弦长为2,则C 的离心率为( ).A .2B 3C 2D .23316.已知F 是抛物线2:8C y x =的焦点,M 是C 上一点,FM 的延长线交y 轴于点N . 若M 为FN 的中点,则FN = .20. 设O 为坐标原点,动点M 在椭圆22:12x C y +=上,过M 做x 轴的垂线,垂足为N ,点P 满足2NP NM =.(1)求点P 的轨迹方程;(2)设点Q 在直线3x =-上,且1OP PQ ⋅=.证明:过点P 且垂直于OQ 的直线l 过C 的左焦点F .2017(新课标全国卷2 文科)5.若1a >,则双曲线2221x y a-=的离心率的取值范围是( ).A.)+∞ B.) C. ( D. ()12,12.过抛物线2:4C y x =的焦点F C 于点M (M 在x 轴上方),l为C 的准线,点N 在l 上且MN l ⊥,则M 到直线NF 的距离为( ).B. C. D.20.设O 为坐标原点,动点M 在椭圆22:12x C y +=上,过M 作x 轴的垂线,垂足为N , 点P 满足2NP NM =.(1)求点P 的轨迹方程;(2)设点Q 在直线3x =-上,且1OP PQ ⋅=.证明:过点P 且垂直于OQ 的直线l 过C 的左焦点F .2017(新课标全国卷1 理科)10.已知F 为抛物线24C y x =:的焦点,过F 作两条互相垂直的直线1l ,2l ,直线1l 与C 交于A ,B 两点,直线2l 与C 交于D ,E 两点,则AB DE +的最小值为( ). A .16 B .14 C .12 D .1015.已知双曲线()2222:10,0x y C a b a b-=>>的右顶点为A ,以A 为圆心,b 为半径做圆A ,圆A 与双曲线C 的一条渐近线交于M ,N 两点.若60MAN ∠=,则C 的离心率为________.20.已知椭圆()2222:=10x y C a b a b +>>,四点()111P ,,()201P ,,3–12P ⎛⎫ ⎪ ⎪⎝⎭,,412P ⎛ ⎝⎭,中恰有三点在椭圆C 上. (1)求C 的方程;(2)设直线l 不经过2P 点且与C 相交于A ,B 两点.若直线2P A 与直线2P B 的斜率的和为–1,证明:l 过定点.2017(新课标全国卷1 文科)5.已知F 是双曲线22:13y C x -=的右焦点,P 是C 上一点,且PE 与x 轴垂直,点A 的坐标是()1,3,则APF △的面积为( ).A .13 B .12 C .23 D .3212.设A ,B 是椭圆22:13x y C m+=长轴的两个端点,若C 上存在点M 满足120AMB ∠=,则m 的取值范围是( ).A 20.设A ,B 为曲线2:4x C y =上两点,A 与B 的横坐标之和为4.(1)求直线AB 的斜率;(2)设M 为曲线C 上一点,C 在M 处的切线与直线AB 平行,且AM BM ⊥,求直线AB 的方程..(][)0,19,+∞ B.([)9,+∞ C.(][)0,14,+∞ D.([)4,+∞2017(新课标全国卷3 理科)5.已知双曲线C :()2222:10,0x y C a b a b -=>>的一条渐近线方程为y x =,且与椭圆 221123x y +=有公共焦点,则C 的方程为( ). A .221810x y -= B .22145x y -= C .22154x y -= D .22143x y -=10.已知椭圆()2222:10x y C a b a b+=>>的左、右顶点分别为1A ,2A ,且以线段12A A 为直径的圆与直线20bx ay ab -+=相切,则C 的离心率为( ).AB C D .1320.已知抛物线22C y x =:,过点()20,的直线l 交C 与A ,B 两点,圆M 是以线段AB 为直径的圆.(1)证明:坐标原点O 在圆M 上;(2)设圆M 过点()42P -,,求直线l 与圆M 的方程.2017(新课标全国卷3 文科)11.已知椭圆()2222:10x y C a b a b+=>>的左、右顶点分别为1A ,2A ,且以线段12A A 为直径的圆与直线20bx ay ab -+=相切,则C 的离心率为( ).A B C D .1314.双曲线()222109x y a a -=>的一条渐近线方程为35y x =,则a = . 20.在直角坐标系xOy 中,曲线2–2y x mx =+与x 轴交于A ,B 两点,点C 的坐标为()01,.当m 变化时,解答下列问题:(1)能否出现AC BC ⊥的情况?说明理由;(2)证明过A ,B ,C 三点的圆在y 轴上截得的弦长为定值.2016(新课标全国卷2 理科)(4)圆2228130x y x y +--+=的圆心到直线10ax y +-=的距离为1,则a=( )(A )43-(B )34- (C (D )2 (11)已知12,F F 是双曲线2222:1x y E a b-=的左,右焦点,点M 在E 上,1MF 与x 轴垂直,211sin 3MF F ∠=,则E 的离心率为( )(A )2 (B )32(C )3 (D )220.(本小题满分12分)已知椭圆:E 2213x y t +=的焦点在x 轴上,A 是E 的左顶点,斜率为(0)k k >的直线交E 于,A M 两点,点N 在E 上,MA NA ⊥.(Ⅰ)当4,||||t AM AN ==时,求AMN ∆的面积; (Ⅱ)当2AM AN =时,求k 的取值范围.2016(新课标全国卷2 文科)(5) 设F 为抛物线C :y 2=4x 的焦点,曲线y =kx(k >0)与C 交于点P ,PF ⊥x 轴,则k =( )(A )12 (B )1 (C )32 (D )2(6) 圆x 2+y 2−2x −8y +13=0的圆心到直线ax +y −1=0的距离为1,则a =( )(A )−43 (B )−34(C 3 (D )2(21)(本小题满分12分)已知A 是椭圆E :22143x y +=的左顶点,斜率为()0k k >的直线交E 与A ,M 两点,点N 在E 上,MA NA ⊥.(Ⅰ)当AM AN =时,求AMN ∆的面积; (Ⅱ)当AM AN =32k <<.2016(新课标全国卷1 理科)(5)已知方程x 2m 2+n –y 23m 2–n =1表示双曲线,且该双曲线两焦点间的距离为4,则n 的取值范围是(A )(–1,3) (B )(–1,3) (C )(0,3) (D )(0,3)(10)以抛物线C 的顶点为圆心的圆交C 于A 、B 两点,交C 的标准线于D 、E 两点.已知|AB |=|DE|=C 的焦点到准线的距离为 (A)2 (B)4 (C)6 (D)8 20. (本小题满分12分)理科设圆222150x y x ++-=的圆心为A ,直线l 过点B (1,0)且与x 轴不重合,l 交圆A 于C ,D 两点,过B 作AC 的平行线交AD 于点E .(I )证明EA EB +为定值,并写出点E 的轨迹方程;(II )设点E 的轨迹为曲线C 1,直线l 交C 1于M ,N 两点,过B 且与l 垂直的直线与圆A 交于P ,Q 两点,求四边形MPNQ 面积的取值范围.2016(新课标全国卷1 文科)(5)直线l 经过椭圆的一个顶点和一个焦点,若椭圆中心到l 的距离为其短轴长的14,则该椭圆的离心率为(A )13(B )12(C )23(D )34(15)设直线y=x +2a 与圆C :x 2+y 2-2ay -2=0相交于A ,B 两点,若错误!未找到引用源。
2018年全国各地高考数学试题及解答分类大全 (圆锥曲线与方程)一、选择题1.(2018浙江)双曲线221 3=x y -的焦点坐标是( )A .(−2,0),(2,0) B .(−2,0),(2,0)C .(0,−2),(0,2)D .(0,−2),(0,2)1..答案:B解答:∵2314c =+=,∴双曲线2213x y -=的焦点坐标是(2,0)-,(2,0).2. (2018上海)设P 是椭圆 ²5x +²3y =1上的动点,则P 到该椭圆的两个焦点的距离之和为( )(A )2(B )2(C )2(D )43.(2018天津文、理)已知双曲线22221(0,0)x y a b a b-=>> 的离心率为2,过右焦点且垂直于x 轴的直线与双曲线交于,A B 两点.设,A B 到双曲线的同一条渐近线的距离分别为1d 和2d ,且126,d d += 则双曲线的方程为( )(A )22139x y -= (B )22193x y -=(C )221412x y -= (D )221124x y -= 3.【答案】A【解析】设双曲线的右焦点坐标为(),0F c ,()0c >,则A B x x c ==, 由22221c y a b-=可得2b y a =±,不妨设2,b A c a ⎛⎫ ⎪⎝⎭,2,b B c a ⎛⎫- ⎪⎝⎭,双曲线的一条渐近线方程为0bx ay -=,据此可得22122bc b bc b d c a b --=+,22222bc b bc b d c a b ++==+, 则12226bcd d b c +===,则3b =,29b =,双曲线的离心率:2229112c b e a a a==++,据此可得23a =,则双曲线的方程为22139x y -=.故选A .4.(2018全国新课标Ⅰ文)已知椭圆C:22214x ya+=的一个焦点为(20),,则C的离心率为()A.13B.12C.2D .224、答案:C解答:知2c=,∴2228a b c=+=,22a=,∴离心率22e=.5.(2018全国新课标Ⅰ理)已知双曲线C:2213xy-=,O为坐标原点,F为C的右焦点,过F的直线与C的两条渐近线的交点分别为M、N.若OMN△为直角三角形,则|MN|=()A.32B.3 C.23D.45. 答案:B解答:渐近线方程为:2203xy-=,即3y x=±,∵OMN∆为直角三角形,假设2ONMπ∠=,如图,∴3NMk=,直线MN方程为3(2)y x=-.联立333(2)y xy x⎧=-⎪⎨⎪=-⎩∴33(,)22N-,即3ON=,∴3MONπ∠=,∴3MN=,故选B.6.(2018全国新课标Ⅰ理)设抛物线C:y2=4x的焦点为F,过点(–2,0)且斜率为23的直线与C 交于M,N两点,则FM FN⋅=()A.5 B.6 C.7 D.86. 答案:D解答:由题意知直线MN的方程为2(2)3y x=+,设1122(,),(,)M x y N x y,与抛物线方程联立有22(2)34y xy x⎧=+⎪⎨⎪=⎩,可得1112xy=⎧⎨=⎩或2244xy=⎧⎨=⎩,∴(0,2),(3,4)FM FN==,∴03248FM FN⋅=⨯+⨯=.7.(2018全国新课标Ⅱ文)已知1F ,2F 是椭圆C 的两个焦点,P 是C 上的一点,若12PF PF ⊥,且2160PF F ∠=︒,则C 的离心率为( )A.1-B.2 CD1 7.【答案】D【解析】在12F PF △中,1290F PF ∠=︒,2160PF F ∠=︒,设2PF m =,则1222c F F m ==,1PF =,又由椭圆定义可知)1221a PF PF m =+=则离心率212c ce a a===,故选D .8.(2018全国新课标Ⅱ文、理)双曲线22221(0,0)x y a b a b-=>>则其渐近线方程为( )A.y = B.y = C.y =D.y = 8.【答案】A【解析】c e a ==,2222221312b c a e a a -∴==-=-=,b a ∴,因为渐近线方程为b y x a =±,所以渐近线方程为y =,故选A .9.(2018全国新课标Ⅱ理)已知1F ,2F 是椭圆22221(0)x y C a b a b+=>>:的左、右焦点,A 是C 的左顶点,点P 在过A的直线上,12PF F △为等腰三角形,12120F F P ∠=︒,则C 的离心率为( )A.23 B .12 C .13D .14 9.【答案】D【解析】因为12PF F △为等腰三角形,12120F F P ∠=︒,所以2122PF F F c ==,由AP得,2tan PAF ∠,2sin PAF ∴∠=,2cos PAF ∠=,由正弦定理得2222sin sin PF PAF AF APF ∠=∠,2225sin 3c a c PAF ∴===+-∠ ⎪⎝⎭, 4a c ∴=,14e =,故选D .10.(2018全国新课标Ⅲ文)已知双曲线22221(00)x y C a b a b-=>>:,,则点(4,0)到C 的渐近线的距离为( )AB .2C .2D .10.答案:D解答:由题意c e a ==1ba=,故渐近线方程为0x y ±=,则点(4,0)到渐近线的距离为d ==.故选D.11.(2018全国新课标Ⅲ理)设12F F ,是双曲线22221x y C a b-=:(00a b >>,)的左,右焦点,O 是坐标原点.过2F 作C 的一条渐近线的垂线,垂足为P .若16PF OP =,则C 的离心率为( ) A .5 B .2C .3D .211.答案:C解答:∵2||PF b =,2||OF c =,∴ ||PO a =; 又因为1||6||PF OP =,所以1||6PF a =; 在2Rt POF ∆中,22||cos ||PF bOF cθ==; ∵在12Rt PF F ∆中,2222121212||||||cos 2||||PF F F PF bPF F F cθ+-==⋅⋅,∴222222222224(6)4644633b c a bb c a b c a c a c+-=⇒+-=⇒-=- 223c a ⇒=3e ⇒=.二、填空1.(2018北京文)已知直线l 过点()1,0且垂直于x 轴,若l 被抛物线24y ax =截得的线段长为4,则抛物线的焦点坐标为_________.1.【答案】()1,0【解析】1a =,24y x ∴=,由抛物线方程可得,24p =,2p =,12p=, ∴焦点坐标为()1,0.2.(2018北京文)若双曲线()222104x y a a -=>5,则a =_________. 2.【答案】4【解析】在双曲线中,2224c a b a =++,且5c e a ==245a +,22454a a +=,216a ∴=,04a a >∴=.3.(2018北京理)已知椭圆22221(0)x y M a b a b +=>>:,双曲线22221x y N m n-=:.若双曲线N 的两条渐近线与椭圆M 的四个交点及椭圆M 的两个焦点恰为一个正六边形的顶点,则椭圆M 的离心率为__________;双曲线N 的离心率为__________. 3.31;2【解析】由正六边形性质得椭圆上一点到两焦点距离之和为3c c +,再根据椭圆定义得32c c a +=,所以椭圆M 的离心率为3113c a ==-+.双曲线N 的渐近线方程为n y x m =±,由题意得双曲线N 的一条渐近线的倾斜角为π3,222πtan 33n m ∴==,222222234m n m m e m m ++∴===,2e ∴=.4. (2018上海)双曲线2214x y -=的渐近线方程为。
2019年高考数学理试题分类汇编:圆锥曲线(含答案)2019年高考数学理试题分类汇编——圆锥曲线一、选择题1.(2019年四川高考)设O为坐标原点,P是以F为焦点的抛物线y=2px(p>0)上任意一点,M是线段PF上的点,且PM=2MF,则直线OM的斜率的最大值为2/3.(答案:C)2.(2019年天津高考)已知双曲线x^2/4 - y^2/9 = 1(b>0),以原点为圆心,双曲线的实半轴长为半径长的圆与双曲线的两条渐近线相交于A、B、C、D四点,四边形ABCD的面积为2b,则双曲线的方程为x^2/4 - y^2/9 = 1.(答案:D)3.(2019年全国I高考)已知方程x^2/n^2 - y^2/m^2 = 1表示双曲线,且该双曲线两焦点间的距离为4,则n的取值范围是(-1,3)。
(答案:A)4.(2019年全国I高考)以抛物线C的顶点为圆心的圆交C于A、B两点,交C的准线于D、E两点。
已知|AB|=42,|DE|=25,则C的焦点到准线的距离为4.(答案:B)5.(2019年全国II高考)圆(x-1)^2 + (y-4)^2 = 13的圆心到直线ax+y-1=0的距离为1,则a=-2/3.(答案:A)6.(2019年全国II高考)已知F1,F2是双曲线E:x^2/4 -y^2/2 = 1的左、右焦点,点M在E上,MF1与x轴垂直,sin∠MF2F1=1/3,则E的离心率为2/3.(答案:A)7.(2019年全国III高考)已知O为坐标原点,F是椭圆C:x^2/a^2 + y^2/b^2 = 1(a>b>0)的左焦点,A、B分别为C的左、右顶点。
P为C上一点,且PF⊥x轴。
过点A的直线l与线段PF交于点M,与y轴交于点E。
若直线BM经过OE的中点,则C的离心率为1/3.(答案:A)8.(2019年浙江高考)已知椭圆 + y^2/(m^2-1) = 1(m>1)与双曲线- y^2/(n^2-1) = 1(n>0)的焦点重合,e1,e2分别为m,n,则e1+e2=3.(答案:C)解析】Ⅰ)由题意可知,椭圆C的离心率为$\frac{\sqrt{3}}{2}$,根据离心率的定义可得:$\frac{c}{a}=\frac{\sqrt{3}}{2}$,其中$c$为椭圆的焦距之一,即$2c$为椭圆的长轴长度,$a$为椭圆的半长轴长度,$b$为椭圆的半短轴长度,则有:$$\frac{2c}{2a}=\frac{\sqrt{3}}{2}$$ 即:$$\frac{c}{a}=\frac{\sqrt{3}}{4}$$ 又因为焦点$F$在椭圆的一个顶点上,所以该顶点的坐标为$(a,0)$,即$2c=2a$,代入上式可得:$$\frac{b}{a}=\frac{1}{2}$$ 又因为椭圆的方程为$\frac{x^2}{a^2}+\frac{y^2}{b^2}=1$,代入$\frac{b}{a}=\frac{1}{2}$可得:$$\frac{x^2}{a^2}+\frac{4y^2}{a^2}=1$$ 即:$$x^2+4y^2=a^2$$ (Ⅱ)(i)设椭圆C的另一个顶点为$V$,则$OV$为椭圆的长轴,$OF$为椭圆的短轴,且$OV=2a$,$OF=\sqrt{3}a$。
圆锥曲线1.(2018年全国一·文科4)已知椭圆C :22214x y a +=的一个焦点为(20),,则C 的离心率为 A .13 B .12 CD2.(2018年全国二·文科6)双曲线,则其渐近线方程为 A .B .C .D .3.(2018年全国二·文科11)已知,是椭圆的两个焦点,是上的一点,若,且,则的离心率为A .B .CD4.(2018年全国三·文科10)已知双曲线,则点到的渐近线的距离为AB .CD .5.(2018年北京·文科10)已知直线l 过点(1,0)且垂直于 轴,若l 被抛物线24y ax =截得的线段长为4,则抛物线的焦点坐标为_________.6.(2018年北京·文科12)若双曲线2221(0)4x y a a -=>的离心率为2,则a =_________. 7.(2018年天津·文科7)已知双曲线22221(0,0)x y a b a b-=>> 的离心率为2,过右焦点且垂直于x 轴的直线与双曲线交于,A B 两点.设,A B 到双曲线的同一条渐近线的距离分别为1d 和2d ,且126,d d +=则双曲线的方程为(A )22139x y -= (B )22193x y -= (C )221412x y -=(D )221124x y -= 22221(0,0)x y a b a b-=>>y =y =2y x =±y =1F 2F C P C 12PF PF ⊥2160PF F ∠=︒C 1-2-122221(00)x y C a b a b-=>>:,(4,0)C 28.(2018年江苏8)在平面直角坐标系xOy 中,若双曲线22221(0,0)x y a b a b-=>>的右焦点(,0)F c 到一条渐近线,则其离心率的值是 . 9.(2018年浙江2)双曲线221 3=x y -的焦点坐标是 A .(,0),0)B .(−2,0),(2,0)C .(0,,(0D .(0,−2),(0,2) 10.(2018年浙江17)已知点P (0,1),椭圆24x +y 2=m (m >1)上两点A ,B 满足AP =2PB ,则当m =___________时,点B 横坐标的绝对值最大.11.(2018年上海2)双曲线2214x y -=的渐近线方程为 。
20182010圆锥曲线高考题全国卷真题汇总(word版可编辑修改)
20182010圆锥曲线高考题全国卷真题汇总(word版可编辑修改)
编辑整理:
尊敬的读者朋友们:
这里是精品文档编辑中心,本文档内容是由我和我的同事精心编辑整理后发布的,发布之前我们对文中内容进行仔细校对,但是难免会有疏漏的地方,但是任然希望(20182010圆锥曲线高考题全国卷真题汇总(word版可编辑修改))的内容能够给您的工作和学习带来便利。
同时也真诚的希望收到您的建议和反馈,这将是我们进步的源泉,前进的动力。
本文可编辑可修改,如果觉得对您有帮助请收藏以便随时查阅,最后祝您生活愉快业绩进步,以下为20182010圆锥曲线高考题全国卷真题汇总(word版可编辑修改)的全部内容。
,
A
点为
>0
两点,若,则圆。
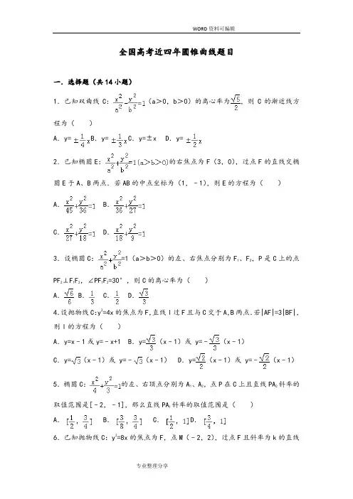
全国高考近四年圆锥曲线题目一.选择题(共14小题)1.已知双曲线C:(a>0,b>0)的离心率为,则C的渐近线方程为()A.y=B.y=C.y=±x D.y=2.已知椭圆E:的右焦点为F(3,0),过点F的直线交椭圆E于A、B两点.若AB的中点坐标为(1,﹣1),则E的方程为()A.B.C.D.3.设椭圆C:=1(a>b>0)的左、右焦点分别为F1、F2,P是C上的点PF2⊥F1F2,∠PF1F2=30°,则C的离心率为()A. B.C.D.4.设抛物线C:y2=4x的焦点为F,直线l过F且与C交于A,B两点.若|AF|=3|BF|,则l的方程为()A.y=x﹣1或y=﹣x+1 B.y=(x﹣1)或 y=﹣(x﹣1)C.y=(x﹣1)或 y=﹣(x﹣1)D.y=(x﹣1)或 y=﹣(x﹣1)5.椭圆C:的左、右顶点分别为A1、A2,点P在C上且直线PA2斜率的取值范围是[﹣2,﹣1],那么直线PA1斜率的取值范围是()A.B.C.D.6.已知抛物线C:y2=8x的焦点为F,点M(﹣2,2),过点F且斜率为k的直线与C 交于A ,B 两点,若,则k=( )A .B .C .D .27.已知F 1(﹣1,0),F 2(1,0)是椭圆C 的两个焦点,过F 2且垂直于x 轴的直线交椭圆于A 、B 两点,且|AB|=3,则C 的方程为( ) A .B .C .D .8.设F 为抛物线C :y 2=3x 的焦点,过F 且倾斜角为30°的直线交于C 于A ,B 两点,则|AB|=( ) A .B .6C .12D .79.已知椭圆C :+=1(a >b >0)的左、右焦点为F 1、F 2,离心率为,过F 2的直线l 交C 于A 、B 两点,若△AF 1B 的周长为4,则C 的方程为( ) A .+=1 B .+y 2=1 C .+=1 D .+=110.已知双曲线C 的离心率为2,焦点为F 1、F 2,点A 在C 上,若|F 1A|=2|F 2A|,则cos ∠AF 2F 1=( ) A . B . C . D .11.双曲线C :﹣=1(a >0,b >0)的离心率为2,焦点到渐近线的距离为,则C 的焦距等于( ) A .2B .2C .4D .412.设F 为抛物线C :y 2=4x 的焦点,曲线y=(k >0)与C 交于点P ,PF ⊥x 轴,则k=( ) A . B .1C .D .213.已知O 为坐标原点,F 是椭圆C :+=1(a >b >0)的左焦点,A ,B 分别为C 的左,右顶点.P 为C 上一点,且PF ⊥x 轴,过点A 的直线l 与线段PF交于点M,与y轴交于点E.若直线BM经过OE的中点,则C的离心率为()A.B.C.D.14.已知椭圆E的中心在坐标原点,离心率为,E的右焦点与抛物线C:y2=8x 的焦点重合,A,B是C的准线与E的两个交点,则|AB|=()A.3 B.6 C.9 D.12二.填空题(共2小题)15.已知g(x)=+x2+2a1nx在[1,2]上是减函数,则实数a的取值范围为.16.已知F是双曲线C:x2﹣=1的右焦点,P是C的左支上一点,A(0,6).当△APF周长最小时,该三角形的面积为.三.解答题(共5小题)17.已知抛物线C:y2=2x的焦点为F,平行于x轴的两条直线l1,l2分别交C于A,B两点,交C的准线于P,Q两点.(Ⅰ)若F在线段AB上,R是PQ的中点,证明AR∥FQ;(Ⅱ)若△PQF的面积是△ABF的面积的两倍,求AB中点的轨迹方程.18.设圆x2+y2+2x﹣15=0的圆心为A,直线l过点B(1,0)且与x轴不重合,l 交圆A于C,D两点,过B作AC的平行线交AD于点E.(Ⅰ)证明|EA|+|EB|为定值,并写出点E的轨迹方程;(Ⅱ)设点E的轨迹为曲线C1,直线l交C1于M,N两点,过B且与l垂直的直线与圆A交于P,Q两点,求四边形MPNQ面积的取值范围.19.在直角坐标系xOy中,曲线C:y=与直线l:y=kx+a(a>0)交于M,N 两点.(Ⅰ)当k=0时,分別求C在点M和N处的切线方程.(Ⅱ)y轴上是否存在点P,使得当k变动时,总有∠OPM=∠OPN?(说明理由)20.已知点A(0,﹣2),椭圆E:+=1(a>b>0)的离心率为,F是椭圆的焦点,直线AF的斜率为,O为坐标原点.(Ⅰ)求E的方程;(Ⅱ)设过点A的直线l与E相交于P,Q两点,当△OPQ的面积最大时,求l 的方程.21.已知抛物线C:y2=2px(p>0)的焦点为F,直线y=4与y轴的交点为P,与C的交点为Q,且|QF|=|PQ|.(Ⅰ)求C的方程;(Ⅱ)过F的直线l与C相交于A、B两点,若AB的垂直平分线l′与C相交于M、N两点,且A、M、B、N四点在同一圆上,求l的方程.全国高考近四年圆锥曲线题目参考答案与试题解析一.选择题(共14小题)1.(2013•新课标Ⅰ)已知双曲线C:(a>0,b>0)的离心率为,则C的渐近线方程为()A.y=B.y=C.y=±x D.y=【分析】由离心率和abc的关系可得b2=4a2,而渐近线方程为y=±x,代入可得答案.【解答】解:由双曲线C:(a>0,b>0),则离心率e===,即4b2=a2,故渐近线方程为y=±x=x,故选:D.【点评】本题考查双曲线的简单性质,涉及的渐近线方程,属基础题.2.(2013•新课标Ⅰ)已知椭圆E:的右焦点为F(3,0),过点F的直线交椭圆E于A、B两点.若AB的中点坐标为(1,﹣1),则E的方程为()A.B.C.D.【分析】设A (x 1,y 1),B (x 2,y 2),代入椭圆方程得,利用“点差法”可得.利用中点坐标公式可得x 1+x 2=2,y 1+y 2=﹣2,利用斜率计算公式可得==.于是得到,化为a 2=2b 2,再利用c=3=,即可解得a 2,b 2.进而得到椭圆的方程.【解答】解:设A (x 1,y 1),B (x 2,y 2),代入椭圆方程得,相减得,∴.∵x 1+x 2=2,y 1+y 2=﹣2,==.∴,化为a 2=2b 2,又c=3=,解得a 2=18,b 2=9. ∴椭圆E 的方程为.故选D .【点评】熟练掌握“点差法”和中点坐标公式、斜率的计算公式是解题的关键.3.(2013•新课标Ⅱ)设椭圆C :=1(a >b >0)的左、右焦点分别为F 1、F 2,P是C上的点PF2⊥F1F2,∠PF1F2=30°,则C的离心率为()A. B.C.D.【分析】设|PF2|=x,在直角三角形PF1F2中,依题意可求得|PF1|与|F1F2|,利用椭圆离心率的性质即可求得答案.【解答】解:|PF2|=x,∵PF2⊥F1F2,∠PF1F2=30°,∴|PF1|=2x,|F1F2|=x,又|PF1|+|PF2|=2a,|F1F2|=2c∴2a=3x,2c=x,∴C的离心率为:e==.故选D.【点评】本题考查椭圆的简单性质,求得|PF1|与|PF2|及|F1F2|是关键,考查理解与应用能力,属于中档题.4.(2013•新课标Ⅱ)设抛物线C:y2=4x的焦点为F,直线l过F且与C交于A,B两点.若|AF|=3|BF|,则l的方程为()A.y=x﹣1或y=﹣x+1 B.y=(x﹣1)或 y=﹣(x﹣1)C.y=(x﹣1)或 y=﹣(x﹣1)D.y=(x﹣1)或 y=﹣(x﹣1)【分析】根据题意,可得抛物线焦点为F(1,0),由此设直线l方程为y=k(x﹣1),与抛物线方程联解消去x,得﹣y﹣k=0.再设A(x1,y1),B(x2,y2),由根与系数的关系和|AF|=3|BF|,建立关于y1、y2和k的方程组,解之可得k值,从而得到直线l的方程.【解答】解:∵抛物线C方程为y2=4x,可得它的焦点为F(1,0),∴设直线l方程为y=k(x﹣1)由消去x,得﹣y﹣k=0设A(x1,y1),B(x2,y2),可得y1+y2=,y1y2=﹣4…(*)∵|AF|=3|BF|,∴y 1+3y 2=0,可得y 1=﹣3y 2,代入(*)得﹣2y 2=且﹣3y 22=﹣4, 消去y 2得k 2=3,解之得k=∴直线l 方程为y=(x ﹣1)或y=﹣(x ﹣1)故选:C【点评】本题给出抛物线的焦点弦AB 被焦点F 分成1:3的两部分,求直线AB 的方程,着重考查了抛物线的标准方程、简单几何性质和直线与圆锥曲线的位置关系等知识,属于中档题.5.(2013•大纲版)椭圆C :的左、右顶点分别为A 1、A 2,点P 在C 上且直线PA 2斜率的取值范围是[﹣2,﹣1],那么直线PA 1斜率的取值范围是( ) A .B .C .D .【分析】由椭圆C :可知其左顶点A 1(﹣2,0),右顶点A 2(2,0).设P (x 0,y 0)(x 0≠±2),代入椭圆方程可得.利用斜率计算公式可得,再利用已知给出的的范围即可解出.【解答】解:由椭圆C :可知其左顶点A 1(﹣2,0),右顶点A 2(2,0).设P (x 0,y 0)(x 0≠±2),则,得.∵=,=,∴==,∵,∴,解得.故选B.【点评】熟练掌握椭圆的标准方程及其性质、斜率的计算公式、不等式的性质等是解题的关键.6.(2013•大纲版)已知抛物线C:y2=8x的焦点为F,点M(﹣2,2),过点F 且斜率为k的直线与C交于A,B两点,若,则k=()A.B. C.D.2【分析】斜率k存在,设直线AB为y=k(x﹣2),代入抛物线方程,利用=(x1+2,y1﹣2)•(x2+2,y2﹣2)=0,即可求出k的值.【解答】解:由抛物线C:y2=8x得焦点(2,0),由题意可知:斜率k存在,设直线AB为y=k(x﹣2),代入抛物线方程,得到k2x2﹣(4k2+8)x+4k2=0,△>0,设A(x1,y1),B(x2,y2).∴x1+x2=4+,x1x2=4.∴y1+y2=,y1y2=﹣16,又=0,∴=(x1+2,y1﹣2)•(x2+2,y2﹣2)==0∴k=2.故选:D.【点评】本题考查直线与抛物线的位置关系,考查向量的数量积公式,考查学生的计算能力,属于中档题.7.(2013•大纲版)已知F1(﹣1,0),F2(1,0)是椭圆C的两个焦点,过F2且垂直于x轴的直线交椭圆于A、B两点,且|AB|=3,则C的方程为()A.B.C.D.【分析】设椭圆的方程为,根据题意可得=1.再由AB经过右焦点F2且垂直于x轴且|AB|=3算出A、B的坐标,代入椭圆方程得,两式联解即可算出a2=4,b2=3,从而得到椭圆C的方程.【解答】解:设椭圆的方程为,可得c==1,所以a2﹣b2=1…①∵AB经过右焦点F2且垂直于x轴,且|AB|=3∴可得A(1,),B(1,﹣),代入椭圆方程得,…②联解①②,可得a2=4,b2=3∴椭圆C的方程为故选:C【点评】本题给出椭圆的焦距和通径长,求椭圆的方程.着重考查了椭圆的标准方程和椭圆的简单几何性质等知识,属于基础题.8.(2014•新课标Ⅱ)设F为抛物线C:y2=3x的焦点,过F且倾斜角为30°的直线交于C于A,B两点,则|AB|=()A.B.6 C.12 D.7【分析】求出焦点坐标,利用点斜式求出直线的方程,代入抛物线的方程,利用根与系数的关系,由弦长公式求得|AB|.【解答】解:由y2=3x得其焦点F(,0),准线方程为x=﹣.则过抛物线y2=3x的焦点F且倾斜角为30°的直线方程为y=tan30°(x﹣)=(x﹣).代入抛物线方程,消去y,得16x2﹣168x+9=0.设A(x1,y1),B(x2,y2)则x1+x2=,所以|AB|=x1++x2+=++=12故选:C【点评】本题考查抛物线的标准方程,以及简单性质的应用,弦长公式的应用,运用弦长公式是解题的难点和关键.9.(2014•大纲版)已知椭圆C:+=1(a>b>0)的左、右焦点为F1、F2,离心率为,过F2的直线l交C于A、B两点,若△AF1B的周长为4,则C的方程为()A.+=1 B.+y2=1 C.+=1 D.+=1【分析】利用△AF1B的周长为4,求出a=,根据离心率为,可得c=1,求出b,即可得出椭圆的方程.【解答】解:∵△AF1B的周长为4,∵△AF1B的周长=|AF1|+|AF2|+|BF1|+|BF2|=2a+2a=4a,∴4a=4,∴a=,∵离心率为,∴,c=1,∴b==,∴椭圆C 的方程为+=1.故选:A .【点评】本题考查椭圆的定义与方程,考查椭圆的几何性质,考查学生的计算能力,属于基础题.10.(2014•大纲版)已知双曲线C 的离心率为2,焦点为F 1、F 2,点A 在C 上,若|F 1A|=2|F 2A|,则cos ∠AF 2F 1=( ) A . B . C .D .【分析】根据双曲线的定义,以及余弦定理建立方程关系即可得到结论. 【解答】解:∵双曲线C 的离心率为2, ∴e=,即c=2a ,点A 在双曲线上, 则|F 1A|﹣|F 2A|=2a , 又|F 1A|=2|F 2A|,∴解得|F 1A|=4a ,|F 2A|=2a ,||F 1F 2|=2c , 则由余弦定理得cos∠AF 2F 1===.故选:A .【点评】本题主要考查双曲线的定义和运算,利用离心率的定义和余弦定理是解决本题的关键,考查学生的计算能力.11.(2014•大纲版)双曲线C :﹣=1(a >0,b >0)的离心率为2,焦点到渐近线的距离为,则C的焦距等于()A.2 B.2C.4 D.4【分析】根据双曲线的离心率以及焦点到直线的距离公式,建立方程组即可得到结论.【解答】解:∵:﹣=1(a>0,b>0)的离心率为2,∴e=,双曲线的渐近线方程为y=,不妨取y=,即bx﹣ay=0,则c=2a,b=,∵焦点F(c,0)到渐近线bx﹣ay=0的距离为,∴d=,即,解得c=2,则焦距为2c=4,故选:C【点评】本题主要考查是双曲线的基本运算,利用双曲线的离心率以及焦点到直线的距离公式,建立方程组是解决本题的关键,比较基础.12.(2016•新课标Ⅱ)设F为抛物线C:y2=4x的焦点,曲线y=(k>0)与C 交于点P,PF⊥x轴,则k=()A.B.1 C.D.2【分析】根据已知,结合抛物线的性质,求出P点坐标,再由反比例函数的性质,可得k值.【解答】解:抛物线C:y2=4x的焦点F为(1,0),曲线y=(k>0)与C交于点P在第一象限,由PF⊥x轴得:P点横坐标为1,代入C得:P点纵坐标为2,故k=2,故选:D【点评】本题考查的知识点是抛物线的简单性质,反比例函数的性质,难度中档.13.(2016•新课标Ⅲ)已知O为坐标原点,F是椭圆C:+=1(a>b>0)的左焦点,A,B分别为C的左,右顶点.P为C上一点,且PF⊥x轴,过点A 的直线l与线段PF交于点M,与y轴交于点E.若直线BM经过OE的中点,则C 的离心率为()A.B.C.D.【分析】由题意可得F,A,B的坐标,设出直线AE的方程为y=k(x+a),分别令x=﹣c,x=0,可得M,E的坐标,再由中点坐标公式可得H的坐标,运用三点共线的条件:斜率相等,结合离心率公式,即可得到所求值.【解答】解:由题意可设F(﹣c,0),A(﹣a,0),B(a,0),令x=﹣c,代入椭圆方程可得y=±b=±,可得P(﹣c,±),设直线AE的方程为y=k(x+a),令x=﹣c,可得M(﹣c,k(a﹣c)),令x=0,可得E(0,ka),设OE的中点为H,可得H(0,),由B,H,M三点共线,可得kBH =kBM,即为=,化简可得=,即为a=3c,可得e==.故选:A.【点评】本题考查椭圆的离心率的求法,注意运用椭圆的方程和性质,以及直线方程的运用和三点共线的条件:斜率相等,考查化简整理的运算能力,属于中档题.14.(2015•新课标Ⅰ)已知椭圆E的中心在坐标原点,离心率为,E的右焦点与抛物线C:y2=8x的焦点重合,A,B是C的准线与E的两个交点,则|AB|=()A.3 B.6 C.9 D.12【分析】利用椭圆的离心率以及抛物线的焦点坐标,求出椭圆的半长轴,然后求解抛物线的准线方程,求出A,B坐标,即可求解所求结果.【解答】解:椭圆E的中心在坐标原点,离心率为,E的右焦点(c,0)与抛物线C:y2=8x的焦点(2,0)重合,可得c=2,a=4,b2=12,椭圆的标准方程为:,抛物线的准线方程为:x=﹣2,由,解得y=±3,所以A(﹣2,3),B(﹣2,﹣3).|AB|=6.故选:B.【点评】本题考查抛物线以及椭圆的简单性质的应用,考查计算能力.二.填空题(共2小题)15.已知g(x)=+x2+2a1nx在[1,2]上是减函数,则实数a的取值范围为(﹣∞,﹣] .【分析】求函数的导数,利用g′(x)≤0在[1,2]上恒成立,结合参数分离法进行求解即可.【解答】解:∵g(x)=+x2+2a1nx在[1,2]上是减函数∴等价为g′(x)≤0在[1,2]上恒成立,即g′(x)=﹣+2x+≤0,即≤﹣2x,则a≤﹣x2,设f(x)=﹣x2,则f(x)在[1,2]上是减函数,∴f(x)min=f(2)==﹣,即a≤﹣,故答案为:(﹣∞,﹣].【点评】本题主要考查导数的应用,根据函数单调性和导数之间的关系是解决本题的关键.16.(2015•新课标Ⅰ)已知F是双曲线C:x2﹣=1的右焦点,P是C的左支上一点,A(0,6).当△APF周长最小时,该三角形的面积为12.【分析】利用双曲线的定义,确定△APF周长最小时,P的坐标,即可求出△APF 周长最小时,该三角形的面积.【解答】解:由题意,设F′是左焦点,则△APF周长=|AF|+|AP|+|PF|=|AF|+|AP|+|PF′|+2≥|AF|+|AF′|+2(A,P,F′三点共线时,取等号),直线AF′的方程为与x2﹣=1联立可得y2+6y﹣96=0,∴P的纵坐标为2,∴△APF周长最小时,该三角形的面积为﹣=12.故答案为:12.【点评】本题考查双曲线的定义,考查三角形面积的计算,确定P的坐标是关键.三.解答题(共5小题)17.(2016•新课标Ⅲ)已知抛物线C:y2=2x的焦点为F,平行于x轴的两条直线l1,l2分别交C于A,B两点,交C的准线于P,Q两点.(Ⅰ)若F在线段AB上,R是PQ的中点,证明AR∥FQ;(Ⅱ)若△PQF的面积是△ABF的面积的两倍,求AB中点的轨迹方程.【分析】(Ⅰ)连接RF,PF,利用等角的余角相等,证明∠PRA=∠PQF,即可证明AR∥FQ;(Ⅱ)利用△PQF的面积是△ABF的面积的两倍,求出N的坐标,利用点差法求AB中点的轨迹方程.【解答】(Ⅰ)证明:连接RF,PF,由AP=AF,BQ=BF及AP∥BQ,得∠AFP+∠BFQ=90°,∴∠PFQ=90°,∵R是PQ的中点,∴RF=RP=RQ,∴△PAR≌△FAR,∴∠PAR=∠FAR,∠PRA=∠FRA,∵∠BQF+∠BFQ=180°﹣∠QBF=∠PAF=2∠PAR,∴∠FQB=∠PAR,∴∠PRA=∠PQF,∴AR∥FQ.(Ⅱ)设A(x1,y1),B(x2,y2),F(,0),准线为 x=﹣,S△PQF =|PQ|=|y1﹣y2|,设直线AB与x轴交点为N,∴S△ABF =|FN||y1﹣y2|,∵△PQF的面积是△ABF的面积的两倍,∴2|FN|=1,∴xN=1,即N(1,0).设AB中点为M(x,y),由得=2(x1﹣x2),又=,∴=,即y2=x﹣1.∴AB中点轨迹方程为y2=x﹣1.【点评】本题考查抛物线的方程与性质,考查轨迹方程,考查学生的计算能力,属于中档题.18.(2016•新课标Ⅰ)设圆x2+y2+2x﹣15=0的圆心为A,直线l过点B(1,0)且与x轴不重合,l交圆A于C,D两点,过B作AC的平行线交AD于点E.(Ⅰ)证明|EA|+|EB|为定值,并写出点E的轨迹方程;(Ⅱ)设点E的轨迹为曲线C1,直线l交C1于M,N两点,过B且与l垂直的直线与圆A交于P,Q两点,求四边形MPNQ面积的取值范围.【分析】(Ⅰ)求得圆A的圆心和半径,运用直线平行的性质和等腰三角形的性质,可得EB=ED,再由圆的定义和椭圆的定义,可得E的轨迹为以A,B为焦点的椭圆,求得a,b,c,即可得到所求轨迹方程;(Ⅱ)设直线l:x=my+1,代入椭圆方程,运用韦达定理和弦长公式,可得|MN|,由PQ⊥l,设PQ:y=﹣m(x﹣1),求得A到PQ的距离,再由圆的弦长公式可得|PQ|,再由四边形的面积公式,化简整理,运用不等式的性质,即可得到所求范围.【解答】解:(Ⅰ)证明:圆x2+y2+2x﹣15=0即为(x+1)2+y2=16,可得圆心A(﹣1,0),半径r=4,由BE∥AC,可得∠C=∠EBD,由AC=AD,可得∠D=∠C,即为∠D=∠EBD,即有EB=ED,则|EA|+|EB|=|EA|+|ED|=|AD|=4,故E的轨迹为以A,B为焦点的椭圆,且有2a=4,即a=2,c=1,b==,则点E的轨迹方程为+=1(y≠0);(Ⅱ)椭圆C1:+=1,设直线l:x=my+1,由PQ⊥l,设PQ:y=﹣m(x﹣1),由可得(3m2+4)y2+6my﹣9=0,设M(x1,y1),N(x2,y2),可得y1+y2=﹣,y1y2=﹣,则|MN|=•|y1﹣y2|=•=•=12•,A到PQ的距离为d==,|PQ|=2=2=,则四边形MPNQ面积为S=|PQ|•|MN|=••12•=24•=24,当m=0时,S取得最小值12,又>0,可得S<24•=8,即有四边形MPNQ面积的取值范围是[12,8).【点评】本题考查轨迹方程的求法,注意运用椭圆和圆的定义,考查直线和椭圆方程联立,运用韦达定理和弦长公式,以及直线和圆相交的弦长公式,考查不等式的性质,属于中档题.19.(2015•新课标Ⅰ)在直角坐标系xOy中,曲线C:y=与直线l:y=kx+a (a>0)交于M,N两点.(Ⅰ)当k=0时,分別求C在点M和N处的切线方程.(Ⅱ)y轴上是否存在点P,使得当k变动时,总有∠OPM=∠OPN?(说明理由)【分析】(I)联立,可得交点M,N的坐标,由曲线C:y=,利用导数的运算法则可得:y′=,利用导数的几何意义、点斜式即可得出切线方程.(II)存在符合条件的点(0,﹣a),设P(0,b)满足∠OPM=∠OPN.M(x1,y1),N(x2,y2),直线PM,PN的斜率分别为:k1,k2.直线方程与抛物线方程联立化为x2﹣4kx﹣4a=0,利用根与系数的关系、斜率计算公式可得k 1+k2=.k1+k2=0⇔直线PM,PN的倾斜角互补⇔∠OPM=∠OPN.即可证明.【解答】解:(I)联立,不妨取M,N,由曲线C:y=可得:y′=,∴曲线C在M点处的切线斜率为=,其切线方程为:y﹣a=,化为.同理可得曲线C在点N处的切线方程为:.(II)存在符合条件的点(0,﹣a),下面给出证明:设P(0,b)满足∠OPM=∠OPN.M(x1,y1),N(x2,y2),直线PM,PN的斜率分别为:k1,k2.联立,化为x2﹣4kx﹣4a=0,∴x1+x2=4k,x1x2=﹣4a.∴k1+k2=+==.当b=﹣a时,k1+k2=0,直线PM,PN的倾斜角互补,∴∠OPM=∠OPN.∴点P(0,﹣a)符合条件.【点评】本题考查了导数的运算法则、利用导数的几何意义研究切线方程、直线与抛物线相交问题转化为方程联立可得根与系数的关系、斜率计算公式,考查了推理能力与计算能力,属于中档题.20.(2014•新课标Ⅰ)已知点A(0,﹣2),椭圆E:+=1(a>b>0)的离心率为,F是椭圆的焦点,直线AF的斜率为,O为坐标原点.(Ⅰ)求E的方程;(Ⅱ)设过点A的直线l与E相交于P,Q两点,当△OPQ的面积最大时,求l 的方程.【分析】(Ⅰ)通过离心率得到a、c关系,通过A求出a,即可求E的方程;(Ⅱ)设直线l:y=kx﹣2,设P(x1,y1),Q(x2,y2)将y=kx﹣2代入,利用△>0,求出k的范围,利用弦长公式求出|PQ|,然后求出△OPQ的面积表达式,利用换元法以及基本不等式求出最值,然后求解直线方程.【解答】解:(Ⅰ)设F(c,0),由条件知,得又,所以,b2=a2﹣c2=1,故E的方程.….(6分)(Ⅱ)依题意当l⊥x轴不合题意,故设直线l:y=kx﹣2,设P(x1,y1),Q(x2,y2)将y=kx﹣2代入,得(1+4k2)x2﹣16kx+12=0,当△=16(4k2﹣3)>0,即时,从而又点O到直线PQ的距离,所以△OPQ的面积=,设,则t>0,,当且仅当t=2,k=±等号成立,且满足△>0,所以当△OPQ的面积最大时,l的方程为:y=x﹣2或y=﹣x﹣2.…(12分)【点评】本题考查直线与椭圆的位置关系的应用,椭圆的求法,基本不等式的应用,考查转化思想以及计算能力.21.(2014•大纲版)已知抛物线C:y2=2px(p>0)的焦点为F,直线y=4与y轴的交点为P,与C的交点为Q,且|QF|=|PQ|.(Ⅰ)求C的方程;(Ⅱ)过F的直线l与C相交于A、B两点,若AB的垂直平分线l′与C相交于M、N两点,且A、M、B、N四点在同一圆上,求l的方程.【分析】(Ⅰ)设点Q的坐标为(x,4),把点Q的坐标代入抛物线C的方程,求得x=,根据|QF|=|PQ|求得 p的值,可得C的方程.(Ⅱ)设l的方程为 x=my+1 (m≠0),代入抛物线方程化简,利用韦达定理、中点公式、弦长公式求得弦长|AB|.把直线l′的方程代入抛物线方程化简,利用韦达定理、弦长公式求得|MN|.由于MN垂直平分线段AB,故AMBN四点共圆等价于|AE|=|BE|=|MN|,由此求得m的值,可得直线l的方程.【解答】解:(Ⅰ)设点Q的坐标为(x,4),把点Q的坐标代入抛物线C:y2=2px (p>0),可得x=,∵点P(0,4),∴|PQ|=.又|QF|=x+=+,|QF|=|PQ|,∴+=×,求得 p=2,或 p=﹣2(舍去).故C的方程为 y2=4x.(Ⅱ)由题意可得,直线l和坐标轴不垂直,y2=4x的焦点F(1,0),设l的方程为 x=my+1(m≠0),代入抛物线方程可得y2﹣4my﹣4=0,显然判别式△=16m2+16>0,y1+y2=4m,y1•y2=﹣4.∴AB的中点坐标为D(2m2+1,2m),弦长|AB|=|y1﹣y2|==4(m2+1).又直线l′的斜率为﹣m,∴直线l′的方程为 x=﹣y+2m2+3.过F的直线l与C相交于A、B两点,若AB的垂直平分线l′与C相交于M、N 两点,把线l′的方程代入抛物线方程可得 y2+y﹣4(2m2+3)=0,∴y3+y4=,y3•y4=﹣4(2m2+3).故线段MN的中点E的坐标为(+2m2+3,),∴|MN|=|y3﹣y4|=,∵MN垂直平分线段AB,故AMBN四点共圆等价于|AE|=|BE|=|MN|,∴+DE2=MN2,∴4(m2+1)2 ++=×,化简可得 m2﹣1=0,∴m=±1,∴直线l的方程为 x﹣y﹣1=0,或 x+y﹣1=0.【点评】本题主要考查求抛物线的标准方程,直线和圆锥曲线的位置关系的应用,韦达定理、弦长公式的应用,体现了转化的数学思想,属于难题.。
2018年全国各地高考数学试题及解答分类汇编大全(12圆锥曲线与方程)一、选择题1.(2018浙江)双曲线2213=xy-的焦点坐标是()A.(−2,0),(2,0) B.(−2,0),(2,0)C.(0,−2),(0,2) D.(0,−2),(0,2)1..答案:B解答:∵2314c=+=,∴双曲线2213xy-=的焦点坐标是(2,0)-,(2,0).2.(2018上海)设P是椭圆²5x+²3y=1上的动点,则P到该椭圆的两个焦点的距离之和为()(A)2(B)2(C)2(D)43.(2018天津文、理)已知双曲线22221(0,0)x ya ba b-=>>的离心率为2,过右焦点且垂直于x轴的直线与双曲线交于,A B两点.设,A B到双曲线的同一条渐近线的距离分别为1d和2d,且126,d d+=则双曲线的方程为()(A)22139x y-=(B)22193x y-=(C)221412x y-=(D)221124x y-=3.【答案】A【解析】设双曲线的右焦点坐标为(),0F c,()0c>,则A Bx x c==,由22221c ya b-=可得2bya=±,不妨设2,bA ca⎛⎫⎪⎝⎭,2,bB ca⎛⎫-⎪⎝⎭,双曲线的一条渐近线方程为0bx ay-=,据此可得22122bc b bc bdca b--=+,22222bc b bc bdca b++==+,则12226bcd d bc+===,则3b=,29b=,双曲线的离心率:2229112c bea a a==++,据此可得23a=,则双曲线的方程为22139x y-=.故选A.4.(2018全国新课标Ⅰ文)已知椭圆C:22214x y+=的一个焦点为(20),,则C的离心率为()A.13B.12CD4、答案:C解答:知2c=,∴2228a b c=+=,a=,∴离心率2e=.5.(2018全国新课标Ⅰ理)已知双曲线C:2213xy-=,O为坐标原点,F为C的右焦点,过F的直线与C的两条渐近线的交点分别为M、N.若OMN△为直角三角形,则|MN|=()A.32B.3 C.D.45. 答案:B解答:渐近线方程为:2203xy-=,即3yx=±,∵OMN∆为直角三角形,假设2ONMπ∠=,如图,∴NMk=MN方程为2)y x=-.联立32)y xy x⎧=-⎪⎨⎪=-⎩∴3(,22N-,即ON=3MONπ∠=,∴3MN=,故选B.6.(2018全国新课标Ⅰ理)设抛物线C:y2=4x的焦点为F,过点(–2,0)且斜率为23的直线与C 交于M,N两点,则FM FN⋅=()A.5 B.6 C.7 D.86. 答案:D解答:由题意知直线MN的方程为2(2)3y x=+,设1122(,),(,)M x y N x y,与抛物线方程联立有22(2)34y xy x⎧=+⎪⎨⎪=⎩,可得1112xy=⎧⎨=⎩或2244xy=⎧⎨=⎩,∴(0,2),(3,4)FM FN==,∴03248FM FN⋅=⨯+⨯=.7.(2018全国新课标Ⅱ文)已知1F ,2F 是椭圆C 的两个焦点,P 是C 上的一点,若12PF PF ⊥,且2160PF F ∠=︒,则C 的离心率为( )A.1-B.2 CD1 7.【答案】D【解析】在12F PF △中,1290F PF ∠=︒,2160PF F ∠=︒,设2PF m =,则1222c F F m ==,1PF =,又由椭圆定义可知)1221a PF PF m =+=则离心率212c ce a a===,故选D .8.(2018全国新课标Ⅱ文、理)双曲线22221(0,0)x y a b a b-=>>则其渐近线方程为( )A.y = B.y = C.y =D.y = 8.【答案】A【解析】c e a ==,2222221312b c a e a a -∴==-=-=,b a ∴,因为渐近线方程为b y x a =±,所以渐近线方程为y =,故选A .9.(2018全国新课标Ⅱ理)已知1F ,2F 是椭圆22221(0)x y C a b a b+=>>:的左、右焦点,A 是C 的左顶点,点P 在过A的直线上,12PF F △为等腰三角形,12120F F P ∠=︒,则C 的离心率为( )A.23 B .12 C .13D .14 9.【答案】D【解析】因为12PF F △为等腰三角形,12120F F P ∠=︒,所以2122PF F F c ==,由AP得,2tan PAF ∠,2sin PAF ∴∠=,2cos PAF ∠=,由正弦定理得2222sin sin PF PAF AF APF ∠=∠,2225sin 3c a c PAF ∴===+-∠ ⎪⎝⎭, 4a c ∴=,14e =,故选D .10.(2018全国新课标Ⅲ文)已知双曲线22221(00)x y C a b a b-=>>:,,则点(4,0)到C 的渐近线的距离为( )AB .2C .2D .10.答案:D解答:由题意c e a ==1ba=,故渐近线方程为0x y ±=,则点(4,0)到渐近线的距离为d ==.故选D.11.(2018全国新课标Ⅲ理)设12F F ,是双曲线22221x y C a b-=:(00a b >>,)的左,右焦点,O 是坐标原点.过2F 作C 的一条渐近线的垂线,垂足为P .若1P F P =,则C 的离心率为( )AB .2 CD11.答案:C解答:∵2||PF b =,2||OF c =,∴||PO a =; 又因为1|||PF OP =,所以1||6PF a =; 在2Rt POF ∆中,22||cos ||PF bOF cθ==; ∵在12Rt PF F ∆中,2222121212||||||cos 2||||PF F F PF bPF F F cθ+-==⋅⋅,222222224644633bb c a b c a c a c=⇒+-=⇒-=- 223c a ⇒=e ⇒=.二、填空1.(2018北京文)已知直线l 过点()1,0且垂直于x 轴,若l 被抛物线24y ax =截得的线段长为4,则抛物线的焦点坐标为_________.1.【答案】()1,0【解析】1a =,24y x ∴=,由抛物线方程可得,24p =,2p =,12p=, ∴焦点坐标为()1,0.2.(2018北京文)若双曲线()222104x y a a -=>,则a =_________. 2.【答案】4【解析】在双曲线中,c=,且c e a ==,22454a a +=,216a ∴=,04a a >∴=Q .3.(2018北京理)已知椭圆22221(0)x y M a b a b +=>>:,双曲线22221x y N m n-=:.若双曲线N 的两条渐近线与椭圆M 的四个交点及椭圆M 的两个焦点恰为一个正六边形的顶点,则椭圆M 的离心率为__________;双曲线N 的离心率为__________. 3.1;2【解析】由正六边形性质得椭圆上一点到两焦点距离之和为3c c +,再根据椭圆定义得32c c a +=,所以椭圆M 的离心率为3113c a ==-+.双曲线N 的渐近线方程为n y x m =±,由题意得双曲线N 的一条渐近线的倾斜角为π3,222πtan 33n m ∴==,222222234m n m m e m m ++∴===,2e ∴=.4. (2018上海)双曲线2214x y -=的渐近线方程为。
2018年高考数学选择试题分类汇编——圆锥曲线(2018湖南文数)5. 设抛物线28y x =上一点P 到y 轴的距离是4,则点P 到该抛物线焦点的距离是A. 4B. 6C. 8D. 12(2018浙江理数)(8)设1F 、2F 分别为双曲线22221(0,0)x y a b a b-=>>的左、右焦点.若在双曲线右支上存在点P ,满足212PF FF =,且2F 到直线1PF 的距离等于双曲线的实轴长,则该双曲线的渐近线方程为(A )340x y ±= (B )350x y ±= (C )430x y ±= (D )540x y ±=解析:利用题设条件和双曲线性质在三角形中寻找等量关系,得出a 与b 之间的等量关系,可知答案选C ,本题主要考察三角与双曲线的相关知识点,突出了对计算能力和综合运用知识能力的考察,属中档题(2018全国卷2理数)(12)已知椭圆2222:1(0)x y C a b a b +=>>的离心率为2,过右焦点F且斜率为(0)k k >的直线与C 相交于A B 、两点.若3AF FB =,则k =(A )1 (B (C (D )2 【答案】B【命题意图】本试题主要考察椭圆的性质与第二定义.【解析】设直线l 为椭圆的有准线,e 为离心率,过A ,B 分别作AA 1,BB 1垂直于l ,A 1,B 为垂足,过B 作BE 垂直于AA 1与E ,由第二定义得,,由,得,∴即k=,故选B.(2018陕西文数)9.已知抛物线y 2=2px (p >0)的准线与圆(x -3)2+y 2=16相切,则p 的值为 [C](A )12(B )1 (C )2 (D )4解析:本题考查抛物线的相关几何性质及直线与圆的位置关系 法一:抛物线y 2=2px (p >0)的准线方程为2p x -=,因为抛物线y 2=2px (p >0)的准线与圆(x -3)2+y 2=16相切,所以2,423==+p p法二:作图可知,抛物线y 2=2px (p >0)的准线与圆(x -3)2+y 2=16相切与点(-1,0) 所以2,12=-=-p p(2018辽宁文数)(9)设双曲线的一个焦点为F ,虚轴的一个端点为B ,如果直线FB 与该双曲线的一条渐近线垂直,那么此双曲线的离心率为(A (B (C (D 解析:选D.不妨设双曲线的焦点在x 轴上,设其方程为:22221(0,0)x y a b a b-=>>,则一个焦点为(,0),(0,)F c B b 一条渐近线斜率为:b a ,直线FB 的斜率为:bc -,()1b ba c∴⋅-=-,2b ac ∴=220c a ac --=,解得c e a ==(2018辽宁文数)(7)设抛物线28y x =的焦点为F ,准线为l ,P 为抛物线上一点,PA l ⊥,A 为垂足,如果直线AF 斜率为PF =(A )(B ) 8 (C ) (D ) 16 解析:选B.利用抛物线定义,易证PAF ∆为正三角形,则4||8sin30PF ︒==(2018辽宁理数) (9)设双曲线的—个焦点为F ;虚轴的—个端点为B ,如果直线FB 与该双曲线的一条渐近线垂直,那么此双曲线的离心率为(A)(C)12(D)12【答案】D【命题立意】本题考查了双曲线的焦点、虚轴、渐近线、离心率,考查了两条直线垂直的条件,考查了方程思想。
圆锥曲线一.基础题组1. 【2014全国1,文4】已知双曲线的离心率为2,则A. 2B.C.D. 1【答案】D【解析】由离心率可得:,解得:.2. 【2013课标全国Ⅰ,文4】已知双曲线C:(a>0,b>0),则C的渐近线方程为( ).,A.y=B.y=C.y=D.y=±x【答案】:C3. 【2011课标,文4】椭圆的离心率为( )A.B. C. D.【答案】D)0(13222>=-ayax=a 2625cea=222232aea+==1a=2222=1x ya b-1 4x±13x±12x±221168x y+=1 31232【解析】因为所以离心率为,选D. 4. 【2009全国卷Ⅰ,文5】设双曲线(a >0,b >0)的渐近线与抛物线y=x 2+1相切,则该双曲线的离心率等于( )A. B.2 C. D. 【答案】:C【解析】:双曲线的一条渐近线为, 由消y 得,,由题意,知Δ=()2-4=0. ∴b 2=4a 2.又c 2=a 2+b 2,∴c 2=a 2+4a 2=5a 2. ∴. 5. 【2007全国1,文4】已知双曲线的离心率为2,焦点是,,则双曲线方程为( )A.B. C. D. 【答案】A6. 【2017新课标1,文5】已知F 是双曲线C :的右焦点,P 是C 上一点,且PF 与x 轴垂直,点A 的坐标是(1,3),则△APF的面积为( )4,a c ==212222=-by a x 356x ab y =⎪⎩⎪⎨⎧+==,1,2x y x a b y 012=+-x a b x ab 5=ac(4,0)-(4,0)221412x y -=221124x y -=221106x y -=221610x y -=1322=-y xA .B .C .D .【答案】D 【解析】试题分析:由得,所以,将代入,得,所以,又点A 的坐标是(1,3),故△APF 的面积为,选D .【考点】双曲线【名师点睛】本题考查圆锥曲线中双曲线的简单运算,属容易题.由双曲线方程得,结合PF 与x 轴垂直,可得,最后由点A 的坐标是(1,3),计算△APF 的面积.7. 【2011全国1,文16】已知F 1、F 2分别为双曲线C : - =1的左、右焦点,点A ∈C ,点M 的坐标为(2,0),AM 为∠F 1AF 2的平分线.则|AF 2| =. 【答案】6【解析】由角平分线定理得:,,故. 8. 【2009全国卷Ⅰ,文16】若直线m 被两平行线l 1:x-y+1=0与l 2:x-y+3=0所截得的线段的长为,则m 的倾斜角可以是____________.,①15° ②30° ③45° ④60° ⑤75°其中正确答案的序号是___________.(写出所有正确答案的序号) 【答案】:①⑤12233 22224c a b =+=2c =(2,0)F 2x =2213y x -=3y =±3||=PF 133(21)22⨯⨯-=)0,2(F 3||=PF 29x 227y 2211||||1||||2AF MF AF MF ==12||||26AF AF a -==2||6AF =229. 【2008全国1,文14】已知抛物线的焦点是坐标原点,则以抛物线与两坐标轴的三个交点为顶点的三角形面积为. 【答案】2【解析】由抛物线y=ax 2-1的焦点坐标为坐标原点得,,则与坐标轴的交点为(0,-1),(-2,0),(2,0),则以这三点围成的三角形的面积为,故答案为210. 【2015高考新课标1,文5】已知椭圆E 的中心为坐标原点,离心率为,E 的右焦点与抛物线的焦点重合,是C 的准线与E 的两个交点,则 ( ) (A ) (B ) (C ) (D ) 【答案】B【解析】∵抛物线的焦点为(2,0),准线方程为,∴椭圆E 的右焦点为(2,0),∴椭圆E 的焦点在x 轴上,设方程为,c=2,∵,∴,∴,∴椭圆E 方程为, 将代入椭圆E 的方程解得A (-2,3),B (-2,-3),∴|AB|=6,故选B. 【考点定位】抛物线性质;椭圆标准方程与性质11.【2016新课标1文数】直线l 经过椭圆的一个顶点和一个焦点,若椭圆中心到l 的距离为其短轴长的, 则该椭圆的离心率为,(A ) (B ) (C ) (D )【答案】B 【解析】21y ax =-1(0,1)4a -14a =2114y x =-14122⨯⨯=122:8C y x =,A B AB =122:8C y x =2x =-22221(0)x y a b a b+=>>12c e a ==4a =22212b a c =-=2211612x y +=2x =-1413122334【考点】椭圆的几何性质【名师点睛】求椭圆或双曲线的离心率是高考常考问题,求解此类问题的一般步骤是先列出等式,再转化为关于a ,c 的齐次方程,方程两边同时除以a 的最高次幂,转化为关于e 的方程,解方程求e . 二.能力题组1. 【2014全国1,文10】已知抛物线C :的焦点为,是C 上一点,,则( )A. 1B. 2C. 4D. 8 【答案】A2.【2017新课标1,文12】设A ,B 是椭圆C :长轴的两个端点,若C 上存在点M 满足∠AMB =120°,则m 的取值范围是, A . B . C .D .x y =2F ()y x A 0,xF A 045==x2213x y m+=(0,1][9,)+∞[9,)+∞ (0,1][4,)+∞[4,)+∞【答案】A【解析】试题分析:当时,焦点在轴上,要使C上存在点M满足,则,;当时,焦点在轴上,要使C上存在点M满足,则,得,故的取值范围为,选A.【考点】椭圆3. 【2012全国1,文10】已知F1,F2为双曲线C:x2-y2=2的左、右焦点,点P在C上,|PF1|=2|PF2|,则cos∠F1PF2=( )A. B. C. D.,【答案】C【解析】设|PF2|=m,则|PF1|=2m,由双曲线定义|PF1|-|PF2|=2a,∴2m-m=.∴.又,∴由余弦定理可得cos∠F1PF2=.4. 【2010全国1,文8】已知F1、F2为双曲线C:x2-y2=1的左、右焦点,点P在C上,∠F1PF2=60°,则|PF1|²|PF2|等于( )A.2 B.4 C.6 D.8【答案】:B【解析】在△PF1F2中,|F1F2|2=|PF1|2+|PF2|2-2|PF1|²|PF2|²cos60°=(|PF1|-|PF2|)2+|PF1|²|PF2|,即)2=22+|PF1|²|PF2|,解得|PF1|²|PF2|=4.5. 【2008全国1,文15】在中,,.若以为焦点的椭圆经过点,则03m<<120AMB∠= tan60ab≥=≥01m<≤3m>y120AMB∠= tan60ab≥=≥9m≥m(0,1][9,)+∞14353445m24c==2221212||||432||||4PF PF cPF PF+-=ABC△90A∠=3tan4B=A B,C该椭圆的离心率. 【答案】、9. 【2015高考新课标1,文16】已知是双曲线的右焦点,P 是C 左支上一点,,当周长最小时,该三角形的面积为., 【答案】【解析】设双曲线的左焦点为,由双曲线定义知,,∴△APF 的周长为|PA|+|PF|+|AF|=|PA|++|AF|=|PA|++|AF|+, 由于是定值,要使△APF 的周长最小,则|PA|+最小,即P 、A 、共线,∵,(-3,0),∴直线的方程为,即代入整理得,解得或(舍),所以P 点的纵坐标为,∴=【考点定位】双曲线的定义;直线与双曲线的位置关系;最值问题 三.拔高题组1.【2013课标全国Ⅰ,文8】O 为坐标原点,F为抛物线C :y 2=的焦点,P为C 上一点,若|PF |=,则△POF 的面积为( ).A .2 B. C ..4 【答案】C【解析】利用|PF |=,可得x P =∴y P =.∴S △POF =|OF |²|y P |=故选C.e =12F 22:18y C x -=(A APF ∆1F 1||2||PF a PF =+12||a PF +1||PF 2a 2||a AF +1||PF 1F (A 1F 1AF 13x =-3x =-2218y x -=2960y +-=y =y =-11APF AFF PFF S S S ∆∆∆=-116622⨯⨯⨯⨯P x =±122. 【2011课标,文9】已知直线过抛物线C 的焦点,且与C 的对称轴垂直,与C 交于A,B 两点,|AB|=12,P 为C 的准线上一点,则的面积为( ) ,A.18B.24C.36D.48 【答案】C3. 【2009全国卷Ⅰ,文12】已知椭圆C:的右焦点为F,右准线为l,点A ∈l,线段AF 交C 于点B.若,则||=( )A. B.2 C. D.3 【答案】A【解析】(方法一)由已知得,b=1,c=1,∴F(1,0),准线l:. 设A(2,y 1),B(x 2,y 2),=(1,y 1),=(x 2-1,y 2),∵,∴∴.又,∴,不妨取.∴y 1=1.∴=(1,1).∴||=2.(方法二)由已知得,b=1,c=1,设B 在l 上的射影为B 1,F 在l 上的射影为H,由椭圆第二定义得,ABP ∆1222=+y x FB FA 3=232=a 22==c a x FA FB 3=⎩⎨⎧=--.3),1(31212y y x 342=x 12)34(222=+y 312±=y 312=y FA FA 2=a 22||||1==a c BB BF4. 【2013课标全国Ⅰ,文21】(本小题满分12分)已知圆M :(x +1)2+y 2=1,圆N :(x -1)2+y 2=9,动圆P 与圆M 外切并且与圆N 内切,圆心P 的轨迹为曲线C . (1)求C 的方程;,(2)l 是与圆P ,圆M 都相切的一条直线,l 与曲线C 交于A ,B 两点,当圆P 的半径最长时,求|AB |. 【解析】:由已知得圆M 的圆心为M (-1,0),半径r 1=1;圆N 的圆心为N (1,0),半径r 2=3.设圆P 的圆心为P (x ,y ),半径为R .(1)因为圆P 与圆M 外切并且与圆N 内切, 所以|PM |+|PN |=(R +r 1)+(r 2-R )=r 1+r 2=4.由椭圆的定义可知,曲线C 是以M ,N 为左、右焦点,长半轴长为2(左顶点除外),其方程为(x ≠-2). (2)对于曲线C上任意一点P (x ,y ),由于|PM |-|PN |=2R -2≤2,所以R ≤2,当且仅当圆P 的圆心为(2,0)时,R =2. 所以当圆P的半径最长时,其方程为(x -2)2+y 2=4. 若l 的倾斜角为90°,则l 与y 轴重合,可得|AB |=若l 的倾斜角不为90°,由r 1≠R 知l 不平行于x 轴,设l 与x 轴的交点为Q ,则,可求得Q (-4,0),所以可设l :y =k (x +4). 由l 与圆M =1,解得k =. 22=143x y +1||||QP RQM r =4±5. 【2012全国1,文22】已知抛物线C :y =(x +1)2与圆M :(x -1)2+(y -)2=r 2(r >0)有一个公共点A ,且在A 处两曲线的切线为同一直线l . (1)求r ;,(2)设m ,n 是异于l 且与C 及M 都相切的两条直线,m ,n 的交点为D ,求D 到l 的距离. 【解析】:(1)设A (x 0,(x 0+1)2),对y =(x +1)2求导得y ′=2(x +1), 故l 的斜率k =2(x 0+1).当x 0=1时,不合题意,所以x 0≠1.圆心为M (1,),MA 的斜率.由l ⊥MA 知k ²k ′=-1,即2(x 0+1)²=-1,解得x 0=0,故A (0,1),r =|MA |,即(2)设(t ,(t +1)2)为C 上一点,则在该点处的切线方程为y -(t +1)2=2(t +1)(x -t ), 即y =2(t +1)x -t 2+1.若该直线与圆M 相切,则圆心M , , 化简得t2(t 2-4t -6)=0,解得t 0=0,,12122001(1)21x k'x +-=-2001(1)21x x +--=r =2=12t =22t =7. 【2011全国1,文22】已知为坐标原点,F 为椭圆在y 轴正半轴上的焦点,过F 且斜率为的直线与C 交于A 、B 两点,点P 满足(1)证明:点P 在C 上;,(2)设点P 关于点的对称点为Q ,证明:A 、P 、B 、Q 四点在同一圆上.【分析】(1) 联立方程利用韦达定理是解决这类问题的基本思路,注意把用坐标表示后求出P 点的坐标,然后再结合直线方程把P 点的纵坐标也用A 、B 两点的横坐标表示出来.从而求出点P 的坐标,代入椭圆方程验证即可证明点P 在C 上.【解析】 (1)设直线与联立得 解得由得O 22:12y C x +=0.++=OA OB OP O 0++=OA OB OP 1122(,),(,)A x y B x y :1l y =+2212y x +=2410x --=12==x x 121214x x x x +==-0.++=OA OB OP 1212((),())P x x y y -+-+,,所以点P 在C 上.(2)方法一:同理所以互补, 因此A 、P 、B 、Q 四点在同一圆上. 方法二:由和题设知,,PQ 的垂直平分线的方程为…① 设AB 的中点为M ,则,AB 的垂直平分线的方程为…②12()2x x -+=-121212()[1()1])21-+=-++++-=-y y xx 22(1)(122--+=1222tan 11PA PBPA PBk k APB k k -∠==+2112124()322x x -==2122tan 111122-∠==--++QB QA QA QBk k AQB y y k k214()3x x -==-,APB AQB ∠∠(1)P-Q y x =1)2M 14y x =+由①②得、的交点为 ,8. 【2005全国1,文22】(本大题满分14分)已知椭圆的中心为坐标原点O ,焦点在轴上,斜率为1且过椭圆右焦点F 的直线交椭圆于A 、B 两点,与共线。
2 0 1 8 ( 新 课 标 全 国 卷 2 理 科 )5.双曲线 x 2 y 2= 1 (a > 0, b > 0) 的离心率为 3 ,则其渐近线方程为a 2b 22 3A . y = 士 2xB . y = 士 3xC . y = 士 xD . y = 士 x2 212.已知 F 1, F 2 是椭圆 C :a x 22 +b y 22=1 (a > b > 0) 的左,右焦点, A 是 C 的左顶点,点 P 在过 A 且斜率为 63的直线上, △PF 1F 2 为等腰三角形, 三 1F F 2 P = 120O ,则 C 的离心率为2A .3 1 B .21 C .31 D .419.(12 分)设抛物线 C : y 2 = 4x 的焦点为 F ,过 F 且斜率为 k(k > 0) 的直线 l 与 C 交于 A , B 两点, | AB| = 8. (1)求 l 的方程;(2)求过点 A , B 且与 C 的准线相切的圆的方程.2018 (新课标全国卷 2 文科)6.双曲线x 2 y 2= 1 (a > 0, b > 0) 的离心率为 3 ,则其渐近线方程为 a 2 b 2A . y = 士 2xB . y = 士 3x2C . y = 士 x23D . y = 士 x211.已知 F , F 是椭圆 C 的两个焦点, P 是 C 上的一点,若 PF 」PF , 且 三PF F = 60O , 则 C 的离心率为3A . 12B . 2 3C . 3 12D . 3 120. ( 12 分) 设抛物线 C : y 2 = 4x 的焦点为 F , 过 F 且斜率为 k(k > 0) 的直线 l 与 C 交于 A , B 两点,| AB | = 8.(1)求 l 的方程;(2)求过点 A , B 且与 C 的准线相切的圆的方程.2018 (新课标全国卷 1 理科)28.设抛物线 C : y 2=4x 的焦点为 F ,过点( –2, 0)且斜率为 的直线与 C 交于 M , N 两点,则FM . FN =3A . 5B . 6C . 7D . 823为 M 、N.若△OMN 为直角三角形,则|MN|=3A .B . 3C . 2 3D . 4219. (12 分) 设椭圆 C : x 2+ y 2 = 1 的右焦点为 F ,过 F 的直线 l 与 C 交于 A, B 两点,点 M 的坐标为 (2,0) .2x 11.已知双曲线 C : y 2 = 1, O 为坐标原点, F 为 C 的右焦点,过 F 的直线与 C 的两条渐近线的交点分别 1 2 1 2 2 1(1)当 l 与 x 轴垂直时,求直线 AM 的方程;(2)设 O 为坐标原点,证明: 三OMA = 三OMB .2018 (新课标全国卷 1 文科)4.已知椭圆 C : x 2 + y 2= 1的一个焦点为(2,0) ,则 C 的离心率为a 2 41 A .31 B .2C .2 22 2 D .315.直线 y = x +1 与圆 x 2 + y 2 + 2y - 3 = 0 交于 A , B 两点,则 AB = ________. 20.(12 分)设抛物线 C : y 2 = 2x ,点 A (2, 0), B (-2, 0) ,过点 A 的直线 l 与 C 交于 M , N 两点. (1)当 l 与x 轴垂直时,求直线 BM 的方程;(2)证明: ∠ABM = ∠ABN .2018 (新课标全国卷 3 理科)6.直线 x + y + 2 = 0 分别与 x 轴, y 轴交于 A , B 两点,点 P 在圆 (x - 2)2 + y 2 = 2 上,则 △ABP 面积的取值范围是A . [2, 6]B . [4, 8]C . 2,3 2D . 2 2,3 2 11. 设 1F , F 2 是双曲线 C : a x 22 - b y 22= 1 ( a > 0,b > 0 ) 的左 、右焦点, O 是坐标原点. 过 F 2 作 C 的一条渐近线的垂线,垂足为 P .若 PF = 6 OP ,则 C 的离心率为1A . 5B . 2C . 3D . 2 20.(12 分)已知斜率为 k 的直线 l 与椭圆C :x 2+ y 2= 1交于 A , B 两点,线段 AB 的中点为 M (1, m)(m > 0). 4 3(1)证明: k < - 1;2(2) 设 F 为 C 的右焦点, P 为 C 上一点,且 FP+ FA+ FB = 0 .证明: FA , FP , FB 成等差数列,并 求该数列的公差.2018 (新课标全国卷 3 文科)8. 直线 x + y +2 = 0 分别与 x 轴, y 轴交于 A , B 两点, 点 P 在圆 (x - 2)2 + y 2 = 2 上, 则 △ABP 面积的取值范围是A . [2,6]B . [4,8]C . [ 2, 3 2]D . [2 2 ,3 2 ]10.已知双曲线 C : x 2 一 y 2= 1(a > 0,b > 0) 的离心率为 2 ,则点 (4,0) 到C 的渐近线的距离为a 2b 23 2A . 2B . 2C .D . 2 2220.(12 分)已知斜率为 k 的直线 l 与椭圆C : x 2 + y 2= 1 交于 A , B 两点.线段 AB 的中点 为 M (1, m)(m > 0).4 3 1(1)证明: k 想 一 ;2(2)设 F 为C 的右焦点, P 为C 上一点,且 FP + FA + FB = 0.证明: 2 | FP |=| FA |+ | FB |.2017 (新课标全国卷 2 理科)9.若双曲线 C : x 22一 1(a > 0,b > 0) 的一条渐近线被圆 (x 一 2)2 + y 2 = 4所截得的弦长为 2, 则 C 的离心率为( ) .2 3A . 2B . 3C . 2D .316.已知 F 是抛物线 C : y 2 = 8x 的焦点, M 是C 上一点, FM 的延长线交 y 轴于点 N .若 M 为 FN 的中点,则 FN = .20. 设 O 为 坐 标 原 点, 动 点 M 在 椭 圆 C : x 2 + y 2= 1 上, 过 M 做 x 轴 的 垂 线, 垂 足 为 N , 点 P 满 足2NP = 2NM .(1)求点 P 的轨迹方程;(2)设点 Q 在直线 x = 一3 上,且OP . PQ = 1 .证明:过点 P 且垂直于 OQ 的直线 l 过 C 的左焦点 F .2017 (新课标全国卷 2 文科)x 2 2A. ( 2,+w)B. ( 2,2)C. (1, 2)D. (1,2)12.过抛物线 C : y 2 = 4x 的焦点 F ,且斜率为 3 的直线交 C 于点 M ( M 在 x 轴上方), l 为 C 的准线,点N 在 l 上且 MN 」l ,则 M 到直线 NF 的距离为( ) .A. 5B. 2 2C. 2 3D. 3 320.设 O 为坐标原点,动点 M 在椭圆 C :x 2+ y 2 = 1 上,过 M 作 x 轴的垂线,垂足为 N , 25.若 a >1 ,则双曲线 a2 一 y = 1 的离心率的取值范围是( ) .a b点 P 满足 NP = 2NM . (1)求点 P 的轨迹方程;(2)设点 Q 在直线 x = 一3 上,且 OP . PQ = 1 .证明:过点 P 且垂直于 OQ 的直线 l 过 C 的左焦点 F .2017 (新课标全国卷 1 理科)10.已知 F 为抛物线C : y 2 = 4x 的焦点, 过 F 作两条互相垂直的直线l 1, l 2, 直线l 1 与 C 交于 A , B 两点, 直线 l 2 与 C 交于 D , E 两点,则 AB + DE 的最小值为( ) .A . 16B . 14C . 12D . 10 15.已知双曲线 C :x 2 一 y 2= 1(a > 0,b > 0) 的右顶点为 A , 以 A 为圆心, b 为半径做圆 A , 圆 A 与双曲线 C a 2 b 2的一条渐近线交于 M , N 两点.若 三MAN = 60 ,则 C 的离心率为________.20.已知椭圆 C : a x 22 + b y 22=1(a > b > 0), 四点 1P (1,1), 2P (0,1), 3P (||( – 1, 23 ))||, 4P (||(1, 23 ))|| 中恰有三点在椭圆 C 上. (1)求 C 的方程;(2) 设直线 l 不经过 P 2 点且与 C 相交于 A , B 两点.若直线 P 2 A 与直线 P 2 B 的斜率的和为 – 1, 证明: l 过定.2017 (新课标全国卷 1 文科)5.已知 F 是双曲线 C : x 2一 y 2= 1 的右焦点, P 是 C 上一点, 且 PE 与 x 轴垂直, 点 A 的坐标是(1, 3), 则3△APF 的面积为( ) .1 12 3A .B .C .D .3 2 3 2x 2 y 2围是( ) .A 20.设 A ,B 为曲线C : y = x 2上两点, A 与 B 的横坐标之和为 4.4(1)求直线 AB 的斜率;(2)设 M 为曲线 C 上一点, C 在 M 处的切线与直线 AB 平行,且 AM 」BM ,求直线 AB 的方程. . (0,1] [9, +w ) B. (0, 3 [9, +w ) C. (0,1] [4, +w) D. (0, 3 [4, +w )点 12.设 A , B 是椭圆C : + = 1 长轴的两个端点, 若C 上存在点 M 满足三AMB = 120 , 则 m 的取值范3 m2017 (新课标全国卷 3 理科)5.已知双曲线 C : C :x 2 y 2 = 1(a > 0, b > 0) 的一条渐近线方程为 y = 5x ,且与椭圆 a 2 b 2 2x 2 y 2+ = 1 有公共焦点,则 C 的方程为( 12 3) .x 2 y 2A . = 18 10x 2 y 2B . = 14 5x 2 y 2C . = 15 4x 2 y 2D . = 14 310. 已知椭圆 C : a x 22 + b y 22= 1(a > b > 0) 的左 、 右顶点分别为 A 1, A 2, 且以线段 A 1A 2 为直径的圆与直线bx ay + 2ab = 0 相切,则 C 的离心率为( ) .A .6 3 B .3 3 C .2 31 D .320.已知抛物线 C : y 2 = 2x ,过点(2,0) 的直线 l 交 C 与A , B 两点,圆 M 是以线段 AB 为直径的圆. (1)证明:坐标原点 O 在圆 M 上; (2)设圆 M 过点 P(4,2) ,求直线 l 与圆 M 的方程.2017 (新课标全国卷 3 文科)11.已知椭圆 C : a x 22 + b y 22= 1(a > b > 0) 的左 、 右顶点分别为 A 1, A 2, 且以线段 A 1A 2 为直径的圆与直线bx ay + 2ab = 0 相切,则 C 的离心率为( ) .2 313x 2 y 2 3a 2 9 520. 在直角坐标系 xOy 中, 曲线 y = x 2 + mx – 2 与 x 轴交于 A , B 两点, 点 C 的坐标为(0,1) . 当 m 变化 时,解答下列问题:(1)能否出现 AC 」BC 的情况?说明理由;(2)证明过 A , B , C 三点的圆在 y 轴上截得的弦长为定值 .2016 (新课标全国卷 2 理科)(4)圆 x 2 + y 2 2x 8y +13 = 0 的圆心到直线 ax + y 1 = 0 的距离为 1,则 a= ( )3 36 314.双曲线 = 1(a > 0) 的一条渐近线方程为 y = x ,则 a = .D . C .B . A .|DE|= 2 5 ,则 C 的焦点到准线的距离为(C ) 3 (D ) 24x 2 y 2a bsin 三MF 2 F 1 = 3, 则 E 的离心率为( )3220. (本小题满分 12 分)已知椭圆 E: x 2 + y 2= 1 的焦点在 x 轴上, A 是 E 的左顶点, 斜率为 k (k > 0) 的直线交 E 于 A , M 两点, 点t 3N 在 E 上, MA 」NA .(Ⅰ)当 t = 4,| AM |=| AN | 时,求 编AMN 的面积; (Ⅱ)当 2 AM = AN 时,求 k 的取值范围.2016 (新课标全国卷 2 文科)(5) 设 F 为抛物线 C : y 2=4x 的焦点,曲线 y= (k> 0)与 C 交于点 P , PF ⊥x 轴,则 k= ( )x1 3(A) (B) 1 (C) (D) 22 2(6) 圆 x 2+y 2?2x?8y+13=0 的圆心到直线 ax+y?1=0 的距离为 1,则 a= ( )4(A) ?3 3(B) ?4(C)3(D) 2(21)(本小题满分 12 分)已知 A 是椭圆 E : + = 1 的左顶点,斜率为 k (k >0) 的直线交 E 与 A , M 两点,点 N 在 E 上,4 3MA 」NA .(Ⅰ)当 AM = AN 时,求 编AMN 的面积; (Ⅱ)当 AM = AN 时,证明: 3 < k < 2 .2016 (新课标全国卷 1 理科)(5)已知方程–3m yn =1 表示双曲线,且该双曲线两焦点间的距离为 4,则 n 的取值范围是(A) ( – 1,3) (B) ( – 1, 3) (C) (0,3) (D) (0, 3)(10)以抛物线 C 的顶点为圆心的圆交 C 于 A 、B 两点, 交 C 的标准线于 D 、E 两点 . 已知|AB|= 4 2 , (11) 已知 F 1 , F 2 是双曲线 E : 2 _ 2= 1 的左, 右焦点, 点 M 在 E 上, MF 1 与 x 轴垂直,(A ) 2 (B ) (C ) 3 (D ) 2 (A ) _(B ) _x 2 y 2 k 4331(A)2 (B)4 (C)6 (D)820. (本小题满分 12 分)理科设圆x2 + y2 + 2x 15 = 0 的圆心为 A,直线 l 过点 B (1,0) 且与 x 轴不重合, l 交圆 A 于 C, D 两点,过 B 作AC 的平行线交 AD 于点 E.(I)证明EA + EB 为定值,并写出点 E 的轨迹方程;(II)设点 E 的轨迹为曲线 C1 ,直线 l 交 C1 于 M,N 两点,过 B 且与 l 垂直的直线与圆 A 交于 P,Q 两点,求四边形 MPNQ 面积的取值范围 .2016 (新课标全国卷 1 文科)1(5)直线 l 经过椭圆的一个顶点和一个焦点,若椭圆中心到 l 的距离为其短轴长的4,则该椭圆的离心率为1 12 3(A) (B) (C) (D)(15)设直线 y=x+2a 与圆 C: x2+y2-2ay-2=0 相交于 A, B 两点,若,则圆 C 的面积为 . (20)(本小题满分 12 分)在直角坐标系xOy 中,直线l:y=t(t≠0)交 y 轴于点 M,交抛物线 C:y2 = 2px(p > 0) 于点 P, M 关于点 P 的对称点为 N,连结 ON 并延长交 C 于点 H.OH(I)求;ON(II)除 H 以外,直线 MH 与 C 是否有其它公共点?说明理由 .2016 (新课标全国卷 3 理科)(11)已知 O 为坐标原点, F 是椭圆 C:x2a2+y2b2= 1(a > b > 0) 的左焦点, A, B 分别为 C 的左,右顶点 .P 为 C上一点,且PF 」x 轴.过点 A 的直线 l 与线段PF 交于点 M,与 y 轴交于点 E.若直线 BM 经过 OE 的中点,则 C 的离心率为1 (A)31(B)22(C)33(D)4(16)已知直线l:mx + y + 3m 3 = 0 与圆x2 + y2 = 12 交于A, B 两点,过A, B 分别做l 的垂线与x 轴交于C, D 两点,若AB = 2 3 ,则| CD |= __________________.(20)(本小题满分 12 分)已知抛物线C:y2 = 2x 的焦点为F,平行于x 轴的两条直线l1 , l2 分别交C 于A, B 两点,交C 的准线于P, Q 两点.(I)若F 在线段AB 上,R 是PQ 的中点,证明AR FQ;(II)若PQF 的面积是ABF 的面积的两倍,求AB 中点的轨迹方程 .2016 (新课标全国卷 3 文科)3 2 3 4(12)已知 O 为坐标原点, F 是椭圆 C : x 2 + y 2= 1(a > b > 0) 的左焦点, A , B 分别为 C 的左,右顶点 .P 为a 2b 2C 上一点,且 PF 」x 轴.过点 A 的直线 l 与线段 PF 交于点 M , 与 y 轴交于点 E.若直线 BM 经过 OE 的中 点,则 C 的离心率为1 (A)31 (B)22 (C)33 (D)4( 15) 已知直线 l : x 3y + 6 = 0 与圆x 2 + y 2 = 12 交于 A, B 两点, 过 A, B 分别作l 的垂线与x 轴交于C, D 两点,则 | CD |= _____________ .(20)(本小题满分 12 分)已知抛物线 C : y 2 = 2x 的焦点为 F , 平行于 x 轴的两条直线 l 1 , l 2 分别交 C 于 A , B 两点, 交 C 的准线 于 P , Q 两点.(I)若 F 在线段 AB 上, R 是 PQ 的中点,证明 AR FQ ; (II)若PQF 的面积是 ABF 的面积的两倍,求 AB 中点的轨迹方程 .2015 (新课标全国卷 2)(11) 已知 A , B 为双曲线 E 的左,右顶点,点 M 在 E 上, ?ABM 为等腰三角形,且顶角为 120°,则 E 的离心 率为(A ) √ 5 (B) 2 (C ) √3 (D ) √2(15)已知双曲线过点(4, ,3),且渐近线方程为 y = 士 x ,则该双曲线的标准方程为 2。
2019(新课标全国卷1 理科)10. 已知椭圆C 的焦点为)0,1()0,1(21F F ,-,过F 2的直线与C 交于A 、B 两点,若||2||22B F AF =,||||1BF AB =,则C 的方程为A. 1222=+y x B.12322=+y x C. 13422=+y xD. 14522=+y x13. 已知双曲线)0,0(1:2222>>=-b a by a x C 的左、右焦点分别为F 1、F 2,过F 1的直线与C 的两条渐近线分别交于A 、B 两点,若AB A F =1,0·21=B F B F ,则C 的离心率为____________。
19.(12分)已知抛物线x y C 3:2=的焦点为F ,斜率为23的直线l 与C 的交点为A 、B ,与x 轴的交点为P 。
(1)若4||||=+BF AF ,求l 的方程; (2)若||3AB =。
2019(新课标全国卷1 文科)10.双曲线C:22221(0,0)x ya ba b-=>>的一条渐近线的倾斜角为130°,则C的离心率为()A.2sin40°B.2cos40°C.1sin50︒D.1cos50︒21.(本小题满分12分)已知点A,B关于坐标原点O对称,│AB│ =4,⊙M过点A,B且与直线x+2=0相切.(1)若A在直线x+y=0上,求⊙M的半径;(2)是否存在定点P,使得当A运动时,│MA│-│MP│为定值?并说明理由.2019(新课标全国卷2 理科)8.若抛物线y 2=2px (p >0)的焦点是椭圆2231x y pp+=的一个焦点,则p =A .2B .3C .4D .811.设F 为双曲线C :22221(0,0)x y a b a b-=>>的右焦点,O 为坐标原点,以OF 为直径的圆与圆222x y a +=交于P ,Q 两点.若PQ OF =,则C 的离心率为A BC .2D 21.(12分)已知点A (−2,0),B (2,0),动点M (x ,y )满足直线AM 与BM 的斜率之积为−12.记M 的轨迹为曲线C .(1)求C 的方程,并说明C 是什么曲线;(2)过坐标原点的直线交C 于P ,Q 两点,点P 在第一象限,PE ⊥x 轴,垂足为E ,连结QE 并延长交C 于点G .(i )证明:PQG △是直角三角形; (ii )求PQG △面积的最大值.2019(新课标全国卷2 文科)20.(12分)已知12,F F 是椭圆2222:1(0)x y C a b a b+=>>的两个焦点,P 为C 上一点,O 为坐标原点.(1)若2POF △为等边三角形,求C 的离心率;(2)如果存在点P ,使得12PF PF ⊥,且12F PF △的面积等于16,求b 的值和a 的取值范围.2019(新课标全国卷3理科)10 双曲线124:22=-y x C 的右焦点为F ,点P 在C 的一条渐近线上,O 为坐标 原点。
专题21圆锥曲线综合【母题来源一】【2019年高考全国Ⅱ卷理数】已知点A (−2,0),B (2,0),动点M (x ,y )满足直线AM 与BM 的斜率之积为−12.记M 的轨迹为曲线C .(1)求C 的方程,并说明C 是什么曲线;(2)过坐标原点的直线交C 于P ,Q 两点,点P 在第一象限,PE ⊥x 轴,垂足为E ,连结QE 并延长交C 于点G . (i )证明:PQG △是直角三角形; (ii )求PQG △面积的最大值.【答案】(1)见解析;(2)(i )见解析;(ii )169.【母题来源二】【2018年高考全国Ⅱ卷理数】设抛物线24C y x =:的焦点为F ,过F 且斜率为(0)k k >的直线l 与C 交于A ,B 两点,||8AB =.(1)求l 的方程;(2)求过点A ,B 且与C 的准线相切的圆的方程.【答案】(1)1y x =-;(2)22(3)(2)16x y -+-=或22(11)(6)144x y -++=.【母题来源三】【2017年高考全国II 理数】设O 为坐标原点,动点M 在椭圆C :2212x y +=上,过M 作x 轴的垂线,垂足为N ,点P 满足NP =u u u ru u u r.(1)求点P 的轨迹方程;(2)设点Q 在直线3x =-上,且1OP PQ ⋅=u u u r u u u r.证明:过点P 且垂直于OQ 的直线l 过C 的左焦点F .【答案】(1)222x y +=;(2)见解析.【命题意图】(1)掌握直线方程的几种形式,掌握确定圆的几何要素,掌握圆的标准方程与一般方程,能用直线和圆的方程解决一些简单的问题.(2)了解抛物线的实际背景,了解抛物线在刻画现实世界和解决实际问题中的作用.(3)掌握抛物线的定义、几何图形、标准方程及简单性质.(4)了解圆锥曲线的简单应用.(5)理解数形结合的思想.【命题规律】解析几何的解答题一般难度较大,多为试卷的压轴题之一,常考查直线与圆锥曲线的位置关系及最值范围、定点、定值、存在性问题及证明问题,多涉及最值求法,综合性强.从近三年高考情况来看,多考查直线与圆或抛物线的位置关系,但也要注意对椭圆知识的考查,解题时,充分利用数形结合思想,转化与化归思想.同时注重数学思想在解题中的指导作用,以及注重对运算能力的培养.【方法总结】(一)求直线方程的常用方法有(1)直接法:根据已知条件灵活选用直线方程的形式,写出方程.(2)待定系数法:先根据已知条件设出直线方程,再根据已知条件构造关于待定系数的方程(组)求系数,最后代入求出直线方程.(3)直线在x(y)轴上的截距是直线与x(y)轴交点的横(纵)坐标,所以截距是一个实数,可正、可负,也可为0,而不是距离.(4)求直线方程时,如果没有特别要求,求出的直线方程应化为一般式Ax+By+C=0,且A≥0.(二)求圆的方程(1)求圆的方程必须具备三个独立的条件.从圆的标准方程来看,关键在于求出圆心坐标和半径,从圆的一般方程来讲,能知道圆上的三个点即可求出圆的方程,因此,待定系数法是求圆的方程常用的方法.(2)用几何法求圆的方程,要充分运用圆的几何性质,如“圆心在圆的任一条弦的垂直平分线上”,“半径、弦心距、弦长的一半构成直角三角形”.(三)求椭圆的方程有两种方法:(1)定义法.根据椭圆的定义,确定a 2,b 2的值,结合焦点位置可写出椭圆方程. (2)待定系数法.这种方法是求椭圆的方程的常用方法,其一般步骤是:第一步,做判断.根据条件判断椭圆的焦点在x 轴上,还是在y 轴上,还是两个坐标轴都有可能(这时需要分类讨论).第二步,设方程.根据上述判断设方程为22221(0)x y a b a b +=>>或22221(0)y x a b a b+=>>.第三步,找关系.根据已知条件,建立关于,,a b c 的方程组(注意椭圆中固有的等式关系222c a b =-). 第四步,得椭圆方程.解方程组,将解代入所设方程,即为所求.【注意】用待定系数法求椭圆的方程时,要“先定型,再定量”,不能确定焦点的位置时,可进行分类讨论或把椭圆的方程设为22100()mx ny m n m n >>+≠=,且. (四)用待定系数法求抛物线标准方程的步骤:若无法确定抛物线的位置,则需分类讨论.特别地,已知抛物线上一点的坐标,一般有两种标准方程. (五)直线与圆锥曲线的弦长问题有三种解法:(1)过圆锥曲线的焦点的弦长问题,利用圆锥曲线的定义可优化解题.(2)将直线的方程与圆锥曲线的方程联立,求出两交点的坐标,再运用两点间距离公式求弦长.(3)它体现了解析几何中的设而不求的思想,其实质是利用两点之间的距离公式以及一元二次方程根与系数的关系.(六)圆锥曲线中的定点、定值问题定点、定值问题多以直线与圆锥曲线为背景,常与函数与方程、向量等知识交汇,形成了过定点、定值等问题的证明.解决此类问题的关键是引进参变量表示所求问题,根据等式的恒成立、数式变换等寻找不受参数影响的量.可以先研究一下特殊情况,找出定点或定值,再视具体情况进行研究.同时,也要掌握巧妙利用特殊值解决相关的定点、定值问题,如将过焦点的弦特殊化,变成垂直于对称轴的弦来研究等.1.【陕西省汉中市2019届高三全真模拟考试数学试题】已知点M 为直线1:1l x =-上的动点,()1,0N ,过M 作直线1l 的垂线l ,l 交MN 的中垂线于点P ,记点P 的轨迹为C . (1)求曲线C 的方程;(2)若直线()2:0l y kx m k =+≠与圆()22:36E x y -+=相切于点D ,与曲线C 交于A ,B 两点,且D 为线段AB 的中点,求直线2l 的方程.【答案】(1)24y x =;(2)直线2l 的方程为y =或y =.2.(重庆西南大学附属中学校2019届高三第十次月考数学试题)已知椭圆22221(0)x y C a b a b+=>>:的左顶点为(20)M -,.(1)求椭圆C 的方程;(2)过点(10)N ,的直线l 交椭圆C 于A ,B 两点,当MA MB ⋅u u u r u u u r取得最大值时,求MAB △的面积.【答案】(1)22:142x y C +=;(2 3.【湖南省郴州市2019届高三第二次教学质量监测试卷数学试题】已知抛物线2:2(0)C x py p =>的焦点为F ,过F 的直线交抛物线于A ,B 两点.(1)若以A ,B 为直径的圆的方程为22(2)(3)16x y -+-=,求抛物线C 的标准方程; (2)过A ,B 分别作抛物线的切线1l ,2l ,证明:1l ,2l 的交点在定直线上. 【答案】(1)24x y =;(2)见解析.4.【甘肃省、青海省、宁夏回族自治区2019届高三5月联考数学试题】已知椭圆C :22221(0)x y a b a b+=>>的离心率为2(1)求C 的方程; (2)若斜率为12-的直线l 与椭圆C 交于P ,Q 两点(点P ,Q 均在第一象限),O 为坐标原点,证明:直线OP ,PQ ,OQ 的斜率依次成等比数列. 【答案】(1)2214x y +=;(2)见解析.5.【辽宁省沈阳市2019届高三教学质量监测(三)数学(理)试题】抛物线2:2(0)C x py p =>的焦点为F ,()02,M y -是C 上一点,且2MF =.(1)求C 的方程;(2)过点F 的直线与抛物线C 相交于,A B 两点,分别过点,A B 两点作抛物线C 的切线12,l l ,两条切线相交于点P ,点P 关于直线AB 的对称点Q ,判断四边形PAQB 是否存在外接圆,如果存在,求出外接圆面积的最小值;如果不存在,请说明理由. 【答案】(1)24x y =;(2)见解析.6.【吉林省长春市北京师范大学长春市附属中学2019届高三第四次模拟考试数学试题】已知椭圆2222:1(0)x y E a b a b+=>>与y 轴正半轴交于点(M ,离心率为12.直线l 经过点()(),00P t t a <<和点()0,1Q ,且与椭图E 交于A 、B 两点(点A 在第二象限).(1)求椭圆E 的标准方程;(2)若AP PB λ=u u u r u u u r,当0t <时,求λ的取值范围.【答案】(1)22143x y +=;(2)31,2λ⎛+∈ ⎝⎦.7.【内蒙古呼伦贝尔市2019届高三模拟统一考试(一)数学试题】已知椭圆C :()222211x y a b a b +=>>离心率为2,直线1x =(1)求椭圆方程;(2)设直线y kx m =+交椭圆C 于A ,B 两点,且线段AB 的中点M 在直线1x =上,求证:线段AB 的中垂线恒过定点.【答案】(1)2214x y +=;(2)见解析.8.【河北省衡水中学2019届高三第一次摸底考试】已知抛物线()2:20E x py p =>的焦点为F ,()02,A y 是E 上一点,且2AF =. (1)求E 的方程;(2)设点B 是E 上异于点A 的一点,直线AB 与直线3y x =-交于点P ,过点P 作x 轴的垂线交E 于点M ,证明:直线BM 过定点.【答案】(1)E 的方程为24x y =;(2)见解析.。
全国高考近四年圆锥曲线题目一.选择题(共14小题)1.已知双曲线C:(a>0,b>0)的离心率为,则C的渐近线方程为()A.y=B.y=C.y=±x D.y=2.已知椭圆E:的右焦点为F(3,0),过点F的直线交椭圆E于A、B两点.若AB的中点坐标为(1,﹣1),则E的方程为()A.B.C.D.3.设椭圆C:=1(a>b>0)的左、右焦点分别为F1、F2,P是C上的点PF2⊥F1F2,∠PF1F2=30°,则C的离心率为()A. B.C.D.4.设抛物线C:y2=4x的焦点为F,直线l过F且与C交于A,B两点.若|AF|=3|BF|,则l的方程为()A.y=x﹣1或y=﹣x+1 B.y=(x﹣1)或 y=﹣(x﹣1)C.y=(x﹣1)或 y=﹣(x﹣1)D.y=(x﹣1)或 y=﹣(x﹣1)5.椭圆C:的左、右顶点分别为A1、A2,点P在C上且直线PA2斜率的取值范围是[﹣2,﹣1],那么直线PA1斜率的取值范围是()A.B.C.D.6.已知抛物线C:y2=8x的焦点为F,点M(﹣2,2),过点F且斜率为k的直线与C交于A,B两点,若,则k=()A.B. C.D.27.已知F1(﹣1,0),F2(1,0)是椭圆C的两个焦点,过F2且垂直于x轴的直线交椭圆于A、B两点,且|AB|=3,则C的方程为()A.B.C.D.8.设F为抛物线C:y2=3x的焦点,过F且倾斜角为30°的直线交于C于A,B 两点,则|AB|=()A.B.6 C.12 D.79.已知椭圆C:+=1(a>b>0)的左、右焦点为F1、F2,离心率为,过F2的直线l交C于A、B两点,若△AF1B的周长为4,则C的方程为()A.+=1 B.+y2=1 C.+=1 D.+=110.已知双曲线C的离心率为2,焦点为F1、F2,点A在C上,若|F1A|=2|F2A|,则cos∠AF2F1=()A.B.C. D.11.双曲线C:﹣=1(a>0,b>0)的离心率为2,焦点到渐近线的距离为,则C的焦距等于()A.2 B.2C.4 D.412.设F为抛物线C:y2=4x的焦点,曲线y=(k>0)与C交于点P,PF⊥x轴,则k=()A.B.1 C.D.213.已知O为坐标原点,F是椭圆C:+=1(a>b>0)的左焦点,A,B分别为C的左,右顶点.P为C上一点,且PF⊥x轴,过点A的直线l与线段PF 交于点M,与y轴交于点E.若直线BM经过OE的中点,则C的离心率为()A.B.C.D.14.已知椭圆E的中心在坐标原点,离心率为,E的右焦点与抛物线C:y2=8x 的焦点重合,A,B是C的准线与E的两个交点,则|AB|=()A.3 B.6 C.9 D.12二.填空题(共2小题)15.已知g(x)=+x2+2a1nx在[1,2]上是减函数,则实数a的取值范围为.16.已知F是双曲线C:x2﹣=1的右焦点,P是C的左支上一点,A(0,6).当△APF周长最小时,该三角形的面积为.三.解答题(共5小题)17.已知抛物线C:y2=2x的焦点为F,平行于x轴的两条直线l1,l2分别交C于A,B两点,交C的准线于P,Q两点.(Ⅰ)若F在线段AB上,R是PQ的中点,证明AR∥FQ;(Ⅱ)若△PQF的面积是△ABF的面积的两倍,求AB中点的轨迹方程.18.设圆x2+y2+2x﹣15=0的圆心为A,直线l过点B(1,0)且与x轴不重合,l 交圆A于C,D两点,过B作AC的平行线交AD于点E.(Ⅰ)证明|EA|+|EB|为定值,并写出点E的轨迹方程;(Ⅱ)设点E的轨迹为曲线C1,直线l交C1于M,N两点,过B且与l垂直的直线与圆A交于P,Q两点,求四边形MPNQ面积的取值范围.19.在直角坐标系xOy中,曲线C:y=与直线l:y=kx+a(a>0)交于M,N 两点.(Ⅰ)当k=0时,分別求C在点M和N处的切线方程.(Ⅱ)y轴上是否存在点P,使得当k变动时,总有∠OPM=∠OPN?(说明理由)20.已知点A(0,﹣2),椭圆E:+=1(a>b>0)的离心率为,F是椭圆的焦点,直线AF的斜率为,O为坐标原点.(Ⅰ)求E的方程;(Ⅱ)设过点A的直线l与E相交于P,Q两点,当△OPQ的面积最大时,求l 的方程.21.已知抛物线C:y2=2px(p>0)的焦点为F,直线y=4与y轴的交点为P,与C的交点为Q,且|QF|=|PQ|.(Ⅰ)求C的方程;(Ⅱ)过F的直线l与C相交于A、B两点,若AB的垂直平分线l′与C相交于M、N两点,且A、M、B、N四点在同一圆上,求l的方程.全国高考近四年圆锥曲线题目参考答案与试题解析一.选择题(共14小题)1.(2013•新课标Ⅰ)已知双曲线C:(a>0,b>0)的离心率为,则C的渐近线方程为()A.y=B.y=C.y=±x D.y=【分析】由离心率和abc的关系可得b2=4a2,而渐近线方程为y=±x,代入可得答案.【解答】解:由双曲线C:(a>0,b>0),则离心率e===,即4b2=a2,故渐近线方程为y=±x=x,故选:D.【点评】本题考查双曲线的简单性质,涉及的渐近线方程,属基础题.2.(2013•新课标Ⅰ)已知椭圆E:的右焦点为F(3,0),过点F的直线交椭圆E于A、B两点.若AB的中点坐标为(1,﹣1),则E的方程为()A.B.C.D.【分析】设A(x1,y1),B(x2,y2),代入椭圆方程得,利用“点差法”可得.利用中点坐标公式可得x1+x2=2,y1+y2=﹣2,利用斜率计算公式可得==.于是得到,化为a2=2b2,再利用c=3=,即可解得a2,b2.进而得到椭圆的方程.【解答】解:设A(x1,y1),B(x2,y2),代入椭圆方程得,相减得,∴.∵x1+x2=2,y1+y2=﹣2,==.∴,化为a2=2b2,又c=3=,解得a2=18,b2=9.∴椭圆E的方程为.故选D.【点评】熟练掌握“点差法”和中点坐标公式、斜率的计算公式是解题的关键.3.(2013•新课标Ⅱ)设椭圆C:=1(a>b>0)的左、右焦点分别为F1、F2,P是C上的点PF2⊥F1F2,∠PF1F2=30°,则C的离心率为()A. B.C.D.【分析】设|PF2|=x,在直角三角形PF1F2中,依题意可求得|PF1|与|F1F2|,利用椭圆离心率的性质即可求得答案.【解答】解:|PF2|=x,∵PF2⊥F1F2,∠PF1F2=30°,∴|PF1|=2x,|F1F2|=x,又|PF1|+|PF2|=2a,|F1F2|=2c∴2a=3x,2c=x,∴C的离心率为:e==.故选D.【点评】本题考查椭圆的简单性质,求得|PF1|与|PF2|及|F1F2|是关键,考查理解与应用能力,属于中档题.4.(2013•新课标Ⅱ)设抛物线C:y2=4x的焦点为F,直线l过F且与C交于A,B两点.若|AF|=3|BF|,则l的方程为()A.y=x﹣1或y=﹣x+1 B.y=(x﹣1)或 y=﹣(x﹣1)C.y=(x﹣1)或 y=﹣(x﹣1)D.y=(x﹣1)或 y=﹣(x﹣1)【分析】根据题意,可得抛物线焦点为F(1,0),由此设直线l方程为y=k(x ﹣1),与抛物线方程联解消去x,得﹣y﹣k=0.再设A(x1,y1),B(x2,y2),由根与系数的关系和|AF|=3|BF|,建立关于y1、y2和k的方程组,解之可得k值,从而得到直线l的方程.【解答】解:∵抛物线C方程为y2=4x,可得它的焦点为F(1,0),∴设直线l方程为y=k(x﹣1)由消去x,得﹣y﹣k=0设A(x1,y1),B(x2,y2),可得y1+y2=,y1y2=﹣4…(*)∵|AF|=3|BF|,∴y1+3y2=0,可得y1=﹣3y2,代入(*)得﹣2y2=且﹣3y22=﹣4,消去y2得k2=3,解之得k=∴直线l方程为y=(x﹣1)或y=﹣(x﹣1)故选:C【点评】本题给出抛物线的焦点弦AB被焦点F分成1:3的两部分,求直线AB 的方程,着重考查了抛物线的标准方程、简单几何性质和直线与圆锥曲线的位置关系等知识,属于中档题.5.(2013•大纲版)椭圆C:的左、右顶点分别为A1、A2,点P在C上且直线PA2斜率的取值范围是[﹣2,﹣1],那么直线PA1斜率的取值范围是()A.B.C.D.【分析】由椭圆C:可知其左顶点A1(﹣2,0),右顶点A2(2,0).设P(x0,y0)(x0≠±2),代入椭圆方程可得.利用斜率计算公式可得,再利用已知给出的的范围即可解出.【解答】解:由椭圆C:可知其左顶点A1(﹣2,0),右顶点A2(2,0).设P(x0,y0)(x0≠±2),则,得.∵=,=,∴==,∵,∴,解得.故选B.【点评】熟练掌握椭圆的标准方程及其性质、斜率的计算公式、不等式的性质等是解题的关键.6.(2013•大纲版)已知抛物线C:y2=8x的焦点为F,点M(﹣2,2),过点F 且斜率为k的直线与C交于A,B两点,若,则k=()A.B. C.D.2【分析】斜率k存在,设直线AB为y=k(x﹣2),代入抛物线方程,利用=(x1+2,y1﹣2)•(x2+2,y2﹣2)=0,即可求出k的值.【解答】解:由抛物线C:y2=8x得焦点(2,0),由题意可知:斜率k存在,设直线AB为y=k(x﹣2),代入抛物线方程,得到k2x2﹣(4k2+8)x+4k2=0,△>0,设A(x1,y1),B(x2,y2).∴x1+x2=4+,x1x2=4.∴y1+y2=,y1y2=﹣16,又=0,∴=(x1+2,y1﹣2)•(x2+2,y2﹣2)==0∴k=2.故选:D.【点评】本题考查直线与抛物线的位置关系,考查向量的数量积公式,考查学生的计算能力,属于中档题.7.(2013•大纲版)已知F1(﹣1,0),F2(1,0)是椭圆C的两个焦点,过F2且垂直于x轴的直线交椭圆于A、B两点,且|AB|=3,则C的方程为()A.B.C.D.【分析】设椭圆的方程为,根据题意可得=1.再由AB经过右焦点F2且垂直于x轴且|AB|=3算出A、B的坐标,代入椭圆方程得,两式联解即可算出a2=4,b2=3,从而得到椭圆C的方程.【解答】解:设椭圆的方程为,可得c==1,所以a2﹣b2=1…①∵AB经过右焦点F2且垂直于x轴,且|AB|=3∴可得A(1,),B(1,﹣),代入椭圆方程得,…②联解①②,可得a2=4,b2=3∴椭圆C的方程为故选:C【点评】本题给出椭圆的焦距和通径长,求椭圆的方程.着重考查了椭圆的标准方程和椭圆的简单几何性质等知识,属于基础题.8.(2014•新课标Ⅱ)设F为抛物线C:y2=3x的焦点,过F且倾斜角为30°的直线交于C于A,B两点,则|AB|=()A.B.6 C.12 D.7【分析】求出焦点坐标,利用点斜式求出直线的方程,代入抛物线的方程,利用根与系数的关系,由弦长公式求得|AB|.【解答】解:由y2=3x得其焦点F(,0),准线方程为x=﹣.则过抛物线y2=3x的焦点F且倾斜角为30°的直线方程为y=tan30°(x﹣)=(x﹣).代入抛物线方程,消去y,得16x2﹣168x+9=0.设A(x1,y1),B(x2,y2)则x1+x2=,所以|AB|=x1++x2+=++=12故选:C【点评】本题考查抛物线的标准方程,以及简单性质的应用,弦长公式的应用,运用弦长公式是解题的难点和关键.9.(2014•大纲版)已知椭圆C:+=1(a>b>0)的左、右焦点为F1、F2,离心率为,过F2的直线l交C于A、B两点,若△AF1B的周长为4,则C 的方程为()A.+=1 B.+y2=1 C.+=1 D.+=1【分析】利用△AF1B的周长为4,求出a=,根据离心率为,可得c=1,求出b,即可得出椭圆的方程.【解答】解:∵△AF1B的周长为4,∵△AF1B的周长=|AF1|+|AF2|+|BF1|+|BF2|=2a+2a=4a,∴4a=4,∴a=,∵离心率为,∴,c=1,∴b==,∴椭圆C的方程为+=1.故选:A.【点评】本题考查椭圆的定义与方程,考查椭圆的几何性质,考查学生的计算能力,属于基础题.10.(2014•大纲版)已知双曲线C的离心率为2,焦点为F1、F2,点A在C上,若|F1A|=2|F2A|,则cos∠AF2F1=()A.B.C. D.【分析】根据双曲线的定义,以及余弦定理建立方程关系即可得到结论.【解答】解:∵双曲线C的离心率为2,∴e=,即c=2a,点A在双曲线上,则|F1A|﹣|F2A|=2a,又|F1A|=2|F2A|,∴解得|F1A|=4a,|F2A|=2a,||F1F2|=2c,则由余弦定理得cos∠AF2F1===.故选:A.【点评】本题主要考查双曲线的定义和运算,利用离心率的定义和余弦定理是解决本题的关键,考查学生的计算能力.11.(2014•大纲版)双曲线C:﹣=1(a>0,b>0)的离心率为2,焦点到渐近线的距离为,则C的焦距等于()A.2 B.2C.4 D.4【分析】根据双曲线的离心率以及焦点到直线的距离公式,建立方程组即可得到结论.【解答】解:∵:﹣=1(a>0,b>0)的离心率为2,∴e=,双曲线的渐近线方程为y=,不妨取y=,即bx﹣ay=0,则c=2a,b=,∵焦点F(c,0)到渐近线bx﹣ay=0的距离为,∴d=,即,解得c=2,则焦距为2c=4,故选:C【点评】本题主要考查是双曲线的基本运算,利用双曲线的离心率以及焦点到直线的距离公式,建立方程组是解决本题的关键,比较基础.12.(2016•新课标Ⅱ)设F为抛物线C:y2=4x的焦点,曲线y=(k>0)与C 交于点P,PF⊥x轴,则k=()A.B.1 C.D.2【分析】根据已知,结合抛物线的性质,求出P点坐标,再由反比例函数的性质,可得k值.【解答】解:抛物线C:y2=4x的焦点F为(1,0),曲线y=(k>0)与C交于点P在第一象限,由PF⊥x轴得:P点横坐标为1,代入C得:P点纵坐标为2,故k=2,故选:D【点评】本题考查的知识点是抛物线的简单性质,反比例函数的性质,难度中档.13.(2016•新课标Ⅲ)已知O为坐标原点,F是椭圆C:+=1(a>b>0)的左焦点,A,B分别为C的左,右顶点.P为C上一点,且PF⊥x轴,过点A 的直线l与线段PF交于点M,与y轴交于点E.若直线BM经过OE的中点,则C 的离心率为()A.B.C.D.【分析】由题意可得F,A,B的坐标,设出直线AE的方程为y=k(x+a),分别令x=﹣c,x=0,可得M,E的坐标,再由中点坐标公式可得H的坐标,运用三点共线的条件:斜率相等,结合离心率公式,即可得到所求值.【解答】解:由题意可设F(﹣c,0),A(﹣a,0),B(a,0),令x=﹣c,代入椭圆方程可得y=±b=±,可得P(﹣c,±),设直线AE的方程为y=k(x+a),令x=﹣c,可得M(﹣c,k(a﹣c)),令x=0,可得E(0,ka),设OE的中点为H,可得H(0,),由B,H,M三点共线,可得k BH=k BM,即为=,化简可得=,即为a=3c,可得e==.故选:A.【点评】本题考查椭圆的离心率的求法,注意运用椭圆的方程和性质,以及直线方程的运用和三点共线的条件:斜率相等,考查化简整理的运算能力,属于中档题.14.(2015•新课标Ⅰ)已知椭圆E的中心在坐标原点,离心率为,E的右焦点与抛物线C:y2=8x的焦点重合,A,B是C的准线与E的两个交点,则|AB|=()A.3 B.6 C.9 D.12【分析】利用椭圆的离心率以及抛物线的焦点坐标,求出椭圆的半长轴,然后求解抛物线的准线方程,求出A,B坐标,即可求解所求结果.【解答】解:椭圆E的中心在坐标原点,离心率为,E的右焦点(c,0)与抛物线C:y2=8x的焦点(2,0)重合,可得c=2,a=4,b2=12,椭圆的标准方程为:,抛物线的准线方程为:x=﹣2,由,解得y=±3,所以A(﹣2,3),B(﹣2,﹣3).|AB|=6.故选:B.【点评】本题考查抛物线以及椭圆的简单性质的应用,考查计算能力.二.填空题(共2小题)15.已知g(x)=+x2+2a1nx在[1,2]上是减函数,则实数a的取值范围为(﹣∞,﹣] .【分析】求函数的导数,利用g′(x)≤0在[1,2]上恒成立,结合参数分离法进行求解即可.【解答】解:∵g(x)=+x2+2a1nx在[1,2]上是减函数∴等价为g′(x)≤0在[1,2]上恒成立,即g′(x)=﹣+2x+≤0,即≤﹣2x,则a≤﹣x2,设f(x)=﹣x2,则f(x)在[1,2]上是减函数,∴f(x)min=f(2)==﹣,即a≤﹣,故答案为:(﹣∞,﹣].【点评】本题主要考查导数的应用,根据函数单调性和导数之间的关系是解决本题的关键.16.(2015•新课标Ⅰ)已知F是双曲线C:x2﹣=1的右焦点,P是C的左支上一点,A(0,6).当△APF周长最小时,该三角形的面积为12.【分析】利用双曲线的定义,确定△APF周长最小时,P的坐标,即可求出△APF周长最小时,该三角形的面积.【解答】解:由题意,设F′是左焦点,则△APF周长=|AF|+|AP|+|PF|=|AF|+|AP|+|PF′|+2≥|AF|+|AF′|+2(A,P,F′三点共线时,取等号),直线AF′的方程为与x2﹣=1联立可得y2+6y﹣96=0,∴P的纵坐标为2,∴△APF周长最小时,该三角形的面积为﹣=12.故答案为:12.【点评】本题考查双曲线的定义,考查三角形面积的计算,确定P的坐标是关键.三.解答题(共5小题)17.(2016•新课标Ⅲ)已知抛物线C:y2=2x的焦点为F,平行于x轴的两条直线l1,l2分别交C于A,B两点,交C的准线于P,Q两点.(Ⅰ)若F在线段AB上,R是PQ的中点,证明AR∥FQ;(Ⅱ)若△PQF的面积是△ABF的面积的两倍,求AB中点的轨迹方程.【分析】(Ⅰ)连接RF,PF,利用等角的余角相等,证明∠PRA=∠PQF,即可证明AR∥FQ;(Ⅱ)利用△PQF的面积是△ABF的面积的两倍,求出N的坐标,利用点差法求AB中点的轨迹方程.【解答】(Ⅰ)证明:连接RF,PF,由AP=AF,BQ=BF及AP∥BQ,得∠AFP+∠BFQ=90°,∴∠PFQ=90°,∵R是PQ的中点,∴RF=RP=RQ,∴△PAR≌△FAR,∴∠PAR=∠FAR,∠PRA=∠FRA,∵∠BQF+∠BFQ=180°﹣∠QBF=∠PAF=2∠PAR,∴∠FQB=∠PAR,∴∠PRA=∠PQF,∴AR∥FQ.(Ⅱ)设A(x1,y1),B(x2,y2),F(,0),准线为 x=﹣,S△PQF=|PQ|=|y1﹣y2|,设直线AB与x轴交点为N,∴S△ABF=|FN||y1﹣y2|,∵△PQF的面积是△ABF的面积的两倍,∴2|FN|=1,∴x N=1,即N(1,0).设AB中点为M(x,y),由得=2(x1﹣x2),又=,∴=,即y2=x﹣1.∴AB中点轨迹方程为y2=x﹣1.【点评】本题考查抛物线的方程与性质,考查轨迹方程,考查学生的计算能力,属于中档题.18.(2016•新课标Ⅰ)设圆x2+y2+2x﹣15=0的圆心为A,直线l过点B(1,0)且与x轴不重合,l交圆A于C,D两点,过B作AC的平行线交AD于点E.(Ⅰ)证明|EA|+|EB|为定值,并写出点E的轨迹方程;(Ⅱ)设点E的轨迹为曲线C1,直线l交C1于M,N两点,过B且与l垂直的直线与圆A交于P,Q两点,求四边形MPNQ面积的取值范围.【分析】(Ⅰ)求得圆A的圆心和半径,运用直线平行的性质和等腰三角形的性质,可得EB=ED,再由圆的定义和椭圆的定义,可得E的轨迹为以A,B为焦点的椭圆,求得a,b,c,即可得到所求轨迹方程;(Ⅱ)设直线l:x=my+1,代入椭圆方程,运用韦达定理和弦长公式,可得|MN|,由PQ⊥l,设PQ:y=﹣m(x﹣1),求得A到PQ的距离,再由圆的弦长公式可得|PQ|,再由四边形的面积公式,化简整理,运用不等式的性质,即可得到所求范围.【解答】解:(Ⅰ)证明:圆x2+y2+2x﹣15=0即为(x+1)2+y2=16,可得圆心A(﹣1,0),半径r=4,由BE∥AC,可得∠C=∠EBD,由AC=AD,可得∠D=∠C,即为∠D=∠EBD,即有EB=ED,则|EA|+|EB|=|EA|+|ED|=|AD|=4,故E的轨迹为以A,B为焦点的椭圆,且有2a=4,即a=2,c=1,b==,则点E的轨迹方程为+=1(y≠0);(Ⅱ)椭圆C1:+=1,设直线l:x=my+1,由PQ⊥l,设PQ:y=﹣m(x﹣1),由可得(3m2+4)y2+6my﹣9=0,设M(x1,y1),N(x2,y2),可得y1+y2=﹣,y1y2=﹣,则|MN|=•|y1﹣y2|=•=•=12•,A到PQ的距离为d==,|PQ|=2=2=,则四边形MPNQ面积为S=|PQ|•|MN|=••12•=24•=24,当m=0时,S取得最小值12,又>0,可得S<24•=8,即有四边形MPNQ面积的取值范围是[12,8).【点评】本题考查轨迹方程的求法,注意运用椭圆和圆的定义,考查直线和椭圆方程联立,运用韦达定理和弦长公式,以及直线和圆相交的弦长公式,考查不等式的性质,属于中档题.19.(2015•新课标Ⅰ)在直角坐标系xOy中,曲线C:y=与直线l:y=kx+a (a>0)交于M,N两点.(Ⅰ)当k=0时,分別求C在点M和N处的切线方程.(Ⅱ)y轴上是否存在点P,使得当k变动时,总有∠OPM=∠OPN?(说明理由)【分析】(I)联立,可得交点M,N的坐标,由曲线C:y=,利用导数的运算法则可得:y′=,利用导数的几何意义、点斜式即可得出切线方程.(II)存在符合条件的点(0,﹣a),设P(0,b)满足∠OPM=∠OPN.M(x1,y1),N(x2,y2),直线PM,PN的斜率分别为:k1,k2.直线方程与抛物线方程联立化为x2﹣4kx﹣4a=0,利用根与系数的关系、斜率计算公式可得k1+k2=.k1+k2=0⇔直线PM,PN的倾斜角互补⇔∠OPM=∠OPN.即可证明.【解答】解:(I)联立,不妨取M,N,由曲线C:y=可得:y′=,∴曲线C在M点处的切线斜率为=,其切线方程为:y﹣a=,化为.同理可得曲线C在点N处的切线方程为:.(II)存在符合条件的点(0,﹣a),下面给出证明:设P(0,b)满足∠OPM=∠OPN.M(x1,y1),N(x2,y2),直线PM,PN的斜率分别为:k1,k2.联立,化为x2﹣4kx﹣4a=0,∴x1+x2=4k,x1x2=﹣4a.∴k1+k2=+==.当b=﹣a时,k1+k2=0,直线PM,PN的倾斜角互补,∴∠OPM=∠OPN.∴点P(0,﹣a)符合条件.【点评】本题考查了导数的运算法则、利用导数的几何意义研究切线方程、直线与抛物线相交问题转化为方程联立可得根与系数的关系、斜率计算公式,考查了推理能力与计算能力,属于中档题.20.(2014•新课标Ⅰ)已知点A(0,﹣2),椭圆E:+=1(a>b>0)的离心率为,F是椭圆的焦点,直线AF的斜率为,O为坐标原点.(Ⅰ)求E的方程;(Ⅱ)设过点A的直线l与E相交于P,Q两点,当△OPQ的面积最大时,求l 的方程.【分析】(Ⅰ)通过离心率得到a、c关系,通过A求出a,即可求E的方程;(Ⅱ)设直线l:y=kx﹣2,设P(x1,y1),Q(x2,y2)将y=kx﹣2代入,利用△>0,求出k的范围,利用弦长公式求出|PQ|,然后求出△OPQ的面积表达式,利用换元法以及基本不等式求出最值,然后求解直线方程.【解答】解:(Ⅰ)设F(c,0),由条件知,得又,所以,b2=a2﹣c2=1,故E的方程.….(6分)(Ⅱ)依题意当l⊥x轴不合题意,故设直线l:y=kx﹣2,设P(x1,y1),Q(x2,y2)将y=kx﹣2代入,得(1+4k2)x2﹣16kx+12=0,当△=16(4k2﹣3)>0,即时,从而又点O到直线PQ的距离,所以△OPQ的面积=,设,则t>0,,当且仅当t=2,k=±等号成立,且满足△>0,所以当△OPQ的面积最大时,l的方程为:y=x﹣2或y=﹣x﹣2.…(12分)【点评】本题考查直线与椭圆的位置关系的应用,椭圆的求法,基本不等式的应用,考查转化思想以及计算能力.21.(2014•大纲版)已知抛物线C:y2=2px(p>0)的焦点为F,直线y=4与y 轴的交点为P,与C的交点为Q,且|QF|=|PQ|.(Ⅰ)求C的方程;(Ⅱ)过F的直线l与C相交于A、B两点,若AB的垂直平分线l′与C相交于M、N两点,且A、M、B、N四点在同一圆上,求l的方程.【分析】(Ⅰ)设点Q的坐标为(x0,4),把点Q的坐标代入抛物线C的方程,求得x0=,根据|QF|=|PQ|求得 p的值,可得C的方程.(Ⅱ)设l的方程为 x=my+1 (m≠0),代入抛物线方程化简,利用韦达定理、中点公式、弦长公式求得弦长|AB|.把直线l′的方程代入抛物线方程化简,利用韦达定理、弦长公式求得|MN|.由于MN垂直平分线段AB,故AMBN四点共圆等价于|AE|=|BE|=|MN|,由此求得m的值,可得直线l的方程.【解答】解:(Ⅰ)设点Q的坐标为(x0,4),把点Q的坐标代入抛物线C:y2=2px (p>0),可得x0=,∵点P(0,4),∴|PQ|=.又|QF|=x0+=+,|QF|=|PQ|,∴+=×,求得 p=2,或 p=﹣2(舍去).故C的方程为 y2=4x.(Ⅱ)由题意可得,直线l和坐标轴不垂直,y2=4x的焦点F(1,0),设l的方程为 x=my+1(m≠0),代入抛物线方程可得y2﹣4my﹣4=0,显然判别式△=16m2+16>0,y1+y2=4m,y1•y2=﹣4.∴AB的中点坐标为D(2m2+1,2m),弦长|AB|=|y1﹣y2|==4(m2+1).又直线l′的斜率为﹣m,∴直线l′的方程为 x=﹣y+2m2+3.过F的直线l与C相交于A、B两点,若AB的垂直平分线l′与C相交于M、N 两点,把线l′的方程代入抛物线方程可得 y2+y﹣4(2m2+3)=0,∴y3+y4=,y3•y4=﹣4(2m2+3).故线段MN的中点E的坐标为(+2m2+3,),∴|MN|=|y3﹣y4|=,∵MN垂直平分线段AB,故AMBN四点共圆等价于|AE|=|BE|=|MN|,∴+DE2=MN2,∴4(m2+1)2 ++=×,化简可得 m2﹣1=0,∴m=±1,∴直线l的方程为 x﹣y﹣1=0,或 x+y﹣1=0.【点评】本题主要考查求抛物线的标准方程,直线和圆锥曲线的位置关系的应用,韦达定理、弦长公式的应用,体现了转化的数学思想,属于难题.。
圆锥曲线1.(2018年全国一·文科4)已知椭圆C :22214x y a +=的一个焦点为(20),,则C 的离心率为 A .13B .12CD2.(2018年全国二·文科6)双曲线,则其渐近线方程为A .B .C .D . 3.(2018年全国二·文科11)已知,是椭圆的两个焦点,是上的一点,若,且,则的离心率为A .B .CD4.(2018年全国三·文科10)已知双曲线,则点到的渐近线的距离为AB .C .D .5.(2018年北京·文科10)已知直线l 过点(1,0)且垂直于 轴,若l 被抛物线24y ax =截得的线段长为4,则抛物线的焦点坐标为_________.6.(2018年北京·文科12)若双曲线2221(0)4x y a a -=>a =_________.7.(2018年天津·文科7)已知双曲线22221(0,0)x y a b a b-=>> 的离心率为2,过右焦点且垂直于x 轴的直线与双曲线交于,A B 两点.设,A B 到双曲线的同一条渐近线的距离分别为1d 和2d ,且126,d d +=则双曲线的方程为(A )22139x y -=(B )22193x y -= 22221(0,0)x y a b a b -=>>y =y =y =y x =1F 2F C P C 12PF PF ⊥2160PF F ∠=︒C 1-2122221(00)x y C a b a b-=>>:,(4,0)C 22(C )221412x y -=(D )221124x y -= 8.(2018年江苏8)在平面直角坐标系xOy 中,若双曲线22221(0,0)x y a b a b-=>>的右焦点(,0)F c 到一条渐,则其离心率的值是 . 9.(2018年浙江2)双曲线221 3=x y -的焦点坐标是A .(0),,0)B .(−2,0),(2,0)C .(0,),(0)D .(0,−2),(0,2)10.(2018年浙江17)已知点P (0,1),椭圆24x +y 2=m (m >1)上两点A ,B 满足AP =2PB ,则当m =___________时,点B 横坐标的绝对值最大.11.(2018年上海2)双曲线2214x y -=的渐近线方程为 。
12.(2018年上海13)设P 是椭圆²5x + ²3y =1上的动点,则P 到该椭圆的两个焦点的距离之和为( ) (A )2 (B )2 (C )2 (D )4 13.(2018年全国一·文科20)(12分)设抛物线22C y x =:,点()20A ,,()20B -,,过点A 的直线l 与C 交于M ,N 两点.(1)当l 与x 轴垂直时,求直线BM 的方程; (2)证明:ABM ABN =∠∠.14.(2018年全国二·文科20)(12分) 设抛物线的焦点为,过且斜率为的直线与交于,两点,.(1)求的方程;(2)求过点,且与的准线相切的圆的方程.24C y x =:F F (0)k k >l C A B ||8AB =l A B C15.(2018年全国三·文科20)(12分)已知斜率为的直线与椭圆交于,两点.线段的中点为.(1)证明:; (2)设为的右焦点,为上一点,且.证明:.k l 22143x y C +=:A B AB (1,)(0)M m m >12k <-F C P C FP FA FB ++=02||||||FP FA FB =+16.(2018年北京·文科20)(本小题14分)已知椭圆2222:1(0)x y M a b a b +=>>的离心率为3斜率为k 的直线l 与椭圆M 有两个不同的交点A ,B . (Ⅰ)求椭圆M 的方程;(Ⅱ)若1k =,求||AB 的最大值;(Ⅲ)设(2,0)P -,直线PA 与椭圆M 的另一个交点为C ,直线PB 与椭圆M 的另一个交点为D .若C ,D 和点71(,)44Q -共线,求k .17.(2018年天津·文科19)(本小题满分14分)设椭圆22221(0)x y a b a b+=>>的右顶点为A ,上顶点为B .已知椭圆的离心率为3,||AB =(I )求椭圆的方程;(II )设直线:(0)l y kx k =<与椭圆交于,P Q 两点,l 与直线AB 交于点M ,且点P ,M 均在第四象限.若BPM △的面积是BPQ △面积的2倍,求k 的值.18.(2018年江苏18)(本小题满分16分)如图,在平面直角坐标系xOy 中,椭圆C 过点1)2,焦点12(F F ,圆O 的直径为12F F .(1)求椭圆C 及圆O 的方程;(2)设直线l 与圆O 相切于第一象限内的点P .①若直线l 与椭圆C 有且只有一个公共点,求点P 的坐标;②直线l 与椭圆C 交于,A B 两点.若OAB △,求直线l 的方程.19.(2018年浙江21)(本题满分15分)如图,已知点P 是y 轴左侧(不含y 轴)一点,抛物线C :y 2=4x上存在不同的两点A ,B 满足PA ,PB 的中点均在C 上.(Ⅰ)设AB 中点为M ,证明:PM 垂直于y 轴;(Ⅱ)若P 是半椭圆x 2+24y =1(x <0)上的动点,求△P AB 面积的取值范围.20.(2018年上海20)设常数t >2,在平面直角坐标系xOy 中,已知点F (2,0),直线l :x=t ,曲线τ:²8y x =00x t y (≦≦,≧),l 与x 轴交于点A ,与τ交于点B ,P 、Q 分别是曲线τ与线段AB 上的动点。
(1)用t 为表示点B 到点F 的距离;(2)设t =3,2FQ =∣∣,线段OQ 的中点在直线FP 上,求△AQP 的面积; (3)设t =8,是否存在以FP 、FQ 为邻边的矩形FPEQ ,使得点E 在τ上?若存在,求点P 的坐标;若不存在,说明理由。
2019全国高考 - 圆锥曲线部分汇编(2019北京理数) (4)已知椭圆2222 1x y a b+=(a >b >0)的离心率为12,则(A )a 2=2b 2(B )3a 2=4b 2(C )a =2b(D )3a =4b(2019北京理数) (18)(本小题14分)已知抛物线C :x 2=−2py 经过点(2,−1). (Ⅰ)求抛物线C 的方程及其准线方程;(Ⅱ)设O 为原点,过抛物线C 的焦点作斜率不为0的直线l 交抛物线C 于两点M ,N ,直线y =−1分别交直线OM ,ON 于点A 和点B .求证:以AB 为直径的圆经过y 轴上的两个定点.(2019北京文数) (5)已知双曲线2221x y a-=(a >0,则a =(A (B )4 (C )2(D )12(2019北京文数) (11)设抛物线y 2=4x 的焦点为F ,准线为l .则以F 为圆心,且与l 相切的圆的方程为__________.(2019北京文数) (19)(本小题14分)已知椭圆2222:1x y C a b+=的右焦点为(1,0),且经过点(0,1)A .(Ⅰ)求椭圆C 的方程;(Ⅱ)设O 为原点,直线:(1)l y kx t t =+≠±与椭圆C 交于两个不同点P ,Q ,直线AP 与x 轴交于点M ,直线AQ 与x 轴交于点N ,若|OM |·|ON |=2,求证:直线l 经过定点.(2019江苏) 7.在平面直角坐标系xOy 中,若双曲线2221(0)y x b b-=>经过点(3,4),则该双曲线的渐近线方程是 ▲ .(2019江苏) 17.(本小题满分14分)如图,在平面直角坐标系xOy 中,椭圆C :22221(0)x y a b a b +=>>的焦点为F 1(–1、0),F 2(1,0).过F 2作x 轴的垂线l ,在x 轴的上方,l 与圆F 2:222(1)4x y a -+=交于点A ,与椭圆C 交于点D .连结AF 1并延长交圆F 2于点B ,连结BF 2交椭圆C 于点E ,连结DF 1.已知DF 1=52. (1)求椭圆C 的标准方程; (2)求点E 的坐标.(2019全国Ⅰ理数) 10.已知椭圆C 的焦点为121,01,0F F -(),(),过F 2的直线与C 交于A ,B 两点.若22||2||AF F B =,1||||AB BF =,则C 的方程为A .2212x y +=B .22132x y += C .22143x y += D .22154x y += (2019全国Ⅰ理数) 16.已知双曲线C :22221(0,0)x y a b a b-=>>的左、右焦点分别为F 1,F 2,过F 1的直线与C 的两条渐近线分别交于A ,B 两点.若1F A AB =,120F B F B ⋅=,则C 的离心率为____________.(2019全国Ⅰ理数) 19.(12分)已知抛物线C :y 2=3x 的焦点为F ,斜率为的直线l 与C的交点为A ,B ,与x 轴的交点为P .(1)若|AF |+|BF |=4,求l 的方程; (2)若,求|AB |.323AP PB=(2019全国Ⅰ文数) 10.双曲线C :22221(0,0)x y a b a b-=>>的一条渐近线的倾斜角为130°,则C 的离心率为A .2sin40°B .2cos40°C .1sin50︒D .1cos50︒(2019全国Ⅰ文数) 12.已知椭圆C 的焦点为12(1,0),(1,0)F F -,过F 2的直线与C 交于A ,B 两点.若22||2||AF F B =,1||||AB BF =,则C 的方程为A .2212x y +=B .22132x y += C .22143x y += D .22154x y += (2019全国Ⅰ文数) 21.(12分)已知点A ,B 关于坐标原点O 对称,│AB │ =4,⊙M 过点A ,B 且与直线x +2=0相切.(1)若A 在直线x +y =0上,求⊙M 的半径;(2)是否存在定点P ,使得当A 运动时,│MA │-│MP │为定值?并说明理由.(2019全国Ⅱ理数)1. 若抛物线13)0(2222=+>=py p x p px y 的焦点是椭圆的一个焦点,则p=________ A.2 B.3 C.4 D.8(2019全国Ⅱ理数)8. 设F 为双曲线C:)0,0(12222>>=-b a by a x 的右焦点,O 为坐标原点,以OF 为直径的圆与圆222a y x =+交于P,Q 两点。