2015—2016上海市各区县零志愿高中录取分数线大全
- 格式:xls
- 大小:146.50 KB
- 文档页数:1
关于上海中考民办高中最低投档控制分数线序号区县名称学校代码学校名称最低控分线 1徐汇区10397西南位育中学475210613民办西南高级中学475310616西南模范中学4754长宁区10619民办新虹桥中学4755普陀区10349桐柏高级中学496610629民办进华中学503710639培佳双语学校5148闸北区10324田家炳中学501910607民办新和中学4951010642民办风范中学4821110643民办扬波中学47512虹口区10656民办瑞虹高级中学485.51310657上海外国语大学第一实验学校531.514杨浦区10665民办东光明中学4901510666上海外国语大学附属双语学校54016闵行区10398文来中学4751710673闵教院附中4751810677民办文绮中学4751910678燎原学校4752010679闵行区教科实验学校47521 宝山区10627同洲模范学校4752210683建峰中学4752310684民办行中中学47524嘉定区10686民办远东学校46525浦东新区10693民办民远高级中学4702610694民办常青高级中学4702710695民办育辛高级中学4702810697民办金苹果学校4702910698民办弘德学校4703010702民办丰华高级中学4703110718工商外国语职业学院附属中学4703210719上海师范大学附属第二外国语学校4703310721尚德实验学校47534 金山区10709民办交大南洋中学46635松江区10713松江九峰实验学校5003610715上海外国语大学西外外国语中学47537奉贤区10723民办奉浦学校46238崇明县10728民办民一中学455.5按照公布的招生计划和填报志愿的考生成绩,各民办高中学校的实际录取分数线按序投档,自然形成。
[关于上海中考民办高中最低投档控制分数线]。
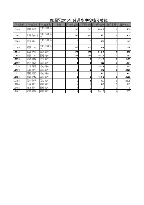
2015年长宁区本区高中投档分数线2014年长宁区本区高中投档分数线学校代码学校简称录取分数线同分比较语数外总分数学10124 延安中学582.5 412.5 145 10125 市三女中574.5 403.5 141 10311 复旦中学573 407 145 10310 天山中学562 399.5 149 10312 建青实验558.5 402.5 148 10313 华政附中553.5 394 134 10317 仙霞高中547.5 392.5 129 10426 西郊学校540 394.5 137 10619 新虹桥519 376 123 10144 回民中学570 403 143 10318 曹杨中学574.5 413.5 143 10398 文来中学553.5 397.5 133 10674 协和双语537.5 385.5 136 10678 燎原学校520.5 372 125 10679 教科实验524.5 374 117 10683 建峰中学522.5 375.5 144 10693 民办民远509.5 347 126 10694 民办常青515.5 363.5 132 10695 民办育辛511 361.5 122 10698 弘德学校505.5 352.5 130 10702 民办丰华518.5 367.5 128 10709 交大南洋504.5 355 115 10715 上外国西外514.5 375 126 10718 工商外语512 367 122 10719 上师二附外519 363 131 10723 民办奉浦513.5 361.5 123 10910 紫竹园中学539.5 394 148 10912 工商外国语539 395.5 131 10938 东辉高中539 376.5 128 10728 民一中学496 349.5 119 19380 上戏附属525.5 / / 19437 上音安师534 / /。
2015年上海市高中阶段学校招生最低投档控制分数线确定(来自:上海三致教育考试研究院)经市中招领导小组研究,现将2015年本市高中阶段学校招生最低投档控制分数线公布如下:本市高中阶段学校录取最低投档控制分数线划定依据主要为:一是保证高中阶段各类学校招生计划的顺利完成。
二是保证高中阶段不同类型学校生源的合理分布,为考生提供更多选择。
各招生学校按照公布的招生计划和填报志愿的考生成绩,按序投档,自然形成学校实际录取分数线。
高中阶段学校招生录取的学生必须是获得中考报名资格,且参加语文、数学、外语、物理和化学学业考试并获得有效成绩。
2015年本市中招有两个显著特点,一是考生报考中本贯通和中高职贯通的积极性明显提高,高分考生填报志愿人数明显增多。
二是进一步规范和减少了中招加分项目。
附表2:各科平均分数线学科语文数学英语物理化学平均分118.19 119.12 121.30 68.73 46.152015上海中考各重点高中录取线(来自:上海三致教育考试研究院)杨浦区复旦大学附中 601徐汇区上海中学 600浦东新区建平中学 592.5 徐汇区南洋模范中学592浦东新区进才中学 590.5徐汇区上师大附中 590杨浦区控江中学 589.5 浦东新区上海实验学校589闵行区七宝中学 588.5 闵行区华师大二附中闵行分校588.5 虹口区复兴高级 587.5 徐汇区位育中学 586.5 静安区市西中学 585.5 浦东新区洋泾中学585闵行区向明中学浦江校区584.5 闸北区市北中学 584黄浦区大同 584杨浦区杨浦高级中学583.5 长宁区延安中学 583.5 嘉定区交大附中嘉定分校583黄浦区格致 582虹口区师大一附 582普陀区二中 581.5 松江区松江二中 580.5 徐汇区市二中学 580闵行区闵行中学 579.5 静安区育才中学 579.5黄浦区向明579.5杨浦区同济大学一附中579 宝山区行知中学 579 普陀区晋元 578 虹口区北郊高级577.5 浦东新区南汇中学577 浦东新区川沙中学576.5 金山区金山中学576.5 嘉定区嘉定一中575.5 奉贤区奉贤中学 575.5 宝山区吴淞中学575 宝山区上大附中575 黄浦区敬业574 徐汇区南洋中学573.5 杨浦区上海理工大学附中572.5 闸北区新中高中 572 青浦区青浦中学 572 长宁区市三女中 572 黄浦区大境 570 普陀区宜川569 松江区松江一中569 崇明县崇明中学567.5 黄浦区卢高567 闸北区六十中学565 黄浦区光明564.5 闸北区久隆模范562 青浦区朱家角中学556.5 闸北区回民中学553.5 静安区华东模范553。
七宝中学近3年全市零志愿招生分数线七宝中学近3年闵行区招生分数线(平行志愿)上海市七宝中学占地面积146.7亩,建筑面积65000平方米。
校园环境优美,建筑气势恢宏,具有国内一流的教育教学设施。
现有48个班级,2320名学生。
2005年2月被上海市教委命名为首批上海市实验性示范性高中;2005年9月成立了拥有5个核心学校的七宝中学教育集团;2006年6月被评为全国先进基层党组织;2007年9月被评为全国教育系统先进集体,2008年8月被公示为全国精神文明建设先进集体。
◆师资队伍现任校长兼党委书记仇忠海同志是上海市第二届“教育功臣”、上海市十佳“我心目中的好校长”、上海市第十二届、十三届人大代表、上海市特级教师、特级校长,全国优秀教育工作者,两次荣获上海市“劳动模范”光荣称号。
学校师资力量雄厚,其中包括11位特级教师,16位上海市普教系统名师后备人选,有35位教师拥有硕士研究生以上学历。
中高级教师比例达84.23%,平均年龄40.1岁。
多人荣获全国模范教师、全国优秀教师、全国教育系统劳动模范、上海市优秀教师、上海市劳动模范等光荣称号。
学校以“全面发展,人文见长”为办学特色,以“平民本色、精英气质”为育人目标。
开设“文艺暨人生”、“人与自然”、“上海的今天与明天”和“走向社会”4个系列的开放性主题活动课程。
学校通过课堂教学加强对学生的人文教育,通过社会实践培养学生的人文精神,通过心理健康教育塑造学生的健全人格,通过科技活动开阔学生的人文境界,通过研究性学习拓宽学生的人文视野,通过社团活动提高学生的人文素养,通过美化校园环境陶冶学生的人文情操,通过设立校园八大主题文化节(体育节、科技节、狂欢节、感恩节、爱生节、读书节、班主任节、艺术节)延伸学生的人文时空,从而使和谐校园的人文特色更加鲜明。
◆办学成果学校业已形成以心理健康教育为基础,感恩教育为核心,以学校课程开发、学生社团活动、学生自主管理、学生志愿者行动、社会实践、科技、体育、艺术教育为途径的整体联动教育模式。
上海各区县中招“零志愿”分数线陆续公布本市部分区县中招“零志愿”录取分数线这两天陆续公布,由于控分线与去年相比保持稳定,今年大多数示范性高中的分数线与去年相比稳定中略升,各区平均分数线在585-600分之间。
老牌名校今年依然备受青睐,分数线普遍上涨。
此外,除了郊区名校外,部分市区学校也遭遇了“零投档”。
本报记者刘晶晶名校分数线普遍上涨今年,各校零志愿分数线与去年相比稳定中略升。
从学校看,一些老牌名校依然吃香,录取分数线均在590分以上。
如在浦东新区的零志愿录取分数线中,去年只有华师大二附中、复旦附中、交大附中和上海中学“四大名校”超过590分,今年南洋模范中学、控江中学、七宝中学和松江二中也“荣升”至590分以上。
从分数线上看,名校普遍上涨。
华二、复旦附中、交大附中和上中“四大”去年零志愿分别为分、分、592分和594分,今年则分别为分、分、分、分,其中交大附中分数线上升了分之多。
专家表示,除了今年考分和总体分数线上升的影响,去年交大附中在浦东零志愿分数线较低,可能造成今年报考人数增加,使得最后分数线水涨船高。
不同区县录取分数悬殊一所学校在不同区县的分数线差异也很明显。
根据已经公布的分数线,上海中学、复旦附中、华师大二附中等近20所市示范性高中在各区零志愿录取的平均分数线基本在585-600分之间,其中最高的为上海中学,为分,复旦附中和华师大二附中都在595分以上。
由于各区县考生报名情况、考分情况都有所不同,各校在不同区县录取分数线悬殊很大。
如上海中学在金山区录取分为611分,而在嘉定区只有分;建平中学在虹口区零志愿分数线为600分,在青浦区则只有分。
此外,同时公布的名额分配录取线,各区情况也出现落差。
如复旦附中在杨浦区各初中的名额分配投档线频频出现在600分左右,其他高中在该区的投档线最低也在580分左右。
而在静安、黄浦、原卢湾等中心城区,分数线相对较低,个别初中考生达到570分左右即能录取华师大二附中、上海中学。
2015年上海市零志愿高中最学校黄浦徐汇长宁静安普陀闸北虹口杨浦嘉定一中558562.5567561进才中学578564.5573579579建平中学593.5579565572576590.5洋泾中学559563564.5南汇中学564564.5566.5561川沙中学556金山中学555555576575华师大三附中557.5松江二中575.5576581568.5576松江一中563.5青浦高中564555561.5557.5朱家角中学573.5奉贤中学556.5576563.5崇明中学585.5560.5上海中学597596590588580.5595.5585.5585上师大附中575575576华师大二附中582.5587587.5589.5591584589.5592.5复旦附中588591.5591591588.5586.5587595交大附中583.5588.5588.5585.5584.5586.5583591交附嘉定分校583.5584584585.5上中东校564.5572570.5565.5565571二附中紫竹校区583588575.5573复附浦东分校上师大闵行分563558交附闵行分校582567复附青浦分校560572.5久隆模范551550561格致中学581.5577.5582577.5大同中学583559.5向明中学578.5577.5580大境中学光明中学555558559.5559.5574.5敬业中学556555卢湾高级中学格致奉贤向明浦江南洋模范586584.5599585.5577.5590位育中学577.5580573市二中学557571580.5567.5564南洋中学562.5559.5562.5560555562559延安中学569.5585586586584.5578584.5市三女中560.5570570.5570.5578569.5575.5育才中学559589.5573575.5565566572市西中学582.5589586.5572.5华模中学曹杨二中578580晋元高中563565572.5570.5565558555宜川中学559.5557新中高中563.5565.5570市北中学599576576.5578570.5581.5576.5回民中学第六十中学562复兴高级中学574.5574.5583华师大一附中557565572572北郊高中562.5568.5控江中学578.5587584.5585589582588.5杨浦高中573.5579.5同济一附中562556.5568.5七宝中学582.5592582590579.5580.5闵行中学559565行知中学555.5556.5555571576.5585吴淞中学561565570.5560.5上大附中575571560562.5570.5569.5高中最低录取分数线闵行宝山嘉定浦东金山松江青浦奉贤崇明578570555.5555567.5555.5555.5572577571580.5576575575579.5575.5582581.558 555556555555544.5571569555559.5555575555575572.5573 555.5560.5564.5558579.5570.5576576569.5 579555555562555573566559561563.5 569.5555555555 577581565.5573.5565.5542584.5 557.5555 595.5589.5597592603605581585576.5 575.5560.5570572574561.5578.5592580.5591.5587573.5581 595.5591576.5590590590.5596.5588580 592586578586.5573.5595.5584582.5573569.5568.5585.5576585.5579571.5561.5558555568578.5567578.5583 571581570.5582550550576.5578.5576575573.5565.5572.5567.8568567563.5555564565559563581.5574.5583569565.5559557 602590.5579571.5584564.5579.5559.5 582.5570574.5578573579.5580.5555567.5567.5559566568.5559.5557 570.5555567.5558.5556567.5564.5567.5560 578.5576.5580.5573.5573.5571.5587571579.5574.5572.5569580569.5569.5575568581.5562.5574.5555555555.5 577.5573.5571.5567.5571.5574557555.5556.5558.3567.5563.5555.5555561.5564.5566557557561561575564.5567.5568585.5566.4568 553.5550555586.5573579.5559.5571583578584.5570593.5573577.5 574.5557556572570.5587558.5583.5581.5590583583.5587.5555564555567555560.5573.5 572.5558.5557561568.5 562.5562570562565.5563。
中考零志愿分数线普涨郊区名校仍受冷落本市中招录取已经开始。
昨天,各区县陆续公布中招“零志愿”投档分数线。
在今年考生分数总体走高的推动下,今年“零志愿”学校分数线普涨。
在同一个区,还出现了不同名校投档分数线差距在二三十分的悬殊分差。
让人遗憾的是,一些郊区名校依然受到市区学生的冷落,在某些区县出现“投档线上无人报名”的情况。
老牌名校:分数线站上600分上周日,市教考院公布今年本市中考的“零志愿”最低投档控制线划定在572分,低于此前一些招办人士“上涨5分”的预期,这让一些家长略微松了口气。
但招办人士分析认为,今年中考考生成绩总体比去年高,所以,各热门学校的录取分数线势必走高。
果然,昨天从各区陆续公布的“零志愿”投档分数线来看,今年“零志愿”学校分数线出现普涨。
一些老牌的市实验性示范性高中在各个区的投档分数线基本都在590分以上,甚至站上600分。
比如在杨浦区,上海中学的“零志愿”分数线为601.5分,复旦附中的“零志愿”分数线为601.5分,华师大二附中的“零志愿”分数线为599分。
在普陀区,南洋模范中学的“零志愿”分数线为601.5分,七宝中学的“零志愿”分数线为594.5分。
记者发现,这些老牌的名校不仅分数线居高不下,且在各区都处于领跑位置。
重要原因,另外和一些郊区名校名气不响也有关系,“不是这些学校不好,而是在家长、考生心中影响还不够,阻碍了考生的选择。
”不同名校:分数线分差悬殊虽然同是“零志愿”学校,但冷热不均的情况也十分明显,不同名校在同一个区里的“零志愿”分数线分差悬殊。
比如在杨浦区,南洋中学的“零志愿”分数线为573.5分,而上海中学的“零志愿”分数线是601.5分,分差达到28分。
而今年极端分差甚至达到了36.5分———在徐汇区,今年复旦附中的“零志愿”分数线为606分,回民中学的“零志愿”分数线只有569.5分,两校分数线差距达到36.5分。
不过这样的悬殊分差与回民中学的特殊性也有很大关系。
2011年上海中考录取分数线延安 566 市三 562.5 曹杨 563.5 晋元 560 宜川 550.5 市北 558 复旦576交大 576.5 七宝 556.5 控江 556 华二 573 松江二 562.5 格致 568 大同 556光明 550 向明 563 上中 572.5 上师大 569 南模 565 市二 551.5黄浦区零志愿分数线!!!华师大一附中550 卢湾高级中学551 市北中学556.5 复旦附中574 交大附中568复兴高级中学558.5 向明中学564 控江中学557 杨浦高级中学570 上海中学572.5市三女中558.5 嘉定一中552 上师大附中562.5 育才中学562 华师大二附中576南洋模范中学567 市西中学551.5 进才中学562 市二中学550 曹杨二中552.5建平中学575 南洋中学560 晋元中学551 洋泾中学558 松江二中558上海实验中学553.5 久隆模范中学556嘉定区零志愿投档分数线已公布上海中学569以上投档上师大附中559 复旦附中576以上投档交大附中570以上华师大二附中572以上投档格致中学557 上外附属中学551 向明中学565市三女中563 育才中学563 曹杨二中565 晋元中学560 新中中学553市北中学557 华师大一附中550.5 七宝中学556 上大附中551 进才中学558.5洋泾中学554 青浦中学559.5 南汇中学564 控江中学558 宜川中学550.5宝山区零志愿投挡分数线格致中学 570 光明中学550 大境中学 550 卢湾中学 550 向明中学 552 南洋模范中学 550 上海中学 572 上师大附中 560 市三女中 556 育才中学 563宜川中学 550 曹阳二中 555 晋元中学 560 市北中学 554 新中中学552北郊 550 华师大一附中 563 复兴中学 563 杨浦中学 558 控江中学563 复旦附中 568 交大附中 572 七宝中学 550 嘉定中学 563 洋泾中学 550 进才中学 554 建平中学563 华师大二附中 566 浦东分数格致 566 大同 566 大境 554.5 光明 550 敬业 550.5 向明 559 卢湾550上中 573 上师大附中560 位育564 市二555 南洋550 延安561 市三565 育才559.5 市西552 曹阳553 晋元552 新中551.5 市北558 复兴557.5 华师大552.5 交大572 控江552 复旦573闸北分数格致 566 大同 566 大境 554.5 光明 550 敬业 550.5 向明 559卢湾 550 上中 573 上师大附中560 位育564 市二555 南洋550 延安561 市三565 育才559.5 市西552 曹阳553 晋元552 新中551.5 市北558 复兴557.5 华师大552.5 交大572 控江552 复旦573杨浦区:总分语数外三科总分要求格致561 大同560 417 大境550 414 光明550 411 向明560 419卢湾553 398 上中573 427 位育553 407 南洋572 432 延安565 421市三562 420 育才551 416 曹二552 424 晋元553 414 新中550 416市北565 425 复兴563 428 北郊552 411 复旦574 427 交大570 423行知552 418 华二568南汇区零志愿投档分数线格致 563.5 大同 563.5 大境 555.5 光明 550 敬业 550 向明 558卢湾 550 上中 568.5 上师大附中 562.5 南洋模范 564 位育 558.5南洋 550 延安 553 市三 560.5 曹杨二 559 晋元 555 新中 550复旦 567 交大 571.5 杨浦 560.5 七宝 563 行知 551 嘉定 550华师大二附中 569 进才 557 建平 561 洋泾 555.5 松江二中 557上大附中 550 上海实验中学 552 金山 550 青浦 550 奉贤 550崇明 550 回民 545长宁 7/6 8:50开通格致:564 光明:550 卢弯:562 向明:562 市二:551 南模:572位育:562 上海:576 432 422。
近5年上海248所高中中考录取分数线排名汇总
为大家提供“近5年上海248所高中中考录取分数线排名汇总”供广大考生参考,更多资讯请关注我们网站的更新!
各区表格里第一列有标注类别的,是属于本区的高中,没有标注的是外区在本区有1-15志愿招生名额的高中,除了民办高中,有几所特殊的高中在好几个区也有1-15志愿招生的,比如五爱高中、曹杨中学等。
上海中考频道的小编会及时为广大考生提供,希望对大家有所帮助。
以下是上海2017年全部科目的试题发布入口:。