三角函数与平面向量练习题
- 格式:doc
- 大小:288.00 KB
- 文档页数:4
倒数第8天 三角函数、平面向量[保温特训](时间:45分钟)1.已知sin α=23,则cos(π-2α)=( ).A .-53B .-19C.19D.53解析 cos(π-2α)=-cos 2α=2sin 2α-1=2×⎝ ⎛⎭⎪⎫232-1=-19.答案 B2.为了得到函数y =sin ⎝ ⎛⎭⎪⎫2x -π3的图象,只需把函数y =sin ⎝⎛⎭⎪⎫2x +π6的图象( ).A .向左平移π4个单位长度 B .向右平移π4个单位长度 C .向左平移π2个单位长度 D .向右平移π2个单位长度解析 注意到把y =sin ⎝ ⎛⎭⎪⎫2x +π6的图象向右平移π4个单位长度得到y =sin[2(x -π4)+π6]=sin ⎝ ⎛⎭⎪⎫2x -π3的图象,故选B.答案 B3.已知向量a 与b 均为单位向量,它们的夹角为π3,那么|a +3b |等于( ). A.7B.10C.13D .13解析 |a +3b |2=a 2+6a ·b +9b 2=10+6×1×1×cos π3=13.∴|a +3b |=13. 答案 C4.函数y =sin x +cos x 的最大值和最小正周期分别是 ( ).A.2,π B .2,π C.2,2πD .2,2π解析 y =sin x +cos x =2sin ⎝ ⎛⎭⎪⎫x +π4,故y max =2,最小正周期为T =2π.答案 C5.在平行四边形ABCD 中,AC 为一条对角线,AB →=(2,4),AC →=(1,3),则BD →=( ).A .(-3,-5)B .(3,5)C .(2,4)D .(-2,-4)解析 BC →=AC →-AB →=(-1,-1),BD →=BC →-AB →=(-3,-5). 答案 A6.函数f (x )=A sin(ωx +φ)(A >0,ω>0,|φ|<π2)的部分图象如图所示,则ω,φ的值分别为( ).A .2,0B .2,π4 C .2,-π3 D .2,π6解析 由图可知,A =1,34T =11π12-π6=3π4,所以T =π,∴ω=2πT =2,又f ⎝ ⎛⎭⎪⎫π6=sin ⎝ ⎛⎭⎪⎫π3+φ=1,∴π3+φ=π2,∴φ=π6.答案 D7.在△ABC 中,a ,b ,c 分别为角A ,B ,C 所对的边,若c cos A =b ,则△ABC ( ). A .一定是锐角三角形 B .一定是钝角三角形 C .一定是直角三角形D .一定是斜三角形解析 根据余弦定理,得c ×b 2+c 2-a 22bc =b ,即c 2=a 2+b 2,故△ABC 一定是直角三角形. 答案 C8.在△ABC 中,M 是BC 的中点,AM =1,点P 在AM 上且满足AP→=2PM →,则AP →·()PB→+PC →等于( ). A.49 B.43 C .-43 D .-49解析 由AP→=2PM →知,P 为△ABC 的重心,所以PB →+PC →=2PM →,则AP →·()PB →+PC →=2AP →·PM →=2|AP →|·|PM →|cos 0°=2×23×13×1=49. 答案 A9.在△ABC 中,内角A ,B ,C 的对边分别是a ,b ,c ,若a 2-b 2=3bc ,sin C =23sin B ,则A =( ).A .30°B .60°C .120°D .150°解析 根据正弦定理,得c =23b ,又根据余弦定理,得cos A =b 2+c 2-a 22bc =c 2-(a 2-b 2)2bc =c 2-3bc 2bc =32,所以A =30°. 答案 A10.设向量a =⎝ ⎛⎭⎪⎫32,cos θ,向量b =⎝ ⎛⎭⎪⎫sin θ,13,且a ∥b ,则锐角θ为( ).A .60°B .30°C .75°D .45°解析 ∵a ∥b ,∴32×13-cos θsin θ=0,∴sin 2θ=1,又θ为锐角, ∴θ=45°. 答案 D11.已知点P ⎝ ⎛⎭⎪⎫sin3π4,cos 3π4落在角θ的终边上,且θ∈[0,2π],则θ的值为________.解析 由题意可知,点P ⎝ ⎛⎭⎪⎫sin 3π4,cos3π4在第四象限,且点P 落在角θ的终边上,所以tan θ=-1,故θ=7π4. 答案7π412.已知平面向量a =(1,-3),b =(4,-2),λa +b 与a 垂直,则λ=________. 解析 λa +b =(λ+4,-3λ-2),∴(λa +b )·a =(λ+4,-3λ-2)·(1,-3)=(λ+4)-3(-3λ-2)=10λ+10=0,得λ=-1. 答案 -113.在△ABC 中,角A ,B ,C 的对边分别为a ,b ,c ,面积S =14()b 2+c 2-a 2,若a =10,则bc 的最大值是________.解析 S =12bc sin A =14()b 2+c 2-a 2,即a 2=b 2+c 2-2bc sin A ,结合余弦定理,得sin A =cos A ,故A =π4,又根据余弦定理得100=b 2+c 2-2bc ≥2bc -2bc ,故bc ≤1002-2=100+50 2.答案 100+50 214.已知tan θ=3,则sin 2θ+2sin θcos θ-cos 2 θ=________. 解析 sin 2 θ+2sin θcos θ-cos 2 θ=sin 2 θ+2sin θcos θ-cos 2 θsin 2 θ+cos 2 θ=tan 2θ+2tan θ-1tan 2 θ+1=9+2×3-19+1=1410=75.答案 7515.已知函数f (x )=2sin ωx -4sin 2ωx2+2+a (ω>0,a ∈R ),且f (x )的图象在y 轴右侧的第一个最高点的横坐标为2. (1)求函数f (x )的最小正周期;(2)若f (x )在区间[6,16]上的最大值为4,求a 的值.解 (1)f (x )=2sin ωx -4sin 2ωx2+2+a =2sin ωx -2(1-cos ωx )+2+a =22sin ⎝⎛⎭⎪⎫ωx +π4+a ,∴2ω+π4=π2,得ω=π8,∴f (x )的最小正周期T =2πω=16.(2)由(1)可得f (x )=22sin ⎝ ⎛⎭⎪⎫π8x +π4+a ,∵x ∈[6,16],∴π8x +π4∈⎣⎢⎡⎦⎥⎤π,9π4,∴当π8x +π4=9π4,即x =16时,f (x )最大, 由22sin 9π4+a =4,得a =2.[知识排查]1.求三角函数在定义区间上的值域(最值),一定要结合图象.2.求三角函数的单调区间要注意x 的系数的正负,最好经过变形使x 的系数为正.3.求y =sin ωx 的周期一定要注意ω的正负. 4.“五点法”作图你是否准确、熟练地掌握了? 5.由y =sin x ―→y =A sin(ωx +φ)的变换你掌握了吗?6.你还记得三角化简的通性通法吗?(降幂公式、异角化同角、异名化同名等). 7.已知三角函数值求角时,要注意角的范围的挖掘. 8.在△ABC 中,A >B ⇔sin A >sin B . 9.使用正弦定理时易忘比值还等于2R .10.在解决三角形问题时,正弦定理、余弦定理、三角形面积公式你记住了吗? 11.a =0,则a ·b =0,但由a ·b =0,不能得到a =0或b =0,因为a ⊥b ,a ·b =0.12.由a ·b =c ·b ,不能得到a =c ,即消去律不成立.13.两向量平行与垂直的充要条件是什么?坐标表示也应熟记.。
三角函数、平面向量、解三角形大题:第一方面:向量大题例1:已知三点3(3,0),(0,3),(cos ,sin ),(,).22A B C ππααα∈(1)若AC BC =u u u r u u u r ,求角α;(2)若1AC BC ⋅=-u u u r u u u r ,求22sin sin 21tan ααα++的值.解:(1)因为()()cos 3,sin ,cos ,sin 3AC BC αααα=-=-u u u r u u u r由AC BC =u u u r u u u r 得()()2222cos 3sin cos sin 3αααα-+=+- 整理得sin cos αα= ,所以tan 1α=因为3,22ππα⎛⎫∈⎪⎝⎭ ,所以54πα= (2)因为1,AC BC •=-u u u r u u u r 所以()()cos cos 3sin sin 31αααα-+-=- 即2sin cos 3αα+= ,所以()24sin cos 9αα+= ,得52sin cos 9αα=- ,所以()()22sin sin cos 2sin sin 252sin cos sin cos 1tan 9cos ααααααααααα++===-++.第二方面:三角函数大题例2.1:已知53)4cos(=+πx ,且471217ππ<<x ,求:① x x sin cos + 的值;②x xx tan 1sin 22sin 2-+的值。
解:(1)Θ471217ππ<<x ,πππ2435<+<∴x由53)4cos(=+πx 得54)4sin(-=+πx 所以524)4sin(2sin cos -=+=+πx x x(2)由524sin cos -=+x x 得2532)524()sin (cos 22=-=+x x 即2572sin ,25322sin 1=∴=+x x )4cos()4sin(2sin sin cos )sin (cos cos sin 2cos sin 1sin 2cos sin 2tan 1sin 22sin 22ππ++⋅=-+=-+=-+x x x x x x x x x xx x x x x x x 由(1)知54)4sin(-=+πx ,53)4cos(=+πx 所以x xx tan 1sin 22sin 2-+=)4cos()4sin(2sin ππ++⋅x x x =752853)54(257-=-⨯ 小结:本试题主要是考查了两角和差公式的运用,和二倍角公式的综合运用。
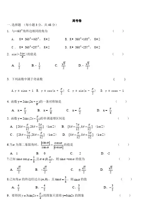
周考卷一.选择题 (每小题3分,共48分)1. 与-4630角终边相同的角为 ( ) A . K ∙ 3600+4630, K ∈Z B. K ∙ 3600+1030, K ∈Z C . K ∙ 3600+2570, K ∈Z D. K ∙ 3600-2570, K ∈Z2. sin(-631π)的值是 ( )A.21 B. - 21 C. 23 D. - 23 3. 下列函数中属于奇函数 ( )A.y = sinx + 1B. y = cos(x +2π) C. y = sin(x - 2π) D. y = cosx - 1 4. 函数y = 2sin (2x +6π)的一条对称轴是 ( )A. x =3π B. x = 6π C. x = 2π D. x = 4π5. 函数y = 2sin (32π-x )的单调递增区间是 ( )A. [1252,122ππππ--k k ] (k ∈Z )B. [12,127ππππ--k k ] (k ∈Z ) C . [122,1272ππππ--k k ] (k ∈Z ) D. [125,12ππππ+-k k ] (k ∈Z ) 6.当α为第二象限角时,ααααcos cos sin sin -的值是 ( )A. 1B. 0C. 2D. -27.已知sin αcos 81=α,且)2,0(πα∈,则sin α+cos α的值为 ( )A.25 B. -25 C. ±25 D. 238.已知角α的终边经过点(,9)m ,且3tan 4α=,则sin α的值 ( ) A 、45 B 、45- C 、35 D 、35-9.要得到)42sin(3π+=x y 的图象只需将y=3sin2x 的图象 ( )A .向左平移4π个单位 B .向右平移4π个单位 C .向左平移8π个单位 D .向右平移8π个单位10.函数x x y cos sin 3+=,]2,2[ππ-∈x 的最大值为 ( )A .1 B. 2 C. 3 D.2311.下列命题正确的是( )A .向量与是两平行向量B .若a 、b 都是单位向量,则a =bC .若=,则A 、B 、C 、D 四点构成平行四边形 D .两向量相等的充要条件是它们的始点、终点相同12.在△ABC 中,AB =AC ,D 、E 分别是AB 、AC 的中点,则 ( ) A .与共线 B .与共线 C .与相等 D .与相等13. 已知a = b =,a ⋅b =-3,则a 与b 的夹角是 ( ) A .150︒ B .120︒ C .60︒ D .30︒ 14. 设P (3,-6),Q (-5,2),R 的纵坐标为-9,且P 、Q 、R 三点共线,则R 点的 横坐标为 ( ) A .-9 B .-6 C .9 D .6 15.已知向量e 1、e 2不共线,实数x 、y 满足(3x -4y )e 1+(2x -3y )e 2=6e 1+3e 2,则x -y 的值等于( ) A .3 B .-3 C .0 D .216.已知a 3= ,b 4=,且(a +k b )⊥(a -k b ),则k 等于 ( )A .34±B .43± C .53±D .54±二 .填空题 (每小题4分,共16分)17.已知 tan α=2,则sin 2α+sin αcos α= 18. 关于函数f(x)=4sin(2x +3π), (x ∈R)有下列命题:①y =f(x)是以2π为最小正周期的周期函数;② y =f(x)可改写为y =4cos(2x -6π);③y =f(x)的图象关于(-6π,0)对称;④ y =f(x)的图象关于直线x =-6π对称;其中正确的序号为 。
约稿:三角函数与平面向量综合测试题广东省珠海市斗门区第一中学 于发智 519100 jianghua20011628@一、选择题:本大题共12小题,每小题5分,共60分。
在每小题给出的四个选项中,恰有..一项..是符合题目要求的。
1.下列函数中,周期为2π的是( ) A .sin2x y = B .sin 2y x = C .cos 4xy = D .cos 4y x = 2.已知命题:p x ∀∈R ,sin 1x ≤,则( ) A.:p x ⌝∃∈R ,sin 1x ≥ B.:p x ⌝∀∈R ,sin 1x ≥ C.:p x ⌝∃∈R ,sin 1x >D.:p x ⌝∀∈R ,sin 1x >3. 条件甲a =+θsin 1,条件乙a =+2cos2sin θθ,那么 ( )A .甲是乙的充分不必要条件B .甲是乙的充要条件C .甲是乙的必要不充分条件D .甲是乙的既不充分也不必要条件4.已知O 是ABC △所在平面内一点,D 为BC 边中点,且2OA OB OC ++=0,那么( )A.AO OD =B.2AO OD =C.3AO OD =D.2AO OD =5. 若函数f (x )=3sin21x , x ∈[0, 3π], 则函数f (x )的最大值是 ( ) A.21 B.32 C.22 D.23 6. (1+tan25°)(1+tan20°)的值是 ( ) A.-2 B.2 C.1 D.-1 7.α、β为锐角a =sin(βα+),b =ααcos sin +,则a 、b 之间关系为 ( )A .a >bB .b >aC .a =bD .不确定8. 下面有五个命题:①函数y =sin 4x -cos 4x 的最小正周期是π. ②终边在y 轴上的角的集合是{a |a =Z k k ∈π,2|.B ACD③在同一坐标系中,函数y =sin x 的图象和函数y =x 的图象有三个公共点. ④把函数.2sin 3632sin(3的图象得到的图象向右平移x y x y =ππ+= ⑤函数.0)2sin(〕上是减函数,在〔ππ-=x y 其中真命题的序号是 ① ④ ((写出所有真命题的编号))9. )sin()(ϕω+=x A x f (A >0,ω>0)在x =1处取最大值,则 ( ) A .)1(-x f 一定是奇函数 B .)1(-x f 一定是偶函数 C .)1(+x f 一定是奇函数D .)1(+x f 一定是偶函数10. 使x y ωsin =(ω>0)在区间[0,1]至少出现2次最大值,则ω的最小值为( ) A .π25B .π45 C .πD .π2311、在直角坐标系xOy 中,,i j分别是与x 轴,y 轴平行的单位向量,若直角三角形ABC中,2AB i j =+ ,3AC i k j =+,则k 的可能值有 ( ) A 、1个 B 、2个 C 、3个 D 、4个12. 如图,l 1、l 2、l 3是同一平面内的三条平行直线,l 1与l 2间的距离是1, l 2与l 3间的距离是2,正三角形ABC 的三顶点分别在l 1、l 2、l 3上,则△ABC 的边长是 ( )(A )32 (B )364(C )4173 (D )3212二、填空题:本大题共4小题,每小题4分,共16分。
2023届二轮专练_专题一 三角函数和平面向量_第1讲 三角函数的化简与求值一、填空题(共10小题)1. 已知 cosθ=−513,θ 为第二象限角,则 tanθ= .2. 若 tanα=2,则 sinα+cosαsinα−cosα+cos 2α= .3. 求值:(tan3∘+1)(tan42∘+1)= .4. 计算:cos 2π8−sin 2π8= .5. 函数 f (x )=2cos 2x +sin2x 的最小值是 .6. 已知 sin (x +π6)=14,则 sin (5π6−x)+sin 2(π3−x)= .7. 若 tanα=34,则 cos 2α+2sin2α= .8. 方程 3sinx =1+cos2x 在区间 [0,2π] 上的解为 .9. 若将函数 y =√3cosx +sinx (x ∈R ) 的图象向左平移 m (m >0) 个单位长度后,所得到的图象关于 y 轴对称,则 m 的最小值是 .10. 若 tanα=12,tan (α−β)=−13,则 tan (β−2α)= .二、解答题(共6小题)11. 如图,在平面直角坐标系 xOy 中,点 A (x 1,y 1) 在单位圆 O 上,∠xOA =α,且 α∈(π6,π2).(1)若 cos (α+π3)=−1113,求 x 1 的值;(2)若 B (x 2,y 2) 也是单位圆 O 上的点,且 ∠AOB =π3,过点 A ,B 分别作 x 轴的垂线,垂足为 C ,D ,记 △AOC 的面积为 S 1,△BOD 的面积为 S 2.设 f (α)=S 1+S 2,求函数 f (α) 的最大值.12. 如图,在平面直角坐标系 xOy 中,设锐角 α 的始边与 x 轴的非负半轴重合,终边与单位圆交于点 P (x 1,y 1),将射线 OP 绕坐标原点 O 按逆时针方向旋转 π2 后与单位圆交于点 Q (x 2,y 2),记 f (α)=y 1+y 2.(1)求函数f(α)的值域;(2)设△ABC的角A,B,C所对的边分别为a,b,c,若f(C)=√2,且a=√2,c=1,求b的值.13. 已知α为锐角,cos(α+π4)=√55.(1)求tan(α+π4)的值;(2)求sin(2α+π3)的值14. 已知函数f(x)=Asin(x+φ)(A>0,0<φ<π)的最小值是−2,其图象经过点M(π3,1).(1)求f(x)的解析式;(2)已知α,β∈(0,π2),且f(α)=85,f(β)=2413,求f(α−β)的值.15. 已知函数f(x)=sin(2x+π3)−√3sin(2x−π6).(1)求函数f(x)的最小正周期和单调增区间;(2)当x∈[−π6,π3]时,试求f(x)的最值,并写出取得最值时自变量x的值.16. 已知函数f(x)=12sin2x−√3cos2x.(1)求函数f(x)的最小正周期和最小值;(2)将函数f(x)的图象上每一点的横坐标伸长到原来的两倍,纵坐标不变,得到函数g(x)的图象,当x∈[π2,π]时,求g(x)的值域.答案1. −1252. 1653. 24. √225. 1−√2【解析】函数 f (x )=2cos 2x +sin2x 可整理为: f (x )=√2sin(2x +π4)+1 . 6. 916【解析】sin (5π6−x)+sin 2(π3−x)=sin [π−(x +π6)]+sin [π2−(x +π6)]=sin (x +π6)+cos 2(x +π6)=1916.7. 6425【解析】cos 2α+2sin2α=cos 2α+4sinαcosαcos 2α+sin 2α=1+4tanα1+tan 2α=6425. 8. x =π6,5π6【解析】3sinx =2−2sin 2x ,即 2sin 2x +3sinx −2=0.所以 (2sinx −1)(sinx +2)=0,所以 sinx =12,所以 x =π6,5π6.9. π6 【解析】方法一:函数 y =√3cosx +sinx =2sin (x +π3) 的图象向左平移 m (m >0) 个单位长度后所得图象的函数解析式为 y =2sin (x +m +π3).因为函数 y =2sinx 的图象至少向左平移 π2 个单位长度后可得到关于 y 轴对称的图象,所以 m +π3 的最小值是 π2,故 m 的最小值是 π6. 方法二:函数 y =√3cosx +sinx =2sin (x +π3) 的图象向左平移 m (m >0) 个单位长度后所得图象的函数解析式为 y =2sin (x +m +π3).令 x +m +π3=π2+kπ(k ∈Z ),得函数图象的对称轴方程为 x =−m +π6+kπ(k ∈Z ).因为图象关于 y 轴对称,所以令 x =−m +π6+kπ=0,得 m =π6+kπ(k ∈Z ).又因为 m >0,所以 m 的最小值是 π6.10. −17【解析】由题意知tan(β−2α)=tan[(β−α)−α]=tan(β−α)−tanα1+tan(β−α)⋅tanα=13−12 1+13×12=−17.11. (1)126.(2)√34.12. (1)(1,√2](2)113. (1)因为α∈(0,π2),所以α+π4∈(π4,3π4),所以sin(α+π4)=√1−cos2(α+π4)=2√55,所以tan(α+π4)=sin(α+π4)cos(α+π4)=2.(2)因为sin(2α+π2)=sin[2(α+π4)]=2sin(α+π4)cos(α+π4)=2×2√55×√55=45,cos(2α+π2)=cos[2(α+π4)]=2cos2(α+π4)−1=−35,所以sin(2α+π3)=sin[(2α+π2)−π6]=sin(2α+π2)cosπ6−cos(2α+π2)sinπ6 =45×√32−(−35)×12=4√3+310.14. (1)f(x)=2cosx.(2)12665.15. (1)由题意知,f(x)=sin(2x+π3)+√3cos(2x+π3)=2sin(2x+2π3),所以f(x)的最小正周期T=2π2=π.当−π2+2kπ≤2x+2π3≤π2+2kπ,k∈Z时,f(x)单调递增,解得x∈[−7π12+kπ,−π12+kπ],k∈Z,所以f(x)的单调增区间为[−7π12+kπ,−π12+kπ],k∈Z.(2)因为x∈[−π6,π3 ],所以π3≤2x+2π3≤4π3.当2x+2π3=π2,即x=−π12时,f(x)取得最大值2;当2x+2π3=4π3,即x=π3时,f(x)取得最小值−√3.16. (1)最小正周期为π,最小值为−2+√32.(2)[1−√32,2−√32].。
三角函数与平面向量综合题题型一:三角函数与平面向量平行(共线)的综合【例1】 已知A 、B 、C 为三个锐角,且A +B +C =π.若向量→p =(2-2sinA ,cosA +sinA)与向量→q =(cosA -sinA ,1+sinA)是共线向量.(Ⅰ)求角A ;(Ⅱ)求函数y =2sin 2B +cos C -3B 2的最大值. 题型二. 三角函数与平面向量垂直的综合【例2】 已知向量→a =(3sinα,cosα),→b =(2s inα,5sinα-4cosα),α∈(3π2,2π),且→a ⊥→b . (Ⅰ)求tanα的值;(Ⅱ)求cos(α2+π3)的值. 题型三. 三角函数与平面向量的模的综合【例3】 已知向量→a =(cosα,sinα),→b =(cosβ,sinβ),|→a -→b |=255.(Ⅰ)求cos(α-β)的值;(Ⅱ)若-π2<β<0<α<π2,且sinβ=-513,求sinα的值. 题型四 三角函数与平面向量数量积的综合【例3】 设函数f(x)=→a ·→b .其中向量→a =(m ,cosx),→b =(1+sinx ,1),x ∈R ,且f(π2)=2.(Ⅰ)求实数m 的值;(Ⅱ)求函数f(x)的最小值.题型五:结合三角形中的向量知识考查三角形的边长或角的运算【例5】(山东卷)在ABC ∆中,角,,A B C 的对边分别为,,a b c ,tan 37C =.(1)求cos C ;(2)若52CB CA ⋅=,且9a b +=,求c . 题型六:结合三角函数的有界性,考查三角函数的最值与向量运算【例6】(2007年高考陕西卷)()f x a b =⋅,其中向量(,cos 2)a m x =,(1sin 2,1)b x =+,x R ∈,且函数()y f x =的图象经过点(,2)4π. (Ⅰ)求实数m 的值; (Ⅱ)求函数()y f x =的最小值及此时x 值的集合。
平面向量与三角函数练习题在本次练习题中,我们将探讨平面向量与三角函数的关系。
通过解答以下习题,我们可以更好地理解二者之间的联系,并锻炼自己的解题能力。
1. 问题描述:已知向量A = (-3, 4)和向量B = (5, 2),求向量A与向量B的数量积和方向积。
解答:首先计算向量A与向量B的数量积(内积):A ·B = (-3)(5) + (4)(2) = -15 + 8 = -7接下来计算向量A与向量B的方向积(叉积):|A × B| = |(-3)(2) - (4)(5)| = |-6 - 20| = |-26| = 26因此,向量A与向量B的数量积为-7,方向积为26。
2. 问题描述:已知向量A = (4, 3)和向量B = (-2, 6),求向量A与向量B的夹角。
解答:两个向量的夹角可以通过以下公式计算:cosθ = (A · B) / (|A| |B|)其中,A · B表示向量A与向量B的数量积,|A|和|B|分别表示向量A和向量B的模。
首先计算|A|和|B|的值:|A| = √(4^2 + 3^2) = √(16 + 9) = √25 = 5|B| = √((-2)^2 + 6^2) = √(4 + 36) = √40 = 2√10接下来计算A · B的值:A ·B = (4)(-2) + (3)(6) = -8 + 18 = 10代入公式得到:cosθ = 10 / (5 * 2√10) = 10 / (10√10) = 1 / √10 = √10 / 10因此,向量A与向量B的夹角θ为cos^(-1)(√10 / 10)。
3. 问题描述:已知一个角的弧度为π/4,求该角的正弦、余弦和正切值。
解答:根据三角函数的定义,可以得出以下结论:sin(π/4)= 1/√2cos(π/4) = 1/√2tan(π/4) = sin(π/4) / cos(π/4) = 1因此,该角的正弦值为1/√2,余弦值为1/√2,正切值为1。
三角函数、平面向量专题试题集三角函数.平面向量专题试题集1. 函数的最小正周期为 ( A )A. B. C.8D.42. 已知函数的图象的一条对称轴方程为直线_=1,若将函数的图象向右平移b个单位后得到y=sin_的图象,则满足条件的b的值一定为( C )A.B. C.D.3. 在△ABC,为角A.B.C所对的三条边.(1)求时,t的取值范围;(2)化简(用(1)中t表示).(1)∵,∴△ABC为直角三角形,∴∠A+∠B= …………2分又…………4分∵ ∴, ∴…………6分(2)∵ ∴…………9分…………12分4. 已知向量a和b的夹角为60°,a = 3,b = 4,则(2a –b)·a等于 ( B )(A)15 (B)12 (C)6 (D)35. 已知.(Ⅰ)求cos的值;(Ⅱ)求满足sin(– _ ) – sin (+ _) + 2cos=的锐角_.解:(Ⅰ)因为,所以.(2分)所以=, (4分)由,所以.(6分)(Ⅱ)因为sin() – sin() + 2cos,所以, (8分)所以sin_=, (10分)因为_为锐角,所以.(12分)6. 下列函数中,最小正周期为,且图象关于直线对称的是( B )A. B.C. D.7. 若是纯虚数,则的值为 ( B )A.B.C.D.8. 已知向量上的一点(O为坐标原点),那么的最小值是( B )A.-16 B.-8 C.0 D.49. _年8月,在北京召开的国际数学家大会会标如图所示,它是由4个相同的直角三角形与中间的小正方形拼成的一大正方形,若直角三角形中较小的锐角为,大正方形的面积是1,小正方形的面积是的值等于( D )A.1 B.C.D.-10. 为锐角,为钝角,=.11. 已知a=1,b=,(1)若a//b,求a·b;(2)若a,b的夹角为135°,求a+b.解(1),①若,同向,则……3分②若,异向,则……3分(2)的夹角为135°,……2分……2分……2分12.已知函数(1)将的形式,并求其图象对称中心的横坐标;(2)如果△ABC的三边a.b.c成等比数列,且边b所对的角为_,试求_的范围及此时函数f(_)的值域.解:(1) ……3分由即对称中心的横坐标为……3分(2)由已知.……3分的值域为……2分综上所述, ……1分13. 设平面上的动向量a=(s,t),b=(-1,t2-k)其中s,t为不同时为0的两个实数,实数,满足a⊥b,(1)求函数关系式(2)若函数上是单调增函数,求证:;(3)对上述,存在正项数列,其中通项公式并证明.(1)解: ……3分(2)证明:成立, ……2分故; ……1分(3)故因为……4分事实上,……4分方法1:方法2:14. 如果函数的最小正周期是T,且当时取得最大值,那么( A )A. B. C. D.15. 在中,已知,那么一定是( B )A.直角三角形B.等腰三角形C.等腰直角三角形D.正三角形16. 已知,那么的值为,的值为.17. 若 , 且()⊥ ,则与的夹角是 ( B )(A)(B)(C)(D)18. 把y = sin_的图象向左平移个单位,得到函数y = sin的图象;再把所得图象上的所有点的横坐标伸长到原来的2倍,而纵坐标保持不变,得到函数的图象.19. 已知直线:_ – 2y + 3 = 0 ,那么直线的方向向量为(2,1)或等(注:只需写出一个正确答案即可);过点(1,1),并且的方向向量2与1满足1·= 0,则的方程为2_ + y – 3 = 0.20. 已知:tan= 2,求:(Ⅰ)tan的值;(Ⅱ)sin2的值.解:(Ⅰ)== 2,∴tan. (5分)(Ⅱ)解法一:sin2+sin2+ cos2= sin2+ sin2+ cos2– sin2= 2sincos+ cos2 (8分)= (11分)=.(13分)(Ⅱ)解法二:sin2+ sin2+ cos2= sin2+ sin2+ cos2– sin2= 2sincos+ cos2 (1)(8分)∵tan=,∴为第一象限或第三象限角.当为第一象限角时,sin=,cos=,代入(1)得2sincos+ cos2=; (10分)当为第三象限角时,sin=,cos=,代入(1)得2sincos+ cos2=. (12分)综上所述:sin2+ sin2+ cos2=.(13分)21. 已知常数a _gt; 0,向量,,经过定点A (0,–a )以+为方向向量的直线与经过定点B (0,a)以+ 2为方向向量的直线相交于点P,其中∈R.(Ⅰ)求点P的轨迹C的方程;(Ⅱ)若,过E (0,1)的直线l交曲线C于M.N两点,求的取值范围.解:(Ⅰ)设P点的坐标为(_,y),则,,又,故,.由题知向量与向量平行,故(y + a) = a_.又向量与向量平行,故y – a = 2.两方程联立消去参数,得点P (_,y)的轨迹方程是(y + a)(y – a)= 2a2_2,即y2 – a2 = 2a2_2.(6分)(Ⅱ)∵,故点P的轨迹方程为2y2 – 2_2= 1,此时点E (0,1)为双曲线的焦点.①若直线l的斜率不存在,其方程为_ = 0,l与双曲线交于.,此时. (8分)②若直线l的斜率存在,设其方程为y = k_ + 1,代入2y2 – 2_2= 1化简得2(k2 – 1) _2 + 4k_ + 1 = 0.∴直线l与双曲线交于两点,∴△=(4k)2 – 8 (k2 – 1) _gt; 0且k2 –1≠0.解得k≠±1.设两交点为M (_1,y1).N (_2,y2),则_1 + _2 =,_1_2 =. (10分)此时= _1_2 + k2_1_2= (k2 + 1) _1_2 =.当–1 _lt; k _lt; 1时,k2 – 1 _lt; 0,故≤;当k _gt; 1或k _lt; – 1时,k2 – 1 _gt; 0,故.综上所述,的取值范围是∪. (13分)22.23.24.25.26.27.28.29.30.31.32. 已知向量=(8, _),=(_,1),其中_>0,若(-2)∥(2+),则_的值为A.4B.8C.0D.2解:-2=(8-2_,_-2),2+=(16+_,_+1)由(-2)∥(2+),得(8-2_,_-2)=λ(16+_,_+1)即_THORN; _=4.选A33. 同时具有以下性质:〝①最小正周期实π;②图象关于直线_=对称;③在[-]上是增函数〞的一个函数是A.y=sin()B.y=cos(2_+)C.y=sin(2_-)D.y=cos(2_-)解:由性质①排除A,由性质②排除D,由性质③排除B,选C.34. 在△ABC中,已知sin2Asin2B=,tanAtanB=3,求角C.解:∵sin2Asin2B=,∴sinAsinBcosAcosB=……①……3’由A.B∈(0,π),知sinAsinB>0,∴cosAcosB>0又tanAtanB=3,即=3……②……6’由①②得:∴c osC=-cos(A+B)=-cosAcosB+sinAsinB=而C∈(0,π),∴C=.35. 如图,已知点P(3,0),点A.B分别在_轴负半轴和y轴上,且=0,,当点B在y轴上移动时,记点C的轨迹为E.(1)求曲线E的方程;(2)已知向量=(1,0),=(0,1),过点Q(1,0)且以向量+k(k∈R)为方向向量的直线l交曲线E于不同的两点M.N,若D(-1,0),且>0,求k的取值范围.解:(1)设A(a,0)(a<0),B(0,b),C(_,y)则=(_-a,y),=(a,-b),=(3,-b),∵=0,,∴……3’消去a.b得:y2=-4_∵a<0,∴_=3a<0故曲线E的方程为y2=-4_(_<0)……5’(2)设R(_,y)为直线l上一点,由条件知)即(_-1,y)=λ(1,k)∴,消去λ得l的方程为:y=k(_-1) ……7’由_THORN;k2_2-2(k2-2)_+k2=0 ……(_)∵直线l交曲线E与不同的两点M.N∴△>0 _THORN; -1<k<1……①……9’设M(_1,y1),N(_2,y2),则=(_1+1,y1),=(_2+1,y2)∵M.N在直线y=k(_-1)上,∴y1=k(_1-1),y2=k(_2-1)又由(_),有_1+_2=,_1_2=2∴=(_1+1)(_2+1)+y1y2=(_1+1)(_2+1)+k2(_1-1)(_2-1)=(k2+1)_1_2+(1-k2)(_1+_2)+k2+1=由条件知:>0 _THORN;k2>……②……12’由①②知:-1<k<-或<k<1.……13’36. 设集合,集合,则( A )A.中有3个元素 B.中有1个元素C.中有2个元素 D.37. 在△中,〝是〝〞的( C )A.充分非必要条件 B.必要非充分条件C.充要条件 D.既不充分也不必要条件38. 函数在下面哪个区间内是增函数( C )A.B.C. D.39. 函数的最小正周期为.40. 在三角形ABC中,设,,点在线段上,且,则用表示为.41. 将圆按向量平移得到圆,则的坐标为(-1,2);将抛物线按的相反向量平移后的曲线方程为.42. 已知向量,,,其中.(Ⅰ)当时,求值的集合;(Ⅱ)求的最大值.解:(Ⅰ)由,得,即.…………4分则,得.…………………………………5分∴为所求.…………………………………6分(Ⅱ),……………10分所以有最大值为3. (12)分。
三角函数与平面向量练习题
编号:11 编制:许小红 审核:孙丽君 时间:2011-9-30
一、选择题
1、设平面向量a =(-2,1),b =(λ,-1),若a 与b 的夹角为钝角,则λ的取值范围是( )
A 、),2()2,2
1
(+∞⋃- B 、(2,+∞)
C 、(21-,+∞)
D 、(-∞,21-) 2、ΔABC 中,若⋅=⋅,则ΔABC 必为( )
A 、直角三角形
B 、钝角三角形
C 、锐角三角形
D 、等腰三角形
3、已知ΔABC 的三个顶点A 、B 、C 及所在平面内一点P 满足=++,则点P 与ΔABC 的关系是( )
A 、P 在ΔABC 内部
B 、P 在ΔAB
C 外部
C 、P 在直线AB 上
D 、P 在ΔABC 的AC 边的一个三等分点
4.在平行四边形ABCD 中,M 为AB 上任一点,则AM DM DB -+等于 ( )
(A )BC (B )AB (C )AC (D )AD
5.设P (3,-6),Q (-5,2),R 的纵坐标为-9,且P 、Q 、R 三点共线,则R 点的横坐标为( )
A .-9
B .-6
C .9
D .6
6. 己知P 1(2,-1) 、P 2(0,5) 且点P 在P 1P 2的延长线上,||2||21PP P P =, 则P 点坐标为( )
A .(-2,11)
B .()3,34
C .(3
2,3) D .(2,-7) 7.下面给出四个命题:
① 对于实数m 和向量a 、b ,恒有()m a b ma mb -=-;
② 对于实数m 、n 和向量a ,恒有()m n a ma na -=-;
③ 若(,0)ma mb m R m =∈≠,则a b =;
④ 若(0)ma na a =≠,则m n =.其中正确的命题个数是 ( )
(A ) 1 (B ) 2 (C )3 (D )4
8.已知123()AB e e =+,12CB e e =-,122CD e e =+,则下列关系一定成立( )
(A )A ,B ,C 三点共线 (B )A ,B ,D 三点共线
(C )A ,C ,D 三点共线 (D )B ,C ,D 三点共线
9.已知5
3)sin(=+απ且α是第三象限的角,则)2cos(πα-的值是( ) A .54- B .54 C .54± D .5
3 10.若函数)cos(3)(ϕω+=x x f 对任意x 都有)6()6
(x f x f +=-ππ
,则)6(π
f 的( ) A .3 B .3- C .3± D .0 11.在△ABC 中,已知2sinAcosB =sinC ,则△ABC 一定是 ( )
A .直角三角形
B .等腰三角形
C .等腰直角三角形
D .正三角形
12.设α、β、γ∈R ,且βγαs i n s i n s i n =+,βγαcos cos cos =+,则βα-( )
A .3π-
B .6π
C .33ππ-或
D . 3
π 二、填空题( 每小题5分,共20分 )
13.把函数)42sin(π+
=x y 的图象向右平移8π,再把所得图象上各点的横坐标缩短到原来的2
1,则所得图象的函数是 . 14.若α满足sin α-2cos αsin α+3cos α
=2,则sin α·cos α的值等于______________. 15.已知若(k 2),3,(),1,2(+==∥),(b a -2则k 的___________. 16. 函数)3cos(π
+-=x y 的增区间_________________。
三、解答题(第15,16,题12分,第17,18,19,20题各14分,)
17.已知ABC ∆中,(3,1),(7,),(5,7)A B y C -,且重心(,4)G x ,,x y R ∈。
⑴ 求,x y 的值; ⑵ 若线段BC 的三等分点依次为M ,N ,求,AM AN 的坐标;
18已知⎥⎦
⎤⎢⎣⎡-∈32,3ππx (1)求函数x y cos =的值域;(2)求函数
4cos 4sin 32+--=x x y 的最大值和最小值.
19.已知1027)4sin(=-π
α,25
72cos =α, (1)求αα
cos sin +的值;(2)求)3
tan(πα+的值.
20.已知3)2(cos 32)2cos()2sin(2)(2-++++=θ
θθx x x x f (1)化简)(x f 的解析式;
(2)若πθ≤≤0,求θ使函数)(x f 为奇函数;
(3)在(2)成立的条件下,求满足[]ππ,,1)(-∈=x x f 的x 的集合.
21、已知a =(cos α,sin α),b =(cos β,sin β),0<α<β<π。
(1)求证:a +b 与a -b 垂直;
(2)若k a +b 与a -k b 的长度相等,求β-α的值(k 为非零的常数)
22、抛物线2
2
x y -=与过点M(1,0)的直线l 相交于A 、B 两点,O 为坐标原点,若OB OA ⋅=0,求直线l 的方程。