高中数学选修极坐标与参数方程练习题
- 格式:docx
- 大小:772.38 KB
- 文档页数:24
高中数学极坐标与参数方程练习题及参考答案2023一、选择题:1. 下列哪个不是一个极坐标?A. (2, π/3)B. (-3, 4π/3)C. (2, -5π/6)D. (5, 4π/7)2. 以下哪个函数是参数方程?A. y = 3x + 1B. x^2 + y^2 = 4C. y = sin 2xD. x = t - 1, y = t + 23. 一个曲线的极坐标方程为r = 4 sinθ,该曲线的形状是?A. 玫瑰线B. 半径为4的圆C. 极坐标线段D. 直线二、计算题:1. 已知曲线的极坐标方程为r = 3sinθ,计算该曲线在θ∈[0,π/2]的弧长。
解:由弧长公式可知,弧长需要对r关于θ求导,并同时进行积分操作。
{l = ∫[0,π/2 {√[r^2 + (dr/dθ)^2]}dθ = ∫[0,π/2] {√[9cos^2θ + 9sin^2θ]}dθ= ∫[0,π/2] {3dθ} = 3π/2所以该曲线在θ∈[0,π/2]的弧长为3π/2。
2. 已知曲线的参数方程为 x = t^2 + 2t,y = t^2 - 2t,求该曲线的极坐标方程。
解:根据极坐标与参数方程的转换公式,可得:r^2 = (x-1)^2 + y^2替换x和y,得到:r^2 = [(t^2 + 2t - 1)^2 + (t^2 - 2t)^2]= (t^2 + 2t - 1)^2 + (t^2 - 2t)^2展开式子,得到:r^2 = 2t^4 + 2t^2 + 2因为π是常数,所以就能得到该曲线在极坐标下的表示:r = √[2t^4 + 2t^2 + 2]三、应用题:一艘船沿着曲线r = 2sinθ 前进,求当船越过双极点时速度的大小和方向。
解:当船越过双极点时,θ的值从π- ε 到π+ε (ε接近0),根据速度的定义,得到速度v的表达式:v = ds/dt = √[(dr/dt)^2 + (rdθ/dt)^2]因为θ的变化非常小,所以可认为θ是常数,dθ/dt = 0。
精品文档4-4高中数学选修综合试题一、选择题1.1x?y?2直线)的参数方程是(1t?x?2?2?tx?为参数)B、(t A、(t为参数)??1t?y?421t?y?2??1t?x??sin?x??、为参数)C(t(t为参数)D、???1??2ty1??2siny??2?t4x?)为参数t(2.||PF)mP(3,F为焦点的抛物线若点上,则).在以点等于(?t4y??5342 D.C.A.B. ???,5M?3.??)已知,下列所给出的不能表示点M的坐标的是(3??????542?????????5?5,,55,,?????????? A、、、B、CD 3333????????4.)关于极轴所在直线Z,k∈,θ)(θ≠kπ极坐标系中,下列各点与点P(ρ)对称的是()π+θ) D.(ρ,2,-θ)C.(ρ,2π-θ.(A.(-ρ,θ)B-ρ??31,?P5.( ,则它的极坐标是点)????44?????????,22,22,,?????????D、、B、C A、3333????????6.直角坐标系xoy中,以原点为极点,x轴的正半轴为极轴建极坐标系,设点A,B分别在曲?cos3?x????AB1?C::C的最小值为( ( ).线为参数)和曲线上,则?21?sin?y? A.1 B.2 C.3 D.4 1?x?t??7.(t为参数)t表示的曲线是(参数方程为)??y?2?A.一条直线 B.两条直线 C.一条射线 D.两条射线精品文档.?? 8.?4x?ky?1垂直,则常数若直线t为参数k与直线)精品文档t?2x?1?(?t?3y?2?11? A.-6 B. C.6 D.66??9.4cos?) 极坐标方程化为直角坐标方程是(22224?y?x(x?2)?y?4 B. A.22224?1)?x?41)?(y(x?(y?2)? D. C.?210.. ,1)对应的点的直角坐标是(柱坐标(2,)31,,1,,1?,?3,13,?3?11,3,11)) B.(A.() D.() C.(?8cos1?x???11.(1,2)).在圆的(点??8siny??θ的值有关D .与B.外部C.圆上A.内部?21tx?????22?12.)2??4sin(x曲线)。
极坐标与参数方程单元练习1一、选择题(每小题5分,共25分)1、已知点M 的极坐标为⎪⎭⎫ ⎝⎛35π,,下列所给出的四个坐标中能表示点M 的坐标是( )。
A. 53,-⎛⎝ ⎫⎭⎪πB. 543,π⎛⎝ ⎫⎭⎪C. 523,-⎛⎝ ⎫⎭⎪πD. ⎪⎭⎫ ⎝⎛-355π,2、直线:3x-4y-9=0与圆:⎩⎨⎧==θθsin 2cos 2y x ,(θ为参数)的位置关系是( )A.相切B.相离C.直线过圆心D.相交但直线不过圆心 3、在参数方程⎩⎨⎧+=+=θθsin cos t b y t a x (t 为参数)所表示的曲线上有B 、C 两点,它们对应的参数值分别为t 1、t 2,则线段BC 的中点M 对应的参数值是( )4、曲线的参数方程为⎩⎨⎧-=+=12322t y t x (t 是参数),则曲线是( ) A 、线段 B 、双曲线的一支 C 、圆 D 、射线 5、实数x 、y 满足3x 2+2y 2=6x ,则x 2+y 2的最大值为( )A 、27 B 、4 C 、29D 、5 二、填空题(每小题5分,共30分)1、点()22-,的极坐标为 。
2、若A 33,π⎛⎝ ⎫⎭⎪,B ⎪⎭⎫ ⎝⎛-64π,,则|AB|=___________,S A O B ∆=___________。
(其中O 是极点) 3、极点到直线()cos sin 3ρθθ+=________ _____。
4、极坐标方程2sin 2cos 0ρθθ-⋅=表示的曲线是_______ _____。
5、圆锥曲线()为参数θθθ⎩⎨⎧==sec 3tan 2y x 的准线方程是 。
6、直线l 过点()5,10M ,倾斜角是3π,且与直线032=--y x 交于M ,则0MM 的长为 。
三、解答题(第1题14分,第2题16分,第3题15分;共45分)1、求圆心为C 36,π⎛⎝ ⎫⎭⎪,半径为3的圆的极坐标方程。
2、已知直线l 经过点P(1,1),倾斜角6πα=,(1)写出直线l 的参数方程。
极坐标与参数方程大题及答案一、极坐标问题1.求解方程$r = 2\\cos(\\theta)$的直角坐标方程。
首先,根据极坐标到直角坐标的转换公式:$$x = r\\cos(\\theta)$$$$y = r\\sin(\\theta)$$将$r = 2\\cos(\\theta)$代入上述两式,得到:$$x = 2\\cos(\\theta)\\cos(\\theta)$$$$y = 2\\cos(\\theta)\\sin(\\theta)$$化简上述两个式子,得到直角坐标方程为:$$x = 2\\cos^2(\\theta)$$$$y = 2\\cos(\\theta)\\sin(\\theta)$$2.将直角坐标方程x2+y2−4x=0转换为极坐标方程。
首先,我们可以将直角坐标方程中的x2和y2替换成r2,从而得到:r2+y2−4x=0然后,将直角坐标方程中的x和y替换成$r\\cos(\\theta)$和$r\\sin(\\theta)$,得到:$$r^2 + (r\\sin(\\theta))^2 - 4(r\\cos(\\theta)) = 0$$将上述方程化简,得到极坐标方程为:$$r^2 + r^2\\sin^2(\\theta) - 4r\\cos(\\theta) = 0$$3.将极坐标方程$r = \\sin(\\theta)$转换为直角坐标方程。
使用极坐标到直角坐标的转换公式,将$r = \\sin(\\theta)$代入,得到:$$x = \\sin(\\theta)\\cos(\\theta)$$$$y = \\sin^2(\\theta)$$化简上述两个式子,得到直角坐标方程为:$$x = \\frac{1}{2}\\sin(2\\theta)$$$$y = \\sin^2(\\theta)$$二、参数方程问题1.求解方程$\\frac{x + y}{x - y} = 2$的参数方程。
1.极坐标系与直角坐标系xoy 有相同的长度单位,以原点O 为极点,以x 轴正半轴为极轴.已知直线l的参数方程为122x t y ⎧=+⎪⎪⎨⎪=⎪⎩(t 为参数),曲线C 的极坐标方程为2sin 8cos ρθθ=.(Ⅰ)求C 的直角坐标方程;(Ⅱ)设直线l 与曲线C 交于,A B 两点,求弦长||AB .2.已知直线l 经过点1(,1)2P ,倾斜角α=6π,圆C的极坐标方程为)4πρθ=-.(1)写出直线l 的参数方程,并把圆C 的方程化为直角坐标方程;(2)设l 与圆C 相交于两点A 、B ,求点P 到A 、B 两点的距离之积. 3.(本小题满分10分)选修4-4:坐标系与参数方程已知直线l 的参数方程是)(242222是参数t t y t x ⎪⎪⎩⎪⎪⎨⎧+==,圆C 的极坐标方程为)4cos(2πθρ+=.(I )求圆心C 的直角坐标;(Ⅱ)由直线l 上的点向圆C 引切线,求切线长的最小值. 4.已知极坐标系的极点与直角坐标系的原点重合,极轴与直角坐标系中x 轴的正半轴重合,且两坐标系有相同的长度单位,圆C 的参数方程为12cos 12sin x y αα=+⎧⎨=-+⎩(α为参数),点Q的极坐标为7)4π。
(1)化圆C 的参数方程为极坐标方程;(2)直线l 过点Q 且与圆C 交于M ,N 两点,求当弦MN 的长度为最小时,直线l 的直角坐标方程。
5.在极坐标系中,点M 坐标是)2,3(π,曲线C 的方程为)4sin(22πθρ+=;以极点为坐标原点,极轴为x 轴的正半轴建立平面直角坐标系,斜率是1-的直线l 经过点M . (1)写出直线l 的参数方程和曲线C 的直角坐标方程;(2)求证直线l 和曲线C 相交于两点A 、B ,并求||||MB MA ⋅的值.6.(本小题满分10分) 选修4-4坐标系与参数方程 在直角坐标系中,曲线1C 的参数方程为⎩⎨⎧+==ααsin 22cos 2y x ,(α为参数) M 是曲线1C 上的动点,点P 满足2=,(1)求点P 的轨迹方程2C ;(2)在以D 为极点,X 轴的正半轴为极轴的极坐标系中,射线3πθ=与曲线1C ,2C 交于不同于原点的点A,B 求AB7.在平面直角坐标系xOy 中,以O 为极点,x 轴正半轴为极轴建立极坐标系,曲线C 的极坐V 标方程为πcos =13ρθ⎛⎫-⎪⎝⎭,M ,N 分别为曲线C 与x 轴、y 轴的交点. (1)写出曲线C 的直角坐标方程,并求M ,N 的极坐标;(2)求直线OM 的极坐标方程. 8.在直角坐标系中,曲线C 1的参数方程为:2cos x y αα=⎧⎪⎨=⎪⎩(α为参数),以原点为极点,x 轴的正半轴为极轴,并取与直角坐标系相同的长度单位,建立极坐标系,曲线C 2是极坐标方程为:cos ρθ=, (1)求曲线C 2的直角坐标方程;(2)若P ,Q 分别是曲线C 1和C 2上的任意一点,求PQ 的最小值.9.已知圆C 的极坐标方程为2cos ρθ=,直线l的参数方程为1221122x x t ⎧=+⎪⎪⎨⎪=+⎪⎩ (t 为参数),点A的极坐标为4π⎫⎪⎪⎝⎭,设直线l 与圆C 交于点P 、Q .(1)写出圆C 的直角坐标方程;(2)求AP AQ ⋅的值.10.已知动点P ,Q 都在曲线C :2cos 2sin x ty t =⎧⎨=⎩(β为参数)上,对应参数分别为t α=与2t α=(0<α<2π),M 为PQ 的中点。
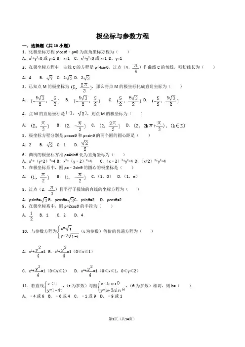
极坐标与参数方程一.选择题(共16小题)1.化极坐标方程ρ2cosθ﹣ρ=0为直角坐标方程为()A.x2+y2=0或y=1 B.x=1 C.x2+y2=0或x=1 D.y=12.在极坐标方程中,曲线C的方程是ρ=4sinθ,过点(4,)作曲线C的切线,则切线长为()A.4 B.C.2D.23.已知点M的极坐标为,那么将点M的极坐标化成直角坐标为()A.B.C.D.4.点M的直角坐标是,则点M的极坐标为()A.B.C.D.5.极坐标方程分别是ρ=cosθ和ρ=sinθ的两个圆的圆心距是()A.2 B.C.1 D.6.曲线的极坐标方程ρ=4sinθ化为直角坐标为()A.x2+(y+2)2=4 B.x2+(y﹣2)2=4 C.(x﹣2)2+y2=4 D.(x+2)2+y2=47.在极坐标系中,圆ρ=﹣2sinθ的圆心的极坐标是()A.B.C.(1,0)D.(1,π)8.过点(2,)且平行于极轴的直线的坐标方程为()A.ρsinθ= B.ρcosθ= C.ρsinθ=2D.ρcosθ=29.在极坐标系中,圆ρ=2cosθ的半径为()A.B.1 C.2 D.410.与参数方程为(t为参数)等价的普通方程为()A.x2+=1 B.x2+=1(0≤x≤1)C.x2+=1(0≤y≤2)D.x2+=1(0≤x≤1,0≤y≤2)11.若直线,(t为参数)与圆,(θ为参数)相切,则b=()A.﹣4或6 B.﹣6或4 C.﹣1或9 D.﹣9或112.已知直线l的参数方程为(t为参数),则其直角坐标方程为()A.x+y+2﹣=0 B.x﹣y+2﹣=0 C.x﹣y+2﹣=0 D.x+y+2﹣=013.若直线y=x﹣b与曲线(θ∈[0,2π))有两个不同的公共点,则实数b的取值范围为()A.B.C.D.14.参数方程(θ为参数)化为普通方程是()A.2x﹣y+4=0 B.2x+y﹣4=0C.2x﹣y+4=0,x∈[2,3]D.2x+y﹣4=0,x∈[2,3]15.直线y=2x+1的参数方程是()A.(t为参数)B.(t为参数)C.(t为参数)D.(θ为参数)16.把方程xy=1化为以t参数的参数方程是()A. B.C.D.二.解答题(共12小题)17.已知圆O1和圆O2的极坐标方程分别为ρ=2,.(1)把圆O1和圆O2的极坐标方程化为直角坐标方程;(2)求经过两圆交点的直线的极坐标方程.18.在直角坐标系xOy中,直线C1:x=﹣2,圆C2:(x﹣1)2+(y﹣2)2=1,以坐标原点为极点,x轴的正半轴为极轴建立极坐标系.(Ⅰ)求C1,C2的极坐标方程;(Ⅱ)若直线C3的极坐标方程为θ=(ρ∈R),设C2与C3的交点为M,N,求△C2MN的面积.19.在极坐标系中,已知圆C的圆心C(,),半径r=.(Ⅰ)求圆C的极坐标方程;(Ⅱ)若α∈[0,),直线l的参数方程为(t为参数),直线l交圆C于A、B两点,求弦长|AB|的取值范围.20.已知直线l的参数方程是(t为参数),圆C的极坐标方程为ρ=2cos(θ+).(Ⅰ)求圆心C的直角坐标;(Ⅱ)由直线l上的点向圆C引切线,求切线长的最小值.21.在直角坐标系xOy中以O为极点,x轴正半轴为极轴建立坐标系.圆C1,直线C2的极坐标方程分别为ρ=4sinθ,ρcos()=2.(Ⅰ)求C1与C2交点的极坐标;(Ⅱ)设P为C1的圆心,Q为C1与C2交点连线的中点,已知直线PQ的参数方程为(t∈R为参数),求a,b的值.22.在直角坐标系xOy中,以O为极点,x正半轴为极轴建立极坐标系,曲线C的极坐标方程为ρcos()=1,M,N分别为C与x轴,y轴的交点.(1)写出C的直角坐标方程,并求M,N的极坐标;(2)设MN的中点为P,求直线OP的极坐标方程.23.已知P为半圆C:(θ为参数,0≤θ≤π)上的点,点A的坐标为(1,0),O为坐标原点,点M在射线OP上,线段OM与C的弧的长度均为.(1)以O为极点,x轴的正半轴为极轴建立极坐标系,求点M的极坐标;(2)求直线AM的参数方程.24.已知直线l:(t为参数).以坐标原点为极点,x轴的正半轴为极轴建立极坐标系,曲线C的坐标方程为ρ=2cosθ.(1)将曲线C的极坐标方程化为直坐标方程;(2)设点M的直角坐标为(5,),直线l与曲线C的交点为A,B,求|MA|•|MB|的值.25.极坐标系的极点为直角坐标系的原点,极轴为x轴的正半轴,两种坐标系中的长度单位相同,已知曲线C的极坐标方程为ρ=2(cosθ+sinθ).(1)求C的直角坐标方程;(2)直线l:为参数)与曲线C交于A,B两点,与y轴交于E,求|EA|+|EB|的值.26.在平面直角坐标系中,曲线C1的参数方程为(ϕ为参数),以O为极点,x轴的正半轴为极轴建立极坐标系,曲线C2是圆心在极轴上且经过极点的圆,射线与曲线C2交于点.(1)求曲线C1,C2的普通方程;(2)是曲线C1上的两点,求的值.27.在平面直角坐标系xOy中,直线l的参数方程为(为参数),曲线C的参数方程为(t为参数).试求直线l和曲线C的普通方程,并求出它们的公共点的坐标.参考答案与解析一.选择题解:∵ρ2cosθ﹣ρ=0,∴ρcosθ﹣1=0或ρ=0,∵,∴x2+y2=0或x=1,故选C.2.解:ρ=4sinθ化为普通方程为x2+(y﹣2)2=4,点(4,)的直角坐标是A(2 ,2),圆心到定点的距离及半径构成直角三角形.由勾股定理:切线长为.故选C.3.解:由点M的极坐标为,∴x M=5=﹣,=,∴M.故选:D.4.解:由于ρ2=x2+y2,得:ρ2=4,ρ=2,由ρcosθ=x得:cosθ=,结合点在第二象限得:θ=,则点M的极坐标为.故选C.5.解:由ρ=cosθ,化为直角坐标方程为x2+y2﹣x=0,其圆心是A(,0),由ρ=sinθ,化为直角坐标方程为x2+y2﹣y=0,其圆心是B(0,),由两点间的距离公式,得AB=,故选D.6.解:曲线的极坐标方程ρ=4sinθ 即ρ2=4ρsinθ,即x2+y2=4y,化简为x2+(y﹣2)2=4,故选:B.7.解:将方程ρ=﹣2sinθ两边都乘以p得:ρ2=﹣2ρsinθ,化成直角坐标方程为x2+y2+2y=0.圆心的坐标(0,﹣1).∴圆心的极坐标故选B.8.解:由点(2,)可得直角坐标为,即.设P(ρ,θ)为所求直线上的任意一点,则,即.故选:A.9.解:由ρ=2cosθ,得ρ2=2ρcosθ,化为直角坐标方程得x2+y2=2x,即(x﹣1)2+y2=1.∴圆ρ=2cosθ的半径为1.故选:B.10.解:由参数方程为,∴,解得0≤t≤1,从而得0≤x≤1,0≤y≤2;将参数方程中参数消去得x2+=1.因此与参数方程为等价的普通方程为.故选D.11.解:把直线,(t为参数)与圆,(θ为参数)的参数方程分别化为普通方程得:直线:4x+3y﹣3=0,圆:x2+(y﹣b)2=9,∵此直线与该圆相切,∴,解得b=﹣4,或6.故选A.12.解:因为直线l的参数方程为(t为参数),消去参数t,得直线l的直角坐标方程为y﹣2=(x﹣1),即x﹣y+2﹣=0.故选:B.13.解:化为普通方程(x﹣2)2+y2=1,表示圆,因为直线与圆有两个不同的交点,所以解得法2:利用数形结合进行分析得,∴同理分析,可知.故选D.14.解:由条件可得cos2θ=y+1=1﹣2sin2θ=1﹣2(x﹣2),化简可得2x+y﹣4=0,x∈[2,3],故选D.15.解:∵y=2x+1,∴y+1=2(x+1),令x+1=t,则y+1=2t,可得,即为直线y=2x+1的参数方程.故选:B.16.解:xy=1,x可取一切非零实数,而A中的x的范围是x≥0,不满足条件;B中的x的范围是﹣1≤x≤1,不满足条件;C中的x的范围是1≤x≤1,不满足条件;故选D二.解答题17.解:(1)ρ=2⇒ρ2=4,所以x2+y2=4;因为,所以,所以x2+y2﹣2x﹣2y﹣2=0.(5分)(2)将两圆的直角坐标方程相减,得经过两圆交点的直线方程为x+y=1.化为极坐标方程为ρcosθ+ρsinθ=1,即.(10分)18.解:(Ⅰ)由于x=ρcosθ,y=ρsinθ,∴C1:x=﹣2 的极坐标方程为ρcosθ=﹣2,故C2:(x﹣1)2+(y﹣2)2=1的极坐标方程为:(ρcosθ﹣1)2+(ρsinθ﹣2)2=1,化简可得ρ2﹣(2ρcosθ+4ρsinθ)+4=0.(Ⅱ)把直线C3的极坐标方程θ=(ρ∈R)代入圆C2:(x﹣1)2+(y﹣2)2=1,可得ρ2﹣(2ρcosθ+4ρsinθ)+4=0,求得ρ1=2,ρ2=,∴|MN|=|ρ1﹣ρ2|=,由于圆C2的半径为1,∴C2M⊥C2N,△C2MN的面积为•C2M•C2N=•1•1=.19.解:(Ⅰ)∵C(,)的直角坐标为(1,1),∴圆C的直角坐标方程为(x﹣1)2+(y﹣1)2=3.化为极坐标方程是ρ2﹣2ρ(cosθ+sinθ)﹣1=0 …(5分)(Ⅱ)将代入圆C的直角坐标方程(x﹣1)2+(y﹣1)2=3,得(1+tcosα)2+(1+tsinα)2=3,即t2+2t(cosα+sinα)﹣1=0.∴t1+t2=﹣2(cosα+sinα),t1•t2=﹣1.∴|AB|=|t1﹣t2|==2.∵α∈[0,),∴2α∈[0,),∴2≤|AB|<2.即弦长|AB|的取值范围是[2,2)…(10分)20.解:(I)∵,∴,∴圆C的直角坐标方程为,即,∴圆心直角坐标为.(5分)(II)∵直线l的普通方程为,圆心C到直线l距离是,∴直线l上的点向圆C引的切线长的最小值是(10分)21.解:(I)圆C1,直线C2的直角坐标方程分别为x2+(y﹣2)2=4,x+y﹣4=0,解得或,∴C1与C2交点的极坐标为(4,).(2,).(II)由(I)得,P与Q点的坐标分别为(0,2),(1,3),故直线PQ的直角坐标方程为x﹣y+2=0,由参数方程可得y=x﹣+1,∴,解得a=﹣1,b=2.22.解:(Ⅰ)由从而C的直角坐标方程为即θ=0时,ρ=2,所以M(2,0)(Ⅱ)M点的直角坐标为(2,0)N点的直角坐标为所以P点的直角坐标为,则P点的极坐标为,所以直线OP的极坐标方程为,ρ∈(﹣∞,+∞)23.解:(Ⅰ)由已知,M点的极角为,且M点的极径等于,故点M的极坐标为(,).(5分)(Ⅱ)M点的直角坐标为(),A(1,0),故直线AM的参数方程为(t为参数)(10分)24.解:(1)∵ρ=2cosθ,∴ρ2=2ρcosθ,∴x2+y2=2x,故它的直角坐标方程为(x﹣1)2+y2=1;(2)直线l:(t为参数),普通方程为,(5,)在直线l上,过点M作圆的切线,切点为T,则|MT|2=(5﹣1)2+3﹣1=18,由切割线定理,可得|MT|2=|MA|•|MB|=18.25.解:(1)∵曲线C的极坐标方程为ρ=2(cosθ+sinθ)∴ρ2=2ρcosθ+2ρsinθ∴x2+y2=2x+2y即(x﹣1)2+(y﹣1)2=2﹣﹣﹣﹣﹣﹣(5分)(2)将l的参数方程代入曲线C的直角坐标方程,得t2﹣t﹣1=0,所以|EA|+|EB|=|t1|+|t2|=|t1﹣t2|==.﹣﹣﹣﹣﹣﹣﹣﹣﹣﹣﹣﹣﹣﹣﹣﹣﹣﹣﹣﹣﹣﹣﹣﹣﹣(10分)26.解:(1)曲线C1的参数方程为(ϕ为参数),普通方程为.曲线C2是圆心在极轴上且经过极点的圆,射线与曲线C2交于点,曲线C2的普通方程为(x﹣2)2+y2=4﹣﹣﹣﹣﹣﹣﹣﹣﹣﹣﹣(4分)(2)曲线C1的极坐标方程为,所以=+=﹣﹣﹣﹣﹣﹣﹣﹣﹣﹣﹣﹣﹣﹣﹣﹣﹣﹣﹣﹣﹣﹣﹣﹣(10分)27.解:直线l的参数方程为(为参数),由x=t+1可得t=x﹣1,代入y=2t,可得直线l的普通方程:2x﹣y﹣2=0.曲线C的参数方程为(t为参数),化为y2=2x,联立,解得,,于是交点为(2,2),.28.解:(Ⅰ)由得直线l的普通方程为x+y﹣3﹣=0﹣﹣﹣﹣﹣﹣﹣﹣2分又由得ρ2=2ρsinθ,化为直角坐标方程为x2+(y﹣)2=5;﹣﹣﹣﹣﹣﹣﹣﹣﹣5分(Ⅱ)把直线l的参数方程代入圆C的直角坐标方程,得(3﹣t)2+(t)2=5,即t2﹣3t+4=0设t1,t2是上述方程的两实数根,所以t1+t2=3又直线l过点P,A、B两点对应的参数分别为t1,t2,所以|PA|+|PB|=|t1|+|t2|=t1+t2=3.﹣﹣﹣﹣﹣﹣﹣﹣﹣﹣﹣﹣﹣﹣﹣﹣﹣﹣10分.。
高二数学选修4-4《极坐标与参数方程》测试题(时间:120分钟,总分:150分) 姓名: 学号:一.选择题(每小题5分,共50分)1.曲线的极坐标方程θρsin 4=化为直角坐标为( )。
A.4)2(22=++y xB. 4)2(22=-+y xC. 4)2(22=+-y xD. 4)2(22=++y x 2.已知点P 的极坐标是(1,π),则过点P 且垂直极轴的直线方程是( )。
A.1=ρ B. θρcos = C. θρcos 1-= D. θρcos 1= 3.直线12+=x y 的参数方程是( )。
A.⎩⎨⎧+==1222t y t x B.⎩⎨⎧+=-=1412t y t x C. ⎩⎨⎧-=-=121t y t x D. ⎩⎨⎧+==1sin 2sin θθy x 4.方程⎪⎩⎪⎨⎧=+=21y t t x 表示的曲线是( )。
A.一条直线 B.两条射线 C.一条线段 D.抛物线的一部分5.参数方程⎩⎨⎧+-=+=θθ2cos 1sin 22y x (θ为参数)化为普通方程是( )。
A.042=+-y xB. 042=-+y xC. 042=+-y x ]3,2[∈xD. 042=-+y x]3,2[∈x6.设点P 对应的复数为-3+3i ,以原点为极点,实轴正半轴为极轴建立极坐标系,则点P 的极坐标为( ) A.(23,π43) B. (23-,π45) C. (3,π45) D. (-3,π43) 7.直线l :02=++kx y 与曲线C :θρcos 2=相交,则k 的取值范围是( )。
A.43-≤k B. 43-≥k C. R k ∈ D. R k ∈但0≠k 8.在极坐标系中,曲线)3sin(4πθρ-=关于( )。
A.直线3πθ=对称 B.直线65πθ=对称 C.点(2,3π)中心对称 D.极点中心对称9.若圆的方程为⎩⎨⎧+=+-=θθsin 23cos 21y x ,直线的方程为⎩⎨⎧-=-=1612t y t x ,则直线与圆的位置关系是( )。
极坐标与参数方程单元练习1。
一、选择题(每小题5分,共25分)1、已知点M 的极坐标为⎪⎭⎫⎝⎛35π,,下列所给出的四个坐标中能表示点M 的坐标是( )。
A. 53,-⎛⎝⎫⎭⎪πB. 543,π⎛⎝⎫⎭⎪C. 523,-⎛⎝⎫⎭⎪πD. ⎪⎭⎫ ⎝⎛-355π,2、直线:3x-4y-9=0与圆:⎩⎨⎧==θθsin 2cos 2y x ,(θ为参数)的位置关系是( )A.相切B.相离C.直线过圆心D.相交但直线不过圆心 3、在参数方程⎩⎨⎧+=+=θθsin cos t b y t a x (t 为参数)所表示的曲线上有B 、C 两点,它们对应的参数值分别为t 1、t 2,则线段BC 的中点M 对应的参数值是( B )4、曲线的参数方程为⎩⎨⎧-=+=12322t y t x (t 是参数),则曲线是( )A 、线段B 、双曲线的一支C 、圆D 、射线 5、实数x 、y 满足3x 2+2y 2=6x ,则x 2+y 2的最大值为( )A 、27 B 、4 C 、29 D 、5二、填空题(每小题5分,共30分)1、点()22-,的极坐标为 ⎪⎭⎫ ⎝⎛4722π, 。
2、若A 33,π⎛⎝⎫⎭⎪,B ⎪⎭⎫ ⎝⎛-64π,,则|AB|=___5_______,S AOB ∆=__6_________。
(其中O 是极点)3、极点到直线()cos sin ρθθ+________ d ==32。
4、极坐标方程2sin 2cos 0ρθθ-⋅=表示的曲线是____ (()22sin 2cos 02y x ρθρθ-==,即,它表示抛物线。
)6、直线l 过点()5,10M ,倾斜角是3π,且与直线032=--y x 交于M ,则0MM 的长为 。
三、解答题(第1题14分,第2题16分,第3题15分;共45分) 2、已知直线l 经过点P(1,1),倾斜角6πα=,(1)写出直线l 的参数方程。
(2)设l 与圆422=+y x 相交与两点A 、B ,求点P 到A 、B 两点的距离之积。
解:(1)直线的参数方程是是参数)t t y t x (;211,231⎪⎪⎩⎪⎪⎨⎧+=+= (2)因为点A,B 都在直线l 上,所以可设它们对应的参数为t 1和t 2,则点A,B 的坐标分别为以直线L 的参数方程代入圆的方程422=+y x 整理得到02)13(2=-++t t ①因为t 1和t 2是方程①的解,从而t 1t 2=-2。
所以|PA|·|PB|= |t 1t 2|=|-2|=2。
3、求椭圆14922=+y x )之间距离的最小值,与定点(上一点01P 。
解:(先设出点P 的坐标,建立有关距离的函数关系) 极坐标与参数方程单元练习21.已知点P 的极坐标是(1,π),则过点P 且垂直极轴的直线极坐标方程是 .3.在极坐标中,若过点(3,0)且与极轴垂直的直线交曲线θρcos 4=于A 、B 两点.则|AB|= .4.已知三点A(5,2π),B(-8,π611),C(3,π67),则ΔABC 形状为 .5.已知某圆的极坐标方程为:ρ2 –42ρcon(θ-π/4)+6=0 则:①圆的普通方程 ;②参数方程 ;③圆上所有点(x,y )中xy 的最大值和最小值分别为 、 .6.设椭圆的参数方程为()πθθθ≤≤⎩⎨⎧==0sin cos b y a x ,()11,y x M ,()22,y x N 是椭圆上两点,M 、N 对应的参数为21,θθ且21x x <,则12,θθ大小关系是 .7.直线:3x-4y-9=0与圆:⎩⎨⎧==θθsin 2cos 2y x ,(θ为参数)的位置关系是 .8.经过点M 0(1,5)且倾斜角为3π的直线,以定点M 0到动 点P 的位移t 为参数的参数方程是 . 且与直线032=--y x 交于M ,则0MM 的长为 .9.参数方程⎪⎩⎪⎨⎧-=+=21y t t x (t 为参数)所表示的图形是 .10.方程⎩⎨⎧-=+=12322t y t x (t 是参数)的普通方程是 .与x 轴交点的直角坐标是11.画出参数方程⎪⎩⎪⎨⎧-==1112t t y t x (t .12.已知动园:),,(0sin 2cos 222是参数是正常数θθθb ,a b a by ax y x ≠=--+,则圆心的轨迹是 .13.已知过曲线()⎩⎨⎧≤≤==πθθθθ0sin 4cos 3,y x 为参数上一点P ,原点为O ,直线PO 的倾斜角为4π,则P 点坐标是 .14.直线221x ty t=+⎧⎨=-+⎩(t 为参数)上对应t=0, t=1两点间的距离是 .15.直线003sin 201cos 20x t y t ⎧=+⎨=-+⎩(t 为参数)的倾斜角是 . 16.设0>r ,那么直线()是常数θθθr y x =+sin cos 与圆()是参数ϕϕϕ⎩⎨⎧==sin cos r y r x 的位置关系是 . 17.直线()为参数t ty t x ⎩⎨⎧+=--=2322上与点()32,P -距离等于2的点的坐标是 .18.过抛物线y 2=4x 的焦点作倾斜角为的弦,若弦长不超过8,则的取值范围是________________________________.19.若动点(x ,y )在曲线14222=+by x (b >0)上变化,则x 2 + 2y 的最大值为 .极坐标与参数方程单元练习2参考答案答案:1.ρcos θ= -1;2.56πθ=;3.23 4.等边三角形;5.(x-2)2+(y-2)2=2; ()22{22x y θθθ=+=为参数;9、1;6.θ1>θ2;7.相交;8. ()112352x t t y ⎧=+⎪⎪⎨⎪=+⎪⎩为参数 10+63;9.两条射线;=5(x ≥2);(5, 0);12.椭圆;13.1212,55⎛⎫⎪⎝⎭;5 ;16.相切;17.(-1,2)或(-3,4);18.3,44ππ⎡⎤⎢⎥⎣⎦;19.216(04)2(4)4b b b b +<≤>或;20.22极坐标与参数方程单元练习3一.选择题(每题5分共60分)1.设椭圆的参数方程为()πθθθ≤≤⎩⎨⎧==0sin cos b y a x ,()11,y x M ,()22,y x N 是椭圆上两点,M ,N 对应的参数为21,θθ且21x x <,则A .21θθ<B .21θθ>C .21θθ≥D .21θθ≤ 2.直线:3x-4y-9=0与圆:⎩⎨⎧==θθsin 2cos 2y x ,(θ为参数)的位置关系是( )A.相切B.相离C.直线过圆心D.相交但直线不过圆心 3.经过点M(1,5)且倾斜角为3π的直线,以定点M 到动 点P 的位移t 为参数的参数方程是( )A.⎪⎪⎩⎪⎪⎨⎧-=+=t y t x 235211B. ⎪⎪⎩⎪⎪⎨⎧+=-=t y t x 235211C. ⎪⎪⎩⎪⎪⎨⎧-=-=t y t x 235211D. ⎪⎪⎩⎪⎪⎨⎧+=+=t y t x 2352114.参数方程⎪⎩⎪⎨⎧-=+=21y t t x (t 为参数)所表示的曲线是 ( )A.一条射线B.两条射线C.一条直线D.两条直线5.若动点(x ,y )在曲线14222=+by x (b >0)上变化,则x 22y 的最大值为(A) ⎪⎩⎪⎨⎧≥<<+)4(2)40(442b b b b ; (B) ⎪⎩⎪⎨⎧≥<<+)2(2)20(442b bb b ;(C) 442+b (D) 2b 。
6.实数x 、y 满足3x 2+2y 2=6x ,则x 2+y 2的最大值为( )A 、27 B 、4 C 、29 D 、57.曲线的参数方程为⎩⎨⎧-=+=12322t y t x (t 是参数),则曲线是A 、线段 B 、双曲线的一支 C 、圆 D 、射线8. 已知动园:),,(0sin 2cos 222是参数是正常数θθθb ,a b a by ax y x ≠=--+,则圆心的轨迹是A 、直线B 、圆C 、抛物线的一部分D 、椭圆9. 在参数方程⎩⎨⎧+=+=θθsin cos t b y t a x (t 为参数)所表示的曲线上有B 、C 两点,它们对应的参数值分别为t 1、t 2,则线段BC 的中点M对应的参数值是10.设0>r ,那么直线()是常数θθθr y x =+sin cos 与圆()是参数ϕϕϕ⎩⎨⎧==sin cos r y r x 的位置关系是A 、相交B 、相切C 、相离D 、视的大小而定 11. 下列参数方程(t 为参数)中与普通方程x 2-y=0表示同一曲线的是12.已知过曲线()⎩⎨⎧≤≤==πθθθθ0sin 4cos 3,y x 为参数上一点P ,原点为O ,直线PO 的倾斜角为4π,则P 点坐标是A 、(3,4) B 、⎪⎪⎭⎫ ⎝⎛22223, C 、(-3,-4) D 、⎪⎭⎫⎝⎛512512, 二.填空题(每题5分共25分)13.过抛物线y 2=4x 的焦点作倾斜角为的弦,若弦长不超过8,则的取值范围是__________。
14.直线()为参数t ty tx ⎩⎨⎧+=--=2322上与点()32,P -距离等于2的点的坐标是15.圆锥曲线()为参数θθθ⎩⎨⎧==sec 3tan 2y x 的准线方程是16.直线l 过点()5,10M ,倾斜角是3π,且与直线032=--y x 交于M ,则0MM 的长为17.曲线⎩⎨⎧==ααtan sec b y a x (α为参数)与曲线⎩⎨⎧==ββsec tan b y a x (β为参数)的离心率分别为e 1和e 2,则e 1+e 2的最小值为_______________. 三.解答题(共65分18.上截得的弦长。
为参数)被双曲线(求直线13222=-⎩⎨⎧=+=y x t ty tx19.已知方程。
(1)试证:不论如何变化,方程都表示顶点在同一椭圆上的抛物线; (2)θ为何值时,该抛物线在直线x=14上截得的弦最长并求出此弦长。
20.已知椭圆⎩⎨⎧==θθsin 5cos 4y x 上两个相邻顶点为A 、C ,又B 、D 为椭圆上的两个动点,且B 、D 分别在直线AC 的两旁,求四边形ABCD 面积的最大值。
21.已知过点P(1,-2),倾斜角为6π的直线l 和抛物线x 2=y+m (1)m 取何值时,直线l 和抛物线交于两点(2)m 取何值时,直线l 被抛物线截下的线段长为3234-.极坐标与参数方程单元练习3参考答案题号 1 2 3 4 5 6 7 8 9 10 11 12 答案 BDABABDDBBDD13.⎥⎦⎤⎢⎣⎡∈434ππα, ;14.()()2,1,4,3-- ; 15.13139±=y ;16.3610+;17.22 18.解:把直线参数方程化为标准参数方程为参数)( 23 212t t y t x ⎪⎪⎩⎪⎪⎨⎧=+= 19(1)把原方程化为())cos 4(2sin 32θθ-=-x y ,知抛物线的顶点为()θθsin 3,cos 4它是在椭圆191622=+y x 上;(2)当时,弦长最大为12。