中国人平均寿命30乘以30表格(900个月)
- 格式:xlsx
- 大小:12.67 KB
- 文档页数:2
人的平均年龄平均寿命与血压应子勇“没有调查就没有发言权”,只有通过调查研究对调查资料进行认真的,全面的,客观的,事实求是的研究和分析才能对调查资料有比较正确的了解,只有对人类的平均寿命与健康状况有一定的了解,再对血压调查资料进行认真的研究才能了解血压对人类健康和寿命的影响,才能得到相对科学的、比较公正的、比较正确结果。
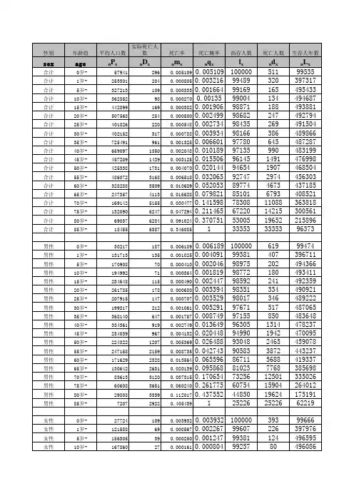
一、我国人民数十年来平均年龄平均寿命的初步调查人群平均寿命(指平均死亡年龄,下同)是观察人类健康水平最有力、最直接、最正确的依据。
所谓“平均寿命”在媒体,广播,电视,新闻,人口普查,医疗卫生统计上的平均寿命一般是指“期望寿命”即“预期寿命”,而实际上普通群众,听众,读者心中的“平均寿命”往往是指平均死亡年龄,二者是有所不同的。
“期望寿命”是“期望”的或“预期”的,是可变的,不可验证,后者是实际的,直接的,不变的,可以反复验证的,比如讲1982年我国人口的平均寿命是67.9岁是指1982年出生的儿童“期望或预期”可以活67.9岁,至于1982年出生的人真的活几岁并不知道,1982年死亡人口平均年龄几岁也不知道。
而1982年死亡的627.4万人口的平均年龄是52.04岁,即平均寿命是52.04岁。
看见期望寿命比实际寿命长15.86岁。
数十年来,我国人民的平均年龄,平均寿命及二者的比值见表一。
表一、半个多世纪来我国人口的平均年龄(岁),平均寿命(岁)及二者的比值*二者比值以平均年龄数为100.0.表一合计36.49亿常住人口和1416.6万死亡人口是我国及部分省、市、县跨越半个多世纪人口资料的缩影,各组常住人口的数量、死亡人数相差极大;平均年龄平均寿命也相差很大;≥15岁人口占比例数,占死亡岁也相差很大。
但是它们之间实际上是有着非常密切的内在的相关关系。
表一看见:1、我国人民的健康水平,平均年龄,平均寿命在不断提高平均年龄2010年比1953年提高了11岁;平均寿命2010年比1982年提高了20岁;≥15岁人口的平均年龄2010年比1953年提高了4~5岁、平均寿命2010年比1982年延长了10来岁;平均年龄平均寿命≥15岁人口明显长于总人口,但其延长幅度≥15岁人口低于总人口;2、不同年份人口的平均年龄平均寿命不同,相同年份人口基本相同由于人民生活水平的不断提高,医疗卫生水平的不断提高,人民的平均年龄平均寿命是随着年份的后移而不断延长的,2010年长于2000年长于1990年长于1982年长于1964年和1953年,但是同一年份人口基本相同;3、人口的平均寿命与平均年龄关系非常密切人口平均年龄越大平均寿命也越长,平均年龄越小者其平均寿命也越短;4、各个年份≥15岁人口占比例数和占死亡数明显不同≥15岁人口占比例数是随着年份的后移逐年增加而越来越高,1982年分别占66.40%和80.76%、2010年分别占86.55%和98.52%,这也与医疗卫生工作不断进步,人民生活水平不断提高,儿童出生率不断降低,死亡率不断下降有关;5、不同年份不同年龄人口的平均寿命与平均年龄的比值相对稳定总人口(≥0岁)的比值一般在195±10(185~205)左右、≥15岁人口的比值一般在168±8.0(160~176)左右,平均年龄特大者其比值可更低,平均年龄特小者其比值可更高。
人口平均预期寿命什么是人口平均预期寿命:寿命的长短受两方面的制约。
一方面,社会经济条件、卫生医疗水平限制着人们的寿命,所以不同的社会,不同的时期,寿命的长短有着很大的差别;另一方面,由于体质、遗传因素、生活条件等个人差异,也使每个人的寿命长短相差悬殊。
因此,虽然难以预测具体某个人的寿命有多长,但可以通过科学的方法计算并告知在一定的死亡水平下,预期每个人出生时平均可存活的年数。
这就是人口平均预期寿命。
“平均预期寿命”的准确理解是“已经活到x岁的人平均还能再活的年数(余年数)”。
该指标与平均死亡年龄有区别,平均死亡年龄会受(死亡)人口按年龄分布不均匀的影响,与人口年龄结构有很大关系,而平均预期寿命则与人口年龄结构无关,前者对今后平均死亡年龄提高或降低有指向作用。
“0岁平均预期寿命越高,表示人口健康水平越高”。
人口平均预期寿命的计算要用到一连串的数学公式。
如果用文字来描述,则计算人口平均预期寿命的方法就是:对同时出生的一批人进行追踪调查,分别记下他们在各年龄段的死亡人数直至最后一个人的寿命结束,然后根据这一批人活到各种不同年龄的人数来计算人口的平均寿命。
用这批人的平均寿命来假设一代人的平均寿命即为平均预期寿命。
由于事实上要跟踪同时出生的一批人的整个完整的生命过程有很大的困难,在实际计算时,往往可以利用同一年各年龄人口的死亡率水平,来代替同一代人在不同年龄的死亡率水平,然后计算出各年龄人口的平均生存人数,由此推算出这一年的人口平均预期寿命。
因此,人口的平均预期寿命与同时代的死亡率水平有关。
中国与世界人口平均预期寿命比较: 20世纪50年代上半期,世界人口预期寿命为46.5岁,其中发达国家的人口预期寿命为66.1岁,发展中国家的人口预期寿命为41岁;20世纪80年代上半期,世界人口预期寿命为59.5岁,其中发达国家的人口预期寿命为73.1岁,发展中国家的人口预期寿命为57.3岁;20世纪90年代下半期,世界人口预期寿命为65岁,其中发达国家的人口预期寿命为74.9岁,发展中国家的人口预期寿命为63岁。
中国人平均寿命是多少
答:中国人人均寿命77岁。
寿命是指人类生命期的最大长度。
这一长度大概在120岁左右;有的研究结论认为,相当于一个人生长发育期的5~7倍左右。
寿命的长短一方面受社会经济条件和卫生医疗水平的制约,不同社会不同时期有很大差别。
另一方面由于体质、遗传因素、生活习惯、生活条件等个体差异,个体的寿命长短相差悬殊。
反映寿命长短的指标常用平均预期寿命指标,有时也计算预期寿命中位数。
预期寿命是衡量人口素质的重要指标之一。
2020年10月28日,国新办举行“十三五”卫生健康事业改革发展情况发布会。
从2015年到2019年底,中国居民人均预期寿命从76.3岁提高到77.3岁,也就是说4年提高了1岁。
2021年3月5日消息,“十三五”期间,中国人均预期寿命从76.3岁提高到77.3岁,提高了1岁。
政府工作报告在“十四五”规划目标任务概述中提出,人均预期寿命再提高1岁。
心理智慧22条为心理健康加分【导读】一辈子感觉好长,一个月觉得很短,但人一生往多了说也就900个月,是不是瞬间觉得自己已经过掉了200-300个月,还有多少?1.其实人生只有900个月!事实上,你可以画一个30×30的表格,一张A4纸就够了。
每过一个月,就在一个格子里打钩。
你全部的人生就在这张纸上。
你会因此有一个清晰的概念:你的人生是如何度过的.2.把你所有的不幸总结成一句话,然后问问自己:“3年后, 这对你还重要吗?”3.【利用潜意识的力量】每天至少花10分钟在早上起床前,在睡觉前10分钟做想象,因为这两个时间段是输入潜意识的最好时段。
所以如果你渴望成功、爱情、婚姻等等,请在这两个时段尽情想象吧!你的潜意识渐渐让你通过想象达致产生信心,从而引领你得到你想要的。
4.【如何认识你自己】人一定要想清3个问题:第1你有什么,第2你要什么,第3你能放弃什么。
对于多数人而言:有什么,很容易评价自己的现状;要什么,内心也有明确的想法;最难的是,不知道或不敢放弃什么——这点恰能决定你想要的东西能否真正实现,没有人可以不放弃就得到一切。
5.每个人都有他的路,每条路都是正确的。
现在有近60亿人,就有60亿条正确的路。
人的不幸在于他们不想走自己的路,而总是想走别人的路。
——托马斯•伯恩哈德6.“多思考,少说话”,这句话无论走到哪里都是真理。
7.一个人喜欢你的程度和他回你短信消息的速度一般成正比。
如果你的另一半回你消息越来越慢,恭喜你你基本已经被取代了!准确率超高!8.心理专家研究发现,人悲伤时掉出眼泪中,蛋白质含量很高。
这种蛋白质是由于精神压抑而产生的有害物质,压抑物质积聚于体内,对健康不利。
美国圣保罗—雷姆塞医学中心精神病实验室专家研究发现,眼泪可以缓解人的压抑。
哭吧哭吧,不是罪!9.喜欢一个人是种感觉,不喜欢一个人却是事实。
事实容易解释,感觉却难以言喻。
10.两个男人追一个女人,用情浅的那个先放弃;两个女人追一个男人,用情深的那个先放弃。
寿命预测表一、目前,中国人的平均寿命为72岁。
以此为基数,回答下列问题,进行加减,最后得出您可能的寿命。
1、如你是男性,减3岁。
2、如您是女性,加1岁。
3、如你居住在100万人以上的城市的市区,减2岁。
4、如居住在人口少于1万人的小镇或农村,加2岁。
5、如您祖父、祖母或外祖父、外祖母中有1位活到85岁,加2岁。
6、如您四位祖辈都活到80岁,加6岁。
7、如果您的父母有一个在50岁前死于中风中风或心脏病,减4岁。
8、如果您的父母、兄弟姐妹任何一位50岁前得癌症或心脏不正常,或自幼就有糖尿病,减3岁。
9、如您是一位富翁,减2岁。
10、如果您是大学毕业生,加1岁。
、11、如您已有65岁仍在工作,加3岁。
12、如您有配偶并住在一起,加5岁。
如果没有,从25岁起独居10年,减1岁。
13、如果您从事办公室工作,减3岁。
14、如果您常从事体力劳动工作,加3岁。
15、如果您每星期进行球类、游泳跑步等运动5次,加4岁。
每星期2-3次,加2岁。
16、如果您每晚睡眠超过10小时,减4岁。
17、如果您经常紧张、易怒、性急、减3岁。
18、如果您感受到生活很轻松,应付自如,加3岁。
19、如果您常常感受到快乐,加1岁。
如果经常不快乐,减2岁。
20、如果您去年因一次交通违章受罚,减1岁。
21、如果您抽烟,每天2包,减8岁。
每天1-2包,减6岁.每天1包以下,减3岁。
22、如果您每天喝白酒50-100毫升,减1岁。
23、如果您的体重超过25公斤,减8岁。
超过15-25,减2岁;超过5-15公斤,减2岁。
24、如果你已40岁以上,每年体检1次,加2岁。
25、如果你是女性,每年看妇科1次,加2岁。
26、如果您今年30~40岁,加3岁。
27、如果您今年40~50岁,加4岁。
28、如果您今年50~70岁,加5岁。
29、如果您今年超过70岁,加6岁。
二、对预测的评价,您计算出大致的寿命了吗?如果您是高寿,祝贺您,但也希望您保持健康的生活方式,更上一层楼.如果您计算出的结果不令人满意,请您也不要灰心丧气。
中国平均寿命计算方法生命表法是一种常用的计算平均寿命的方法,它是基于人口统计学和死亡统计学原理进行计算的。
具体步骤如下:第一步,建立人口生命表。
人口生命表是对一定年限内人群死亡情况的统计表格,通常包括年龄、性别、出生人数、死亡人数等相关指标。
建立人口生命表需要收集死亡证明、出生证明以及人口普查等数据。
第二步,计算各个年龄段的存活几率。
根据人口生命表中的数据,可以计算出各个年龄段的存活几率。
存活几率是指在一个特定年龄段内,存活到下一个年龄段的比例。
第三步,计算各个年龄段的死亡概率。
死亡概率是指在一个特定年龄段内死亡的概率。
通过人口生命表中的数据,可以计算得到各个年龄段的死亡概率。
第四步,计算平均寿命。
根据各个年龄段的存活几率和死亡概率,可以计算出每个年龄段的平均寿命。
最后将各个年龄段的平均寿命加权平均,得到整个国家的平均寿命。
除了生命表法,还可以通过抽样调查法来计算中国的平均寿命。
抽样调查法是指在全国范围内随机选择一部分人口进行抽样调查,收集其出生和死亡情况,并通过统计学方法计算得到平均寿命。
抽样调查法的具体步骤包括:第一步,确定调查样本。
通过充分了解人口分布状况和社会经济状况,选择具有代表性的样本进行调查。
样本的选择应该是随机的,以保证结果的可靠性和有效性。
第二步,记录出生和死亡情况。
在调查样本中,记录每个人的出生和死亡情况。
出生情况可以通过出生证明等相关证件来确定,而死亡情况则需要查看死亡证明等相关证件。
第三步,计算平均寿命。
根据样本中的出生和死亡情况,可以计算出每个人的寿命。
最后将所有人的寿命加权平均,得到整个国家的平均寿命。
需要注意的是,无论是生命表法还是抽样调查法,都存在一定的误差。
这是由于研究方法、数据质量、样本选择等因素影响造成的。
为了减小误差,需要在样本选择、数据收集和计算方法上进行严格的控制和改进。
总之,中国平均寿命的计算方法主要有生命表法和抽样调查法。
这些方法都是通过统计学原理和相关数据进行计算,并在实际应用中不断改进和完善,以提高计算的准确性和可靠性。
中国人均寿命是多少寿命这一长度大概在岁左右;有的研究结论认为,相当于一个人生长发育期的5~7倍左右,据悉全国男女寿命差距越来越大,下面给大家分享中国平均寿命男女比例,欢迎阅读!14省人均预期寿命超78.2岁,上海排名第一国家统计局将“平均值预期寿命”表述为,已经活至一定岁数的人平均值还能够再活的年数,在不能特别阐明岁数的情况下,平均值预期寿命就是指0岁人口的平均值预期寿命。
国家卫健委最新数据表明,我国人均预期寿命为78.2岁。
界面数据统计发现,截至10月19日,全国31个省份中就有14个超过我国人均预期寿命值78.2岁。
除西藏外,我国其他省份均已超过世界人均预期寿命值73.7岁。
此外,还有4个省份的人均预期寿命大于80岁,上海以84.11岁居于首位。
在全国各省年gdp位列前十的省份中,存有6个省份也在人均预期寿命位列前十名单内,我国上海、北京、天津等直辖市的人均预期寿命广泛较低。
据界面数据统计,在全国31个省份中,年和年,人均预期寿命最长和最短的省份仍是上海和西藏。
云南实现增长4.48岁,为全国人均预期寿命增长最多的省份。
国家统计局数据表明,新中国设立初期我国人均预期寿命仅为35岁,而在年,我国人均预期寿命已下跌43.2岁至78.2岁,涨幅超过.43%。
界面数据统计数据辨认出,年-年,我国人均预期寿命逐年快速增长,但增幅较小且值呈圆形波动趋势,均在1%以下。
10月17日发表在《自然-人类行为》上的一项研究显示,美国人年的预期寿命比年下降了2.26岁,而同期我国人均预期寿命实现增长0.9岁。
在年疫情爆发年,我国人均预期寿命同比增长0.82%,为近七年来最高。
据worldometers实时数据,截止10月17日,在全球个国家和地区中,人均预期寿命最久的就是中国香港,存有85.29岁;最短的就是中非共和国,仅54.36岁,二者间差值高达30.93岁。
中国以77.47岁位列全球第64十一位,中国香港、中国澳门、中国台湾以85.29岁、84.68岁、81.04岁分别排在在全球第1、第3、第34十一位。
中国人的平均寿命2022
2022年1月10日,国家发展改革委等部门印发的《“十四五”公共服务规划》显示2025年中国人均预期寿命达78.3岁。
我国城乡居民人均预期寿命从新中国成立初期的35岁提高到2018年的76.4岁。
值得一提的是根据人口普查数据,2020年中国男性平均寿命为73。
64岁,中国女性平均寿命为79.43岁,2030年平均年龄有望达到79岁。
平均预期寿命是在一定的年龄别死亡率水平下,活到确切年龄X岁以后,平均还能继续生存的年数,它是衡量一个国家、民族和地区居民健康水平的一个指标。
人体构造与健康、保健人类平均寿命的变化统计:在奴隶社会,人类平均寿命只有 25 岁;在封建社会,人均寿命 35 岁;现在全世界平均寿命为 60 岁,中国人均寿命 71 岁多,美国 77 岁,日本 81.5 岁。
过去每 100 年人类平均寿命才增加 1 岁。
但随着基因工程、生物工程的突破,人类平均寿命今后有望每过 10 年增加1.1 岁。
世界卫生组织新定义:65岁以前----------中年人65 ~ 74岁---------青年老人75 ~ 90岁-------- 正式老年人人的生理寿命应该多长呢?(按照生物学原理)哺乳动物;生长期×5 ~ 7 = 理论寿命即:20 ~ 25岁× 5 ~ 7 ≈ 120岁(智齿萌出时)美国科研机构预测:到 2080 年,美国人均寿命将达 97 岁,其中女性 100 岁,男性 94 岁21世纪是一个长寿的世纪,人人都可能活到100岁肿瘤、心脏病、糖尿病、高血压等现代病很难有根本突破。
因此,接受健康教育,懂得自我保健,选择健康文明的生活方式,向不得病、少得病、晚得病的道路上走,远比我们放纵生活患上疾病之后期待医术高明来得现实。
青少年健康状况严峻1.中国青少年营养缺乏一是表现在能量、蛋白质以及钙、铁、维生素等各种营养素普遍缺乏。
在中国农村,五岁以下儿童生长迟缓率和低体重率分别为17.3%和9.3%;在贫困农村,这两项比例分别高达29.3%和14.4%。
二是表现在铁、维生素A等微量营养素普遍缺乏,7~17岁的城市男女贫血患病率分别为12.2%和15.9%;7~12岁儿童维生素A边缘缺乏率,城市为26.4%,农村高达47.3%。
如今最热爱生命的,是老人;最不珍惜健康的,是年轻人。
2.青少年超重及肥胖尤为突出中国青少年超重、肥胖的问题也尤为突出,主要源于营养失衡。
据调查,中国7~17岁学生的超重率、肥胖率在城市分别为16.7%和9.6%。
肥胖问题尤为在城市儿童中显现。