电磁场理论练习题
- 格式:doc
- 大小:287.50 KB
- 文档页数:7
《电磁场理论》题库《电磁场理论》综合练习题1一、填空题(每小题 1 分,共 10 分)1.在均匀各向同性线性媒质中,设媒质的导磁率为μ,则磁感应强度B 和磁场H满足的方程为: 。
2.设线性各向同性的均匀媒质中,02=∇φ称为 方程。
3.时变电磁场中,数学表达式H E S⨯=称为 。
4.在理想导体的表面, 的切向分量等于零。
5.矢量场)(r A 穿过闭合曲面S 的通量的表达式为: 。
6.电磁波从一种媒质入射到理想 表面时,电磁波将发生全反射。
7.静电场是无旋场,故电场强度沿任一条闭合路径的积分等于 。
8.如果两个不等于零的矢量的 等于零,则此两个矢量必然相互垂直。
9.对平面电磁波而言,其电场、磁场和波的传播方向三者符合 关系。
10.由恒定电流产生的磁场称为恒定磁场,恒定磁场是无散场,因此,它可用 函数的旋度来表示。
二、简述题 (每题 5分,共 20 分)11.已知麦克斯韦第二方程为t B E ∂∂-=⨯∇ ,试说明其物理意义,并写出方程的积分形式。
12.试简述唯一性定理,并说明其意义。
13.什么是群速?试写出群速与相速之间的关系式。
14.写出位移电流的表达式,它的提出有何意义?三、计算题 (每题10 分,共30分)15.按要求完成下列题目(1)判断矢量函数y x e xz ey B ˆˆ2+-=是否是某区域的磁通量密度? (2)如果是,求相应的电流分布。
16.矢量z y x e e e A ˆ3ˆˆ2-+= ,zy x e e e B ˆˆ3ˆ5--=,求(1)B A +(2)B A ⋅17.在无源的自由空间中,电场强度复矢量的表达式为()jkz y x e E e E eE --=004ˆ3ˆ(1) 试写出其时间表达式; (2) 说明电磁波的传播方向;四、应用题 (每题 10分,共30分)18.均匀带电导体球,半径为a ,带电量为Q 。
试求 (1) 球内任一点的电场强度(2) 球外任一点的电位移矢量。
习题:1. 在3z m =的平面内,长度0.5l m =的导线沿x 轴方向排列。
当该导线以速度24x y m v e e s=+在磁感应强度22363x y z B e x z e e xz T =+-的磁场中移动时,求感应电动势.解:给定的磁场为恒定磁场,故导线中的感应电动势只能是导线在恒定磁场中移动时由洛仑兹力产生的。
有 ()in v B dl ε=⨯⋅⎰ 根据已知条件,得2233()|(24)(363)|z x y x y z z v B e e e x z e e xz ==⨯=+⨯+- 210854(1236)x y z e x e x e x =-++- x dl e dx = 故感应电动势为0.520[10854(1236)]13.5in x y z x e x e x e x e dx V ε=-++-⋅=-⎰2。
长度为l 的细导体棒位于xy 平面内,其一端固定在坐标原点。
当其在恒定磁场0z B e B =中以角速度ω旋转时,求导体棒中的感应电动势。
解:导体中的感应电动势是由洛仑兹力产生的,即 ()in v b dl ε=⨯⋅⎰根据已知条件,导体棒上任意半径r 处的速度为 v e r ωΦ= r dl e dr = 故感应电动势为200001()()2llLin z r v b dl e r e B e dr B rdr B l V εωωωΦ=⨯⋅=⨯⋅==⎰⎰⎰3.试推出在线性、无耗、各向同性的非均匀媒质中的麦克斯韦方程。
解:考察麦克斯韦方程中的参量,利用它们与电场强度E 和磁感应强度B 的关系,将,,H B D E J E μεσ===代入即可,注意在非均匀媒质中,,μεσ是空间坐标的函数.考察麦克斯韦第一方程,有 11()BH B B μμμ∇⨯=∇⨯=∇⨯+∇⨯211B B μμμ=-∇⨯+∇⨯D E J J t tε∂∂=+=+∂∂ 所以E BB J t μμμεμ∂∇⨯∇⨯=++∂ 而 ()D E E E εεερ∇⋅=∇⋅=⋅∇+∇⋅=,于是,微分形式的麦克斯韦方程用E 和B 表示为E BB J t μμμεμ∂∇⨯∇⨯=++∂ B E t∂∇⨯=-∂ 0B ∇⋅= E E εερ∇⋅+∇⋅= 对于无耗媒质,0σ=,因此有0J =。
电磁场与电磁波练习题一、单项选择题(每小题1分,共15分)1、电位不相等的两个等位面()A. 可以相交B. 可以重合C. 可以相切D. 不能相交或相切2、从宏观效应看,物质对电磁场的响应包括三种现象,下列选项中错误的是()A.磁化B.极化C.色散D.传导3、电荷Q 均匀分布在半径为a 的导体球面上,当导体球以角速度ω绕通过球心的Z 轴旋转时,导体球面上的面电流密度为()A.sin 4q e a ?ωθπB.cos 4q e a ?ωθπC.2sin 4q e a ?ωθπD.33sin 4q e r aωθπ 4、下面说法错误的是()A.梯度是矢量, 其大小为最大方向导数,方向为最大方向导数所在的方向。
B.矢量场的散度是标量,若有一个矢量场的散度恒为零,则总可以把该矢量场表示为另一个矢量场的旋度。
C.梯度的散度恒为零。
D.一个标量场的性质可由其梯度来描述。
5、已知一均匀平面波以相位系数30rad/m 在空气中沿x 轴方向传播,则该平面波的频率为()A.81510π?HzB.8910?HzC.84510π?Hz D.9910?Hz6、坡印廷矢量表示()A.穿过与能量流动方向相垂直的单位面积的能量B.能流密度矢量C.时变电磁场中空间各点的电磁场能量密度D.时变电磁场中单位体积内的功率损耗7、在给定尺寸的矩形波导中,传输模式的阶数越高,相应的截止波长()A.越小B.越大C.与阶数无关D.与波的频率有关8、已知电磁波的电场强度为(,)cos()sin()x y E z t e t z e t z ωβωβ=---,则该电磁波为()A. 左旋圆极化波B. 右旋圆极化波C. 椭圆极化波D.直线极化波9、以下矢量函数中,可能表示磁感应强度的是()A. 3x y B e xy e y =+B.x y B e x e y =+C.22x y B e x e y =+D. x y B e y e x =+10、对于自由空间,其本征阻抗为()A. 0η=B.0η=C. 0η=D. 0η=11、自感和互感与回路的()无关。
电磁场理论习题及答案电磁场理论是电磁学的基础,它描述了电荷和电流产生的电磁场在空间中的分布和演化规律。
在学习电磁场理论时,习题是巩固和深化理解的重要方式。
本文将介绍一些电磁场理论的习题及其答案,帮助读者更好地掌握这一理论。
一、电场和电势1. 问题:一个均匀带电球体,半径为R,总电荷为Q。
求球心处的电场强度。
答案:根据库仑定律,电场强度E与电荷Q和距离r的关系为E = kQ/r^2,其中k为库仑常数。
对于球体内部的点,距离球心的距离r小于半径R,所以电场强度为E = kQ/r^2。
对于球体外部的点,距离球心的距离r大于半径R,所以电场强度为E = kQ/R^3 * r。
2. 问题:一个无限长的均匀带电线,线密度为λ。
求距离线上一点距离为r处的电势。
答案:根据电势公式V = kλ/r,其中k为库仑常数。
所以距离线上一点距离为r处的电势为V = kλ/r。
二、磁场和磁感应强度1. 问题:一根无限长的直导线,电流为I。
求距离导线距离为r处的磁感应强度。
答案:根据安培环路定理,磁感应强度B与电流I和距离r的关系为B =μ0I/2πr,其中μ0为真空中的磁导率。
所以距离导线距离为r处的磁感应强度为B = μ0I/2πr。
2. 问题:一根长为L的直导线,电流为I。
求距离导线距离为r处的磁场强度。
答案:根据比奥萨伐尔定律,磁场强度H与电流I和距离r的关系为H = I/2πr。
所以距离导线距离为r处的磁场强度为H = I/2πr。
三、电磁场的相互作用1. 问题:一个半径为R的导体球,带电量为Q。
求导体球表面的电荷密度。
答案:导体球表面的电荷密度σ等于导体球上的电荷总量Q除以导体球表面的面积A。
导体球表面的面积A等于球的表面积4πR^2。
所以导体球表面的电荷密度为σ = Q/4πR^2。
2. 问题:一个平行板电容器,两个平行金属板之间的距离为d,电介质的介电常数为ε。
一块电介质板插入到电容器中间,使得电容器的电容增加了n倍。
高中物理电磁学基础练习题及答案练习题一:电场1. 电荷的基本单位是什么?答案:库仑(C)2. 两个等量的正电荷相距1米,它们之间的电力是多少?答案:9 × 10^9 N3. 电场强度的定义是什么?答案:单位正电荷所受到的电力4. 空间某点的电场强度为10 N/C,某个电荷在此点所受的电力是5 N,求该电荷的电量。
答案:0.5 C练习题二:磁场1. 磁力线的方向与什么方向垂直?答案:磁力线的方向与磁场的方向垂直。
2. 磁力的大小与什么有关?答案:磁力的大小与电流强度、导线长度以及磁场强度有关。
3. 磁感应强度的单位是什么?答案:特斯拉(T)4. 在垂直磁场中,一根导线受到的力大小与什么有关?答案:导线长度、电流强度以及磁场强度有关。
练习题三:电磁感应1. 什么是电磁感应?答案:电磁感应是指导体在磁场的作用下产生感应电动势的现象。
2. 什么是法拉第电磁感应定律?答案:法拉第电磁感应定律指出,当导体回路中的磁通量变化时,导体回路中会产生感应电动势。
3. 一根长度为1 m的导体以2 m/s的速度与磁感应强度为0.5 T 的磁场垂直运动,求导体两端的感应电动势大小。
答案:1 V4. 一根长度为3 m的导线以2 m/s的速度穿过磁感应强度为0.5 T的磁场,若导线两端的电压为6 V,求导线的电阻大小。
答案:1 Ω练习题四:电磁波1. 什么是电磁波?答案:电磁波是由电场和磁场相互作用产生的波动现象。
2. 电磁波的传播速度是多少?答案:光速,约为3 × 10^8 m/s。
3. 可见光属于电磁波的哪个频段?答案:可见光属于电磁波的红外线和紫外线之间的频段。
4. 无线电波属于电磁波的哪个频段?答案:无线电波属于电磁波的低频段。
练习题五:电磁学综合练习1. 一个电荷在垂直磁场中受到的磁力大小为5 N,该电荷的电量是2 C,求该磁场的磁感应强度。
答案:2.5 T2. 一段长度为2 m的导线以8 m/s的速度进入磁感应强度为0.2 T的磁场中,导线所受的感应电动势大小为4 V,求导线两端的电阻大小。
一.选择题(本大题15小题,每题2分)第一章、第二章1.在静电场中,下列说法中哪一个是正确的 [ ](A)带正电荷的导体,其电位一定是正值(B)等位面上各点的场强一定相等(C)场强为零处,电位也一定为零(D)场强相等处,电位梯度矢量一定相等2.在真空中的静电场中,作一封闭的曲面,则下列结论中正确的是[](A)通过封闭曲面的电通量仅是面内电荷提供的(B) 封闭曲面上各点的场强是面内电荷激发的(C) 应用高斯定理求得的场强仅是由面内电荷所激发的(D) 应用高斯定理求得的场强仅是由面外电荷所激发的3.关于静电场下列说法中正确的是 [ ](A)电场和试探电荷同时存在和消失(B)由E=F/q知道,电场强度与试探电荷成反比(C)电场强度的存在与试探电荷无关(D)电场是试探电荷和场源电荷共同产生的4.下列几个说法中正确的是: [ ](A)电场中某点场强的方向,就是将点电荷放在该点所受电场力的方向(B)在以点电荷为中心的球面上,由该点电荷所产生的场强处处相同(C)场强方向可由E=F/q定出,其中q为试验电荷的电量,q可正、可负,F为试验电荷所受的电场力(D)以上说法全不对。
5.一平行板电容器中充满相对介电常数为的各向同性均匀电介质。
已知介质两表面上极化电荷面密度为,则极化电荷在电容器中产生的电场强度的大小为 [ ](A)0εσ' (B) 02εσ' (C) 0εεσ' (D) εσ'6. 在平板电容器中充满各向同性的均匀电介质,当电容器充电后,介质中 D 、E 、P 三矢量的方向将是 [ ] (A) D 与E 方向一致,与P 方向相反 (B) D 与E 方向相反,与P 方向一致 (C) D 、E 、P 三者方向相同(D) E 与P 方向一致,与D 方向相反7. 在一不带电荷的导体球壳的球心处放一点电荷,并测量球壳内外的场强分布,如果将此点电荷从球心移到球壳内其它位置,重新测量球壳内外的场强分布,则将发现: [ ] (A) 球壳内、外场强分布均无变化 (B) 球壳内场强分布改变,球壳外的不变 (C) 球壳外场强分布改变,球壳内的不变 (D) 球壳内、外场强分布均改变8. 一电场强度为E 的均匀电场,E 的方向与x 轴正向平行,如图所示,则通过图中一半径为R 的半球面的电场强度通量为 [ ](A) 2R E π;(B) 212R E π;(C) 22R E π;(D ) 0。
第一章 矢量分析1.1 3ˆ2ˆˆz y x e e eA -+= ,z y e eB ˆ4ˆ+-= ,2ˆ5ˆy x e eC -= 求(1)ˆA e ;(2)矢量A 的方向余弦;(3)B A ⋅;(4)B A ⨯;(5)验证()()()B A C A C B C B A ⨯⋅=⨯⋅=⨯⋅ ;(6)验证()()()B A C C A B C B A ⋅-⋅=⨯⨯。
1.2 如果给定一未知矢量与一已知矢量的标量积和矢量积,则可确定该未知矢量。
设A 为已知矢量,X A B ⋅=和X A B ⨯=已知,求X 。
1.3 求标量场32yz xy u +=在点(2,-1,1)处的梯度以及沿矢量z y x e e el ˆ2ˆ2ˆ-+= 方向上的方向导数。
1.4 计算矢量()()3222224ˆˆˆz y x e xy e x eA z y x ++= 对中心原点的单位立方体表面的面积分,再计算A ⋅∇对此立方体的体积分,以验证散度定理。
1.5 计算矢量z y e x e x eA z y x 22ˆˆˆ-+= 沿(0,0),(2,0),(2,2),(0,2),(0,0)正方形闭合回路的线积分,再计算A ⨯∇对此回路所包围的表面积的积分,以验证斯托克斯定理。
1.6 f 为任意一个标量函数,求f ∇⨯∇。
1.7 A 为任意一个矢量函数,求()A ⨯∇⋅∇。
1.8 证明:A f A f A f ⋅∇+∇=∇)(。
1.9 证明:A f A f A f ⨯∇+⨯∇=⨯∇)()()(。
1.10 证明:)()()(B A A B B A ⨯∇⋅-⨯∇⋅=⨯⋅∇。
1.11 证明:A A A 2)(∇-⋅∇∇=⨯∇⨯∇。
1.12 ϕρϕρϕρρsin cos ˆ),,(32z e ez A += ,试求A ⋅∇,A ⨯∇及A 2∇。
1.13 θθθϕθϕθcos 1ˆsin 1ˆsin ˆ),,(2re r e r e r A r ++= ,试求A ⋅∇,A ⨯∇及A 2∇。
电磁场与无线技术基础知识单选题100道及答案解析1. 在静电场中,电场强度的环流恒等于()A. 1B. 0C. 电场强度的大小D. 不确定答案:B解析:静电场是保守场,电场强度的环流恒等于0。
2. 真空中的介电常数为()A. 8.85×10⁻¹²F/mB. 4π×10⁻⁷H/mC. 1.26×10⁻⁶H/mD. 无法确定答案:A解析:真空中的介电常数约为8.85×10⁻¹²F/m 。
3. 磁场强度沿闭合路径的线积分等于()A. 穿过该闭合路径所围面积的电流代数和B. 0C. 该闭合路径所围面积的磁通量D. 不确定答案:A解析:这是安培环路定理的内容。
4. 电磁波在真空中的传播速度为()A. 3×10⁵km/sB. 3×10⁸m/sC. 3×10⁶m/sD. 3×10⁷m/s答案:B解析:电磁波在真空中的传播速度约为3×10⁸m/s 。
5. 对于均匀平面波,电场和磁场的相位关系是()A. 同相B. 反相C. 相差90°D. 不确定答案:C解析:均匀平面波中电场和磁场的相位相差90°。
6. 能流密度矢量的方向与()的方向相同。
A. 电场强度B. 磁场强度C. 波的传播方向D. 无法确定答案:C解析:能流密度矢量(坡印廷矢量)的方向与波的传播方向相同。
7. 电位移矢量D 与电场强度E 的关系为()A. D = εEB. D = ε₀EC. D = ε₀εᵣED. 不确定答案:C解析:电位移矢量D = ε₀εᵣE ,其中εᵣ为相对介电常数。
8. 磁通量的单位是()A. 特斯拉(T)B. 韦伯(Wb)C. 安培(A)D. 伏特(V)答案:B解析:磁通量的单位是韦伯(Wb)。
9. 法拉第电磁感应定律中,感应电动势的大小与()成正比。
A. 磁通量的变化率B. 磁通量C. 磁场强度D. 电流强度答案:A解析:感应电动势的大小与磁通量的变化率成正比。
电磁场理论期末复习题(附答案)一填空题1.静止电荷所产生的电场,称之为静电场;电荷Q在某点所受电场力为F,则该点电场强度的大小为QFE=。
2. 可以用电位的负梯度来表示电场强度;当电位的参考点选定之后,静电场中各点的电位值是唯一确定的。
3.__电荷_____的规则运动形成电流;将单位正电荷从电源负极移动到正极,非静电力__所做的功定义为电源的电动势4.由恒定电流或永磁体产生的磁场不随时间变化,称为恒定磁场。
5.磁感应强度B是无散场,它可以表示为另一个矢量场A的旋度,称A为矢量磁位,为了唯一地确定A,还必须指定A的散度为零,称为库仑规范。
6.静电场的边界条件,即边值问题通常分为三类:第一类为给定整个边界上的位函数值;第二类为给定边界上每一点位函数的法向导数值;第三类为给定一部分边界上每一点的位函数值,同时给定另一部分边界上每一点的位函数的法向导数值。
7.位移电流扩大了电流的概念,它由电场的变化产生,相对于位移电流我们称由电荷规则运动形成的电流为传导电流和运流电流。
8. 在电磁波传播中,衰减常数α的物理意义为表示电磁波每传播一个单位的距离,其振幅的衰减量,相位常数β的物理意义为表示电磁波每传播一个单位距离相位偏移量。
10.静电场是有势场,静电场中各点的电场与电位关系用公式表示是__Eφ=-∇_______。
13._____恒定电流________________产生的磁场,叫做恒定磁场。
14.库仑规范限制了矢量磁位A的多值性,但不能唯一确定A。
为了唯一确定A,还必须给定A的____散度为零________________________。
16.时变电磁场分析中,引入洛仑兹规范是为了解决动态位的____惟一性__________。
18.载流导体在磁场中会受到电磁力的作用,电磁力的方向由__左手_____定则确定。
二、选择题1.磁感应强度B与磁场强度H的一般关系为 ( B )A.H=μBB.B=μHC.H=μr BD.B=μ0H2 导体在静电平衡下,其内部电场强度( B )A.为常数B.为零C.不为零D.不确定3 真空中磁导率的数值为( C )A. 4π×10-5H/mB. 4π×10-6H/mC. 4π×10-7H/mD. 4π×10-8H/m4.磁通Φ的单位为( B )A.特斯拉B.韦伯C.库仑D.安匝5.矢量磁位的旋度是 ( A )A.磁感应强度B.磁通量C.电场强度D.磁场强度6.真空中介电常数ε0的值为 ( D )A.8.85×10-9F/mB.8.85×10-10F/mC.8.85×10-11F/mD.8.85×10-12F/m7.下面说法正确的是 ( A )A.凡是有磁场的区域都存在磁场能量B.仅在无源区域存在磁场能量C.仅在有源区域存在磁场能量D.在无源、有源区域均不存在磁场能量8 静电场中试验电荷受到的作用力大小与试验电荷的电量( C )A.成反比B.成平方关系C.成正比D.无关9.平板电容器的电容量与极板间的距离 ( B )A.成正比B.成反比C.成平方关系D.无关10.在磁场B中运动的电荷会受到洛仑兹力F的作用,F与B的空间位置关系 ( B )A.是任意的B.相互垂直C.同向平行D.反向平行2.高斯定理的积分形式描述了 B 的关系;A.闭合曲面内电场强度与闭合曲面内电荷之间的关系B. 闭合曲面的电场强度通量与闭合曲面内电荷之间的关系C.闭合曲面内电场强度与闭合曲面外电荷之间的关系D. 闭合曲面的电场强度通量与闭合曲面附近电荷之间的关系13.以下阐述中,你认为正确的一项为 D ;A. 可以用电位的函数的梯度表示电场强度B. 感应电场是保守场,其两点间线积分与路径无关C.静电场是无散场,其在无源区域的散度为零D.静电场是无旋场,其在任意闭合回路的环量为零14. 以下关于电感的阐述中,你认为错误的一项为 C ;A.电感与回路的几何结构有关B. 电感与介质的磁导率有关C.电感与回路的电流有关D.电感与回路所处的磁场强度无关17.若电介质中的极化强度矢量和电场强度成正比关系,则称这种电介质为 BC ;A.均匀的B.各向同性的C.线性的D.可极化的18. 均匀导电媒质是指其电导率无关于 B ;A.电流密度B.空间位置C.时间D.温度19.关于镜像法,以下不正确的是 B ;A.它是解静电边值问题的一种特殊方法B.用假想电荷代替原电荷C.假想电荷位于计算区域之外D.假想电荷与原电荷共同作用满足原边界条件20. 交变电磁场中,回路感应电动势与回路材料电导率的关系为 D ;A.电导率越大,感应电动势越大B.电导率越小,感应电动势越大C.电导率越大,感应电动势越小D.感应电动势大小与导电率无关22.相同尺寸和匝数的空心线圈的电感系数与铁心线圈的电感系数之比( C )A.大于1B.等于1C.小于1D.无确定关系24.真空中均匀平面波的波阻抗为 A ;A.377ΩB.237ΩC.277ΩD.337Ω25. 在磁场B 中运动的电荷会受到洛仑兹力F 的作用,F 与B 的空间位置关系 B ; A.是任意的 B.相互垂直 C.同向平行 D.反向平行三、简答题1.什么是接地电阻?其大小与哪些因素有关?答:接地设备呈现出的总电阻称之为接地电阻;其大小与土壤电导率和接地体尺寸(等效球半径)成反比2.写出微分形式的麦克斯韦的数学表达式。
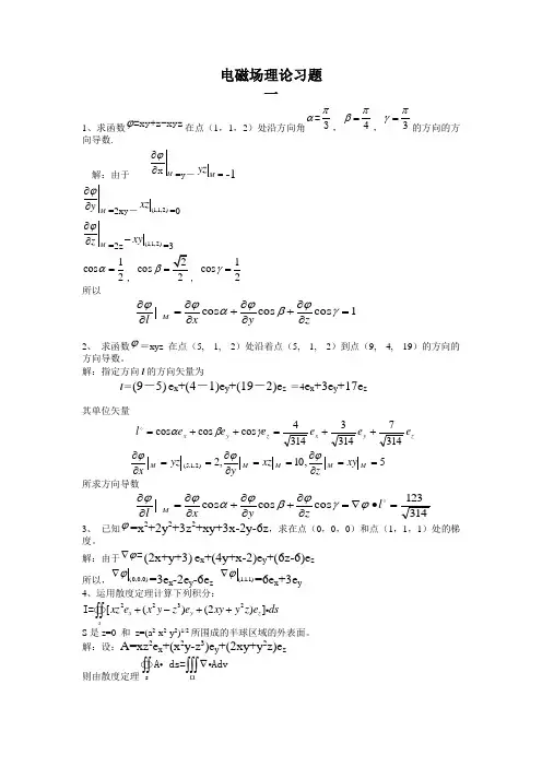
电磁场理论习题一1、求函数ϕ=xy+z-xyz 在点(1,1,2)处沿方向角πα=3,4πβ=,3πγ=的方向的方向导数.解:由于 M ϕ∂∂x =y -M yz = -1M y ϕ∂∂=2x y -(1,1,2)xz =0 Mzϕ∂∂=2z(1,1,2)xy -=31cos 2α=,cos 2β=,1cos 2γ=所以1cos cos cos =∂∂+∂∂+∂∂=∂∂γϕβϕαϕϕz y x lM2、 求函数ϕ=xyz 在点(5, 1, 2)处沿着点(5, 1, 2)到点(9, 4, 19)的方向的方向导数。
解:指定方向l 的方向矢量为l =(9-5) e x +(4-1)e y +(19-2)e z =4e x +3e y +17e z其单位矢量zy x z y x e e e e e e l 314731433144cos cos cos ++=++=γβα5,10,2)2,1,5(==∂∂==∂∂==∂∂MMMMMxyzxzyyzxϕϕϕ所求方向导数314123cos cos cos =•∇=∂∂+∂∂+∂∂=∂∂ l z y x lMϕγϕβϕαϕϕ3、 已知ϕ=x 2+2y 2+3z 2+xy+3x-2y-6z ,求在点(0,0,0)和点(1,1,1)处的梯度。
解:由于ϕ∇=(2x+y+3) e x +(4y+x-2)e y +(6z-6)e z所以,(0,0,0)ϕ∇=3e x -2e y -6e z(1,1,1)ϕ∇=6e x +3e y4、运用散度定理计算下列积分:2232[()(2)]x y z sxz e x y z e xy y z e ds+-++⎰⎰I=S 是z=0 和 z=(a 2-x 2-y 2)1/2所围成的半球区域的外表面。
解:设:A=xz 2e x +(x 2y-z 3)e y +(2xy+y 2z)e z 则由散度定理Ω∇⎰⎰⎰⎰⎰sA ds=Adv可得2I r dvΩΩΩ=∇==⎰⎰⎰⎰⎰⎰⎰⎰⎰222Adv (z +x +y )dv2244220sin sin aar drd d d d r dr ππππθθϕϕθθ==⎰⎰⎰⎰⎰⎰525a π=5、试求▽·A 和▽×A:(1) A=xy 2z 3e x +x 3ze y +x 2y 2e z(2)22(,,)cos sin z A z e e ρρφρφρφ=+ (3 ) 211(,,)sin sin cos r A r r e e e r r θφθφθθθ=++解:(1)▽·A=y 2z 3+0+0= y 2z 3▽×A=23232(2)(23)x yx y x e xy xy z e ∂∂∂=---∂∂∂x y z23322e e e x y z xy z x z x y(2) ▽·A=()[()]z A A A z φρρρρρφ∂∂∂++∂∂∂1 =33[(cos )(sin )]ρφρφρρφ∂∂+∂∂1=3cos ρφ▽×A=ρφρφρρρφρ∂∂∂∂∂∂z ze e e 1z A A A =221cos 0ρφρρρφρφρφ∂∂∂∂∂∂z e e e z sin=cos 2sin sin ze e e ρφρφρφρφ-+(3) ▽·A=22(sin )()1[sin ]sin r A A r A r r r r φθθθθθφ∂∂∂++∂∂∂ =2322sin cos ()()1(sin )[sin ]sin r r r r r r r θθθθθθφ∂∂∂++∂∂∂ =222212[3sin 2sin cos ]3sin cos sin r r r θθθθθθ+=+▽×A=21sin rr r r rr θφθφθθθφθ∂∂∂∂∂∂e e rsin e A A rsin A =21sin 1sin sin cos rr r r r θφθθθφθθθθ∂∂∂∂∂∂e e rsin e rsin=33cos 2cos cos sin r e e e r r θφθθθθ+-习题二1、总量为q 的电荷均匀分布于球体中,分别求球内,外的电场强度。
《电磁场理论》考试试卷(A 卷)(时间120分钟)1. 关于有限区域内的矢量场的亥姆霍兹定理,下列说法中正确的是 (A )任意矢量场可以由其散度和旋度唯一地确定; (B )任意矢量场可以由其散度和边界条件唯一地确定; (C ) 任意矢量场可以由其旋度和边界条件唯一地确定; (D ) 任意矢量场可以由其散度、旋度和边界条件唯一地确定。
2. 谐变电磁场所满足的麦克斯韦方程组中,能反映“变化的电场产生磁场”和“变化的磁场产生电场” 这一物理思想的两个方程是 (B5关于高斯定理的理解有下面几种说法, 其中正确的是、选择题(每小题2分,共20 分)(A)H 0, E —(B ) H J E, E(C H J,E 0(D )H 0, E -3.—圆极化电磁波从媒质参数为分量不产生反射,入射角应为 3 r 1的介质斜入射到空气中,要使电场的平行极化(B )(A) 15°(B ) 30°(C ) 45(D) 604.在电磁场与电磁波的理论中分析中,常引入矢量位函数A ,并令B A ,其依据是(C )(A)B 0 ;(C ) B 0;(B)B J ;(D) B J电磁学》试卷 第 2 页 共 7 页(A) 如果高斯面内无电荷,则高斯面上 E 处处为零; (B) 如果高斯面上 E 处处不为零,则该面内必有电荷; (C) 如果高斯面内有净电荷,则通过该面的电通量必不为零; (D) 如果高斯面上 E 处处为零,则该面内必无电荷。
6.若在某区域已知电位移矢量 ( A)2( B ) 2D xe x( C )ye y ,则该区域的电何体密度为 ( B )2( D )27. 两个载流线圈之间存在互感,对互感没有影响的是( C )(A )线圈的尺寸(B ) 两个线圈的相对位置(C )线圈上的电流 (D )线圈中的介质8 . 以下关于时变电磁场的叙述中,正确的是( B )(A )电场是无旋场 (B )电场和磁场相互激发(C)电场和磁场无关 (D )磁场是有源场9. 两个相互平行的导体平板构成一个电容器, 与电容无关的是10. 用镜像法求解静电场边值问题时, 判断镜像电荷设置是否正确的依据是 ( C )(A) 镜像电荷的位置是否与原电荷对称 (B) 镜像电荷是否与原电荷等值异号(C) 待求区域内的电位函数所满足的方程与边界条件是否保持不变 (D) 同时满足A 和B(A )导体板上的电荷(C )导体板的几何形状 (B) 平板间的介质(D) 两个导体板的相对位1 •电磁波在波导中传播的条件是波导管只能让频率 __________ 一特定值的电磁波通过,该特 定频率称为 _____________ 。
习题7.1[]1 将下面用复数形式表示的场矢量变换为瞬时值,或做相反的变换。
()1 0x E e E = ()2 0jkz x E e jE e -=()3()()00cos 2sin x y E e E t kz e E t kz ωω=-+-解:()1 ()()00,,,Re cos x j j tx x x E x y z t e E e e e E t ϕωωϕ⎡⎤=⋅=+⎣⎦()2 ()200,,,Re cos 2j kz j t x x E x y z t e E ee e E t kz πωπω⎛⎫- ⎪⎝⎭⎡⎤⎛⎫=⋅=-+⎢⎥ ⎪⎝⎭⎢⎥⎣⎦()3 ()()200,,,Re 2j t kz j t kz x y E x y z t e E e e E e πωω⎛⎫-+ ⎪-⎝⎭⎡⎤=-⎢⎥⎢⎥⎣⎦()()0,,,2jkz x y E x y z t e e j E e -=-7.2[]1 将下列场矢量的复数形式写成瞬时值形式()1 ()()0sin sin z jk z z x y E e E k x k y e -=⋅⋅()2()sin 02sin cos cos z jk x x E e j E k e θθθ-=⋅⋅解:()1 由式()7.1.2,可得瞬时值形式为()()0Re sin sin z jk z j tz x y E e E k x k y e e ω-⎡⎤=⋅⋅⋅⎣⎦()()()0sin sin cos z x y z e E k x k y t k z ω=⋅⋅-()2 瞬时值形式为()sin 20Re 2sin cos cos z j jk j t x x E e E k e e e πθωθθ-⎡⎤=⋅⋅⋅⋅⎢⎥⎣⎦()02sin cos cos cos sin 2x x z e E k t k πθθωθ⎛⎫=⋅⋅⋅+- ⎪⎝⎭()()02sin cos cos sin sin x x z e E k t k θθωθ=-⋅⋅⋅-7.3[]2 一根半径为a ,出长度为L 的实心金属材料,载有均匀分布沿z 方向流动的恒定电流I 。
《 电磁场理论 》试题样题参考答案一、填空题1、用静电比拟等间接方法求解恒定电场问题的理论依据是 恒定电场解的唯一性定理 。
2、在恒定磁场中 传导电流等于 0(0H =⨯∇) 的区域可以引入标量磁位m ϕ。
m ϕ满足的数学方程是 拉普拉斯方程02=∇m ϕ 。
3、在本质上,恒定磁场的能量储存在 磁场不为零的整个 空间范围内。
4、研究电磁场的最基本的物理规律是 麦克斯韦方程组 。
二、选择题1、讨论不同媒质分界面两侧电磁场之间的关系时,应利用 c 。
a 、微分形式的基本方程b 、电场的旋度c 、积分形式的基本方程d 、电场的散度2、接地导体位于点电荷的电场中,用镜像法讨论导体附近电场的分布时,镜像电荷代表的是导体上 d 的作用?a 、极化电荷b 、束缚电荷c 、自由电荷d 、感应电荷 3、恒定磁场中可以引入矢量磁位A ,是因为恒定磁场 b 的物理性质。
a 、0H=⨯∇ b 、0=⋅∇B c 、0H ≠⨯∇ d 、0≠⋅∇B4、分离变量法不可用于 c 中边值问题的求解。
a 、正交坐标系b 、除圆柱坐标系以外的所有坐标系c 、除正交坐标系以外的所有坐标系d 、除直角坐标系以外的所有坐标系 5、感应电场的电压计算与静电场不同,表现在:感应电场中两点之间的电压 d ,其根本原因在于感应电场的旋度 c 。
a 、0E =⨯∇b 、与积分路径无关c 、0E≠⨯∇ d 、与积分路径有关6、传播常数βαj k += 的虚部描述电磁波 d ,实部描述电磁波 b 。
a 、传播速度的快慢b 、振幅衰减的快慢c 、传播方向的变化d 、相位变化的快慢7、在理想介质中,波阻抗反映的是 b 。
a 、电磁波的传播特性b 、媒质的特性c 、电场的传播特性 e 、磁场的传播特性8、平面电磁波正入射到理想介质与理想导体的分界面上,这时若产生驻波,驻波将出现在 a 中。
a 、理想介质b 、理想导体c 、非理想介质d 、非理想导体三、分析题1、已知圆柱电容器的长度为L ,内外电极半径分别为a 和b ,填充的媒质分为两层,分界面半径为c 。
电容和电容器一.选择题一个平行板电容器,充电后与电源断开,当用绝缘手柄将电容器两极板间距离拉大,则两极板间的电势差、电场强度的大小E 、电场能量W 将发生如下变化:()A 12U 减小,E 减小,W 减小; ()B 12U 增大,E 增大,W 增大;()C 12U 增大,E 不变,W 增大; ()D 12U 减小,E 不变,W 不变。
答案: ()C将一空气平行板电容器接到电源上充电到一定电压后,断开电源.再将一块与极板面积相同的金属板平行地插入两极板之间,则由于金属板的插入及其所放位置的不同,对电容器储能的影响为:()A 储能减少,但与金属板位置无关; ()B 储能减少,且与金属板位置有关;()C 储能增加,但与金属板位置无关; ()D 储能增加,且与金属板位置有关。
答案:()A一平行板电容器始终与电压一定的电源相联。
当电容器两极板间为真空时,电场强度为0E,电位移为0D,而当两极板间充满相对介电常量为r ε的各向同性均匀电介质时,电场强度为E ,电位移为D ,则()A r E E ε/0 =,0D D =; ()B 0E E =,0D D rε=;()C r E E ε/0 =,r D D ε/0 =; ()D 0E E =,0D D=。
答案:()B将1C 和2C 两空气电容器串联起来接上电源充电。
然后将电源断开,再把一电介质板插入1C 中,则()A 1C 上电势差减小,2C 上电势差增大; ()B 1C 上电势差减小,2C 上电势差不变; ()C 1C 上电势差增大,2C 上电势差减小; ()D 1C 上电势差增大,2C 上电势差不变。
答案:()B两个半径相同的金属球,一为空心,一为实心,把两者各自孤立时的电容值加以比较,则 ()A 空心球电容值大; ()B 实心球电容值大; ()C 两球电容值相等; ()D 大小关系无法确定。
答案:()C1C 和2C 两空气电容器并联以后接电源充电,在电源保持联接的情况下,在1C 中插入一电介质板,则()A 1C 极板上电量增加,2C 极板上电量减少;()B 1C 极板上电量减少,2C 极板上电量增加; ()C 1C 极板上电量增加,2C 极板上电量不变;()D 1C 极板上电量减少,2C 极板上电量不变。
第九章 电磁感应 电磁场理论练 习 一一.选择题1. 在一线圈回路中,规定满足如图1所示的旋转方向时,电动势 ,磁通量为正值。
若磁铁沿箭头方向进入线圈,则有( B ) (A) d /dt 0, 0 ; (B) d /dt 0, 0 ; (C) d /dt 0,0 ; (D) d /dt 0,0。
2. 一磁铁朝线圈运动,如图2所示,则线圈内的感应电流的方向(以螺线管内流向为准)以及电表两端电势U A 和U B 的高低为( C )(A) I 由A 到B ,U A U B ; (B) I 由B 到A ,U A U B ; (C) I 由B 到A ,U A U B ; (D) I 由A 到B ,U A U B 。
3. 一长直螺线管,单位长度匝数为n ,电流为I ,其中部放一面积为A ,总匝数为N ,电阻为R 的测量线圈,如图3所示,开始时螺线管与测量线圈的轴线平行,若将测量线圈翻转180°,则通过测量线圈某导线截面上的电量q 为( A ) (A) 2nINA /R ; (B)nINA /R ; (C)NIA /R ; (D)nIA /R 。
4. 尺寸相同的铁环和铜环所包围的面积中,磁通量的变化率相同,则环中( A ) (A )感应电动势相同,感应电流不同; (B )感应电动势不同,感应电流相同; (C )感应电动势相同,感应电流相同; (D )感应电动势不同,感应电流不同。
S N v图1· ·GA B NS 图2IIA图3二.填空题1.真空中一长度为0l 的长直密绕螺线管,单位长度的匝数为n ,半径为R ,其自感系数L可表示为0220l R n L πμ=。
2. 如图4所示,一光滑的金属导轨置于均匀磁场B v中,导线ab 长为l ,可在导轨上平行移动,速度为v ,则回路中的感应电动势ε=θsin Blv ,a 、b 两点的电势a U < b U (填<、=、>),回路中的电流I=R Blv /sin θ,电阻R 上消耗的功率P=R Blv /)sin (2θ。
电磁波考题整理一、填空题1. 某一矢量场,其旋度处处为零,则这个矢量场可以表示成某一标量函数的(梯度)形式。
2. 电流连续性方程的积分形式为(⎰⎰•s dSj=-dtdq)3. 两个同性电荷之间的作用力是(相互排斥的)。
4. 单位面积上的电荷多少称为(面电荷密度)。
5. 静电场中,导体表面的电场强度的边界条件是:(D1n-D2n=ρs)6. 矢量磁位A和磁感应强度B之间的关系式:(B=▽ x A)7. .E(Z,t)=ex Emsin(wt-kz-)+ eyEmcos(wt-kz+),判断上述均匀平面电磁波的极化方式为:(圆极化)(应该是 90%确定)8. 相速是指均匀平面电磁波在理想介质中的传播速度。
9.根据电磁波在波导中的传播特点,波导具有(HP)滤波器的特点。
(HP,LP,BP三选一)10.根据电与磁的对偶关系,我们可以由电偶极子在远区场的辐射场得到(磁偶极子)在远区产生的辐射场11. 电位移矢量D=εE+P在真空中 P的值为(0)12. 平板电容器的介质电容率ε越大,电容量越大。
13.恒定电容不会随时间(变化而变化)14.恒定电场中沿电源电场强度方向的闭合曲线积分在数值上等于电源的(电动势)15. 电源外媒质中电场强度的旋度为0。
16.在给定参考点的情况下,库伦规保证了矢量磁位的(散度为零)17.在各向同性媚质中,磁场的辅助方程为(D=εE, B=μH, J=σE)18. 平面电磁波在空间任一点的电场强度和磁场强度都是距离和时间的函数。
19. 时变电磁场的频率越高,集肤效应越明显。
20. 反映电磁场中能量守恒与转换规律的定理是坡印廷定理。
二、名词解释1. 矢量:既存在大小又有方向特性的量2. 反射系数:分界面上反射波电场强度与入射波电场强度之比3. TEM波:电场强度矢量和磁场强度矢量均与传播方向垂直的均匀平面电磁波4. 无散场:散度为零的电磁场,即·=0。
5. 电位参考点:一般选取一个固定点,规定其电位为零,称这一固定点为参考点。
第1~2章 矢量分析 宏观电磁现象的基本规律1. 设:直角坐标系中,标量场zx yz xy u ++=的梯度为A,则M (1,1,1)处A= ,=⨯∇A 0 。
2. 已知矢量场xz e xy e z y e A z y x ˆ4ˆ)(ˆ2+++= ,则在M (1,1,1)处=⋅∇A 9 。
3. 亥姆霍兹定理指出,若唯一地确定一个矢量场(场量为A),则必须同时给定该场矢量的 旋度 及 散度 。
4. 任一矢量场在无限大空间不可能既是 无源场 又是 无旋场 ,但在局部空间 可以有 以及 。
5. 写出线性和各项同性介质中场量D 、E 、B 、H、J 所满足的方程(结构方程): 。
6. 电流连续性方程的微分和积分形式分别为 和 。
7. 设理想导体的表面A 的电场强度为E 、磁场强度为B,则(a )E 、B皆与A 垂直。
(b )E 与A 垂直,B与A 平行。
(c )E 与A 平行,B与A 垂直。
(d )E 、B 皆与A 平行。
答案:B8. 两种不同的理想介质的交界面上,(A )1212 , E E H H ==(B )1212 , n n n n E E H H == (C) 1212 , t t t t E E H H == (D) 1212 , t t n n E E H H ==答案:C9. 设自由真空区域电场强度(V/m) )sin(ˆ0βz ωt E eE y -=,其中0E 、ω、β为常数。
则空间位移电流密度d J(A/m 2)为:ˆˆˆ222x y z e e e ++A⋅∇A ⨯∇E J H B E Dσ=μ=ε= , ,t q S d J S ∂∂-=⋅⎰ t J ∂ρ∂-=⋅∇ 0A ∇⋅=0A ∇⨯=(a ) )cos(ˆ0βz ωt E ey - (b ) )cos(ˆ0βz ωt ωE e y -(c ) )cos(ˆ00βz ωt E ωey -ε (d ) )cos(ˆ0βz ωt βE e y -- 答案:C 10. 已知无限大空间的相对介电常数为4=εr ,电场强度(V/m) 2cos ˆ0dxeE x πρ= ,其中0ρ、d 为常数。
习题(数学基础)1.1 3ˆ2ˆˆz y x e e eA -+= ,z y e eB ˆ4ˆ+-= ,2ˆ5ˆy x e eC -= 求(1)ˆA e ;(2)矢量A 的方向余弦;(3)B A ⋅;(4)B A ⨯;(5)验证()()()B AC A C B C B A ⨯⋅=⨯⋅=⨯⋅ ;(6)验证()()()B A C C A B C B A ⋅-⋅⋅=⨯⨯。
1.2 如果给定一未知矢量与一已知矢量的标量积和矢量积,则可确定该未知矢量。
设A 为已知矢量,X A B ⋅=和X A B ⨯=已知,求X 。
1.3 求标量场32yz xy u +=在点(2,-1,1)处的梯度以及沿矢量z y x e e el ˆ2ˆ2ˆ-+= 方向上的方向导数。
1.4计算矢量()()3222224ˆˆˆz y x e xy e x eA z y x ++= 对中心原点的单位立方体表面的面积分,再计算A ⋅∇对此立方体的体积分,以验证散度定理。
1.5 计算矢量z y e x e x eA z y x 22ˆˆˆ-+= 沿(0,0),(2,0),(2,2),(0,2),(0,0)正方形闭合回路的线积分,再计算A ⨯∇对此回路所包围的表面积的积分,以验证斯托克斯定理。
1.6 f 为任意一个标量函数,求f ∇⨯∇。
1.7 A 为任意一个矢量函数,求()A ⨯∇⋅∇。
1.8 证明:A f A f A f ⋅∇+∇=∇)(。
1.9 证明:A f A f A f ⨯∇+⨯∇=⨯∇)()()(。
1.10证明:)()()(B A A B B A ⨯∇⋅-⨯∇⋅=⨯⋅∇。
1.11证明:A A A 2)(∇-⋅∇∇=⨯∇⨯∇。
1.12 ϕρϕρϕρρsin cos ˆ),,(32z e ez A += ,试求A ⋅∇,A ⨯∇及A 2∇。
1.13 θθθϕθϕθcos 1ˆsin 1ˆsin ˆ),,(2r e r e r e r A r ++= ,试求A ⋅∇,A ⨯∇及A 2∇。
1.14 ϕρϕρsin ),,(z z f =,试求f ∇及f 2∇。
1.15 2sin ),,(r r f θϕθ=,试求f ∇及f 2∇。
1.16 求⎰⋅Sr S e d )sin 3ˆ(θ,S 为球心位于原点,半径为5的球面。
1.17 矢量ϕϕθ23cos 1ˆ),,(re r A r = ,21<<r ,求⎰⋅∇V V A d 。
麦克斯韦方程 练 习 题1 在直角坐标系中,试将微分形式的麦克斯韦方程写成8个标量方程。
2 试证明:任意矢量E 在进行旋度运算后再进行散度运算,其结果恒为零,即 ∇ ⋅ (∇ ⨯ E ) = 0。
3 试由微分形式麦克斯韦方程组,导出电流连续性方程t ∂∂-=∇⋅ρJ 。
4 参看1-4题图,分界面上方和下方两种媒质的介电常数分别为 ε1和 ε2,分解面两侧电场强度矢量E 与单位法向矢量n 21之间的夹角分别是 θ1和 θ2。
假设两种媒质分界面上的电荷面密度 ρS = 0,试证明:2121tan tan εεθθ=上式称为电场E 的折射定律。
5 参看1-4题图,分界面上方和下方两种媒质的磁导率分别为 μ1和 μ2,假设两种媒质的分界面上的表面电流密度矢量J S = 0,把题图中的电场强度矢量E 换成磁感应强度矢量B 。
试证明:2121tan tan μμθθ=上式称为磁场B 的折射定律。
若 μ1为铁磁媒质,μ2为非铁磁媒质,即 μ1 >> μ2,当 θ1 ≠ 90︒ 时,试问 θ2的近似值为何?请用文字叙述这一结果。
6 已知电场强度矢量的表达式为E = i sin(ω t - β z ) + j 2cos(ω t - β z )通过微分形式的法拉第电磁感应定律 t∂∂-=⨯∇B E ,求磁感应强度矢量B (不必写出与时间t 无关的积分常数)。
7 一平板电容器由两块导电圆盘组成,圆盘的半径为R ,间距为d 。
其间填充介质的介电常数为 ε 。
如果电容器接有交流电源,已知流过导线的电流为I (t ) = I 0sin(ω t )。
忽略边缘效应,求电容器中的电位移矢量D 。
8 在空气中,交变电场E = j A sin(ω t - β z )。
试求:电位移矢量D,磁感应强1-4题图度矢量B 和磁场强度矢量H 。
第 2 章 练 习 题2-1 参看图2-5-1,无限大导板上方点P (0, 0, h ) 处有一点电荷q 。
试求:z > 0半无限大空间的电场强度矢量E 和电位移矢量D ,以及导板上的面电荷密度 ρS 和总电荷量q 。
2-2 参看图2-6-3,如果将4块导板的电位分别改为:上板120 V ,左板40 V ,下板30 V ,右板90 V 。
按下面步骤和要求用迭代法计算4个内节点处的电位值:(1) 列出联立方程;(2) 用塞德尔迭代法求解;(3) 计算最佳加速因子 α;(4) 用超松弛迭代法求解;(5) 比较两种迭代法的结果和收敛速度。
两种迭代方法的迭代次数都取n = 4。
2-3 参看图2-7-1,如果平板电容其中电荷分布的线密度为 ρ = ε0(1 + 4x 2),其余条件相同,用矩量法(伽辽金法)求两导板之间的电位分布函数 ψ。
选择基函数为f n (x ) = x (1 - x n ) n = 1,2,3,…2-4 参看例2-7-1以及该题示意图图2-7-1。
如果在该问题中选择权函数为x k R x w k R x w 6)( 2)(2211-=∂∂=-=∂∂=和 上式中,R 是余数,由式(2-7-8)表示。
矩量法中,通过这种方式来选择权函数,又称为最小二乘法。
在其他已知条件均不变的情况下,用最小二乘法来求解两导板之间的电位分布函数 ψ。
第3章 练 习 题3-1 通过直角坐标系试证明,对于任意的矢量A 都满足下面关系:(1) ∇ ⨯ (∇ψ) ≡ 0; (2) ∇ ⋅ (∇ ⨯ A ) ≡ 03-2 同轴线内、外半径分别为a 和b ,内外导体之间介质的介电常数为 ε,电导率为 σ。
设在同轴线内外导体上施加的电压为U ab ,求内外导体之间的漏电流密度J 。
3-3 求图3-3-2中1/4垫圈两个弯曲面 ρ = a 和 ρ = b 之间的电阻。
3-4 参见3-4题图。
某输电系统的接地体为紧靠地面的半球。
土壤的平均电导率为σ = 10-2 S/m 。
设有I = 500 A 的电流流入地内。
为了保证安全,需要划出一半径为a 的禁区。
如果人的正常步伐为b = 0.6 m ,且人能经受的跨步电压为U = 200 V ,问这一安全半径a 应为多大? 3-5 参看图2-5-6,半径为a ,间距为D 的平行双线传输线,周围介质的介电常数为 ε,电导率为 σ。
利用例2-5-2的结果,计算平行双线每单位长度的分布漏电导G 1。
3-6 参看图3-2-1(a ),半径分别为a 和b 的两个同心球壳(a < b )之间是电3-4题图导率为σ = σ0(1+k/r )的导电媒质,试求两球壳之间的电阻R ab 。
再问此题中的电流位 ψ 是否满足普拉斯方程。
第4章 练 习 题4-1 通过直角坐标系试证明,对于任意的矢量A 都满足下面关系:∇ ⨯ (∇ ⨯ A ) ≡ ∇(∇ ⋅ A )-∇2A第5章 练 习 题5-1 通过直角坐标系验证矢量恒等式:∇ ⋅ (E ⨯ H ) = H ⋅ (∇ ⨯ E ) - E ⋅ (∇ ⨯ H )5-2 根据下面复数形式的简谐场表达式,利用麦克斯韦方程求出其相应的电场或磁场表达式,并把复数形式改写成瞬时值形式。
注意,在取实部之前应加上时间因子e j ωt 。
. 2 e )2j ( 3 2 e )j ( 2 2 e )2( 1j m 00000j 0000000j 0εμηλμεωβεμηλωεμωηεμηλωεμωβ=π==-=+==π===+=+==π===+=+=--,,)(;,,)(;,, )(x z y kz y x kz y x E E E c k E H H c k E E E k j k j E j i j i H j i j i E 5-3 将下面瞬时形式的简谐场表达式改写成复数形式,并利用麦克斯韦方程求出其相应的电场或磁场表达式。
2 )2cos(sin 2 4 2 )cos()cos(23 )sin()cos( 2 )cos()cos( 1.0000000000000000εμηλεμωωθηλεμηλμεωβωβηεμημεωββωβωεμηεμωωηωηθθθ=π==π+-===π======-+-=+===-+--=+=,, )(;,, )(;,,)(;,,)( k kr t r IL E t z E H x t E x t E E E k ky t E ky t E H H y z y x z e e E j j H k j k j E i k i k H 5-4 自由空间电流元的远区辐射场为krkr r l I H r l I E j j e sin 2j e sin 60j --==π==θλθλϕϕϕθθθe e H e e E ,试求:(1) 写出波印亭矢量的瞬时值S ;(2) 写出复数波印亭矢量S C ;(3) 总的平均辐射功率P 。
5-5 在微波环境中,如果平均功率密度 |S av | < 10 mW/cm 2对人体是安全的。
分别计算以电场强度E 和磁场强度H 表示的相应标准。
已知E = η0H ,η0 = 120π Ω。
5-6 设自由空间一天线辐射的电场强度矢量为E = i A sin(ωt - kz ) 上式中00εμω=k ,是电磁波的相位常数,已知波阻抗000εμη=。
试求:(1) 将电场强度矢量E 改写 成复数形式;(2) 通过麦克斯韦方程求磁场强度矢量H ;(3) 瞬时波印亭矢量S ;(4) 复数波印亭矢量S C 。
5-7 空中交变电磁场的电场强度矢量只有x 分量E x = A cos(ω t - kz ) + B sin(ω t + kz )试求:(1) 由麦克斯韦方程求出磁场强度矢量H ;(2) 瞬时波印亭矢量S ;(3) 复数波印亭矢量S C 。
5-8 将下列指数形式(复数形式)的场表达式变换成正、余弦形式(瞬时值形式)的场表达式,或者做相反的变换。
注意,在取实部之前应加上时间因子e j ωt 。
(1) E = i E 0e j αe -j kz ;(2) E = i E 0cos(ωt - kz ) + j 2E 0cos(ωt - kz + π);(3))(j 4j 0e e z k x k z x E +-π=j E5-9 已知磁导率为 μ,介电常数为 ε 的均匀媒质中,电场强度矢量的表达式为E = (i + j j)A e j(ωt - βz ) 上式中,μεωβ=,是电磁波的相位常数,已知波阻抗εμη=。