初中数学多项式除以单项式试题含答案
- 格式:doc
- 大小:80.50 KB
- 文档页数:3
初一数学整式的除法知识点例题1、单项式的除法法则单项式相除,把系数、同底数幂分别相除,作为商的因式,对于只在被除式里含有的字母,则连同它的指数作为商的一个因式。
注意:首先确定结果的系数即系数相除,然后同底数幂相除,如果只在被除式里含有的字母,则连同它的指数作为商的一个因式2、多项式除以单项式的法则多项式除以单项式,先把这个多项式的每一项除以这个单项式,在把所的的商相加。
方法总结:①乘法与除法互为逆运算。
②被除式=除式×商式+余式整式的除法的例题一、选择题1.下列计算正确的是A.a6÷a2=a3B.a+a4=a5C.ab32=a2b6D.a-3b-a=-3b2.计算:-3b32÷b2的结果是A.-9b4B.6b4C.9b3D.9b43.“小马虎”在下面的计算中只做对一道题,你认为他做对的题目是A.ab2=ab2B.a32=a6C.a6÷a3=a2D.a3•a4=a124.下列计算结果为x3y4的式子是A.x3y4÷xyB.x2y3•xyC.x3y2•xy2D.-x3y3÷x3y25.已知a3b6÷a2b2=3,则a2b8的值等于A.6B.9C.12D.816.下列等式成立的是A.3a2+a÷a=3aB.2ax2+a2x÷4ax=2x+4aC.15a2-10a÷-5=3a+2D.a3+a2÷a=a2+a二、填空题7.计算:a2b3-a2b2÷ab2=_____.8.七年级二班教室后墙上的“学习园地”是一个长方形,它的面积为6a2-9ab+3a,其中一边长为3a,则这个“学习园地”的另一边长为_____.9.已知被除式为x3+3x2-1,商式是x,余式是-1,则除式是_____.10.计算:6x5y-3x2÷-3x2=_____.三、解答题11. 三峡一期工程结束后的当年发电量为5.5×109度,某市有10万户居民,若平均每户用电2.75×103度.那么三峡工程该年所发的电能供该市居民使用多少年?结果用科学记数法表示12.计算.130x4-20x3+10x÷10x232x3y3z+16x2y3z-8xyz÷8xyz36an+1-9an+1+3an-1÷3an-1.13.若xm÷x2n3÷x2m-n与2x3是同类项,且m+5n=13,求m2-25n的值.14.若n为正整数,且a2n=3,计算3a3n2÷27a4n的值.15.一颗人造地球卫星的速度是2.6×107m/h,一架飞机的速度是1.3×106m/h,人造地球卫星的速度飞机速度的几倍?整式的除法参考答案一、选择题1.答案:C解析:【解答】A、a6÷a2=a4,故本选项错误;B、a+a4=a5,不是同类项不能合并,故本选项错误;C、ab32=a2b6,故本选项正确;D、a-3b-a=a-3b+a=2a-3b,故本选项错误.故选C.【分析】根据同底数幂的除法,底数不变指数相减;合并同类项,系数相加字母和字母的指数不变;积的乘方,把每一个因式分别乘方,再把所得的幂相乘,对各选项计算后利用排除法求解.2.答案:D解析:【解答】-3b32÷b2=9b6÷b2=9b4.故选D.【分析】根据积的乘方,等于把积中的每一个因式分别乘方,再把所得的幂相乘;单项式相除,把系数与同底数幂分别相除作为商的因式,对于只在被除式里含有的字母,则连同它的指数作为商的一个因式,计算即可.3.答案:B解析:【解答】A、应为ab2=a2b2,故本选项错误;B、a32=a6,正确;C、应为a6÷a3=a3,故本选项错误;D、应为a3•a4=a7,故本选项错误.故选B.【分析】根据积的乘方,等于把积的每一个因式分别乘方,再把所得的幂相乘;幂的乘方,底数不变指数相乘;同底数幂相除,底数不变指数相减;同底数幂相乘,底数不变指数相加;对各选项分析判断后利用排除法求解.4.答案:B解析:【解答】A、x3y4÷xy=x2y3,本选项不合题意;B、x2y3•xy=x3y4,本选项符合题意;C、x3y2•xy2=x4y4,本选项不合题意;D、-x3y3÷x3y2=-y,本选项不合题意,故选B【分析】利用单项式除单项式法则,以及单项式乘单项式法则计算得到结果,即可做出判断.5.答案:B解析:【解答】∵a3b6÷a2b2=3,即ab4=3,∴a2b8=ab4•ab4=32=9.故选B.【分析】单项式相除,把系数和同底数幂分别相除,作为商的因式,对于只在被除式里含有的字母,则连同它的指数一起作为商的一个因式,利用这个法则先算出ab4的值,再平方.6.答案:D解析:【解答】A、3a2+a÷a=3a+1,本选项错误;B、2ax2+a2x÷4ax=x+a,本选项错误;C、15a2-10a÷-5=-3a2+2a,本选项错误;D、a3+a2÷a=a2+a,本选项正确,故选D【分析】A、利用多项式除以单项式法则计算得到结果,即可做出判断;B、利用多项式除以单项式法则计算得到结果,即可做出判断;C、利用多项式除以单项式法则计算得到结果,即可做出判断;D、利用多项式除以单项式法则计算得到结果,即可做出判断.二、填空题7.答案:b-1解析:【解答】a2b3-a2b2÷ab2=a2b3÷a2b2-a2b2÷a2b2=b-1.【分析】本题是整式的除法,相除时可以根据系数与系数相除,相同的字母相除的原则进行,对于多项式除以单项式可以是将多项式中的每一个项分别除以单项式.8.答案:2a-3b+1解析:【解答】∵长方形面积是6a2-9ab+3a,一边长为3a,∴它的另一边长是:6a2-9ab+3a÷3a=2a-3b+1.故答案为:2a-3b+1.【分析】由长方形的面积求法可知由一边乘以另一边而得,则本题由面积除以边长可求得另一边.9.答案:x2+3x解析:【解答】[x3+3x2-1--1]÷x=x3+3x2÷x=x2+3x.【分析】有被除式,商及余数,被除式减去余数再除以商即可得到除式.10.答案:-2x3y+1解析:【解答】6x5y-3x2÷-3x2=6x5y÷-3x2+-3x2÷-3x2=-2x3y+1.【分析】利用多项式除以单项式的法则,先用多项式的每一项除以单项式,再把所得的商相加计算即可.三、解答题11.答案:2×10年解析:【解答】该市用电量为2.75×103×105=2.75×1085.5×109÷2.75×108=5.5÷2.75×109-8=2×10年.答:三峡工程该年所发的电能供该市居民使用2×10年.【分析】先求出该市总用电量,再用当年总发电量除以用电量;然后根据同底数幂相乘,底数不变指数相加和同底数幂相除,底数不变指数相减计算.12.答案:13x3-2x2+1;24x2y2+16xy2-1;3-3an+1+3an-1÷3an-1=-3a2+1.解析:【解答】130x4-20x3+10x÷10x=3x3-2x2+1;232x3y3z+16x2y3z-8xyz÷8xyz=4x2y2+16xy2-1;36an+1-9an+1+3an-1÷3an-1=-3an+1+3an-1÷3an-1=-3a2+1.【分析】1根据多项式除以单项式的法则计算即可;2根据多项式除以单项式的法则计算即可;3先合并括号内的同类项,再根据多项式除以单项式的法则计算即可.13.答案:39.解析:【解答】xm÷x2n3÷x2m-n=xm-2n3÷x2m-n=x3m-6n÷x2m-n=xm-5n因它与2x3为同类项,所以m-5n=3,又m+5n=13,∴m=8,n=1,所以m2-25n=82-25×12=39.【分析】根据同底数幂相除,底数不变指数相减,对xm÷x2n3÷x2m-n化简,由同类项的定义可得m-5n=2,结合m+5n=13,可得答案.14.答案:1解析:【解答】原式=9a6n÷27a4n= a2n,∵a2n=3,∴原式= ×3=1.【分析】先进行幂的乘方运算,然后进行单项式的除法,最后将a2n=3整体代入即可得出答案.15.答案:20.解析:【解答】根据题意得:2.6×107÷1.3×106=2×10=20,则人造地球卫星的速度飞机速度的20倍.感谢您的阅读,祝您生活愉快。
多项式除以单项式例题
摘要:
1.多项式除以单项式的概念
2.例题解析
3.结论
正文:
一、多项式除以单项式的概念
多项式除以单项式是代数学中的一种基本运算。
多项式指的是由若干个单项式通过加减运算组合而成的代数式,而单项式是指只包含一个变量或常数的代数式。
例如,多项式3x^2 + 2x - 1 除以单项式x 就是此类运算的一个例子。
二、例题解析
假设我们要计算多项式3x^2 + 2x - 1 除以单项式x,具体步骤如下:
1.将多项式的每一项分别除以单项式x,得到商分别为3x + 2 - 1/x。
2.化简得到最简形式的商,即3x + 2 - 1/x。
3.将商相加,得到最终结果为3x^2 + 2x - 1/x。
三、结论
通过以上例题,我们可以看到多项式除以单项式的运算过程并不复杂。
只需将多项式的每一项分别除以单项式,然后将化简后的商相加即可。
需要注意的是,在化简商的过程中,要尽可能地简化分数,以便得到最简形式的结果。
在代数学中,掌握多项式除以单项式的运算方法是非常重要的,这将为后续更复杂数学问题的解决奠定基础。
《多项式除以单项式》典型例题例1 计算:(1)2234993436x x x x ÷⎪⎭⎫ ⎝⎛++-;(2)()233454235.0612125.0b a b a a a b a -÷⎪⎭⎫ ⎝⎛--.例2 计算:(1)()1213963-++÷-+n n n n a a a a ;(2)()()()[]()[]334532b a a b a b a b a +÷--++-+.例3 (1)已知一多项式与单项式457y x -的积为()3235675272821y x y y x y x +-,求这个多项式.(2)已知一多项除以多项式342-+a a 所得的商是12+a ,余式是82+a ,求这个多项式.例4 ()()()2232232521525b a b ab a a ab -⨯⎥⎦⎤⎢⎣⎡⋅-⋅-. 例5 计算题:(1)x x x x 4)4816(34÷--; (2))4()7124(22323a b a b a a -÷-+-;(3)1214)1284(-++÷-+m m m m a a a a .例6 化简:(1)x x x y y y x 2]8)4()2[(2÷-+-+;(2))41()4()412)(124(43362x x x x x x -÷-+++-例7 计算)].(31[)](32)(2)[(23q p q p q p q p +÷+-+-+参考答案例 1 分析:此题应先利用法则把多项式除以单项式的运算转化为单项式除以单项式的运算,进而求出最后的结果.解:(1)原式()22232499934936x x x x x x ++÷+÷-= 127442++-=x x (2)原式 ()()()2334235423235.0615.0215.025.0b a b a b a b a b a b a -÷⎪⎭⎫ ⎝⎛-+-÷⎪⎭⎫ ⎝⎛-+-÷= ab ab 31213++-= 21313-+=ab ab 说明:运算结果,应当按某一字母的降幂(或升幂)排列,这样对于检验运算的正确性极有好处.例2 分析:(1)题利用法则直接计算. (2)题把()b a +看作一个整体,就是多项式除以单项式.解:(1)原式11211393633--+-+÷-÷+÷=n n n n n n a a a a a aa a a 3232-+=a a a 3223-+=(2)原式=()()()[]()[]334532b a a b a b a b a +÷--++-+ ()()21232-+-+=b a b a 212323222---++=a a b ab a 例3 解:(1)所求的多项为()[]()4532356757272821y x y x y y x y x -÷+- ()()457956757562821y x y x y x y x -÷+-=343843y x xy y -+-= (2)所求多项式为()()()8212342+++-+a a a a8234682223++-++-+=a a a a a a59223++=a a说明:乘法和除法互为逆运算在多项式中经常运用。
《多项式除以单项式》典型例题例1 计算:(1)— 36x4+4x3+9x2〕+9x2; (2) 0.25a3b2—1a4a5—1a4b3L(—0.5a3b2). I 3 丿2 6 丿例2 计算:(2)2(a + b 5 -3(a +(-a-b j»a(a + b 3】.3 例3 (1)已知一多项式与单项式-7x5y4的积为21x5y7一28x6y5• 7y 2x3y2, 求这个多项式.(2)已知一多项除以多项式a24a - 3所得的商是2a 1,余式是2a 8 ,求这个多项式.例5计算题:(1) (16x4_8x3—4x)“4x ;(2) (-4a312a2b-7a3b2) “(-4a2);(3)(4a m18a m 2-12a m),4a m」.例6 化简:(1)[(2x y)2-y(y 4x)-8x]」2x ;(2)4(4x2-2x 1)(; * (4X6-X3)“(-*X3)3 22 1例7 计算[(p q) -2(p q) --(p q)?: [-(p q)]-3 3参考答案例1 分析:此题应先利用法则把多项式除以单项式的运算转化为单项式(1) 3a n16a n2-9a「3a n」除以单项式的运算,进而求出最后的结果.解:(1)原式--36x4-〉9x2• 4 x^ 9x29x29x2 3=-4x2x 127(2)原式= 0.25a3b2*(—0.5a3b2)十—1 a4b54 (—0.5a3b2片〔丄a4b3h(—0.5a3b2)I 2 丿I 6 丿---ab3-ab2 3= ab3 -ab」3 2说明:运算结果,应当按某一字母的降幕(或升幕)排列,这样对于检验运算的正确性极有好处.例2分析:(1)题利用法则直接计算.(2)题把a b看作一个整体,就是多项式除以单项式.解:(1)原式=3a n1'3a n」-6a n3a n4 -9a^:'3a n4二a22a3-3a= 2a3a2-3a(2)原式=2(a + b 5—3(a + b f +(—a —b『卜a(a + b 3】= (a+bi -^(a+b)-£2 22 23 3 1=a 2ab b a a --2 2 2例 3 解:(1)所求的多项为21x5y7-28x6y5+7y(2x3y2 3哄—7x5y4)二21x5y7-28x6y556x9y7亠-7x5y4--3y34xy -8x4y3(2)所求多项式为a24a -3 2a 1 2a 8= 2a‘ 8a2-6a a24a -3 2a 83 2=2a 9a 5说明:乘法和除法互为逆运算在多项式中经常运用。
《多项式除以单项式》典型例题例1 计算:(1)36 x 4_4 39x 29x 2 ; ( 2 ) 0.25a 3b 2a 1 a 0 丄 a ib s0.5a 3b 2 ・326例2 计算:(1) 3a n 1 6a n 29a n3a n 1 ;(2) 2 a b 53 a b 4a b 3a ab 3・求这个多项式.求这个多项式.例45ab23a2a 25ab 2 3 _J b5a2, 2 ,b .2例5 计算题:(1) (16 x 4 8x 34x)4x ;(2)(:4a 3 12a 2b7a 3b 2 ) ( 4a 2);(3)(4a m 1 8a m212a ra ) 4a m 1 .例6化简:(1) [(2xy)2y(y 4x) 8x] 2x ;()24(4x 22x1)伫 1‘ (4x 6 x 3> 1 (— 3)X244例7 计算Kpq )32(pQ )22q)] 丄(p例3 (1)已知一多项式与单项式 7x 5 y 4 的积为 2lx 5 y 7 28x 6 y 57 y 2x 3 y 2 3(2)已知一多项除以多项式a 24a3所得的商是2a 1,余式是2a 8 ,3 3参考答案例1 分析:此题应先利用法则把多项式除以单项式的运算转化为单项式除以单项式的运算,进而求出最后的结果.解:(1)原式36x°9X24 X3 9x29x29x234x2Ax 127(2)原式0.25a3b2 0.5a3b21 1a ib s20.5a3b21 a ib 360.5a3 b2ab3_ ab2 3ab3Lab -13 2说明:运算结果,应当按某一字母的降幕(或升幕)排列,这样对于检验运算的正确性极有好处.例2分析:(1)题利用法则直接计算・(2)题把a b看作一个整体,就是多项式除以单项式.解:(1)原式1 3a11 1 6a n 2 3a11 1 9a n 3aa2 2a3 3a2a3 a 2 3a(2)原式=2 a b 5 3 a b4 a b 3 a a b 3a b2 3. ab i2 2a 2 2ab b22a 3a J2 2 2例 3 解:(1)所求的多项为21x5y 7 28x6 y5 7 y 2x3 y2 37x5 y421x5 y7 28x6 y5 56 x9 y7 7x5 y43 y34 xy 8x4 y3(2)所求多项式为a2 4a 3 2a 1 2a 82a38 a2 6a a2 4a 3 2a 82a39a2 5说明:乘法和除法互为逆运算在多项式中经常运用。
初一数学整式的除法试题答案及解析1.若4x3﹣2x2+k﹣2x能被2x整除,则常数k的值为()A.1B.﹣1C.2D.0【答案】D【解析】因为多项式的前面几项均能被2x整除,所以k也能被2x整除,结合k为常数,可得k 只能为0.解:∵4x3、﹣2x2、﹣2x均能被2x整除,∴k也能被2x整除,又∵k为常数,∴k=0.故选D.2.(0.14m4n3﹣0.8m3n3)÷0.2m2n2等于()A.0.7m2n2﹣0.4mnB.0.28m2n﹣0.16nC.0.7m2n﹣4mnD.0.7m2n﹣4n【答案】C【解析】根据多项式除单项式,先把多项式的每一项除以单项式,再把所得的商相加的法则计算即可.解:(0.14m4n3﹣0.8m3n3)÷0.2m2n2,=0.14m4n3÷0.2m2n2﹣0.8m3n3÷0.2m2n2,=0.7m2n﹣4mn.故选C.3.如图,沿着正方形的对称轴对折,重合的两个小正方形的整式的乘积可得一新整式,则这样的整式共有()A.2个B.4个C.6个D.8个【答案】C【解析】从图中看出,有四个小正方形,即有四个整式,把对折后重合的两个小正方形内的整式相乘即可.解:正方形有四条对称轴,有六组对应整式的积:x(x+1),x2(x﹣1),x2(x+1),x(x﹣1),(x+1)(x﹣1),x•x2,故选C.4.计算(28a3﹣14a2+7a)÷(﹣7a)的结果为()A.﹣4a2+2a B.4a2﹣2a+1C.4a2+2a﹣1D.﹣4a2+2a﹣1【答案】D【解析】此题直接利用多项式除以单项式的法则即可求出结果,也可以提取公因式(﹣7a),然后得出结果.解:原式=(28a3﹣14a2+7a)÷(﹣7a)=28a3÷(﹣7a)﹣14a2÷(﹣7a)+7a÷(﹣7a)=﹣4a2+2a﹣1.故选D.5.若(x3+27y3)÷(x2﹣axy+by2)=x+3y,则a2+b=.【答案】18【解析】先计算(x3+27y3)÷(x+3y)=x2﹣3xy+9y2,依此可得a=3,b=9,再代入计算即可求解.解:∵(x3+27y3)÷(x+3y)=x2﹣3xy+9y2,∴a=3,b=9,∴a2+b=9+9=18.故答案为:18.6.已知一个长方形的面积为4a2﹣2ab+,其中一边长是4a﹣b,则该长方形的周长为.【答案】10a﹣b【解析】利用长方形面积除以长=宽,求得另一条边的长,再进一步求得长方形的周长即可.解:(4a2﹣2ab+)÷(4a﹣b)=(16a2﹣8ab+b2)÷(4a﹣b)=(4a﹣b)2÷(4a﹣b)=(4a﹣b);则长方形的周长=[(4a﹣b)+(4a﹣b)]×2=[a﹣b+4a﹣b]×2=[5a﹣b]×2=10a﹣b.故答案为:10a﹣b.7.已知多项式3x3+ax2+3x+1能被x2+1整除,且商式是3x+1,那么a的值是.【答案】1【解析】先根据被除式=商×除式(余式为0时),得出3x3+ax2+3x+1=(x2+1)(3x+1),再运用多项式乘多项式的法则将等式右边展开,然后根据多项式相等的条件,对应项的系数相等得出a的值.解:由题意,得3x3+ax2+3x+1=(x2+1)(3x+1),∴3x3+ax2+3x+1=3x3+x2+3x+1,∴a=1.故答案为1.8.÷a2=4a3b4﹣2a3b3+4.【答案】2a5b4﹣a5b3+4a2【解析】用商乘以除数求得被除数即可.解:∵(4a3b4﹣2a3b3+4)×a2=2a5b4﹣a5b3+4a2,∴2a5b4﹣a5b3+4a2÷a2=4a3b4﹣2a3b3+4.故答案为:2a5b4﹣a5b3+4a2.9.()÷0.3x3y2=27x4y3+7x3y2﹣9x2y.【答案】8.1x7y5+7x6y4﹣9x5y3【解析】由于被除式等于商乘以除式,所以只需计算(27x4y3+7x3y2﹣9x2y)•0.3x3y2即可.解:(27x4y3+7x3y2﹣9x2y)•0.3x3y2=8.1x7y5+7x6y4﹣9x5y3.故答案为8.1x7y5+7x6y4﹣9x5y3.10.计算3x3÷x2的结果是()A.2x2B.3x2C.3x D.3【答案】C【解析】单项式除以单项式分为三个步骤:①系数相除;②同底数幂相除;③对被除式里含有的字母直接作为商的一个因式.解:原式=3x3﹣2=3x.故选C.11.计算6a6÷(﹣2a2)的结果是()A.﹣3a3B.﹣3a4C.﹣a3D.﹣a4【答案】B【解析】根据单项式相除,把系数与同底数幂分别相除作为商的因式,对于只在被除式里含有的字母,则连同它的指数作为商的一个因式计算.解:6a6÷(﹣2a2)=[6÷(﹣2)]•(a6÷a2)=﹣3a4.故选B.12.一颗人造地球卫星的速度为2.88×107米/时,一架喷气式飞机的速度为1.8×106米/时,则这颗人造地球卫星的速度是这架喷气式飞机的速度的()A.1600倍B.160倍C.16倍D.1.6倍【答案】C【解析】根据速度=路程÷时间列出算式,再利用同底数幂相除,底数不变指数相减计算.解:(2.88×107)÷(1.8×106)=(2.88÷1.8)×(107÷106)=1.6×10=16,则这颗人造地球卫星的速度是这架喷气式飞机的速度的16倍.故选C.13.下列计算正确的是()A.(﹣a2)3=a6B.2a6÷a3=2a2C.a2÷a×=a2D.a2+2a2=3a2【答案】D【解析】根据幂的乘方,底数不变指数相乘;单项式的除法和同底数幂相除,底数不变指数相减;合并同类项,只把系数相加减,字母与字母的次数不变,对各选项分析判断后利用排除法求解.解:A、应为(﹣a2)3=﹣a6,故本选项错误;B、应为2a6÷a3=2a3,故本选项错误;C、应为a2÷a×=a×=1,故本选项错误;D、a2+2a2=3a2,正确.故选D.14.已知a=1.6×109,b=4×103,则a2÷b=()A.4×107B.8×1014C.6.4×105D.6.4×1014【答案】D【解析】根据题意得到a2÷b=(1.6×109)2÷(4×103),根据积的乘方得到原式=1.6×1.6×1018÷(4×103),再根据同底数的幂的除法法则得到原式=6.4×1014.解:a2÷b=(1.6×109)2÷(4×103)=1.6×1.6×1018÷(4×103)=6.4×1014.故选D.15.化简12a2b÷(﹣3ab)的结果是()A.4a B.4b C.﹣4a D.﹣4b【答案】C【解析】按照单项式的除法的运算法则进行运算即可;解:12a2b÷(﹣3ab)=12÷(﹣3)(a2÷a)(b÷b)=﹣4a,故选C.16.(﹣a4)2÷a3的计算结果是()A.﹣a3B.﹣a5C.a5D.a3【答案】C【解析】先算乘方(﹣a4)2=a8,再根据同底数幂的除法法则进行计算即可.解:原式=a8÷a3=a5,故选C.17.计算:9x3÷(﹣3x2)=.【答案】﹣3x【解析】根据单项式的除法和同底数幂相除,底数不变,指数相减,进行计算.解:9x3÷(﹣3x2)=﹣3x.18.计算:(﹣2a)2÷a=.【答案】4a【解析】本题是积的乘方与同底数幂的除法的混合运算,求解时按照各自的法则运算即可.解:(﹣2a)2÷a=4a2÷a=4a.故填4a.19.计算:6x3÷(﹣2x)=.【答案】﹣3x2【解析】根据单项式相除,把系数和同底数幂分别相除,作为商的因式,对于只在被除式里含有的字母,则连同它的指数一起作为商的一个因式,利用这个法则就可以求出结果.解:6x3÷(﹣2x)=﹣(6÷2)x3﹣1=﹣3x2.20.计算:(a2b)2÷a4=.【答案】b2【解析】根据积的乘方,单项式除单项式的运算法则计算即可.解:(a2b)2÷a4=a4b2÷a4=b2.故填b2.。
15.4.3 多项式除以单项式知能点分类训练知能点1 多项式除以单项式法则1.(28a3-14a2+7a)÷7a=______________;(36x4y3-24x3y2+3x2y2)÷(-6x2y)=__________________.2.(a2-2ab+b2)5÷(a-b)7=_________________.3.(16a2b4+8a4b2-4a2b2)÷(-4a2b2)=____________________.4.(9x3y4-6x4y3+3x2y3)÷_____=-3x2y2+2x3y-xy.5.计算(8a2b3-2a3b3+ab)÷(ab)的结果是().A.8ab2-2a2b+1 B.8ab2-2a2b C.8a2b2-2a2b+1 D.8a2b-2a2b+1 6.下列运算正确的是().A.(am+bm+cm)÷n=am÷n+6m÷n+cm÷n=am bm cm n n n++B.(-a3b-14a2+7a)÷7a=-7a2b-2aC.(36x4y3-24x3y2+3x2y2)÷(-6x2y)=-6x2y+4x5y3-12x4y3D.(6a m+2b n-4a m+1b n+1+2a m b n+2)÷(-2a m b n)=-3a2+2ab-b n+17.计算:(1)(5x2y4-4x3y2+6x)÷(-3x)(2)(16x3-8x2+4x)÷(-2x)(3)(25x3y2-xy2+23y3)÷23y2知能点2 创新应用8.长方形的面积为4a2-6ab+2a,若它的一个边长为2a,则它的周长是______.9.______÷(-4x2)=-3x2+4x-2.10.已知被除式是6a m+2b n+1-4a m+1b n+1+2a m+1b n+2,商式是-2a m b n,求除式.创新应用提高11.化简求值:(1)(28a3-28a2-7a)÷7a,其中a=34.(2)[(5x+2y)(3x+2y)+(x+2y)(x-2y)]÷4x,其中x=2,y=-3.12.已知一个多项式与单项式-7x2y3的积为21x4y5-28x7y4+14x6y6,试求这个多项式.开放探索创新13.已知│a+12│+(b-3)2=0,求代数式[(2a+b)2+(2a+b)·(b-2a)-6b]÷2b的值.14.学校买奖品,若以1枝钢笔和2本笔记本为1份奖品,则可买60份奖品;若以1枝钢笔和3本笔记本为1份奖品,则可买50份奖品,这些钱全部用来买钢笔或笔记本可买多少?答案:1.4a2-2a+1 -6x2y2+4xy-1 2 y2.(a-b)33.-4b2-2a2+1 4.-3xy25.A 6.A7.(1)-53xy4+43x2y2-2 (2)-8x2+4x-2 (3)35x3-314x+y8.8a-6b+2 点拨:先求另一边的长,再用2乘以两条边的和.9.12x4-16x3+8x210.解:(6a m+2b n+1-4a m+1b n+1+2a m+1b n+2)÷(-2a m·b n)=-3a2b+2ab-ab2.11.(1)原式=4a2-4a+1.当a=34时,原式=4×(34)2-4×34+1=14.(2)原式=(15x2+10xy+6xy+4y2+x2-4y2)÷4x=4x+4y=4(x+y).当x=2,y=-3时,原式=4(2-3)=-4.12.-3x2y2+4x5y-2x4y313.由题意可知110,, 2230, 3.a ab b⎧⎧+==-⎪⎪⎨⎨⎪⎪-==⎩⎩解得原式=[(2a+b)2+(2a+b)·(b-2a)-6b]÷2b =[4a2+4ab+b2+b2-4a2-6b]÷2b=(2b2+4ab-6b)÷2b=b+2a-3=3+2×(-12)-3=-1.14.设钢笔x元/枝,日记本y元/本,则60(x+2y)=50(x+3y),化简得x=3y,若全用于买钢笔,则可买60(x+2y)÷x=60(3y+2y)÷3y=100枝,若全用于买日记本,则可买60(x+2y)÷y=60(3y+2y)÷y=300本.。
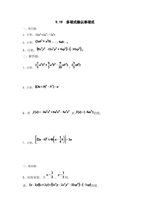
9.19 多项式除以单项式一、填空题:1、计算:(35a6-15a5)÷5a3=2、计算:÷(-)=3、计算:=二、解答题:4、计算:÷5、计算:6、若求的值。
7、计算:三、提高题:8、化简求值:当 ,时,求:的值。
9.19 多项式除以单项式一、 填空题1. 多项式除以单项式,先把多项式的__________除以单项式,再把所得的________________________________________________________________________相加.2. 计算: (9a 2b -6ab 2)÷3ab =____________.3. 计算: (2xy 2-3x 2y +2xy )÷2xy =______________.4. 计算: (-9a 3b 2+12a 2b +3ab )÷(-3ab )=______________.5. 计算: 16a 5b 3÷(4ab )3=______________.6. 计算: -b (-2ab -4b 2)÷(-2b )2=______________.7. 计算: (a 2-b 2)÷(a -b )=______________.8. 计算: [(a +b )2-4ab ]÷(a -b )2=______________.9. 设A 是一个多项式,且A ÷35x 2y =-2x 2y 4+23x ,则A =____________.10. 多项式6x 5-15x 4+3x 3-3x 2+x +1除以3x 2,余式为x +1,则商式为________________________________________________________________________. 二、 选择题11. 计算: -0.5a 2bx 2÷52ax 2的结果是() A. -45ab B. -51ab C. -45a D. -51abx12. 如果x ·M =6xy +5x ,那么M 是()A. 6x 2y +5x 2B. 6y +5C. 6xy +5D. 6y +5x13. 下列计算中,结果正确的是()A. (a -b )3÷(b -a )2=b -aB. (a +b )5÷(a +b )3=a 2+b 2C. (b -a )5÷(a -b )3=(a -b )2D. (x -y )n +1÷(x -y )n -1=x 2-2xy +y 214. 若4x 3+2x 2-2x +k 能被2x 整除,那么整数k 的值为()A. 1B. 2C. 0D. -2 三、 解答题15. 计算: (16x 4-8x 3-4x )÷21x 16. 计算: (18a 2b -9a 5b 2)÷(-3a 2b )17. 计算:(8x2y2-6x2y4+3x3y3)÷(-2xy)218. 计算:(x4-y4)÷(x2+y2)÷(x-y)19. 计算:[(x+y)(x-y)+3y(x-y)]÷(x-y)20. 计算:(ax n+2-bx n+1+cx n)÷(-x n-2)21. 当a=-1时,求(21a3-14a2+7a)÷7a的值.22. 已知一个梯形的面积为6x3-4x2+x,上底为x-3,下底为3x+3,求梯形的高.9.191、每一项;商2、32a b -3、312y x -+4、341ab a --5、214a6、12a b +7、a b +8、19、A10、B11、D12、3232168x x -- 13、363a b -+ 14、233224y xy -- 15、365y - 16、32251x x x -+- 17、C 18、x y + 19、4x y + 20、432ax bx cx -+- 21、232322a a x a x -+ 22、23214a a -+= 23、2139xy =。
《多项式除以单项式》典型例题例1 计算:(1) 4 4 3 2 2 ;(2) 3 2 14 51 4 3336x x 9x 9x 0.25a b a aa b0.5a b32 6例2 计算:(1) n 13a6a n29a n n 13a(2) 2 a b53 a b 4a b 2 3 a a b 3求这个多项式.求这个多项式.例3 (1)已知一多项式与单项式 7x 5y 4 的积为 21x 5y 76 5 3 2 328x y 7y 2x y ,(2)已知一多项除以多项式a 24a 3所得的商是2a 1,余式是2a 8 ,例45ab 23a2a 2 ; 5ab 2 3 1 b 2例5 计算题:(1) (16x 48x 34x)4x;(2)((3) (4a m 1 8a 1 m 212a m )4a mi 1例6化简:(1) [(2x y)2 y(y 4x) 8x] 2x -(2) 4(4x 22xDG1)(4x 63、5a 2b 2.…3 2 3 22.4a 12a b 7a b )( 4a );13) (;x)参考答案例1 分析: 此题应先利用法则把多项式除以单项式的运算转化为单项式除以单项式的运算, 解:(1)原式进而求出最后的结果.4x39x29x29x2 3 36x49x24x2Ax27(2)原式3 20.25a b 3 20.5a b 4b5 3 20.5a b *4b3品21 2 ab3ab3lab312〔ab3运算结果,应当按某一字母的降幕(或升幕)排列,这样对于检验运算的正确性极有好处.说明:例2分析:(1)题利用法则直接计算.(2)题把a b看作一个整体,就是多项式除以单项式.解:(1)原式3a n 1 3a n1 6a n 2n 1 n n 13a 9a 3a2 3 八a 2a 3a2a3 a2 3a, , 5 4(2)原式=2 a b 3 a ba22ab 3a2.2 3b a2123 1a -2 2例3解:(1)所求的多项为 5 721x y 28x6y52 37y 2x3y27x5y45 76 5 9 721x y 28x y 56 x y 7x5y43y3 4xy 8x4y3(2)所求多项式为2a 4a 3 2a 1 2a 82a3 8a2 6a a2 4a 3 2a 83 22a 9a 5说明:乘法和除法互为逆运算在多项式中经常运用。
多项式除以单项式例题
摘要:
一、多项式除以单项式的概念
二、多项式除以单项式的法则
三、多项式除以单项式的例题解析
正文:
一、多项式除以单项式的概念
多项式除以单项式是代数学中的一个基本概念,它涉及到多项式的简化。
简单来说,多项式除以单项式就是将一个多项式的每一项都除以一个单项式。
例如,将多项式3x^2 + 6x + 9除以单项式x,结果为3x + 3。
二、多项式除以单项式的法则
多项式除以单项式的法则可以总结为以下几步:
1.将多项式的每一项都除以单项式。
2.将所得的商相加。
需要注意的是,多项式除以单项式后的结果仍然是一个多项式。
三、多项式除以单项式的例题解析
例题:将多项式5x^3 - 10x^2 + 15x - 3除以单项式x。
2017年08月02日sunpeichun的初中数学组卷一. 选择题(共12小题)1. 计算(6x3-2x) 4- ( -2x)的结果是( )A. ・ 3x2B. - 3x2 - 1C. - 3x2+1D. 3x2 - 12. 若长方形面积是2a2-2ab+6a, 一边长为2a,则这个长方形的周长是( )A. 6a.2b+6B. 2a - 2b+6C. 6a - 2bD. 3a - b+33. 计算[(a+b) 2- (a- b) 2]4- (4ab)的结果( )A. 2abB. 1C. a - bD. a+b4. 计算(25x2y- 5xy2) :5xy的结果等于( )A. - 5x+yB. 5x - yC. - 5x+1D. - 5x - 15. 计算(14x3- 21x2+7x) 4- ( -7x)的结果是( )A. - x2+3xB. - 2x2+3x - 1C. - 2x2+3x+1D. 2x2 - 3x+16. 计算:(・2x3y2・ 3x2y2+2xy) :2xy,结果是( )A. x2y-^-xyB. 2x2y-^-xy+2C. -x2y-yxy+lD. -2x2y-^-xy+l7. 下列各式,计算结果错误的是( )A. (3a2+2a - 6ab) 4-2a=-^a - 3b+12B. (- 4a3+12a2b - 7a3b2) 4- ( - 4a2) =a - 3b+-^ab24C. (4x m+2 - 5x m 1) 4-3x m 2=A X4-3 3D. (3a n+1+a n+2 - 12a n) 4- (- 24a n) = - —a -8 24 28. 多项式x12 - x6+1除以x2・1的余式是( )A. 1B. - 1C. x- 1D. x+19. 要使12x6y3z4- (A) =4x5z成立,括号中应填入( )A. 3xy3zB. 3xy2zC. 3xy3D. -i-xy31能得到一般情况下(x n-1) 4- (x-1) = (n为正整数);10. 若3x3.版2+4被3x - 1除后余5,则k的值为( )A. - 10B. 10C. -8D. 811. it算[(・¥) 3-3/( - a1 2) J-r ( -a) 2的结果是( )A.・ a3+3a2B. a3 - 3a2C. - a4+3a2D. - a4+a212. 现规定:f (x) =8x5 - 12x4+6x3.若M (x) =f (x) 4- ( - 2x2),则M ( - 2)的值为( )A. - 2B. - 14C. 60D. 62二. 填空题(共9小题)13. 已知一个多项式与-4泌的积为12a4・16a3+4a2,则这个多项式为.14. ( - 3y n+1+4y°+2 - 12^) 4-= - 24y n15. (22in4(-4m)= ------- •516. 欢欢、盈盈和贝贝各写了一个整式,欢欢写的是:2x2y,盈盈写的是:4x3y2 ・6x3y+2x4y2,贝贝写的整式恰好是盈盈写的整式除以欢欢写的整式的商,则贝贝写的式子是.17. 据测算,甲型H7N9病人的唾液中,一个单位体内的唾液中有甲型H7N9病毒1。
多项式除以单项式练习题本文档包含一系列多项式除以单项式的练题,旨在帮助学生加强对此概念的理解和应用。
请认真阅读每个问题,并尽量独立解答。
每个问题的答案已经给出,但请在查看答案前尽量自己解决。
练题1将多项式 `3x^3 - 2x^2 + 5x - 1` 除以单项式 `x`,求商式和余式。
解答我们可以使用长除法来解决这个问题。
首先将被除式和除数按照指数从高到低的顺序排列:3x^3 - 2x^2 + 5x - 1÷ x---------------接下来,将第一次除法的结果放在上面的横线上,并将其乘以除数,再写在下面的被除式下方:3x^2---------------3x^3 - 2x^2 + 5x - 1然后将这两个多项式相减并写在下方的横线上:3x^2---------------3x^3 - 3x^2 + 5x - 1- 3x^3 + 3x^2---------------------2x - 1接下来,将余式 `2x - 1` 写在最后的结果上:3x^3 - 2x^2 + 5x - 1———————x---3x^2- 3x^2--------2x - 1因此,将多项式 `3x^3 - 2x^2 + 5x - 1` 除以单项式 `x` 得到的商式是 `3x^2`,余式是 `2x - 1`。
练题2将多项式 `4x^4 + 3x^3 - 5x^2 - 2x + 7` 除以单项式 `2x^2`,求商式和余式。
解答使用同样的方法进行长除法:4x^4 + 3x^3 - 5x^2 - 2x + 7÷ 2x^2----------------第一次除法的结果是:2x^2----------------4x^4 + 3x^3 - 5x^2 - 2x + 7两个多项式相减后的结果是:2x^2----------------4x^4 + 3x^3 - 5x^2 - 2x + 7- 4x^4 - 4x^3-----------------7x^3 - 5x^2 - 2x + 7所以,将多项式 `4x^4 + 3x^3 - 5x^2 - 2x + 7` 除以单项式`2x^2` 得到的商式是 `2x^2`,余式是 `7x^3 - 5x^2 - 2x + 7`。
华师大版数学八年级上册第十二章第四节12.4.2多项式除以单项式课时练习一、单选题(共15题)1.计算(-4a3+12a2b-8a3b2)÷(-4a2)的结果为()A.a+2ab2B.a-3b+2ab2C.a2-3b+2ab2D.a-3b+0.5a答案:B解析:解答:原式=-4a3÷(-4a2)+12a2b÷(-4a2)-8a3b2÷(-4a2)=a-3b+2ab2.选B分析: 根据多项式除以单项式法则进行运算2.若多项式-12x2y3+16x3y2+4x2y2的一个因式是-4x2y2,则另一个因式是()A.3y+4x-1 B.3y-4x-1 C.3y-4x+1 D.3y-4x答案:B解析:解答:-12x2y3+16x3y2+4x2y2=(-12x2y3)÷(-4x2y2)+16x3y2÷(-4x2y2)+4x2y2÷(4x2y2)=3y-4x-1.选:B.分析: 本题要求另一个因式,可用多项式除以因式-4x2y2,根据多项式除单项式的运算法则计算3.一多项式除以2x2-3,得到的商式为7x-4,余式为-5x+2,则此多项式为何?()A.14x3-8x2-26x+14 B.14x3-8x2-26x-10C.-10x3+4x2-8x-10 D.-10x3+4x2+22x-10答案:A解析:解答: (2x2-3)(7x-4)+(-5x+2)=14x3-8x2-21x+12-5x+2=14x3-8x2-26x+14.选A.分析: 根据题意列出关系式,计算即可得到结果4.一张长为4a厘米矩形纸片的面积为(8a2b+4a)平方厘米,则此矩形的宽为()A.(2ab+1)厘米B.8a2b厘米C.(4ab+2)厘米D.(4a2b-2a)厘米答案:A解析:解答: ∵长方形面积是:8a2b+4a,一边长为4a,∴它的另一边长是:(8a2b+4a)÷4a=2ab+1选A.分析: 由长方形的面积求法可知由一边乘以另一边而得,则本题由面积除以边长可求得另一边5.计算:(28a2b2-21ab2)÷7ab的值是()A.4a2-3 B.4a-3 C.4a2-3b D.4a2b-3答案:B解析:解答: (28a2b2-21ab2)÷7ab =28a2b2÷7ab-21ab2÷7ab=4a-3.选B.分析: 利用多项式除以单项式,先把这个多项式的每一项分别除以单项式,再把所得的商相加,进而求出6.如果一个多项式与(2x-3)的积是4x2-12x+9,那么这个多项式是()A.4x2+9 B.8x2-27 C.2x-3 D.2x+3答案:C解析:解答: (4x2-12x+9)÷(2x-3)=(2x-3)2÷(2x-3)=2x-3选C.分析: 根据题意列出关系式(4x2-12x+9)÷(2x-3),再根据整式的除法法则计算7.若多项式x2+x+m能被x+3整除,则此多项式也能被下列多项式整除的是()A.x-2 B.x+2 C.x+4 D.x-4答案:A解析:解答: 根据题意得:x2+x+m=(x+3)(x+a)=x2+(a+3)x+3a,∴a+3=1,即a=-2,则此多项式也能被(x-2)整除选:A.分析: 根据多项式能被x+3整除,得到多项式分解的结果有一个因式为x+3,即可确定出结果8.计算(5m2+15m3n-20m4)÷(-5m2)结果正确的是()A.1-3mn+4m2 B.-1-3m+4m2 C.4m2-3mn-1 D.4m2-3mn答案:C解析:解答: 原式=5m2(1+3mn-4m2)÷(-5m2)=4m2-3mn-1.选C.分析: 根据多项式除以单项式,先提取公因式再除以单项式,再把所得的商相加即可得到正确答案9.计算(18x4-48x3+6x)÷6x的结果为()A.3x3-13x2B.3x3-8x2C.3x3-8x2+6x D.3x3-8x2+1答案:D解析:解答: (18x4-48x3+6x)÷6x=3x3-8x2+1.选:D.分析: 多项式除以单项式,先把这个多项式的每一项分别除以单项式,再把所得的商相加10.一个长方形的面积为x2-2xy+x,长是x,则这个长方形的宽是()A.x-2y B.x+2y C.x-2y-1 D.x-2y+1答案:D解析:解答(x2-2xy+x)÷x=x2÷x-2xy÷x+x÷x=x-2y+1.选:D.分析: 由长方形面积公式知,求长方形的宽,则由面积除以它的长11.长方形面积是3a2-3ab+6a,一边长为3a,则它周长()A.2a-b+2 B.8a-2b C.8a-2b+4 D.4a-b+2答案:C解析:解答: 长方形的另一边长为:(3a2-3ab+6a)÷3a=a-b+2,所以长方形的周长=2(3a+a-b+2)=8a-2b+4选:C.分析: 先根据长方形的面积求得另一边长,再求长方形的周长,长方形的周长=2(长+宽)12.计算(25x2y-5xy2)÷5xy的结果等于()A.-5x+y B.5x-y C.-5x+1 D.-5x-1答案:B解析:解答: (25x2y-5xy2)÷5xy=25x2y÷5xy-5xy2÷5xy=5x-y.选:B.分析: 直接利用整式的除法运算法则计算13.长方形面积是3a2-3ab+6a,一边长为3a,则它的另一条边长为()A.2a-b+2 B.a-b+2 C.3a-b+2 D.4a-b+2答案:B解析:解答: ∵长方形面积是3a2-3ab+6a,一边长为3a,∴它的另一边长是:(3a2-3ab+6a)÷3a=a-b+2.选:B.分析: 由长方形的面积求法可知由一边乘以另一边而得,则本题由面积除以边长可求得另一边14.计算(-8m4n+12m3n2-4m2n3)÷(-4m2n)的结果等于()A.2m2n-3mn+n2B.2n2-3mn2+n2C.2m2-3mn+n2D.2m2-3mn+n答案:C解析:解答:(-8m4n+12m3n2-4m2n3)÷(-4m2n)=-8m4n÷(-4m2n)+12m3n2÷(-4m2n)-4m2n3÷(-4m2n),=2m2-3mn+n2,选:C.分析: 根据多项式除以单项式,先把多项式的每一项都分别除以这个单项式,然后再把所得的商相加计算后即可选取答案15.计算多项式-2x(3x-2)2+3除以3x-2后,所得商式与余式两者之和为何?()A.-2x+3 B.-6x2+4x C.-6x2+4x+3 D .-6x2-4x+3答案:C解析:解答:∵多项式-2x(3x-2)2+3除以3x-2后,∴商式为-2x(3x-2),余式为3,∴-2x(3x-2)+3=-6x2+4x+3选:C分析: 根据多项式除以多项式,商式为-2x(3x-2),余式为3,即可解答二、填空题(共5题)16.计算:(12a3-6a2)÷(-2a)=___答案: -6a2+3a解析:解答: (12a3-6a2)÷(-2a)=-6a2+3a答案为:-6a2+3a17.计算(x4-4x3)÷x2的结果等于__________.答案: x2-4x解析:解答: 原式=x4÷x2-4x3÷x2 = x2-4x.答案为:x2-4x分析:多项式除以单项式实质就是转化为单项式除以单项式,单项式除以单项式把系数,同底数幂分别相除后,作为商的因式18.计算:(14x3-21x2+7x)÷7x的结果是_________答案: 2x2-3x+1解析:解答: (14x3-21x2+7x)÷7x=14x3÷7x-21x2÷7x+7x÷7x=2x2-3x+1答案为2x2-3x+1分析: 把这个多项式的每一项分别除以单项式,再把所得的商相加减求解19.计算:(-9x2+3x)÷(-3x)_____.答案:3x-1解析:解答:(-9x2+3x)÷(-3x)=3x-1.答案为:3x-120.若一多项式除以2x2-3,得到的商式为x+4,余式为3x+2,则此多项式为________ 答案:2x3+8x2-10解析:解答: (2x2-3)(x+4)+3x+2=2x3+8x2-10答案为:6x4y分析: 由被除数=除数×商+余数,求出即可三、解答题(共5题)21.计算:(21x4y3-35x3y2+7x2y2)÷(-7x2y).答案: 解答: 原式=21x4y3÷(-7x2y)-35x3y÷(-7x2y)+7x2y2÷(-7x2y)=-3x2y2+5xy-y.分析: 根据多项式除以单项式的除法法则可解答22.若a(x m y4)3÷(3x2y n)2=4x2y2,求a、m、n的值答案: 解答: ∵a(x m y4)3÷(3x2y n)2=4x2y2,∴ax3m y12÷9x4y2n=4x2y2,∴a÷9=4,3m-4=2,12-2n=2,解得:a=36,m=2,n=5分析: 利用积的乘方的计算法则以及整式的除法运算23.计算:(8a4x3-6a3x2-4ax)÷2ax.答案:解答:(8a4x3-6a3x2-4ax)÷2ax=4a3x2-3a2x-2 分析: 直接利用多项式除以单项式运算法则24.计算:(18a3-14a2+6a)÷2a答案:解答:(18a3-14a2+6a)÷2a =9a2-7a+3分析: 根据多项式除以单项式的法则计算即可得到结果25.化简(-4a3-7a3b2+12a2b)÷(-2a)2.答案:解答:原式=(-4a3-7a3b2+12a2b)÷4a2=-a-74ab2+3b.分析: 根据整式的除法法则先把多项式的每一项都分别除以这个单项式,然后再把所得的商相加即可.。
绝密★启用前多项式除以单项式测试时间:20分钟一、选择题1.长方形的面积为4a2-6ab+2a,若它的一边长为2a,则它的周长为( )A.4a-3bB.8a-6bC.4a-3b+1D.8a-6b+22.计算(-8m4n+12m3n2-4m2n3)÷(-4m2n)的结果是( )A.2m2n-3mn+n2B.2n2-3mn2+nC.2m2-3mn+n2D.2m2-3mn+n3.当a=34时,代数式(28a3-28a2+7a)÷(7a)的值是( )A.254B.14C.-94D.-4二、填空题4.计算:(6x2-12x)÷(3x)=.5.计算:-a2(a-a3b2)÷a3= .三、解答题6.计算:(1)(9a2b-6ab2)÷(3ab);(2)(12a4-4a3)÷(2a)2;(3)(27x3-18x2+3x)÷(-3x);(4)(0.3a2b-13a3b2-16a4b3)÷(-0.5a2b).7.计算:[(2a-b)2-(2a+b)(2a-b)-6b]÷(2b).8.(2018广东佛山江义初中联考)先化简,再求值:[(x-y)(x+3y)-(x-2y)(x+2y)]÷(2y),其中x=1,y=-2.9.先化简,再求值:[(4a-b)2-(2a+b)(b-2a)]÷(4a),其中a=-12,b=2.10.(2015湖北随州中考)先化简,再求值:(2+a)(2-a)+a(a-5b)+3a5b3÷(-a2b)2,其中ab=-1211.先化简,再求值:(x+2y)(x-2y)+(9x3y-12xy3+3xy2)÷(-3xy),其中x=1,y=-2. 参考答案一、选择题1.答案D长方形的一边长为2a,则其邻边长是(4a2-6ab+2a)÷(2a)=2a-3b+1,所以周长是2[(2a-3b+1)+2a]=8a-6b+2.故选D.2.答案 C (-8m4n+12m3n2-4m2n3)÷(-4m2n)=-8m4n÷(-4m2n)+12m3n2÷(-4m2n)-4m2n3÷(-4m2n)=2m2-3mn+n2.故选C.3.答案B(28a3-28a2+7a)÷(7a)=28a3÷(7a)-28a2÷(7a)+7a÷(7a)=4a2-4a+1,当a=34时,原式=4×(34)2-4×34+1=14.故选B.二、填空题4.答案2x-4解析(6x2-12x)÷(3x)=6x2÷(3x)-12x÷(3x)=2x-4.5.答案-1+a2b2解析-a2(a-a3b2)÷a3=(-a3+a5b2)÷a3=-1+a2b2.三、解答题6.解析(1)原式=9a2b÷(3ab)-6ab2÷(3ab)=3a-2b.(2)原式=(12a4-4a3)÷(4a2)=12a4÷(4a2)-4a3÷(4a2)=3a2-a.(3)原式=27x3÷(-3x)+(-18x2)÷(-3x)+3x÷(-3x)=-9x2+6x-1.(4)原式=(0.3a2b)÷(-0.5a2b)-13a3b2÷(-0.5a2b)-16a4b3÷(-0.5a2b)=-35+23ab+13a2b2.7.解析原式=[4a2+b2-4ab-(4a2-b2)-6b]÷(2b)=(4a2+b2-4ab-4a2+b2-6b)÷(2b)=(2b2-4ab-6b)÷(2b)=b-2a-3.8.解析原式=[x2+2xy-3y2-(x2-4y2)]÷(2y)=(2xy+y2)÷(2y)=x+12y.当x=1,y=-2时,原式=1+12×(-2)=0.9.解析原式=[16a2-8ab+b2-(b2-4a2)]÷(4a)=(20a2-8ab)÷(4a)=5a-2b.当a=-12,b=2时,原式=5×(-12)-2×2=-52-4=-132.横线以内不许答题10.解析 原式=4-a 2+a 2-5ab+3ab=4-2ab. 当ab=-12时,原式=4-2×(-12)=5.11.解析 (x+2y)(x-2y)+(9x 3y-12xy 3+3xy 2)÷(-3xy)=x 2-4y 2-3x 2+4y 2-y=-2x 2-y, 当x=1,y=-2时,原式=-2×12-(-2)=0.。
1 / 4《多项式除以单项式》典型例题例1 计算:(1)2234993436x x x x ÷⎪⎭⎫ ⎝⎛++-;(2)()233454235.0612125.0b a b a a a b a -÷⎪⎭⎫ ⎝⎛--.例2 计算:(1)()1213963-++÷-+n n n n a a a a ;(2)()()()[]()[]334532b a a b a b a b a +÷--++-+.例3 (1)已知一多项式与单项式457y x -的积为()3235675272821y x y y x y x +-,求这个多项式.(2)已知一多项除以多项式342-+a a 所得的商是12+a ,余式是82+a ,求这个多项式.例4 ()()()2232232521525b a b ab a a ab -⨯⎥⎦⎤⎢⎣⎡⋅-⋅-. 例5 计算题:(1)x x x x 4)4816(34÷--; (2))4()7124(22323a b a b a a -÷-+-;(3)1214)1284(-++÷-+m m m m a a a a .例6 化简:(1)x x x y y y x 2]8)4()2[(2÷-+-+;(2))41()4()412)(124(43362x x x x x x -÷-+++-例7 计算)].(31[)](32)(2)[(23q p q p q p q p +÷+-+-+参考答案例 1 分析:此题应先利用法则把多项式除以单项式的运算转化为单项式除以单项式的运算,进而求出最后的结果.解:(1)原式()22232499934936x x x x x x ++÷+÷-= 127442++-=x x (2)原式 ()()()2334235423235.0615.0215.025.0b a b a b a b a b a b a -÷⎪⎭⎫ ⎝⎛-+-÷⎪⎭⎫ ⎝⎛-+-÷= ab ab 31213++-= 21313-+=ab ab 说明:运算结果,应当按某一字母的降幂(或升幂)排列,这样对于检验运算的正确性极有好处.例2 分析:(1)题利用法则直接计算. (2)题把()b a +看作一个整体,就是多项式除以单项式.解:(1)原式11211393633--+-+÷-÷+÷=n n n n n n a a a a a aa a a 3232-+=a a a 3223-+=(2)原式=()()()[]()[]334532b a a b a b a b a +÷--++-+ ()()21232-+-+=b a b a 212323222---++=a a b ab a 例3 解:(1)所求的多项为()[]()4532356757272821y x y x y y x y x -÷+- ()()457956757562821y x y x y x y x -÷+-=343843y x xy y -+-= (2)所求多项式为()()()8212342+++-+a a a a3 / 48234682223++-++-+=a a a a a a59223++=a a说明:乘法和除法互为逆运算在多项式中经常运用。