2015-2016学年高二数学期末试卷及答案
- 格式:doc
- 大小:1.76 MB
- 文档页数:24
2015-2016学年度高二年级期末教学质量检测理科数学试卷一、选择题:本大题共10小题,每小题5分,共50分,在每小题给出的四个选项中,只有一项是符合题目要求的。
1.“0x >”是0>”成立的A .充分非必要条件B .必要非充分条件C .非充分非必要条件D .充要条件 2.抛物线24y x =的焦点坐标是A .(1,0)B .(0,1)C .1(,0)16 D .1(0,)163.与圆8)3()3(22=-+-y x 相切,且在y x 、轴上截距相等的直线有A .4条B .3条C .2条D .1条 4.设l 是直线,,αβ是两个不同的平面,则下列结论正确的是A .若l ∥α,l ∥β,则//αβB .若//l α,l ⊥β,则α⊥βC .若α⊥β,l ⊥α,则l ⊥βD .若α⊥β, //l α,则l ⊥β 5.已知命题p :∀x 1,x 2∈R ,(f (x 2)-f (x 1))(x 2-x 1)≥0,则⌝p 是A .∃x 1,x 2∈R ,(f (x 2)-f (x 1))(x 2-x 1)≤0B .∀x 1,x 2∈R ,(f (x 2)-f (x 1))(x 2-x 1)≤0C .∃x 1,x 2∈R ,(f (x 2)-f (x 1))(x 2-x 1)<0D .∀x 1,x 2∈R ,(f (x 2)-f (x 1))(x 2-x 1)<06.设(2,1,3)a x = ,(1,2,9)b y =-,若a 与b 为共线向量,则A .1x =,1y =B .12x =,12y =-C .16x =,32y =-D .16x =-,32y =7.已知椭圆2215x y m +=的离心率5e =,则m 的值为A .3B .3C D .253或38.如图,在正方体1111ABCD A BC D -中,,,M N P 分别是111,,B B B C CD 的中点,则MN 与1D P 所成角的余弦值为A. BCD .9.如图,G 是ABC ∆的重心,,,OA a OB b OC c ===,则OG =A .122333a b c ++B .221333a b c ++C .222333a b c ++D .111333a b c ++10.下列各数中,最小的数是A .75B .)6(210 C .)2(111111 D .)9(8511.已知双曲线22214x yb-=的右焦点与抛物线y 2=12x 的焦 点重合,则该双曲线的焦点到其渐近线的距离等于 A . B C .3 D .512、在如图所示的算法流程图中,输出S 的值为 A 、 11 B 、12 C 、1 D 、15二、填空题:本大题共4小题,每小题5分,满分20分13.若直线x +a y+2=0和2x+3y+1=0互相垂直,则a = 14.若一个圆锥的侧面展开图是面积为π2的半圆面,则该圆锥的体积为 。
南京市2015-2016学年度第一学期高二期末调研数学卷2016.01一、填空题:本大题共14小题,每小题3分,共42分.1.命题:“ x ∈Q ,x 2-8=0”的否定是▲.2.在平面直角坐标系xOy 中,若抛物线y 2=2px 经过点(4,2),则实数p =▲.3.在平面直角坐标系xOy 中,圆x 2+y 2-6x +8y +21=0的半径为▲.4.在平面直角坐标系xOy 中,双曲线x 2-y 2=1的渐近线方程是▲.5.已知p :0<m <1,q :椭圆x 2m +y 2=1的焦点在y 轴上,则p 是q 的▲条件(用“充分不必要”,“必要不充分”,“充要”或“既不充分也不必要”填空).6.函数f (x )=x +sin x 的图象在点O (0,0)处的切线方程是▲.7.已知实数x ,y≥1,≥0,+y ≤2,则z =x -2y 的最大值是▲.8.如图,在平面直角坐标系xOy 中,以正方形ABCD 的两个顶点A ,B 为焦点,且过点C 、D 的双曲线的离心率是▲.9.函数f (x )=xex (e 为自然对数的底数)的最大值是▲.10.在平面直角坐标系xOy 中,已知点O (0,0),A (3,0),动点P 满足2PO =PA ,则点P的轨迹方程是▲.11.在平面直角坐标系xOy 中,已知抛物线y 2=4x 上一点P 到点A (3,0)的距离等于它到准线的距离,则PA =▲.12.如图,在平面直角坐标系xOy 中,直线y =3x ,y =0,x =t (t >0)围成的△OAB 的面积为S (t ),则S (t )在t =2时的瞬时变化率是▲.13.在平面直角坐标系xOy 中,已知直线l :x +y +m =0和圆M :x 2+y 2=9.若圆M 上存在点P ,使得P 到直线l 的距离为2,则实数m 的取值范围是▲.14.已知函数y =x 3-3x 在区间[a ,a +1](a ≥0)上的最大值与最小值的差为2,则满足条件的实数a 的所有值是▲.xO y A B CD(第8题)二、解答题:本大题共6小题,共计58分.15.(本题满分8分)在平面直角坐标系xOy中,已知椭圆C过点(0,2),其焦点为F1(-5,0),F2(5,0).(1)求椭圆C的标准方程;(2)已知点P在椭圆C上,且PF1=4,求△PF1F2的面积.16.(本题满分10分)已知集合A={x|1<x<3},集合B={x|x2-ax<0}.(1)若a=2,求A∩B;(2)若“x∈A”是“x∈B”的充分条件,求实数a的取值范围.在平面直角坐标系xOy 中,已知圆M 经过点A (1,0),B (3,0),C (0,1).(1)求圆M 的方程;(2)若直线l :mx -2y -(2m +1)=0与圆M 交于点P ,Q ,且MP →·MQ →=0,求实数m 的值.18.(本题满分10分)A 、B 两地相距300km ,汽车从A 地以v km/h 的速度匀速行驶到B 地(速度不超过60km/h ).已知汽车每小时...的运输成本由固定成本和可变成本组成,固定成本为250元,可变成本(单位:元)与速度v 的立方成正比,比例系数为11000.设全程的运输成本为y 元.(1)求y 关于v 的函数关系;(2)为使全程运输成本最小,汽车应以多大速度行驶?已知函数f(x)=ln x.(1)若直线y=2x+p(p∈R)是函数y=f(x)图象的一条切线,求实数p的值.(2)若函数g(x)=x-mx-2f(x)(m∈R)有两个极值点,求实数m的取值范围.在平面直角坐标系xOy中,已知椭圆C:x2m+8+y2m=1(m>0)的离心率为63.(1)求m的值;(2)设点A为椭圆C的上顶点,问是否存在椭圆C的一条弦AB,使直线AB与圆(x-1)2+y2=r2(r>0)相切,且切点P恰好为线段AB的中点?若存在,求满足条件的所有直线AB的方程和对应的r的值;若不存在,说明理由.南京市2015-2016学年度第一学期高二期末调研数学参考答案及评分标准一、填空题(本大题共14小题,每小题3分,共42分)1.∀x ∈Q ,x 2-8≠02.123.24.y =±x 5.充要6.y =2x7.28.2+19.1e10.x 2+y 2+2x -3=011.312.2313.[-52,52]14.0和3-1二、解答题(本大题共6小题,共58分.解答应写出文字说明、证明过程或演算步骤)15.解(1)由题意可知,c =5,b =2,所以a 2=b 2+c 2=9,……………………2分所以椭圆C 的标准方程为x 29+y 24=1.……………………4分(2)方法(一)由(1)可知,F 1F 2=25,PF 1+PF 2=6,又PF 1=4,所以PF 2=2,…………………6分所以PF 12+PF 22=F 1F 22,所以PF 1⊥PF 2,所以△PF 1F 2的面积为12×PF 1·PF 2=4.……………………8分方法(二)由(1)可知e =53,设P (x 0,y 0),因为PF 1=4,所以3+53x 0=4,解得x 0=35,…………………6分代入方程得15+y 024=1,解得|y 0|=45,所以△PF 1F 2的面积为12×25×45=4.……………………8分16.解(1)当a =2时,B ={x |0<x <2}.………………………3分所以A ∩B ={x |1<x <2}.………………………5分(2)a =0时,B =∅,a <0时,B ={x |a <x <0},a >0时,B ={x |0<x <a }.…………7分因为“x ∈A ”是“x ∈B ”的充分条件,所以A ⊆B ,所以a ≥3,即实数a 的取值范围为[3,+∞).……………………10分17.解(1)方法(一)设圆M的方程为x2+y2+Dx+Ey+F=0,+F+1=0,D+F+9=0,+F+1=0,…………………………2分=-4,=-4,=3.所以圆M的方程x2+y2-4x-4y+3=0.……………………4分方法(二)线段AC的垂直平分线的方程为y=x,线段AB的垂直平分线的方程为x=2,=x,=2,解得M(2,2).……………………2分所以圆M的半径r=AM=5,所以圆M的方程为(x-2)2+(y-2)2=5.……………………4分(2)因为·=0,所以∠PMQ=π2.又由(1)得MP=MQ=r=5,所以点M到直线l的距离d=102.………………………8分由点到直线的距离公式可知,|2m-4-2m-1|m2+4=102,解得m=±6.………………………10分18.解(1)由题意知y=(v31000+250)×300v=300(v21000+250v)(0<v≤60).……………………4分(2)设f(v)=v21000+250v,v>0,则f′(v)=v500-250v2,由f′(v)=0得,v=50,……………………6分当0<v<50时,f′(v)<0,当50<v<60时,f′(v)>0,…………………8分所以v=50时,f(v)取得最小值,即y取得最小值.答:为使全程运输成本最小,汽车应以50km/h速度行驶.………………10分19.解(1)方法(一)由题意知f ′(x )=1x.设切点的坐标为(x 0,ln x 0),则1x 0=2,解得x 0=12,所以切点的坐标为(12,-ln2),代入直线y =2x +p ,解得p =-1-ln2.……………………4分方法(二)f ′(x )=1x,设切点的坐标为(x 0,ln x 0),则切线的方程为y -ln x 0=1x 0(x -x 0),即y =1x 0·x +ln x 0-1,又切线方程为y =2x +p ,2,ln x 0-1,解得p =-1-ln2.…………………4分(2)函数g (x )的定义域为(0,+∞),且g ′(x )=1+m x 2-2x =x 2-2x +mx 2.………………6分由题意可知,关于x 的方程x 2-2x +m =0有两个不相等的正根x 1,x 2,…………………8分>0,4-4m >0,解得0<m <1.即实数m 的取值范围是(0,1).…………………10分20.解(1)由题意a 2=m +8,b 2=m ,所以c 2=a 2-b 2=8.又椭圆的离心率为63,所以8m +8=23,解得m =4.…………………3分(2)由(1)知椭圆C 的方程为x 212+y 24=1,所以A (0,2).假设存在椭圆C 的一条弦AB 满足条件.方法(一)当AB 斜率不存在时,AB 的方程为x =0,显然符合题意,此时P (0,0),r =1.……………………4分当AB 斜率存在时,设直线AB 的方程为y =kx +2,P (x 0,y 0),x 2+3y 2=12,y =kx +2,消去y ,整理得,(1+3k 2)x 2+12kx =0,解得x =0或x =-12k1+3k 2,……………………6分所以x 0=-6k1+3k 2,y 0=21+3k2.由21+3k 2-0-6k 1+3k 2-1×k =-1,得3k 2+4k +1=0,解得k =-1或k =-13.………………………9分所以直线AB :y =-x +2,r =22,或直线AB :y =-13x +2,r =102.综上,存在这样的弦AB .直线AB :x =0,r =1;直线AB :y =-x +2,r =22;直线AB :y =-13x +2,r =102.……………………10分方法(二)设P (x 0,y 0),则B (2x 0,2y 0-2).因为B 在椭圆C 上,所以(2x 0)2+3(2y 0-2)2=12,即x 20+3(y 0-1)2=3,所以x 20+3y 20-6y 0=0.①……………………5分设M (1,0),则MP ⊥AB ,所以·=0,即2x 0(x 0-1)+(2y 0-4)y 0=0,x 20+y 20-x 0-2y 0=0.②…………………7分0=0,0=0,0=0,0=2,(舍)0=32,0=32,0=32,0=12.当点P 为(0,0)时,直线AB 方程为x =0,r =1;当点P 为(32,32)时,直线AB 方程为y =-13x +2,r =102.当点P 为(32,12)时,直线AB 方程为y =-x +2,r =22.综上,存在这样的弦AB .直线AB :x =0,r =1;直线AB :y =-x +2,r =22;直线AB :y =-13x +2,r =102.……………………………10分。
2015-2016学年度 第一学期期末质量监测高二数学(理科)试卷一、选择题:本大题供8小题,每小题5分,供40分,在每小题给出的四个选项中,只有一项是符合题目要求的.1. 直线023=+-y x 的倾斜角是A.6π B.3π C.23π D.56π 2. 直线l 过点(2,2)P -,且与直线032=-+y x 垂直,则直线l 的方程为 A. 220x y +-= B. 260x y --=C. 260x y --=D. 250x y -+=3. 一个几何体的三视图如图所示,如果该几何体的侧面面积为π12, 则该几何体的体积是A. π4B. 12πC. 16πD. 48π 4. 在空间中,下列命题正确的是 A. 如果直线m ∥平面α,直线α⊂n 内,那么m ∥n ;B. 如果平面α内的两条直线都平行于平面β,那么平面α∥平面βC. 如果平面α外的一条直线m 垂直于平面α内的两条相交直线,那么m α⊥D. 如果平面α⊥平面β,任取直线m α⊂,那么必有m β⊥5. 如果直线013=-+y ax 与直线01)21(=++-ay x a 平行.那么a 等于A. -1B.31 C. 3 D. -1或316. 方程)0(0222≠=++a y ax x 表示的圆A. 关于x 轴对称B. 关于y 轴对称C. 关于直线x y =轴对称D. 关于直线x y -=轴对称7. 如图,正方体1111ABCD A BC D -中,点E ,F 分别是1AA ,AD 的中点,则1CD 与EF 所成角为A. 0︒B. 45︒C. 60︒D. 90︒8. 如果过点M (-2,0)的直线l 与椭圆1222=+y x 有公共点,那么直线l 的斜率k 的取值范围是A.]22,(--∞ B.),22[+∞ C.]21,21[-D. ]22,22[-二、填空题:本大题共6小题,每小题5分,共30分.9. 已知双曲线的标准方程为116422=-y x ,则该双曲线的焦点坐标为,_________________渐近线方程为_________________.10. 已知向量)1,3,2(-=a,)2,,5(--=y b 且a b ⊥ ,则y =________.11. 已知点),2,(n m A -,点)24,6,5(-B 和向量(3,4,12)a =-且AB ∥a .则点A 的坐标为________.12. 直线0632=++y x 与坐标轴所围成的三角形的面积为________. 13. 抛物线x y 82-=上到焦点距离等于6的点的坐标是_________________.14. 已知点)0,2(A ,点)3,0(B ,点C 在圆122=+y x 上,当ABC ∆的面积最小时,点C 的坐标为________.三、解答题:本大题共6小题,共80分,解答应写出文字说明,演算步骤或证明过程.15. (本小题共13分)如图,在三棱锥A BCD -中,AB ⊥平面BCD ,BC CD ⊥,E ,F ,G 分别是AC ,AD ,BC 的中点. 求证:(I )AB ∥平面EFG ;(II )平面⊥EFG 平面ABC .16. (本小题共13分)已知斜率为2的直线l 被圆0241422=+++y y x 所截得的弦长为求直线l 的方程.17. (本小题共14分)如图,在四棱锥P ABCD -中,平面⊥PAB 平面ABCD ,AB ∥CD ,AB AD ⊥,2CD AB =,E 为PA 的中点,M 在PD 上(点M 与D P ,两点不重合).(I ) 求证:PB AD ⊥;(II )若λ=PDPM,则当λ为何值时, 平面⊥BEM 平面PAB ?(III )在(II )的条件下,求证:PC ∥平面BEM .18. (本小题共13分)如图,在四棱锥P ABCD -中,底面ABCD 是正方形,平面PCD ⊥底面ABCD ,PD CD ⊥,PD CD =,E 为PC 的中点. (I ) 求证:AC ⊥PB ; (II ) 求二面角P --BD --E 的余弦值.19. (本小题共14分)已知斜率为1的直线l 经过抛物线22y px =(0)p >的焦点F ,且与抛物线相交于A ,B 两点,4=AB .(I ) 求p 的值;(II ) 设经过点B 和抛物线对称轴平行的直线交抛物线22y px =的准线于点D ,求证:DO A ,,三点共线(O 为坐标原点).20. (本小题共13分)已知椭圆2222:1(0)x y G a b a b +=>>的左焦点为F ,离心率为33,过点)1,0(M 且与x 轴平行的直线被椭圆G 截得的线段长为6. (I ) 求椭圆G 的方程;(II )设动点P 在椭圆G 上(P 不是顶点),若直线FP 的斜率大于2,求直线OP (O 是坐标原点)的斜率的取值范围.2015-2016学年度第一学期期末质量检测高二数学(理科)试卷参考答案2016.1一、ABB C BA CD二、9.(±52,0),2y x =±10. -411. (1,-2,0)12. 313. (-4,24±)14. (13133,13132) 说明:1.第9题,答对一个空给3分。
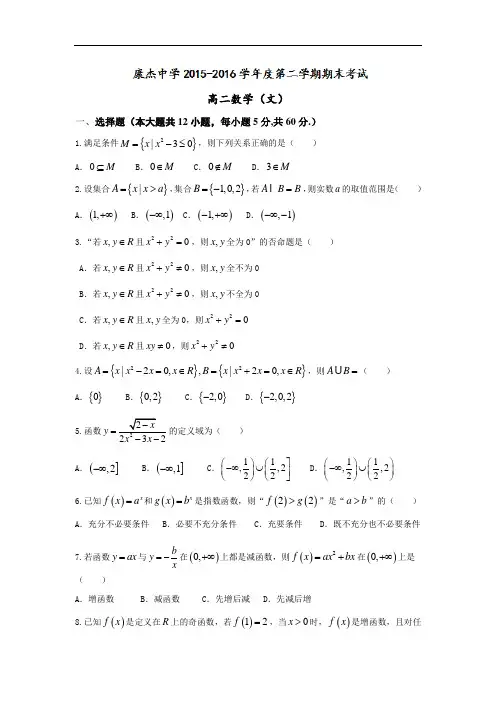
高二数学(文)一、选择题(本大题共12小题,每小题5分,共60分.)1.满足条件{}2|30M x x =-≤,则下列关系正确的是( )A .0M ⊆B .0M ∈C .0M ∉D .3M ∈2.设集合{}|A x x a =>,集合{}1,0,2B =-,若A B B =,则实数a 的取值范围是( )A .()1,+∞B .(),1-∞C .()1,-+∞D .(),1-∞-3.“若,x y R ∈且220x y +=,则,x y 全为0”的否命题是( ) A .若,x y R ∈且220x y +≠,则,x y 全不为0 B .若,x y R ∈且220x y +≠,则,x y 不全为0 C .若,x y R ∈且,x y 全为0,则220x y += D .若,x y R ∈且0xy ≠,则220x y +≠4.设{}{}22|20,,|20,A x x x x R B x x x x R =-=∈=+=∈,则A B = ( )A .{}0B .{}0,2C .{}2,0-D .{}2,0,2-5.函数y =的定义域为( ) A .(],2-∞ B .(],1-∞ C .11,,222⎛⎫⎛⎤-∞⋃ ⎪⎥⎝⎭⎝⎦ D .11,,222⎛⎫⎛⎫-∞⋃ ⎪ ⎪⎝⎭⎝⎭6.已知()x f x a =和()xg x b =是指数函数,则“()()22f g >”是“a b >”的( )A .充分不必要条件B .必要不充分条件C .充要条件D .既不充分也不必要条件7.若函数y ax =与b y x=-在()0,+∞上都是减函数,则()2f x ax bx =+在()0,+∞上是( )A .增函数B .减函数C .先增后减D .先减后增8.已知()f x 是定义在R 上的奇函数,若()12f =,当0x >时,()f x 是增函数,且对任意的,x y 都有()()()f x y f x f y +=+,则()f x 在区间[]3,2--上的最大值为( ) A .-4 B .-5 C .-6 D .-79.函数()()2,106,10x x f x f f x x -≥⎧⎪=⎨+≤⎡⎤⎪⎣⎦⎩,则()5f 值为( )A .13B .12C .11D .1010.已知()f x 是定义在R 上的偶函数,且在区间(),0-∞上单调递增,若实数a 满()(12a f f ->,则a 的取值范围是( )A .1,2⎛⎫-∞ ⎪⎝⎭B .13,,22⎛⎫⎛⎫-∞+∞ ⎪⎪⎝⎭⎝⎭ C .13,22⎛⎫ ⎪⎝⎭ D .3,2⎛⎫+∞ ⎪⎝⎭11.偶函数()f x 满足()()11f x f x -=+,且在[]0,1x ∈时,()2f x x =,则关于x 的方程()12xf x ⎛⎫= ⎪⎝⎭在[]0,4x ∈上解的个数是( )A .2B .3C .4D .512.定义在R 上的函数()f x 对任意()1212,x x x x ≠都有()()12120f x f x x x -<-,且函数()1y f x =-的图象关于()1,0成中心对称,对于24s ≤≤,总存在t 使不等式()()2222f s s f t t -≤--成立,求t 的取值范围是( )A .[]0,2 B .()0,2 C .(][),24,-∞-⋃+∞ D .[]2,4-二、填空题(本大题 共4小题,每小题5分,共20分)13.命题“1,02xx R ⎛⎫∀∈> ⎪⎝⎭”的否定是____________.14.设命题:p “若1xe >,则0x >”,命题:q “若a b >,则11a b<”,则命题“p q ∧”为_________命题. (填“真”或“假”)15.已知()221f x ax ax =++在[]2,3-上的最大值为6,则()f x 的最小值为_________.16.设()f x 是定义在R 上的函数,且对任意,x y R ∈,均有()()()2014f x y f x f y +=++成立,若函数()()20132014g x f x x =+有最大值M 和最小值m ,则M m +=___________.三、解答题 (本大题共6小题,共70分.)17.已知曲线C 的极坐标方程式2cos ρθ=,以极点为平面直角坐标系的原点,极轴为x 轴的正半轴,建立平面直角坐标系,直线L的参数方程是12x m y t⎧=+⎪⎪⎨⎪=⎪⎩,(t 为参数).(1)求曲线C 的直角坐标方程和直线L 的普通方程;(2)设点(),0P m ,若直线L 与曲线C 交于两点,A B ,且1PA PB = ,求实数m 的值.18.设集合{}{}22|320,|10A x x x B x x ax a =-+==-+-=,{}2|20C x x mx =-+=,且,A B A A C C ⋃=⋂=,求实数,a m 的取值范围.19.已知条件4:11p x ≤--,条件22:q x x a a +<-,且p 是q 的一个必要不充分条件,求实数a 的取值范围.20.已知函数()12axf x ⎛⎫= ⎪⎝⎭,a 为常数,且函数的图象过点()1,2-.(1)求a 的值; (2)若()42xg x -=-,且()()g x f x =,求满足条件的x 的值.21.已知函数()21f x ax bx =++,(,a b 为实数),x R ∈,()()(),0,0f x x F x f x x >⎧⎪=⎨-<⎪⎩.(1)若()10f -=,且函数()f x 的值域为[)0,+∞,求()F x 的解析式;(2)在(1)的条件下,当[]2,2x ∈-时,()()g x f x kx =-是单调函数,求实数k 的取值范围.22.设()f x 定义在R 上的函数,且对任意,m n 有()()()f m n f m f n += ,且当0x >时,()01f x <<.(1)求证:()01f =,且当0x <时,有()1f x >; (2)判断()f x 在R 上的单调性;(3)设集合()()()(){}22,|1A x y f x f y f => ,集合()(){},|21,B x y f ax y a R =-+=∈,若A B φ⋂=,求a 的取值范围.参考答案一、选择题1---5 BDBDC 6---10 CBACC 11---12 CD 二、填空题13. 01,02xx R ⎛⎫∃∈≤ ⎪⎝⎭14.假 15. 23或-74 16. -4028三、解答题17.解:(1)曲线C 的极坐标方程是2cos ρθ=,化为22cos ρρθ=,(2)将12x m y t ⎧=+⎪⎪⎨⎪=⎪⎩(t 为参数),代入方程:222x y x +=,化为:2220t t m m ++-=,由0∆>,解得13m -<<,∴2122t t m m =-,∵121PA PB t t == ,∴221m m -=,解得1m =0∆>,∴实数1m =.............................10分18.解: {}{}2|3201,2A x x x =-+==.∵A B A = ,∴B A ⊆,∴B 可能为∅,{}{}{}1,2,1,2, ∵()()()224120a a a ---=-≥,∴B ≠∅,又∵()()2111x ax a x x a -+-=---⎡⎤⎣⎦,∴B 中一定有1,∴11a -=或12a -=,即2a =或3a =.............................6分 经验证2,3a a ==均满足题意,又∵A C C = ,∴C A ⊆,∴C 可能为{}{}{},1,2,1,2∅. 当C =∅时,方程220x mx -+=无解,∴280m -<,∴m -<当{}1C =时,m 无解;当{}2C =时,m 也无解;当{}1,2C =时,3m =,综上所述,2a =或3,a m =-<<3m =...........................12分 19.解:由411x ≤--得:31p x -≤<, 由22x x a a +<-得()()10x a x a +--<⎡⎤⎣⎦,当12a =时,:q ∅;当12a <时,():1,q a a --;当12a >时,():,1q a a --............................6分 由题意得,p 是q 的一个必要不充分条件,当12a =时,满足条件;当12a <时,()[)1,3,1a a --⊆-得11,2a ⎡⎫∈-⎪⎢⎣⎭, 当12a >时,()[),13,1a a --⊆-得1,22a ⎛⎤∈ ⎥⎝⎦.......................10分 综上,[]1,2a ∈-.............................12分20.解:(1)由已知得122a-⎛⎫= ⎪⎝⎭,解得1a =.........................3分 (2)由(1)知()12xf x ⎛⎫= ⎪⎝⎭,又()()g x f x =,则1422xx -⎛⎫-= ⎪⎝⎭,即112042xx⎛⎫⎛⎫--= ⎪ ⎪⎝⎭⎝⎭,即2112022x x ⎡⎤⎛⎫⎛⎫--=⎢⎥ ⎪ ⎪⎝⎭⎝⎭⎢⎥⎣⎦,.........................6分 令12xt ⎛⎫= ⎪⎝⎭,则220t t --=,即()()210t t -+=,又0t >,故2t =,即122x⎛⎫= ⎪⎝⎭,解得 1x =-...................12分21.解:(1)∵()10f -=,∴10a b -+= ① 又函数()f x 的值域为[)0,+∞,所以0a ≠,由22424b a b y a x a a -⎛⎫=++ ⎪⎝⎭,知2404a b a -=,即240a b -= ② 解①②,得1,2a b ==,∴()()22211f x x x x =++=+,∴()()()221,010x x F x x x ⎧+>⎪=⎨-+<⎪⎩,................................6分 (2)由(1),得()()()()2222222121124k k g x f x kx x x kx x k x x --⎛⎫=-=++-=+-+=++-⎪⎝⎭, ∵当[]2,2x ∈-时,()()g x f x kx =-是单调函数, ∴222k -≤-或222k -≥,即2k ≤-或6k ≥, 故实数k 的取值范围为(][),26,-∞-+∞ ..............................12分 22.(1)由题意知()()()f m n f m f n += , 令1,0m n ==,则()()()110f f f = , 因为当0x >时,()01f x <<,所以()01f =, 设0,0m x n x =<=->,则()()()0f f x f x =- , 所以()()()()011f f x f x f x ==>--即当0x <时,有()1f x >...........................4分(2)设12,x x 是R 上的任意两个值,且12x x <,则()()12210,0,0f x f x x x >>->,所以()2101f x x <-<,因为()()()()()()()()()()21211121111211f x f x fxx x f x f x x f x f x f x f x x -=-+-=--=--⎡⎤⎣⎦,且()()1210,10f x f x x >--<,所以()()12110f x f x x --<⎡⎤⎣⎦,即()()210f x f x -<,即()()21f x f x <. 所以()f x 在R 上单调递减................................8分(3)因为()()()221f x f y f > ,所以()()221f x y f +>,由(2)知()f x 在R 上单调递减,则221x y +<,又()()210f ax y f -+==,所以20ax y -+=, 因为A B =∅ ,又由2212x y y ax ⎧+<⎨=+⎩得()221430a xax +++<,由题可知上式无解即()22161210a a ∆=-+≤,即23a ≤,解得:a ≤故a 的取值范围为⎡⎣.........................12分。
2015~2016学年高二期末调研测试数 学(理科) 2016.06参考公式:圆锥侧面积公式:S rl p =,其中r 是圆锥底面半径,l 是圆锥母线长.数学Ⅰ试题一、填空题:本大题共14小题,每小题5分,共计70分.请把答案填写在答题..卡相应位置.....上..1.命题“∀x ≥1,x 2≥1”的否定是 ▲ .2.已知复数2(34i)5iz +=(i 为虚数单位),则|z|= ▲ .3.四位男生一位女生站成一排,女生站中间的排法共有 ▲ 种.(用数字作答)4.双曲线2221(0)3x y a a -=>的离心率为2,则a = ▲ .5.“a =1”是“直线l 1:ax +y +1=0,l 2:(a +2)x -3y -2=0垂直”的 ▲ 条件. (填“充分不必要”“必要不充分”“充分必要”或“既不充分也不必要”)6.已知函数()e 2xf x x =+(e 是自然对数的底)在点(0,1)处的切线方程为 ▲ .7.设某批产品合格率为23,不合格率为13,现对该批产品进行测试,设第X 次首次测到正品,则P (X=3)= ▲ .8.若圆C 过两点(0,4),(4,6)A B ,且圆心C 在直线x -2y -2=0上,则圆C 的标准方程 为 ▲ . 9.若65()(1)(1)f x x x =+--的展开式为260126()f x a a x a x a x =++++,则125a a a +++的值为 ▲ .(用数字作答) 10.从0,1,2,3组成没有重复数字的三位数中任取一个数,恰好是偶数的概率为 ▲ . 11.已知点A (-3,-2)在抛物线C :x 2=2py 的准线上,过点A 的直线与抛物线C 在第二象限相切于点B ,记抛物线C 的焦点为F ,则直线BF 的斜率为 ▲ .12.假定某篮球运动员每次投篮命中率均为p (0<p <1).现有4次投篮机会,并规定连续两次投篮均不中即终止投篮.已知该运动员不放弃任何一次投篮机会,且恰用完4次投篮机会的概率是58,则p 的值为 ▲ . 13.若函数2()2e 3x f x a x =-+(a 为常数,e 是自然对数的底)恰有两个极值点,则实数a 的取值范围为 ▲ . 14.若实数a ,b满足a =a 的最大值是 ▲ .二、解答题:本大题共6小题,共90分,解答时应写出文字说明、证明过程或演算步骤. 15.(本小题满分14分)一个不透明的口袋中装有6个大小和形状都相同的小球,其中2个白球,4个黑球.(1)从中取1个小球,求取到白球的概率;(2)从中取2个小球,记取到白球的个数为X ,求X 的概率分布和数学期望. 16.(本小题满分14分)正方体ABCD -A 1B 1C 1D 1中,点F 为A 1D 的中点.(1)求证:A 1B ∥平面AFC ;(2)求证:平面A 1B 1CD ⊥平面AFC .17.(本小题满分14分)如图,某工厂根据生产需要制作一种下部是圆柱、上部是圆锥的封闭型组合体存储设备,该组合体总高度为8米,圆柱的底面半径为4米,圆柱的高不小于圆柱的底面半径.已第16题图知制作圆柱侧面和底面的造价均为每平米2百元,制作圆锥侧面的造价为每平米4百元,设制作该存储设备的总费用为y 百元.(1)按下列要求写出函数关系式:①设OO 1h =(米),将y 表示成h 的函数关系式; ②设∠SDO 1q =(rad),将y 表示成θ的函数关系式;(2)请你选用其中的一个函数关系式,求制作该存储设备总费用的最小值.18.(本小题满分16分)在直三棱柱111ABC A B C -中,90BAC ∠=︒,12AB AC AA ===,,E F 分别是11,BC A C 的中点.(1)求直线EF 与平面ABC 所成角的正弦值;(2)设D 是边11B C 上的动点,当直线BD 与EF 所成角最小时,求线段BD 的长.19.(本小题满分16分)如图,已知椭圆M :22221(0)x y a b a b+=>>的离心率为2,且过点(2,1)P .第18题图 第17题图(1)求椭圆M 的标准方程;(2)设点1122(,),(,)A x y B x y 是椭圆M 上异于顶点的任意两点,直线OA ,OB 的斜率分别为12,k k ,且1214k k =-. ①求2212x x +的值;②设点B 关于x 轴的对称点为C ,试求直线 AC 的斜率.20.(本小题满分16分)已知函数()e x f x cx c =--(c 为常数,e 是自然对数的底),()f x '是函数()y f x =的导函数.(1)求()f x 的单调区间; (2)当1c >时,试证明:①对任意的0x >,(ln )(ln )f c x f c x +>-恒成立; ②函数()y f x =有两个相异的零点.第19题图2015~2016学年苏州市高二期末调研测试数 学(理科) 2016.06数学Ⅱ试题注意事项:1.答题前务必要将选做题的前面标记框涂黑,以表示选做该题,不涂作无效答题. 2.请在答题卷上答题,在本试卷上答题无效.请从以下4组题中选做2组题,如果多做,则按所做的前两组题记分.每小题10分,共40分. A 组(选修4-1:几何证明选讲)A 1.如图,在△ABC 中,AB AC =,△ABC 的外接圆为⊙O ,D 是劣弧AC 上的一点,弦AD ,BC 的延长线交于点E ,连结BD 并延长到点F ,连结CD . (1)求证:DE 平分CDF Ð; (2)求证:2AB AD AE =?.A 2.设AD ,CF 是△ABC 的两条高,AD ,CF 交于点H , AD 的延长线交△ABC 的外接圆⊙O 于点G ,AE 是 ⊙O 的直径,求证:(1)AB AC AD AE ??; (2)DG DH =.B 组(选修4-2:矩阵与变换)B 1.已知矩阵A =2143⎡⎤⎢⎥⎣⎦,B =1101⎡⎤⎢⎥-⎣⎦.(1)求A 的逆矩阵A -1;(2)求矩阵C ,使得AC =B .B 2.已知矩阵A =111a -⎡⎤⎢⎥⎣⎦,其中a ∈R ,若点P (1,1)在矩阵A 的变换下得到点P ′(0,-3). (1)求实数a 的值;(2)求矩阵A 的特征值及特征向量.C 组(选修4-4:坐标系与参数方程)C 1.在直角坐标系xOy 中,以原点O 为极点,x 轴的非负半轴为极轴建立极坐标系.已知曲线1C 的极坐标方程为3)4pr q =-,曲线2C 的参数方程为8cos ,3sin x y q q ì=ïïíï=ïî(θ为参数).(1)将曲线1C 的极坐标方程化为直角坐标方程,将曲线2C 的参数方程化为普通方程;(2)若P 为曲线2C 上的动点,求点P 到直线:l 32,(2x t t y t ì=+ïïíï=-+ïî为参数)的距离的最大值.C 2.在平面直角坐标系xOy 中,曲线1C 的参数方程为1cos ,sin x y αα=+⎧⎨=⎩(α为参数);在以原点O 为极点,x 轴的非负半轴为极轴的极坐标系中,曲线2C 的极坐标方程为2cos sin ρθθ=.(1)求曲线1C 的极坐标方程和曲线2C 的直角坐标方程;(2)若射线l :y kx =(0)x ≥与曲线1C ,2C 的交点分别为,A B (,A B 异于原点),当斜率k ∈时,求OA OB ⋅的取值范围.D 组(选修4-5:不等式选讲)D 1.已知关于x 的不等式111ax a x ≥-+-(0a >). (1)当1a =时,求此不等式的解集;(2)若此不等式的解集为R ,求实数a 的取值范围.D 2.已知a ,b ,c 均为正数,求证:(1)114a b a b ++≥;(2)111111222a b c a b b c c a +++++++≥.2015~2016学年高二期末调研测试理科数学参考答案一、填空题1.∃x ≥1,x 2<1 2.5 3.24 4.1 5.充分不必要 6.310x y -+= 7.2278.22(4)(1)25x y -+-= 9.61 10.59 11.34- 12.1213.1(0,)e14.20 二、解答题15.解:(1)记从中取一个小球,取到白球为事件A ,………………………………2分1216C 1()3C P A ==.………………………………………………………………4分所以中取一个小球,取到白球的概率13.……………………………………5分(2)X 的取值为0,1,2 .…………………………………………………6分2426C 2(0)5C P X ===,112426C C 8(1)15C P X ===,2226C 1(2)15C P X === 所以………………………………………………………………12分数学期望2812()012515153E X =⨯+⨯+⨯=.……………………………………14分16.证明:(1)连接BD 交AC 于点O ,连接FO ,则点O 是BD 的中点.∵点F 为A 1D 的中点,∴A 1B ∥FO . ………………………3分 又1A B ⊄平面AFC ,FO ⊂平面AFC ,A 1B ∥平面AFC . …………………………7分(2)在正方体ABCD -A 1B 1C 1D 1中,∵CD ⊥平面A 1ADD 1,AF ⊂平面A 1ADD 1,∴CD ⊥AF . …………………………10分 又∵AF ⊥A 1D ,∴AF ⊥平面A 1B 1CD . ………………………12分 又AF ⊂面AFC ,∴平面A 1B 1CD ⊥平面AFC . ………………………14分17.解:(1)① S 圆柱侧=2πrh =8πh ,S 圆锥侧=πrl=4 ……………………2分y =2S 底面+ 2S 圆柱侧+4 S 圆锥侧=32π+16πh+16 = 32π+16(h p ,(48h ≤<);………………………4分 (注:定义域不写扣1分) ② 4=cos SD θ,=84tan h θ-. y =2S 底面+ 2S 圆柱侧+4 S 圆锥侧=32π+24(84tan )2θ⨯⨯-⨯p +444cos p θ⨯⨯⨯=32π+64(2tan )p θ-+64cos p θ=160π+64π1sin cos θθ-(04p≤θ<). ………………………6分(注:定义域不写扣1分) (2)选方案①由(1)知y =32π+16(h p ,(48h ≤<).BCOADB 1C 1D 1A 1F设8h t -=,则y = 32π+16(8t p -=32π+16(8p , …………9分y =32π+16(8p 在(04],上单调递减,………………………11分所以,当4t =时,y 取到最小值(96p +.………………………13分选方案②由(1)知y=160π+64π1sin cos θθ-(04p≤θ<), 设1sin ()cos θϕθθ-=,2sin 1'()cos θϕθθ-=,………………………8分因为,04p≤θ<,所以,'()0ϕθ<, 所以,()ϕθ在(0,]4p上单调递减,………………………11分所以,当4pθ=时,y 取到最小值(96p +. ………………………13分答:制作该存储设备总费用的最小值为(96p +百元. ……………………14分18.解:如图所示,以{1,,AB AC AA }为正交基底建立空间直角坐标系A xyz -.则1(2,0,0),(0,2,0),(0,0,2),(1,1,0),(0,1,2)B C A E F ,(1)所以(1,0,2)EF =-,………………………2分平面ABC 的一个法向量为1(0,0,2)AA =,………………………4分设直线EF 与平面ABC 所成角为α,则1sin cos ,|α=|EF AA <>=11||2||||EF AA EF AA ⋅=⋅. ………………………7分(2)法一 因为D 在11B C 上,设(,2,2)D x x -,(2,2,2)BD x x =-- 所以|||1B DBBD⋅<>==, 设6t x =-因为[0,2],x ∈所以[4,6]t ∈, |c o s ,8)B D E F <>==.当129t =即9[4,6]2t =∈时取等号. …………………………12分此时|cos ,|BD EF <>最大,所以BD 与EF 所成角最小. 此时32x =.…………………………14分所以11(,,2)22BD =-,所以232()22BD ==. ………………………16分 法二 设111(2,2,0)B D λB C λλ==-,11(2,2,2)BD BB B D λλ=+=-,其中01λ≤≤,(第18题图)|||c o s ,|||||1B D E F B D E F B D E F ⋅<>==…………………………………9分设2[2,3]λt +=∈ |co s ,BD EF<>==. …………………………12分当9[2,3]4t =∈时取等号,此时|cos ,|BD EF <>最大,所以BD 与EF 所成角最小.所以124λ=t -=,所以11(2,2,2)(,,2)22BD λλ=-=-,BD ==.……………………………………………16分19.解(1)由题意c a =,所以2222222314c a b b a a a -==-=,即224a b =, 所以椭圆M 的方程为22244x y b +=,………………………2分又因为椭圆M 过点(2,1)P ,所以2444b +=,即222,8b a ==.所以所求椭圆M 的标准方程为22182x y +=.………………………4分(2)①设直线OA 的方程为1y k x =,2211,82,x y y k x ⎧+=⎪⎨⎪=⎩ 化简得221(14)8k x +=,解得2121814x k =+,………………………6分 因为1214k k =-,故2114k k =-,同理可得222112222211218163288114164141416k k x k k k k ⨯====++++⨯,………………………8分所以22221112222111328(14)88141414k k x x k k k ++=+==+++.………………………10分②由题意,点B 关于x 轴的对称点为C 的坐标为22(,)x y -, 又点1122(,),(,)A x y B x y 是椭圆M 上异于顶点的任意两点,所以2222112248,48y x y x =-=-,故222212124()16()1688y y x x +=-+=-=,即22122y y +=.………………………12分设直线AC 的斜率为k ,则1212y y k x x +=-, 因为1214k k =-,即121214y y x x =-,故12124x x y y =-,所以222121212122212121212222221282884y y y y y y y y k x x x x x x y y ++++====+--+, ………………………15分 所以直线AC 的斜率为k 为常数,即12k =或12k =-. ………………………16分20.解:(1)()e x f x c '=-,若0c ≤,则()e 0x f x c '=->恒成立,此时函数()f x 的增区间为(,)-??; …………………………2分若0c >,令()0f x '=,得ln x c =,…………………………3分…………………………5分 (2)①令()(ln )(ln )(e e )2x x g x f c x f c x c cx -=+--=--. ………………………6分则()(e e )2220x x g x c c c c ≥-'=+--=,且()0g x '=仅在0x =时成立,所以()g x 在R上单调递增.……………8分所以当0x >时,()(0)0g x g >=,即(l n f c x f c x +>-. …………………9分②因为1c >,所以(ln )f c =ln 0c c -<. ………………………………………11分而1(1)e 0f --=>,所以(ln )(1)0f c f ⋅-<,所以()f x 在(1,ln )c -内存在一个零点,……………………………13分取2(2ln 1)e 2ln 2(e 2ln 2)f c c c c c c c c +=--=--(1c >), 设()e 2ln 2c c c ϕ=--(1c >),2()e 0c cϕ'=->, 所以()c ϕ在(1,)+∞上单调递增,所以()(1)e 20c ϕϕ>=->. 从而(2ln 1)()0f c c c ϕ+=⋅>,所以(l n )(2l n f c f c ⋅+<,所以()f x 在(ln ,2ln 1)c c +内存在一个零点. ……………16分(注:也可以取(2)f c 等.)19题第2问另解:(2)111y k x =, 222y k x =,由1214k k =-得12124x x y y =-①, 1122(,),(,)A x y B x y 在椭圆22182x y +=上,所以有22112(1)8x y =-、22222(1)8x y =-, 222222212121212()4(1)(1)4(1)88864x x x x x x y y +⋅∴=--=-+②,①代入②得22128x x +=.2015~2016学年苏州市高二期末调研测试理科数学(附加题)参考答案A 组(选修4-1:几何证明选讲)A1 证明:(1)因为四边形ABCD 内接于圆O , 所以∠CDE =∠ABC .…………………………2分由AB =AC 得∠ACB =∠ABC . 所以∠CDE =∠ACB .又∠ACB与∠ADB是同弧所以的圆周角;所以∠ACB=∠ADB.所以∠CDE=∠ADB. (4)分又∠ADB=∠FDE,所以∠CDE=∠FDE,即DE平分CDFÐ.…………………………5分(2)由(1)∠ADB=∠ACB=∠ABC,在△ABD和△AEB中,因为∠ADB=∠ABC,∠BAD=∠EAB,所以△ABD∽△AEB,…………………………8分所以AB AEAD AB=,即2AB AD AE=?.…………………………10分A2 证明:(1)连结BE,因为∠E,∠ACB是同弧所对的圆周角,所以∠E=∠ACB,…………………………2分又AE是圆O的直径,所以∠ABE=π2,…………………………3分在Rt△ABE和Rt△ADC中,∠E=∠ACB,∠ABE=∠AD C=π2,所以Rt△ABE∽Rt△ADC,…………………………4分所以AB AEAD AC=,即AB AC AD AE??.…………………………5分(2)连结CG,则∠CGD=∠ABC,…………………………6分在四边形BDHF中,因为∠BDH=∠BFH=π2,∠AHF是四边形BDHF的一个外角,所以∠ABC=∠AHF,又∠AHF=∠CHD,所以∠CHD=∠CGD.…………………………7分所以Rt△CDH≌Rt△CDG,…………………………9分又CD =CD , 所以DH =DG .…………………………10分B 组(选修4-2:矩阵与变换)B1解(1)因为|A |=2×3-1×4=2,…………………………2分所以A -1=31224222⎡⎤-⎢⎥⎢⎥⎢⎥-⎢⎥⎣⎦=312221⎡⎤-⎢⎥⎢⎥-⎣⎦. (5)分(2)由AC =B 得(A -1A )C =A -1B ,…………………………7分故C =A -1B =312221⎡⎤-⎢⎥⎢⎥-⎣⎦1101⎡⎤⎢⎥-⎣⎦=32223⎡⎤⎢⎥⎢⎥--⎣⎦.…………………………10分B2解:(1)由题意得111a -⎡⎤⎢⎥⎣⎦11⎡⎤⎢⎥⎣⎦=03⎡⎤⎢⎥-⎣⎦,…………………………2分所以a +1=-3,所以a =-4.…………………………5分(2)由(1)知A =1141-⎡⎤⎢⎥-⎣⎦,令f (λ)=⎪⎪⎪⎪⎪⎪λ-1 1 4 λ-1=(λ-1)2-4=0. (3)分解得A 的特征值为λ=-1或3.…………………………6分当λ=-1时,由20,420x y x y -+=⎧⎨-=⎩得矩阵A 的属于特征值-1的一个特征向量为12⎡⎤⎢⎥⎣⎦,…………………………8分当λ=3时,由20,420x y x y +=⎧⎨+=⎩得矩阵A 的属于特征值3的一个特征向量为12⎡⎤⎢⎥-⎣⎦.…………………………10分C 组(选修4-4:坐标系与参数方程)C1解:(1)由3()4pr q =-,得8c o s 8s i n r q q =-+,………………2分所以28cos 8sin r r q r q =-+,…………………………3分故曲线1C 的直角坐标方程为2288x y x y +=-+,即22(4)(4)32x y ++-=, 由8cos ,3sin x y q qì=ïïíï=ïî消去参数q得2C 的普通方程为221649x y +=. …………………………5分 (2)设(8c o s ,3s i n )P q q ,直线l 的普通方程为270x y --=, ………………………6分故点P 到直线l 的距离为)7d q j =+-(其中43cos ,sin 55j j ==), …………………………8分因此m a x 155d =,故点P 到直线l 的距离的最大值为5.………………………10分C2 (1)由1cos ,sin ,x y αα=+⎧⎨=⎩得22(1)1x y -+=,即2220x y x +-=, …………………1分所以1C 的极坐标方程为2cos ρθ=. …………………………3分由2cos sin ρθθ=得22cos sin ρθρθ=,所以曲线2C 的直角坐标方程为2x y =.…………………………5分(2)设射线l :y kx =(0)x ≥的倾斜角为α,则射线的极坐标方程为θα=,且tan k α=∈,联立2cos ,ρθθα=⎧⎨=⎩得12cos OA ρα==,…………………………7分联立2cos sin ,ρθθθα⎧=⎨=⎩得22sin cos OB αρα==,…………………………9分所以122sin 2cos 2tan 2cos OA OB k αρρααα⋅=⋅=⋅==∈, ………………10分D 组(选修4-5:不等式选讲)D1 解:(1)当1a=时,原不等式为211x ≥-,……………………………2分所以112x -≥或112x --≤, 故不等式解集为13{|}22x x x ≤或≥.……………………………5分(2)因为0a >,所以原不等式可转化为111x x a a≥-+-, 因为1111x x a a-+--≥,……………………………8分所以只需111a a≥-, 解得2a ≥.……………………………10分D2 证明:(1)因为11()224b a a b a b a b 骣琪+?=+++琪桫≥,………………………3分所以114a b a b++≥.……………………………4分当且仅当b aa b=时,取“=”,即a b=时取“=”.……………………………5分(2)由(1)11144a b a b++≥,11144b c b c++≥,11144c a c a++≥,……………………8分三式相加得:111111 222a b c a b b c c a+++++++≥,……………………………9分当且仅当a b c==时取“=”.……………………………10分。
2015-2016学年第一学期宝安区期末调研测试卷高二理科数学2016.1本试卷共6页,22小题,满分150分•考试用时120分钟.注意事项:1 •答卷前,考生首先检查答题卡是否整洁无缺损,监考教师分发的考生信息条形码是否正确;之后务必用 0.5毫米黑色字迹的签字笔在答题卡指定位置填写自 己的学校、姓名和考生号,同时,将监考教师发放的条形码正向准确粘贴在答 题卡的贴条形码区,请保持条形码整洁、不污损2 •选择题每小题选出答案后,用 2B 铅笔把答题卡上对应题目的答案标号涂黑,如需改动,用橡皮擦干净后,再选涂其它答案,答案不能答在试卷上.不按要求 填涂的,答案无效.3 .非选择题必须用 0.5毫米黑色字迹的签字笔作答,答案必须写在答题卡各题目指定区域内相应位置上,请注意每题答题空间,预先合理安排;如需改动,先 划掉原来的答案,然后再写上新的答案; 不准使用铅笔和涂改液.不按以上要求 作答无效. 4 •作答选做题时,请先用2B 铅笔填涂选做题的题号对应的信息点,再做答.漏涂、错涂、多涂的答案无效.一、选择题:本大题共 12小题,每小题5分,满分 60分.在每小题给出的四个选项中,只有一项是符合题目要求的.1 .不等式X 2-2x -5 - 2x 的解集是()A .| x 亠 5或 x _ -1 匚B .^x | x 5或 x ::: -1C . :x|-1 :: x ::5;—&—¥■—FD—►.| - 仁 x 二 5』 2.已知向量a =(-1,0,2),b = (1,1,0),且a kb 与2b -a 相互垂直,则k 值为( )2 24.若方程E :-上 y 1表示焦点在y 轴上的双曲线,则实数m 的取值范围为1 -m m -2() A . 1,2 B .:,1) (2, :: C . (-::,2) D . (1,::)5.在=ABC 中,a = 2、3,b= 2、2,B = 45,则角 A 等于()7 3 A .B .-553.“ x 2 = y 2”是“ x = y ”的()A .充分不必要条件C .必要不充分条件C .丄D . 15B .充分必要条件D .既不充分也不必要条件A. 30 B . 60 C . 60 或120 D . 30 或1506•已知-14盘,8成等差数列,—1,b ib ,b 3,-4成等比数列,那么 岂空 的值为( )b 255A • 5B • -5C •D •-227.若动点M(x, y)始终满足关系式.x 2 (y 2)^ . x 2 (y-2)2=8,则动点M 的轨迹方程为()2 2 2 2 2 2 2 2xy, xy, xy, xy,A •1 B •1 C •1 D • 116 12 12 16 12 16 16 128 •已知等差数列:a n [的前n 项和S n ,且满足S n 1 =n 2 -n -2,则a ^:()A • 4B • 2C • 0D • -2x - y _ 09•已知x, y 满足约束条件《x + yE2,若z = x + ay 的最大值为4,则a=()、y 兰0A • 3B • 2C • -2D • -310 •在 ABC 中,a =2,c =1,则角C 的取值范围是()(八31A •陀丿B • —,—<6 3 .丿C •—,— 丨 <6 2丿D • (0,611 •已知直线l :^kx 2k 1与抛物线C : y 2 = 4x ,若I 与C 有且仅有一个公共点,则实数k 的取值集合为()尸r f1 IA • J -1,- >B • {-1,。
2015-2016学年度第二学期高二期末调研测试数学 (文科)试 题(全卷满分160分,考试时间120分钟)2016.06注意事项:1. 答卷前,请考生务必将自己的学校、姓名、考试号等信息填写在答卷规定的地方. 2.试题答案均写在答题卷相应位置,答在其它地方无效.一、填空题(本大题共14小题,每小题5分,共70分,请将答案填写在答题卷相应的位置上)1.已知集合{}0A x x =≥,{}1B x x =<,则A ⋂B = ▲. 2.复数(2)i i +的虚部为▲.3.命题:“若0a ≠,则20a >”的否命题是 ▲.4.若函数()2cos ,f x x =则()f x '= ▲.5.051lg 2lg 222⎛⎫++= ⎪⎝⎭▲.6.幂函数()()f x xR αα=∈过点()2,2,则()16f =▲.7.直线l 过点()1,1,且与直线220160++=x y 平行,则直线l 的方程为▲.(答案写成一般式方程形式)8.将函数sin y x =的图象向右至少平移 ▲ 个单位可得到函数cos y x =的图象.9.0<a 是方程0122=++x ax 至少有一个负数根的_______▲_____条件(填必要不充分、充分不必要、必要充分、既不充分也不必要)10.已知()3,f x x x =且(1)(2)0f a f a -+<,则实数a 的取值范围是 ▲. 11.已知2sin 23α=,则2cos ()4πα+= ▲. 12.过直线2=y x 上的一点P 作22:(2)(1)1-+-= M x y 的两条切线12l l ,,,A B两点为切点.若直线12l l ,关于直线2=y x 对称,则四边形PAMB 的面积为13.考察下列等式: 11cos isin i a b θθ+=+,()222cos isin i a b θθ+=+, ()333cos isin i a b θθ+=+,……()cos isin i nn n a b θθ+=+,其中i 为虚数单位,a n ,b n (n *∈N )均为实数.由归纳可得,当2πθ=时,a 2016+b 2016的值为 ▲.14.已知函数2()(11)(211)f x x x x =++---, 若关于x 的方程()f x m =有实数解,则实数m 的取值范围为 ▲ .二、解答题:(本大题共6道题,计90分.解答应写出必要的文字说明、证明过程或演算步骤)15.(本小题满分14分) 已知复数1-z i =(1)设(1)13w z i i =+--,求||w ;(2)如果21z az bi i++=+,求实数,a b 的值.16.(本小题满分14分)定义在实数集上的函数()f x 是奇函数,()g x 是偶函数,且()()2+=++f x g x x ax a .(1)求()f x 、()g x 的解析式;(2)命题[]():1,2,1p x f x ∀∈≥,命题[]():-1,2,g 1q x x ∃∈≤-,若p q ∨为真,求a 的范围.已知函数2()sin 2cos 2x f x x =-,(1)求()4f π的值;(2)当[]0,x π∈时,求函数()f x 的值域;(3)若直线0x x =是函数(4)y f x =图象的对称轴,且00,4x π⎡⎤∈⎢⎥⎣⎦,求0x 的值.18.(本小题满分15分)在平面直角坐标系xOy 中, C 经过二次函数()()23=233+-f x x x 与两坐标轴的三个交点.(1)求 C 的标准方程;(2)设点()2,0-A ,点()2,0B ,试探究 C 上是否存在点P 满足2=PA PB ,若存在,求出点P 的坐标,若不存在,说明理由.定义在[,]a b 上的函数()f x ,若存在()0,x a b ∈使得()f x 在0[,]a x 上单调递增,在0[,]x b 上单调递减,则称()f x 为[,]a b 上的单峰函数,0x 为峰点.(1)若()3=-3f x x x +,则()f x 是否为[0,2]上的单峰函数,若是,求出峰点;若不是,说明理由;(2)若()=m 42⋅+xxg x 在[-1,1]上不是单峰函数,求实数m 的取值范围;(3)若()211=-+-h x x n x 在[2,2]-上为单峰函数,求负数n 的取值范围.20.(本小题满分16分)已知函数2()2ln ()=-∈f x x a x a R ,()2g x ax =. (1)求函数()f x 的极值;(2)若a >0,函数()()()h x f x g x =-有且只有一个零点,求实数a 的值;(3) 若01a <<,对于区间[]1,2上的任意两个不相等的实数12,x x ,都有1212()()()()->-f x f x g x g x 成立,求a 的取值范围.2016年6月高二期末调研测试文 科 数学 试 题 参 考 答 案一、填空题: 1.[)0,12.2 3.若0a =,则20a ≤ 4. 2sin x - 5.2 6.4 7.230+=x y -8.3π2 9.充分不必要 10. (),1-∞- 11.16 12.25513.114.2,2⎡⎤-⎣⎦ 二、解答题:15.解(1)因为1-z i =,所以(1)(1)131 3.w i i i i =-+--=- …… 3分||10w ∴=…… 7分(2)由题意得:22(1)(1)(2)z az b i a i b a b a i ++=-+-+=+-+;(1)1i i i +=-+所以1(2)1a b a +=-⎧⎨-+=⎩, …… 12分解得32a b =-⎧⎨=⎩. …… 14分16解(Ⅰ)由()()2+=++f x g x x ax a ①,得()()2-+--=+f x g x x ax a .因为()f x 是奇函数,()g x 是偶函数,所以()()-=-f x f x ,()()-=g x g x ,……2分 所以()()2-+-=+f x g x x ax a ②,①②联立得()()2,==+f x ax g x x a .……6分(Ⅱ)若p 真,则()min 1≥f x ,得1≥a ,………………………………9分 若q 真,则()min 1≤-g x ,得-1≤a ,………………………………12分 因为p q ∨为真,所以11或≥≤-a a .………………………………14分 17.解:(1)()sin cos 1f x x x =-- ()14f π=- ……………5分(2)()2sin()14f x x π=--……………………………………………………7分由[]0,x π∈,得3(),444x πππ⎡⎤-∈-⎢⎥⎣⎦,则2sin(),142x π⎡⎤-∈-⎢⎥⎣⎦……………9分则2sin()12,214x π⎡⎤--∈--⎣⎦ 所以值域为2,21⎡⎤--⎣⎦ ………10分(3)∵(4)2sin(4)14y f x x π==--,………11分∴令sin(4)14x π-=±,得4()42x k k Z πππ-=+∈………12分∴3416k x ππ=+ (k ∈Z), 由304164k πππ≤+≤ (k ∈Z),得k =0………14分因此0316x π=………15分18.(Ⅰ)设所求圆的一般方程为22=0++++x y Dx Ey F ,令y =0 得2=0++x Dx F ,这与223=0+-x x 是同一个方程,故D =2,F =3-,………………………………3分令x =0 得2=0++y Ey F ,此方程有一个根为3-,代入得E =0,…………6分所以圆C 的标准方程为()22+1=4+x y .………………………………7分(Ⅱ)假设存在点(),P x y 满足题意,则222=PA PB,于是()()22222222++=-+x y x y ,化简得()22-632+=x y ①.………………………10分又因为点P 在 C 上,故满足()22+1=4+x y ②.①②联立解得点P 的坐标为1717-2222,,,⎛⎫⎛⎫⎪ ⎪ ⎪ ⎪⎝⎭⎝⎭.………………………14分 所以存在点P 满足题意,其坐标为1717-2222,,,⎛⎫⎛⎫⎪ ⎪ ⎪ ⎪⎝⎭⎝⎭………………………15分 19.解(Ⅰ)令()2=-3x 3=0'+f x 得1=±x ,当()01,0,'≤<>x f x ()12,0,'<≤<x f x 故()f x 在[0,1]上单调递增,在[1,2]上单调递减, ………………………3分 所以()f x 是为[0,2]上单峰函数,峰点为1. ………………………4分 (Ⅱ)先考虑()=m 42⋅+xxg x 在[-1,1]上是单峰函数,………………………5分令2=xt ()x [-1,1]∈,则1[,2]2∈t ,问题转化为()2=m ⋅+p t t t 在1[,2]2是单峰函数,所以011222m m<<-<⎧⎨⎩,解得1-1,-4m ⎛⎫∈ ⎪⎝⎭.………………………8分 所以实数m 的范围是(]1,1-,4⎡⎫-∞-⋃+∞⎪⎢⎣⎭.………………………9分(Ⅲ)2221,[2,1]()1,(1,1)1,[1,2]⎧-+-∈--⎪=--++∈-⎨⎪+--∈⎩x nx n x h x x nx n x x nx n x①若22≤-n ,即4≤-n ,则22-≥n ,所以,()h x 在[2,1]--上递增,(1,1)-上递增,[1,2]上递减,()h x 在[2,1]-上递增,在[1,2]上递减,所以()h x 是单峰函数,峰点为1; ………………………11分 ②若212-<<-n ,即42-<<-n ,则122<-<n ,所以,()h x 在2,2⎡⎤-⎢⎥⎣⎦n 递减,,12⎛⎫- ⎪⎝⎭n 递增,(1,1)-递增,1,2⎛⎫-⎪⎝⎭n 递减,,22⎡⎤-⎢⎥⎣⎦n 递增,不为单峰函数. ………13分 ③若102-≤<n ,即20-≤<n ,则012<-≤n ,所以,()h x 在[2,1]--上递减,1,2⎛⎫-- ⎪⎝⎭n 上递增,,12⎛⎫-⎪⎝⎭n 上递减,[1,2]上递增,不为单峰函数. ………………………15分综上,4≤-n . ………………………16分22221()220解:.()-'=-=/a x a f x x x x ()0()0,()0a f x f x '≤>+∞当时,在,上递增;()f x 无极值 --- 2分0)()0,()()0,(a a f x f x a f x f x '>∈<'∈+∞>当时,x (0,时,函数)递减; x (,时,函数)递增; ()f x ∴有极小值()ln f a a a a =---- 4分综上: 0()a f x ≤当时,函数无极值;0(ln ,a f x a a a >=-极小值当时,)无极大值;---5分 (2)令222222()2ln 2,()22.a x ax a h x x a x ax x x a x x--'=--=--=则h()200040,()0.,2()),a a a a x x h x x ++'>∴==∴+∞ 令h 得在(0,x 上单调递减,在上单调递增。
2015─2016学年高二下学期期末考试文科数学注意事项:1.本试卷分第Ⅰ卷(选择题)和第Ⅱ卷(非选择题)两部分,答卷前,考生务必将自己的姓名、准考证号填写在本试卷和答题卡相应位置上.2.回答第Ⅰ卷时,选出每小题答案后,用铅笔把答题卡上对应题目的答案标号涂黑,如需改动,用橡皮擦干净后,再选涂其它答案标号,写在本试卷上无效.3.回答第Ⅱ卷时,将答案写在答题卡上,写在本试卷上无效. 4.考试结束后,将本试卷和答题卡一并交回.第Ⅰ卷一、选择题:(本大题共12小题,每小题5分,共60分.在每小题给出的四个选项中,只有一项是符合题目要求的)1.设全集}5,4,3,2,1{=U ,集合}5,3,1{=A ,集合}4,3{=B ,则B A C U )(=( ) A .}3{ B .}4{ C .}4,32{, D .}5,4,31{, 2.若复数z 满足i i z 2)1(=-(i 为虚数单位),则||z =( ) A .1 B .2 C .3 D .2 3.一个球的体积是π36,那么这个球的表面积为( ) A .π8 B .π12 C .π16 D .π36 4.设抛物线的顶点在原点,准线方程为x =2,则抛物线的方程是( ) A .x y 82-= B .x y 42-= C .x y 42= D .x y 82=5.若R y x ∈,,且⎪⎩⎪⎨⎧≥≥+-≥x y y x x 0321,则y x z -=2的最小值等于 ( )A .1-B .0C .1D .36.将两个数5=a ,12=b 交换,使12=a ,5=b ,下面语句正确一组是 ( )7.某三棱锥的三视图如右图示,则该三棱锥的体积是( )A .8B .332C .340D . 328.已知下表是x 与y 之间的一组数据:则y 与x 的线性回归方程为a bx y+=ˆ必过点( ) A .)(3,23 B .)(4,23C .)3,2(D . )(4,29.已知某函数图象的一部分如右图示,则函数的解析式可能是( )A .y =cos(2x -错误!)B .y =sin (2x -错误!)C .y =cos(4x -错误!)D .y =sin (x +错误!)10.已知双曲线)0,0(12222>>=-b a b y a x 的离心率为26,则其渐近线方程为( )A .x y 21±= B .x y 22±= C .x y 2±= D . x y 2±= 11.将进货单价为80元的商品按90元一个售出时,能卖出400个,已知这种商品每涨价1元,其销售量就要减少20个,为了获得最大利润,每个售价应定为( ) A .95元 B .100元 C .105元 D . 110元 12.已知数列}{n a 各项均不为0,其前n 项和为n S ,且对任意*N n ∈都有n n pa p S p -=-)1(的常数)为大于(1p ,则n a = ( )A .1)12(--n p p B .1)12(--n pp p C .1-n p D .n p 第Ⅱ卷二、填空题:(本大题共4小题,每小题5分,共20分)13.圆042422=-+-+y x y x 的圆心和半径分别是____________________;14.在等比数列}{n a 中,若2a ,10a 是方程091132=+-x x 的两根,则6a 的值是______; 15.已知向量),4(m a =,)2,1(-=b ,若b a ⊥,则=-||b a ____________; 16.己知)(x f y =是定义在R 上的奇函数,当0<x 时,2)(+=x x f ,那么不等式01)(2<-x f 的解集是______________.三、解答题:(本大题共6小题, 17~21题每题12分,22题10分,共70分,解答应写出文字说明,证明过程或演算步骤)17.(本小题满分12分)已知a 、b 、c 是△ABC 中A 、B 、C 的对边,S 是△ABC 的面积.若a =4,b =5, S =53,求c 的长度.18.(本小题满分12分)为了了解云南各景点在大众人群中的熟知度,随机对15~65岁的人群抽取了n 人回答问题“云南省有哪几个著名的旅游景点?”统计结果如下图表所示.(1)分别求出表中a ,b ,x ,y 的值;(2)从第2,3,4组回答正确的人中用分层抽样的方法抽取6人,求第2,3,4组每组各抽取多少人?(3)在(2)抽取的6人中随机抽取2人,求所抽取的人中恰好没有第3组人的概率.组号分组回答正确的人数 回答正确的人数 占本组的频率第1组 [15,25) a 0。
2015~2016学年度第一学期期末考试试卷 高二(理) 数学 座位号第I 卷(选择题 共60分)一、选择题(本大题共12小题,每小题5分,共60分)1、向量(1,2,2),(2,4,4)a b =-=--,则a b 与 ( ) A 、相交 B 、垂直 C 、平行 D 、以上都不对2、如果双曲线的半实轴长为2,焦距为6,那么该双曲线的离心率是 ( )A 、32B 、62C 、32D 、23、已知命题:,sin 1,p x R x ∀∈≤则p ⌝是 ( ) A 、,sin 1x R x ∃∈≥ B 、,sin 1x R x ∀∈≥ C 、,sin 1x R x ∃∈> D 、,sin 1x R x ∀∈>4、若向量)0,2,1(=a ,)1,0,2(-=b ,则( )A 0120,cos >=<b aB b a ⊥C b a //D ||||b a =5、若原命题“0,0,0a b ab >>>若则”,则其逆命题、否命题、逆否命题中( ) A 、都真 B 、都假 C 、否命题真 D 、逆否命题真6、 “2320x x -+≠”是“1x ≠” 的( )条件 ( ) A 、充分不必要 B 、必要不充分 C 、充要 D 、既不充分也不必要 7、若方程x 225-m +y 2m +9=1表示焦点在y 轴上的椭圆,则实数m 的取值范围是( )A 、-9<m <25B 、8<m <25C 、16<m <25D 、m >88、已知△ABC 的周长为20,且顶点B (0,-4),C (0,4),则顶点A 的轨迹方程是( )A .1203622=+y x (x ≠0)B .1362022=+y x (x ≠0)C .120622=+y x (x ≠0)D .162022=+y x (x ≠0)9、一位运动员投掷铅球的成绩是14m ,当铅球运行的水平距离是6m 时,达到最大高度4m .若铅球运行的路线是抛物线,则铅球出手时距地面的高度是( ) A . 1.75m B . 1.85mC . 2.15mD . 2.25m 10、设a R ∈,则1a >是11a< 的( ) A .充分但不必要条件 B .必要但不充分条件C .充要条件D .既不充分也不必要条件 11.抛物线281x y -=的准线方程是 ( ) A . 321=x B . 2=y C . 321=y D . 2-=y12. 若A )1,2,1(-,B )3,2,4(,C )4,1,6(-,则△ABC 的形状是( ) A .不等边锐角三角形 B .直角三角形C .钝角三角形D .等边三角形第II 卷(非选择题共90分)二、填空题(本大题共4小题,每小题5分,共20分)13、经过点(1,3)A -,并且对称轴都在坐标轴上的等轴双曲线的方程为 。
2015-2016 高二期末考试理科数学试卷题 ( 含答案 )2015-2016学年第一学期宝安区期末调研测试卷高二理科数学2016.1本试卷共 6 页, 22 小题,满分 150 分.考试用时 120 分钟.注意事项:1.答卷前,考生第一检查答题卡能否整齐无缺损,监考教师散发的考生信息条形码能否正确;以后务必用 0.5 毫米黑色笔迹的署名笔在答题卡指定地点填写自己的学校、姓名和考生号,同时,将监考教师发放的条形码正向正确粘贴在答题卡的贴条形码区,请保持条形码整齐、不污损 .2.选择题每题选出答案后,用2B 铅笔把答题卡上对应题目的答案标号涂黑,如需变动,用橡皮擦洁净后,再选涂其余答案,答案不可以答在试卷上 . 不按要求填涂的,答案无效 .3.非选择题一定用0.5 毫米黑色笔迹的署名笔作答,答案一定写在答题卡各题目指定地区内相应地点上,请注意每题答题空间,早先合理安排;如需变动,先划掉本来的答案,而后再写上新的答案;禁止使用铅笔和涂改液 . 不按以上要求作答无效 .4.作答选做题时,请先用2B 铅笔填涂选做题的题号对应的信息点,再做答 .漏涂、错涂、多涂的答案无效 .一、选择题:本大题共 12 小题,每题 5 分,满分60 分.在每题给出的四个选项高二理科数学第2页(共 4 页)中,只有一项为哪一项切合题目要求的.1.不等式x22x 5 2x 的解集是(A .x | x 5或x1B.C.x | 1x5D.)x | x 5或 x1 x | 1 x52.已知向量a( 1,0,2), b (1,1,0) ,且a k b与2b a 相互垂直,则 k 值为()A .7B.3C.1555 D.13.“x2y2”是“x y ”的()A.充足不用要条件B.充足必需条件C.必需不充足条件D.既不充足也不用要条件4.若方程E :x2y 2 1 表示焦点在y轴上的双1m m2曲线,则实数 m 的取值范围为()A.1,2B.,1)(2,C.(,2)D.(1, )5.在ABC中, a23,b 22,B 45,则角 A等于() A.30B.60C.60或120D.30或1506.已知1, a1, a2,8成等差数列,1, b1 ,b2 , b3 , 4 成等比数高二理科数学第3页(共 4 页)列,那么a1a2的值为()b2A .5B.5 C .52 D.527 .若动点M (x, y)始终满足关系式x2( y 2)2x2( y 2) 28,则动点 M 的轨迹方程为()A. x2y 2 1 B.x2y2 1 C.x2y21 161212161216 D.x 2y 218.已知等差数列a n 的前n项和S n ,且知足-2,则a1()S n 1 n2nA .4B.2C.0D.2x y09.已知x, y知足拘束条件x y2,若z x ay的最y0大值为 4,则a()A .3B.2C.2 D.310.在ABC中, a2, c1,则角C的取值范围是()高二理科数学第4页(共 4 页)A .0,B ., 26 3D . (0, ]611.已知直线 l : y kx 2k 1与抛物线 C : y 2且仅有一个公共点,则实数为( )C .,6 24x,若 l 与 C 有k的取值会合A .1,1B . 1,0C .1,0,122D . 0,1212.已知圆 C 1 : x2y 2 b 2与椭椭圆 C 2:x 2y 2,若在22 1ab椭圆 C 2上存在一点P,使得由点 P 所作的圆C 1的两条切线相互垂直,则椭圆C 2的离心率的取值范围是()A . [ 2 , 3 ]B .[ 1 ,1) C.[ 3,1)2 222D .[2,1)2二、填空题:本大题共4 小题,每题5 分,满分 20 分.13.已知命题 p : x R, x 21 m; 命题 q : 指数函数 f (x)(3 - m) x是增函数 .若“ p q”为假命题且“ p q ”为真命题,则实数m的取值范围为.高二理科数学 第5页 (共 4 页)14.已知点M , N分别是空间四周体OABC 的边OA和BC 的中点, P 为线段 MN 的中点,若OP OA OB OC ,则实数. 15.设数列a n的前n项和为S n,且a11, a n 1S n S n 1,则数列 an的通项公式 a n.x2y216.已知双曲线C :1,点M与曲线C的焦94点不重合,若点 M 对于曲线 C 的两个焦点的对称点分别为 A, B ,且线段MN的中点P恰幸亏双曲线 C 上,则| AN BN |三、解答题:本大题 6 小题,满分 70 分.解答须写出文字说明、证明过程和演算步骤.17.(本小题满分 10 分)设命题p : x24ax 3a20 (此中a0 , x R ),命题 q : x2 5x 6 0 ,x R.(1)若a 1,且p q为真,务实数x的取值范围;(2)若p是q的充足不用要条件,务实数a的取值范围.18.(本小题满分 12 分)高二理科数学第6页(共 4 页)已知函数 f ( x) log2 x, g( x) x 22x,数列a n的前n项和记为Sn, b n为数列b n的通项,n∈ N*.点(b n ,n)和 (n, S n ) 分别在函数 f ( x)和 g (x) 的图象上.(1)求数列a n和b n的通项公式;(2)令Cn1,求数列 C n的前n项和T n.a n f (b2n 1 )19.(本小题满分 12 分)已知 a 、b、c 分别是ABC 的三个内角 A 、B 、C所对的边(1)若ABC面积S ABC3 ,c 2, A 60 , 求 a 、b的值;2(2)若a c cosB,且b c sin A,试判断ABC的形状.20.(本小题满分 12 分)已知直线 l 过点 M (1,1) ,且与x轴,y轴的正半轴分别订交于 A, B 点,O为坐标原点.(1)当|OA | |OB |获得最小值时,直线l的方程;(2)当| MA |2| MB |2获得最小值时,直线l的方程.高二理科数学第7页(共 4 页)21.(本小题满分 12 分)如下图,在长方体 ABCD A1B1C1D1中, AA1AD 1,E为CD的中点.(1)求证:B1E AD1(2)若二面角A B1E A1的大小为 30°,求AB的长.22.(本小题满分 12 分)如图示,A, B 分别是椭圆 C:x2y21(a b0)a2b2的左右极点,F 为其右焦点,2是| AF |与| FB |的等差中项, 3 是| AF |与| FB |的等比中项.点P是椭圆C上异于 A 、B 的任一动点,过点A作直线 l x 轴.以线段 AF 为直径的圆交直线AP 于点 A、M ,连结FM 交直线l于点Q .(1)求椭圆 C 的方程;高二理科数学第8页(共 4 页)(2)试问在x轴上能否存在一个定点直线 PQ 必过该定点N?l 若存在,求出 N 点的坐QM 标,若不存在,说明理A由.N,使得yPF BO x宝安区 2015-2016 学年度第一学期期末调研考试一试题高二数学(理科)选择题: BACAC BBDAD CD一、填空题高二理科数学第9页(共 4 页)13)m[1,2)1(n1) a n1( n2)n( n1)14)16) 12315)4三、解答题17[解](1) 当=1时,由2-4x+3<0,得 1xa<x<3,................1分即命题 p 为真时有1<x<3.命题q为真时,2 x 3................2分由 p∧q 为真命题知, p 与 q 同时为真命题,则有 2<x<3.即实数x的取值范围是(2,3) .................4分(2) 由x2-4ax+3a2<0,得 ( x-3a)( x-a)<0.高二理科数学第10页(共4页)又a>0,所以a<x<3a,................6分由p 是q 的充足不用要条件知,q 是 p 的充足不用要条件.有{ 2 x 3}{ x| a<x <3a} .................8 分解得 1<a<2.因此a 23a 3即数a的取范是(1,2) .................10分18解(1) n log 2 b n b n2n⋯⋯⋯⋯⋯⋯.2分S n n 22n S n 1(n 1)22( n 1) ⋯⋯⋯⋯⋯⋯.4分高二理科数学第11页(共 4页)故a n 2n1⋯⋯⋯⋯⋯⋯ . 6 分(2) C n1分( 2n1)( 2n1)81 (111)10分22n2n1故Tn11⋯⋯⋯⋯⋯ .1224n2分19.[ 解] 1)得 b 1⋯⋯⋯3分SABC1bc sin A3,1 b 2 sin 60 3 ,2222由余弦定理得:a2b2c22bc cos A 12222 1 2cos60 3 ,因此 a3⋯⋯⋯⋯⋯⋯⋯⋯⋯6 分(2)由余弦定理得:a c a2c2 b 2 a 2b2 c 2,2ac因此 C 90⋯⋯8分在 Rt ABC 中,sin A a,因此 b c a ac c⋯⋯⋯⋯⋯⋯⋯⋯ 10 分因此 ABC是等腰直角三角形;⋯⋯⋯⋯⋯⋯⋯⋯⋯⋯⋯ 12 分高二理科数学第12页(共4页)20.[ 解 ](1)A( a, 0), B(0, b)( a>0,b>0).⋯⋯⋯⋯⋯⋯.1分x y 1 1直l的方程a+b=1,a+b=1,⋯⋯⋯⋯⋯⋯.3分因此 | OA| +| OB| =a+b=( a+b) (1 1)a bb a b a= 2 +a+b≥ 2 + 2a·b=4,⋯⋯⋯⋯⋯⋯.5分当且当 a=b=2取等号,此直 l的方程 x+y-2=0.⋯⋯⋯⋯⋯⋯.6分(2)直 l 的斜率 k, k<0,直 l的方程 y-1=k( x-1),A 11,0,B(0,1-kk),⋯⋯⋯⋯⋯⋯.7 分因此 | MA|2+| MB|2=1 121+ 12+ 12+ (1k高二理科数学第13页(共4页)22121-1+k) =2+k+k2≥2+2 k·k2=4.21当且当 k =k2,即 k=-1,上式等号成立⋯⋯⋯⋯⋯⋯.11分∴当 | MA|2+|MB|2获得最小,直 l 的方程 x+y-2=0..⋯⋯⋯⋯⋯⋯.12分21[ 解](1) 明:以A原点,→,→,→的方向分,AB AD AA1xy ,z 的正方向成立如所示的空直角坐系.⋯⋯⋯1分AB=a, A(0,0,0),D(0,1,0),D1(0,1,1),a,1,0)→a,1,0) .E(,B1( a, 0,1),AB1=( a, 0,1),AE( 22故→=(0,1,1),AD1B1E(a,1, 1)⋯⋯⋯⋯⋯.2分∵2→→=-aAD· BE2×0+1×1+(-1)×1=11高二理科数学第14页(共4页)0,⋯⋯⋯⋯⋯⋯.3分∴B 1E⊥AD 1. ⋯⋯⋯⋯.4分(2)A 1D ,B 1C ,由 方体 ABCD -A 1B 1C 1D 1 及 AA 1=AD =1,得 AD 1⊥A 1D .∵ B 1C ∥ A 1D ,∴AD 1⊥ B 1C .确良. ⋯⋯⋯⋯⋯⋯.5分又由 (1) 知 B 1E ⊥AD 1,且 B 1C ∩B 1E =B 1,∴AD 1⊥平面 DCB 1A 1,∴→是平面的一个法向量,此→AD 1A 1B 1EA D 1= (0,1,1) . . ⋯⋯⋯⋯⋯⋯.6分→与 所成的角 θ ,AD 1 n→1cos θ =n ·AD=→| n || AD 1|高二理科数学 第15页 (共 4页)a-2-a.. ⋯⋯⋯⋯⋯⋯.8a 222· 1+ 4 +a分∵二面角 A - B 1E - A 1 的大小 30°,∴ |cos θ | = cos 30 ° , 即3a23⋯⋯⋯⋯⋯⋯10分5a 2= 2 ,2·1+ 4解 得 a = 2 , 即 AB 的2.⋯⋯⋯⋯⋯⋯12分22.( 1) 由意 得AF a c ,FBa c , ........................................................1分即(a c) (a c) 2( ac )( a c ) ( 3) 2,............................................................高二理科数学 第16页 (共 4页) (2)分解得: a 2, c 1 ,b 2 a 2 b 2 3,........................................................................................3分所求椭圆的方程为:x 2 y 2 1............................43............................................4分(2) 假定在 x 轴上存在一个定点N (n,0),使得直线PQ必过定点 N (n,0) (5)分设动 点 P( x 0, y 0) ,由 于 P 点异于ly A 、B,Q PM故 y 0且 x 02AFBOx由点 P 在椭圆上,故有222x 0y 01 y 02 3( 4 x 0 ) .......① (6)a 2b 24分又由( I )知 A(2,0), F (1,0),因此直线AP的斜率高二理科数学 第17页 (共 4页)KAPy0 (7)x02分又点 M 是以线段 AF 为直径的圆与直线AP 的交点,因此 AP FM ,所以kAP KMF1kMF1x2 ,.....kAP y0............................8分所以直线FM的方程:y x02( x1) ........................... y0 (9)分联立 FM、 l 的方程y x022)) .y0,得交点 Q( 2, 3(x0x2y0所以P、 Q两点连线的斜率y03( x02)y02y03( x02) ......②kPQx0 2y0 ( x0 2)将.①式代入②式,并整理得:K PQ 3( x2) ..............................4 y0...........................10分高二理科数学第18页(共4页)y0又P、N两点连线的斜率 k PNx0n恒成立若直线 QP 必过定点 N (n,0) ,则必有kPQ K PN即3( x0 2)y0整理得:4y0x0 n4 y023(x0 2)( x0n) ....③ ......................11分将. ①式代入③式,得43( 4x2 )3( x02)(x0 n)4解得: n 2故直线PQ过定点2,0 . ....................................12分高二理科数学第19页(共4页)。
2015---2016学年(高二)年级上学期期末考试(理科)数学试卷一、 选择题(本大题共12个小题,每小题5分,在每小题中,只有一项是符合题目要求的) (1)已知集合{2},{1}A x x B x x =≤=≤, 则A B =(A )(,2]-∞ (B )[1,2] (C )[2,2]- (D )[2,1]-(2)已知复数1a ii i+=-,则实数a = (A )1- (B )2- (C )1 (D )2(3)将点M 的极坐标46π(,)化成直角坐标为(A ) (B )()(C )( (D )(- (4)在同一平面的直角坐标系中,直线22x y -=经过伸缩变换''4x xy y⎧=⎪⎨=⎪⎩后,得到的直线方程为(A )''24x y +=(B )''24x y -= (C )''24x y +=(D )''24x y -=(5)如图,曲线2()f x x =和()2g x x =围成几何图形的面积是(A )12 (B )23(C )43(D ) 4(6)10件产品中有3件次品,不放回的抽取2件,每次抽1件,在已知第1次抽出的是次品的条件下,第2次抽到仍为次品的概率为(A )145(B )115(C )29 (D )23(7)下列说法中,正确说法的个数是① 命题“若0232=+-x x ,则1=x ”的逆否命题为:“若1≠x ,则0232≠+-x x ”;② “1x >” 是 “||1x >” 的充分不必要条件;③集合{1}A =,{}01=-=ax x B ,若A B ⊆,则实数a 的所有可能取值构成的集合为{}1(A )0 (B )1 (C )2 (D )3 (8)设某批产品合格率为43,不合格率为41,现对该产品进行测试,设第ξ次首次测到正品,则(3)P ξ=等于(A ))43()41(2⨯(B ))41()43(223⨯C (C ))43()41(223⨯C(D ))41()43(2⨯(9)在10件产品中,有3件一等品,7件二等品,从这10件产品中任取3件,则取出的3件产品中一等品件数多于二等品件数的概率 (A )1120 (B ) 740 (C ) 1160(D ) 2140 (10)函数()x f x e ax =+存在与直线20x y -=平行的切线,则实数a 的取值范围是(A )(,2]-∞(B )(,2)-∞ (C )(2,)+∞ (D)[2,)+∞(11)函数sin ()xy e x ππ=-≤≤的大致图象为(A )(C ) (12)已知曲线1C :y =,曲线2C :1ln()y x m =+- 22(,)B x y ,当12y y =时,对于任意12,x x ,都有AB e ≥恒成立,则m 的最小值为(A)1 (B)(C) 1e - (D) 1e +二、填空题(本大题共4个小题,每小题5分,共20分)13.已知随机变量X 服从正态分布2~(2,)X N σ,(4)0.3P X >=, 则(0)P X <的值为 .14.若函数2()ln f x x a x =-在1x =处取极值,则a = . 15.如图的三角形数阵中,满足:(1)第1行的数为1;(2)第n (n ≥2)行首尾两数均为n ,其余的数都 等于它肩上的两个数相加.x y π- πo x yπ- π o 1223434774511141156162525166则第10行中第2个数是________.16.在平面直角坐标系xOy 中,直线l 与曲线)0(2>=x x y 和)0(3>=x x y 均相切,切点分别为),(11y x A 和),(22y x B ,则21x x 的值是 .三、解答题(本大题共6小题,共70分,解答应写出必要的文字说明、证明过程及演算步骤)17.(本小题满分10分)在平面直角坐标系xoy 中,圆C 的参数方程为2cos ()2sin x y 为参数jj j ì=ïí=ïî,直线l 过点(0,2)且倾斜角为3π.(Ⅰ)求圆C 的普通方程及直线l 的参数方程;(Ⅱ)设直线l 与圆C 交于A ,B 两点,求弦||AB 的长.18.(本小题满分12分)在直角坐标系xOy中,已知直线1:2x l y ⎧=+⎪⎪⎨⎪=+⎪⎩(t 为参数),以坐标原点为极点,x 轴正半轴为极轴建立极坐标系,曲线22:(1sin )2C ρθ+=.(Ⅰ)写出直线l 的普通方程和曲线C 的直角坐标方程;(Ⅱ)设点M 的直角坐标为(1,2),直线l 与曲线 C 的交点为A 、B ,求||||MA MB ⋅的值. 19.(本小题满分12分)生产甲乙两种元件,其质量按检测指标划分为:指标大于或者等于82为正品,小于82(Ⅰ)试分别估计元件甲,乙为正品的概率;(Ⅱ)在(Ⅰ)的前提下,记X 为生产1件甲和1件乙所得的正品数,求随机变量X 的分布列和数学期望. 20.(本小题满分12分)设函数329()62a f x x x x =-+. (Ⅰ)当1a =时,求函数()f x 的单调区间;(Ⅱ)若对[1,4]x ∀∈都有()0f x >成立,求a 的取值范围.21.(本小题满分12分)为了解家用轿车在高速公路上的车速情况,交通部门随机选取了100名家用轿车驾驶员进行调查,得到其在高速公路上行驶时的平均车速情况为:在55名男性驾驶员中,平均车速超过100/km h 的有40人,不超过100/km h 的有15人,在45名女性驾驶员中,平均车速超过100/km h 的20人,不超过100/km h 的有25人.(Ⅰ)根据调查数据,完成下列22⨯列联表,并判断是否有99.5%的把握认为“车速与性别有关”,说明理由;(Ⅱ)以上述样本数据估计总体,且视频率为概率,若从高速公路上行驶的家用轿车中随机抽取3辆,记这3辆车平均车速超过100/km h 且为男性驾驶员的车辆数为X ,求随机变量X 的分布列和数学期望.参考公式:22()()()()()n ad bc K a b c d a c b d -=++++,其中d c b a n +++=.参考数据:22.(Ⅰ)若函数()f x 在[1,2]上是单调递增函数,求实数a 的取值范围; (Ⅱ)若20a -≤<,对任意12,[1,2]x x ∈, 求m 的最小值.2015---2016学年(高二)年级上学期期末考试(理科)数学试卷答案一、选择题:DCBBC CCACB DC二、填空题:13. 0.3 14. 2 15. 46 16. 43三、解答题: 17. (10分)(Ⅰ)圆C 的普通方程为224x y +=,直线l的参数方程为12()2x tt y 为参数ì=ïïíï=ïî,(Ⅱ) 依题意,直线l20y -+= 圆心C 到直线l 的距离212d ==||AB ==18. (12分)解:(Ⅰ)10l x y -+=:,22: 1.2x C y +=(Ⅱ)1:2x l y ⎧=+⎪⎪⎨⎪=+⎪⎩把代入2212x y +=中,整理得23140t ++=,设A,B 对应的参数分别为12t t , 由韦达定理12143t t ⋅=由t 得几何意义可知,1214||||3MA MB t t =⋅=||.19. (12分)解:(Ⅰ)元件甲为正品的概率约为:5410083240=++元件乙为正品的概率约为:4310062940=++(Ⅱ)随机变量X 的所有取值为0,1,2,111(0)5420P X ==⨯=;13417(1)545420P X ==⨯+⨯=;433(2)545P X ==⨯=X所以:7331()1220520E X =⨯+⨯=20. (12分)解:(Ⅰ)定义域为(,)x ∈-∞+∞ 当1a =时,329()62f x x x x =-+ 2()3963(1)(2)f x x x x x '=-+=--,当1x <时,()0f x '>; 当12x <<时,()0f x '<; 当2x >时,()0f x '>,∴)(x f 的单调增区间为(,1)-∞,(2,)+∞,单调减区间为(1,2).(Ⅱ)329()602a f x x x x =-+> 即962a x x<+在区间[1,4]上恒成立, 令6()g x x x=+,故当x ∈时,()g x 单调递减,当)x ∈∞时,()g x 单调递增,()min g x g =92a ∴≤a ≤21. (12分) 解:(Ⅰ)222()100(40252015)()()()()55456040n ad bc K a b c d a c b d -⨯⨯-⨯==++++⨯⨯⨯ 8.2497.879≈>,2(K 7.879)0.00599.5%P ≥==所以有99.5% 以上的把握认为“车速与性别有关” .(Ⅱ)由已知得“平均车速超过100/km h 且为男性驾驶员”的概率为25, 并且X ~2(3,)5B ,所以3323()()()k k k P X k C -==(0,1,2,3)k =,其分布列如下所以,355EX =⨯=.22.(12分) (Ⅰ)∵21()ln 12f x x a x =-+在[1,2]上是增函数,∴'()0af x x x=-≥恒成立, 所以2a x≤只需2min ()1a x ≤=(Ⅱ)因为20a -≤<,由(Ⅰ)知,函数()f x 在[1,2]上单调递增, 不妨设1212x x ≤≤≤,则等价于3m x ax ≥-在[1,2]上恒成立,设3()g x x ax =-,所以max ()m g x ≥,因20a -≤<,所以2()30g x x a '=->,所以函数()g x 在[1,2]上是增函数, 所以max ()(2)8212g x g a ==-≤(当且仅当2a =-时等号成立). 所以12m ≥.即m 的最小值为12.。
2015—2016学年度下学期期末考试高二数学(理科)试卷考试说明:本试卷分第Ⅰ卷(选择题)和第Ⅱ卷(非选择题)两部分,满分150分,考试时间120分钟。
(1) 答题前,考生先将自己的姓名、班级填写清楚,考条粘贴到指定位置。
(2) 选择题用2B 铅笔作答。
(3) 请按照题号顺序在各题目的答题区域内作答,在草稿纸、试题上答题无效。
(4) 保持卡面清洁,不得折叠,不要弄破、弄皱,不准使用涂改液、刮纸刀。
第Ⅰ卷(共60分)一、选择题(本大题共12小题,每小题5分,共60分.在每小题给出的四个选项中,只有一项是符合题目要求的) 1.设i 是虚数单位,复数iai-+21为纯虚数,则实数a 为 A . 2 B .-2 C .21- D .212.已知随机变量ξ服从正态分布2(2)N σ,,(4)0.84P ξ=≤,则(0)P ξ=≤( ) A .0.16B .0.32C .0.68D .0.843.已知变量y x ,呈线性相关关系,回归方程为x y 25.0^-=,则变量y x ,是( ) A .线性正相关关系 B . 线性负相关关系 C . 由回归方程无法判断其正负相关 D .不存在线性相关关系4.下面几种推理是类比推理的是( )A .两条直线平行,同旁内角互补,如果A ∠和B ∠是两条平行直线的同旁内角,则180=∠+∠B AB .由平面向量的运算性质,推测空间向量的运算性质C .某校高二级有20个班,1班有51位团员,2班有53位团员,3班有52位团员,由此可以推测各班都超过50位团员 D .一切偶数都能被2整除,1002是偶数,所以1002能被2整除5.如图,在长方体1111ABCD A B C D -中,2AB BC ==,11AA =则1BC 与平面11BB D D 所成角的正弦值为 ( )A6. 在2012年12月30日那天,佳木斯市物价部门对本市的5家商场的某商品的一天销售量及其价格进行调查,5家商场的售价x 元和销售量y 件之间的一组数据如下表所示:a x y +-=2.3,则a =( )A .24B .35.6C .40.5D .407.已知A 、B 、C 是不共线的三点,O 是平面ABC 外一点,则在下列条件中,能得到点M 与A 、B 、C 一定共面的条件是( )A.111222OM OB OB OC =++B.OC OB OA OM ++=C.1133OM OA OB OC =-+D.OC OB OA OM --=28、直三棱柱111ABC A B C -中,若90BAC ∠=︒,1AB AC AA ==,则异面直线1BA 与1AC 所成的角等于( )A . 30°B . 45°C .60°D .90°9.由数字0,1,2,3,4,5可以组成无重复数字且奇偶数字相间的六位数的个数有( ) A.72 B.60 C.48 D.5210.随机变量,若,则的值为A.B.C.D.11.将甲、乙、丙、丁四名学生分到两个不同的班,每个班至少分到一名学生,且甲、乙两名学生不能分到同一个班,则不同的分法的总数为 ( )A .6B .7C .8D .1212.在)2()1(5x x --的展开式中,含3x 项的系数为 ( )A .30B .-20C .-15D .30-第Ⅱ卷(共90分)二、填空题(本大题共4小题,每小题5分,共20分.将答案填在答题卡相应的位置上)13.若二项式22nx x ⎛⎫+ ⎪⎝⎭的展开式共7项,则该展开式中的常数项为 .14.五名高二学生中午打篮球,将校服放在篮球架旁边,打完球回教室时由于时间太紧,只有两名同学拿对自己衣服的不同情况有_____________种.(具体数字作答)15.不等式|x +1|-2>0的解集是 . 16.在极坐标系中,圆4sin ρθ=的圆心到直线()6R πθρ=∈的距离是 .三、解答题(本大题共6小题,共70分.解答应写出文字说明、证明过程或演算步骤) 17、(本小题满分10分) 已知函数()|1||22|.f x x x =-++ (1)解不等式()5;f x >(2)若不等式()()f x a a R <∈的解集为空集,求a 的取值范围。
N D 1C 1B 1A 12015-2016学年第一学期高二年级期末质量抽测数 学 试 卷(理科)(满分150分,考试时间 120分钟)2016.1考生须知: 1. 本试卷共6页,分第Ⅰ卷选择题和第Ⅱ卷非选择题两部分。
2. 答题前考生务必将答题卡上的学校、班级、姓名、考试编号用黑色字迹的签字笔填写。
3. 答题卡上第I 卷(选择题)必须用2B 铅笔作答,第II 卷(非选择题)必须用黑色字迹的签字笔作答,作图时可以使用2B 铅笔。
请按照题号顺序在各题目的答题区内作答,未在对应的答题区域内作答或超出答题区域作答的均不得分。
4. 修改时,选择题部分用塑料橡皮擦涂干净,不得使用涂改液。
保持答题卡整洁,不要折叠、折皱、破损。
不得在答题卡上做任何标记。
5. 考试结束后,考生务必将答题卡交监考老师收回,试卷自己妥善保存。
第Ⅰ卷(选择题 共50分)一、选择题(本大题共10小题,每小题5分,共50分.在每小题列出的四个选项中,选出符合题目要求的一项.)(1)抛物线210y x =的焦点到准线的距离为(A )52(C )5 (C )10 (D )20 (2)过点(2,1)-且倾斜角为060的直线方程为(A) 10y --=( B) 330y --=( C)10y -+=( D) 330y -+=(3)若命题p 是真命题,命题q 是假命题,则下列命题一定是真命题的是(A)p q ∧ (B )()p q ⌝∨ (C)()p q ⌝∧ (D )()()p q ⌝∨⌝(4)已知平面α和直线,a b ,若//a α,则“b a ⊥”是“b α⊥”的(A)充分而不必要条件 ( B )必要而不充分条件 ( C)充分必要条件 (D)既不充分也不必要条件 (5)如图,在正方体1111ABCD A B C D -中,点,M N 分别是面对角线111A B B D 与的中点,若1,,,DA DC DD === a b c 则MN =CA 1俯视图侧(左)视图正(主)视图(A)1()2+-c b a ( B) 1()2+-a b c ( C) 1()2-a c ( D) 1()2-c a(6)已知双曲线22221(0,0)x y a b a b-=>>(A) y =( B) y x = ( C) 12y x =± ( D) 2y x =±(7)某三棱锥的三视图如图所示,则该三棱锥的表面积是(A )2+( B)2( C)4+( D)4(8)从点(2,1)P -向圆222220x y mx y m +--+=作切线,当切线长最短时m 的值为(A )1- (B )0 (C )1 (D )2(9)已知点12,F F 是椭圆22:14x C y +=的焦点,点M 在椭圆C上且满足12MF MF +=uuu r uuu u r 则12MF F ∆的面积为(A)(B) (C ) 1 (D) 2 (10) 如图,在棱长为1的正方体1111ABCD A B C D -中,点M 是左侧面11ADD A 上的一个动点,满足11BC BM ⋅= ,则1BC 与BM的夹角的最大值为(A) 30︒ ( B) 45︒ ( C ) 60︒ ( D) 75︒P D 1C 1B 1A 1D C BA第Ⅱ卷(非选择题 共100分)二、填空题(本大题共6小题,每小题5分,共30分)(11)若命题2:R,220p x x x ∃∈++>,则:p ⌝ . (12) 已知(1,3,1)=-a ,(1,1,3)=--b ,则-=a b ______________.(13)若直线()110a x y +++=与直线220x ay ++=平行,则a 的值为____ .(14)如图,在长方体ABCD -A 1B 1C 1D 1中,设 11AD AA ==, 2AB =,P 是11C D 的中点,则11BC A P 与所成角的大小为____________, 11BC A P ⋅=___________.(15)已知P 是抛物线28y x =上的一点,过点P 向其准线作垂线交于点E ,定点(2,5)A ,则PA PE +的最小值为_________;此时点P 的坐标为_________ .(16)已知直线:10l kx y -+=()k ∈R .若存在实数k ,使直线l 与曲线C 交于,A B 两点,且||||AB k =,则称曲线C 具有性质P .给定下列三条曲线方程: ① y x =-; ② 2220x y y +-=; ③ 2(1)y x =+. 其中,具有性质P 的曲线的序号是________________ .三、解答题(本大题共5小题,共70分.解答应写出文字说明,证明过程或演算步骤.) (17)(本小题满分14分)已知圆22:2410C x y x y +--+=. (I)求过点(3,1)M 的圆C 的切线方程;(II)若直线:40l ax y -+=与圆C 相交于,A B 两点,且弦AB的长为a 的值.(18)(本小题满分14分)OD 1C 1B 1A 1D CBA N MDCBAP在直平行六面体1111ABCD A B C D -中,底面ABCD 是菱形,60DAB ∠=︒,AC BD O = ,11AB AA ==.(I)求证:111//OC AB D 平面;(II)求证:1111AB D ACC A ⊥平面平面; (III)求三棱锥111A AB D -的体积. (19)(本小题满分14分)已知椭圆2222:1(0)x y C a b a b +=>>(0,1)A -.(Ⅰ)求椭圆C 的标准方程;(Ⅱ)如果过点3(0,)5B 的直线与椭圆交于,M N 两点(,M N 点与A 点不重合),求证:AMN ∆为直角三角形.(20)(本小题满分14分)如图,在四棱锥P A B C D -中,P A A B C D ⊥底面,底面A B C D 为直角梯形,//,90A D B C B A D ∠=︒22PA AD AB BC ====,过AD 的平面分别交PB PC ,于,M N 两点.(I )求证://MN BC ;(II )若,M N 分别为,PB PC 的中点,①求证:PB DN ⊥;②求二面角P DN A --的余弦值.(21)(本小题满分14分)抛物线22(0)y px p =>与直线1y x =+相切,112212(,),(,)()A x y B x y x x ≠是抛物线上两个动点,F 为抛物线的焦点,且8AF BF +=. (I ) 求p 的值;(II ) 线段AB 的垂直平分线l 与x 轴的交点是否为定点,若是,求出交点坐标,若不是,说明理由;(III )求直线l 的斜率的取值范围.2015-2016学年第一学期高二年级期末质量抽测数学试卷参考答案及评分标准 (理科) 2016.1一、选择题(本大题共10小题,每小题5分,共50分.在每小题列出的四个选项中,选出符合题目二、填空题(本大题共6小题,每小题5分,共30分)(11)2:,220p x x x ⌝∀∈++≤R(12) 6 (13)1或2- (14)60︒;1 (15)5;(2,4) (16)②③ 三、解答题(本大题共5小题,共70分.解答应写出文字说明,证明过程或演算步骤.) (17)(本小题满分14分)解:(I )圆C 的方程可化为22(1)(2)4x y -+-=,圆心(1,2)C ,半径是2. …2分①当切线斜率存在时,设切线方程为1(3)y k x -=-,即310kx y k --+=. ……3分因为2d ===,所以34k =. …………6分 ②当切线斜率不存在时,直线方程为3x =,与圆C 相切. ……… 7分所以过点(3,1)M 的圆C 的切线方程为3x =或3450x y --=. ………8分(II )因为弦AB 的长为O 1ABCDA 1B 1C 1D 1O所以点C 到直线l的距离为11d ==. ……10分即11d ==. …………12分所以34a =-. …………14分(18)(本小题满分14分)证明:(I) 如图,在直平行六面体1111ABCD A B C D -中,设11111AC B D O = ,连接1AO .因为1111//AA CC AA CC =且,所以四边形11AAC C 是平行四边形.所以1111//AC AC AC AC =且. ……1分因为底面ABCD 是菱形, 所以1111//O C AO O C AO =且. 所以四边形11AOC O 是平行四边形.所以11//AO OC . ……2分 因为111AO AB D ⊂平面,111OC AB D ⊄平面所以111//OC AB D 平面. ……4分(II)因为11111AA A B C D ⊥平面,111111B D A B C D ⊂平面,所以111B D AA ⊥. ……5分 因为底面ABCD 是棱形,所以1111B D AC ⊥. ……6分因为1111AA AC A = ,所以1111B D ACC A ⊥平面. ……7分 因为1111B D AB D ⊂平面, ……8分 所以1111AB D ACC A ⊥平面平面. ……9分 (III)由题意可知,11111AA A B C D ⊥平面,所以1AA 为三棱锥111A A B D -的高. ……10分因为111111111111111332A AB D A A B D A B D V V S AA --∆==⋅=⨯⨯=.所以三棱锥111A AB D -. ……14分(19)(本小题满分14分)解:(Ⅰ)因为椭圆经过点(0,1)A -,e =,所以1b =. ……1分由c e a ===2a =. ……3分 所以椭圆C 的标准方程为2214x y +=. ……4分(Ⅱ)若过点3(0,)5的直线MN 的斜率不存在,此时,M N 两点中有一个点与A 点重合,不满足题目条件. ……5分若过点3(0,)5的直线MN 的斜率存在,设其斜率为k ,则MN 的方程为35y kx =+,由223514y kx x y ⎧=+⎪⎪⎨⎪+=⎪⎩可得222464(14)0525k x kx ++-=. ……7分设1122(,),(,)M x y N x y ,则122122245(14)64,25(14)0k x x k x x k ⎧+=-⎪+⎪⎪⋅=-⎨+⎪⎪∆>⎪⎩, ……9分 所以1212266()55(14)y y k x x k +=++=+, 221212122391009()52525(14)k y y k x x k x x k -+⋅=⋅+++=+. ……11分因为(0,1)A -,所以1122121212(,1)(,1)()1AM AN x y x y x x y y y y ⋅=+⋅+=++++22264100925(14)25(14)k k k -+=-+++26105(14)k ++=+所以AM AN ⊥,AMN ∆为直角三角形得证. ……14分(20)(本小题满分14分)证明:(I )因为底面ABCD 为直角梯形, 所以//BC AD .因为,,BC ADNM AD ADNM ⊄⊂平面平面所以//BC ADNM 平面. ……2分 因为,BC PBC PBC ADNM MN ⊂= 平面平面平面,所以//MN BC . ……4分 (II )①因为,M N 分别为,PB PC 的中点,PA AB =,所以PB MA ⊥. ……5分 因为90,BAD ∠=︒ 所以DA AB ⊥.因为PA ABCD ⊥底面,所以DA PA ⊥. 因为PA AB A = ,所以DA PAB ⊥平面.所以PB DA ⊥. ……7分 因为AM DA A = ,所以PB ADNM ⊥平面因为DN ADNM ⊂平面,所以PB DN ⊥. ……9分 ②如图,以A 为坐标原点,建立空间直角坐标系A xyz -. ……10分 则(0,0,0),(2,0,0),(2,1,0),(0,2,0),(0,0,2)A B C D P . ……11分由(II )可知,PB ADNM ⊥平面,所以ADNM 平面的法向量为(2,0,2)BP =-. ……12分设平面PDN 的法向量为(,,)x y z =n因为(2,1,2)PC =- ,(0,2,2)PD =-,所以00PC PD ⎧⋅=⎪⎨⋅=⎪⎩n n .即220220x y z y z +-=⎧⎨-=⎩. 令2z =,则2y =,1x =. 所以(1,2,2)=n所以cos ,6BP BP BP ⋅〈〉===n n n所以二面角P DN A --……14分(21)(本小题满分14分)解:(I )因为抛物线22(0)y px p =>与直线1y x =+相切,所以由221y px y x ⎧=⎨=+⎩ 得:2220(0)y py p p -+=>有两个相等实根. …2分即2484(2)0p p p p ∆=-=-=得:2p =为所求. ……4分 (II )法一:抛物线24y x =的准线1x =.且8AF BF +=,所以由定义得1228x x ++=,则126x x +=. ………5分 设直线AB 的垂直平分线l 与x 轴的交点(,0)C m . 由C 在AB 的垂直平分线上,从而AC BC = ………6分即22221122()()x m y x m y -+=-+. 所以22221221()()x m x m y y ---=-.即12122112(2)()444()x x m x x x x x x +--=-=-- ………8分 因为12x x ≠,所以1224x x m +-=-. 又因为126x x +=,所以5m =, 所以点C 的坐标为(5,0).即直线AB 的垂直平分线l 与x 轴的交点为定点(5,0). ………10分 法二:由112212(,),(,)()A x y B x y x x ≠可知直线AB 的斜率存在,设直线AB 的方程为y kx m =+.由24y x y kx m⎧=⎨=+⎩可得222(24)0k x km x m +-+=. ………5分 所以12221224216160km x x k m x x k km -⎧+=⎪⎪⎪⋅=⎨⎪∆=-+>⎪⎪⎩. ………6分因为抛物线24y x =的准线1x =.且8AF BF +=,所以由定义得1228x x ++=,则126x x +=. ………7分所以232km k +=.设线段AB 的中点为00(,)M x y . 则12003,32x x x y k m +===+. 所以(3,3)M k m +. ………8分 所以线段AB 的垂直平分线的方程为13(3)y k m x k--=--. ………9分 令0y =,可得2335x m mk =++=.即直线AB 的垂直平分线l 与x 轴的交点为定点(5,0).………10分 (III )法一:设直线l 的斜率为1k ,由(II )可设直线l 方程为1(5)y k x =-.设AB 的中点00(,)M x y ,由12032x x x +==.可得0(3,)M y .因为直线l 过点0(3,)M y ,所以012y k =-.………11分 又因为点0(3,)M y 在抛物线24y x =的内部,所以2012y <.…12分 即21412k < ,则213k <.因为12x x ≠,则10k ≠. …13分所以1k 的取值范围为( .………14分 法二:设直线l 的斜率为1k ,则11k k =-.由(II )可知223km k =-.因为16160km ∆=-+>,即1km <, …11分所以2231k -<.所以213k >. 即21113k >. 所以2103k <<. …12分 因为12x x ≠,则10k ≠. …13分 所以1k的取值范围为( . ………14分。
2015—2016学年第一学期宝安区期末调研测试卷高二理科数学2016.1本试卷共6页,22小题,满分150分.考试用时120分钟。
注意事项:1.答卷前,考生首先检查答题卡是否整洁无缺损,监考教师分发的考生信息条形码是否正确;之后务必用0.5毫米黑色字迹的签字笔在答题卡指定位置填写自己的学校、姓名和考生号,同时,将监考教师发放的条形码正向准确粘贴在答题卡的贴条形码区,请保持条形码整洁、不污损。
2.选择题每小题选出答案后,用2B铅笔把答题卡上对应题目的答案标号涂黑,如需改动,用橡皮擦干净后,再选涂其它答案,答案不能答在试卷上。
不按要求填涂的,答案无效。
3.非选择题必须用0.5毫米黑色字迹的签字笔作答,答案必须写在答题卡各题目指定区域内相应位置上,请注意每题答题空间,预先合理安排;如需改动,先划掉原来的答案,然后再写上新的答案;不准使用铅笔和涂改液。
不按以上要求作答无效.4.作答选做题时,请先用2B铅笔填涂选做题的题号对应的信息点,再做答。
漏涂、错涂、多涂的答案无效。
一、选择题:本大题共12小题,每小题5分,满分60分.在每小题给出的四个选项中,只有一项是符合题目要求的.1.不等式的解集是()A.B.C.D.2.已知向量,且相互垂直,则值为()A.B.C.D.3.“”是“”的( )A.充分不必要条件B.充分必要条件C.必要不充分条件D.既不充分也不必要条件4.若方程表示焦点在轴上的双曲线,则实数的取值范围为()A.B.C.D.5.在,则角等于()A.B.C.D.6.已知成等差数列,成等比数列,那么的值为()A.B.C.D.7.若动点始终满足关系式,则动点的轨迹方程为( )A.B.C.D.8.已知等差数列的前项和,且满足-2,则()A.B.C.D.9.已知满足约束条件,若的最大值为4,则()A.B.C.D.高二理科数学第1页(共4页)高二理科数学第2页(共410.在,则角的取值范围是()A.B.C.D.11.已知直线,若有且仅有一个公共点,则实数的取值集合为( )A.B.C.D.12.已知圆与椭椭圆,若在椭圆上存在一点,使得由点所作的圆的两条切线互相垂直,则椭圆的离心率的取值范围是()A.B.C.D.二、填空题:本大题共4小题,每小题5分,满分20分.13.已知命题是增函数.若“”为假命题且“”为真命题,则实数的取值范围为。
[首发]江苏省徐州市2015-2016学年高二下学期期末考试数学(理)试题(图片版)2015~2016学年度第二学期期末抽测高二数学(理)参考答案与评分标准一、填空题1.5 2.24 3.a ,b 都不能被5整除 4.32 5.32n - 6.13 7.3 8.1121259.16 105111.1122 13.43 14.35二、解答题 15.(1)女生甲排在中间,其余6人有66A 种排法,因此不同排法种数为66A 720=. …………………………………… 3分(2)将5名男生排成一排,有55A 种排法; 2名女生可以在每2名男生之间及两端共6个位置中选出2个排,有26A 种排法, 因此不同排法种数为5256A A 3600=. ……………………………… 6分(3)先排2名女生,从7个位置中选出2个位置,有27C 种排法;再排5名男生,将5名男生在剩下的5个位置上进行排列的方法数有55A 种,因此不同的排法种数为2575C A 2520=. …………………………… 9分 (4)选1名男生排在2名女生中间,有15C 种排法,将这3人看成1个元素,与4名男生共5个元素排成一排,不同的排法有55A 种,又因为2名女生有22A 种排法, 因此不同的排法种数为125525C A A 1200=. ………………………… 13分答:分别有720,3600,2520和1200种不同的排法. ………………… 14分 16.(1)圆C 的极坐标方程即22sin 2cos 40ρρθρθ++-=,则圆C 的直角坐标方程为222240x y x y +++-=, ………………… 4分即22(1)(1)6x y +++=,所以圆C 的半径为6. …………………………………………… 7分(2)直线l 的普通方程为220x y +-=, ………………………… 10分由(1)知,圆C 的圆心为(1,1)C --,所以2|12(1)2|26()25AB -+⨯--=-,即AB 的长为2. ………… 14分17.(1)由已知,得2=-ααA ,即1112012x x yy --+⎡⎤⎡⎤⎡⎤⎡⎤==⎢⎥⎢⎥⎢⎥⎢⎥--⎣⎦⎣⎦⎣⎦⎣⎦,即12,2,x y +=⎧⎨-=-⎩ 即1,2,x y =⎧⎨=⎩ 所以矩阵1120-⎡⎤=⎢⎥⎣⎦A . ……………………… 4分 从而矩阵A的特征多项式11()(1)(2)2f λλλλλ+-==-+-,所以矩阵A 的另一个特征值为1. ………………………………… 7分 (2)设0(,)P x y 为曲线F 上任意一点,在矩阵A 对应的变换下变为点0'(',')P x y ,则000'11'20x x y y -⎡⎤⎡⎤⎡⎤=⎢⎥⎢⎥⎢⎥⎣⎦⎣⎦⎣⎦,即00000','2,x y x y x =-⎧⎨=⎩所以00000'',2'2y y x y x ⎧=+⎪⎪⎨⎪=⎪⎩, …… 11分又点P 在曲线F 上,所以220921x x y y -+=,故有22''''9()2(')(')12222y y y y x x -+++=,整理得,2200(')2(')1x y +=,所以曲线'F 的方程为2221x y +=. (14)分18.(1)12133639C C C 9()C 14P A ==. ………………………………………………… 4分(2)随机变量X 的所有可能的取值为0,1,2,3.4649C 5(0)C 42P X ===;133649C C 10(1)C 21P X ===; 223649C C 5(2)C 14P X ===;313649C C 1(3)C 21P X ===.……………………… 12分所以随机变量X 的概率分布为X0 1 2 3P5421021514121因此随机变量X 的数学期望510514()0123422114213E X =⨯+⨯+⨯+⨯=. ……………………… 16分 19.(1)当1n =时,{(1,1),(1,2),(1,3),(1,4),(2,2),(2,4),(2,1)}C =,所以(1)7f =; 当2n =时,{(1,1),(1,2),(1,3),(1,4),(1,5),(1,6),(1,7),(1,8),(2,2),(2,4),(2,6),C =(2,8),(2,1)},所以(2)13f =;当3n =时,{(1,1),(1,2),(1,3),(1,4),(1,5),(1,6),(1,7),(1,8),(1,9),(1,10),(1,11),C =(1,12),(2,2),(2,4),(2,6),(2,8),(2,10),(2,12),(2,1)},所以(3)19f =. ………………………………… 6分(2)由(1)可猜想()61f n n =+. ……………………………… 8分下面用数学归纳法证明:①当1n =时,由(1)知(1)7611f ==⨯+,结论成立; …………… 9分②假设当*(1,)n k k k =∈N ≥时,结论成立,即()61f k k =+,那么当1n k =+时,C 中新增加的元素为(1,41)k +,(1,42)k +,(1,43)k +,(1,44)k +,(2,42)k +,(2,44)k +,所以(1)()426166(1)1f k f k k k +=++=++=++, 所以当1n k =+时,结论也成立.根据①和②可知,()61f n n =+当*n ∈N 时都成立. …………………… 16分 20.(1)当2m =时,222C 2180na =⨯=,即(1)452n n -=,解得10n =或9n =-(舍),所以n 的值为10. ……………………………………………… 4分(2)当2m 8n =时,令1x =,则812345678(12)a a a a a a a a a +=++++++++, 令1x =-,则812345678(12)a a a a a a a a a =-+-+-+-+, 所以228824681357()()(12)(12)1a a a a a a a a a ++++-+++=+-=.………………………………………… 8分(3)当1m =-,2016n =时,2012(1)n nnx a a x a x a x -=++++L ,则2016C (1)kkka =-,0,1,2,,2016k =L , 所以012320152016201620162016201620162016111111C C C C C CS =-+-+-+L . …………… 10分考虑12017201711!(2017)!(1)!(2016)!C C2017!2017!k k k k k k +-+-+=+!(2016)!20182017!k k -⨯=2016201812017C k =⨯, 即12016201720171201711()C 2018C C k k k +=+,0,1,2,,2016k =L . …………… 14分所以0112232017201720172017201720172017111111[()()()2018CC C C C C S =+-+++-L201520162016201720172017201720171111()()]C C C C -+++02017201720172017112017()2018C C 1009=+=.故201601k kS a ==∑的值为20171009. ……………………………………… 16分。
2015—2016学年度高二下学期期末考试数学(理)试题本试卷分第I卷(选择题)和第Ⅱ卷(非选择题)两部分考试时间:120分钟 满分:150分一、选择题(本大题共12个小题,每小题5分,共60分,在每小题给出的四个选项中,只有一项是符合题目要求的)1.若(z a ai =+为纯虚数,其中7,1+∈+a i a R ai则=( )A .iB .1C .i -D .-12.与极坐标2,6π⎛⎫- ⎪⎝⎭不表示同一点的极坐标是( ) A .72,6π⎛⎫ ⎪⎝⎭B .72,6π⎛⎫- ⎪⎝⎭C .112,6π⎛⎫--⎪⎝⎭ D .132,6π⎛⎫-⎪⎝⎭ 3.如图,ABC ∆是圆的内接三角形,BAC ∠的平分线交圆于点D ,交BC 于点E ,过点B 的圆的切线与AD 的延长线交于点F . 在上述条件下,给出下列四个结论: ①BD 平分CBF ∠;②2;FB FD FA =③;AE CE BE DE =④AF BD AB BF = .则所有正确结论的序号是( ) A .○1○2B .○3○4C .○1○2○3D .○1○2○44.已知命题:p “存在[)01,,x ∈+∞使得()02log 31x≥”,则下列说法正确的是( )A .p 是假命题;:p ⌝“任意[)1,x ∈+∞,都有()2log 31x<”B .p 是真命题;:p ⌝“不存在[)01,,x ∈+∞使得()02log 31x<”C .p 是真命题;:p ⌝“任意[)1,,x ∈+∞都有()2log 31x<” D .p 是假命题;:p ⌝“任意(),1,x ∈-∞都有()2log 31x<”5.设()f x 是定义在正整数集上的函数,且()f x 满足:“当()2f k k ≥成立时,总可推出()()211f k k +≥+成立”. 那么,下列命题总成立的是( ).A .若()39f ≥成立,则当1k ≥时,均有()2f k k ≥成立 B .若()525f ≥成立,则当5k ≤时,均有()2f k k ≥成立. C .若()749f <成立,则当8k ≥时,均有()2f k k <成立. D .若()425f =成立,则当4k ≥时,均有()2f k k ≥成立.6.已知下列四个命题:1:p 若直线l 和平面α内的无数条直线垂直,则l α⊥; 2:p 若()22,xxf x -=-则()(),x R f x f x ∀∈-=-;3:p 若()1,1f x x x =++则()()000,,1x f x ∃∈+∞=; 4:p 在ABC ∆中,若A B >,则sin sin A B >.其中真命题的个数是( ) A .1 B .2 C .3 D .47.在平面直角坐标系xOy 中,满足221,0,0x y x y +≤≥≥的点(),P x y 的集合对应的平面图形的面积为4π;类似地,在空间直角坐标系O xyz -中,满足2221,0,0,0x y z x y z ++≤≥≥≥的点(),,P x y z 的集合对应的空间几何体的体积为( ) A .8πB .6π C .4π D .3π 8.在正方体1111ABCD A BC D -中,P 为正方形1111A B C D 四边上的动点,O 为底面正方形ABCD 的中心,,M N 分别为,AB BC 的中点,点Q 为平面ABCD 内一点,线段1D Q 与OP 互相平分,则满足MQ MN λ=的实数λ的值有( ) A .0个 B .1个C .2个D .3个9.一物体在力()2325F x x x =-+(力单位:N ,位移单位:m )的作用下,沿与力()F x 相同的方向由5x m =直线运动到10x m =处做的功是( ) A .925J B .850JC .825JD .800J10.在同一直角坐标系中,函数22a y ax x =-+与()2322y a x ax x a a R =-++∈的图象不可能...的是( )A .B .C .D .11.已知“整数对”按如下规律排成一列:(1,1),(1,2),(2,1),(1,3),(2,2),(3,1),(1,4),(2,3),(3,2),(4,1),……,则第60个数对是( ) A .(5,7)B .(7,5)C .(2,10)D .(10,1)12.已知定义在R 上的奇函数()f x 的图象为一条连续不断的曲线,()()()11,1f x f x f a +=-=,且当01x <<时,()f x 的导函数()f x '满足()()f x f x '<,则()f x 在[]2015,2016上的最大值为( )A .aB .0C .a -D .2016二、填空题(本大题共4小题,每小题5分,共20分,把答案填在答案卡中的横线上)13.如图,点D 在O 的弦AB 上移动,4,AB =连接OD ,过点D作OD 的垂线交O 与点C ,则CD 的最大值为____________. 14.若不等式2112222x x a a -++≥++对任意实数x 都成立,则实数a 的取值范围为____________.15.在正四棱锥P ABCD -中,,M N 分别为,PA PB 的中点,且侧面与底面所成二面角DM 与AN 所成角的余弦值为__________. 16.设函数()()21l n 12a fx x a x x a -=+->. 若对任意的()3,4a ∈和任意的[]12,1,2x x ∈,恒有()()2121ln 22a m f x f x -+>-成立,则实数m 的取值范围是_______.三、解答题(本大题共6小题,满分70分,解答应写出文字说明、证明过程或演算步骤) 17.如图,AB 是圆O 的直径,AC 是圆O 的切线,BC 交圆O 于点E . (1)若D 为AC 的中点,求证:DE 是圆O 的切线; (2)若,OA =求ACB ∠的大小.18.已知函数()3f x x x a =---. (1)当2a =时,解不等式()1;2f x ≤-(2)若存在实数a ,使得不等式()f x a ≥成立,求实数a 的取值范围.19.已知直线l的参数方程为1,12x y t ⎧=-⎪⎪⎨⎪=⎪⎩(t 为参数),以坐标原点为极点,x 轴的正半轴为极轴建立极坐标系,圆C 的极坐标方程为4sin 6πρθ⎛⎫=- ⎪⎝⎭. (1)求圆C 的直角坐标方程; (2)若(),P x y 是直线l 与圆面4sin 6πρθ⎛⎫≤-⎪⎝⎭的公共点,y +的取值范围.20.如图,几何体E ABCD -是四棱锥,ABD ∆为正三角形,120BCD ∠=︒,1,CB CD CE ===AB AD AE ===且EC BD ⊥.(1)求证:平面BED ⊥平面AEC ;(2)若M 是棱AE 的中点,求证:DM 平面EBC ; (3)求二面角D BM C --的平面角的余弦值.21.设命题:p 关于x 的方程2220a x ax +-=在[]1,1-上有解,命题:q 关于x 的方程2210ax x ++=至少有一个负实根. 若p q ∨为真命题,p q ∧为假命题,求实数a的取值范围.22.已知函数()1ln f x a x x=--,其中a 为常数. (1)若()0f x =恰有一个解,求a 的值. (2)○1若函数()()()21ln x p g x a f x p x x p-=----+,其中p 为常数,试判断函数()g x 的单调性;○2若()f x 恰有两个零点12,,x x 且12x x <, 求证:1123 1.a x x e-+<-(e 为自然对数的底数)2015—2016学年度高二下学期期末考试高二数学(理)参考答案一、选择题(共60分,每小题5分)二、填空题(共20分)13.2 14.1[,0]2-15.1616.115m≥三、解答题(共70分)17.(10分)(1)证明:连接,AE OE.由已知,得,AE BC AC AB⊥⊥.在Rt AEC∆中,由已知得DE DC=,DEC DCE∴∠=∠.,90OBE OEB ACB ABC∠=∠∠+∠=,90DEC OEB∴∠+∠= ,90,OED DE∴∠=∴是圆O的切线.(2)解:设1,CE AE x==,由已知得AB BE==由射影定理可得:2AE CE BE= .2x∴=解得60x ACB=∴∠= .18.(12分)解:(1)当2a=时,1,2,()|3||2|52,23,1,3,xf x x x x xx≤⎧⎪=---=-<<⎨⎪-≥⎩1()2f x∴≤-等价于2,112x≤⎧⎪⎨≤-⎪⎩或23,1522xx<<⎧⎪⎨-≤-⎪⎩或3,11,2x≥⎧⎪⎨-≤-⎪⎩解得1134x≤<或3x≥,∴原不等式的解集为114x x⎧⎫≥⎨⎬⎩⎭(2)由绝对值三角不等式可知()|3||||(3)()||3|f x x x a x x a a =---≤---=-. 若存在实数a ,使得不等式()f a a ≥成立,则|3|a a -≥,解得32a ≤, ∴实数a 的取值范围是3,2⎛⎤-∞ ⎥⎝⎦.19.(12分)解(1)因为圆C 的极坐标方程为4sin 6πρθ⎛⎫=-⎪⎝⎭,所以214sin 4cos 62πρρθρθθ⎫⎛⎫=-=-⎪ ⎪⎪⎝⎭⎝⎭. 又222,cos ,sin x y x y ρρθρθ=+==,所以222x y x +=-, 所以圆C的直角坐标方程为2220x y x ++-=. (2)设z y +.因为圆C的方程2220x y x ++-=可化为22(1)(4x y ++=, 所以圆C的圆心是(1-,半径是2.将112x y t ⎧=--⎪⎪⎨⎪=⎪⎩代入z y =+,得z t =-. 又直线l过(1C -,圆C 的半径是2,所以22t -≤≤,y +的取值范围是[2,2]-.20.(12分)(1)证明:连接AC ,交BD 于点O . ABD ∆ 为正三角形,120,1BCD CB CD CE ∠==== ,.AC BD ∴⊥又,EC BD EC AC C ⊥= ,BD ∴⊥平面ACE ,又BD ⊂平面BED ,∴平面BED ⊥平面AEC .(2)解:取AB 中点N ,连接,MN ND .M 是AE 的中点,MN ∴∥EB .MN 不在平面EBC 内,MN ∴∥平面EBC .,,DN AB BC AB DN ⊥⊥∴ ∥BC . DN 不在平面EBC 内,DN ∴∥平面EBC .又MN DN N = ,∴平面DMN ∥平面,EBC DM ∴∥平面EBC . (3)解:由(1)知AC BD ⊥,且13,22CO AO ==,连接,EO CM . 1,2CO CE EO AC CE AC ==∴⊥. 由(1)知BD ⊥平面,AEC EO BD ∴⊥. 如图建立空间直角坐标系,则3,0,0,2A B ⎛⎫⎛⎫ ⎪ ⎪ ⎪⎝⎭⎝⎭,10,,,0,02D C ⎛⎫⎛⎫- ⎪ ⎪ ⎪⎝⎭⎝⎭, 3,4E M ⎛⎛ ⎝⎭⎝⎭. 315,,,,,0,4242244DM DB CB CM ⎛⎛⎫⎛⎫∴==== ⎪ ⎪ ⎪ ⎪⎝⎭⎝⎭⎝⎭ . 设平面DBM 的一个法向量11(,,1)x y =m ,则由0,0,DB DM ⎧=⎪⎨=⎪⎩ m m得3⎛⎫=- ⎪ ⎪⎝⎭m . 同理,平面CBM的法向量1,155⎛⎫=- ⎪ ⎪⎝⎭n .故二面角D BM C --的平面角的余弦值cos ||||θ==m n m n . 21.(12分)解:若P 正确,则由题意,0a ≠,则222(2)(1)0a x ax ax ax +-=+-=的解为1x a =或2x a=-. 原方程在[1,1]-上有解,只需111a -≤≤或211a-≤-≤. 解得:(][),11,a ∈-∞-+∞ 或(][),22,a ∈-∞-+∞ 综上P 真时,(][),11,a ∈-∞-+∞若q 正确,当0a =时,210x +=有一个负实根. 当0a ≠时,原方程有实根的充要条件为:440,1a a ∆=-≥∴≤.设两根为12,x x ,则121221,x x x x a a+=-= 当只有一个负实根时,1010a a a ≤⎧⎪⇒<⎨<⎪⎩当有两个负实根时,1200110a a a a⎧⎪≤⎪⎪-<⇒<≤⎨⎪⎪>⎪⎩.综上,q 真时,1a ≤.由p q ∨为真,p q ∧为假知,,p q 一真一假. 当p 真q 假时,111a a a ≤-≥⎧⎨>⎩或 1a ∴>.当p 假q 真时,111a a -<<⎧⎨≤⎩11a ∴-<<.a ∴的取值范围为1a >或11a -<<.22.(12分)(1)解:由题意,得函数()f x 的定义域为21(0,),()xf x x-'+∞=,令()0f x '=,得1x =.当01x <<时,()0,()f x f x '>在(0,1)上单调递增; 当1x >时,()0,()f x f x '<在(1,)+∞上单调递减, 故max ()(1)1f x f a ==-.因为()0f x =恰有一个解,所以max ()10f x a =-=,即1a =.(2)①解:由12()()()ln x p g x a f x p x x p-=----+得, 2()()ln ln x p g x x p x p-=--+. 函数()g x 的定义域为(0,)+∞,且0p >. 因为22212()2()()()0()()x p x p x p g x x x p x x p +---'=-=≥++, 所以函数()g x 在(0,)+∞上单调递增.②证明:因为()0()1ln 0f x h x ax x x =⇔=--=, 故12,x x 也是()h x 的两个零点.由()1ln 0h x a x '=--=,得1a x e -=,不妨令1a p e -=. x p =是()h x 的唯一最大值点,故有12()0,.h p x p x >⎧⎨<<⎩ 由①得,2()()ln ln x p g x x p x p-=--+单调递增. 故当x p >时,()()0g x g p >=,当0x p <<时,()0g x <.由11111112()1ln ln x x p ax x x x p x p--=<++, 整理得211(2ln )(2ln 1)0p a x p ap p p x p +--+--+>,即21111(31)0a a x e x e ----+>;同理得:21122(31)0a a x e x e ----+<.故2112112211(31)(31)a a a a x e x e x e x e ------+<--+, 1122121()()(31)()a x x x x e x x -+-<--,于是1123 1.a x x e -+<- 综上,11231a x x e -+<-.。
2015—2016学年第一学期期末测试高二理科数学复习题必修3,选修2-3,选修2-1简易逻辑、圆锥曲线参考公式:用最小二乘法求线性回归方程y bx a =+的系数公式:121()()()niii nii x x y y b x x ==--=-∑∑,a y bx =-,其中x ,y 是数据的平均数.第Ⅰ卷(本卷共60分)一、选择题:(本大题共12题,每小题5分,共60分,在每小题给出的四个选项中,只有一项是符合题目要求的)1.从一副扑克牌(54张)中抽取一张牌,抽到牌“K”的概率是 ( )A. 154B. 127C. 118D. 2272.设随机变量~(0,1)N ξ,若()1P p ξ>=,则()10P ξ-<<= ( ) A. 2p B. 1p - C. 12p -D. 12p -3.如图1所示的程序框图的功能是求( )A .5?i <,S S =B .5?i ≤,S S =C .5?i <,2S =+ D .5?i ≤,2S =+4.将参加夏令营的600名学生编号为:001,002,…,600,采用系统抽样方法抽取一个容量为50的样本,且随机抽得的号码为003.这600名学生分住在三个营区,从001到300在第Ⅰ营区,从301到495在第Ⅱ营区,从496到600在第Ⅲ营区.三个营区被抽中的人数依次为 ( )A .26,16,8B .25,17,8C .25,16,9D .24,17,95.如图2,分别以正方形ABCD 的四条边为直径画半圆,重叠部分如图中阴影区域,若向该正方形内随机投一点,则该点落在阴影区域的概率为 ( ) A.24π- B.22-π C.44π- D.42-π6.()82x -展开式中不含..4x 项的系数的和为 ( )A .-1B .1C .0D .27.学校体育组新买2颗同样篮球,3颗同样排球,从中取出4颗发放给高一4个班,每班1颗,则不同的发放方法共 ( ) A .4种 B .20种 C .18种 D .10种8.容量为100的样本数据,按从小到大的顺序分为8组,如下表:组号 1 2 3 4 5 6 7 8 频数1013x141513129第三组的频数和频率分别是 ( ) A .14和0.14 B .0.14和14 C .141和0.14 D . 31和141 9.“2012”含有数字0, 1, 2,且恰有两个数字2.则含有数字0, 1, 2,且恰有两个相同数字的四位数的个数为 ( )A .18B .24C .27D .3610.一射手对靶射击,直到第一次命中为止每次命中的概率为0.6,现有4颗子弹,命中后的剩余子弹数目ξ的期望为 ( )A.2.44B.3.376C.2.376D.2.4 11.相关变量x 、y 的样本数据如下表:X 1 2 3 4 5 y22356经回归分析可得y 与x 线性相关,并由最小二乘法求得回归直线方程为ˆ 1.1y x a =+,则a = ( )A 、0.1B 、0.2C 、0.3D 、0.4 12.设随机变量ξ~B(2,p),η~B(4,p),若95)1(=≥ξp ,则)2(≥ηp 的值为 ( ) (A) 8132 (B) 2711 (C) 8165 (D) 8116图2第Ⅱ卷(本卷共计90分)二、填空题:(本大题共4小题,每小题5分,共20分)13.甲从学校乘车回家,途中有3个交通岗,假设在各交通岗遇红灯的事件是相互独立的,并且概率都是52,则甲回家途中遇红灯次数的期望为 。
14.若261(x ax-的二项展开式中3x 项的系数为52,则实数a = 。
15.某数学老师身高175cm ,他爷爷、父亲和儿子的身高分别是172cm 、169cm 、和181cm.因儿子的身高与父亲的身高有关,该老师用线性回归分析的方法预测他孙子的身高 为 cm 。
16.如图所示的程序框图,若输入2015=n ,则输出的s 值为。
三、解答题:(本大题共6小题,共70分,解答应写出文字说明,证明过程,或演算步骤)17.(本小题10分)将数字1,2,3,4任意排成一列,如果数字k 恰好出现在第k 个位置上,则称之为一个巧合,求巧合数ξ的数学期望.18.(本小题12分)已知2n +二项展开式中第三项的系数为180,求: (Ⅰ)含3x 的项;(Ⅱ)二项式系数最大的项.某大型商场一周内被消费者投诉的次数用ξ表示.据统计,随机变量Arrayξ的概率分布列如下:(Ⅰ)求x的值和ξ的数学期望;(Ⅱ)假设第一周与第二周被消费者投诉的次数互不影响,求该大型商场在这两周内共被消费者投诉2次的概率.20. (本小题满分12分)一个盒子内装有8张卡片,每张卡片上面写着1个数字,这8个数字各不相同,且奇数有3个,偶数有5个.每张卡片被取出的概率相等.(1)如果从盒子中一次随机取出2张卡片,并且将取出的2张卡片上的数字相加得到一个新数,求所得新数是奇数的概率;(2)现从盒子中一次随机取出1张卡片,每次取出的卡片都不放回盒子,若取出的卡片上写着的数是偶数则停止取出卡片,否则继续取出卡片.设取出了ξ次才停止取出卡片,求ξ的分布列和数学期望.某企业通过调查问卷(满分50分)的形式对本企业900名员土的工作满意度进行调查,并随机抽取了其中30名员工(16名女员工,14名男员工)的得分,如下表:(1)根据以上数据,估计该企业得分大于45分的员工人数;(2)现用计算器求得这30名员工的平均得分为40.5分,若规定大于平均得分为‘满意’,否则为“不满意”,请完成下列表格:〔3)根据上述表中数据,利用独立性检验的方法判断,能否在犯错误的概率不超过1% 的前提下,认为该企业员工“性别”与“工作是否满意”有关?参考数据:参考公式:22()()()()()n ad bcKa b c d a c b d-=++++PM2.5是指空气中直径小于或等于2.5微米的颗粒物(也称可入肺颗粒物).为了探究车流量与PM2.5的浓度是否相关,现采集到某城市周一至周五某一时间段车流量与PM2.5的数据如下表:(1(2)根据上表数据,用最小二乘法求出y关于x的线性回归方程y bx a=+;(3)若周六同一时间段车流量是25万辆,试根据(2)求出的线性回归方程预测,此时PM2.5的浓度为多少(保留整数)?必修3,选修2-3,选修2-1简易逻辑、圆锥曲线1.已知随机变量ξ的的分布列如右表,则随机变量ξ的方差D ξ等于A .0B .0.8C .2D .12.通过随机询问110名性别不同的大学生是否爱好某项运动,得到如下的列联表:由()()()()()22n ad bc K a b c d a c b d -=++++算得,()22110403020207860506050K .⨯-⨯=≈⨯⨯⨯.附表:参照附表,得到的正确结论是A .在犯错误的概率不超过0.1%的前提下,认为“爱好该项运动与性别有关”B .在犯错误的概率不超过0.1%的前提下,认为“爱好该项运动与性别无关”C .有99%以上的把握认为“爱好该项运动与性别有关”D .有99%以上的把握认为“爱好该项运动与性别无关” 3.在二项式51x +()的展开式中,含4x 的项的系数是A .-10B .10C .-5D .54.甲、乙等五名医生被分配到A B C D 、、、四个不同的岗位服务,每个岗位至少一名医生,则甲、乙两人各自独立承担一个岗位工作的不同分配方法种数为 A .72种B .36种C .144种D .48种5.某班有50名学生,一次考试的成绩N ξξ∈()服从正态分布210010N ,(). 已知901000.3P ξ≤≤()=,估计该班数学成绩在110分以上的人数为 .6.用数字12345,,,,组成的无重复数字的四位偶数的个数为 .(用数字作答)7.从装有1n +个球(其中n 个白球,1个黑球)的口袋中取出m 个球0*m n m n N <≤∈(,,),共有1m n C +种取法.在这1m n C +种取法中,可以分成两类:一类是取出的m 个球不含黑球,共有01mn C C ⋅种取法;另一类是取出的m 个球中含有黑球,共有111m n C C -⋅.因此,有011111m m m n n n C C C C C -+⋅+⋅=成立,即有等式11m m m n n n C C C -++=成立.试根据上述思想化简下列式子:1122m m m k m kn k n k n k n C C C C C C C ---+⋅+⋅++⋅=.1,,,*k m n k m n N ≤<≤∈().8.(本小题满分14分)某同学在研究性学习中,收集到某制药厂今年前5个月甲胶囊生产产量(单位:万盒)的数据如下表所示:(1)该同学通过作散点图,发现样本点呈条状分布,月份和甲胶囊生产产量有比较好的线性相关关系,因此可以用线性直线ˆˆˆybx a =+来近似刻画它们之间的关系.为了求出y 关于x 的线性回归方程ˆˆˆybx a =+,根据表中数据已经正确计算出ˆ0.6b =,试求出ˆa 的值,并估计该厂6月份生产的甲胶囊产量数;(2)若某药店现有该制药厂今年二月份生产的甲胶囊4盒和三月份生产的甲胶囊5盒,小红同学从中随机购买了3盒甲胶囊,后经了解发现该制药厂今年二月份生产的所有甲胶囊均存在质量问题.记小红同学所购买的3盒甲胶囊中存在质量问题的盒数为ξ,求ξ的分布列和数学期望.(参考公式:用最小二乘法求线性回归方程系数公式1221ˆni i i nii x ynx ybxnx ==-⋅=-∑∑,ˆay bx =-.)9.(本小题满分14分)有同寝室的四位同学分别写一张贺年片,先集中起来,然后每人去拿一张.记自己拿到自己写的贺年片的人数为ξ.(1)求随机变量ξ的概率分布; (2)求ξ的数学期望与方差.10.(本小题满分14分)设12,F F 分别是椭圆2222:1x y C a b +=(0)a b >>的左、右焦点,椭圆C 上的点3(1,)2A 到12,F F 两点的距离之和等于4. (1)求椭圆C 的方程;(2)设点P 是椭圆C 上的动点,1(0,)2Q ,求PQ 的最大值.11. (本小题满分14分) 如图所示,抛物线E 关于x 轴对称,它的顶点在坐标原点,点P (1,2),A (x 1,y 1),B (x 2,y 2)均在抛物线上.(1)求抛物线E 的标准方程及其准线方程;(2)当P A 与PB 的斜率存在且倾斜角互补时,求y 1+y 2的值及 直线AB 的斜率.12.已知F 1,F 2为双曲线C :x 2-y 2=2的左、右焦点,点P 在C 上,|PF 1|=2|PF 2|,则cos ∠F 1PF 2=( )A .34 B .35 C . 14 D .4513.下面四个条件中,使a >b 成立的充分而不必要的条件是( )A .a >b +1B .a >b -1C .a 2>b 2D .a 3>b 314.已知直线y=k(x+2)(k >0)与抛物线C :y 2=8x 相交于A 、B 两点,F 为C 的焦点.若|FA|=2|FB|,则k=( )A.31 B.32 C.32D.32215.如果222=+ky x 表示焦点在y 轴上的椭圆,那么实数k 的取值范围是( ) 16.(本小题满分10分)已知命题P 函数log (12)a y x =-在定义域上单调递增; 命题Q 不等式2(2)2(2)40a x a x -+--<对任意实数x 恒成立 若Q P ∨是真命题,求实数a 的取值范围17.(本小题满分12分)已知点P 是⊙O :229x y +=上的任意一点,过P 作PD 垂直x 轴于D ,动点Q 满足23DQ DP =。