山东大学本科线性代数作业卷答案-2
- 格式:pdf
- 大小:159.23 KB
- 文档页数:3
XXX 学年期末考试试卷《线性代数》期末考试题及详细答案(本科试卷二)一、填空题(将正确答案填在题中横线上。
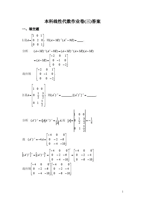
每小题2分,共10分);1. 若02215131=---x ,则=χ__________。
2.若齐次线性方程组⎪⎩⎪⎨⎧=++=++=++000321321321x x x x x x x x x λλ只有零解,则λ应满足 。
3.已知矩阵n s ij c C B A ⨯=)(,,,满足CB AC =,则A 与B 分别是 阶矩阵。
4.矩阵⎪⎪⎪⎭⎫⎝⎛=323122211211a a a a a a A 的行向量组线性 。
5.n 阶方阵A 满足032=--E A A ,则=-1A 。
二、判断正误(正确的在括号内填“√”,错误的在括号内填“×”。
每小题2分,共10分);1. 若行列式D 中每个元素都大于零,则0〉D 。
( )2. 零向量一定可以表示成任意一组向量的线性组合。
( )3. 向量组m a a a ,,, 21中,如果1a 与m a 对应的分量成比例,则向量组sa a a ,,, 21课程代码:适用班级:命题教师:任课教师:线性相关。
( )4. ⎥⎥⎥⎥⎦⎤⎢⎢⎢⎢⎣⎡=0100100000010010A ,则A A =-1。
( ) 5. 若λ为可逆矩阵A 的特征值,则1-A 的特征值为λ。
( )三、单项选择题 (每小题仅有一个正确答案,将正确答案题号填入括号内。
每小题2分,共10分);1. 设A 为n 阶矩阵,且2=A ,则=TA A ( )。
① n2;② 12-n ; ③ 12+n ; ④ 4;2. n 维向量组 s ααα,,, 21(3 ≤ s ≤ n )线性无关的充要条件是( )。
① s ααα,,, 21中任意两个向量都线性无关;② s ααα,,, 21中存在一个向量不能用其余向量线性表示; ③ s ααα,,, 21中任一个向量都不能用其余向量线性表示; ④ s ααα,,, 21中不含零向量;3. 下列命题中正确的是( )。
♠山东大学2019-2020学年第一学期数学系《线性代数》试卷一、(24 分)填空题:1. 设n 阶方阵 A 的行列式 A = 2 ,则 A-1 2⋅ A = 122. 设 A 为n 阶可逆阵,则下列 C 恒成立。
(A) (2 A )-1= 2 A -1(C)ϒ( A -1)-1/T= ϒ( A T )-1 /-1(B ) (2 A -1 )T= (2 A T )-1 (D)ϒ( A T )T /-1= ϒ( A -1)-1/T≤'∞ƒ '≤∞ƒ≤'∞ƒ '≤ ∞ƒ3. 若向量组a 1, a 2 ,·, a r (A ) r ≤ s可由另一向量组b 1, b 2 ,·, b s 线性表示,则 C。
(B ) r ≥ s(C ) a 1, a 2 ,·, a r 的秩≤ b 1, b 2 ,·, b s 的秩(D ) a 1, a 2 ,·, a r 的秩≥ b 1, b 2 ,·, b s 的秩♣kx 1 + kx 2 + x 3 = 04. 当k 满足时,齐次线性方程组♦2x 1+ kx 2 + x 3 = 0 有非零解。
♠kx - 2x + x = 0 ♥ 1 2 35. 若齐次线性方程组的一个基础解系为ξ1, ξ2 , ξ3 ,则 D也是该其次线性方程组的基础解系。
(A) ξ1 + ξ2 , ξ2 + ξ3 , ξ3 - ξ1(C) ξ1 - ξ2 , ξ2 + ξ3 , ξ3 + ξ1(B) ξ1 + ξ2 , ξ2 - ξ3 , ξ3 + ξ1(D) ξ1 + ξ2 , ξ2 + ξ3 , ξ3 + ξ16. 设 4 阶方阵 A 的秩为 2,则其伴随阵 A * 的秩为 0。
0 0 1 7. 矩阵 A =0 1 0 的三个特征值为 1,1,-1 。
1 0 08. 二次型 f ( x , x , x ) = x 2 + 2x x1 1 0 + 3x 2的矩阵 A = 1 30 。
线性代数练习题 第一章 行 列 式系 专业 班 姓名 学号第一节 行列式的定义一.选择题1.若行列式x52231521- = 0,则=x [ C ] (A )2 (B )2- (C )3 (D )3- 2.线性方程组⎩⎨⎧=+=+473322121x x x x ,则方程组的解),(21x x = [ C ](A )(13,5) (B )(13-,5) (C )(13,5-) (D )(5,13--)3.方程093142112=x x根的个数是 [ C ] (A )0 (B )1 (C )2 (D )34.下列构成六阶行列式展开式的各项中,取“+”的有 [ A D ] (A )665144322315a a a a a a (B )655344322611a a a a a a (C )346542165321a a a a a a (D )266544133251a a a a a a 5.若55443211)541()1(a a a a a l k l k N -是五阶行列式ij a 的一项,则l k ,的值及该项的符号为[ B ](A )3,2==l k ,符号为正; (B )3,2==l k ,符号为负; (C )2,3==l k ,符号为正; (D )2,3==l k ,符号为负6.下列n (n >2)阶行列式的值必为零的是 [ B ] (A) 行列式主对角线上的元素全为零 (B) 三角形行列式主对角线上有一个元素为零 (C) 行列式零的元素的个数多于n 个 (D) 行列式非零元素的个数小于n 个 二、填空题 1.行列式1221--k k 0≠的充分必要条件是 3,1k k ≠≠-2.排列36715284的逆序数是 133.已知排列397461t s r 为奇排列,则r = 2,8,5 s = 5,2,8 ,t = 8,5,2 4.在六阶行列式ij a 中,623551461423a a a a a a 应取的符号为 负 。
线性代数大学试题及答案一、选择题(每题5分,共20分)1. 设矩阵A为3阶方阵,且|A|=2,则矩阵A的伴随矩阵|adj(A)|的值为()。
A. 4B. 8C. 2D. 1答案:B2. 若向量a=(1, 2, 3),向量b=(2, 3, 4),则向量a和向量b的点积为()。
A. 11B. 12C. 13D. 14答案:C3. 设矩阵A和矩阵B为同阶方阵,且AB=I,则矩阵A和矩阵B互为()。
A. 伴随矩阵B. 逆矩阵C. 转置矩阵D. 正交矩阵答案:B4. 设矩阵A为3阶方阵,且A的特征多项式为f(λ)=λ(λ-1)(λ-2),则矩阵A的特征值为()。
A. 0, 1, 2B. 0, 1, 3C. 1, 2, 3D. 2, 3, 4答案:A二、填空题(每题5分,共20分)1. 设矩阵A=\[\begin{bmatrix}1 & 2 \\ 3 & 4\end{bmatrix}\],则矩阵A的行列式|A|=______。
答案:-22. 设向量a=(1, 2),向量b=(3, 4),则向量a和向量b的叉积为向量c=(______, ______)。
答案:-2, 63. 设矩阵A=\[\begin{bmatrix}1 & 2 \\ 3 & 4\end{bmatrix}\],矩阵B=\[\begin{bmatrix}2 & 1 \\ 4 & 3\end{bmatrix}\],则矩阵A和矩阵B的乘积AB=______。
答案:\[\begin{bmatrix}10 & 11 \\ 22 & 25\end{bmatrix}\]4. 设矩阵A的特征值为λ1=2,λ2=3,则矩阵A的特征多项式为f(λ)=______(λ-2)(λ-3)。
答案:(λ-2)(λ-3)三、解答题(每题10分,共60分)1. 已知矩阵A=\[\begin{bmatrix}1 & 2 \\ 0 & 3\end{bmatrix}\],求矩阵A的逆矩阵。
线性代数试题及答案解析一、选择题(每题4分,共40分)1. 矩阵A和矩阵B相乘,得到的结果矩阵的行列数为()。
A. A的行数乘以B的列数B. A的行数乘以B的行数C. A的列数乘以B的列数D. A的列数乘以B的行数答案:D解析:矩阵乘法中,结果矩阵的行数等于第一个矩阵的行数,列数等于第二个矩阵的列数。
2. 向量α和向量β线性相关,则下列说法正确的是()。
A. α和β可以是零向量B. α和β可以是任意向量C. α和β中至少有一个是零向量D. α和β中至少有一个是另一个的倍数答案:D解析:线性相关意味着存在不全为零的系数,使得这些系数乘以对应的向量和为零向量,因此至少有一个向量是另一个向量的倍数。
3. 对于n阶方阵A,下列说法不正确的是()。
A. A的行列式可以是0B. A的行列式可以是负数C. A的行列式可以是正数D. A的行列式一定是正数答案:D解析:方阵的行列式可以是正数、负数或0,因此选项D不正确。
4. 矩阵A和矩阵B相等,当且仅当()。
A. A和B的对应元素相等B. A和B的行数相等C. A和B的列数相等D. A和B的行数和列数都相等答案:A解析:两个矩阵相等,必须满足它们具有相同的行数和列数,并且对应元素相等。
5. 向量组α1,α2,…,αn线性无关的充分必要条件是()。
A. 由这些向量构成的矩阵的行列式不为0B. 这些向量不能构成齐次方程组的非零解C. 这些向量不能构成齐次方程组的非平凡解D. 这些向量可以构成齐次方程组的平凡解答案:C解析:向量组线性无关意味着它们不能构成齐次方程组的非平凡解,即唯一的解是零向量。
6. 矩阵A可逆的充分必要条件是()。
A. A的行列式不为0B. A的行列式为1C. A的行列式为-1D. A的行列式为任何非零数答案:A解析:矩阵可逆当且仅当其行列式不为0。
7. 矩阵A的特征值是()。
A. 矩阵A的行数B. 矩阵A的列数C. 矩阵A的对角线元素D. 满足|A-λI|=0的λ值答案:D解析:矩阵的特征值是满足特征方程|A-λI|=0的λ值。
习 题 解 答习 题 一 (A)1.(1)c x c x c x 321,32,2,其中c 为任意常数;(2)无解; (3)41,41,45321x x x ;(4)3,4,1,24321 x x x x . 2.(1)行阶梯形: 100210221(不唯一);行最简形:100010001;(2)行阶梯形:0000510402321(不唯一);行最简形:000045251021201; (3)行阶梯形: 001011(不唯一);行最简形:001001;(4)行阶梯形:00000007001052011111(不唯一);行最简形:0000000100210010211001. 3.(1)920,97,32321 x x x ;(2)无解;(3)c x c x c x x 4321,2232,215,247,其中c 为任意常数;(4)2542312211,0,34,,2122c x x c x c x c c x ,其中21,c c 为任意常数.(B)1. 1 ,通解为2312211,,1c x c x c c x ,其中21,c c 为任意常数. 3. A 公司的联合收入为309390.86元,实际收入为216573.60元; B 公司的联合收入为137309.64元,实际收入为27461.93元;C 公司的联合收入为186548.22元,实际收入为55964.47元.(A)1.(1)1;(2)()xy y x ;(3)18;(4)3a ;(5)3a . 2.(1)abcd ;(2)!)1(1n n .3.(1)abcdef 4 ;(2)192;(3)3(4)a x x ;(4)215 ;(5) ni n i i i a a 11)11(.4.(1)7 ;(2)18;(3)2311(1)n n a a a a a ;(4)12112(1)1n n n D D D D n n . 5.(1)提示:1n n n D D ,1n n n D D . 6. ()()()()a b c b a c a c b .7.14243444A +A +A +A 0 ;1112131411121314+84M M M M A A A A . 8.(1)1,3,2,14321 x x x x ;(2)1,2,0,14321 x x x x . 9. 3 . 10. 1 或0 .(B)1. A ;D ;C ;C .2. ))((12211221d b d b c a c a .3. 4x .4.12(1)(1)2n n n . 5. 556D a . 6.1110n n n x a x a x a . 10. (1)1;(2)01 y x .(A)1. D 是数量矩阵,也是对角矩阵;A 、C 是三角矩阵;B 都不是.2. (1)347100411;(2)110577695 .3. 45.4.(1)09018;(2)866 ;(3)10;(4)321642963;(5)3E ; (6)222111222333121213132323222a x a x a x a x x a x x a x x .5.(1)1003343301AB ,1030433010BA; (2)906()()600609A B A B ,22006300600A B. 6.0b c B b,其中c b ,为任意常数. 7.(1)cos sin sin cos k k k k;(2)1201k ;(3)2101001k k C k. 8. n A 111123232133312n11112113233323323233n n n n n n n n n .10.(1)53525451;(2) 133012001;(3)A 91;(4)A 41.11.(1)152384;(2) 001;(3)987654321. 12. 2B A .14. 12A E 2E A .16.(1)161;(2)4;(3)16125. 17. 18A.18.(2)20111100200,611A A PBP A.19.(1)125101220049009;(2)bd c c bd d ac ac d . 20.(1)51000515105352;(2)213200213100005251005153;(3)10000203200011001500088110044. 21.41400100004140004041A.22.8A ,201220128A . 23.(2)000000000001112111n n a a a a.24.(1)A 不可逆;(2)122999212999221999;(3)11240101113621610 ;(4)A 不可逆. 25.(1)645212333 ;(2)123456789.26.(1)2;(2)2;(3)2;(4)3.27. 3 .28. 当1k 且2k 时,3)( A R ;当1k 时,()1R A ;当2k 时,()2R A . 29. 2. 31.2;1.32.(1)只有零解;(2) 2,1,1321 x x x ;(3)(1,7,5,2)T X c ,其中c 为任意常数;(4)无解; (5)(2,1,1)(7,1,0)T T X c ,其中c 为任意常数;(6)12(1,1,0,0)(7,0,3,1)(4,0,1,0)T T TX c c ,其中12,c c 为任意常数.33.(1)0 且3 时,方程组有唯一解;当0 时,无解;当3 时,无穷多解. (2)1 且10 时,方程组有唯一解;当10 时,无解;当1 时,无穷多解. 34. 当1 时,方程组有无穷多解,通解为(1,2,1)(1,1,0)T T X c ,其中c 为任意常数.35.0111321321y y y x x x . (B)1. C ;C ;C ;D ;A .2.1()0T T E A B A . 3.B 13.4. 1()E B320021001. 5.000020002. 6.110441104411044X. 7.1221,c X c c c 为任意常数. 8. 当111a a n 且时, ()R A n ;当1a 时, ()1R A ; 当11a n时, ()1R A n . 9. 当62 q p 时,方程组的通解为(2,6,1,2)T X c ,其中c 为任意常数.10. 当1 a 且54a 时,方程组有唯一解;当1 a 时,通解为(0,1,1)(1,1,0)T T X c ,其中c 为任意常数;当54a 时,方程组无解.11. 3 t .14. E B E A 1)(.习 题 四 (A)1. T v v )1,0,1(21 ,T v v v )2,1,0(23321 .2.(1)1(0,1,2)3T X;(2)(3,1,4)T X . 3.(1)12341(5)4;(2)123422 .4.(1)线性相关;(2)线性相关;(3)线性无关;(4)线性相关.7. 11222331311,2211,2211.2211.(1)3),,(321 R ,本身为一个极大无关组; (2)2),,,(4321 R ,21, 为一个极大无关组,且21395911,2149492 ; (3)3),,,,(54321 R ,421,, 为一个极大无关组,且2133 ,4215 .15.(1)12, 为由向量组123,, 生成的向量空间的一组基,且维数为2;(2))2,1(. 16. 71(,8,22 .17.(1)27714192094128P;(2)1393824X. 18.T )1,1,1,1( .19.(1)方程组的一个基础解系(0,1,1)T ,通解为 c X ,其中c 为任意常数;(2)方程组的一个基础解系1(1,3,2,0)T,T )1,0,1,0(2 ,通解为2211 c c X ,其中21,c c 为任意常数;(3)方程组的一个基础解系T )0,0,1,2(1 ,T )7,5,0,2(2 ,通解为2211 c c X ,其中21,c c 为任意常数;(4)方程组的一个基础解系T )0,0,1,1,0(1 ,T )0,1,0,1,0(2 ,T )3,0,0,5,1(3 , 通解为332211 c c c X ,其中321,,c c c 为任意常数. 20.(1)TX )4,54,513,514(; (2)通解为123(3,2,0,0,0)(1,2,1,0,0)(1,2,0,1,0)(5,6,0,0,1)T T T T X c c c 其中123,,c c c 为任意常数. (3)(3,3,5,0)T X .21. 方程组的通解为*(2,0,1)(1,2,2)T T X c c ,其中c 为任意常数.(B)1.(1)1 可由432,, 线性表示;(2)4 不能由321,, 线性表示.2. 当b a 且11b a n时,12,,,0n ,向量组12,,,n 线性无关; 当b a 或11b a n 时,12,,,0n ,向量组12,,,n 线性相关.3. (1)若s ,,,21 线性无关,则当s 为偶数时,s ,,,21 线性相关; 当s 为奇数时,s ,,,21 线性无关;(2)若s ,,,21 线性相关,则s ,,,21 线性相关.10.(2)101110011;(3)111(,,222T .11. 当0A ,即0)1( p q 时只有零解;当0A ,即0)1( p q 时有非零解,且通解为(1,1,1)T X c p ,其中c 为任意常数. 12. B .13. 当3a b 时方程组有解,且方程组的通解为T T T T c c c X )1,0,0,6,5()0,1,0,2,1()0,0,1,2,1()0,0,0,3,3(321 ,其中321,,c c c 为任意常数.14. (1,1,1,1)(1,2,3,4)T T X c ,其中c 为任意常数.习 题 五(A)1.(1)A 的特征值为121,6 ;属于11的线性无关的特征向量1(1,1)T ,全部特征向量为111,0k k ;属于62 的线性无关的特征向量是2(1,4)T ,全部特征向量为222,0k k ;(2)A 的特征值为2,132,1 ;属于12,1 的线性无关的特征向量是1(2,1,2)T ,全部特征向量为111,0k k ;属于23 的线性无关的特征向量是2(0,0,1)T ,全部特征向量为222,0k k ;(3)A 的特征值为4,232,1 ;属于特征值22,1 的线性无关的特征向量为12(1,1,0),(1,0,1)T T ,全部特征向量为1122k k 21,(k k 不全为零);属于34 的线性无关的特征向量是3(1,1,2)T ,全部特征向量为333,0k k ;(4)A 的特征值为1,231,3 ;属于特征值12,1 的线性无关的特征向量为1(1,2,1)T ,全部特征向量为111,0k k ;属于特征值33 的线性无关的特征向量为2(1,2,2)T ,全部特征向量为222,0k k ;(5)A 的特征值为21 ,12 ,43 ;属于特征值21 的线性无关的特征向量为1(1,2,2)T ,全部特征向量为111,0k k ;属于特征值12 的线性无关的特征向量为2(2,1,2)T ,全部特征向量为222,0k k ;属于特征值43 的线性无关的特征向量为3(2,2,1)T ,全部特征向量为333,0k k ;(6)A 的特征值为2,132,1 ;属于特征值12,1 的线性无关的特征向量为12(0,1,0),(1,0,1)T T ,全部特征向量为112212,,k k k k 不全为0;属于特征值23 的线性无关的特征向量为3(0,1,3)T ,全部特征向量为333,0k k .2. 4 a .3. 1 x .4.288B . 5. A A A 7523 的特征值为3; *A 特征值为6,3,2.6.(1)A 的特征值为2,132,1 ;属于特征值12,1 全部特征向量为T T k k )1,0,0()0,1,2(21 ,1k 、2k 不全为0;属于特征值23 全部特征向量为T k )3,1,5(3 ,03 k . (2)*A 的特征值为1,2,2 . (3)123E A 的特征值为1,1 ,72. 9.6 .10. 1,0 y x . 11. 0 a .12.(1)1,3,0a b ;(2)A 不能相似对角化.13.(1)A 不能与对角矩阵相似;(2)A 与对角矩阵相似,213105016P;(3)A 与对角矩阵相似,201101011P.14.111101011P ,m A 2)1(5)1(5)1(5)1(52)1(5)1(5)1(5)1(52)1(531111111m m m m m m m m m m m m m m m m m m . 15.633312321A .17. 7,15 ,1056arccos, .18.3 T1,0,1 .19.12(5,3,1,0)(5,3,0,1)T T k k ,其中1k 、2k 为任意常数. 20.(1)T 0,21,211 ,T62,61,612 ,T31,31,313 ; (2)T )21,21,21,21(1 ,T )21,21,21,21(2 ,T )21,21,21,21(3 . 21.(1)12212123221Q;(2)10000Q; (3)123132(,,)3203Q; (4)123132(,,)3203Q. 22. 属于特征值3的特征向量为3322 k k ,2k 、3k 不全为0.23.010100001.24.(1)A 的另一特征值03 .A 的属于特征值03 全部特征向量为Tk k )1,1,1( 0k ;(2)A422242224.(B)一. A ;C ;D ;C ;B ;A ;A ;B ;B ;B ;A ;C ;D ;B ;B ;B ;B ;B ;C ;D二.1.20042230022030001BA E A . 2.(1)2,2x y ;(2)属于1,22 的线性无关的特征向量为T T )1,0,1(,)0,1,1(21 ;属于63 的线性无关的特征向量为T )3,2,1(3 ;123()P3.(1) 1,231,5 ;(2) 1 A E 的特征值为1,234(1)2,(5)5g g . 4. 当1,1x y 时或1 x 时,A 有三个线性无关的特征向量.5.(2)1100011001P AP.6.(1)A 的特征值为1,230,3 .属于1,20 的线性无关的特征向量为12, ;属于33 的线性无关的特征向量为3 ;(2)T 22,22,0(1 ,T66,66,36(2,3,,)333T,123(,,)Q . 7.(1)0 a ,2 b ;(2)1(1,0,1)T p ,2(0,2,1)T p ,3(0,1,1)T p ,123(,,)P p p p ;(3)121221222222002331101100100101100101100100A. 8. A 的特征值为120,1 .9.(1)B 的特征值为123(1)2,(2)1,(2)1 ;B 的属于12 的线性无关的特征向量为T )1,1,1(1 ,全部特征向量为111,0k k ;B 的属于2,31 的线性无关的特征向量,全部特征向量为112212,,k k k k 不全为零;(2)011101110B.10.(1)0;(2)A 的特征值全为零,属于特征值0的全部特征向量为112211n n k k k ,其中121,,,n k k k 是不全为零的任意常数.11. *A 有特征值4/3. 12.(1)a=-2;(2)TT T )31,31,31(,)61,62,61(,21,0,21(121),,(321 Q .13.(1)32122 ;(2)n A T n n n n n n )322,322,322(23121 .14. (1)若2 是特征多项式的二重根,则2a ,A 可相似对角化; (2)若2 不是特征多项式的二重根,则32a ,A 不能相似对角化. 15.(1)11n n n n x x A y y ,其中5310152109A ; (2)1 是A 的属于特征值11 的特征向量,2 是A 的属于特征值12 的特征向量;又21 ,所以1 ,2 线性无关;(3)n n n n y x 23223810111. 16.(1)0k ;(2)令120002111)(321P ,有1100010001P AP. 17.(1)0,3,1 b a ;(2) 对应的特征值为1,2,31 ;(3)A 不能相似对角化. 18. E B 2 的特征值分别为9、3;对应于特征值1,29 的全部特征向量为12(1,1,0)(1,1,1)T T k k ,其中21,k k 是不全为零的常数;对应于特征值33 的全部特征向量为3(0,1,1)T k ,30k .19. 1a ; 101211 , 121612 ,111313 ,令123(,,)Q ,有500020004AQ Q T .习 题 六 (A )1.(1)51222225222A ;(2)502022010510020001A ;(3)1100011100011100011100011A;(4)3512232125132A.2. 3a .3.(1)可逆线性变换1111222333111112011011001001x w w x w w x w w,二次型的标准形为22212347f w w w ; (2)可逆线性变换为1111222333110101111110010111001001001x z z x z z x z z,二次型的标准形为222123f z z z ; (3)可逆线性变换1111222333511111211010122001001x w w x w w x w w, 二次型的标准形为22212349f w w w ;(4)可逆线性变换1111222333111112013013001001x w w x w w x w w,二次型的标准形为2221235f w w w .4.(1)1T,23(,(T T,令正交矩阵123(,,)Q ,得正交变换X QY ,二次型的标准形为222333f y y ; (2)1221(,,333T ,2212(,,)333T ,3122(,,)333T,令正交矩阵123(,,)Q ,得正交变换X QY ,二次型的标准形为22212325f y y y ;(3)12(,(T T,3T,令正交矩阵123(,,)Q ,得正交变换X QY ,二次型的标准形为222122333f y y y ;(4)12(0),T T,3(T,令正交矩阵123(,,)Q ,得正交变换X QY ,二次型的标准形为2221232f y y y . 5.(1)正定;(2)负定. 6.405a. 7.(1)正定;(2)负定.(B)2. 3a ;123(,,)1f x x x 是一椭圆柱面.3. 2254548x xy y 表示椭圆曲线.4.(1)最大值为7,;T(2)最大值为4,(.T。
线性代数课后习题答案山大
《线性代数课后习题答案山大》
在学习线性代数课程的过程中,课后习题是巩固知识、提高能力的重要环节。
为了帮助学生更好地掌握线性代数的知识,我们整理了一些课后习题的答案,
以便同学们在学习中进行参考和对比。
1. 矩阵A与B的乘积AB存在的充要条件是什么?如果AB存在,它的秩是多少?答:矩阵A的列数等于矩阵B的行数时,AB存在。
如果AB存在,它的秩等于
矩阵A的秩。
2. 设A为n阶方阵,证明:A与A'的秩相等。
答:A与A'的秩相等是因为A与A'的秩都等于A的秩。
3. 设A为n阶方阵,证明:A与A'的行秩相等。
答:A与A'的行秩相等是因为A与A'的行空间相同。
4. 设A为n阶方阵,证明:A与A'的列秩相等。
答:A与A'的列秩相等是因为A与A'的列空间相同。
5. 设A为n阶方阵,证明:A与A'的零空间维数之和等于n。
答:A与A'的零空间维数之和等于n是因为A与A'的秩加上零空间维数等于n。
通过以上习题答案的整理,我们可以更好地理解线性代数中的一些概念和定理。
希望同学们在学习线性代数的过程中,能够加深对知识点的理解,提高解题能力,为今后的学习和工作打下坚实的基础。
《线性代数》作业及参考答案一.单项选择题1.设行列式a aa a11122122=m,a aa a13112321=n,则行列式a a aa a a111213212223++等于()A. m+nB. -(m+n)C. n-mD. m-n2.设矩阵A=100020003⎛⎝⎫⎭⎪⎪⎪,则A-1等于()A.130012001⎛⎝⎫⎭⎪⎪⎪⎪⎪⎪B.100120013⎛⎝⎫⎭⎪⎪⎪⎪⎪⎪C.13000100012⎛⎝⎫⎭⎪⎪⎪⎪⎪D.120013001⎛⎝⎫⎭⎪⎪⎪⎪⎪⎪3.设矩阵A=312101214---⎛⎝⎫⎭⎪⎪⎪,A*是A的伴随矩阵,则A *中位于(1,2)的元素是()A. –6B. 6C. 2D. –24.设A是方阵,如有矩阵关系式AB=AC,则必有()A. A =0B. B≠C时A=0C. A≠0时B=CD. |A|≠0时B=C5.已知3×4矩阵A的行向量组线性无关,则秩(A T)等于()A. 1B. 2C. 3D. 46.设两个向量组α1,α2,…,αs和β1,β2,…,βs均线性相关,则()A.有不全为0的数λ1,λ2,…,λs使λ1α1+λ2α2+…+λsαs=0和λ1β1+λ2β2+…λs βs=0B.有不全为0的数λ1,λ2,…,λs使λ1(α1+β1)+λ2(α2+β2)+…+λs(αs+βs)=0C.有不全为0的数λ1,λ2,…,λs使λ1(α1-β1)+λ2(α2-β2)+…+λs(αs-βs)=0D.有不全为0的数λ1,λ2,…,λs和不全为0的数μ1,μ2,…,μs使λ1α1+λ2α2+…+λsαs=0和μ1β1+μ2β2+…+μsβs=07.设矩阵A的秩为r,则A中()A.所有r-1阶子式都不为0B.所有r-1阶子式全为0C.至少有一个r阶子式不等于0D.所有r阶子式都不为08.设Ax=b是一非齐次线性方程组,η1,η2是其任意2个解,则下列结论错误的是()A.η1+η2是Ax=0的一个解B.12η1+12η2是Ax=b的一个解C.η1-η2是Ax=0的一个解D.2η1-η2是Ax=b的一个解9.设n阶方阵A不可逆,则必有()A.秩(A)<nB.秩(A)=n-1C.A=0D.方程组Ax=0只有零解10.设A是一个n(≥3)阶方阵,下列陈述中正确的是()A.如存在数λ和向量α使Aα=λα,则α是A的属于特征值λ的特征向量B.如存在数λ和非零向量α,使(λE-A)α=0,则λ是A的特征值C.A的2个不同的特征值可以有同一个特征向量D.如λ1,λ2,λ3是A的3个互不相同的特征值,α1,α2,α3依次是A的属于λ1,λ2,λ3的特征向量,则α1,α2,α3有可能线性相关11.设λ0是矩阵A的特征方程的3重根,A的属于λ0的线性无关的特征向量的个数为k,则必有()A. k≤3B. k<3C. k=3D. k>312.设A是正交矩阵,则下列结论错误的是()A.|A|2必为1B.|A|必为1C.A-1=A TD.A的行(列)向量组是正交单位向量组13.设A是实对称矩阵,C是实可逆矩阵,B=C T AC.则()A.A与B相似B. A与B不等价C. A与B有相同的特征值D. A与B合同15.设有矩阵Am×n,Bm×s,Cs×m,则下列运算有意义的是()。
线性代数试题测试卷及答案2套一、填空题1.四阶行列式中含有因子112432a a a 的项为_________.2.行列式222111ab c a b c 的值为_________. 3.设矩阵1000010000210022⎛⎫⎪⎪= ⎪⎪⎝⎭A ,则1-=A _________.4.设四元齐次线性方程组的系数矩阵的秩为1,则其解空间的维数为_________.5.设矩阵1234(,,,)=A αααα,其中234,,ααα线性无关,12342=-+αααα,向量41i i ==∑βα,则方程=AX β的通解为_________.6.已知三阶矩阵A 的特征值为1,2,3,则32--=A A E _________.二、选择题1.若两个三阶行列式1D 与2D 有两列元素对应相同,且123,2D D ==-,则12D D +的值为( ).A.1B.6-C.5D.02.对任意的n 阶方阵,A B 总有 ( ). A.=AB BA B.=AB BA C.()111---=AB B A D.()222=AB A B3.若矩阵X 满足方程=AXB C ,则矩阵X 为( ).A.11--A B C B.11--A CB C.11--CA B D.条件不足,无法求解4.设矩阵A 为四阶方阵,且()3R =A ,则*()R =A ( ). A.4 B.3 C.2 D.15.下列说法与非齐次线性方程组=AX β有解不等价的命题是( ).A.向量β可由A 的列向量组线性表示B.矩阵A 的列向量组与(,)A β的列向量组等价C.矩阵A 的行向量组与(,)A β的行向量组等价D.(,)A β的列向量组可由A 的列向量组线性表示6.设n 阶矩阵A 和B 相似,则下列说法错误的是( ). A.=A B B.()()R R =A BC.A 与B 等价D.A 与B 具有相同的特征向量7.设222123121323()224f x x x x ax x x x x x =+++-+为正定二次型,则a 满足( ).A.11a a ><-或B.12a <<C.11a -<<D.21a -<<- 三、计算题1.已知12111111111n na a D a ++=+,其中120n a a a ≠,求12n n nn A A A +++.2.设矩阵022110123⎛⎫ ⎪= ⎪ ⎪-⎝⎭A ,且2=+AX A X ,求X .3.求矩阵123451122102151(,,,,)2031311041⎛⎫ ⎪-⎪== ⎪- ⎪-⎝⎭A ααααα的列向量组的一个最大无关组,并把其余列向量用最大无关组线性表示.4.求非齐次线性方程组12341234123431,3344,5980x x x x x x x x x x x x +--=⎧⎪--+=⎨⎪+--=⎩的通解.5.求一个正交变换=X PY ,将二次型123121323(,,)222f x x x x x x x x x =--化成标准形.四、证明题已知n 阶方阵A 和B 满足124-=-A B B E ,证明2不是A 的特征值。
山东大学网络教育2020年线性代数(本)期末考试完整解答
课程名称:线性代数课程代码:0006610014
答案在最后几页课程层次:专升本
一、单选题
1.下列(A )是4级偶排列.
A.4321;
B.4123;
C.1324;
D.2341.
2.如果(
3.0分)
那么(B).
A.8;
B.-12;
C.24;
D.-24.
3.设A与B均为矩阵,满足,则必有(C).
A.;
B.;
C.;
D..
4.向量组线性相关的充要条件是(C)(
A.中有一零向量
B.中任意两个向量的分量成比例
C.中有一个向量是其余向量的线性组合
D.中任意一个向量都是其余向量的线性组合
5.已知是非齐次方程组的两个不同解,是的基础解系,为任意常数,则的通解为(B )
A.
B.
C.
D.
6.λ=2是A的特征值,则的一个特征值是(B)
A.4/3
B.3/4
C.1/2
D.1/4
二、计算题或证明题
1.设矩阵
(1)当k为何值时,存在可逆矩阵P,使得为对角矩阵?
(2)求出P及相应的对角矩阵。
解:
2.设n阶可逆矩阵A的一个特征值为λ,A*是A的伴随矩阵,设|A|=d,证明:d/λ是A*的一个特征值。
解:
3.当a取何值时,下列线性方程组无解、有唯一解、有无穷多解?有解时,求其解.
解:
见下一页
4.求矩阵的逆矩阵
解:。
一、填空题(36分)
1、若矩阵A 满足__A T =A_,则称A 为对称矩阵.
2、设A ,B 是两个3阶矩阵,且det A=-2.det B=-1.则
=. 32 3、
,则齐次线性方程组AX-0必有_
非零__解 4、设mxn 矩阵A 的秩为r ,则非齐次线性方程组Ax=B 有解的充分必要条件是_()B A R r =__
5、二次型)(.,,.........2,1n x x x f ,如果对任意一组不全为零的实数n c c c ,......2,1,
0),......,(21>n c c c f 则称)(.,,.........2,1n x x x f 为___正定__
6、如果向量a.β是正交的,则(a.β)=._0_
7、设AB 是两个3阶矩阵,且det A=-2.det B=-1,则
. 32 8、若数
为矩阵A 的特征值,则齐次线性方程组AX=0必有__非零___解 10、设A.B 是两个3阶矩阵,且det A=-2.det B=-1,则
32 11、设mxn 矩阵A 的秩为r.则非齐次线性方程组Ax=B 有解的充分必要条件是
_()B A R r =__ 12、设A 是mxn 矩阵,B 是pxm 矩阵,则
是_p n ⨯_ 矩阵.
二、计算题(107分)
13、解线性方程组:
解: 该线性方程组的增广矩阵()⎪⎪⎪⎪⎪⎭
⎫ ⎝⎛------=05986741212060311512b A ()⎪⎪⎪⎪⎪⎭⎫ ⎝⎛-------⎪⎪⎪⎪⎪⎭⎫ ⎝⎛--------⎪⎪⎪⎪⎪⎭⎫ ⎝⎛--------1155912001230072106031~1510912002120135706031~95109127702120135706031~b A。
第一部分选择题(共28分)一、单项选择题(本大题共14小题,每小题2分,共28分)在每小题列出的四个选项中只有一个是符合题目要求的,请将其代码填在题后的括号内。
错选或未选均无分。
1.设行列式a aa a11122122=m,a aa a13112321=n,则行列式a a aa a a111213212223++等于()A. m+nB. -(m+n)C. n-mD. m-n2.设矩阵A=100020003⎛⎝⎫⎭⎪⎪⎪,则A-1等于()A.130012001⎛⎝⎫⎭⎪⎪⎪⎪⎪⎪B.100120013⎛⎝⎫⎭⎪⎪⎪⎪⎪⎪C.13000100012⎛⎝⎫⎭⎪⎪⎪⎪⎪D.120013001⎛⎝⎫⎭⎪⎪⎪⎪⎪⎪3.设矩阵A=312101214---⎛⎝⎫⎭⎪⎪⎪,A*是A的伴随矩阵,则A *中位于(1,2)的元素是()A. –6B. 6C. 2D. –24.设A是方阵,如有矩阵关系式AB=AC,则必有()A. A =0B. B≠C时A=0C. A≠0时B=CD. |A|≠0时B=C5.已知3×4矩阵A的行向量组线性无关,则秩(A T)等于()A. 1B. 2C. 3D. 46.设两个向量组α1,α2,…,αs和β1,β2,…,βs均线性相关,则()A.有不全为0的数λ1,λ2,…,λs使λ1α1+λ2α2+…+λsαs=0和λ1β1+λ2β2+…λsβs=0B.有不全为0的数λ1,λ2,…,λs使λ1(α1+β1)+λ2(α2+β2)+…+λs(αs+βs)=0C.有不全为0的数λ1,λ2,…,λs使λ1(α1-β1)+λ2(α2-β2)+…+λs(αs-βs)=0D.有不全为0的数λ1,λ2,…,λs和不全为0的数μ1,μ2,…,μs使λ1α1+λ2α2+…+λsαs=0和μ1β1+μ2β2+…+μsβs=07.设矩阵A的秩为r,则A中()A.所有r-1阶子式都不为0B.所有r-1阶子式全为0C.至少有一个r阶子式不等于0D.所有r阶子式都不为08.设Ax=b是一非齐次线性方程组,η1,η2是其任意2个解,则下列结论错误的是()A.η1+η2是Ax=0的一个解B.12η1+12η2是Ax=b的一个解C.η1-η2是Ax=0的一个解D.2η1-η2是Ax=b的一个解9.设n阶方阵A不可逆,则必有()A.秩(A)<nB.秩(A)=n-1C.A=0D.方程组Ax=0只有零解10.设A是一个n(≥3)阶方阵,下列陈述中正确的是()A.如存在数λ和向量α使Aα=λα,则α是A的属于特征值λ的特征向量B.如存在数λ和非零向量α,使(λE-A)α=0,则λ是A的特征值C.A的2个不同的特征值可以有同一个特征向量D.如λ1,λ2,λ3是A的3个互不相同的特征值,α1,α2,α3依次是A的属于λ1,λ2,λ3的特征向量,则α1,α2,α3有可能线性相关11.设λ0是矩阵A的特征方程的3重根,A的属于λ0的线性无关的特征向量的个数为k,则必有()A. k≤3B. k<3C. k=3D. k>312.设A是正交矩阵,则下列结论错误的是()A.|A|2必为1B.|A|必为1C.A-1=A TD.A的行(列)向量组是正交单位向量组13.设A是实对称矩阵,C是实可逆矩阵,B=C T AC.则()A.A与B相似B. A与B不等价C. A与B有相同的特征值D. A与B合同14.下列矩阵中是正定矩阵的为()A.2334⎛⎝⎫⎭⎪ B.3426⎛⎝⎫⎭⎪C.100023035--⎛⎝⎫⎭⎪⎪⎪D.111120102⎛⎝⎫⎭⎪⎪⎪第二部分非选择题(共72分)二、填空题(本大题共10小题,每小题2分,共20分)不写解答过程,将正确的答案写在每小题的空格内。
线性代数练习题答案线性代数是数学的一个分支,它主要研究向量空间及其线性映射。
以下是一些线性代数练习题的答案,这些答案仅供参考,具体题目和答案可能因教材和课程的不同而有所差异。
问题1:给定矩阵 \( A = \begin{bmatrix} 1 & 2 \\ 3 & 4\end{bmatrix} \),求矩阵 \( A \) 的行列式。
答案:矩阵 \( A \) 的行列式 \( \det(A) \) 可以通过以下公式计算:\( \det(A) = 1 \cdot 4 - 2 \cdot 3 = 4 - 6 = -2 \)。
问题2:求解线性方程组:\[ \begin{cases}x + 2y = 5 \\3x - y = 4\end{cases} \]答案:我们可以使用高斯消元法来求解这个方程组。
首先将方程组写成增广矩阵的形式:\[ \begin{bmatrix}1 &2 & | & 5 \\3 & -1 & | & 4\end{bmatrix} \]然后进行行操作,得到:\[ \begin{bmatrix}1 &2 & | & 5 \\0 & -7 & | & -17\end{bmatrix} \]接着将第二行除以-7,得到:\[ \begin{bmatrix}1 &2 & | & 5 \\0 & 1 & | & \frac{17}{7}\end{bmatrix} \]最后,将第一行加上第二行的两倍,得到:\[ \begin{bmatrix}1 & 0 & | & \frac{4}{7} \\0 & 1 & | & \frac{17}{7}\end{bmatrix} \]所以,解为 \( x = \frac{4}{7} \) 和 \( y = \frac{17}{7} \)。