高三数学选择填空训练题
- 格式:docx
- 大小:1.13 MB
- 文档页数:20
高三数学填空、选择专项训练(一)班级_____________姓名________________成绩_____________1、已知集合{}{}Z n n x x B x x x A ∈+==<--=),13(2,012112, 则=B A ___________.2、已知函数]3,1[,42∈-=x ax x y 是单调递增函数,则实数a 的取值 范围是_________________3、已知函数1)(-=x a x f 的反函数的图象经过点(4,2)则)2(1-f的值为__________.4、在复数集上,方程0222=++x x 的根是___________________.5、已知53)4cos(=+x π, 则x 2sin 的值为 。
6、命题“若B A x ∈,则A x ∈或B x ∈”的逆否命题是_______________________________________________________7、在ABC ∆中,已知sinA:sinB:sinC=3:5:7,则ABC ∆中最大角的值是_________8、已知b a bx ax x f +++=3)(2是偶函数,定义域为]2,1[a a -,则b a +=9、方程P 412+n =140P 3n 的解为10、在n b a )(+的二项展开式中,第二项与倒数第二项系数之和为14, 则自然数n= .11、设函数()()()xa x x x f ++=1为奇函数,则实数=a 。
12、已知sin α=,则44sin cos αα-的值为 13、设函数y=f(x)的图象关于直线x=1对称,若当1≤x 时12+=x y ,则当x>1时y=______________14、设P 和Q 是两个集合,定义集合P-Q={}Q x P x x ∉∈且,|,如果P={x|log 2x<1},Q={x||x-2|<1},那么P-Q 等于15、若函数()1222-=--a ax xx f 的定义域为R ,则实数a 的取值范围 .16.设二次函数a x x x f +-=2)(,若f(-m)<0,则f(m+1)的值是-------( )(A)正数 (B)负数 (C)非负数 (D) 与m 有关17、已知0tan cos <θθ,那么角θ是( )A.第一或第二象限角B.第二或第三象限角 C.第三或第四象限角 D.第一或第四象限角 18、函数()⎩⎨⎧>+-≤-=1,341,442x x x x x x f 的图象和函数()x x g 2log =的图象的交点个数是( )A.4 B.3 C.2 D.119、已知集合{1,1}M =-,11{|24,}2x N x x Z +=<<∈则M N = ( ) (A) {1,1}- (B) {1}- (C) {0} (D) {1,0}-20、已知函数()x f 为R 上的减函数,则满足()11f x f <⎪⎪⎭⎫ ⎝⎛的实数x 的取值范围是( )A.()1,1-B.()1,0C.()()1,00,1 -D.()()+∞-∞-,11,。
卜人入州八九几市潮王学校高三数学选择题填空题专项训练十套1.sin600=() (A)–23(B)–21.(C)23.(D)21. 2.设A={x|x2},B={x||x –1|<3},那么A ∩B=()(A)[2,4](B)〔–∞,–2] (C)[–2,4](D)[–2,+∞〕3.假设|a |=2sin150,|b |=4cos150,a 与b 的夹角为300,那么a ·b 的值是()(A)23.(B)3.(C)32.(D)21. 4.△ABC 中,角A 、B 、C 所对的边分别为a 、b 、c ,那么a cos C+c cos A 的值是()(A)b.(B)2cb +.(C)2cosB.(D)2sinB. 5.当x R 时,令f(x)为sinx 与cosx 中的较大或者相等者,设af(x)b,那么a+b 等于()(A)0(B)1+22.(C)1–22.(D)22–1. 函数1232)(3+-=x x x f 在区间[0,1]上是〔〕 〔A 〕单调递增的函数.〔B 〕单调递减的函数. 〔C 〕先减后增的函数.〔D 〕先增后减的函数.7.对于x ∈[0,1]的一切值,a+2b>0是使ax+b>0恒成立的〔〕(A)充要条件(B)充分不必要条件(C)必要不充分条件(D)既不充分也不必要条件8.设{a n }是等差数列,从{a 1,a 2,a 3,···,a 20}中任取3个不同的数,使这三个数仍成等差数列,那么这样不同的等差数列最多有〔〕(A)90个.(B)120个.(C)180个.(D)200个.9.函数y=f(x)〔x ∈R 〕满足f(x+1)=f(x –1),且x ∈[–1,1]时,f(x)=x 2,那么y=f(x)与y=log 5x 的图象的交点个数为()(A)1.(B)2.(C)3.(D)4. (1)假设0<x<2π,那么sinx<x<tanx.(2)假设–2π<x<0,那么sinx<x<tanx. (3)设A ,B ,C 是△ABC 的三个内角,假设A>B>C,那么sinA>sinB>sinC. (4)设A ,B 是钝角△ABC 的两个锐角,假设sinA>sinB>sinC 那么A>B>C.. 〕(A)4.〔B 〕3.〔C 〕2.〔D 〕1.11.某客运公司定客票的方法是:假设行程不超过100kmkm ,假设超过100km ,超过100km 局部按元/km 定价,那么客运票价y 元与行程公里数xkm 之间的函数关系式是.12.设P 是曲线y=x 2–1上的动点,O 为坐标原点,当|→--OP |2获得最小值时,点P 的坐标为.1.函数12x y -=(x >1)的反函数是〔〕〔A 〕y =1+log 2x (x >1)〔B 〕y =1+log 2x (x >0) 〔C 〕y =-1+log 2x (x >1)〔D 〕y =log 2(x -1)(x >1)2.设集合A ={(x ,y )|y =2si n 2x },集合B ={(x ,y )|y =x },那么〔〕 〔A 〕A ∪B 中有3个元素〔B 〕A ∪B 中有1个元素 〔C 〕A ∪B 中有2个元素〔D 〕A ∪B =R3.焦点在直线3x -4y -12=0上的抛物线的HY 方程为〔〕 〔A 〕x 2=-12y 〔B 〕y 2=8x 或者x 2=-6y〔C 〕y 2=16x 〔D 〕x 2=-12y 或者y 2=16y4.在△ABC 中“A >B 〞是“cos A <cos B 〞的〔〕 〔A 〕充分非必要条件〔B 〕必要非充分条件 〔C 〕充要条件〔D 〕既不充分也不必要条件5.mn ≠0,那么方程mx 2+ny 2=1与mx +ny 2=0在同一坐标系下的图象可能是〔〕6.在数列{a n }中,1nn ca n +=+(c ∈R ),那么对于任意正整数n 有〔〕 〔A 〕a n <a n +1〔B 〕a n 与a n +1的大小关系和c 有关〔C 〕a n >a n +1〔D 〕a n 与a n +1的大小关系和n 有关 二.填空题:7.函数f (x)=12log (1)x -的定义域为。
高三数学选择填空题训练(1)一.填空题1.已知定义域在[-1,1]上的函数y=f(x)的值域为[-2,0];则函数y=f(cos x )的值域为 A .[-1,1] B .[―3,―1] C .[-2,0] D .不能确定 2.已知函数y=f(x)是一个以4为最小正周期的奇函数;则f(2)=A .0B .-4C .4D .不能确定3.如果采用分层抽样法从个体数为N 的总体中;抽取一个容量为n 的样本;那么每个个体被抽到的概率等于( )A .N1B .N nC .n 1D .nN4.首项系数为1的二次函数y=f(x)在x=1处的切线与x 轴平行;则A .f(arcsin31)>f(arcsin 32) B .f(arcsin 31)=f(arcsin 32) C .f(arcsin 31)>f(arcsin 32) D .f(arcsin 31)与f(arcsin 32)的大小不能确定5.关于x 的不等式ax -b>0的解集为(1,+∞);则关于x 的不等式2-+x bax >0的解集为A .(-1,2)B .(-∞,-1)∪(2,+∞)C .(1,2)D .(―∞,―2)∪(1,+∞)6.若O 为⊿ABC 的内心;且满足(OB -OC )•(OB +OC -2OA )=0A .等腰三角形B .正三角形C .直角三角形D .以上都不对 7.设有如下三个命题甲:m ∩l =A, m 、l ⊂α, m 、l ⊄β;乙:直线m 、l 中至少有一条与平面β相交; 丙:平面α与平面β相交。
当甲成立时;乙是丙的 条件。
A .充分而不必要B .必要而不充分C .充分必要D .既不充分又不必要 8.⊿ABC 中;3sinA+4cosB=6;3cosA+4sinB=1;则∠C 的大小为A .6π B .65π C .6π或65π D .3π或32π9.等体积的球和正方体;它们的表面积的大小关系是A .S 球>S 正方体B .S 球<S 正方体C .S 球=S 正方体D .S 球=2S 正方体10.若连结双曲线22a x -22by =1与其共轭双曲线的四个顶点构成面积为S 1的四边形;连结四个焦点构成面积为S 2的四边形;则21S S 的最大值为 A .4 B .2C .21 D .41 二.填空题11.函数)(cos 3sin R x x x y ∈+=的最小值是 .12.某中学高一年级400人;高二年级320人;高三年级280人;若每人被抽取的概率为;问该中学抽取一个容量为n 的样本;则n= . 13.若指数函数f(x)=a x (x ∈R)的部分对应值如下表:则不等式1-f(|x -1|)<0的解集为 。
高三数学填空、选择专项训练(八)姓名____________班级____________学号 成绩_______________一、填空题1.已知83cos sin =⋅αα,且24παπ<<,则=-ααsin cos _______________. 2.不等式112x x ->+的解集是 . 3.设函数)3(log )(2+=x x f 的图像为1C ,函数)(x g y =的图像为2C ,且1C 与2C 关于直线x y =对称,则)1()1(g f +的值为4.如图,在长方体1111D C B A ABCD -中,已知 4==DC DA ,31=DD ,则异面直线B A 1 与C B 1所成角的大小是_________________5.5231x x ⎛⎫+ ⎪⎝⎭的展开式中常数项为 ;各项系数之和为 .(用数字作答)6.已知集合{}k y y x P ==),(,集合{}1,0,1),(≠>+==a a a y y x Q x,若Q P 只有一个子集,那么实数k 的取值范围是______________________________.7.若复数z 满足i a z ai +=+)1(,且z 在复平面内所对应的点位于实轴的上方,则实数a 的取值范围是__________________.8.已知{}n a 为等差数列,1322a a +=,67a =,则5a = . 9.等差数列{}n a 的前n 项和为n S ,已知9lim 12a n S n n -=∞→(01>a ),则当=n ________时,n S 取得最大值.10.定义在R 上的函数)(x f 既是偶函数,又是周期函数,若)(x f 的最小正周期是π,且当]2,0[π∈x 时,x x f sin )(=,则=⎪⎭⎫⎝⎛35πf _______________. 11.对于各数互不相等的正数数组),,,(21n i i i (n 是不小于2的正整数),如果在q p <时有q p i i >,则称“p i ,q i ”是该数组的一个“逆序”,在一个数组中,所有“逆序”的1A个数称为此数组的“逆序数”.例如数组)1,3,4,2(中有“逆序”“2,1”、“4,3”、“4,1”、“3,1”,其“逆序数”等于4.若各数互不相等的数组),,,,,(654321a a a a a a 的“逆序数”是3,则数组),,,,,(123456a a a a a a 的“逆序数”是__________________. 12.函数()cos22sin f x x x =+的最小值和最大值分别为 二、选择题13.如图,在长方体1111ABCD A BC D -中,AB =BC =2,AA 1=1,则AC 1 与平面A 1B 1C 1D 1所成角的正弦值为( ) A.3B .23C .4D .1314.若A 、B 是锐角三角形ABC 的两个内角,则点)sin cos ,cos (sin B A B A --在( ) (A) 第一象限 (B) 第二象限 (C) 第三象限 (D) 第四象限 15.已知函数2sin()(0)y x ωϕω=+>)在区间[]02π,的图像如下:那么ω=( )A .1B .2C .21D .31 16.设等比数列{}n a 的公比q =2,前n 项和为S n ,则24a S =( ) A .2B .4C .215 D .217 17右面的程序框图,如果输入三个实数a ,b ,c ,要求输出这三 个数中最大的数,那么在空白的判断框中,应该填入下面四个选 项中的( )A .c x > B .x c > C .c b > D18如果等腰三角形的周长是底边长的5倍,那么它的顶角的余弦值为(A .185B .43C .23D .87x ABCDA 1 D 1 C 1B 1。
2024届高三二轮复习“8+3+3”小题强化训练(1)一、选择题:本题共8小题,每小题5分,共40分.在每小题给出的四个选项中,只有一项是符合题目要求的.1对两个具有线性相关关系的变量x 和y 进行统计时,得到一组数据1,0.3 ,2,4.7 ,3,m ,4,8 ,通过这组数据求得回归直线方程为y=2.4x -2,则m 的值为()A.3B.5C.5.2D.6【答案】A【解析】易知x =1+2+3+44=52,y =13+m4,代入y =2.4x -2得13+m 4=2.4×52-2⇒m =3.故选:A2已知m ,n 表示两条不同直线,α表示平面,下列说法正确的是()A.若m ⎳α,n ⎳α,则m ⎳nB.若m ⊥α,n ⊂α,则m ⊥nC.若m ⊥α,m ⊥n ,则n ⎳αD.若m ⎳α,m ⊥n ,则n ⊥α【答案】B【解析】线面垂直,则有该直线和平面内所有的直线都垂直,故B 正确.故选:B3已知向量a ,b 满足a =3,b =23,且a ⊥a +b,则b 在a 方向上的投影向量为()A.3B.-3C.-3aD.-a【答案】D【解析】a ⊥a +b ,则a ⋅a +b =a 2+a ⋅b =9+a ⋅b =0,故a ⋅b=-9,b 在a 方向上的投影向量a ⋅b a 2⋅a =-99⋅a =-a.故选:D .4若n 为一组从小到大排列的数1,2,4,8,9,10的第六十百分位数,则二项式3x +12xn的展开式的常数项是()A.7B.8C.9D.10【答案】A【解析】因为n 为一组从小到大排列的数1,2,4,8,9,10的第六十百分位数,6×60%=3.6,所以n =8,二项式3x +12x8的通项公式为T r +1=C r 8⋅3x 8-r ⋅12x r =C r 8⋅12 r⋅x8-r 3-r,令8-r 3-r =0⇒r =2,所以常数项为C 28×12 2=8×72×14=7,故选:A5折扇是我国古老文化的延续,在我国已有四千年左右的历史,“扇”与“善”谐音,折扇也寓意“善良”“善行”.它常以字画的形式体现我国的传统文化,也是运筹帷幄、决胜千里、大智大勇的象征(如图1).图2是一个圆台的侧面展开图(扇形的一部分),若两个圆弧DE ,AC 所在圆的半径分别是3和6,且∠ABC =120°,则该圆台的体积为()A.5023π B.9π C.7π D.1423π【答案】D【解析】设圆台上下底面的半径分别为r 1,r 2,由题意可知13×2π×3=2πr 1,解得r 1=1,13×2π×6=2πr 2,解得:r 2=2,作出圆台的轴截面,如图所示:图中OD =r 1=1,O A =r 2=2,AD =6-3=3,过点D 向AP 作垂线,垂足为T ,则AT =r 2-r 1=1,所以圆台的高h =AD 2-AT 2=32-1=22,则上底面面积S 1=π×12=π,S 2=π×22=4π,由圆台的体积计算公式可得:V =13×(S 1+S 2+S 1⋅S 2)×h =13×7π×22=142π3,故选:D .6已知函数f x =x 2-bx +c (b >0,c >0)的两个零点分别为x 1,x 2,若x 1,x 2,-1三个数适当调整顺序后可为等差数列,也可为等比数列,则不等式x -bx -c≤0的解集为()A.1,52B.1,52C.-∞,1 ∪52,+∞D.-∞,1 ∪52,+∞ 【答案】A【解析】由函数f x =x 2-bx +c (b >0,c >0)的两个零点分别为x 1,x 2,即x 1,x 2是x 2-bx +c =0的两个实数根据,则x 1+x 2=b ,x 1x 2=c 因为b >0,c >0,可得x 1>0,x 2>0,又因为x 1,x 2,-1适当调整可以是等差数列和等比数列,不妨设x 1<x 2,可得x 1x 2=-1 2=1-1+x 2=2x 1 ,解得x 1=12,x 2=2,所以x 1+x 2=52,x 1x 2=1,所以b =52,c =1,则不等式x -b x -c ≤0,即为x -52x -1≤0,解得1<x ≤52,所以不等式的解集为1,52.故选:A .7已知双曲线C :x 2a 2-y 2b2=1a >0,b >0 的左、右焦点分别为F 1,F 2,M ,N 为双曲线一条渐近线上的两点,A 为双曲线的右顶点,若四边形MF 1NF 2为矩形,且∠MAN =2π3,则双曲线C 的离心率为()A.3B.7C.213D.13【答案】C【解析】如图,因为四边形MF 1NF 2为矩形,所以MN =F 1F 2 =2c (矩形的对角线相等),所以以MN 为直径的圆的方程为x 2+y 2=c 2.直线MN 为双曲线的一条渐近线,不妨设其方程为y =bax ,由y =b a x ,x 2+y 2=c 2,解得x =a y =b ,或x =-a ,y =-b , 所以N a ,b ,M -a ,-b 或N -a ,-b ,M a ,b .不妨设N a ,b ,M -a , -b ,又A a ,0 ,所以AM =a +a 2+b 2=4a 2+b 2,AN =a -a 2+b 2=b .在△AMN 中,∠MAN =2π3,由余弦定理得MN 2=AM 2+AN 2-2AM AN ⋅cos 2π3,即4c 2=4a 2+b 2+b 2+4a 2+b 2×b ,则2b =4a 2+b 2,所以4b 2=4a 2+b 2,则b 2=43a 2,所以e =1+b 2a2=213.故选:C .8已知a =ln 1.2e ,b =e 0.2,c =1.2e 0.2,则有()A.a <b <cB.a <c <bC.c <a <bD.c <b <a【答案】C【解析】令f x =e x -ln x +1 -1,x >0,则f x =e x -1x +1.当x >0时,有e x >1,1x +1<1,所以1x +1<1,所以,f (x )>0在0,+∞ 上恒成立,所以,f (x )在0,+∞ 上单调递增,所以,f (x )>f (0)=1-1=0,所以,f (0.2)>0,即e 0.2-ln1.2-1>0,所以a <b令g x =e x -x +1 ,x >0,则g x =e x -1在x >0时恒大于零,故g x 为增函数,所以x +1ex <1,x >0,而a =ln 1.2e =1+ln1.2>1,所以c <a ,所以c <a <b ,故选:C二、选择题:本题共3小题,每小题6分,共18分.在每小题给出的选项中,有多项符合题目要求.全部选对的得6分,部分选对的得部分分,有选错的得0分.9已知函数f x =sin 2x +3π4 +cos 2x +3π4,则()A.函数f x -π4 为偶函数 B.曲线y =f x 对称轴为x =k π,k ∈ZC.f x 在区间π3,π2单调递增D.f x 的最小值为-2【答案】AC【解析】f x =sin 2x +3π4 +cos 2x +3π4=sin2x cos 3π4+sin 3π4cos2x +cos2x cos 3π4-sin2x sin3π4=-22sin2x +22cos2x -22cos2x -22sin2x =-2sin2x ,即f x =-2sin2x ,对于A ,f x -π4 =-2sin 2x -π2=2cos2x ,易知为偶函数,所以A 正确;对于B ,f x =-2sin2x 对称轴为2x =π2+k π,k ∈Z ⇒x =π4+k π2,k ∈Z ,故B 错误;对于C ,x ∈π3,π2 ,2x ∈2π3,π ,y =sin2x 单调递减,则f x =-2sin2x 单调递增,故C 正确;对于D ,f x =-2sin2x ,则sin2x ∈-1,1 ,所以f x ∈-2,2 ,故D 错误;故选:AC10设z 为复数,则下列命题中正确的是()A.z 2=zz B.若z =(1-2i )2,则复平面内z对应的点位于第二象限C.z 2=z 2D.若z =1,则z +i 的最大值为2【答案】ABD【解析】对于A ,设z =a +bi ,故z =a -bi ,则z 2=a 2+b 2,zz =(a +bi )(a -bi )=a 2+b 2,故z 2=zz成立,故A 正确,对于B ,z =(1-2i )2=-4i -3,z =4i -3,显然复平面内z对应的点位于第二象限,故B 正确,对于C ,易知z 2=a 2+b 2,z 2=a 2+b 2+2abi ,当ab ≠0时,z 2≠z 2,故C 错误,对于D ,若z =1,则a 2+b 2=1,而z +i =a 2+(b +1)2=2b +2,易得当b =1时,z +i 最大,此时z +i =2,故D 正确.故选:ABD11已知菱形ABCD 的边长为2,∠ABC =π3.将△DAC 沿着对角线AC 折起至△D AC ,连结BD .设二面角D -AC -B 的大小为θ,则下列说法正确的是()A.若四面体D ABC 为正四面体,则θ=π3B.四面体D ABC 的体积最大值为1C.四面体D ABC 的表面积最大值为23+2D.当θ=2π3时,四面体D ABC 的外接球的半径为213【答案】BCD【解析】如图,取AC 中点O ,连接OB ,OD ,则OB =OD ,OB ⊥AC ,OD ⊥AC ,∠BOC 为二面角D AC -B 的平面角,即∠BOC =θ.若D ABC 是正四面体,则BD =BC ≠BO ,△OBD 不是正三角形,θ≠π3,A 错;四面体D ABC 的体积最大时,BO ⊥平面ACD ,此时B 到平面ACD 的距离最大为BO =3,而S △ACD=34×22=3,所以V =13×3×3=1,B 正确;S △ABC =S △DAC =3,易得△BAD ≅△BCD ,S △BAD=S △BCD=12×22sin ∠BCD =2sin ∠BCD ,未折叠时BD =BD =23,折叠到B ,D 重合时,BD =0,中间存在一个位置,使得BD =22,则BC 2+D C 2=BD 2,∠BCD =π2,此时S △BAD=S △BCD=2sin ∠BCD 取得最大值2,所以四面体D ABC 的表面积最大值为23+2 ,C 正确;当θ=2π3时,如图,设M ,N 分别是△ACD 和△BAC 的外心,在平面AOD 内作PM ⊥OD ,作PN ⊥OB ,PM ∩PN =P ,则P 是三棱锥外接球的球心,由上面证明过程知平面OBD 与平面ABC 、平面D AC 垂直,即P ,N ,O ,M 四点共面,θ=2π3,则∠PON =π3,ON =13×32×2=33,PN =ON tan π3=33×3=1,PB =PN 2+BN 2=12+233 2=213为球半径,D 正确.故选:BCD .三、填空题:本题共3小题,每小题5分,共15分.12设集合M =x log 2x <1 ,N =x 2x -1<0 ,则M ∩N =.【答案】x 0<x <12【解析】因为log 2x <1=log 22,所以0<x <2,即M =x log 2x <1 =x 0<x <2 ,因为2x -1<0,解得x <12,所以N =x 2x -1<0 =x x <12,所以,M ∩N =x 0<x <12 .故答案为:x 0<x <12 13已知正项等比数列a n 的前n 项和为S n ,且S 8-2S 4=6,则a 9+a 10+a 11+a 12的最小值为.【答案】24【解析】设正项等比数列a n 的公比为q ,则q >0,所以,S 8=a 1+a 2+a 3+a 4+a 5+a 6+a 7+a 8=a 1+a 2+a 3+a 4+q 4a 1+a 2+a 3+a 4 =S 41+q 4 ,则S 8-2S 4=S 4q 4-1 =6,则q 4>1,可得q >1,则S 4=6q 4-1,所以,a 9+a 10+a 11+a 12=q 8a 1+a 2+a 3+a 4 =S 4q 8=6q 8q 4-1=6q 4-1+1 2q 4-1=6q 4-1 2+1+2q 4-1 q 4+1=6q 4-1 +1q 4-1+2 ≥62q 4-1 ⋅1q 4-1+2 =24,当且仅当q 4-1=1q 4-1q >1 时,即当q =42时,等号成立,故a 9+a 10+a 11+a 12的最小值为24.故答案为:2414已知F 为拋物线C :y =14x 2的焦点,过点F 的直线l 与拋物线C 交于不同的两点A ,B ,拋物线在点A ,B 处的切线分别为l 1和l 2,若l 1和l 2交于点P ,则|PF |2+25AB的最小值为.【答案】10【解析】C :x 2=4y 的焦点为0,1 ,设直线AB 方程为y =kx +1,A x 1,y 1 ,B x 2,y 2 .联立直线与抛物线方程有x 2-4kx -4=0,则AB =y 1+y 2+2=k x 1+x 2 +4=4k 2+4.又y =14x 2求导可得y =12x ,故直线AP 方程为y -y 1=12x 1x -x 1 .又y 1=14x 21,故AP :y =12x 1x -14x 21,同理BP :y =12x 2x -14x 22.联立y =12x 1x -14x 21y =12x 2x -14x 22可得12x 1-x 2 x =14x 21-x 22 ,解得x =x 1+x 22,代入可得P x 1+x 22,x 1x 24 ,代入韦达定理可得P 2k ,-1 ,故PF =4k 2+4.故|PF |2+25AB=4k 2+4+254k 2+4≥24k 2+4 ×254k 2+4=10,当且仅当4k 2+4=254k 2+4,即k =±12时取等号.故答案为:102024届高三二轮复习“8+3+3”小题强化训练(2)一、选择题:本题共8小题,每小题5分,共40分.在每小题给出的四个选项中,只有一项是符合题目要求的.1抛物线y =12x 2的焦点坐标为()A.18,0B.12,0 C.0,18D.0,12【答案】D 【解析】由y =12x 2可得抛物线标准方程为:x 2=2y ,∴其焦点坐标为0,12 .故选:D .2二项式3x 2-1x 47的展开式中常数项为()A.-7B.-21C.7D.21【答案】A 【解析】二项式3x 2-1x47的通项公式为Tr +1=C r 7⋅3x 27-r⋅-1x4r=Cr 7⋅-1 r⋅x14-14r 3,令14-14r 3=0⇒r =1,所以常数项为C 17⋅-1 =-7,故选:A3已知集合A =x log 2x ≤1 ,B =y y =2x ,x ≤2 ,则()A.A ∪B =BB.A ∪B =AC.A ∩B =BD.A ∪(C R B )=R【答案】A【解析】由log 2x ≤1,则log 2x ≤log 22,所以0<x ≤2,所以A =x log 2x ≤1 =x 0<x ≤2 ,又B =y y =2x ,x ≤2 =y 0<y ≤4 ,所以A ⊆B ,则A ∪B =B ,A ∩B =A .故选:A .4若古典概型的样本空间Ω=1,2,3,4 ,事件A =1,2 ,甲:事件B =Ω,乙:事件A ,B 相互独立,则甲是乙的()A.充分不必要条件B.必要不充分条件C.充分必要条件D.既不充分也不必要条件【答案】A【解析】若B =Ω,A ∩B =1,2 ,则P A ∩B =24=12,而P A =24=12,P B =1,所以P A P B =P A ∩B ,所以事件A ,B 相互独立,反过来,当B =1,3 ,A ∩B =1 ,此时P A ∩B =14,P A =P B =12,满足P A P B =P A ∩B ,事件A ,B 相互独立,所以不一定B =Ω,所以甲是乙的充分不必要条件.故选:A5若函数f x =ln e x -1 -mx 为偶函数,则实数m =()A.1B.-1C.12D.-12【答案】C【解析】由函数f x =ln e x -1 -mx 为偶函数,可得f -1 =f 1 ,即ln e -1-1 +m =ln e -1 -m ,解之得m =12,则f x =ln e x -1 -12x (x ≠0),f -x =ln e -x -1 +12x =ln e x -1 -x +12x =ln e x -1 -12x =f x故f x =ln e x -1 -12x 为偶函数,符合题意.故选:C6已知函数y =f (x )的图象恰为椭圆C :x 2a 2+y 2b2=1(a >b >0)x 轴上方的部分,若f (s -t ),f (s ),f (s +t )成等比数列,则平面上点(s ,t )的轨迹是()A.线段(不包含端点) B.椭圆一部分C.双曲线一部分D.线段(不包含端点)和双曲线一部分【答案】A【解析】因为函数y =f (x )的图象恰为椭圆C :x 2a 2+y 2b2=1(a >b >0)x 轴上方的部分,所以y =f (x )=b ⋅1-x 2a2(-a <x <a ),因为f (s -t ),f (s ),f (s +t )成等比数列,所以有f 2(s )=f (s -t )⋅f (s +t ),且有-a <s <a ,-a <s -t <a ,-a <s +t <a 成立,即-a <s <a ,-a <t <a 成立,由f 2(s )=f (s -t )⋅f (s +t )⇒b ⋅1-s 2a 22=b ⋅1-(s -t )2a 2⋅b ⋅1-(s +t )2a 2,化简得:t 4=2a 2t 2+2s 2t 2⇒t 2(t 2-2a 2-2s 2)=0⇒t 2=0,或t 2-2a 2-2s 2=0,当t 2=0时,即t =0,因为-a <s <a ,所以平面上点(s ,t )的轨迹是线段(不包含端点);当t 2-2a 2-2s 2=0时,即t 2=2a 2+2s 2,因为-a <t <a ,所以t 2<a 2,而2a 2+2s 2>a 2,所以t 2=2a 2+2s 2不成立,故选:A7若tan α+π4=-2,则sin α1-sin2α cos α-sin α=()A.65B.35C.-35D.-65【答案】C【解析】因为tan α+π4 =tan α+tan π41-tan αtan π4=tan α+11-tan α=-2,解得tan α=3,所以,sin α1-sin2αcos α-sin α=sin αsin 2α+cos 2α-2sin αcos α cos α-sin α=sin αcos α-sin α 2cos α-sin α=sin αcos α-sin 2α=sin αcos α-sin 2αcos 2α+sin 2α=tan α-tan 2α1+tan 2α=3-91+9=-35.故选:C .8函数f x =2ln xx,x >0sin ωx +π6,-π≤x ≤0,若2f 2(x )-3f (x )+1=0恰有6个不同实数解,正实数ω的范围为()A.103,4B.103,4 C.2,103D.2,103【答案】D【解析】由题知,2f 2x -3f x +1=0的实数解可转化为f (x )=12或f (x )=1的实数解,即y =f (x )与y =1或y =12的交点,当x >0时,f x =2ln xx ⇒f (x )=21-ln x x 2所以x ∈0,e 时,f (x )>0,f x 单调递增,x ∈e ,+∞ 时,f (x )<0,f x 单调递减,如图所示:所以x =e 时f x 有最大值:12<f (x )max =2e<1所以x >0时,由图可知y =f (x )与y =1无交点,即方程f (x )=1无解,y =f (x )与y =12有两个不同交点,即方程f (x )=12有2解当x <0时,因为ω>0,-π≤x ≤0,所以-ωπ+π6≤ωx +π6≤π6,令t =ωx +π6,则t ∈-ωπ+π6,π6则有y =sin t 且t ∈-ωπ+π6,π6,如图所示:因为x >0时,已有两个交点,所以只需保证y =sin t 与y =12及与y =1有四个交点即可,所以只需-19π6<-ωπ+π6≤-11π6,解得2≤ω<103.故选:D二、选择题:本题共3小题,每小题6分,共18分.在每小题给出的选项中,有多项符合题目要求.全部选对的得6分,部分选对的得部分分,有选错的得0分.9已知复数z 1,z 2是关于x 的方程x 2+bx +1=0(-2<b <2,b ∈R )的两根,则下列说法中正确的是()A.z 1=z 2B.z 1z 2∈R C.z 1 =z 2 =1D.若b =1,则z 31=z 32=1【答案】ACD【解析】Δ=b 2-4<0,∴x =-b ±4-b 2i 2,不妨设z 1=-b 2+4-b 22i ,z 2=-b2-4-b 22i ,z 1=z 2,A 正确;z 1 =z 2 =-b 22+4-b 222=1,C 正确;z 1z 2=1,∴z 1z 2=z 21z 1z 2=z 21=b 2-22-b 4-b 22i ,b ≠0时,z 1z 2∉R ,B 错;b =1时,z 1=-12+32i ,z 2=-12-32i ,计算得z 21=-12-32i =z 2=z 1 ,z 22=z 1=z 2 ,z 31=z 1z 2=1,同理z 32=1,D 正确.故选:ACD .10四棱锥P -ABCD 的底面为正方形,P A 与底面垂直,P A =2,AB =1,动点M 在线段PC 上,则()A.不存在点M ,使得AC ⊥BMB.MB +MD 的最小值为303C.四棱锥P -ABCD 的外接球表面积为5πD.点M 到直线AB 的距离的最小值为255【答案】BD【解析】对于A :连接BD ,且AC ∩BD =O ,如图所示,当M 在PC 中点时,因为点O 为AC 的中点,所以OM ⎳P A ,因为P A ⊥平面ABCD ,所以OM ⊥平面ABCD ,又因为AC ⊂平面ABCD ,所以OM ⊥AC ,因为ABCD 为正方形,所以AC ⊥BD .又因为BD ∩OM =O ,且BD ,OM ⊂平面BDM ,所以AC ⊥平面BDM ,因为BM ⊂平面BDM ,所以AC ⊥BM ,所以A 错误;对于B :将△PBC 和△PCD 所在的平面沿着PC 展开在一个平面上,如图所示,则MB +MD 的最小值为BD ,直角△PBC 斜边PC 上高为1×56,即306,直角△PCD 斜边PC 上高也为1×56,所以MB +MD 的最小值为303,所以B 正确;对于C :易知四棱锥P -ABCD 的外接球直径为PC ,半径R =12PC =1222+12+12=62,表面积S =4πR 2=6π,所以C 错误;对于D :点M 到直线AB 距离的最小值即为异面直线PC 与AB 的距离,因为AB ⎳CD ,且AB ⊄平面PCD ,CD ⊂平面PCD ,所以AB ⎳平面PCD ,所以直线AB 到平面PCD 的距离等于点A 到平面PCD 的距离,过点A 作AF ⊥PD ,因为P A ⊥平面ABCD ,所以P A ⊥CD ,又AD ⊥CD ,且P A ∩AD =A ,故CD ⊥平面P AD ,AF ⊂平面P AD ,所以AF ⊥CD ,因为PD ∩CD =D ,且PD ,CD ⊂平面PCD ,所以AF ⊥平面PCD ,所以点A 到平面PCD 的距离,即为AF 的长,如图所示,在Rt △P AD 中,P A =2,AD =1,可得PD =5,所以由等面积得AF =255,即直线AB 到平面PCD 的距离等于255,所以D 正确,故选:BCD .11今年是共建“一带一路”倡议提出十周年.某校进行“一带一路”知识了解情况的问卷调查,为调动学生参与的积极性,凡参与者均有机会获得奖品.设置3个不同颜色的抽奖箱,每个箱子中的小球大小相同质地均匀,其中红色箱子中放有红球3个,黄球2个,绿球2个;黄色箱子中放有红球4个,绿球2个;绿色箱子中放有红球3个,黄球2个,要求参与者先从红色箱子中随机抽取一个小球,将其放入与小球颜色相同的箱子中,再从放入小球的箱子中随机抽取一个小球,抽奖结束.若第二次抽取的是红色小球,则获得奖品,否则不能获得奖品,已知甲同学参与了问卷调查,则()A.在甲先抽取的是黄球的条件下,甲获得奖品的概率为47B.在甲先抽取的不是红球的条件下,甲没有获得奖品的概率为1314C.甲获得奖品的概率为2449D.若甲获得奖品,则甲先抽取绿球的机会最小【答案】ACD【解析】设A 红,A 黄,A 绿,分别表示先抽到的小球的颜色分别是红、黄、绿的事件,设B 红表示再抽到的小球的颜色是红的事件,在甲先抽取的是黄球的条件下,甲获得奖品的概率为:P B 红∣A 黄 =P B 红A 黄 P A 黄=27×4727=47,故A 正确;在甲先抽取的不是红球的条件下,甲没有获得奖品的概率为:P B 红 ∣A 红 =P A 红 B 红 P A 红 =P A 黄B 红 +P A 绿B 红 P A 红 =27×37+27×1247=1328,故B 错误;由题意可知,P A 红 =37,P A 黄 =27,P A 绿 =27,P B 红∣A 红 =37,P B 红∣A 黄 =47,P B 红∣A 绿 =12,由全概率公式可知,甲获得奖品的概率为:P =P A 红 P B 红∣A 红 +P A 黄 ⋅P B 红∣A 黄 +P A 绿 ⋅P B 红∣A 绿 =37×37+27×47+27×12=2449,故C 正确;因为甲获奖时红球取自哪个箱子的颜色与先抽取小球的颜色相同,则P A 红∣B 红 =P A 红 ⋅P B 红∣A 红 P B 红=37×37×4924=38,P A 黄∣B 红 =P A 黄 ⋅P B 红∣A 黄P B 红=27×47×4924=13,P A 绿∣B 红 =P A 绿 ⋅P B 红∣A 绿 P B 红 =27×12×4924=724,所以甲获得奖品时,甲先抽取绿球机会最小,故D 正确.故选:ACD .三、填空题:本题共3小题,每小题5分,共15分.12已知△ABC 的边BC 的中点为D ,点E 在△ABC 所在平面内,且CD =3CE -2CA ,若AC =xAB +yBE,则x +y =.【答案】11【解析】因为CD =3CE -2CA ,边BC 的中点为D ,所以12CB=3BE -BC +2AC ,因为12CB =3BE -3BC +2AC ,所以52BC =3BE +2AC ,所以52BC =52AC -AB =3BE +2AC ,所以5AC -5AB =6BE +4AC ,即5AB +6BE =AC ,因为AC =xAB +yBE ,所以x =5,y =6,故x +y =11.故答案为:1113已知圆锥母线长为2,则当圆锥的母线与底面所成的角的余弦值为时,圆锥的体积最大,最大值为.【答案】①.63②.16327π【解析】设圆锥的底面半径为r ,圆锥的母线与底面所成的角为θ,θ∈0,π2 ,易知cos θ=r 2.圆锥的体积为V =13πr 2⋅4-r 2=43πcos 2θ⋅2sin θ=8π3cos 2θ⋅sin θ=8π31-sin 2θ sin θ令x =sin θ,x ∈0,1 ,则y =1-sin 2θ sin θ=-x 3+x ,y =-3x 2+1当y >0时,x ∈0,33,当y<0时,x ∈33,1 ,即函数y =-x 3+x 在0,33 上单调递增,在33,1上单调递减,即V max =8π333-33 3 =163π27,此时cos θ=1-323 =62.故答案为:62;163π2714已知双曲线C :x 2-y 23=1的左、右焦点分别为F 1,F 2,右顶点为E ,过F 2的直线交双曲线C 的右支于A ,B 两点(其中点A 在第一象限内),设M ,N 分别为△AF 1F 2,△BF 1F 2的内心,则当F 1A ⊥AB 时,AF 1=;△ABF 1内切圆的半径为.【答案】①.7+1##1+7②.7-1##-1+7【解析】由双曲线方程知a =1,b =3,c =2,如下图所示:由F 1A ⊥AB ,则AF 1 2+AF 2 2=F 1F 2 2=16,故AF 1 -AF 2 2+2AF 1 AF 2 =16,而AF 1 -AF 2 =2a =2,所以AF 1 AF 2 =6,故AF 2 2+2AF 2 -6=0,解得AF 2 =7-1,所以AF 1 =7+1,若G 为△ABF 1内切圆圆心且F 1A ⊥AB 可知,以直角边切点和G ,A 为顶点的四边形为正方形,结合双曲线定义内切圆半径r =12AF 1 +AB -BF 1 =12AF 1 +AF 2 +BF 2 -BF 1所以r =1227+BF 2 -BF 1 =1227-2 =7-1;故答案为:7+1,7-1;2024届高三二轮复习“8+3+3”小题强化训练(3)一、选择题:本题共8小题,每小题5分,共40分.在每小题给出的四个选项中,只有一项是符合题目要求的.1有一组按从小到大顺序排列数据:3,5,x ,8,9,10,若其极差与平均数相等,则这组数据的中位数为()A.7B.7.5C.8D.6.5【答案】B【解析】依题意可得极差为10-3=7,平均数为163+5+x +8+9+10 =1635+x ,所以1635+x =7,解得x =7,所以中位线为7+82=7.5.故选:B .2已知集合A =x x -1 >2 ,B =x log 4x <1 ,则A ∩B =()A.3,4B.-∞,-1 ∪3,4C.1,4D.-∞,4【答案】A【解析】由x -1 >2,得x <-1或x >3,所以A =x x <-1或x >3 ,由log 4x <1,得0<x <4,所以B =x 0<x <4 ,所以A ∩B =x 3<x <4 .故选:A .3已知向量a =(2,0),b =sin α,32,若向量b 在向量a 上的投影向量c =12,0 ,则|a +b |=()A.3B.7C.3D.7【答案】B【解析】由已知可得,b 在a 上的投影向量为a ⋅b |a |⋅a |a |=2sin α2×2(2,0)=(sin α,0),又b 在a 上的投影向量c =12,0 ,所以sin α=12,所以b =12,32,所以a +b =52,32 ,所以|a +b |=52 2+322=7.故选:B .4如图是两个底面半径都为1的圆锥底面重合在一起构成的几何体,上面圆锥的侧面积是下面圆锥侧面积的2倍,AP ⊥AQ ,则PQ =()A.74B.262C.52D.3【答案】C【解析】设两圆锥的高OP =x ,OQ =y ,则AP =x 2+1,AQ =y 2+1,由AP ⊥AQ ,有AP 2+AQ 2=PQ 2,可得x 2+1+y 2+1=x +y 2,可得xy =1,又由上下圆锥侧面积之比为2:1,即π×1×P A =2×π×1×QA ,可得P A =2QA ,则有x 2+1=2y 2+1,即x 2=4y 2+3,代入y =1x整理为x 4-3x 2-4=0,解得x =2(负值舍),可得y =12,OP =x +y =2+12=52.故选:C .5已知Q 为直线l :x +2y +1=0上的动点,点P 满足QP=1,-3 ,记P 的轨迹为E ,则()A.E 是一个半径为5的圆B.E 是一条与l 相交的直线C.E 上的点到l 的距离均为5D.E 是两条平行直线【答案】C【解析】设P x ,y ,由QP=1,-3 ,则Q x -1,y +3 ,由Q 在直线l :x +2y +1=0上,故x -1+2y +3 +1=0,化简得x +2y +6=0,即P 轨迹为E 为直线且与直线l 平行,E 上的点到l 的距离d =6-112+22=5,故A 、B 、D 错误,C 正确.故选:C .6已知x +1 x -1 5=a 0+a 1x +a 2x 2+a 3x 3+a 4x 4+a 5x 5+a 6x 6,则a 1+a 3的值为()A.-1B.1C.4D.-2【答案】C【解析】在x +1 x -1 5=a 0+a 1x +a 2x 2+a 3x 3+a 4x 4+a 5x 5+a 6x 6中,而x +1 x -1 5=x x -1 5+x -1 5,由二项式定理知x -1 5展开式的通项为T r +1=C r 5x 5-r (-1)r ,令5-r =2,解得r =3,令5-r =3,r =2,故a 3=C 35(-1)3+C 25(-1)2=0,同理令5-r =1,解得r =4,令5-r =0,解得r =5,故a 1=C 45(-1)4+C 55(-1)5=4,故a 1+a 3=4.故选:C7已知P 为抛物线x 2=4y 上一点,过P 作圆x 2+(y -3)2=1的两条切线,切点分别为A ,B ,则cos ∠APB 的最小值为()A.12B.23C.34D.78【答案】C【解析】如图所示:因为∠APB =2∠APC ,sin ∠APC =AC PC=1PC,设P t ,t 24,则PC 2=t 2+t 24-3 2=t 416-t 22+9=116t 2-4 2+8,当t 2=4时,PC 取得最小值22,此时∠APB 最大,cos ∠APB 最小,且cos ∠APB min =1-2sin 2∠APC =1-21222=34,故C 正确.故选:C8已知函数f x ,g x 的定义域为R ,g x 为g x 的导函数且f x +g x =3,f x -g 4-x =3,若g x 为偶函数,则下列结论一定成立的是()A.f -1 =f -3B.f 1 +f 3 =65C.g 2 =3D.f 4 =3【答案】D【解析】对于D ,∵g x 为偶函数,则g x =g -x ,两边求导可得g x =-g -x ,则g x 为奇函数,则g 0 =0,令x =4,则f 4 -g 0 =3,f 4 =3,D 对;对于C ,令x =2,可得f 2 +g 2 =3f 2 -g 2 =3 ,则f 2 =3g 2 =0 ,C 错;对于B ,∵f x +g x =3,可得f 2+x +g 2+x =3,f x -g 4-x =3可得f 2-x -g 2+x =3,两式相加可得f 2+x +f 2-x =6,令x =1,即可得f 1 +f 3 =6,B 错;又∵f x +g x =3,则f x -4 +g x -4 =f x -4 -g 4-x =3,f x -g 4-x =3,可得f x =f x -4 ,所以f x 是以4为周期的函数,所以根据以上性质不能推出f -1 =f -3 ,A 不一定成立.故选:D二、选择题:本题共3小题,每小题6分,共18分.在每小题给出的选项中,有多项符合题目要求.全部选对的得6分,部分选对的得部分分,有选错的得0分.9下列结论正确的是()A.若a <b <0,则a 2>ab >b 2B.若x ∈R ,则x 2+2+1x 2+2的最小值为2C.若a +b =2,则a 2+b 2的最大值为2D.若x ∈(0,2),则1x +12-x ≥2【答案】AD【解析】因为a 2-ab =a (a -b )>0,所以a 2>ab ,因为ab -b 2=b (a -b )>0,所以ab >b 2,所以a 2>ab >b 2,故A 正确;因为x 2+2+1x 2+2≥2的等号成立条件x 2+2=1x 2+2不成立,所以B 错误;因为a 2+b 22≥a +b 2 2=1,所以a 2+b 2≥2,故C 错误;因为1x +12-x =12(x +2-x )1x +12-x =122+2-x x +x 2-x ≥12(2+2)=2,当且仅当1x =12-x,即x =1时,等号成立,所以D 正确.故选:AD10若函数f x =2sin 2x ⋅log 2sin x +2cos 2x ⋅log 2cos x ,则()A.f x 的最小正周期为πB.f x 的图像关于直线x =π4对称C.f x 的最小值为-1D.f x 的单调递减区间为2k π,π4+2k π ,k ∈Z【答案】BCD【解析】由sin x >0,cos x >0得f x 的定义域为2k π,π2+2k π ,k ∈Z .对于A :当x ∈0,π2时,x +π∈π,32π 不在定义域内,故f x +π =f x 不成立,易知f x 的最小正周期为2π,故选项A 错误;对于B :又f π2-x =2cos 2x ⋅log 2cos x +2sin 2x ⋅log 2sin x =f x ,所以f x 的图像关于直线x =π4对称,所以选项B 正确;对于C :因为f x =sin 2x ⋅log 2sin 2x +cos 2x ⋅log 2cos 2x ,设t =sin 2x ,所以函数转化为g t =t ⋅log 2t +1-t ⋅log 21-t ,t ∈0,1 ,g t =log 2t -log 21-t ,由g t >0得,12<t <1.g t <0得0<t <12.所以g t 在0,12 上单调递减,在12,1 上单调递增,故g (t )min =g 12=-1,即f (x )min =-1,故选项C 正确;对于D :因为g t 在0,12 上单调递减,在12,1 上单调递增,由t =sin 2x ,令0<sin 2x <12得0<sin x <22,又f x 的定义域为2k π,π2+2k π ,k ∈Z ,解得2k π<x <π4+2k π,k ∈Z ,因为t =sin 2x 在2k π,π4+2k π 上单调递增,所以f x 的单调递减区间为2k π,π4+2k π ,k ∈Z ,同理函数的递增区间为π4+2k π,π2+2k π ,k ∈Z ,所以选项D 正确.故选:BCD .11已知数列a n 的前n 项和为S n ,且2S n S n +1+S n +1=3,a 1=α0<α<1 ,则()A.当0<α<13-14时,a 2>a 1B.a 3>a 2C.数列S 2n -1 单调递增,S 2n 单调递减D.当α=34时,恒有nk =1S k -1 <54【答案】ACD【解析】由题意可得:S n +1=32S n +1,a 1=α,由S n +1=32S n +1可知:S n +1=1⇔S n =1,但S 1=α∈0,1 ,可知对任意的n ∈N *,都有S n ≠1,对于选项A :若0<α<13-14,则a 2-a 1=S 2-2a 1=32α+1-2α=3-2α-4α22α+1=4α+1+13 13-14-α2α+1>0,即a 2>a 1,故A 正确;对于选项B :a 3-a 2=S 3-2S 2+S 1=6α+32α+7-62α+1+α=α-1 4α2+32α+39 2α+1 2α+7<0,即a 3<a 2,故B 错误.对于选项C :因为S n +1-1=-2S n -1 2S n +1,S n +1+32=3S n +32 2S n +1,则S n +1-1S n +1+32=-23⋅S n -1S n +32,且S 1-1S 1+32=α-1α+32<0,可知S n -1S n+32是等比数列,则S n -1S n +32=α-1α+32⋅-23n -1,设A =α-1α+32<0,t =232n -2,可得S 2n =3-3At 3+2At =3253+2At -1 ,S 2n -1=1+32At 1-At =521-At-32,因为At =A 232n -2,可知A 23 2n -2 为递增数列,所以数列S 2n -1 单调递增,S 2n 单调递减,故C 正确;对于选项D :因为S n +1=32S n +1,S n +1-34=32S n +1-34=33-2S n 42S n +1,由S 1=α=34,可得S 2-34>0,即S 2>34,则S 2≤65,即34<S 2≤65;由34<S 2≤65,可得S 3-34>0,即S 3>34,则S 3<65,即34<S 3<65;以此类推,可得对任意的n ∈N *,都有S n ≥S 1=α=34,又因为S n +1-1S n -1=22S n +1,则S n +1-1 ≤22α+1S n -1 =45S n -1 ,所以∑nk =1S k -1 ≤541-45 n <54,故D 正确.故选:ACD .三、填空题:本题共3小题,每小题5分,共15分.12在(1+ax )n (其中n ∈N *,a ≠0)的展开式中,x 的系数为-10,各项系数之和为-1,则n =.【答案】5【解析】由题意得(1+ax )n 的展开式中x 的系数为aC 1n =-10,即an =-10,令x =1,得各项系数之和为(1+a )n =-1,则n 为奇数,且1+a =-1,即得a =-2,n =5,故答案为:513已知椭圆C :x 2a 2+y 2b2=1a >b >0 的左、右焦点分别F 1,F 2,椭圆的长轴长为22,短轴长为2,P 为直线x =2b 上的任意一点,则∠F 1PF 2的最大值为.【答案】π6【解析】由题意有a =2,b =1,c =1,设直线x =2与x 轴的交点为Q ,设PQ =t ,有tan ∠PF 1Q =PQ F 1Q=t3,tan ∠PF 2Q =PQ F 2Q=t ,可得tan ∠F 1PF 2=tan ∠PF 2Q -∠PF 1Q =t -t31+t23=2t t 2+3=2t +3t ≤2t 23t =33,当且仅当t =3时取等号,可得∠F 1PF 2的最大值为π6.故答案为:π614已知四棱锥P -ABCD 的底面为矩形,AB =23,BC =4,侧面P AB 为正三角形且垂直于底面ABCD ,M 为四棱锥P -ABCD 内切球表面上一点,则点M 到直线CD 距离的最小值为.【答案】10-1【解析】如图,设四棱锥的内切球的半径为r ,取AB 的中点为H ,CD 的中点为N ,连接PH ,PN ,HN ,球O为四棱锥P-ABCD的内切球,底面ABCD为矩形,侧面P AB为正三角形且垂直于底面ABCD,则平面PHN截四棱锥P-ABCD的内切球O所得的截面为大圆,此圆为△PHN的内切圆,半径为r,与HN,PH分别相切于点E,F,平面P AB⊥平面ABCD,交线为AB,PH⊂平面P AB,△P AB为正三角形,有PH⊥AB,∴PH⊥平面ABCD,HN⊂平面ABCD,∴PH⊥HN,AB=23,BC=4,则有PH=3,HN=4,PN=5,则△PHN中,S△PHN=12×3×4=12r3+4+5,解得r=1.所以,四棱锥P-ABCD内切球半径为1,连接ON.∵PH⊥平面ABCD,CD⊂平面ABCD,∴CD⊥PH,又CD⊥HN,PH,HN⊂平面PHN,PH∩HN=H,∴CD⊥平面PHN,∵ON⊂平面PHN,可得ON⊥CD,所以内切球表面上一点M到直线CD的距离的最小值即为线段ON的长减去球的半径,又ON=OE2+EN2=10.所以四棱锥P-ABCD内切球表面上的一点M到直线CD的距离的最小值为10-1.故答案为:10-12024届高三二轮复习“8+3+3”小题强化训练(4)一、选择题:本题共8小题,每小题5分,共40分.在每小题给出的四个选项中,只有一项是符合题目要求的.1已知双曲线的标准方程为x 2k -4+y 2k -5=1,则该双曲线的焦距是()A.1B.3C.2D.4【答案】C【解析】由双曲线方程可知a 2=k -4,b 2=5-k ,所以c 2=k -4+5-k =1,c =1,2c =2.故选:C2在等比数列a n 中,a 1+a x =82,a 3a x -2=81,前x 项和S x =121,则此数列的项数x 等于()A.4B.5C.6D.7【答案】B【解析】由已知条件可得a 1+a x =82a 3a x -2=a 1a x =81,解得a 1=1a x =81 或a 1=81a x =1 .设等比数列a n 的公比为q .①当a 1=1,a x =81时,由S x =a 1-a x q 1-q =1-81q1-q=121,解得q =3,∵a x =a 1q x -1=3x -1=81,解得x =5;②当a 1=81,a x =1时,由S x =a 1-a x q 1-q =81-q 1-q =121,解得q =13,∵a x =a 1q x -1=81×13x -1=35-x =1,解得x =5.综上所述,x =5.故选:B .3对任意实数a ,b ,c ,在下列命题中,真命题是()A.“ac 2>bc 2”是“a >b ”的必要条件B.“ac 2=bc 2”是“a =b ”的必要条件C.“ac 2=bc 2”是“a =b ”的充分条件D.“ac 2≥bc 2”是“a ≥b ”的充分条件【答案】B【解析】对于A ,若c =0,则由a >b ⇏ac 2>bc 2,∴“ac 2>bc 2”不是“a >b ”的必要条件,A 错.对于B ,a =b ⇒ac 2=bc 2,∴“ac 2=bc 2”是“a =b ”的必要条件,B 对,对于C ,若c =0,则由ac 2=bc 2,推不出a =b ,“ac 2=bc 2”不是“a =b ”的充分条件对于D ,当c =0时,ac 2=bc 2,即ac 2≥bc 2成立,此时不一定有a ≥b 成立,故“ac 2≥bc 2”不是“a ≥b ”的充分条件,D 错误,故选:B .4已知m 、n 是两条不同直线,α、β、γ是三个不同平面,则下列命题中正确的是()A.若m ∥α,n ∥α,则m ∥nB.若α⊥β,β⊥γ,则α∥βC.若m ∥α,m ∥β,则α∥βD.若m ⊥α,n ⊥α,则m ∥n【答案】D【解析】A选项:令平面ABCD为平面α,A1B1为直线m,B1C1为直线n,有:m∥α,n∥α,但m∩n=B1,A错误;B选项:令平面ABCD为平面β,令平面B1BCC1为平面α,令平面A1ABB1为平面γ,有:α⊥β,β⊥γ,而α⊥β,B错误;C选项:令平面ABCD为平面α,令平面A1ABB1为平面β,C1D1为直线m,有:m∥α,m∥β,则α∥β,而α⊥β,C错误;D选项:垂直与同一平面的两直线一定平行,D正确.故选:D5将甲、乙等8名同学分配到3个体育场馆进行冬奥会志愿服务,每个场馆不能少于2人,则不同的安排方法有()A.2720B.3160C.3000D.2940【答案】D【解析】共有两种分配方式,一种是4:2:2,一种是3:3:2,故不同的安排方法有C48C24C222!+C38C35C222!A33=2940.故选:D6若抛物线y2=4x与椭圆E:x2a2+y2a2-1=1的交点在x轴上的射影恰好是E的焦点,则E的离心率为()A.2-12 B.3-12 C.2-1 D.3-1【答案】C【解析】不妨设椭圆与抛物线在第一象限的交点为A,椭圆E右焦点为F,则根据题意得AF⊥x轴,c2=a2-a2-1=1,则c=1,则F1,0,当x=1时,y2=4×1,则y A=2,则A1,2,代入椭圆方程得12a2+22a2-1=1,结合a2-1>0,不妨令a>0;解得a=2+1,则其离心率e=ca=12+1=2-1,故选:C.7已知等边△ABC 的边长为3,P 为△ABC 所在平面内的动点,且|P A |=1,则PB ⋅PC 的取值范围是()A.-32,92B.-12,112C.[1,4]D.[1,7]【答案】B【解析】如下图构建平面直角坐标系,且A -32,0 ,B 32,0 ,C 0,32,所以P (x ,y )在以A 为圆心,1为半径的圆上,即轨迹方程为x +322+y 2=1,而PB =32-x ,-y ,PC =-x ,32-y ,故PB ⋅PC =x 2-32x +y 2-32y =x -34 2+y -34 2-34,综上,只需求出定点34,34 与圆x +322+y 2=1上点距离平方范围即可,而圆心A 与34,34 的距离d =34+32 2+34 2=32,故定点34,34与圆上点的距离范围为12,52,所以PB ⋅PC ∈-12,112.故选:B 8设a 、b 、c ∈0,1 满足a =sin b ,b =cos c ,c =tan a ,则()A.a +c <2b ,ac <b 2B.a +c <2b ,ac >b 2C.a +c >2b ,ac <b 2D.a +c >2b ,ac >b 2【答案】A【解析】∵a 、b 、c ∈0,1 且a =sin b ,b =cos c ,c =tan a ,则c =tan a =tan sin b ,先比较a +c =sin b +tan sin b 与2b 的大小关系,构造函数f x =sin x +tan sin x -2x ,其中0<x <1,则0<sin x <1,所以,cos1<cos sin x <1,则f x =cos x +cos xcos 2sin x -2=cos x -2 cos 2sin x +cos x cos 2sin x,令g x =cos x -1-12x 2 ,其中x ∈0,1 ,则g x =x -sin x ,令p x =x -sin x ,其中0<x <1,所以,p x =1-cos x >0,所以,函数g x 在0,1 上单调递增,故g x >g 0 =0,所以,函数g x 在0,1 上单调递增,则g x =cos x -1-12x 2 >0,即cos x >1-12x 2,因为x ∈0,1 ,则0<sin x <sin1,所以,cos sin x >1-12sin 2x =1-121-cos 2x =121+cos 2x ,所以,cos 2sin x >141+cos 2x 2,因为cos x -2<0,所以,cos x -2 cos 2sin x +cos x <14cos x -2 1+cos 2x 2+cos x=14cos 5x -2cos 4x +2cos 3x -4cos 2x +5cos x -2 =14cos x -1 3cos 2x +cos x +2 <0,所以,对任意的x ∈0,1 ,f x =cos x -2 cos 2sin x +cos xcos 2sin x <0,故函数f x 在0,1 上单调递减,因为b ∈0,1 ,则f b =sin b +tan sin b -2b <f 0 =0,故a +c <2b ,由基本不等式可得0<2ac ≤a +c <2b (a ≠c ,故取不了等号),所以,ac <b 2,故选:A .二、选择题:本题共3小题,每小题6分,共18分.在每小题给出的选项中,有多项符合题目要求.全部选对的得6分,部分选对的得部分分,有选错的得0分.9某大学生做社会实践调查,随机抽取6名市民对生活满意度进行评分,得到一组样本数据如下:88、89、90、90、91、92,则下列关于该样本数据的说法中正确的是()A.均值为90B.中位数为90C.方差为2D.第80百分位数为91【答案】ABD【解析】由题意可知,该组数据的均值为x =88+89+90+90+91+926=90,故A 正确;中位数为90+902=90,故B 正确;方差为s 2=1688-90 2+89-90 2+90-90 2×2+91-90 2+92-90 2 =53,故C 错误;因为6×80%=4.8,第80百分位数为91,故D 正确.故选:ABD .10设M ,N ,P 为函数f x =A sin ωx +φ 图象上三点,其中A >0,ω>0,ϕ <π2,已知M ,N 是函数f x 的图象与x 轴相邻的两个交点,P 是图象在M ,N 之间的最高点,若MP 2+2MN ⋅NP=0,△MNP 的面积是3,M 点的坐标是-12,0 ,则()A.A =2B.ω=π2C.φ=π4D.函数f x 在M ,N 间的图象上存在点Q ,使得QM ⋅QN <0【答案】BCD【解析】MP 2+2MN ⋅NP =MP 2-2NM ⋅NP =MP 2-2NM ⋅12NM =T 4 2+A 2 -T 22=A 2-3T 216=0,而S △MNP =AT 4=3,故A =3,T =4=2πω,ω=π2,A 错误、B 正确;-12⋅π2+φ=k π,φ=k π+π4(k ∈Z ),而ϕ <π2,故φ=π4,C 正确;显然,函数f x 的图象有一部分位于以MN 为直径的圆内,当Q 位于以MN 为直径的圆内时,QM⋅QN<0,D 正确,故选:BCD .11设a 为常数,f (0)=12,f (x +y )=f (x )f (a -y )+f (y )f (a -x ),则().A .f (a )=12B .f (x )=12成立C f (x +y )=2f (x )f (y )D .满足条件的f (x )不止一个【答案】ABC 【解析】f (0)=12,f (x +y )=f (x )f (a -y )+f (y )f (a -x )对A :对原式令x =y =0,则12=12f a +12f a =f a ,即f a =12,故A 正确;对B :对原式令y =0,则f x =f x f a +f 0 f a -x =12f x +12f a -x ,故f x =f a -x ,对原式令x =y ,则f 2x =f x f y +f y f x =2f x f y =2f 2x ≥0,故f x 非负;对原式令y =a -x ,则f a =f 2x +f 2a -x =2f 2x =12,解得f x =±12,又f x 非负,故可得f x =12,故B 正确;对C :由B 分析可得:f x +y =2f x f y ,故C 正确;对D :由B 分析可得:满足条件的f x 只有一个,故D 错误.故选:ABC .三、填空题:本题共3小题,每小题5分,共15分.12在复平面内,复数z =-12+32i 对应的向量为OA ,复数z +1对应的向量为OB ,那么向量AB 对应的复数是.。
高三数学名校试题及答案一、选择题(每题5分,共20分)1. 若函数f(x) = 2x^2 - 3x + 1,则f(-1)的值为:A. 0B. 4C. 2D. -22. 已知集合A = {1, 2, 3},B = {2, 3, 4},则A∩B为:A. {1, 2, 3}B. {2, 3}C. {1, 2}D. {2, 3, 4}3. 若直线y = 2x + 3与直线y = -x + 5平行,则它们的斜率k1和k2的关系为:A. k1 = k2B. k1 > k2C. k1 < k2D. k1 ≠ k24. 已知等比数列的首项为2,公比为3,那么它的第五项a5为:A. 162B. 108C. 72D. 54二、填空题(每题5分,共20分)5. 已知函数f(x) = x^3 - 6x^2 + 9x + 1,求f'(x)的值为______。
6. 已知圆的方程为(x - 2)^2 + (y - 3)^2 = 9,求圆心坐标为______。
7. 已知向量a = (3, 4),向量b = (-4, 3),求向量a与向量b的点积为______。
8. 已知等差数列的前三项为2,5,8,求它的通项公式为______。
三、解答题(每题10分,共60分)9. 已知函数f(x) = x^3 - 3x^2 + 2,求函数的单调区间。
10. 已知直线l1:y = 2x + 1与直线l2:y = -x + 2相交,求交点坐标。
11. 已知三角形ABC的顶点坐标分别为A(1, 2),B(4, 6),C(7, 10),求三角形的面积。
12. 已知函数f(x) = x^2 - 4x + 4,求函数的极值点。
四、附加题(10分)13. 已知函数f(x) = sin(x) + cos(x),求函数在区间[0, π]上的值域。
答案:一、选择题答案1. B2. B3. A4. A二、填空题答案5. 3x^2 - 12x + 96. (2, 3)7. -258. a_n = 2 + 3(n - 1) = 3n - 1三、解答题答案9. 单调递增区间为(-∞, 1)和(2, +∞),单调递减区间为(1, 2)。
高三题库数学带答案高三数学练习题答案一、选择题1. 下列四组数中,其中均值与中位数相等的是:A. 3,3,3,3B. 1,2,3,4C. 2,3,3,4D. 1,2,2,5答案:A2. 若函数f(x) = x² - 3x + b有两个零点,则b的取值范围为A. [-2,2]B. [0,4]C. [1,5]D. [2,6]答案:B3. 已知三角形ABC,角A的对边为a,角B的对边为b,角C的对边为c,若c² = a² + b²,则该三角形一定是()三角形。
A. 直角三角形B. 锐角三角形C. 钝角三角形答案:A4. 已知平面上两点A(-1, 5),B(4, -2),则点A′关于直线y = x的对称点的坐标为()。
A. (5, -1)B. (-5, 1)C. (1, -5)D. (-1, 5)答案:B二、填空题1. 一组数据为9,2,7,5,3,2,它的四分位数为()。
答案:5.52. 已知第一位数是2,连续的8个数的平均数为11,则这连续8个数的和为()。
答案:883. 已知多项式p(x) = x³ + ax² + bx + 2的图象对称于点(-1,3),则实数a 的值为()。
答案:3三、解答题1. 已知一扇形的半径为5cm,圆心角为150度,求该扇形的面积。
取π=3.14(精确到百分位)答案:3.96(平方厘米)解析:扇形面积公式S=θ/360°πr²,代入数据得S=150/360°×3.14×5²=3.96(平方厘米)。
2. 已知函数f(x) = x³ - 3x² - 3x + 5,求f(x)的零点及单调区间。
答案:f(x)的零点为-1,1,5,单调递增区间为(-∞,-1)∪(1,+∞),单调递减区间为(-1,1)。
解析:对f(x)求导得f'(x) = 3x² - 6x - 3,令f'(x) = 0,解得x = -1,1,分别代入求得f(x)的零点为-1,1,5。
高三数学试题及答案一、选择题1. 设函数 $f(x)=\sqrt{x}$,则 $f(2+3)=\underline{\qquad}$。
A. 5B. \(\sqrt{5}\)C. 7D. \(\sqrt{7}\)2. 已知等差数列 $\{a_n\}$ 的前 $n$ 项和为$S_n=\frac{n}{2}(2a_1+(n-1)d)$,其中 $a_1=3$,$S_n=12n$,则$d=\underline{\qquad}$。
A. -4B. -3C. 3D. 43. 设点 $A(3,4)$ 和 $B(-2,1)$,则直线 $AB$ 的斜率为\underline{\qquad}。
A. -\(\frac{3}{5}\)B. \(\frac{3}{5}\)C. \(-\frac{7}{5}\)D. \(\frac{7}{5}\)4. 若正方体的棱长为 $a$,则其表面积与体积的比为\underline{\qquad}。
A. \(a^2:2a^3\)B. \(a^2:4a^3\)C. \(a:6\)D. \(1:6a\)二、填空题1. 设集合 $A=\{x\mid x>0,x\leqslant 5\}$,则 $A$ 的基数为\underline{\qquad}。
2. 已知复数 $z=2+3i$,则 $\Bar{z}=$\underline{\qquad}。
3. 若函数 $f(x)$ 为偶函数,则 $f(-2)=$\underline{\qquad}。
4. 若 $f(x)=x^3-3x^2+4$,则 $f(x)$ 的极大值为\underline{\qquad}。
三、解答题1. 已知曲线 $y=\frac{2}{x}$,求曲线 $y$ 轴上的截距。
解:当 $x=0$ 时,$y=\frac{2}{0}$ 没有意义。
所以曲线 $y=\frac{2}{x}$ 在 $y$ 轴上没有截距。
2. 求解方程 $\log_4{(x+4)}-\log_4{(x-2)}=2$。
高三数学选择填空训练题Document number:WTWYT-WYWY-BTGTT-YTTYU-2018GT高三数学选择填空训练题六姓名:座号:成绩:一、选择题:本大题共12个小题,每小题5分,共60分.在每小题给出的四个选项中,有且只有一项是符合题目要求的.1.若集合A={x|?1<x<3},B={1, 0, 1, 2},则A∩B=( )A. {1, 0, 1, 2}B. {x|?1<x<3}C. {0,1, 2}D. {1, 0, 1}2.已知复数z满足z i=2+i,i是虚数单位,则|z|=( )A.C. 2D.3.在1, 2, 3, 6这组数据中随机取出三个数,则数字2是这三个不同数字的平均数的概率是( )A. 14C.124.已知变量,x y满足约束条件2,4,1,yx yx y≤⎧⎪+≥⎨⎪-≤⎩则3z x y=+的最小值为()A. 11B. 12C. 8D. 35.设等差数列{a n}的前n项和为S n,若a2+a8=10,则S9= ()A. 20C. 45D. 906.已知抛物线28y x=的准线与x轴交于点D,与双曲线221x ym-=交于A, B两点,点F为抛物线的焦点,若△ADF为等腰直角三角形,则双曲线的离心率是()B.7.已知函数f(x)=sin(x+) (>0, 0<<2π),f(x1)=1,f(x2)=0,若|x1–x2|min=12,且f(12) =12,则f(x)的单调递增区间为()A. 51[+2,+2],66k k k Z-∈B. 51[+2,+2],.66k k k Z-∈C. 51[+2,+2],66k k k Z ππ-∈D. 71[+2,+2],66k k k Z ∈8.函数||e()3x f x x =的部分图象大致为(9述:“远看巍巍塔七层,红光点点倍加增,共灯三百八十一”,其意大致为:有一栋七层宝塔,每层悬挂的红灯数为上一层的两倍,共有381盏灯,则该塔中间一层有( )盏灯.10.执行如图所示的程序框图,那么输出S 的值是( )018 B. 1C.1211.右图为一正方体的平面展开图,在这个正方体中,有下列四个命题:③BD ∥MN ;④BG 与平面ABCD 所成的角为45.其中正确的个数是( )12.定义在R 上函数(2)y f x =+的图象关于直线x =?2对称,且函数(1)f x +是偶函数. 若当x ∈[0,1]时,()sin 2f x x π=,则函数||()()x g x f x e -=-在区间[小题13则•a b = .第10题图14.曲线ln(1)y x =+在点(1, ln2)处的切线方程为 . 15.从原点O 向圆C :2212270x y y +-+=作两条切线,则该圆被两切点所分的劣弧与优弧之比为 .16.如图,三棱锥的所有顶点都在一个球面上,在△ABC 中,AB=,∠ACB =60,∠BCD =90,AB ⊥CD ,CD=,则该球的体积 为 .高三数学选择填空训练题七姓名: 座号:成绩:一、选择题:本大题共12个小题,每小题5分,共60分.在每小题给出的四个选项中,有且只有一项是符合题目要求的. (1)设集合2{|430}A x x x =-+<,{|230}B x x =->,则A B =( )(A )3(3,)2-- (B )3(3,)2- (C )3(1,)2(D )3(,3)2(2)若复数z 满足(12)(1)i z i +=-,则||z =( )(A )25 (B )35(C)5(D(3)等差数列}{n a 的前9项的和等于前4项的和,若0,141=+=a a a k ,则=k ( ) (A )3 (B )7 (C )10 (D )4 (4)双曲线)0,0(1:2222>>=-b a by a x C 的离心率213=e ,则它的渐近线方程( )(A )x y 23±= (B )x y 32±=(C )x y 49±= (D )x y 94±=(5)已知 1.22a =,8.02=b ,DC BA第16题图52log 2c =,则,,a b c 的大小关系为( )(A )c b a << (B )c a b <<(C )b a c << (D )b c a <<(6)已知tan 2θ=,且θ∈0,2π⎛⎫⎪⎝⎭,则cos2θ=( )(A)45 (B) 35 (C) 35- (D) 45-(7)已知两点()1,1A -,()3,5B ,点C 在曲线22y x =上运动,则AB •AC 的最小值为( )A .2B .12C .2-D .12-(8)四个人围坐在一张圆桌旁,每个人面前放着完全相同的硬币,所有人同时翻转自己的硬币.若硬币正面朝上, 则这个人站起来; 若硬币正面朝下, 则这个人继续坐着. 那么, 没 有相邻的两个人站起来的概率为( )(A )14 (B )716(C )12 (D )916(9)已知三棱锥S ABC -的底面是以AB 为斜边的等腰直角三角形,2,2,AB SA SB SC ====则三棱锥的外接球的球心到平面ABC 的距离是( )(A )33(B )1 (C 3(D 33(10)如图,网格纸上小正方形的边长为1,粗线画出的是某三棱锥的三视图,则该三棱锥的体积为( )A .83B .163C .323D .16(11)设关于y x ,的不等式组⎪⎩⎪⎨⎧>-<+>+-00012m y m x y x 表示的平面区域内存在点),(00y x P 满足2200=-y x ,则m 的取值范围是( )(A ))34,(--∞ (B ))0,32(- (C ))31,(--∞ (D ))32,(--∞(12)已知函数()2sin 4f x x πω⎛⎫=+ ⎪⎝⎭(0ω>)的图象在区间[]0,1上恰有3个最高点,则ω的取值范围为( )A .1927,44ππ⎡⎫⎪⎢⎣⎭B .913,22ππ⎡⎫⎪⎢⎣⎭C .1725,44ππ⎡⎫⎪⎢⎣⎭D .[)4,6ππ二、填空题:本小题共4题,每小题5分。
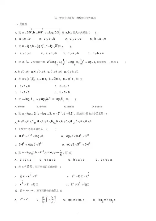
高三数学专项训练:函数值的大小比较一、选择题1.设112450.5,0.9,log 0.3a b c,则c b a ,,的大小关系是(). A. bca B. bacC. c b aD. ca b2.设则()A .B .C .D .3.设a b c ,,分别是方程11222112=log ,()log ,()log ,22xxxx x x 的实数根, 则有()A.a b c B.c b a C.b a c D.ca b4.若13(1)ln 2ln ln xe ax bx c x ,,,,,则()A .a <b <c B .c <a <b C .b <a <cD .b <c <a5.设a=54log ,b= (53log )2,c=45log ,则( )A. a<c<bB. b<c<aC. a<b<cD. b<a<c6.设0.220.20.2log 2,log 3,2,0.2ab cd,则这四个数的大小关系是()A.a b cd B.dca b C.ba cd D.ba d c7.下列大小关系正确的是()A. 3log 34.044.03B. 4.03434.03log C.4.04333log 4.0 D.34.044.033log 8.设0.33log 3,2,log sin 6a b c,则()A 、a bcB 、cabC 、ba c D 、bc a9.若)1,0(x,则下列结论正确的是()A .xx x2lg 21B .21lg 2x xxC .xxxlg 221D .xx xlg 22110.若0mn ,则下列结论正确的是()A .22mnB .1122mnC .22log log m nD .1122log log mn2lg ,(lg ),lg ,ae be ce a bcacbca b c b a11.a b ,满足01a b,下列不等式中正确的是()A .abaaB .abbbC .aaab D .bbba12.三个数231.0a ,31.0log 2b,31.02c 之间的大小关系为()A .a cb B .a bcC .ba cD .bc a13.已知实数4log 5a,01(),2b0.3log 0.4c ,则,,a b c 的大小关系为()A .b c aB .b a cC .cab D .cba14.实数0.2220.2,log 0.2,2a bc 的大小关系正确的是A.a c bB.a b cC.b acD.bca15.设,则的大小关系为()A .B .C .D .16.三个数,,的大小顺序是()A. B.C .D .17.已知10.20.7321.5, 1.3,()3a b c ,则,,a b c 的大小为( )A.c a bB.c b aC.abcD.acb18.设 1.50.90.4812314,8,2y y y ,则()A 、312y y y B 、213y y y C 、123y y y D 、132y y y 19.已知0ba ,则3,3,4aba的大小关系是()A .334abaB .343baaC .334baaD .343aab20.已知,,,则,,的大小关系为3.0log ,3.0,2223.0cbac b a ,,c b a c a b bacabc7.0667.06log 7.07.07.0666log 7.06log 67.07.07.0667.07.07.066log 7.067.067.06log 30.3a 0.33b0.3log 3ca b cA .B .C .D .21.当0<a<b<1时,下列不等式中正确的是()A .bba a )1()1(1B .bab a )1()1(C .2)1()1(bba a D .bab a )1()1(22.设1,01,x y a 则下列关系正确的是:()A.aayxB. ayax C. yxaaD.yx a a log log 23.设,那么()A .B .C .D .24.已知0.30.2a ,0.2log 3b,0.2log 4c ,则()A. a>b>cB. a>c>bC. b>c>aD. c>b>a 25.设0.53a ,3log 2b,2cos c ,则()A.c b a B.c ab C .ab cD.bc a26.已知函数f (x )(x ∈R )满足()f x >f (x ),则()A .f (2)<2e f (0)B .f (2)≤2e f (0)C .f (2)=2e f (0)D .f (2)>2e f (0)27.设函数定义在实数集上,它的图像关于直线对称,且当时,,则有A . B. C. D. 28.若函数(),()f x g x 分别是R 上的奇函数、偶函数,且满足()()xf xg x e ,则有()A .(2)(3)(0)f f gB .(0)(3)(2)g f fC .(2)(0)(3)f g f D .(0)(2)(3)g f f abc cab bac cba111()()1555baabab a a aabb aa baa abaaababax f 1x 1x 13xxf 322331fff312332f ff233132f f f 313223ff f29.设9log ,6log ,3log 842cba ,则cb a ,,的大小关系是.30.设,则的大小关系为52535252,52,53cbacb a ,,高三数学专项训练:函数值的大小比较参考答案1.D 【解析】试题分析:11110.3244450.50.25,0.90.250,log0a bc ,故选 D.考点:指数函数和对数函数的性质.2.B 【解析】试题分析:由21lg 0e可知e eelg lg 21lg 2,即.考点:本小题主要考查对数的基本运算.3.A 【解析】试题分析:由指数函数2xy,12xy与对数函数2log yx ,12log yx 的图象可得,故选A .考点:指数函数、对数函数的图像和方程4.C 【解析】试题分析:因为1(1)x e ,,所以1ln 0a x ,而l n 0b a x ,故ba ,又2l n (l n 1)c a x x ,而2ln 1x,故2ln (ln 1)0,c ax x c a ,综上,b ac ,选 C.考点:对数函数. 5.D 【解析】试题分析:由对数函数的性质可知,当底数1a时,函数log 0a yx x 是单调增函数,∴550log 3log 41且451log ,∴2554log 3log 4log 5,即bac .考点:对数函数的单调性及应用.6.D.【解析】试题分析:0.2log yx 是0,上的减函数,0b a ,又0.22221,00.21,c d b a d c .acb abc考点:指数函数、对数函数及幂函数单调性的应用.7.C. 【解析】试题分析:因为0.4331,310.40.0642,4441log 2log 3log 412,所以0.4343log 30.4,选C.考点:对数式与指数式比较大小.8.C 【解析】试题分析:0.330log 31,21,log sin06ab c,所以ba c .考点:比较数的大小.9.D 【解析】试题分析:当(0,1)x时:122(1,2),(0,1),lg (,0)xxx ,所以x x xlg 221.考点:指数函数、对数函数、幂函数图象及其性质(单调性).10.D 【解析】试题分析:指数函数、对数函数的底数大于0 时,函数为增函数,反之,为减函数,而0mn ,所以1122log log mn ,选 D.考点:本题主要考查指数函数、对数函数、幂函数的性质。
高中数学高三试题及答案一、选择题(每题4分,共20分)1. 若函数f(x) = 2x + 3,则f(-1)的值为:A. -1B. 1C. 5D. -5答案:B2. 已知集合A={1, 2, 3},B={3, 4, 5},则A∩B的元素个数为:A. 1B. 2C. 3D. 0答案:A3. 函数y = x^2 - 6x + 8的对称轴方程为:A. x = 3B. x = -3C. x = 2D. x = -2答案:A4. 已知等差数列{a_n}的前三项分别为2,5,8,则该数列的公差为:A. 3B. 2C. 1D. 4答案:A5. 函数y = |x - 2| + |x + 2|的最小值为:A. 2B. 4C. 0D. 6答案:B二、填空题(每题5分,共20分)6. 已知向量a = (3, 4),向量b = (-4, 3),则向量a与向量b的夹角θ满足______。
答案:θ =135°7. 已知圆的方程为x^2 + y^2 - 6x + 8y - 24 = 0,求圆心坐标。
答案:(3, -4)8. 已知函数f(x) = x^3 - 3x^2 + 4x - 5,求f'(x)。
答案:f'(x) = 3x^2 - 6x + 49. 已知等比数列{a_n}的前三项分别为2,4,8,则该数列的公比为______。
答案:2三、解答题(每题10分,共60分)10. 解方程:x^2 - 5x + 6 = 0。
答案:x = 2 或 x = 311. 已知函数f(x) = 2x^3 - 3x^2 + 5x - 1,求f(x)的极值点。
答案:x = 1/2(极大值点),x = 2(极小值点)12. 已知直线l:y = 2x + 3,求与l平行且与x轴交于点(2, 0)的直线方程。
答案:y = 2x - 413. 已知三角形ABC的三边长分别为a = 5,b = 7,c = 8,求三角形ABC的面积。
一、选择题(每题5分,共20分)1. 已知函数f(x) = x^3 - 3x + 2,若f(x)在x=1处的切线斜率为0,则f(1)的值为:A. 0B. 1C. 2D. 32. 在直角坐标系中,点P(2,3)关于直线y=x的对称点为:A. (2,3)B. (3,2)C. (3,-2)D. (-2,3)3. 已知等差数列{an}的前n项和为Sn,若a1=1,S3=9,则公差d为:A. 2B. 3C. 4D. 54. 下列函数中,在定义域内单调递增的是:A. y = -x^2B. y = 2x + 1C. y = x^3D. y = 1/x5. 若复数z满足|z-1|=|z+1|,则复数z对应的点在:A. 虚轴上B. 实轴上C. 第一象限D. 第二象限二、填空题(每题5分,共25分)6. 若等比数列{an}的第一项为a1,公比为q,且a1+a2+a3=9,a1a2a3=27,则q的值为______。
7. 已知函数f(x) = |x-2| + |x+3|,则f(x)的最小值为______。
8. 直线y=2x+1与圆x^2+y^2=4相交于A、B两点,则线段AB的中点坐标为______。
9. 若复数z满足z^2 - 2z + 5 = 0,则|z-1|的值为______。
10. 已知等差数列{an}的前n项和为Sn,若a1=3,S5=45,则公差d的值为______。
三、解答题(每题10分,共20分)11. 已知函数f(x) = x^2 - 4x + 3,求f(x)的图像的对称轴和顶点坐标。
12. 已知等差数列{an}的前n项和为Sn,若a1=1,公差d=2,求第10项an。
四、应用题(10分)13. 某工厂生产一批产品,每件产品成本为100元,售价为150元。
为了促销,每销售10件产品,工厂给予消费者10元的优惠。
假设销售x件产品,求工厂的利润函数,并求出工厂的利润最大时的销售数量。
答案一、选择题:1. B2. B3. B4. B5. A二、填空题:6. 37. 58. (1,3)9. 2 10. 4三、解答题:11. 对称轴:x=2,顶点坐标:(2,-1)12. 第10项an = 1 + (10-1)2 = 19四、应用题:设销售x件产品,则利润函数为L(x) = (150-100-10)x = 40x。
高三数学练习题及答案一、选择题1. 已知函数f(x) = 2x + 3,那么f(1)的值为()。
A. 1B. 5C. 1D. 52. 若|a| = 5,则a的值为()。
A. 5 或 5B. 0C. 5D. 53. 下列函数中,奇函数是()。
A. y = x^2B. y = x^3C. y = |x|D. y = 1/x4. 在等差数列{an}中,若a1 = 1,a3 = 3,则公差d为()。
A. 1B. 2C. 3D. 45. 若复数z满足|z 1| = |z + 1|,则z在复平面上的对应点位于()。
A. 实轴上B. 虚轴上C. 原点D. 不在坐标轴上二、填空题1. 已知等差数列{an}的通项公式为an = 3n 2,则第7项的值为______。
2. 若向量a = (2, 3),向量b = (4, 1),则2a 3b = ______。
3. 不等式2x 3 > x + 1的解集为______。
4. 二项式展开式(a + b)^10中,含a^3b^7的项的系数为______。
5. 在三角形ABC中,a = 5, b = 8, sinA = 3/5,则三角形ABC的面积为______。
三、解答题1. 讨论函数f(x) = x^3 3x在区间(∞, +∞)上的单调性。
2. 设函数f(x) = (1/2)^x 2^x,求f(x)的单调递减区间。
3. 已知等差数列{an}的前n项和为Sn = 2n^2 + n,求该数列的通项公式。
4. 在△ABC中,a = 10, b = 15, C = 120°,求sinA和cosA的值。
5. 解三角形ABC,已知a = 8, b = 10, sinB = 3/5。
6. 已知函数f(x) = x^2 + ax + 1在区间[1, 3]上的最小值为3,求实数a的值。
7. 设函数f(x) = x^2 2x + c,讨论函数在区间[0, 3]上的最大值和最小值。
一、选择题(每题5分,共50分)1. 已知函数f(x) = x^3 - 3x,若f(x)在区间[1,2]上的最大值为f(1),则f(x)在区间[1,2]上的单调性为()A. 单调递增B. 单调递减C. 先增后减D. 先减后增2. 若等差数列{an}的前n项和为Sn,且S3 = 12,S6 = 36,则该数列的公差d为()A. 2B. 3C. 4D. 63. 下列各式中,正确的是()A. sin(α + β) = sinαcosβ + cosαsinβB. cos(α + β) = cosαcosβ - sinαsinβC. tan(α + β) = tanαtanβD. cot(α + β) = cotαcotβ4. 已知函数g(x) = 2x^3 - 3x^2 + 4,若g'(x) > 0,则g(x)的增区间为()A. (-∞, 1)和(1, +∞)B. (-∞, 1)和(1, 2)C. (-∞, 2)和(2, +∞)D. (-∞, 2)和(2, 1)5. 已知直线l的方程为2x + 3y - 6 = 0,若直线l与圆x^2 + y^2 = 9相切,则圆心到直线l的距离d为()A. 3B. 2C. √5D. √26. 已知数列{an}满足an = 2an-1 + 1,且a1 = 1,则数列{an + 1}的通项公式为()A. an + 1 = 2nB. an + 1 = 2n - 1C. an + 1 = 2n + 1D. an + 1 = 2n - 27. 若复数z = a + bi(a,b∈R),且|z| = 1,则z的共轭复数z的实部为()A. aB. -aC. bD. -b8. 已知函数f(x) = log2(x + 1),则f(x)的值域为()A. (0, +∞)B. (1, +∞)C. (-∞, +∞)D. (-∞, 0)9. 若函数y = ax^2 + bx + c(a≠0)的图像开口向上,且顶点坐标为(1, 3),则a,b,c的值分别为()A. a = 1,b = -2,c = 3B. a = 1,b = 2,c = 3C. a = -1,b = -2,c = 3D. a = -1,b = 2,c = 310. 已知数列{an}的前n项和为Sn,且S4 = 24,S5 = 36,则数列{an}的通项公式an为()A. an = 6B. an = 6nC. an = 6n - 1D. an = 6n + 1二、填空题(每题5分,共50分)11. 若函数f(x) = x^2 - 4x + 4在区间[1,3]上的最大值为3,则f(x)在区间[1,3]上的最小值为______。
一、选择题(每题5分,共50分)1. 若函数$f(x) = x^3 - 3x + 2$在$x=1$处的切线斜率为2,则$f(x)$的导函数$f'(x)$在$x=1$处的值为:A. 1B. 2C. 3D. 42. 已知等差数列$\{a_n\}$的前$n$项和为$S_n = 4n^2 - 3n$,则该数列的首项$a_1$为:A. 5B. 6C. 7D. 83. 下列函数中,在定义域内单调递增的是:A. $f(x) = x^2 - 2x + 1$B. $f(x) = -x^2 + 2x - 1$C. $f(x) = 2x^3 - 3x^2 + 2x - 1$D. $f(x) = \frac{1}{x} + x$4. 若复数$z = a + bi$(其中$a, b \in \mathbb{R}$)满足$|z| = 1$,则$\text{arg}(z)$的取值范围是:A. $[0, \frac{\pi}{2}]$B. $[0, \pi]$C. $[-\frac{\pi}{2}, \frac{\pi}{2}]$D. $[-\pi, \pi]$5. 已知圆$C: x^2 + y^2 = 1$,点$P(1, 0)$到圆$C$的最短距离为:A. $\sqrt{2}$B. $1$C. $\frac{\sqrt{2}}{2}$D.$\frac{1}{\sqrt{2}}$6. 下列命题中,正确的是:A. 函数$y = \log_2(x-1)$的图像关于$y$轴对称B. 方程$x^3 - 3x + 2 = 0$的实根只有一个C. 等差数列$\{a_n\}$的前$n$项和$S_n$是关于$n$的二次函数D. 等比数列$\{a_n\}$的通项公式为$a_n = a_1 \cdot r^{n-1}$7. 若不等式$x^2 - 4x + 3 > 0$的解集为$A$,不等式$|x-2| < 1$的解集为$B$,则$A \cap B$为:A. $\{x | x < 1 \text{ 或 } x > 3\}$B. $\{x | 1 < x < 3\}$C. $\{x | x < 1 \text{ 或 } x > 2\}$D. $\{x | 1 < x < 2\}$8. 若向量$\vec{a} = (1, 2)$,$\vec{b} = (2, -1)$,则$\vec{a} \cdot\vec{b}$的值为:A. 3B. -3C. 5D. -59. 已知函数$f(x) = e^x - x$,则$f'(x)$的值域为:A. $[1, +\infty)$B. $(-\infty, 1]$C. $[1, 0]$D. $[0, +\infty)$10. 若等差数列$\{a_n\}$的前$n$项和为$S_n = \frac{n(3n+1)}{2}$,则该数列的公差$d$为:A. 2B. 3C. 4D. 5二、填空题(每题5分,共50分)1. 函数$f(x) = x^3 - 3x + 2$的极值点为__________。
高三数学练习题及答案解析一、选择题1. 三角形ABC中,∠BAC = 60°,AD是BC的垂线,AD = 6 cm,则BC =A. 6 cmB. 12 cmC. 6√3 cmD. 12√3 cm答案:B解析:由正弦定理,得 BC = AD / sin∠BAC = 6 / sin60° = 6 / (√3 / 2) = 12 cm。
2. 已知直线L的斜率为2/3,直线L与x轴的交点为(-3, 0),则直线L的方程为A. y = 2/3x + 2B. y = 2/3x - 2C. y = -2/3x + 2D. y = -2/3x - 2答案:C解析:已知直线L与x轴的交点为(-3, 0),可得出直线L的截距为2。
由斜率为2/3,可得直线L的方程为 y = -2/3x + 2。
3. 设函数f(x) = 2x^3 - 3x^2 + 2x + 1,则f'(1) =A. 0B. -2C. -4D. 10答案:C解析:求导得 f'(x) = 6x^2 - 6x + 2,因此 f'(1) = 6 - 6 + 2 = -4。
二、填空题1. 已知集合A = {1, 2, 3, 4},集合B = {2, 4, 6, 8},则A ∩ B =_______。
答案:{2, 4}解析:A ∩ B 表示集合A与B的交集,即两个集合中共有的元素。
因此A ∩ B = {2, 4}。
2. 若函数f(x) = log2(3x - 1),则f(-1)的值为______。
答案:undefined解析:当 x = -1 时,函数f(x)中的3x - 1 = 3(-1) - 1 = -4,log2(-4) 是无意义的,因此 f(-1) 的值为 undefined。
三、解答题1. 计算下列方程的解:2x + 5 = 3x - 1。
解答:将方程中的3x移到等号左边,2x移到等号右边,得到 x - 2x = -1 - 5,即 -x = -6。
三基小题训练一一、选择题(本大题共12小题,每小题5分,共60分.)1.函数y =2x +1的图象是 ( )2.△ABC 中,cos A =135,sin B =53,则cos C 的值为 ( ) A.6556 B.-6556 C.-6516 D. 6516 3.过点(1,3)作直线l ,若l 经过点(a ,0)和(0,b ),且a ,b ∈N *,则可作出的l 的条数为( )A.1B.2C.3D.多于34. 函数f (x )=log a x (a >0且a ≠1)对任意正实数x ,y 都有 ( )A.f (x ·y )=f (x )·f (y )B.f (x ·y )=f (x )+f (y )C.f (x +y )=f (x )·f (y )D.f (x +y )=f (x )+f (y )5.已知二面角α—l —β的大小为60°,b 和c 是两条异面直线,则在下列四个条件中,能使b 和c 所成的角为60°的是( )A.b ∥α,c ∥βB.b ∥α,c ⊥βC.b ⊥α,c ⊥βD.b ⊥α,c ∥β6.一个等差数列共n 项,其和为90,这个数列的前10项的和为25,后10项的和为75,则项数n 为 ( )A.14B.16C.18D.207.某城市的街道如图,某人要从A 地前往B 地,则路程最短的走法有 ( )A.8种B.10种C.12种D.32种8.若a ,b 是异面直线,a ⊂α,b ⊂β,α∩β=l ,则下列命题中是真命题的为( )A.l 与a 、b 分别相交B.l 与a 、b 都不相交C.l 至多与a 、b 中的一条相交D.l 至少与a 、b 中的一条相交9.设F 1,F 2是双曲线42x -y 2=1的两个焦点,点P 在双曲线上,且1PF ·2PF =0,则|1PF |·|2PF |的值等于( ) A.2 B.22 C.4 D.810.f (x )=(1+2x )m +(1+3x )n (m ,n ∈N *)的展开式中x 的系数为13,则x 2的系数为( )A.31B.40C.31或40D.71或8011.从装有4粒大小、形状相同,颜色不同的玻璃球的瓶中,随意一次倒出若干粒玻璃球(至少一粒),则倒出奇数粒玻璃球的概率比倒出偶数粒玻璃球的概率( )A.小B.大C.相等D.大小不能确定12.如右图,A 、B 、C 、D 是某煤矿的四个采煤点,l 是公路,图中所标线段为道路,ABQP 、BCRQ 、CDSR 近似于正方形.已知A 、B 、C 、D 四个采煤点每天的采煤量之比约为5∶1∶2∶3,运煤的费用与运煤的路程、所运煤的重量都成正比.现要从P 、Q 、R 、S 中选出一处设立一个运煤中转站,使四个采煤点的煤运到中转站的费用最少,则地点应选在( )A.P 点B.Q 点C.R 点D.S 点13.抛物线y 2=2x 上到直线x -y +3=0距离最短的点的坐标为_________.14.一个长方体共一顶点的三个面的面积分别是2,3,6,这个长方体对角线的长是_________.15.设定义在R 上的偶函数f (x )满足f (x +1)+f (x )=1,且当x ∈[1,2]时,f (x )=2-x ,则f (8.5)=_________.16.某校要从甲、乙两名优秀短跑选手中选一名选手参加全市中学生田径百米比赛,该校预先对这两名选手测试了8次,测试成绩如下:第1次 第2次 第3次 第4次 第5次 第6次 第7次 第8次 甲成绩(秒)12.1 12.2 13 12.5 13.1 12.5 12.4 12.2 乙成绩(秒) 12 12.4 12.8 13 12.2 12.8 12.3 12.5三基小题训练二1.如图,点O 是正六边形ABCDEF 的中心,则以图中点A 、B 、C 、D 、E 、F 、O 中的任意一点为始点,与始点不同的另一点为终点的所有向量中,除向量OA 外,与向量 OA 共线的向量共有( )A .2个B . 3个C .6个D . 7个2.已知曲线C :y 2=2px 上一点P 的横坐标为4,P 到焦点的距离为5,则曲线C 的焦点到准线的距离为 ( ) A . 21B . 1C . 2D . 43.若(3a 2 -312a ) n 展开式中含有常数项,则正整数n 的最小值是 ( )A .4B .5C . 6D . 84. 从5名演员中选3人参加表演,其中甲在乙前表演的概率为 ( )A . 203B . 103C . 201D . 1015.抛物线y 2=a(x+1)的准线方程是x=-3,则这条抛物线的焦点坐标是( )A.(3,0)B.(2,0)C.(1,0)D.(-1,0)6.已知向量m=(a ,b ),向量n⊥m,且|n|=|m|,则n的坐标可以为( )A.(a ,-b )B.(-a ,b )C.(b ,-a )D.(-b ,-a )7. 如果S ={x |x =2n +1,n ∈Z },T ={x |x =4n ±1,n ∈Z },那么A.S TB.T SC.S=TD.S ≠TEF DO C B A8.有6个座位连成一排,现有3人就坐,则恰有两个空座位相邻的不同坐法有 ( )A .36种B .48种C .72种D .96种9.已知直线l 、m ,平面α、β,且l ⊥α,m ⊂β.给出四个命题:(1)若α∥β,则l ⊥m ;(2)若l ⊥m ,则α∥β;(3)若α⊥β,则l ∥m ;(4)若l ∥m ,则α⊥β,其中正确的命题个数是( )A.4B.1C.3D.210.已知函数f(x)=log 2(x 2-ax +3a)在区间[2,+∞)上递增,则实数a 的取值范围是( )A.(-∞,4)B.(-4,4]C.(-∞,-4)∪[2,+∞)D.[-4,2)11.4只笔与5本书的价格之和小于22元,而6只笔与3本书的价格之和大于24元,则2只笔与3本书的价格比较( )A .2只笔贵B .3本书贵C .二者相同D .无法确定12.若α是锐角,sin(α-6π)=31,则cos α的值等于 A.6162- B. 6162+ C. 4132+ D. 3132- 13.在等差数列{a n }中,a 1=251,第10项开始比1大,则公差d 的取值范围是___________. 14.已知正三棱柱ABC —A 1B 1C 1,底面边长与侧棱长的比为2∶1,则直线AB 1与CA 1所成的角为 。
高三数学选择填空训练题六姓名:座号:成绩:一、选择题:本大题共12个小题,每小题5分,共60分.在每小题给出的四个选项中,有且只有一项是符合题目要求的.1.若集合A={x|−1<x<3},B={−1, 0, 1, 2},则A∩B=()A. {−1, 0, 1, 2}B. {x|−1<x<3}C. {0,1, 2}D. {−1, 0, 1}2.已知复数z满足z i=2+i,i是虚数单位,则|z|=()A.B.C. 2D.3.在1, 2, 3, 6这组数据中随机取出三个数,则数字2是这三个不同数字的平均数的概率是()A. 14B.C. 12D.4.已知变量,x y满足约束条件2,4,1,yx yx y≤⎧⎪+≥⎨⎪-≤⎩则3z x y=+的最小值为()A. 11B. 12C. 8D. 35.设等差数列{a n}的前n项和为S n,若a2+a8=10,则S9= ()A. 20B.35C. 45D. 90 6.已知抛物线28y x=的准线与x轴交于点D,与双曲线221x ym-=交于A,B两点,点F为抛物线的焦点,若△ADF为等腰直角三角形,则双曲线的离心率是()A.B.C.D.7.已知函数f(x)=sin(ωx+ϕ) (ω>0, 0<ϕ<2π),f(x1)=1,f(x2)=0,若|x1–x2|min=12,且f(12) =12,则f(x)的单调递增区间为()A. 51[+2,+2],66k k k Z-∈ B. 51[+2,+2],.66k k k Z-∈C. 51[+2,+2],66k k k Zππ-∈ D. 71[+2,+2],66k k k Z∈8.函数||e()3xf xx=的部分图象大致为()9.《算法统宗》是明朝程大位所著数学名著,其中有这样一段表述:“远看巍巍塔七层,红光点点倍加增,共灯三百八十一”,其意大致为:有一栋-1 1-1O-七层宝塔,每层悬挂的红灯数为上一层的两倍,共有381盏灯,则该塔 中间一层有( )盏灯.A.24B.48C.12D.6010.执行如图所示的程序框图,那么输出S 的值是(A.2 018B. −1C.12D.211.右图为一正方体的平面展开图,在这个正方体中,有下列四个命题:①AF ⊥GC ;②BD 与GC 成异面直线且夹角为60︒; ③BD ∥MN ;④BG 与平面ABCD 所成的角为45︒. 其中正确的个数是( )A.1B.2C.3D.412.定义在R 上函数(2)y f x =+的图象关于直线x =−2对称,且函数(1)f x +是偶函数. 若当x ∈[0,1]时,()sin 2f x x π=,则函数||()()xg x f x e -=-在区间[−2018,2018]上零点的个数为( )A. 2017B. 2018C. 4034D. 4036二、填空题:本大题共4小题,每小题5分,共20分.把答案填在答题卡的相应位置.13.已知(2,1),2(1,1),a a b =-=则•a b = .14.曲线ln(1)y x =+在点(1, ln2)处的切线方程为 .15.从原点O 向圆C : 2212270x y y +-+=作两条切线,则该圆被两切点所分的劣弧与优弧之比为 .16.如图,三棱锥的所有顶点都在一个球面上,在△ABC 中,AB , ∠ACB =60︒,∠BCD =90︒,AB ⊥CD ,CD =,则该球的体积为 .第10题图ABDENCG F M第11题图 DCB A第16题图高三数学选择填空训练题七姓名: 座号: 成绩:一、选择题:本大题共12个小题,每小题5分,共60分.在每小题给出的四个选项中,有且只有一项是符合题目要求的.(1)设集合2{|430}A x x x =-+< ,{|230}B x x =->,则A B = ( )(A )3(3,)2-- (B )3(3,)2- (C )3(1,)2 (D )3(,3)2(2)若复数z 满足(12)(1)i z i +=-,则||z =( )(A )25 (B )35(C )105 (D 10(3)等差数列}{n a 的前9项的和等于前4项的和,若0,141=+=a a a k ,则=k ( )(A )3 (B )7 (C )10 (D )4(4)双曲线)0,0(1:2222>>=-b a by a x C 的离心率213=e ,则它的渐近线方程( )(A )x y 23±= (B )x y 32±=(C )x y 49±= (D )x y 94±=(5)已知 1.22a =,8.02=b ,52log 2c =,则,,a b c 的大小关系为( )(A )c b a << (B )c a b << (C )b a c << (D )b c a <<(6)已知tan 2θ=,且θ∈0,2π⎛⎫⎪⎝⎭,则cos2θ=( )(A)45 (B) 35 (C) 35- (D) 45- (7)已知两点()1,1A -,()3,5B ,点C 在曲线22y x =上运动,则AB •AC 的最小值为( )A .2B .12 C .2- D .12- (8)四个人围坐在一张圆桌旁,每个人面前放着完全相同的硬币,所有人同时翻转自己的硬币.若硬币正面朝上, 则这个人站起来; 若硬币正面朝下, 则这个人继续坐着. 那么, 没 有相邻的两个人站起来的概率为( )(A )14 (B )716 (C )12 (D )916(9)已知三棱锥S ABC -的底面是以AB 为斜边的等腰直角三角形,2,2,AB SA SB SC ====则三棱锥的外接球的球心到平面ABC 的距离是( )(A 3 (B )1 (C 3 (D )332(10)如图,网格纸上小正方形的边长为1,粗线画出的是某三棱锥的三视图,则该三棱锥的体积为( )A .83B .163C .323D .16(11)设关于y x ,的不等式组⎪⎩⎪⎨⎧>-<+>+-00012m y m x y x 表示的平面区域内存在点),(00y x P 满足2200=-y x ,则m 的取值范围是( )(A ))34,(--∞ (B ))0,32(-(C ))31,(--∞ (D ))32,(--∞(12)已知函数()2sin 4f x x πω⎛⎫=+ ⎪⎝⎭(0ω>)的图象在区间[]0,1上恰有3个最高点,则ω的取值范围为( )A .1927,44ππ⎡⎫⎪⎢⎣⎭B .913,22ππ⎡⎫⎪⎢⎣⎭ C .1725,44ππ⎡⎫⎪⎢⎣⎭D .[)4,6ππ二、填空题:本小题共4题,每小题5分。
(13)已知向量a ()1,2=,b (),1=-x ,若a ∥()a b -,则a b ⋅= .(14)设ABC ∆中,角,,A B C 所对的边分别为,,a b c ,若ABC ∆的面积为222C =(15)已知等比数列的公比为正数,且,,则.(16)《孙子算经》是我国古代重要的数学著作,约成书于四、五世纪,传本的《孙子算经》共三卷,其中下卷“物不知数”中有如下问题:“今有物,不知其数.三三数之,剩二;五五数之,剩三;七七数之,剩二.问:物几何?”其意思为:“现有一堆物品,不知它的数目.3个3个数,剩2个;5个5个数,剩3个;7个7个数,剩2个.问这堆物品共有多少个?”试计算这堆物品至少有 个.}{n a 25932a a a =⋅12=a =1a高三数学选择填空训练题八姓名:座号:成绩:一、选择题:本大题共12个小题,每小题5分,共60分.在每小题给出的四个选项中,有且只有一项是符合题目要求的.1、集合A={x|x2﹣2x<0},B={x|x﹣2<0},则()A、A∩B=∅B、A∩B=AC、A∪B=AD、A∪B=R2、已知复数z满足(1+i)z=3+i,其中i是虚数单位,则|z|=()A、10B、C、5D、3、下列函数中既是偶函数,又在区间(0,1)上单调递增的是()A、y=cosxB、C、y=2|x|D、y=|lgx|4、若实数x,y满足约束条件,则z=2x﹣y的最大值为()A、﹣8B、﹣6C、﹣2D、45、已知平面向量,,若| |= ,| |=2,与的夹角,且(﹣m)⊥,则m=()A、B、1 C、D、26、设等差数列{a n}的前n项和为S n,若a3+a5=4,S15=60则a20=()A、4B、6C、10D、12 7、一个三位数,个位、十位、百位上的数字依次为x、y、z,当且仅当y>x,y>z时,称这样的数为“凸数”(如243),现从集合{1,2,3,4}中取出三个不相同的数组成一个三位数,则这个三位数是“凸数”的概率为()A、B、C、D、8、已知三棱锥S﹣ABC,△ABC是直角三角形,其斜边AB=8,SC⊥平面ABC,SC=6,则三棱锥的外接球的表面积为()A、64πB、68πC、72πD、100π9、已知函数的图象如图所示,若f(x1)=f(x2),且x1≠x2,则f(x1+x2)=()A、1B、C、D、210、一个长方体被一个平面截去一部分后,所剩几何体的三视图如图所示,则该几何体的体积为()A、24B、48C、72D、9611、已知双曲线=1(a>0,b>0)的左右顶点分别为A1、A2,M 是双曲线上异于A1、A2的任意一点,直线MA1和MA2分别与y轴交于P,Q 两点,O为坐标原点,若|OP|,|OM|,|OQ|依次成等比数列,则双曲线的离心率的取值范围是()A、B、C、D、12、若对任意的实数a,函数f(x)=(x﹣1)lnx﹣ax+a+b有两个不同的零点,则实数b的取值范围是()A、(﹣∞,﹣1]B、(﹣∞,0)C、(0,1)D、(0,+∞)二、填空题:13、以角θ的顶点为坐标原点,始边为x轴的非负半轴,建立平面直角坐标系,角θ终边过点P(1,2),则=________.14、已知直线l:x+my﹣3=0与圆C:x2+y2=4相切,则m=________.15、《孙子算经》是中国古代重要的数学著作,约成书于四、五世纪,也就是大约一千五百年前,传本的《孙子算经》共三卷.卷中有一问题:“今有方物一束,外周一匝有三十二枚,问积几何?”该著作中提出了一种解决此问题的方法:“重置二位,左位减八,余加右位,至尽虚加一,即得.”通过对该题的研究发现,若一束方物外周一匝的枚数n是8的整数倍时,均可采用此方法求解.如图,是解决这类问题的程序框图,若输入n=40,则输出的结果为________.16、若数列{a n},{b n}满足a1=b1=1,b n+1=﹣a n,a n+1=3a n+2b n,n∈N*.则a2018﹣a2017=________.高三数学选择填空训练题九姓名: 座号: 成绩:一、选择题:本大题共12个小题,每小题5分,共60分.在每小题给出的四个选项中,有且只有一项是符合题目要求的.1.设集合1}0{-1,,=A ,A}x 0,x |{x ∈>=B ,则=B ( ) A .}0,1{- B .}1{- C . }1,0{ D .}1{2.设复数i z +=1(i 是虚数单位),则=+22z z( ) A . i --1 B . i +-1 C .i +1 D .i -1 3.若角α终边经过点)32cos ,32(sinππP ,则=αsin ( ) A .21 B . 23 C . 21- D . 23-4.已知双曲线的一个焦点与抛物线y x 202=的焦点重合,且其渐近线方程为043=±y x ,则该双曲线的标准方程为( )A .116922=-y x B .116922=-x y C. 191622=-y x D .191622=-x y 5.实数y x ,满足条件⎪⎪⎩⎪⎪⎨⎧≥≥≥+-≤-+02204y x y x y x ,则y x -)21(的最大值为( )A . 161B .21C. 1 D .26.设31log 21=a ,21)21(=b ,31)31(=c ,则c b a ,,的大小关系是( )A .c b a <<B . a b c << C. a c b << D .b a c << 7.公元263年左右,我国数学家刘徽发现当圆内接正多边形的边数无限增加时,多边形面积可无限逼近圆的面积,并创立了“割圆术”,利用“割圆术”刘徽得到了圆周率精确到小数点后两位的近似值3.14,这就是著名的“徽率”.如图是利用刘徽的“割圆术”思想设计的一个程序框图,则输出n 的值为(*)(参考数据:2588.015sin 0=,1305.05.7sin 0=)A . 12B .18 C. 24 D .32 8.函数|1|)2sin()(+-=x x x f 的部分图像大致为( )A .B .C. D .9.某几何体的三视图如图所示,则该几何体的体积为( )A . 7B .215 C. 323 D .647 10.已知函数⎩⎨⎧>+-≤-=1,1,2)(x a x x a x f x ,则“函数)(x f 有两个零点”成立的充分不必要条件是∈a ( )A . ]2,1[B .]2,1( C. )2,1( D .]1,0(11.已知21,F F 是双曲线)0,0(12222>>=-b a by a x 的左、右焦点,过1F 的直线l 与双曲线的左右两支分别交于点B A ,,若2ABF ∆为等边三角形,则双曲线的离心率为( ) A .7 B . 4 C.332 D .3 12.定义域为R 的函数)(x f 满足)(2)2(x f x f =+,当)2,0[∈x 时,⎪⎩⎪⎨⎧∈-∈-=-)2,1[,)5.0()1,0[,)(|5.1|2x x x x x f x ,若)2,4[--∈x 时,t t x f 214)(-≥恒成立,则实数t 的取值范围是( )A . )1,0()0,2[ -B .),1[)0,2[+∞- C. ]1,2[- D .]1,0(]2,( --∞ 二、填空题(每题5分,满分20分,将答案填在答题纸上)13.平面向量b a ,的夹角为060,)0,2(=a ,1||=b ,则=+|2|b a . 14.如图,正方形ABCD 内的图形来自宝马汽车车标的里面部分,正方形内切圆中的黑色部分和白色部分关于正方形对边中点连线成轴对称,在正方形内随机取一点,则此点取自黑色部分的概率是 .15.已知c b a ,,分别是ABC ∆内角C B A ,,的对边,6,5,4===c b a ,则=+AB A 2sin )sin( .16.已知球O 是正三棱锥(底面为正三角形,顶点在底面的射影为底面中心)BCD A -的外接球,3=BC ,32=AB ,点E 在线段BD 上,且BE BD 3=,过点E 作球O 的截面,则所得截面中面积最小的截面圆的面积是 .高三数学选择填空训练题十姓名:座号:成绩:一、选择题:本大题共12个小题,每小题5分,共60分.在每小题给出的四个选项中,有且只有一项是符合题目要求的.1.已知集合M={x|(x+2)(x﹣1)<0},N={x|x+1<0},则M∩N=()A.(﹣1,1)B.(﹣2,1)C.(﹣2,﹣1)D.(1,2)2.复数=()A.2﹣i B.1﹣2iC.﹣2+i D.﹣1+2i3.从1,2,3,4中任取2个不同的数,则取出的2个数之差的绝对值为2的概率是()A.B.C.D.4.设首项为1,公比为的等比数列{a n}的前n项和为S n,则()A.S n=2a n﹣1 B.S n=3a n﹣2C.S n=4﹣3a n D.S n=3﹣2a n5.设椭圆C:=1(a>b>0)的左、右焦点分别为F1、F2,P是C上的点PF2⊥F1F2,∠PF1F2=30°,则C的离心率为()A.B.C.D.6.某几何体的三视图如图所示(网格线中,每个小正方形的边长为1),则该几何体的体积为()A.2 B.3 C.4 D.67.设函数,则f(x)=sin(2x+)+cos(2x+),则()A.y=f(x)在(0,)单调递增,其图象关于直线x=对称B.y=f(x)在(0,)单调递增,其图象关于直线x=对称C.y=f(x)在(0,)单调递减,其图象关于直线x=对称D.y=f(x)在(0,)单调递减,其图象关于直线x=对称8.图是计算函数的值的程度框图,在①、②、③处应分别填入的是()A.y=ln(﹣x),y=0,y=2x B.y=ln(﹣x),y=2x,y=0C.y=0,y=2x,y=ln(﹣x)D.y=0,y=ln(﹣x),y=2x9.已知定点F1(﹣2,0),F2(2,0),N是圆O:x2+y2=1上任意一点,点F1关于点N的对称点为M,线段F1M的中垂线与直线F2M相交于点P,则点P 的轨迹是()A.椭圆B.双曲线C.抛物线D.圆10.当实数x、y满足不等式组时,恒有ax+y≤3成立,则实数a的取值范围为()A.a≤0 B.a≥0 C.0≤a≤2 D.a≤311.在棱长为1的正方体ABCD﹣A1B1C1D1中,AC∩BD=O,E是线段B1C(含端点)上的一动点,则①OE⊥BD1;②OE∥面A1C1D;③三棱锥A1﹣BDE的体积为定值;④OE与A1C1所成的最大角为90°.上述命题中正确的个数是()A.1 B.2 C.3 D.412.定义在R上的函数f(x)满足f(x+4)=f(x),f(x)=.若关于x的方程f(x)﹣ax=0有5个不同实根,则正实数a的取值范围是()A.B.C.D.二、填空题:本大题共4小题,每小题5分.13.已知=(1,2),=(4,2),=m+(m∈R),且与的夹角等于与的夹角,则m=.14.已知直线y=﹣x+m是曲线y=x2﹣3lnx的一条切线,则m的值为.15.设数列{a n}满足a2+a4=10,点P n(n,a n)对任意的n∈N*,都有向量,则数列{a n}的前n项和S n=.16.已知函数f(x)=ax3﹣3x2+1,若f(x)存在2个零点x1,x2,且x1,x2都大于0,则a的取值范围是.高三数学选择填空训练题六一、选择题(本大题共12小题,每小题5分,共60分) 题号 1 2 3 4 5 6 7 8 9 10 11 12 答案 CDACCDBCACBD提示: 2.【解析】2i12i iz +==-,|z |=5,故选D. 3.【解析】在1, 2, 3, 6这组数据中随机取出三个数,基本事件总数(1, 2, 3), (1, 2, 6), (1, 3, 6),(2, 3, 6)共4个,则数字2是这三个不同数字的平均数所包含的基本事件只有(1, 2, 3) 1个.因此,数字2是这三个不同数字的平均数的概率是14p =. 故选A. 4.【解析】由约束条件2,4,1,y x y x y ≤⎧⎪+≥⎨⎪-≤⎩作出可行域如图,联立{2,4,y x y =+=,解得A (2, 2),化目标函数z =3x +y 为y = −3x +z ,由图可知,当直线y = −3x +z 过A 时,直线在y 轴上的截距 最小,z 有最小值为z =3×2+2=8.故选C.5.【解析】由等差数列的性质得,a 1+a 9=a 2+a 8=10,S 9=199()9104522a a +⨯==.故选C. 6.【解析】抛物线的准线方程为2x =-,准线与轴的交点为(2,0)D -,为等腰直角三角形,得||||4AD DF ==,故点A 的坐标为(2,4)-,由点在双曲线221x y m-=上,可得22(2)41m --=,解得417m =,即2417a =,所以221117c m =+=,故双曲线的离心率212142c e a ===.故选D.7.【解析】:设f (x )的周期为T ,由f (x 1)=1,f (x 2)=0,|x 1 –x 2|min =12,得212422T T πωπ=⇒=⇒==, 由f (12) =12,得sin(12π +ϕ)=12,即cos ϕ=12,又0<ϕ<2π,∴ϕ =3π,f (x )=sin(πx 3π+).由+22k ππ-3x ππ≤++22k ππ≤,得51+2+2,66k x k k Z -≤≤∈.∴ f (x )的单调递增区间为51[+2,+2],.66k k k Z -∈故选B.8.【解析】由f (x )为奇函数,排除B ,(1)3e f =<1,排除A. 当x >0时,e ()3xf x x=,2(1)e ()3xx f x x -'=,∴在区间(1,+∞)上f (x )单调递增,排除D ,故选C.9.【解析】由题意可知从上至下每层灯盏数构成公比为2的等比数列,设首项为a ,则7(21)38121a -=-,解之得a =3,则该塔中间一层灯盏数有3⨯23=24. 故选A. 10.【解析】依题意,执行如图所示的程序框图可知初始S =2,当k =0时,S 0=−1,k =1时,S 1=12,同理S 2=2,S 3=−1,S 4=12,…,可见S n 的值周期为3.∴当k =2017时,S 2017=S 1=12,此时k =2018,退出循环. 输出S =12. 故选C.11.【解析】:将正方体纸盒展开图还原成正方体,①如图知AF 与GC异面垂直,故①正确;②显然BD 与GC 成异面直线,连接EB ,ED . 则BM ∥GC ,在等边△BDM 中,BD 与BM 所成的60︒角就是异面 直线BD 与GC 所成的角,故②正确;③显然BD 与MN 异面垂直, 故③错误;④显然GD ⊥平面ABCD ,所以在Rt △BDG 中,∠GBD 是x ADF ∆A 41 OAx y -x +y =4 y =2 x −y =14 2 z =3x +y ABDM (E )NCGFBG 与平面ABCD 所成的角,Rt △BDG 不是等腰直角三角形. 所以BG 与平面ABCD 所成的角不是为45 ︒,故④错误. 故选B. 12.【解析】函数||()()x g x f x e-=-在区间[−2018,2018]上零点的个数,就是函数()sin 2f x x π= 的图象与||x y e -=的图象交点个数. 由(2)y f x =+的图象关于直线x = −2对称,得()f x 是偶函数,即()()f x f x -=.又∵函数(1)f x +是偶函数,∴(1)(1)f x f x +=-+,故(2)()()f x f x f x +=-=,因此,()f x 是周期为2的偶函数.∵当x ∈[0,1]时,()sin 2f x x π=,作出()y f x =与y =可知每个周期内有两个交点,所以函数||()()x g x f x e -=-在区间[−2018,2018]上零点的个数为2018⨯2=4036. 故选D.第二部分 非选择题(共90分)二、填空题:本大题共4小题,每小题5分,共20分.把答案填在答题卡的相应位置.13.1 14. 212ln 20x y --+= 15. 12 16.提示:13.【解析】∵(2,1),2(1,1),a a b =-=∴2(1,1)(2,1)(1,1)(1,0)b a =-=-=, ∴1(,0)2b =,∴•101a b =+=.14.【解析】由所求切线斜率1111||12x x k y x =='===+,得曲线在点处的切线方程为1ln 2(1)2y x -=-,即212ln 20x y --+=.15.【解析】把圆的方程化为标准方程为22(6)9x y +-=,得到圆心C 的坐标为(0, 6),圆的半径3r =,由圆切线的性质可知,∠CBO =∠CAO =90︒, 且AC =BC =3,OC =6,则有∠ACB =∠ACO +∠BCO =60︒+60︒=120︒ 所以该圆被两切点所分的劣弧与优弧之比为12(写成1:2也对).16.【解析】以△ABC 所在平面为球的截面,则由正弦定理得截面圆的半径为112=,依题意得CD ⊥平面ABC ,故球心到截面的距离为12CD=.所以球的体积为343π=.高三数学选择填空训练题七一、选择题:本大题共12小题,每小题5分。