数学物理方法第08章习题
- 格式:doc
- 大小:855.00 KB
- 文档页数:16
数学物理方法习题第一章:应用矢量代数方法证明下列恒等式 1、3r ∇= 2、0r ∇⨯=3、()()()()()A B B A B A A B A B ∇⨯⨯=∇-∇-∇+∇4、21()0r ∇=5、()0A ∇∇⨯= 第二章:1、下列各式在复平面上的意义是什么? (1)0;2Z a Z b z z -=--=(2)0arg4z i z i π-<<+; 1Re()2z =2、把下列复数分别用代数式、三角式和指数式表示出来。
1;1i i e ++3、计算数值(a 和b 为实常数,x 为实变数)sin5ii ϕ sin sin()iaz ib za ib e -+4、函数1W z =将z 平面的下列曲线变为W 平面上的什么曲线?(1)224x y += (2)y x =5、已知解析函数()f z 的实部(,)u x y 或虚部(,)x y υ,求解析函数。
(1)22sin ;,(0)0;,(1)0x u e y u x y xy f u f ϕ==-+===; (2)(00)f υ==6、已知等势线族的方程为22x y +=常数,求复势。
第三章:1、计算环路积分:2211132124sin4(1).(2).11sin (3).(4).()231(5).(1)(3)zz z i z z z z z e dz dzz z ze dz dzz z z dzz z ππ+=+====-+--+-⎰⎰⎰⎰⎰2、证明:21()!2!n n z n l z z e d n i n ξξπξξ=⎰其中l 是含有0ξ=的闭合曲线。
3、估计积分值222iidz z +≤⎰第四章: 1、泰勒展开(1) ln z 在0z i = (2)11ze-在00z = (3)函数211z z -+在1z = 2、(1)1()(1)f z z z =-在区域01z <<展成洛朗级数。
(2)1()(3)(4)f z z z =--按要求展开为泰勒级数或洛朗级数:① 以0z =为中心展开;②在0z =的邻域展开;③在奇点的去心邻域中展开;④以奇点为中心展开。
数学物理方法习题解答一、复变函数部分习题解答第一章习题解答1、证明Re z 在z 平面上处处不可导。
证明:令Re z u iv =+。
Re z x =,,0u x v ∴==。
1ux∂=∂,0v y ∂=∂,u v x y ∂∂≠∂∂。
于是u 与v 在z 平面上处处不满足C -R 条件, 所以Re z 在z 平面上处处不可导。
2、试证()2f z z=仅在原点有导数。
证明:令()f z u iv =+。
()22222,0f z z x y u x y v ==+ ∴ =+=。
2,2u u x y x y ∂∂= =∂∂。
v vx y∂∂ ==0 ∂∂。
所以除原点以外,,u v 不满足C -R 条件。
而,,u u v vx y x y∂∂∂∂ , ∂∂∂∂在原点连续,且满足C -R 条件,所以()f z 在原点可微。
()0000x x y y u v v u f i i x x y y ====⎛⎫∂∂∂∂⎛⎫'=+=-= ⎪ ⎪∂∂∂∂⎝⎭⎝⎭。
或:()()()2*000lim lim lim 0z z x y z f z x i y z∆→∆→∆=∆=∆'==∆=∆-∆=∆。
22***0*00limlim lim()0z z z z z z zzz z z z z z z z z=∆→∆→∆→+∆+∆+∆∆==+−−→∆∆∆。
【当0,i z z re θ≠∆=,*2i z e z θ-∆=∆与趋向有关,则上式中**1z zz z∆∆==∆∆】3、设333322()z 0()z=00x y i x y f z x y ⎧+++≠⎪=+⎨⎪⎩,证明()z f 在原点满足C -R 条件,但不可微。
证明:令()()(),,f z u x y iv x y =+,则()33222222,=00x y x y u x y x y x y ⎧-+≠⎪=+⎨+⎪⎩, 33222222(,)=00x y x y v x y x y x y ⎧++≠⎪=+⎨+⎪⎩。
数学物理方法第四版课后答案《数学物理方法第四版课后答案》第一章:复变函数1.1 复数与复平面题目1:将以下复数写成极坐标形式:a) z = 3 + 4ib) z = -2 - 5ic) z = 5i解答:a) r = √(3^2 + 4^2) = 5, θ = arctan(4/3)∴ z = 5(cos(arctan(4/3)) + i*sin(arctan(4/3)))b) r = √((-2)^2 + (-5)^2) = √(4 + 25) = √29, θ = arctan((-5)/(-2)) = arctan(5/2)∴ z = -√29(cos(arctan(5/2)) + i*sin(arctan(5/2)))c) r = √(0^2 + 5^2) = 5, θ = arctan(0/5) = 0∴ z = 5(cos(0) + i*sin(0)) = 5i题目2:计算以下复数的共轭:a) z = 3 + 4ib) z = -2 - 5ic) z = 5i解答:a) z* = 3 - 4ib) z* = -2 + 5ic) z* = -5i...第二章:常微分方程2.1 一阶微分方程题目1:求解以下一阶线性非齐次微分方程:a) \\frac{dy}{dx} + 2y = e^xb) \\frac{dy}{dx} - y = 3x^2解答:a) 首先求齐次方程的解,即 \\frac{dy}{dx} + 2y = 0观察到该方程的解为 y = Ce^{-2x},其中 C 为任意常数然后考虑非齐次方程的解,即 \\frac{dy}{dx} + 2y = e^x令 y = A e^{-2x},其中 A 为待定常数\\frac{dy}{dx} = -2A e^{-2x},代入方程得到 -2A e^{-2x} + 2A e^{-2x} = e^x解得 A = -\\frac{1}{4}∴ 非齐次方程的解为 y = -\\frac{1}{4} e^{-2x},加上齐次方程的解得到最终解 y = Ce^{-2x} - \\frac{1}{4} e^{-2x}b) 首先求齐次方程的解,即 \\frac{dy}{dx} - y = 0观察到该方程的解为 y = Ce^x,其中 C 为任意常数然后考虑非齐次方程的解,即 \\frac{dy}{dx} - y = 3x^2令 y = A e^x + B,其中 A、B 为待定常数\\frac{dy}{dx} = A e^x,代入方程得到 A e^x - (A e^x + B) = 3x^2解得 B = -3x^2∴ 非齐次方程的解为 y = A e^x - 3x^2,加上齐次方程的解得到最终解 y = Ce^x - 3x^2...通过以上两个例题,可以看出在解一阶线性非齐次微分方程时,首先解齐次方程得到通解,然后根据非齐次项的形式确定待定系数,最后将通解与待定解相加得到最终解。
P 175 8.1在0x =的邻区域内,求解下列方程: (1) 2(1)0x y''xy'y -+-= 解:依题意将方程化为标准形式2210(1)(1)x y''y'y x x +-=-- 2()(1)x p x x =-,21()(1)q x x =-- 可见0x =是方程的常点. 设方程的级数解为0()nn n y x c x∞==∑,则11()n n n y'x nc x∞-==∑,22()(1)n n n y''x n n c x ∞-==-∑代入原方程得222122102221(1)(1)0(1)(1)0n n n n n n n n n n n n n nnn n n n n n n n n n n c xxn n c x x nc xc x n n c xn n c x nc x c x ∞∞∞∞---====∞∞∞∞-====---+-=⇒---+-=∑∑∑∑∑∑∑∑由0x 项的系数为0有:202012102c c c c ⋅-=⇒=由1x 项的系数为0有:311313200 (0)c c c c c ⋅+-=⇒=≠ 由2x 项的系数为0有:4222420114321201224c c c c c c c ⋅-⋅+-=⇒== 由3x 项的系数为0有:533355432300c c c c c ⋅-⋅+-=⇒= 由4x 项的系数为0有:6444640316543401080c c c c c c c ⋅-⋅+-=⇒== 由5x 项的系数为0有:755577654500c c c c c ⋅-⋅+-=⇒= 由6x 项的系数为0有:866686025587656056896c c c c c c c ⋅-⋅+-=⇒== ……∴ 方程的级数解为246801000001115()22480896n n n y x c x c c x c x c x c x c x ∞===++++++⋅⋅⋅∑(2) 22(1)0x y''xy'n y --+=解:依题意将方程化为标准形式2220(1)(1)x n y''y'+y x x -=-- 2()(1)x p x x =--,22()(1)n q x x =- 可见0x =是方程的常点. 设方程的级数解为0()kk k y x c x∞==∑,则11()k k k y'x kc x∞-==∑,22()(1)k k k y''x k k c x ∞-==-∑代入原方程得22212221022221(1)(1)0(1)(1)0k k k k k k k k k k k k k kkk k k k k k k k k k k c xxk k c x x kc xnc x k k c xk k c x kc x n c x ∞∞∞∞---====∞∞∞∞-====----+=⇒----+=∑∑∑∑∑∑∑∑由0x 项的系数为0有:22202021021n c n c c c ⋅+=⇒=-⋅由1x 项的系数为0有:2231131(1)320321n c c n c c c -⋅-+=⇒=-⋅⋅由2x 项的系数为0有:22224222420(4)(4)432120124321n n n c c c n c c c c --⋅-⋅-+=⇒=-=⋅⋅⋅ 由3x 项的系数为0有:22225333531(9)(1)(9)5432302054321n n n c c c n c c c c ---⋅-⋅-+=⇒=-=⋅⋅⋅⋅由4x 项的系数为0有:222226444640(16)(4)(16)65434030654321n n n n c c c n c c c c ---⋅-⋅-+=⇒=-=-⋅⋅⋅⋅⋅由5x 项的系数为0有:222227555751(25)(1)(9)(25)765450427654321n n n n c c c n c c c c ----⋅-⋅--=⇒=-=-⋅⋅⋅⋅⋅⋅由6x 项的系数为0有:2222228666860(36)(4)(16)(36)8765605687654321n n n n n c c c n c c c c ----⋅-⋅-+=⇒=-=⋅⋅⋅⋅⋅⋅⋅……∴ 方程的级数解为2222222345010101022222222226701(1)(4)(1)(9)()21321432154321(4)(16)(1)(9)(25)(4)(16)(36)654321765432187654321kk k n n n n n n y x c x c c x c x c x c x c x n n n n n n n n n n c x c x c ∞=----==+--++⋅⋅⋅⋅⋅⋅⋅⋅⋅⋅----------+⋅⋅⋅⋅⋅⋅⋅⋅⋅⋅⋅⋅⋅⋅⋅⋅⋅⋅∑80x +⋅⋅⋅222222012222222111(2)[(22)]{1(1)}(2)!(1)(3)[(21)]{(1)}(21)!kk k kk k n n n k c x k n n n n k c x x k ∞=∞+=-⋅⋅⋅--=+---⋅⋅⋅--++-+∑∑8.3在0x =的邻区域内求解方程: (1) 222(1)0x y''xy'x y -+-=解:依题意将方程化为标准形式221(1)022x y''y'+y x x --= 1()2p x x =-,22(1)()2x q x x-= 可见0x =是方程的正则奇点. 设方程的级数解为0()n s n n y x c x ∞+==∑,则1()()n s n n y'x n s c x∞+-==+∑,20()()(1)n s n n y''x n s n s c x ∞+-==++-∑代入原方程得22120000202()(1)()02()(1)()0n s n s n sn s n n n n n n n n n sn sn sn s n n n n n n n n xn s n s c xx n s c xc xxc x n s n s c xn s c xc xc x ∞∞∞∞+-+-++====∞∞∞∞+++++====++--++-=⇒++--++-=∑∑∑∑∑∑∑∑由sx 项的系数为0有:0002(1)0s s c sc c --+= (指标方程) 因00c ≠,解得11s s ==或212s s == 取11s s ==1s x +(即2x )项的系数为0有:111112(1)(1)0300s sc s c c c c +-++=⇒=⇒= 2s x +(即3x )项的系数为0有:2220202012(2)(1)(2)01025s s c s c c c c c c c ++-++-=⇒-=⇒=⋅ 3s x +(即4x )项的系数为0有:33313132(3)(2)(3)02100s s c s c c c c c c ++-++-=⇒-=⇒=4s x +(即5x )项的系数为0有:444242420112(4)(3)(4)0360362459s s c s c c c c c c c c ++-++-=⇒-=⇒==⋅⋅⋅ 5s x +(即6x )项的系数为0有:55535352(5)(4)(5)05500s s c s c c c c c c ++-++-=⇒-=⇒=6s x +(即7x )项的系数为0有:666464640112(6)(5)(6)0780782456913s s c s c c c c c c c c ++-++-=⇒-=⇒==⋅⋅⋅⋅⋅7s x +(即8x )项的系数为0有:77737372(7)(6)(7)010500s s c s c c c c c c ++-++-=⇒-=⇒=……∴ 方程的一个特解 (11s s ==)为13571000002460111()2524592456913111(1)2524592456913n n n y x c x c x c x c x c x c x x x x ∞+===++++⋅⋅⋅⋅⋅⋅⋅⋅⋅⋅⋅⋅=++++⋅⋅⋅⋅⋅⋅⋅⋅⋅⋅⋅⋅∑ 取212s s ==1s x+(即32x )项的系数为0有:11112(1)(1)00s sc s c c c +-++=⇒= 2s x +(即52x )项的系数为0有:2220202012(2)(1)(2)06023s s c s c c c c c c c ++-++-=⇒-=⇒=⋅ 3s x+(即72x )项的系数为0有:33313132(3)(2)(3)01500s s c s c c c c c c ++-++-=⇒-=⇒=4s x +(即92x )项的系数为0有:444242420112(4)(3)(4)028*******s s c s c c c c c c c c ++-++-=⇒-=⇒==⋅⋅⋅ 5s x +(即112x )项的系数为0有:55535352(5)(4)(5)04500s s c s c c c c c c ++-++-=⇒-=⇒=6s x+(即132x )项的系数为0有:666464640112(6)(5)(6)0660662346711s s c s c c c c c c c c ++-++-=⇒-=⇒==⋅⋅⋅⋅⋅7s x +(即152x )项的系数为0有:77737372(7)(6)(7)09100s s c s c c c c c c ++-++-=⇒-=⇒=……∴ 方程的另一个特解 (212s s ==)为11591322222200000124620111()2323472346711111(1)2323472346711n n n y x c xc x c x c x c x c x x x x ∞+===++++⋅⋅⋅⋅⋅⋅⋅⋅⋅⋅⋅⋅=++++⋅⋅⋅⋅⋅⋅⋅⋅⋅⋅⋅⋅∑ ∴ 原方程的级数解为2461201246202461124622111()()()(1)2524592456913111(1)2323472346711111(1)2524592456913111(12323472346711y x Ay x By x Ac x x x x Bc x x x x C x x x x C x x x x =+=++++⋅⋅⋅⋅⋅⋅⋅⋅⋅⋅⋅⋅+++++⋅⋅⋅⋅⋅⋅⋅⋅⋅⋅⋅⋅=++++⋅⋅⋅⋅⋅⋅⋅⋅⋅⋅⋅⋅+++++⋅⋅⋅⋅⋅⋅⋅⋅⋅)⋅⋅⋅ (2) 42(1)0xy''x y'y +--= 解:依题意将方程化为标准形式(1)1024x y''+y'y x x--= (1)()2x p x x -=,1()4q x x=- 可见0x =是方程的正则奇点. 设方程的级数解为0()n s n n y x c x ∞+==∑,则1()()n s n n y'x n s c x∞+-==+∑,20()()(1)n s n n y''x n s n s c x ∞+-==++-∑代入原方程得211000114()(1)2()2()04()(1)2()2()0n s n s n s n s n n n n n n n n n s n s n sn s n n n n n n n n x n s n s c xn s c xx n s c xc x n s n s c xn s c xn s c xc x ∞∞∞∞+-+-+-+====∞∞∞∞+-+-++====++-++-+-==++-++-+-=∑∑∑∑∑∑∑∑由1s x-项的系数为0有:0004(1)20(21)0s s c sc s s c -+=⇒-= (指标方程)因00c ≠,解得112s s ==或20s s ==取112s s ==1s x (即12x )项的系数为0有:11111100101014(1)2(1)206203s s c s c s c c c c c c +++--=⇒-=⇒=11s x +(即32x )项的系数为0有:1121211121210114(2)(1)2(2)2(1)02040553s s c s c s c c c c c c c ++++-+-=⇒-=⇒==⋅12s x +(即52x )项的系数为0有:11313122323204(3)(2)2(3)2(2)04260117753s s c s c s c c c c c c c ++++-+-=⇒-=⇒==⋅⋅ 13s x+(即72x )项的系数为0有:11414133434304(4)(3)2(4)2(3)072801199753s s c s c s c c c c c c c ++++-+-=⇒-=⇒==⋅⋅⋅ 14s x+(即92x )项的系数为0有:11515144545404(5)(4)2(5)2(4)01101001111119753s s c s c s c c c c c c c ++++-+-=⇒-=⇒==⋅⋅⋅⋅ 15s x+(即112x )项的系数为0有:11616155656504(6)(5)2(6)2(5)01312120111313119753s s c s c s c c c c c c c ++++-+-=⇒⋅-=⇒==⋅⋅⋅⋅⋅ ……∴ 方程的一个特解(112s s ==)为11357922222210000000111322001111()35375397531111975313119753n n s n n n n y x c x c xc x c x c x c x c x c x c x ∞∞++=====++++⋅⋅⋅⋅⋅⋅++⋅⋅⋅⋅⋅⋅⋅⋅⋅⋅⋅⋅∑∑1234562023456111111(1)353753975311975313119753111111)3!!5!!7!!9!!11!!13!!c x x x x x x x c x x x x x x =++++++⋅⋅⋅⋅⋅⋅⋅⋅⋅⋅⋅⋅⋅⋅⋅⋅⋅⋅=++++++⋅⋅⋅取20s s ==2s x (即0x )项的系数为0有:22121200101014(1)2(1)20202s s c s c s c c c c c c +++--=⇒-=⇒=21s x +(即1x )项的系数为0有:22222211212104(2)(1)2(2)2(1)0123011442s s c s c s c c c c c c c ++++-+-=⇒-=⇒==⋅ 22s x +(即2x )项的系数为0有:22323222323204(3)(2)2(3)2(2)03050116642s s c s c s c c c c c c c ++++-+-=⇒-=⇒==⋅⋅ 23s x +(即3x )项的系数为0有:22424233434304(4)(3)2(4)2(3)056701188642s s c s c s c c c c c c c ++++-+-=⇒-=⇒==⋅⋅⋅ 24s x +(即4x )项的系数为0有:22525244545404(5)(4)2(5)2(4)090901110108642s s c s c s c c c c c c c ++++-+-=⇒-=⇒==⋅⋅⋅⋅ 25s x +(即5x )项的系数为0有:22626255656504(6)(5)2(6)2(5)0132110111212108642s s c s c s c c c c c c c ++++-+-=⇒+=⇒==⋅⋅⋅⋅⋅ ……∴ 方程的另一个特解 (20s s ==)为2234200000056001111()24264286421110864212108642n s n n n n n y x c xc x c c x c x c x c x c x c x ∞∞+=====++++⋅⋅⋅⋅⋅⋅++⋅⋅⋅⋅⋅⋅⋅⋅⋅⋅⋅⋅∑∑23456023456111111(1)222!23!24!25!26!c x x x x x x =++++++⋅⋅⋅⋅⋅⋅⋅⋅ ∴ 原方程的级数解为234561223456023456111111()()())3!!5!!7!!9!!11!!13!!111111(1)222!23!24!25!26!y x Ay x By x Ac x x x x x x Bc x x x x x x =+=++++++⋅⋅⋅+++++++⋅⋅⋅⋅⋅⋅⋅⋅2345612345623456111111(1)3!!5!!7!!9!!11!!13!!111111)222!23!24!25!26!C x x x x x x C x x x x x x =++++++⋅⋅⋅+++++++⋅⋅⋅⋅⋅⋅⋅⋅。
电路练习题一、选择题(第1组)1、图示电路,求i 。
A :1/2 A B: 1/3 A C :3/2 A D :2/3 A2、图示电路,求u 。
A :2VB :4VC :6VD :8V3、图示单口网络,其端口VCR 关系为:A: u =5i +3 B: u =-5i +3 C :u =-5i -3 D: u =5i-34、图示电路,求i 。
A :2AB :1.5AC :1AD :3A5、图示电路,求i 。
A :1AB :9/13 AC :1/7 AD :2/11 A6、图示电路,问R L 能获得的最大功率。
A :1/3 W B :2W C :2/9 W D :4W7、图示稳态电路,求i 。
A :2A B :1AC :3AD :1.5Ai 4ΩR L4Ω6Ω 10Ω1H108、图示稳态电路,问电容中的储能。
A :4J B :2JC :8JD :1J9、图示电路,t < 0时处于稳态, t = 0时,开关切到a , 当t = 5s 时,u c (t )是多少?A :6.3VB :5VC :2.4VD :3.16V10、图示电路,t < 0时处于稳态,t = 0时, 开关断开,求t = 1s 时u c (t )是多少? A :1.47V B :2.94V C: 5V D :4V11、图示电路原处于稳态,在t = 0时, 开关断开,求t = 0.1s 时的电流i (t )。
A :1A B :0 C :0.358A D :0.184 A12、图示正弦稳态电路,求i (t ) 。
A :)452cos(2°+t A B :)452cos(2°−t A C :)452cos(2°−t A D :)452cos(2°+t A13、图示正弦稳态电路中,有效值: I 是10A ,I R 是8A 。
问I c 是多少? A :2A B :18A C :6A D :4Ai(t)1H0.5Ω2ΩA2cos 22t u c1A c (t)2A14、图示正弦稳态电路, 求电阻上的平均功率。
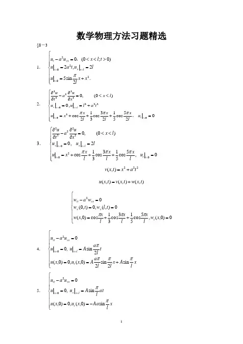
第八章习题P201:1,2,5,6,11,12,13,16,17,201.长为l 的弦,两端固定,弦中张力为T ,在距一端为0x 的一点以力0F 把弦拉开,然后突然撇除这力,求解弦的振动。
解:此题的定解问题为200000000,(0),(0,)(,)0,,(0),(,0)(),(),0.tt xx t t u a u x l u t u l t F l x x x x T l u x F x l x x x l T l u =⎧-=<<⎪==⎪⎪-⎧⎪<<⎪⎪⎨=⎨⎪⎪⎪-<<⎪⎩⎪⎪=⎩)4()3()2()1(令(,)()()u x t X x T t =代入泛定方程(1)中得X T X aTλ''''==- 可得20T a T X X λλ''⎧+=⎨''+=⎩ (0)()0X X l ==求解关于x 本征值问题,得到本征值和本征函数()2/n l λπ= (1,2,3,n =⋅⋅⋅⋅⋅⋅()sinn X x C x lπ= 将本征值代入关于t 的常微分方程,得到22220a n T T lπ''+= 其解为 ()cossin n n n n a n aT t A x B t l lππ=+ 1(,)()()cos sin sin n n n n a n a n u x t X x T t A t B t x l l l πππ∞=⎛⎫∴==+ ⎪⎝⎭∑将u 的级数解代入初始条件(4)得到001|sin cos sin t t n n t n n a n a n a n a n u A x B t xl l l l l πππππ∞===⎛⎫=-+ ⎪⎝⎭∑1sin 0nn n a n B x l lππ∞===∑ 0n B ∴=则1(,)cossin n n n a n u x t A t x l lππ∞=∴=∑ 根据初始条件(3)有0001000,(0),(,0)sin (),(),n n F l x x x x n T lu x A x F x l l x x x l T l π∞=-⎧<<⎪⎪==⎨⎪-<<⎪⎩∑02()sin l n n A d l l πϕξξξ=⎰ 000000022sin ()sin x l x F l x F x n n d l d l T l l l T l l ππξξξξξξ-=+-⎰⎰ 02000022222sin cos cos x lx F l x F x l n l n n l n l T l n l n l l T l n l ππξππξξξπππ⎧⎡⎤-⎪=--⎨⎢⎥⎣⎦⎪⎩020022sin cos lx F x l n n n T l n l l l ππξπξξπ⎫⎪⎡⎤--⎬⎢⎥⎣⎦⎪⎭000000000220()2sin cos cos cos xF l x l n x n x n x F x n x n l T n l l l T n l πππππππ⎧-⎪⎡⎤⎡⎤=---⎨⎢⎥⎢⎥⎣⎦⎣⎦⎪⎩0000022cos sin cos F x l n x n x n x n n T n l l l ππππππ⎫⎡⎤---+⎬⎢⎥⎣⎦⎭ 002221sin F l n x T n lππ=∴ 00221121(,)cos sin sin cos sin n n n F l n x n a n n a n u x t A t x t x l l T n l l l ππππππ∞∞==∴==∑∑2.求解细杆热传导问题,杆长l ,两端保持为零度,初始温度分布20/)(l x l bx u t -==。
高等数学 第四册(第三版) 数学物理方法 答案(完整版)第七章 一维波动方程的傅氏解1. 今有一弦,其两端被钉子钉紧,作自由,它的初位移为: 2.(01)()(2)(12)hx x x h x x ϕ≤<⎧=⎨-≤≤⎩,初速度为0,试求其付氏解,其中h 为已知常数。
解:所求问题是一维波动方程的混合问题:2(12,0)(0,)(,)0(0)(01)(,0)(2)(12)(,0)0tt xx t u a u x t u t u l t t hx x u x h x x u x ⎧=<<>⎪==≥⎪⎪≤≤⎧⎨=⎨⎪-≤≤⎩⎪⎪=⎩,根据前面分离变量解法得其傅氏解为:1(,)(cossin )sin n n n n at n at n xu x t C D l l l πππ∞==+∑。
其中,122201228()sin [sin (2)sin ]222l n n n n hC d h d h d l l n πξπξπξϕξξξξξξπ==+-=⎰⎰⎰,0n D =,于是所求傅氏解为:2218(,)cos sin n h n at n xu x t n l l πππ∞==∑2.将前题之初始条件改为:(1)(10)()(1)(01)h x x x h x x ϕ+-≤≤⎧=⎨-≤≤⎩,试求其傅氏解。
解:所求问题为一维波动方程的混合问题:211((1)sin (1)sin n n l l l h d h d πξπξξξξξ--=++-⎰⎰n c 012222211(sinsinsin )n n n h d d d πξπξπξξξξξ--=++⎰⎰⎰2282sin h n n ππ=22821(,)sin cossinh n n at n x lln n u x t ππππ∞=∴=∑。
3今有一弦,其两端0x =和x l =为钉所固定,作自由摇动,它的初位移为0。
初速度为[](2()0(2,c x x x βϕβ≤≤⎧=⎨∉⎩,其中c 为常数,0,l αβ<<<试求其傅氏解。
第一章 复变函数1.1 复数与复数运算【1】下列式子在复数平面上各具有怎样的意义? 5,arg ,Re ,z a z b αβ<<<<(,,a αβ和b 为实常数)解:射线ϕα=与ϕβ=,直线x a =与x b =所围成的梯形。
7,111z z -≤+解:11111z z z z -≤⇒-≤++,令z x iy =+,则11z z -≤+即()()2222110x y x y x -+≤++⇒≥。
即复数平面的右半平面0x ≥。
【2】将下列复数用代数式,三角式和指数式几种形式表示出来。
3,1+解:代数式即:1z =+;2ρ=,且z 的辐角主值arg 3z π=,因此三角式:2cos2sin33z i ππ=+;指数式:232i k i z e eππϕρ⎛⎫+ ⎪⎝⎭==,k ∈ 。
7,1i 1i-+解:21i (1i)2i i 1i(1i)(1i)2---===-++-,因此,其代数式:i z =-,三角式:33cos sin22z i ππ=+;指数式:322i k i z e eππϕρ⎛⎫+ ⎪⎝⎭==,k ∈ 。
【3】计算下列数值。
(a ,b 和ϕ为实常数)2,解:将被开方的i 用指数式表示:22ei k i ππ⎛⎫+ ⎪⎝⎭=,k ∈ 。
那么2322eexp 63i k k i ππππ⎛⎫+ ⎪⎝⎭⎡⎤⎛⎫==+ ⎪⎢⎥⎝⎭⎣⎦,k ∈ 。
7,cos cos 2cos 3cos n ϕϕϕϕ++++ 解:因为,cos R e (1)ik k e k n ϕϕ=≤≤,因此()[]2323cos cos 2cos 3cos R e R e R e R e (1)R e R e 1cos cos(1)sin sin(1)R e 1cos sin 222sin sin cos 222R e 2sin sin 2i i i in i in i i i in i n e eeee e eeeee n i n i n n n i ϕϕϕϕϕϕϕϕϕϕϕϕϕϕϕϕϕϕϕϕϕϕϕϕϕϕ++++=++++⎡⎤-=++++=⎢⎥-⎣⎦⎧⎫-++-+⎪⎪=⎨⎬--⎪⎪⎩⎭++⎛⎫- ⎪⎝⎭= 222(1)2sin 2R e sin cos 2221(1)sin sin sin sin cos 22222R e sin sin2sin222n i i n i n e i e n n n n e ϕϕϕϕϕϕϕϕϕϕϕϕϕϕ++⎡⎤⎢⎥⎢⎥=⎛⎫⎢⎥- ⎪⎢⎥⎝⎭⎣⎦⎛⎫++- ⎪⎝⎭===1.2 复变函数【2】计算下列数值。
第一章 分离变量法1、求解定解问题:200000000,(01),||0,,(0),|(),(),|0,(0).tt xx x x l t t u a u x u u n h l x x l n u h l l x x l l n l n u x l ====-=<<==⎧≤≤⎪⎪⎪=⎨-≤≤⎪-⎪⎪⎩=≤≤(P-223) 2、长为l 的弦,两端固定,弦中张力为T ,在距一端为0x 的一点以力0F 把弦拉开,然后撤出这力,求解弦的震动。
[提示:定解问题为200000000,(0),(0,)(,)0,,(0),(,0)(),(),|0.tt xx t t u a u x l u t u l t F l x x x x T l u x F x l x x x l T lu =-=<<==-⎧<<⎪⎪=⎨⎪-<<⎪⎩= ] (P-227)3、求解细杆导热问题,杆长l ,两端保持为零度,初始温度分布20|()/t u bx l x l ==-。
[定解问题为 220200,()(0),||0,|()/.t xx x x l t k u a u a x l C u u u bx l x l ρ===⎧-==≤≤⎪⎪⎪==⎨⎪=-⎪⎪⎩] (P-230) 4、求解定解问题2220,0,0220,0.03sin ,0.00u u a x l t t x u u x x l x u u A t l t t π⎧∂∂⎪-=<<>⎪∂∂⎪==⎨==⎪∂⎪===⎪∂=⎩4、长为l 的均匀杆,两端受压从而长度缩为(12)l ε-,放手后自由振动,求解杆的这一振动。
[提示:定解问题为20000,(0),||0,2|2(),|0.tt xx x x x x l t t t u a u x l u u u x l u ε====⎧-=<<⎪==⎪⎪⎨=-⎪⎪=⎪⎩] (P-236) 5、长为l 的杆,一端固定,另一端受力0F 而伸长,求解杆在放手后的振动。
数学物理方法习题解答一、复变函数部分习题解答第一章习题解答1、证明Re z 在z 平面上处处不可导。
证明:令Re z u iv =+。
Re z x =,,0u x v ∴==。
1ux∂=∂,0v y ∂=∂,u v x y ∂∂≠∂∂。
于是u 与v 在z 平面上处处不满足C -R 条件, 所以Re z 在z 平面上处处不可导。
2、试证()2f z z=仅在原点有导数。
证明:令()f z u iv =+。
()22222,0f z z x y u x y v ==+ ∴ =+=。
2,2u u x y x y ∂∂= =∂∂。
v vx y∂∂ ==0 ∂∂。
所以除原点以外,,u v 不满足C -R 条件。
而,,u u v vx y x y∂∂∂∂ , ∂∂∂∂在原点连续,且满足C -R 条件,所以()f z 在原点可微。
()000000x x y y u v v u f i i x x y y ====⎛⎫∂∂∂∂⎛⎫'=+=-= ⎪ ⎪∂∂∂∂⎝⎭⎝⎭。
或:()()()2*000lim lim lim 0z z x y z f z x i y z∆→∆→∆=∆=∆'==∆=∆-∆=∆。
22***0*00limlim lim()0z z z z z z zzz z z z z z zz z=∆→∆→∆→+∆+∆+∆∆==+−−→∆∆∆。
【当0,i z z re θ≠∆=,*2i z e z θ-∆=∆与趋向有关,则上式中**1z zz z∆∆==∆∆】3、设333322()z 0()z=00x y i x y f z x y ⎧+++≠⎪=+⎨⎪⎩,证明()z f 在原点满足C -R 条件,但不可微。
证明:令()()(),,f z u x y iv x y =+,则()33222222,=00x y x y u x y x y x y ⎧-+≠⎪=+⎨+⎪⎩, 33222222(,)=00x y x y v x y x y x y ⎧++≠⎪=+⎨+⎪⎩。
数学物理方法第三版课后练习题含答案前言本文为数学物理方法第三版(Mathematical Methods in the Physical Sciences, 3rd Edition)的课后练习题及答案。
该书是经典的大学物理数学教材,广泛应用于物理、数学、工程等领域的学生和教师。
本文主要适用于该书的读者,希望能够帮助大家更好地掌握数学物理方法。
第一章1.1 给定函数 $f(x)=\\sin(x)$,求以下数值:(a) f(0)答:$f(0) = \\sin(0) = 0$(b) $f(\\pi)$答:$f(\\pi) = \\sin(\\pi) = 0$(c) $f(\\pi/2)$答:$f(\\pi/2) = \\sin(\\pi/2) = 1$(d) $f(-\\pi/2)$答:$f(-\\pi/2) = \\sin(-\\pi/2) = -1$1.2 给定函数f(x)=e x,求以下数值:(a) f(0)答:f(0)=e0=1(b) $f(\\ln 2)$答:$f(\\ln 2) = e^{\\ln 2} = 2$(c) $f(-\\ln 2)$答:$f(-\\ln 2) = e^{-\\ln 2} = 1/2$(d) f(−1)答:$f(-1) = e^{-1} \\approx 0.368$1.3 求解以下方程:(a) x2−2x−3=0解:使用求根公式 $x=\\frac{-b\\pm\\sqrt{b^2-4ac}}{2a}$,得$$x = \\frac{2\\pm\\sqrt{2^2-4\\times1\\times(-3)}}{2\\times1} = -1,3 $$所以方程的根为x=−1和x=3。
(b) x3+2x2−5x−6=0解:使用因式分解法,先猜一个根为x=1,得到一个因式(x−1),然后用多项式长除法得到:x3+2x2−5x−6=(x−1)(x2+3x+6)不易得到另外两个根的精确解,所以这里只给出结果,方程的根为x=1,$x=-\\frac{3}{2}+i\\frac{\\sqrt{3}}{2}$ 和 $x=-\\frac{3}{2}-i\\frac{\\sqrt{3}}{2}$。
人教版物理8年级下册第八章运动与力专题01 牛顿第一定律 二力平衡一、选择题(共10小题)1.牛顿第一定律是( )A .凭空想象得出的B .直接从实验得出的C .在实验基础上根据科学推理得出的D .综合生活经验得出的2.关于牛顿第一定律的理解,下列说法正确的是( )A .力是维持物体运动状态的原因B .不受力的物体,只能保持静止状态C .该定律由斜面小车实验直接得出D .如果物体不受力的作用,原来运动的物体将保持原有的速度一直做匀速直线运动3.下列科学家中,对“牛顿第一定律”的建立做出巨大贡献的是( )A .阿基米德B .托里拆利C .伽利略D .焦耳4.下列现象中,物体运动状态没有发生变化的是( )A .钟摆来回摆动B .熟透的苹果从树上竖直下落C .嫦娥一号围绕月球运动D .小孩沿直滑梯上匀速滑下5.关于物体的惯性,以下说法正确的是()A .苹果树上落下来的苹果,在下落过程中速度越来越快,惯性也越来越大B .驾驶员系安全带,是为了减小驾驶员的惯性C .高速公路对小汽车限速120/km h ,而对大型货车限速是90/km h ,是因为大货车质量大,惯性大D .百米赛跑运动员到达终点不能马上停下来,是由于运动员受到惯性力6.学习了惯性的知识后,同学们对惯性的危害有了一定的认识。
放学途中,同学们在搭乘公交车时,不应该有的行为是( )A .主动给老年人让座B .在车内和同学嬉戏打闹C .头、手不伸出车外D .抓好扶手7.同一直线上的两个力,同时作用在一个物体上,已知其中一个力是300N ,合力是500N ,则另一个力....参考答案一、选择题(共10小题)1.C2.D3.C4.D5.C6.B7.D8.B9.D10.D二、填空题(共7小题)11.匀速直线;重。
12.运动状态;牛顿第一;惯性。
13.中;因为小球具有惯性,不考虑空气阻力时,在水平方向保持与火车相同的速度,所以小球最终能落回A孔中。
14.10;4。
数学物理方法课后答案【篇一:数学物理方法习题】1、求解定解问题:utt?a2uxx?0,(0?x?1),u|x?0?u|x?l?0,l?n0hx,(0?x?),?ln0?(p-223) ?u|t?0??hl(l?x),(?x?l),?ln0?l???n0u|t?0?0,(0?x?l).2、长为l的弦,两端固定,弦中张力为t,在距一端为x0的一点以力f0把弦拉开,然后撤出这力,求解弦的震动。
[提示:定解问题为 utt?a2uxx?0,(0?x?l),u(0,t)?u(l,t)?0,?f0l?x0x,(0?x?x0), ??tlu(x,0)???f0x0(l?x),(x?x?l),0??tlut|t?0?0.] (p-227)3、求解细杆导热问题,杆长l,两端保持为零度,初始温度分布u|t?0?bx(l?x)/l2。
[定解问题为k?22u?au?0,(a?)(0?x?l),xx?tc???] (p-230)u|x?0?u|x?l?0,??u|t?0?bx(l?x)/l2.???4、求解定解问题??2u?2u2??a?0,0?x?l,t?022??t?x?ux?0?0,ux?l?0. ??3?x?u?u ?asin,?0.?t?0l?tt?0?4、长为l的均匀杆,两端受压从而长度缩为l(1?2?),放手后自由振动,求解杆的这一振动。
[提示:定解问题为?utt?a2uxx?0,(0?x?l),?ux|x?0?ux|x?l?0,??](p-236) ?2u|?2?(?x),t?0?l?ut|t?0?0.??5、长为l的杆,一端固定,另一端受力f0而伸长,求解杆在放手后的振动。
[提示:定解问题为?utt?a2uxx?0,(0?x?l),?u|x?0?0,ux|x?l?0,??] (p-238)x?uxf?0?u(x,0)??0dx??0,?xys?ut|t?0?0.??6、长为l的杆,上端固定在电梯天花板,杆身竖直,下端自由、电梯下降,当速度为v0时突然停止,求解杆的振动。